Abstract
Recently, during critical illness, cortisol metabolism was found to be reduced. We hypothesize that such reduced cortisol breakdown may suppress pulsatile ACTH and cortisol secretion via feedback inhibition. To test this hypothesis, nocturnal ACTH and cortisol secretory profiles were constructed by deconvolution analysis from plasma concentration time series in 40 matched critically ill patients and eight healthy controls, excluding diseases or drugs that affect the hypothalamic-pituitary-adrenal axis. Blood was sampled every 10 min between 2100 and 0600 to quantify plasma concentrations of ACTH and (free) cortisol. Approximate entropy, an estimation of process irregularity, cross-approximate entropy, a measure of ACTH-cortisol asynchrony, and ACTH-cortisol dose-response relationships were calculated. Total and free plasma cortisol concentrations were higher at all times in patients than in controls (all P < 0.04). Pulsatile cortisol secretion was 54% lower in patients than in controls (P = 0.005), explained by reduced cortisol burst mass (P = 0.03), whereas cortisol pulse frequency (P = 0.35) and nonpulsatile cortisol secretion (P = 0.80) were unaltered. Pulsatile ACTH secretion was 31% lower in patients than in controls (P = 0.03), again explained by a lower ACTH burst mass (P = 0.02), whereas ACTH pulse frequency (P = 0.50) and nonpulsatile ACTH secretion (P = 0.80) were unchanged. ACTH-cortisol dose response estimates were similar in patients and controls. ACTH and cortisol approximate entropy were higher in patients (P ≤ 0.03), as was ACTH-cortisol cross-approximate entropy (P ≤ 0.001). We conclude that hypercortisolism during critical illness coincided with suppressed pulsatile ACTH and cortisol secretion and a normal ACTH-cortisol dose response. Increased irregularity and asynchrony of the ACTH and cortisol time series supported non-ACTH-dependent mechanisms driving hypercortisolism during critical illness.
Keywords: adrenocorticotropic hormone, cortisol, adrenocorticotropic hormone, secretion, deconvolution analysis, intensive care
the stress hormone cortisol is an essential component of the “fight or flight” adaptation to the stress of illness and trauma. Whenever the human brain senses a stressful event, the hypothalamic-pituitary-adrenal (HPA) axis is activated via the release of corticotropin-releasing hormone (CRH) from the hypothalamic paraventricular nucleus into the portal circulation, which stimulates the anterior pituitary corticotrophs to secrete adrenocorticotropic hormone (ACTH), in turn driving cortisol synthesis and secretion from the adrenal cortex. Feedback inhibition exerted by cortisol at the pituitary and the hypothalamic level controls its own release.
The release of ACTH and cortisol occurs predominantly in discrete pulses superimposed upon a nonpulsatile hormonal release with a slower diurnal pattern so that minimal levels are present during sleep and maximal levels around waking (15). Several groups have reported that in patients suffering from critical illness, an extreme example of physical stress, high circulating cortisol levels are present in the face of low rather than high ACTH plasma concentrations. This constellation is referred to as the “ACTH-cortisol dissociation” (2, 26, 43) and has been interpreted as ACTH-independent factors driving cortisol release (5).
We recently showed via a stable isotope tracer study that the elevated morning plasma cortisol concentrations during critical illness are only to a limited extent explained by increased cortisol production. In patients with excessive inflammation, this cortisol production was found to correlate with the plasma concentrations of proinflammatory cytokines. Critically ill patients not suffering from excessive inflammation did not show elevated cortisol production at all, although the plasma cortisol concentrations were as high as in patients with excessive inflammation. In contrast, cortisol metabolism was found to be reduced irrespective of the inflammatory status via suppressed expression and/or activity of the A-ring reductases and of 11β-hydroxysteroid dehydrogenase type 2 (2).
In previous studies, only single sample plasma ACTH concentrations were reported. This precludes analysis of ACTH secretory dynamics and its relationship with cortisol secretion during critical illness. We hypothesized that reduced cortisol breakdown during critical illness can elevate circulating cortisol to levels that are able to suppress pulsatile ACTH secretion via feedback inhibition. If the responsiveness of cortisol secretion to a given ACTH concentration is unaltered during critical illness, such suppressed pulsatile ACTH secretion could then proportionately reduce pulsatile cortisol release in the face of elevated plasma cortisol concentrations. Such an additional regulator of the HPA axis will expectedly increase the irregularity and asynchrony of the ACTH and cortisol time series.
To test this hypothesis, the dynamics of ACTH and cortisol secretion, which were analyzed via nocturnal time series of repeated (every 10 min) blood samples, were compared between critically ill patients and demographically matched healthy control subjects. First, pulsatile and nonpulsatile ACTH and cortisol secretory profiles were constructed from the plasma concentration time series by deconvolution analysis (42). Second, with a complementary analytical model, the cortisol secretory dose response to ACTH was quantified by coupling effector concentrations to time-delayed glandular secretion rates (21). Third, the presence of alternative regulators of ACTH and cortisol was appraised by the approximate entropy (ApEn) of the respective time series, an estimation of process irregularity, and by cross-ApEn, a quantitation of ACTH-cortisol asynchrony (42). Finally, plasma concentrations of free cortisol and of the proinflammatory cytokines IL-6 and TNFα were quantified and correlated with the deconvolved ACTH and cortisol secretion rates and with the cross-ApEn to assess their potential role as regulators of the HPA axis dynamics during critical illness.
MATERIALS AND METHODS
Patient and study samples.
Overnight serial blood samples were taken from critically ill patients and demographically matched healthy controls. Baseline characteristics are described in Table 1. The study protocol and consent forms were approved by the Institutional Ethical Review Board of the KU Leuven (ML6625). The clinical trial was registered at the International Standard Randomized Controlled Trial Number Register (ISRCTN49306926). Written, informed consent was obtained from the patients' next of kin and from the healthy volunteers.
Table 1.
