Abstract
LIN, J.-Y., J. Arthurs and S. Reilly. Conditioned taste aversion: Palatability and drugs of abuse. NEUROSCI BIOBEHAV REV XX(x) XXX-XXX, 2014. – We consider conditioned taste aversion to involve a learned reduction in the palatability of a taste (and hence in amount consumed) based on the association that develops when a taste experience is followed by gastrointestinal malaise. The present article evaluates the well-established finding that drugs of abuse, at doses that are otherwise considered rewarding and self-administered, cause intake suppression. Our recent work using lick pattern analysis shows that drugs of abuse also cause a palatability downshift and, therefore, support conditioned taste aversion learning.
Keywords: Conditioned taste aversion, Palatability, Danger signal, Taste avoidance learning, Taste reactivity, Drugs of abuse, Lick pattern analysis
1. Introduction
Humans, like other animals, learn to avoid eating poisonous food. Two mechanisms defend against self-poisoning: taste neophobia and conditioned taste aversion (CTA). Taste neophobia limits the ingestion of an unknown, potentially poisonous food. If the novel food proves harmless then the neophobia habituates. However, if aversive postingestive consequences occur then a CTA develops and the taste is avoided on later encounters. In the real world, the food is poisonous, but in the laboratory, to afford greater experimental control, we typically use discrete stimuli for the gustatory (i.e., a taste) and visceral stimulation (i.e., poison); the former is termed the conditioned stimulus (CS), the latter is called the unconditioned stimulus (US). CTA ensures that poisonous foods are consumed neither by accident nor mistake. It is widely agreed that CTA causes a reduction in the hedonic value of the taste CS, a property commonly referred to as palatability. Thus, the reduction in CS intake, the traditional and most commonly employed measure of CTA, can be viewed as a consequence of the conditioned reduction in palatability. However, as the quest to discover the singular nature of the US responsible for CTA acquisition became a major focus of research, the function of CTA was, we believe, somewhat obscured from sight. This was particularly highlighted when drugs of abuse were used as the US. How can an otherwise rewarding drug induce a CTA? Some theorists resolve this issue by claiming that drugs of abuse are possessed of both rewarding and aversive properties whereas others simply deny that drugs cause CTAs. However, recent results from our laboratory indicate that drugs of abuse induce, as defined above, CTAs. Furthermore, this research encourages the speculation that drug-induced CTAs could be false positives. The present article details how we arrived at this analysis and how, in so doing, we find ourselves advocating a view of CTA that is both more comprehensive and more basic than we have previously realized. We begin by describing some relevant characteristics of CTA and the distinction between CTA and taste avoidance learning. Thereafter, two approaches to the assessment of taste palatability, taste reactivity and lick pattern analysis, are introduced along with discussion about how each methodology has been used to benefit our understanding of taste learning.
2. Important features of conditioned taste aversion
“ … I have succeeded in giving him an absolute disgust for all intoxicating liquors, which I hope not even his father or his father’s friends will be able to overcome … I therefore gave him quite as much [wine] as his father was accustomed to allow him - as much indeed, as he desired to have, but into every glass I surreptitiously introduced a small quantity of tartar-emetic - just enough to produce inevitable nausea and depression without positive sickness. Finding such disagreeable consequences invariably to result from this indulgence, he soon grew weary of it, but the more he shrank from the daily treat the more I pressed it upon him, till his reluctance was strengthened to perfect abhorrence. When he was thoroughly disgusted with every kind of wine, I allowed him, at his own request, to try brandy and water and then gin and water; for the little toper was familiar with them all, and I was determined that all should be equally hateful to him. This I have now effected; and since he declares that the taste, the smell, the sight of any one of them is sufficient to make him sick, I have given up teasing him about them … I wish this aversion to be so deeply grounded in his nature that nothing in after life may be able to overcome it.” Anne Bronte (1848/1994, pp. 288–289) The Tenant of Wildfell Hall.
As the quote above shows, CTA was recognized, if not quite by name most certainly by description, long before Garcia initiated the laboratory study of the phenomenon in the 1950s (e.g., Garcia & Kimeldorf, 1957; Garcia, Kimeldorf & Hunt, 1956; Garcia, Kimeldorf, Hunt & Davies, 1956; Garcia, Kimeldorf & Koelling, 1955). In this seminal research, Garcia and colleagues used ionizing radiation as the US. Other categories of events that are effective USs for the induction of CTAs include motion sickness (e.g., Arwas, Rolnick, & Lubow, 1989; Braun & McIntosh, 1973; Fox, Corcoran, & Brizzee, 1990; Green & Rachlin, 1973; Hutchison, 1973) and, of course, poisons or toxins like cyclophosphamide and lithium chloride (LiCl; e.g., Ader, Grota, & Buckland, 1978; Dragoin, 1971; Garcia, Ervin, & Koelling, 1966, 1967; Garcia & Koelling, 1966; Kalat & Rozin, 1970; Nachman & Ashe, 1973; Wittlin & Brookshire, 1968; for a more comprehensive list see Riley & Tuck, 1985). What these USs share in common is the capacity to produce what has variously been called visceral discomfort or distress, emesis, illness, malaise, nausea, sickness, or toxicosis, and which we will term gastrointestinal malaise (GIM).
Commensurate with a mechanism that evolved to defend animals against the repeated ingestion of naturally occurring foodborne poisons/toxins that threaten survival (e.g., Garcia & Ervin, 1968; Garcia, Hankins, & Rusiniak, 1974), CTA has a number of special, perhaps unique, features. To begin, CTAs are readily acquired after a single pairing of the taste CS and a GIM-inducing US (e.g., Garcia et al., 1955; Nachman & Ashe, 1973; Revusky & Garcia, 1970; Rozin, 1986). Moreover, CTAs occurs even when many hours separate the CS from the US (e.g., Andrews & Braveman, 1975; Domjan & Bowman, 1974; Etscorn & Stephens, 1973; Garcia et al., 1966; McLaurin & Scarborough, 1963; Nachman, 1970; Nachman, & Jones, 1974; Revusky, 1968; Smith & Roll, 1967). The rapidity of learning and the long temporal delays between the component events capture the fundamental value of this mechanism and the fact that the orosensory properties of the food (the CS) and the post-ingestive consequences (the US) are naturally separated in time as the ingested food travels from the mouth and along the gastrointestinal tract; a mechanism possessed of neither of these properties would be of little value in defending the body against ingested poisons. A somewhat underappreciated fact is that CTAs can be obtained even if the animal is deeply anesthetized after consumption of the CS but before administration of the US (e.g., Bermudez-Rattoni, Forthman, Sanchez, Perez, & Garcia, 1988; Buresova & Bures 1977, 1986; Rabin & Rabin, 1984, 1986; Roll & Smith, 1972; Welzl, Alessandri, & Baettig, 1990). This finding is important for at least two reasons: first, it indicates that CTAs can be acquired without “conscious” awareness and, second, it demonstrates that the CTA mechanism is blind to the origin of the US. That is, the mechanism merely associates a prior taste with subsequent GIM, irrespective of the origin of the US. From an evolutionary perspective, this makes CTA a highly effective, if blunt, protection mechanism. The downside, however, is that we develop CTAs in situations where we certainly know that the taste did not cause the subsequent GIM, as exemplified by the food aversions induced by “the flu” (Seligman, 1972), a surfeit of alcohol (Dickinson, 2008), or chemotherapy (Bernstein, 1985; Scalera & Bavieri, 2009).
As a defense mechanism, CTA serves to protect the individual after the first taste-GIM pairing has occurred. On first exposure to a new food, taste neophobia restricts intake due to fear of the potentially debilitating and life threatening postingestive consequences (e.g., Barnett, 1956, 1958; Best & Barker, 1977; Brigham & Sibly, 1999; Carroll, Dinc, Levy & Smith, 1975; Corey, 1978; Domjan, 1977; Garcia, Hankin, Robinson & Vogt, 1972; Green & Parker, 1975; Rzoska, 1953). Thus, an innate mechanism (taste neophobia) works in tandem with a learning mechanism (CTA) to protect against the self-administration of a poisonous food. It should also be noted that learning occurs much more readily when the CS is novel prior to association with the US, a general phenomenon termed latent inhibition (Lubow, 1989, 2009; Lubow & Moore, 1959). With regard to taste stimuli, robust CTAs develop most quickly when the taste is novel (and thus potentially dangerous) than when it is familiar (and known to be safe), as repeatedly shown in the literature (Best, 1975; Domjan, 1972; Elkins, 1973; Kalat, 1974; Revusky & Bedarf, 1967; Siegel, 1974). Indeed, a CTA develops to a novel taste even if a familiar taste intervenes between the new taste and the poison US (e.g., Ahlers & Best, 1971; Revusky, 1971; Revusky & Bedarf, 1967; Wittlin & Brookshire, 1968), a characteristic that prevents the acquisition of an inappropriate aversion to a familiar food during a meal that includes a new, toxic item.
Another special feature of CTA concerns the cue to consequence specificity of learning. In a landmark study, Garcia and Koelling (1966) reported that rats made nauseous (with LiCl or x-rays) following exposure to novel taste/audiovisual compound stimulus, acquired much stronger aversions to the taste stimulus than to the audiovisual component. On the other hand, if the compound stimulus was followed by external pain (electric shocks to the paws) much stronger aversions were developed to the audiovisual component than to the taste stimulus (see also Domjan & Wilson, 1972; Garcia, McGowan, Ervin & Koelling, 1968; Green, Bouzas, & Rachlin, 1972; Miller & Domjan, 1981a, b). This double dissociation of function supports the view that tastes (i.e., internal stimuli) are more readily associated with internal malaise whereas audiovisual cues (i.e., external stimuli) are more readily associated with external pain (e.g., Garcia & Ervin, 1968; Garcia et al., 1974). The findings reported by Garcia and Koelling (1966) were largely received with skepticism and doubt given that equipotentiality - the assumption that the laws of learning are independent of the nature of the components events (cues, stimuli, responses, reinforcers) - was the prevailing view at that time. However, it is a common enough experience that we develop aversions to the foods we eat rather than the plates from which we eat the food, the waiter who served the dish or, thankfully, the persons with whom we were dining (e.g., Seligman, 1972). Furthermore, as detailed in the next section, it is not that external aversive stimulation does not influence intake of the taste CS. Rather, it is that internal aversive stimulation suppresses consumption of a taste CS with alacrity.
Conditioned taste aversion has many other important aspects and features that are not germane to present purposes and the reader is directed towards the following books and edited volumes for additional detail: Barker, Best, & Domjan, 1977; Braveman & Bronstein, 1985; Bures, Bermudez-Rattoni & Yamamoto, 1998; Burish, Levy, & Meyerowitz, 1985; Milgram, Krames & Alloway, 1977; Reilly & Schachtman, 2009.