Characteristics of study patients and controls
| Patients (n = 40) | Controls (n = 8) | P Value | |
|---|---|---|---|
| Demography and anthropometry | |||
| Sex [no. of males (%)] | 30 (75) | 6 (75) | 1.00 |
| Age, yr (mean ± SD) | 59.1 ± 16.9 | 55.6 ± 4.5 | 0.27 |
| BMI, kg/m2, (mean ± SD)a | 25.9 ± 4.8 | 24.2 ± 2.3 | 0.14 |
| Admission characteristics | |||
| Diagnostic group on admission [no. (%)] | |||
| Cardiovascular | 9 (22.5) | ||
| Respiratory/esophageal lung surgery | 7 (17.5) | ||
| Abdominal/gastrointestinal/hepatic | 19 (47.5) | ||
| Other | 5 (12.5) | ||
| APACHE II (means ± SD)b | 36 ± 5 | ||
| Patient characteristics at study time | |||
| Day of sampling [median (IQR)] | 3.5 (2.0–5.0) | ||
| SIRS [no. (%)]c | 28 (70) | ||
| Sepsis [no. (%)] | 18 (45) | ||
| Treatment with catecholamines [no. (%)]d | 26 (65) | ||
| Treatment with opioids [no. (%)]d | 30 (75) | ||
| Treatment with anticoagulants [no. (%)]d | 6 (15) | ||
| Treatment with sedatives [no. (%)] | 10 (25) | ||
| Treatment with hypnotics [no. (%)] | 13 (33) | ||
| Plasma creatinine, mg/dl [median (IQR)] | 1.1 (0.6–2.2) | ||
| 24-h Urinary volume, ml [median (IQR)] | 1,225 (750–1,950) | ||
| Creatinine clearance, ml/mine | 52.7 (22.5–98.3) | ||
| Renal replacement therapy [no. (%)] | 4 (10) | ||
| Clinical outcomes | |||
| Duration of stay in ICU [median (IQR)] | 14 (9.3–22.5) | ||
| Hospital mortality [no. (%)] | 7 (18) |
BMI, body mass index; APACHE II, Acute Physiology and Chronic Health Evaluation II; SIRS, systemic inflammatory response syndrome; IQR, interquartile range; ICU, intensive care unit.
BMI is the weight in kg divided by the square of the height in m.
APACHE II ranges from 0 to 71, with higher scores indicating a greater severity of illness (22)
SIRS is determined by the BONE criteria.
Other drugs known to affect the hypothalamic-pituitary-adrenal (HPA) axis were excluded (3): glucocorticoids, other steroids, anti-steroid chemotherapy, etomidate, azoles, phenytoin, rifampicin, glitazones, imipramin, phenothiazine, and phenobarbital.
Creatinine clearance was calculated by (urinary creatinine level × 24-h urinary volume)/(plasma creatinine level ×1,440 min) (missing values in 30% of patients).
During the time frame of the study, consecutive adult (age ≥18 yr) patients were screened for eligibility on a daily basis from the population present in five intensive care units (ICUs) (total of 73 beds), both medical and surgical, in the University Hospitals of KU Leuven. Patients with diseases predisposing to HPA axis dysfunction or treated with drugs affecting the HPA axis were excluded (glucocorticoids within the last 3 mo, etomidate, or azoles within the last 72 h) (3).
Healthy men and women were selected based on BMI, age, and sex to match with the patient group. They were invited to participate after screening for exclusion criteria, as mentioned above. Before the start of the study, each healthy volunteer was examined by a medical doctor to confirm a healthy physical and psychological condition. The volunteers were admitted to a room adjacent to the ICU to control for environmental factors. Lights went out between 2200 and 2300, ambulation was permitted to the lavatory only, and eating and drinking were not allowed.
Undiluted 2-ml blood samples were withdrawn from an arterial line every 10 min for 9 h (2100–0600), allowing detection of cortisol release episodes of which the timing is nonrandomly coupled to that of prior and simultaneous ACTH release episodes (40). For critically ill patients, blood was sampled via the arterial catheter already in place as part of standard intensive care management. In healthy control subjects, an arterial catheter was inserted into the arteria radialis.
A venous arterial blood management protection system (Edwards Lifesciences, Irvine, CA) was connected to the arterial catheter to allow sampling without unnecessary blood waste. Total blood loss per patient/control did not exceed 110 ml.
All samples were collected in prechilled EDTA tubes and immediately placed on ice. After centrifugation (233 g, 10 min) at 4°C, plasma samples were frozen at −20°C and stored at −80°C until further analysis.
Plasma concentrations of ACTH and cortisol for deconvolution analysis.
Total plasma cortisol concentrations were quantified with a high-specificity and high-sensitivity radioimmunoassay (Immunotech, Prague, Czech Republic). Plasma ACTH was quantified by a high-sensitivity and high-specificity double-monoclonal immunoradiometric assay (Brahms Diagnostics, Berlin, Germany).
Analyses were performed according to the manufacturer's instructions. For the determination of ACTH, 300 μl of plasma was used and one extra calibrator of a lower concentration (2.4 pg/ml) prepared by dilution of the lowest kit calibrator (4.8 pg/ml) with zero serum to increase sensitivity. All samples from one patient/control were processed in the same assay run.
Plasma free cortisol concentrations to estimate negative feedback inhibition on ACTH.
Plasma cortisol-binding globulin (CBG) and albumin concentrations were quantified in samples taken on five time points spread over the time course of the study. Plasma CBG was quantified with a commercially available radioimmunoassay (Riazen, Louvain-la-Neuve, Belgium). Plasma albumin was measured by the bromocresol green method with the Quantitative Colorimetric Albumin Determination Assay (BioAssay Systems, Hayward, CA). Based on total plasma cortisol, CBG, and albumin concentrations, free cortisol levels were calculated with the Coolens method, which was previously validated in critical illness (9, 39). Since CBG and albumin have a long plasma half-life, repeated measurement of plasma concentrations is not meaningful. Therefore, plasma concentrations of CBG and albumin were quantified at several time points spread over the study period (at 2130, 2340, 0130, 0340, and 0530). With use of the Coolens method, and using plasma CBG and albumin concentrations, free plasma cortisol concentrations were calculated. Because albumin levels are affected by critical illness, we adapted the Coolens formula for individual albumin concentrations:
where G = plasma CBG concentration (in μmol/l), T = plasma total cortisol concentration (in μmol/l), K = affinity of CBG for cortisol = 3.107 M−1, and
Plasma free cortisol concentration for the other time points of the study period was calculated with use of the average ratio of free over total plasma cortisol concentration in the five samples in which CBG and albumin was measured. The results from the adapted formula correlated tightly with those from the noncorrected formula (r2 = 0.99, P < 0.0001), and the difference between the two results was negligible.
Plasma cytokine concentrations.
Plasma TNFα and IL-6 concentrations were quantified on a single morning sample with commercial ELISAs (Invitrogen, Camarillo, CA).
Data analysis of time series.
To allow quantification of cortisol secretory profiles from plasma concentration time series and to estimate the cortisol secretory response to any given ACTH concentration, total plasma cortisol concentrations were required (21, 42). Plasma free cortisol concentrations were determined, as this is the active hormone fraction that mediates cortisol effects and thus also feedback inhibition.
ACTH and total cortisol plasma concentration time series were transformed into secretion profiles by using a multiple parameter deconvolution analysis implemented in Matlab (MathWorks, Natick, MA) (20). This method is designed to extract the two overlapping signals, basal (nonpulsatile) secretion rate and intermittent secretory bursts (no. and mass), from the raw time series based on a fixed half-life. For ACTH, a normal half-life was used for patients and controls (16). For cortisol, a distinct half-life for patients and controls was used, as determined recently (2). Mathematical coupling, or multiparameter interdependence, is an important issue and in older deconvolution methods limits parameter exactness. In the present model, as shown by comparison with earlier versions (42), parameter estimation is good from known synthetic time series due to the selection of a limited number of variables that are conceptually largely independent on a biological basis.
Dose response estimates of ACTH-cortisol drive were calculated as described recently (21) and consisted of a six-parameter logistic function, relating time-varying ACTH concentrations to delayed glandular cortisol secretion rates with allowable stochastic variability due to dynamic biological parameters. Specific dose response outcome parameters were 1) efficacy (asymptotic maximal ACTH-stimulated cortisol secretion rate), 2) potency [defined algebraically by a negative exponential term and functionally by the ACTH concentration driving half-maximal cortisol secretion (EC50)], and 3) adrenal sensitivity (maximal positive slope of the ACTH-cortisol dose response relationship). The six-parameter model contains two potencies (onset and offset) and a lag time (inflection point) to accommodate allowable downregulation of ACTH drive represented by a right-shifted inhibitory adaptation of the dose response process after the peak response to an ACTH concentration pulse (19, 41). As a consequence, in the two-potency model an onset EC50 and recovery or downregulated EC50 can be calculated.
ApEn and cross-ApEn were calculated as reported previously (25, 28). ApEn represents the likelihood that runs of patterns that are close for a number of observations remain close during future incremental comparisons (29), evaluates the consistency of subpatterns in sequential measurements, and estimates the relative contribution of confounding factors, with a larger ApEn corresponding to greater irregularity and thus more confounders. Additionally, cross-ApEn appraises the asynchrony between the patterns of two time series, which is expected to increase when additional regulators are present. It can be calculated in two directions, the forward cross-ApEn appraising feedforward regulation from ACTH to cortisol and the reverse cross-ApEn estimating feedback regulation from cortisol to ACTH (24, 25, 30).
Statistical analyses.
It was decided a priori to study 40 critically ill patients and eight demographically matched healthy controls to account for a larger variability in hormonal secretion rates among patients than among controls. With this sample size, a difference in pulsatile cortisol secretion of ±50% could be detected with a power of 80% and a two-tailed α-error level of 5%.
Statistical analyses were performed with JMP (version 10.0) (SAS Institute, Cary, NC). Data are presented as means ± SD or medians with interquartile ranges, as appropriate. We used the nonparametric Wilcoxon rank sum test for not-normally distributed data and unpaired Student's t-test for normally distributed data obtained after log transformation where required. Comparison of proportions was done by chi-square testing. Associations between parameters were analyzed with linear regression analysis after transformation to obtain an approximate normal distribution when required. The Pearson determination (r2) coefficient was calculated and its significance analyzed by analysis of variance. Two-sided P values of ≤0.05 were considered statistically significant. Data were presented as box plots, where boxes represent medians and interquartile ranges and whiskers are the 10th and 90th percentiles.
RESULTS
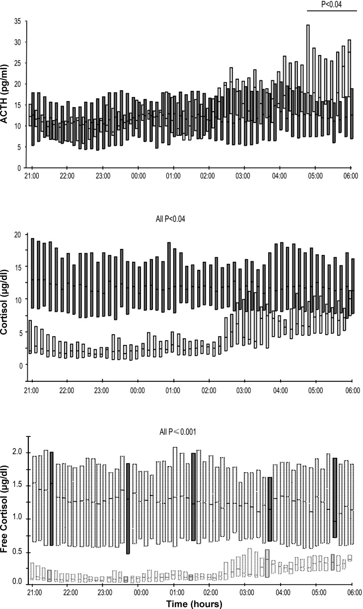
In healthy control subjects, diurnal rhythm was present for ACTH and cortisol, with higher plasma concentrations present in the early morning hours, whereas there was no diurnal rhythm detectable in patients (Fig. 1). Plasma free and total cortisol concentrations were constantly higher in patients than in controls (all P < 0.04), and ACTH concentrations were comparable in patients and controls until 0450, after which they were lower in patients (all P < 0.04) (Fig. 1). In line with results from previous studies, morning (at 0600) ACTH levels were lower [12.4 (6.6–19.2) pg/ml] in patients than in controls [27.5 (17.0–30.6) pg/ml] (P = 0.002), and morning cortisol levels were higher in patients [12.9 ± 7.7 μg/dl] than in controls [9.4 ± 2.1 μg/dl] (P = 0.01).
Fig. 1.