3. Conditioned taste aversion and taste avoidance learning
As first shown by Garcia and Koelling (1966), GIM is a more effective US than external pain in reducing ingestion of a taste CS. But, what is the nature of the learning acquired when GIM or pain is employed as the US with a taste CS? Or, more specifically, do changes occur to the palatability of a taste CS paired with each type of US? Since direct tests of palatability were not available at that time, indirect methods were used to address this issue. For example, Garcia, Kovner and Green (1970), in an article entitled “Cue properties vs palatability of flavors in avoidance learning,” reported the results of two experiments, one with a footshock US, the other involving LiCl. In the first experiment, rats had access to two tastants, one available at either end of a shuttle box. Using short-duration trials (on the order of a few minutes), licking for one tastant was interrupted with mild footshocks whereas no shocks occurred when licking for the other tastant. After 20+ trials (4 trials/day maximum), the rats had learned to refrain from consuming the shock-paired tastant and to drink the safe tastant. Interestingly, this taste suppression was context-specific in that it only occurred in the shuttle box and was not evident in the home cage, where the rats avidly consumed the shock-associated tastant. In the second experiment, however, rats refrained from drinking the tastant previously paired with the LiCl US irrespective of whether the taste CS was presented in the training context or the home cage. Garcia et al. concluded that in each experiment the taste CS acquired properties that reflected the nature of the associated US. That is, whereas the LiCl US devalued the palatability of the taste CS, there was no such influence of the shock US (the CS served only as a signal for the impending shock). Thus, according to Garcia’s view of these and similar results, a distinction begins to emerge between CTA, which involves a reduction in volume consumed as well as a decrease in palatability, and what might be termed taste avoidance learning (TAL), in which a fear-mediated reduction in volume consumed occurs in the absence of a downshift in the palatability of the associated taste CS. So, the taste CS becomes a signal for danger, presumably much like an auditory or visual CS does when paired with a shock US. We have represented Garcia’s view in Figure 1, which shows that external pain influences the signal value of the associated taste CS (TAL) whereas GIM reduces the palatability of the stimulus (CTA).
Fig. 1.

Garcia’s account of conditioned taste aversion and taste avoidance learning. Taste aversions develop when a taste experience is followed gastrointestinal malaise (GIM) that causes a reduction in both the palatability and amount consumed of the tastant. However, when taste is paired with external pain, the taste may become a signal for danger or fear and, consequently, the tastant is avoided, but external pain does not change the palatability of the associated taste conditioned stimulus.
A later study from Garcia’s laboratory is also instructive about the nature of the learning that occurs when a taste CS is paired with an external pain US. Brett (1977) acclimated rats to drinking in 60 sec fluid access trials. During the experiment proper, a taste stimulus was substituted for water and a footshock was delivered at the mid-point of each taste trial. The important finding from this study was that, rather than learning to suppress their intake across the entire 60 sec of the taste trials, the rats learned to avoid drinking during the first 30 sec and to consume the taste CS avidly after the shock was delivered. Garcia and colleagues viewed these results as evidence that although a taste CS can function as a signal for the shock US, the palatability of the taste is not devalued by the shock (for further discussion of this viewpoint see Garcia, Brett & Rusiniak, 1989; Garcia & Hankins, 1977; Garcia, McGowan & Green, 1972).
A different approach to the issue of changes in the palatability of a taste CS paired with poison is seen in reports concerning predator-prey relationships (e.g., Gustavson, Garcia, Hankins, & Rusiniak, 1974; Gustavson et al., 1976; see also Forthman-Quick, Gustavson & Rusiniak, 1985; Gustavson & Gustavson, 1985; Gustavson et al., 1983.). Following one or two meals, in which LiCl capsules were placed inside dead prey or pieces of meat wrapped in appropriate fur, wild carnivores displayed clear CTAs. As described by Garcia et al. (1977), conditioned responses such as retching and vomiting occurred as well as “… conditioned disgust responses reflecting the changed hedonic tone of the prey flavor.” These patterns of acquired behaviors were taken as support for the idea that CTA influences the palatability of the CS.
The use of disgust reactions in the assessment of the palatability of the associated food or taste CS in feral animals finds an interesting parallel in the work of Steiner (e.g., 1973, 1974, 1979), who was examining the behavior exhibited by human infants to taste stimuli. Steiner’s research revealed that newborn infants display characteristic patterns of orofacial responses dependent upon the palatability of the tastant, findings that have been replicated and extended in many other species (e.g., Berridge, 2000; Steiner, Glaser, Hawilo & Berridge, 2001). Keyed off an interest in the study of the behavioral capacities of the decerebrate rat, an independent approach was developing (Norgren, 2013, personal communication) that married detailed analysis of orofacial and somatic responses with a technique that afforded precise experimental control over the intraoral delivery of the tastant (Grill & Norgren, 1978a, b; Pfaffmann, Norgren & Grill, 1977). It was a short step from the examination of tastants with inherent hedonic value to the investigation of conditioned changes in palatability occasioned by the induction of CTAs (Grill & Norgren, 1978c). Thus, it is to the taste reactivity test that we now turn.