Adrenocorticotropic hormone (ACTH) and total and free cortisol plasma concentrations. Plasma ACTH and total cortisol concentrations in 40 patients (dark gray) and 8 controls (light gray) are depicted at top and middle, with box plots representing medians and interquartile ranges. Plasma ACTH concentrations were lower in patients than controls from 0450 onward. Plasma total and free cortisol concentrations (bottom) were always higher in patients than controls. Free cortisol was calculated with the Coolens method after plasma cortisol-binding globulin (CBG) and albumin concentrations were determined at 2130, 2340, 0130, 0340, and 0530 (filled bars at bottom). From the average ratio, free cortisol/total cortisol and free cortisol concentrations were estimated for the other time points (dashed bars at bottom). P values for group comparisons were determined by the Wilcoxon rank sum test. For conversion of ACTH to units from the International System of Units (SI units; pmol/l), multiply by 0.22. For conversion of cortisol to SI units (nmol/l), multiply by 27.6.
Plasma CBG concentrations were constantly lower in patients (29.5 ± 9.7 μg/ml) than in controls (41.8 ± 5.4 μg/ml, P < 0.0001). Moreover, plasma albumin concentrations were also lower in patients (2.8 ± 1.2 g/dl) than in controls (4.7 ± 0.4, P < 0.0001) in all samples. Consequently, calculated free cortisol was eightfold higher in patients [1.6 (0.7–2.2) μg/dl] than in controls [0.2 (0.1–0.3) μg/dl; P < 0.0001] (Fig. 1).
Deconvolution analysis of the ACTH time series revealed 31% lower pulsatile ACTH secretion in patients than in controls (P = 0.03), which was explained by a lower mass per ACTH burst (P = 0.02) with unaltered ACTH pulse frequency (P = 0.50) illustrated for one representative patient and one control in Fig. 2. Nonpulsatile secretion was similar in patients and controls (P = 0.80) (Fig. 3, A–D). There was no correlation between plasma total or free cortisol concentrations and ACTH secretion.
Fig. 2.
Illustrative ACTH and cortisol profiles. Illustrative plasma ACTH and cortisol concentration time series obtained by blood sampling every 10 min from 2100 to 0600 in 1 patient (dark gray lines) and 1 control subject (light gray lines). Top: measured (continuous curves) and model-estimated (interrupted curves) plasma concentration profiles. Bottom: estimated instantaneous secretion rates. For conversion of ACTH to SI units (pmol/l), multiply by 0.22. For conversion of cortisol to SI units (nmol/l), multiply by 27.6.
Fig. 3.
ACTH and cortisol deconvolution results. A and E: pulsatile ACTH and cortisol secretion rates during the study period in patients (n = 40) and in control subjects (n = 8). B and F: mass per ACTH and cortisol burst. C and G: no. of ACTH and cortisol pulses. D and H: nonpulsatile ACTH and cortisol secretion rates during the study period. Boxes represent medians and interquartile ranges, and whiskers are 10th and 90th percentiles. P values for group comparisons were determined by the Wilcoxon rank sum test. For conversion of ACTH to SI units (pmol/l), multiply by 0.22. For conversion of cortisol to SI units (nmol/l), multiply by 27.6.
Deconvolution analysis of the cortisol time series revealed 54% lower pulsatile cortisol secretion in critically ill patients than in controls (P = 0.005), which was explained by a lower mass per cortisol burst (P = 0.03) with a comparable cortisol pulse frequency (P = 0.35) illustrated for one representative patient and one control in Fig. 2. Nonpulsatile cortisol secretion was unaltered (P = 0.80; Fig. 3, E–H). There was no correlation between cortisol secretion and plasma (total and free) cortisol concentrations.
The plasma ACTH-concentration/cortisol-secretion dose response was similar in patients and controls (Table 2).
Table 2.
ACTH and cortisol dose response
| Patients (n = 40) | Controls (n = 8) | P Value | |
|---|---|---|---|
| Exponential potency onset | −7.7 (−12.6 to −3.8) | −6.9 (−9.4 to −3.9) | 0.69 |
| Exponential potency recovery | −19.4 (−39.3 to −10.9) | −39.7 (−40.0 to −18.8) | 0.08 |
| EC50 onset | 15.3 (7.7–25.7) | 9.0 (6.8–16.9) | 0.15 |
| EC50 recovery | 34.1 (18.5–97.6) | 44.2 (36.8–64.7) | 0.40 |
| Sensitivity | 0.51 (0.19–1.25) | 0.67 (0.39–0.91) | 0.76 |
| Efficacy, μg·dl−1·min−1 | 0.75 (0.14–1.55) | 0.24 (0.11–0.59) | 0.11 |
| Inflection point (10-min intervals)* | 1.0 (1.0–3.0) | 2.6 (1.0–2.9) | 0.60 |
Data are expressed as median (IQR). ACTH, adrenocorticotropic hormone.
No. of 10-min samples between onset and offset of the cortisol response to an ACTH pulse.
The ApEn of the ACTH plasma concentration time series was 25% higher (P = 0.03) and of cortisol 92% higher (P < 0.0001) in patients than in controls (Fig. 4, A and B). The forward cross-ApEn was 37% higher (P = 0.001) and the reverse cross-ApEn 68% higher in patients than in controls (P = 0.0001) (Fig. 4, C and D). Furthermore, the average plasma free cortisol concentration correlated positively with ACTH and cortisol ApEn (r2 = 0.11, P = 0.01, and r2 = 0.32, P < 0.0001, respectively) and with both cross-ApEns (Fig. 4, E and F).
Fig. 4.
Approximate entropy (ApEn) and cross-ApEn for ACTH and cortisol system regularity. A and B: ApEn of the ACTH and cortisol time series, with high levels indicating higher system irregularity, in patients (n = 40) and in control subjects (n = 8). C: cross-ApEn from ACTH to cortisol, a marker of feedforward regulation. D: cross-ApEn from cortisol to ACTH, a marker of feedback regulation. Boxes represent medians, and interquartile ranges and whiskers are the 10th and 90th percentiles. P values for group comparisons were determined by the Wilcoxon rank sum test. E and F: positive correlation (black line) between plasma free cortisol concentrations and the 2 cross-ApEn parameters in patients (dark gray) and control subjects (light gray line). The positive correlation was maintained when analyzed among patients only (dark gray line). P values for correlation were determined by analysis of variance.