4. Taste reactivity and palatability
Aphagic and adipsic, decerebrate rats show little spontaneous behavior and therefore their gustatory capacities cannot be evaluated with voluntary intake tests. Grill and Norgren circumvented this problem by infusing sapid stimuli directly into the mouth via a cannula surgically implanted into the rat’s cheek. This arrangement permitted the controlled delivery of minute volumes of solution (50 μl), an amount which guarantees that the evoked responses are exclusively keyed off the orosensory properties of the unconditioned tastants. Off-line analysis of the videotaped reactions of neurologically intact rats to standard tastants revealed that the evoked behavioral responses could be grouped into two categories: ingestive and aversive (Grill & Norgren, 1978a, b; Pfaffmann et al., 1977; for reviews see Berridge, 2000; Grill, 1985; Grill & Berridge, 1985; Grill, Spector, Schwartz, Kaplan & Flynn, 1987). As described by Grill and Norgren (1978a, b) the ingestive sequence involves three orofacial responses: rhythmic mouth movements, rhythmic symmetric tongue protrusions and lateral tongue protrusions, which all occur while the rat is motionless. The aversive sequence involves one orofacial response, gaping (which might also be termed retching), and five somatic responses: chin rubbing, headshaking, face washing, flailing of the forelimbs and paw wiping, all of which occur against a background of increased general activity. Ingestive and aversive responses are so called because they are associated with, respectively, swallowing of the sapid solution or rejection of the stimulus from the mouth. Many taste stimuli evoke mixed patterns of ingestive and aversive responses (Berridge, 2000; Berridge & Grill, 1983, 1984). However, some tastants evoke primarily one or other sequence of responses. The quintessential examples are sucrose for ingestive responses and quinine for aversive responses. Indeed, the distinct patterns of stereotypic taste reactivity responses evoked by these two stimuli are considered hallmarks that reflect the extremes of palatability (e.g., Berridge, 2000; Grill, 1985; Parker, 1995, 2003). There is considerable evidence that taste reactivity provides a behavioral assessment of palatability that is consistent across mammalian species (e.g., Steiner & Glaser, 1984, 1995; Steiner, Glaser, Hawilo & Berridge, 2001). The unconditioned responses to stimuli that humans find palatable and unpalatable serve as the first of four categories of evidence that will be presented to demonstrate that taste reactivity is a valid and effective measure of taste palatability.
A second line of evidence supporting taste reactivity as a measure of palatability is that ingestive or aversive sequences of orofacial/somatic responses are not a fixed property of sapid stimuli. Physiological need states, which alter human evaluations of taste palatability (Booth, Mather & Fuller, 1982; Cabanac, 1971), also modulate taste reactivity responses in rats. For instance, a hypertonic sodium chloride stimulus infused into the mouth elicits aversive taste reactivity responses in sodium replete rats but evokes ingestive taste reactivity responses in sodium deplete rats (Berridge, Flynn, Schulkin, & Grill, 1984; Berridge & Schulkin, 1989). Thirdly, pharmacological treatments that enhance taste palatability in humans (e.g., benzodiazepines; Cooper, 2005; Haney, Comer, Fischman, & Foltin, 1997) also increase ingestive taste reactivity responses in rats (Gray & Cooper, 1995; Parker, 1991a; Söderpalm & Hansen, 1998). The final category of evidence we will consider involves conditioned changes in taste reactivity and will be addressed in next section.
4.1. Taste reactivity and GIM-inducing USs
The first published experiment to investigate conditioned changes in taste palatability was reported by Grill and Norgren (1978c), and involved both neurologically intact and chronic decerebrate rats. The results, purely descriptive, state that decerebrate rats neither acquired nor retained conditioned aversions to taste CSs even after multiple conditioning trials1 whereas normal rats substituted rejection responses for ingestive responses after a single CS-US pairing. This basic finding, that a GIM-inducing US supports a reduction in the palatability of the associated taste CS in normal animals, has been replicated in numerous reports using intraoral infusions and monitoring taste reactivity responses including: Berridge, Grill & Norgren, 1981; Breslin et al., 1992; Cordick, Parker & Ossenkopp, 1999; Davies & Wellman, 1990; Eckel & Ossenkopp, 1996; Flynn, Grill, Schulkin & Norgren, 1991; Parker, 1998; Spector, Breslin & Grill, 1988. In an experiment that highlights the “snapshot” nature of the taste reactivity method, Spector et al. (1988) tracked the formation of a CTA in food and water replete rats by first injecting LiCl (or, in the control group, saline) and then monitoring responses to a tastant (0.55 ml of 0.1 M sucrose infused over 30 sec) once every 5 min for 30 min. As shown in Figure 2, over the course of the conditioning trial there was a decrease in ingestive responses (i.e., tongue protrusions, lateral tongue protrusions, mouth movements and lip flairs) and a concomitant increase in aversive responses (i.e., gapes, chin rubs, head shakes and forelimb flails) to sucrose infusions in the LiCl group (see Breslin et al., 1992, for additional data analyses and discussion). These results, we believe, indicate an important aspect of aversion-induced shifts in taste palatability as assessed with taste reactivity: as the frequency of ingestive responses decreases the occurrence of aversive responses increases. In this way, the palatability of a taste CS paired with LiCl-induced toxicosis shifts from positive to negative.
Fig. 2.
Mean (±SE) frequency of ingestive (panel A: lateral tongue protrusions, lip flairs, mouth movements, tongue protrusions) and aversive responses (panel B: gapes, chin rubs, head shakes, forelimb flails) elicited during 30-second intraoral infusions of 0.1 M sucrose at 5-minute intervals following an injection of lithium chloride (LiCl; 3.0 mEq/kg) or saline (Saline). Figures redrawn from Spector et al. (1988).
As shown in this brief overview of four categories of evidence, the taste reactivity test is a valid method with which to evaluate the intrinsic palatability of taste stimuli. We now turn to research that has employed the taste reactivity test to evaluate the nature of taste learning using other types of USs: pain and drugs of abuse.
4.2. Taste reactivity and pain-inducing USs
It will be recalled from Section 2 that Garcia suggested a distinction between CTA and TAL, induced with GIM and external pain, respectively. Research reviewed in the previous section (see also Section 5.2) supports the view that CTAs involve a downshift in the palatability of the taste CS. To our knowledge, only one study, that of Pelchat, Grill, Rozin and Jacobs (1983), has used taste reactivity methods to examine whether pain-inducing USs support conditioned changes in the palatability of the associated CS in naïve rats. In a paper entitled “Quality of acquired responses to tastes by Rattus norvegicus depends on type of associated discomfort” Pelchat et al. used external pain (caused by footshock), internal pain (produced by the malabsorption of ingested lactose) and, for comparison purposes, LiCl-induced nausea, as the USs in procedures that involved voluntary consumption. Consistent with Garcia’s analysis, Pelchat et al. found that LiCl caused a downshift in the palatability of the taste CS (i.e., ingestive responses occurred in fewer animals and aversive responses were shown by more animals). They also found that neither external pain nor internal pain USs influenced the number of rats displaying ingested or aversive orofacial responses.
Pelchat et al. concluded that following pairings with either type of pain US the taste becomes a signal for danger and that the acquired anticipatory behavior involves a reduction of CS intake but no change in palatability. Overall, much like Garcia before them, Pelchat et al. favored a distinction between CTA (induced by USs that cause GIM) and TAL (keyed off USs that cause pain). Of course, Garcia’s account related to external pain as the US whereas the Pelchat et al. analysis extended TAL to include USs that cause either external or internal pain. Pelchat et al. is one of the few studies to monitor taste reactivity responses during voluntary intake and serves as an invaluable initial report on taste learning induced with pain USs.
4.3. Taste reactivity and drug of abuse USs
Beginning in the late 1960s, it was discovered that drugs of abuse could suppress intake of an associated taste CS, the traditional behavioral hallmark of CTAs (e.g., Berger, 1972; Cappell & LeBlanc, 1971; Cappell, LeBlanc, & Endrenyi, 1973; Carey, 1973; Davison & House, 1975; Goudie, Dickins & Thornton, 1978; Kay, 1975; Le Magnen, 1969; Nachman, Lester, & Le Magnen, 1970; Nathan & Vogel, 1975; Riley, Jacobs, & LoLordo, 1978; Vogel & Nathan, 1975; for reviews see Davis & Riley, 2010; Hunt & Amit, 1987; Riley, 2011). Complicating the straightforward interpretation that drugs of abuse induce CTAs is the simple fact that the same drugs are self-administered by humans and other animals and support conditioned place preference learning (see Bardo & Bevins, 2000; Carr, Fibiger, & Phillips; 1989; Jaffe, 1970; Schechter & Calcagnetti, 1993; Schuster & Thompson, 1969; Tzschentke, 1998, 2007; van Rees, 1979; Weeks, 1962). Indeed, the same drug administration can be used to concurrently induce CTA and conditioned place preference (Reicher & Holman, 1977; Verendeev & Riley, 2011; Wang, Huang, & Hsiao, 2010; White, Sklar, Amit, 1977).
How can drugs of abuse that are known to be rewarding and are used recreationally by humans also support CTAs? The most straightforward interpretation is to acknowledge that drugs have multifaceted properties that can support both reward learning and induce CTAs (e.g., Goudie, 1979; Huang & Hsiao, 2008; Verendeev & Riley, 2012, 2013; Wise, Yokel & DeWit, 1976). Alternatively, could it be that drugs of abuse cause a suppression of CS intake by a mechanism other than CTA? Gamzu (1977; Gamzu, Vincent & Boff, 1985; see also Hunt & Amit, 1987), for example, proposed the drug-novelty hypothesis in which drugs are thought to cause a change in homeostasis and that this altered state is classified as potential harmful and dangerous. By this analysis, the drug-induced US state does not involve GIM, the US state responsible for poison-induced CTAs. Perhaps, then, drugs of abuse cause TAL rather than CTAs.
In a series of important studies, Parker and colleagues have employed taste reactivity methodology to determine the nature of drug-induced taste suppression. These studies have examined a large array of psychoactive drugs including: amphetamine (Parker, 1988, 1991b; Parker & Carvell, 1986; Zalaquett & Parker, 1989), apomorphine (Parker & Brosseau, 1990), cocaine (Mayer & Parker, 1993; Parker, 1993), lysergic acid diethylamide (Parker, 1996), methamphetamine (Parker, 1993), methylphenidate (Parker, 1995), morphine (Parker, 1988, 1991b), nicotine (Parker, 1991b; Parker & Carvell, 1986), pentobarbital (Parker, Limebeer & Rana, 2009), phencyclidine (Parker, 1993), and Δ9-tetrahydrocannabinol (Parker & Gilles, 1995). Figure 3 shows the results from an experiment that typifies this research series (Parker, 1991b). Spaced 24- or 48-hr apart, non-deprived rats were given a two-min infusion of the CS (0.5 M sucrose) followed by an immediate injection of amphetamine (A; 1, 2, 5, or 10 mg/kg) or saline (Saline) or LiCl (L; 12, 25, or 50 mg/kg) on Trials 1–5. As is clear from inspection of Figure 3A, the duration of ingestive responding (mouth movements, tongue protrusions, paw licks) deceased across trials in each group, except for the saline control animals. On the other hand, Figure 3B shows that although each experimental group showed a numerical increase in aversive responses (gapes, chin rubs, paw treads) across trials, significant increases were reported for only the three doses of LiCl and the highest dose of amphetamine. The pattern of performance in the amphetamine groups was predicted on the basis that the three low doses of amphetamine support conditioned place preference learning (e.g., Kruszewska, Romandini, & Samanin, 1986) whereas the 10-mg/kg dose is non-rewarding or aversive (e.g., Wall, Hinson, Schmidt, Johnston, & Streather, 1990).