During critical illness, morning plasma concentrations of TNFα and IL-6 were higher in patients [TNFα: 26.1 (16.0–38.1) pg/ml; IL6: 78.5 (35.1–226.0) pg/ml] than in healthy controls [TNFα: 8.8 (6.2–11.9) pg/ml, P = 0.0002; IL6: 5.6 (5.6–5.6) pg/ml, P < 0.0001]. Both cytokine levels correlated inversely, albeit weakly, with pulsatile cortisol secretion (TNFα: r2 = 0.09, P = 0.03; IL-6: r2 = 0.22, P = 0.0009). Furthermore, plasma concentrations of both of these cytokines correlated positively with cortisol ApEn (TNFα: r2 = 0.14, P = .007; IL-6: r2 = 0.28, P < 0.0001).
DISCUSSION
We documented that hypercortisolemia during critical illness coincided with a suppressed nocturnal pulsatile ACTH and cortisol secretion rates, whereas the cortisol secretory response to any given plasma ACTH concentration was unaltered. These findings speak against the classical dogma of an activated HPA axis in response to critical illness and instead suggest feedback inhibition exerted by circulating cortisol. The increased irregularity and asynchrony of the ACTH and cortisol time series further support such non-ACTH-dependent mechanisms contributing to hypercortisolism during critical illness that is elevated through alternative pathways. These comprise reduced plasma clearance of cortisol and also inferentially altered splanchnic innervation and local factors within the adrenal glands driving cortisol release (4).
Several studies have reported low plasma ACTH levels in the presence of elevated plasma cortisol in single samples of ICU patients, which has been referred to as the “paradoxical ACTH-cortisol dissociation” of critical illness (2, 26, 43). However, plasma hormone concentrations in single samples give little information about the dynamics of hormonal secretion. To document the dynamics of ACTH and cortisol secretion during critical illness, we transformed nocturnal plasma hormone profiles into deconvolution-derived hormonal secretion profiles, which demonstrated that both pulsatile ACTH and cortisol secretion are suppressed during critical illness (Fig. 3). Also in septic rats it was shown recently that, after an initial activation, suppression of ACTH occurs, mediated possibly by reduced orexin expression in the lateral hypothalamus (13). In our study, suppressed pulsatile ACTH still appeared to drive the (smaller) cortisol pulses in critical illness. Indeed, the pulses of both ACTH and cortisol secretion were reduced in size but not in number, and the ACTH-cortisol dose-response relationships were maintained as during health.
Suppressed rather than increased nocturnal pulsatile ACTH and cortisol secretion during critical illness is surprising in relation to the classic understanding of the HPA axis stress response. It is generally assumed that critical illness, considered to be a condition of severe physical stress, results in severalfold increased cortisol production, an assumption that explains why doses of hydrocortisone given to substitute a failing adrenal gland during critical illness are more than six times higher (±200 mg/day) than substitution doses for healthy subjects (±30 mg/day) (1, 34). Previously, we reported that the rate of appearance of cortisol, calculated with a stable isotope tracer infused during daytime, was only 1.8-fold higher in critically ill patients than in healthy matched controls in the presence of low morning plasma ACTH values (2). The current observation that overnight pulsatile cortisol secretion, calculated by deconvolution analysis, was not elevated at all during critical illness and was actually lower than in healthy matched subjects is likely explained by the loss of diurnal rhythm during critical illness. The nocturnal profiles indeed captured the early morning rise of ACTH and cortisol secretion in healthy subjects, which was clearly absent in patients. Ideally, 24-h profiles should be constructed to quantify the 24-h differences between patients and controls. This, however, represents a major challenge in the ICU without disturbing the diagnostic and therapeutic activities that are required for the daytime care of these patients. However, the nocturnal cortisol secretion documented in this study was only half that of healthy controls. Furthermore, we showed previously that cortisol production rate during the day, documented with isotopes, was not even a doubling of that of healthy subjects (2). Altogether, it can be estimated that 24-h cortisol production rates during critical illness may not be, or at best be only moderately, increased.
The co-occurrence of elevated plasma total and free cortisol concentrations with suppressed ACTH and cortisol secretion rates implies that alternative regulators of cortisol dynamics must be involved during critical illness This is corroborated by the lack of relation between plasma total and free cortisol levels and cortisol secretion, whereas (free) cortisol levels did correlate positively with the increased irregularity and asynchrony, as shown by increased ApEn and cross-ApEn values. Increasing evidence supports the existence of non-ACTH-mediated regulation of cortisol production, which involves cortico-medullary interactions, the neural input, the immune system, the vascular supply, growth factors, and the intraglandular renin-angiotensin and CRH-ACTH systems (14). This is further supported by the discovery of ectopic expression of membrane hormone receptors, which are functionally coupled to steroidogenesis by mimicking the cellular events triggered by ACTH receptor activation (23).
To identify the role of such non-ACTH-dependent mechanisms in critical illness remains a challenge. Proinflammatory cytokines have been shown to drive cortisol secretion independently of ACTH and are known to be increased in critical illness (6, 27, 36). In the current study. the correlation between the elevated cytokine levels with the measurements of irregularity and asynchrony might suggest such a role for cytokines, although the studied cytokines were found to correlate inversely, not positively, with cortisol secretion. A previous study also showed that injection of LPS reduces entropy measurements, rendering a major role of circulating cytokines less likely (31). Since cytokines are also produced locally within the adrenal gland by immune cells and adrenocortical cells, circulating levels alone may not account for the residual cortisol production. Next, the impact of the sympathoadrenomedullary system on the adrenal cortex was established in animal models, showing that splanchnic innervation may directly drive cortisol secretion and stimulate the adrenal ACTH-sensitivity (18, 37). Critical illness is hallmarked by an increased sympathetic tone (8). However, we observed that the adrenocortical sensitivity to ACTH was unaltered during critical illness. Also, exogenous catecholamines did not affect cortisol secretion, rendering a major role of catecholamines less likely. However, adrenal nerves are catecholaminergic and peptidergic, and besides catecholamines, these store a wide variety of neuropeptides, including opioid peptides, neuropeptide Y, vasoactive intestinal polypeptide, CRH, and substance P (14). The role of locally active neuropeptides during critical illness should be further investigated (4). In addition, cortisol-sensitive and -insensitive neural pathways could play a role (10, 11, 44). Finally, the adrenal medulla and intra-adrenal immune cells are a source of extrahypothalamic CRH and extrapituitary ACTH, which could also account for the residual cortisol production without an increase in circulating ACTH levels. However, a stimulatory effect on cortisol secretion of such local factors was not supported by the presented data, as nocturnal cortisol secretion was lower, not higher, in patients than in healthy controls (Fig. 3).
The current observations of a reduced pulsatile ACTH secretion and a reduced pulsatile cortisol secretion in the presence of elevated plasma levels of cortisol could be a consequence of the substantially suppressed metabolic clearance of cortisol during critical illness (2). Elevating circulating cortisol by reduced breakdown may cause a tonic-negative feedback inhibition on ACTH secretion. Such a mechanism would predominantly affect ACTH pulsatility via reducing the mass per ACTH pulse (7, 17, 22), as observed here, in turn leading to suppressed pulsatile cortisol secretion.
The loss of pulsatility in the ACTH and cortisol secretory profiles observed during critical illness may have important implications. Indeed, the pulsatile nature of cortisol secretion prevents desensitization of transcriptional responses in target tissues, and the pulsatile nature of ACTH release provides more effective signaling for the activation of the adrenal cortex than a constant ACTH stimulus (32, 33, 35). However, it is unknown whether it is the ACTH pulse amplitude or the pulse frequency that determines adrenocortical responsiveness. Because ACTH pulse frequency during critical illness was unaltered and the amplitude of the ACTH pulses was not completely lost, it is unclear whether the latter suffices to maintain adrenal cortex integrity/functionality or could contribute to adrenal atrophy in the prolonged phase of critical illness. Likewise, one could speculate that the loss of pulsatility in the cortisol secretory profiles may play a role in the tissue-specific cortisol resistance observed during critical illness (12, 38). This requires further investigation.
The previous studies on the relationship between ACTH and cortisol during critical illness have reported only single sample measurements, which precluded conclusions on the dynamics of the secretory profiles and the coupling between the two hormones. A strength of our study is that it used time series of sampling every 10 min for 9 h, which was found previously to allow accurate analysis of such dynamics (40). Interestingly, we found that the low values for ACTH in the morning blood samples were quite representative for the suppressed pulsatile ACTH secretion. The presented study also has some limitations. First, the study was performed overnight only, which precludes robust conclusions about the 24-h secretory profiles, as elaborated on above. Second, although a normal night atmosphere was pursued, healthy controls may have experienced a certain stress level because of the arterial line, the ICU context, and a disrupted sleep pattern evoked by frequent blood sampling.
In conclusion, nocturnal pulsatile secretion of ACTH and cortisol was found to be jointly suppressed during critical illness with a normal ACTH-cortisol dose response. The increased irregularity and asynchrony of the ACTH and cortisol time series further support non-ACTH-dependent mechanisms driving hypercortisolism during critical illness.
GRANTS
The work was funded by the Fund for Scientific Research, Flanders, Belgium (FWO G.0417.12 to G. Van den Berghe). G. Van den Berghe, via the Catholic University of Leuven, has received long-term structural research support by the Methusalem Program funded by the Flemish Government and holds an ERC Advanced Grant (AdvG-2012-321670) from the Ideas Program of the European Union 7th Framework Program. G. Meyfroidt is funded by the Fund for Scientific Research, Flanders, Belgium, as a senior clinical investigator (FWO 1846113N).
DISCLOSURES
The authors have no conflicts of interest, financial or otherwise, to disclose.
AUTHOR CONTRIBUTIONS
E.B., P.M., H.V., G.M., J.D.V., and G.V.d.B. conception and design of research; E.B. and H.V. performed experiments; E.B., P.M., H.V., G.M., F.G., P.J.W., and G.V.d.B. analyzed data; E.B., J.D.V., and G.V.d.B. interpreted results of experiments; E.B. and G.V.d.B. prepared figures; E.B. and G.V.d.B. drafted manuscript; E.B., P.M., H.V., G.M., F.G., P.J.W., J.D.V., and G.V.d.B. edited and revised manuscript; E.B., P.M., H.V., G.M., F.G., P.J.W., J.D.V., and G.V.d.B. approved final version of manuscript.
ACKNOWLEDGMENTS
We thank all patients, their relatives, and the healthy volunteers for participating in the study and clinical research assistants Alexandra Hendrickx and Sylvia Van Hulle for their help with data collection. The ICU nurses, with special thanks to Jurgen Neven, are acknowledged for their help with blood sampling, as are Sarah Vander Perre and Inge Derese for technical assistance and Willy Coopmans and Eric Vanherck for help with optimizing the RIA analyses. The attending physicians and nurses are acknowledged for compliance with the study protocols and help with consenting.