Fig. 3.
Mean (±SE) duration (seconds) of ingestive responses (panel A: tongue protrusions, paw licks, mouth movements) and mean frequency of aversive responses (panel B: gapes, chin rubs, paw treads) elicited during six, two-minute trials in which in 0.5 M sucrose was followed by injections of saline (S), amphetamine (A) or lithium chloride (L); numbers indicate doses in mg/kg. Figures redrawn from Parker (1991b).
This pattern of results has encouraged the view (Parker, 1988, 1995, 1998, 2003; 2014a, b) that there are two qualitatively distinct mechanisms responsible for taste learning. The first mechanism, CTA, involves a conditioned reduction in the palatability of the taste CS, whereas the second mechanism, TAL, involves a conditioned reduction in volume consumed in the explicit absence of any reduction in taste palatability. In effect, the illness-associated CS is itself aversive because it has become an unpleasant, disgusting taste, whereas the drug-associated CS is avoided because it signals danger (i.e., the unpleasant internal effects occasioned by a drug-induced disruption of homeostasis). According to this account, then, drug-induced taste suppression is an avoidance response mediated by conditioned fear.
The foregoing work with drug USs guided Limebeer and Parker (2000) to reevaluate the nature of LiCl-induced taste learning. This was achieved by examining the influence of ondansetron, an antiemetic agent, on performance evoked by a LiCl-associated taste CS. Limebeer and Parker reported that the pharmacological treatment significantly suppressed taste reactivity rejection responses but had no influence on the level of intake suppression2. These results were taken as evidence that LiCl in particular, and emetics in general, have two functions in taste learning: CTA and TAL. First, keyed off their nausea-inducing properties, emetics produce an increase in conditioned rejections responses (i.e., a downshift in palatability). Second, it was argued that emetics, like drugs of abuse, cause a fear-inducing disturbance in homeostasis and that this fear is the US responsible for taste avoidance. By this analysis, the taste CS associated with an emetic US becomes disgusting but disgust does not cause or influence intake suppression. Rather, like the taste CS associated with a drug of abuse or pain US, the taste CS associated with an emetic US is avoided because it signals danger (for reviews see Parker 2003, 2014a, b; Parker et al., 2009). We have illustrated our understanding of Parker’s analysis in Figure 4.
Fig. 4.

Parker’s account of conditioned taste aversion and taste avoidance learning. Emetics are considered to possess two independent properties, which we have labeled Emetics 1 and Emetics 2. The first property is nausea, which supports conditioned increases in taste reactivity rejection responses (e.g., gaping) but nausea has no influence whatsoever on intake of the taste CS. In Parker’s view taste avoidance learning (a reduction in intake in the absence of a change in palatability) is a conditioned fear response caused by either pain (keyed off internal or external stimulation) or a disturbance in homeostasis consequent to administration of either a drug of abuse or an emetic.
Before moving to the next section it is necessary first to discuss some issues with the interpretation of the experiments presented in the preceding few paragraphs. In many of the taste reactivity studies 0.5 M sucrose served as the CS (see Parker, 1995). But, the use of a CS with such high caloric value may not have been optimal. Although using a voluntary intake procedure with food-deprived animals, Gomez and Grigson (1999) reported that the effectiveness of the US (LiCl, morphine or cocaine) varied as a function of the concentration of the sucrose CS (0.1 M, 0.3 M or 0.5 M): for all three USs, significant intake suppression (relative to saline control animals) occurred after 5 conditioning trials with 0.1 M sucrose but none of the USs supported conditioned suppression of the 0.5 M sucrose CS by the seventh and final trial. Whether learning would have occurred with more conditioning trials is a moot issue. What is clear, however, is that learning progressed slowly even when the CS was 0.1 M sucrose. These results prompt questions about whether the addition of more conditioning trials would obtain evidence of a significant increase in aversive responses in taste reactivity studies. In other words, is the difference in learning, purportedly revealed with taste reactivity analysis, between GIM-inducing USs and psychoactive drug USs quantitative rather than qualitative?
On a related issue, gaping (the primary dependent measure employed in many of the drug studies) detects only the more extreme aspects of aversion. This sensitivity issue is germane because rats do not engage in the mild-moderately aversive mid-face grimace responses that are observed in human and non-human primates (e.g., Steiner & Glaser, 1984, 1995; Steiner, Glaser, Hawilo & Berridge, 2001). If only very strong aversive stimuli induce the gaping (or retching) response then, one wonders whether GIM is simply a more effective US than drugs of abuse in producing detectable changes in the occurrence of aversive taste reactivity responses3. Finally, the absence of drug-induced downshifts in taste palatability, claimed by Parker and colleagues, is primarily based on the absence of significant increases in aversive taste reactivity responses following conditioning. However, drug of abuse USs do cause a substantial and significant reduction in the occurrence of ingestive taste reactivity responses (see, for example, top panel of Figure 3). Does this conditioned decrease in ingestive responding have any relevance to our understanding of the nature of drug-induced taste learning? Might such changes indicate mild or moderate levels of taste aversion? One way to address these interpretational issues is to use an alternative method to assess taste palatability. Surprisingly, this approach was not taken until recently and the evidence obtained with lick pattern analysis during voluntary drinking, to be reviewed in the next section, indicates that drug of abuse USs induce a downshift in the palatability of the associated taste CS.