REFERENCES
- 1.Annane D, Sebille V, Charpentier C, Bollaert PE, Francois B, Korach JM, Capellier G, Cohen Y, Azoulay E, Troche G, Chaumet-Riffaud P, Bellissant E. Effect of treatment with low doses of hydrocortisone and fludrocortisone on mortality in patients with septic shock. JAMA 288: 862–871, 2002 [DOI] [PubMed] [Google Scholar]
- 2.Boonen E, Vervenne H, Meersseman P, Andrew R, Mortier L, Declercq PE, Vanwijngaerden YM, Spriet I, Wouters PJ, Vander Perre S, Langouche L, Vanhorebeek I, Walker BR, Van den Berghe G. Reduced cortisol metabolism during critical illness. N Engl J Med 368: 1477–1488, 2013 [DOI] [PMC free article] [PubMed] [Google Scholar]
- 3.Bornstein SR. Predisposing factors for adrenal insufficiency. N Engl J Med 360: 2328–2339, 2009 [DOI] [PubMed] [Google Scholar]
- 4.Bornstein SR, Chrousos GP. Clinical review 104: Adrenocorticotropin (ACTH)- and non-ACTH-mediated regulation of the adrenal cortex: neural and immune inputs. J Clin Endocrinol Metab 84: 1729–1736, 1999 [DOI] [PubMed] [Google Scholar]
- 5.Bornstein SR, Engeland WC, Ehrhart-Bornstein M, Herman JP. Dissociation of ACTH and glucocorticoids. Trends Endocrinol Metab 19: 175–180, 2008 [DOI] [PubMed] [Google Scholar]
- 6.Bornstein SR, Rutkowski H, Vrezas I. Cytokines and steroidogenesis. Mol Cell Endocrinol 215: 135–141, 2004 [DOI] [PubMed] [Google Scholar]
- 7.Carroll BJ, Iranmanesh A, Keenan DM, Cassidy F, Wilson WH, Veldhuis JD. Pathophysiology of hypercortisolism in depression: pituitary and adrenal responses to low glucocorticoid feedback. Acta Psychiatr Scand 125: 478–491, 2012 [DOI] [PMC free article] [PubMed] [Google Scholar]
- 8.Chernow B, Lake CR, Barton M, Chobanian S, Zaloga GP, Casey LC, Fletcher JR. Sympathetic nervous system sensitivity to hemorrhagic hypotension in the subhuman primate. J Trauma 24: 229–232, 1984 [DOI] [PubMed] [Google Scholar]
- 9.Coolens JL, Van Baelen H, Heyns W. Clinical use of unbound plasma cortisol as calculated from total cortisol and corticosteroid-binding globulin. J Steroid Biochem 26: 197–202, 1987 [DOI] [PubMed] [Google Scholar]
- 10.Dallman MF. Neuroendocrine regulation of stimulated ACTH secretion. J Physiol (Paris) 77: 951–954, 1981 [PubMed] [Google Scholar]
- 11.Dallman MF, Yates FE. Anatomical and functional mapping of central neural input and feedback pathways of the adrenocortical system. Proc R Soc Med 60: 904–905, 1967 [DOI] [PMC free article] [PubMed] [Google Scholar]
- 12.Deutschman CS. Steroid responses in sepsis: some novel thinking that may provide new insight. Crit Care 17: 147, 2013 [DOI] [PMC free article] [PubMed] [Google Scholar]
- 13.Deutschman CS, Raj NR, McGuire EO, Kelz MB. Orexinergic activity modulates altered vital signs and pituitary hormone secretion in experimental sepsis. Crit Care Med 41: e368–e375, 2013 [DOI] [PMC free article] [PubMed] [Google Scholar]
- 14.Ehrhart-Bornstein M, Hinson JP, Bornstein SR, Scherbaum WA, Vinson GP. Intraadrenal interactions in the regulation of adrenocortical steroidogenesis. Endocr Rev 19: 101–143, 1998 [DOI] [PubMed] [Google Scholar]
- 15.Hellman L, Nakada F, Curti J, Weitzman ED, Kream J, Roffwarg H, Ellman S, Fukushima DK, Gallagher TF. Cortisol is secreted episodically by normal man. J Clin Endocrinol Metab 30: 411–422, 1970 [DOI] [PubMed] [Google Scholar]
- 16.Iranmanesh A, Lizarralde G, Veldhuis JD. Coordinate activation of the corticotropic axis by insulin-induced hypoglycemia: simultaneous estimates of beta-endorphin, adrenocorticotropin and cortisol secretion and disappearance in normal men. Acta Endocrinol (Copenh) 128: 521–528, 1993 [DOI] [PubMed] [Google Scholar]
- 17.Iranmanesh A, Veldhuis JD. Hypocortisolemic clamp unmasks jointly feedforward- and feedback-dependent control of overnight ACTH secretion. Eur J Endocrinol 159: 561–568, 2008 [DOI] [PMC free article] [PubMed] [Google Scholar]
- 18.Ishida A, Mutoh T, Ueyama T, Bando H, Masubuchi S, Nakahara D, Tsujimoto G, Okamura H. Light activates the adrenal gland: timing of gene expression and glucocorticoid release. Cell Metab 2: 297–307, 2005 [DOI] [PubMed] [Google Scholar]
- 19.Keenan DM, Iranmanesh A, Veldhuis JD. Analytical construct of reversible desensitization of pituitary-testicular signaling: illustrative application in aging. Am J Physiol Regul Integr Comp Physiol 300: R349–R360, 2011 [DOI] [PMC free article] [PubMed] [Google Scholar]
- 20.Keenan DM, Roelfsema F, Biermasz N, Veldhuis JD. Physiological control of pituitary hormone secretory-burst mass, frequency, and waveform: a statistical formulation and analysis. Am J Physiol Regul Integr Comp Physiol 285: R664–R673, 2003 [DOI] [PubMed] [Google Scholar]
- 21.Keenan DM, Roelfsema F, Veldhuis JD. Dose-response downregulation within the span of single interpulse intervals. Am J Physiol Regul Integr Comp Physiol 299: R11–R18, 2010 [DOI] [PMC free article] [PubMed] [Google Scholar]
- 22.Keenan DM, Veldhuis JD. Cortisol feedback state governs adrenocorticotropin secretory-burst shape, frequency, and mass in a dual-waveform construct: time of day-dependent regulation. Am J Physiol Regul Integr Comp Physiol 285: R950–R961, 2003 [DOI] [PubMed] [Google Scholar]
- 23.Lacroix A, Ndiaye N, Tremblay J, Hamet P. Ectopic and abnormal hormone receptors in adrenal Cushing's syndrome. Endocr Rev 22: 75–110, 2001 [DOI] [PubMed] [Google Scholar]