5. Lick pattern analysis and palatability
The alternative approach to taste reactivity methodology for the assessment of taste palatability involves analysis of the microstructure of licking during voluntary drinking (Davis, 1989, 1998). In this situation, ingestive behavior is influenced by orosensory and postingestive stimulation. During a typical trial, which may vary in duration from a few minutes to an hour or more across studies, rats produce sustained runs of rapid licks (herein termed clusters) that are interrupted by pauses (Allison & Castellan, 1970; Corbit & Luschei, 1969; Davis, 1996a; Davis & Smith, 1992; Stellar & Hill, 1952). For each trial a number of measures can be computed including: cluster size (average number of licks per cluster), number of clusters, and inter-cluster interval (average duration of the pauses between clusters).
Like taste reactivity methodology, the same four categories of evidence (unconditioned responses, physiological and pharmacological manipulations, and conditioned responses keyed off GIM-inducing USs) indicate that lick pattern analysis is a valid approach to the assessment of taste palatability. The microstructural analysis of licking was first used to study the ingestion of unconditioned taste stimuli. This basic research revealed that not all lick measures are relevant to the assessment of palatability (e.g., Breslin, Davis & Rosenak, 1996; Davis, 1996b; Davis & Smith, 1992; Dwyer, 2008; Spector, Klumpp, & Kaplan, 1998; Spector & Smith; 1984). Inter-cluster intervals, for example, separate into two categories: short (average duration ~1.5 sec) and long (average duration 60+ sec). Video analysis reveals that short inter-cluster intervals are temporary interruptions in licking whereas long inter-cluster intervals are due to the rat moving away from the spout and engaging in other behaviors such as exploring or grooming. The occurrence of long inter-cluster intervals suggests that post-ingestive stimulation is controlling behavior (Davis, 1996a). Similarly, the number of clusters is also considered to reflect the influence of post-ingestive feedback on ingestion (Davis, & Smith, 1992; Davis, Smith, Singh & McCann, 2001).
On the other hand, lick cluster size does vary with the hedonic value of taste stimuli. To illustrate, for unconditionally preferred stimuli such as sugars and other sweet-tasting solutions cluster size monotonically increases as concentration increases (e.g., Davis, 1996b; Davis & Smith, 1992; Dwyer, 2008; Spector et al., 1998; Spector & Smith; 1984). It is important to note that the volume consumed of such tastants bears an inverted U-shaped function with concentration such that intake peaks at midrange concentrations (e.g., Beck, 1967; Ernits & Corbit, 1973; McCleary, 1953; Richter & Campbell, 1940). Thus, cluster size is independent of volume consumed. With regard to unconditionally nonpreferred stimuli such as quinine, cluster size monotonically decreases as concentration increases (Hsiao & Fan, 1993; Spector & St. John, 1998). In addition to cluster size, initial lick rate (licks during the first few minutes) also is established as a sensitive measure of palatability. That is, initial lick rate shows a positive monotonic relationship with increasing concentration of sweet-tasting stimuli and a negative monotonic function with increasing concentrations of bitter-tasting solutions (Davis & Levine, 1977; Young, 1967).
Like the taste reactivity test, lick pattern analysis is sensitive to changes in hedonic value occasioned by shifts in physiological need state and to pharmacological treatments known to modulate palatability in humans. Specifically, sodium depletion substantially elevates the palatability of sodium chloride (assessed using initial lick rate) relative to sodium replete rats (Breslin, Kaplan, Spector, Zambito, Grill, 1993; Breslin, Spector, Grill, 1993; D’Aquila, Rossi, Rizzi, & Galistu, 2012). Similarly, benzodiazepines enhance taste palatability as revealed by increases in both initial rates of licking and lick cluster size (e.g., Higgs & Cooper, 1996, 1997, 1998, 2000). Before presentation of the final category of evidence showing that lick pattern analysis is a valid index of taste palatability, and to maintain the order of the natural occurrence of the phenomena, taste neophobia will be discussed before GIM-induced CTAs.
5.1. Lick pattern analysis and taste neophobia
CTA affords no protection from the US on the first exposure to a toxic food. The simple expedient on initial encounter with an unknown food or taste is to limit intake such that any toxic postingestive consequences are minimized. In the absence of negative internal aftereffects taste intake increases across exposures until asymptote is achieved for the now familiar and safe taste. Thus, as previously noted, taste neophobia and CTA work in concert to protect against the self-administration of poisonous food. An appreciation of the nature of taste neophobia might inform our understanding of CTA. Is taste neophobia a type of avoidance behavior in which intake is reduced while palatability is unaffected? Or, alternatively, does taste neophobia restrict intake by modulating palatability?
Our first attempt to address this issue involved taste reactivity methodology. We (Neath, Limebeer, Reilly & Parker, 2010) reasoned that if the transition from novel to familiar involves a change in taste palatability then the occurrence of ingestive orofacial responses (i.e., forward and lateral tongue protrusions) should increase in frequency across repeated exposures to the tastant. No such effect was found. Interestingly, the level of intraoral exposure to the tastant was sufficient to attenuate the neophobic responses when subsequently assessed with a voluntary intake test. Overall, these results seemed to favor the view that taste neophobia does not influence palatability and that it is best characterized as a reluctance to approach the novel tastant. However, we also acknowledged that null effects are never definitive and cautioned that the parameters may not have been optimal for the detection of changes in palatability. Accordingly, we switched methodologies and employed lick pattern analysis to investigate whether taste neophobia influences palatability in a voluntary intake task.