- 24.Liu PY, Pincus SM, Keenan DM, Roelfsema F, Veldhuis JD. Analysis of bidirectional pattern synchrony of concentration-secretion pairs: implementation in the human testicular and adrenal axes. Am J Physiol Regul Integr Comp Physiol 288: R440–R446, 2005 [DOI] [PubMed] [Google Scholar]
- 25.Liu PY, Pincus SM, Keenan DM, Roelfsema F, Veldhuis JD. Joint synchrony of reciprocal hormonal signaling in human paradigms of both ACTH excess and cortisol depletion. Am J Physiol Endocrinol Metab 289: E160–E165, 2005 [DOI] [PubMed] [Google Scholar]
- 26.Michalaki M, Margeli T, Tsekouras A, Gogos CH, Vagenakis AG, Kyriazopoulou V. Hypothalamic-pituitary-adrenal axis response to the severity of illness in non-critically ill patients: does relative corticosteroid insufficiency exist? Eur J Endocrinol 162: 341–347, 2010 [DOI] [PubMed] [Google Scholar]
- 27.Path G, Bornstein SR, Ehrhart-Bornstein M, Scherbaum WA. Interleukin-6 and the interleukin-6 receptor in the human adrenal gland: expression and effects on steroidogenesis. J Clin Endocrinol Metab 82: 2343–2349, 1997 [DOI] [PubMed] [Google Scholar]
- 28.Pincus S, Singer BH. Randomness and degrees of irregularity. Proc Natl Acad Sci USA 93: 2083–2088, 1996 [DOI] [PMC free article] [PubMed] [Google Scholar]
- 29.Pincus SM. Greater signal regularity may indicate increased system isolation. Math Biosci 122: 161–181, 1994 [DOI] [PubMed] [Google Scholar]
- 30.Pincus SM, Mulligan T, Iranmanesh A, Gheorghiu S, Godschalk M, Veldhuis JD. Older males secrete luteinizing hormone and testosterone more irregularly, and jointly more asynchronously, than younger males. Proc Natl Acad Sci USA 93: 14100–14105, 1996 [DOI] [PMC free article] [PubMed] [Google Scholar]
- 31.Rassias AJ, Holzberger PT, Givan AL, Fahrner SL, Yeager MP. Decreased physiologic variability as a generalized response to human endotoxemia. Crit Care Med 33: 512–519, 2005 [DOI] [PubMed] [Google Scholar]
- 32.Sarabdjitsingh RA, Conway-Campbell BL, Leggett JD, Waite EJ, Meijer OC, de Kloet ER, Lightman SL. Stress responsiveness varies over the ultradian glucocorticoid cycle in a brain-region-specific manner. Endocrinology 151: 5369–5379, 2010 [DOI] [PubMed] [Google Scholar]
- 33.Spiga F, Waite EJ, Liu Y, Kershaw YM, Aguilera G, Lightman SL. ACTH-dependent ultradian rhythm of corticosterone secretion. Endocrinology 152: 1448–1457, 2011 [DOI] [PMC free article] [PubMed] [Google Scholar]
- 34.Sprung CL, Annane D, Keh D, Moreno R, Singer M, Freivogel K, Weiss YG, Benbenishty J, Kalenka A, Forst H, Laterre PF, Reinhart K, Cuthbertson BH, Payen D, Briegel J. Hydrocortisone therapy for patients with septic shock. N Engl J Med 358: 111–124, 2008 [DOI] [PubMed] [Google Scholar]
- 35.Stavreva DA, Wiench M, John S, Conway-Campbell BL, McKenna MA, Pooley JR, Johnson TA, Voss TC, Lightman SL, Hager GL. Ultradian hormone stimulation induces glucocorticoid receptor-mediated pulses of gene transcription. Nat Cell Biol 11: 1093–1102, 2009 [DOI] [PMC free article] [PubMed] [Google Scholar]
- 36.Torpy DJ, Bornstein SR, Chrousos GP. Leptin and interleukin-6 in sepsis. Horm Metab Res 30: 726–729, 1998 [DOI] [PubMed] [Google Scholar]
- 37.Ulrich-Lai YM, Arnhold MM, Engeland WC. Adrenal splanchnic innervation contributes to the diurnal rhythm of plasma corticosterone in rats by modulating adrenal sensitivity to ACTH. Am J Physiol Regul Integr Comp Physiol 290: R1128–R1135, 2006 [DOI] [PubMed] [Google Scholar]
- 38.van den Akker EL, Koper JW, Joosten K, de Jong FH, Hazelzet JA, Lamberts SW, Hokken-Koelega AC. Glucocorticoid receptor mRNA levels are selectively decreased in neutrophils of children with sepsis. Intensive Care Med 35: 1247–1254, 2009 [DOI] [PMC free article] [PubMed] [Google Scholar]
- 39.Vanhorebeek I, Peeters RP, Vander Perre S, Jans I, Wouters PJ, Skogstrand K, Hansen TK, Bouillon R, Van den Berghe G. Cortisol response to critical illness: effect of intensive insulin therapy. J Clin Endocrinol Metab 91: 3803–3813, 2006 [DOI] [PubMed] [Google Scholar]
- 40.Veldhuis JD, Iranmanesh A, Johnson ML, Lizarralde G. Amplitude, but not frequency, modulation of adrenocorticotropin secretory bursts gives rise to the nyctohemeral rhythm of the corticotropic axis in man. J Clin Endocrinol Metab 71: 452–463, 1990 [DOI] [PubMed] [Google Scholar]
- 41.Veldhuis JD, Iranmanesh A, Roelfsema F, Aoun P, Takahashi P, Miles JM, Keenan DM. Tripartite control of dynamic ACTH-cortisol dose responsiveness by age, body mass index, and gender in 111 healthy adults. J Clin Endocrinol Metab 96: 2874–2881, 2011 [DOI] [PMC free article] [PubMed] [Google Scholar]
- 42.Veldhuis JD, Keenan DM, Pincus SM. Motivations and methods for analyzing pulsatile hormone secretion. Endocr Rev 29: 823–864, 2008 [DOI] [PMC free article] [PubMed] [Google Scholar]
- 43.Vermes I, Beishuizen A, Hampsink RM, Haanen C. Dissociation of plasma adrenocorticotropin and cortisol levels in critically ill patients: possible role of endothelin and atrial natriuretic hormone. J Clin Endocrinol Metab 80: 1238–1242, 1995 [DOI] [PubMed] [Google Scholar]
- 44.Yates FE, Brennan RD, Urquhart J. Application of control systems theory to physiology. Adrenal glucocorticoid control system. Fed Proc 28: 71–83, 1969 [PubMed] [Google Scholar]