Using our standard procedure (e.g., Lin, Roman, Arthurs & Reilly, 2012; Lin, Roman, St. Andre & Reilly, 2009), Lin, Amodeo, Arthurs and Reilly (2012) examined the neophobic reactions of separate groups of water-deprived rats to three tastants: saccharin, quinine and Polycose. Saccharin and quinine were chosen because they each show a pronounced neophobic reaction in terms of volume consumed; Polycose was included to extend the generality of the work of Barot and Bernstein (2005) that this tastant does not support a neophobic response. The results of this study are shown in Figure 5.
Fig. 5.
Taste neophobia. Mean (±SE) performance of separate groups of rats given four 15-min exposure trials to 0.5% saccharin, 0.0001 M quinine or 30% Polycose. Panels A, D, and G = intake; panels B, E and H = cluster size; panels C, F and I = initial lick rate (total licks during the first 3 min following the first lick). Figures redrawn with permission from Lin, Amodeo et al. (2012).
In terms of overall intake, each tastant showed the expected pattern of results (i.e., significantly reduced intake on trial 1 for saccharin and quinine but not Polycose). However, each tastant showed a significant increase in cluster size and initial lick rate over the course of the four exposures. That is, the palatability of saccharin, quinine and Polycose increased as the initial neophobic response habituated. Thus, we concluded that palatability is modulated by taste neophobia. Furthermore, if neophobia is characterized as a fear response then these results suggest that fear of the unknown postingestive consequences of a new tastant can modulate taste palatability. This analysis is noteworthy because, in the context of non-emetics (e.g., pain and drugs of abuse) serving as the US, it has been argued that although fear causes the avoidance of a taste CS it does not influence the palatability of that stimulus (Parker et al., 2009; Pelchat et al., 1983; Rana & Parker, 2007, 2008). Thus, the results of Lin, Amodeo et al. (2012) raise some doubt about the nature of TAL established with pain-inducing agents and drugs of abuse.
Curiously, the habituation of Polycose-induced neophobia was evidenced only by an increase in palatability; the numerical increase in amount consumed from trial 1 to trial 2 was not significant. We suspect that this apparent dissociation between palatability and intake may be due to a ceiling effect on intake of the highly caloric Polycose. Before drawing strong conclusions about the meaning of the results from this one concentration of Polycose we believe it would be informative to repeat the experiment with a range of concentrations to obtain a clearer picture of the neophobic reactions to Polycose, a stimulus that has a number of unusual qualities according to Barot and Bernstein (2005).
5.2. Lick pattern analysis and GIM-inducing USs
To the best of our knowledge, Davis and Perez (cited in Davis, 1998) were the first researchers to use lick analysis to examine the palatability of a flavor associated with GIM. Although few details were reported about this unpublished study, it seems clear (see Figure 10 of Davis, 1998) that contingent LiCl pairings reduced the volume consumed and the initial lick rate (number of licks in first minute) of the associated Kool Aid CS. A much more comprehensive analysis of the conditional shift in CS palatability was provided by Baird, St. John and Nguyen (2005) using a procedure that required voluntary ingestion of LiCl (which served as the CS and US). The results show that, in addition to volume consumed, cluster size and initial lick rate (number of licks in the first minute) were all significantly lower during the second LiCl trial relative to the first. Using a more conventional CTA procedure in which separate events serve as CS and US, comparable results were reported by Arthurs, Lin, Amodeo, and Reilly (2012), Dwyer (2009), Dwyer, Boakes and Hayward (2008), and Lin et al. (2013), all of which used LiCl-induced toxicosis as the US. As an example of the pattern of results obtained with lick pattern analysis, Figure 6 depicts data from Arthurs et al. (2012) in which intake (Figure 6A), cluster size (Figure 6B) and initial lick rate (Figure 6C) of the taste CS (0.15% saccharin) were each significantly reduced. These data clearly demonstrate, like the congruent taste reactivity results presented in Section 4.1, that a conditioned downshift in palatability is an attribute of CTA learning. Indeed, we are inclined to the view that the conditioned reduction in taste palatability causes the decrease in consumption that has long been the defining index of CTA.
Fig. 6.
Mean (±SE) conditioned stimulus (0.15% saccharin)-directed performance across two conditioning trials and one taste only test trial in rats given contingent injections of isotonic saline (Control) or lithium chloride (LiCl; 0.037 M at 1.33 ml/100g body weight). Panel A, intake; panel B, cluster size; panel C, initial lick rate (total licks during the first 3 min following the first lick). Figures redrawn from Arthurs et al. (2012).
Overall, then, the same four categories of evidence that show taste reactivity is an effective method of palatability assessment also support the same conclusion about lick pattern analysis. Indeed, the correspondence of results has been used to cross-validate these two approaches to taste palatability assessment (e.g., Myers & Sclafani, 2001a, 2001b). However, we have also seen in taste neophobia a case where these approaches have obtained different results. In our view each approach has its own set of strengths and weaknesses, and it is important to address questions of palatability from multiple angles. Determination of the relative merits of each approach should be viewed as an empirical issue that is best evaluated on a case-by-case basis. Similarities and differences from such comparisons will, undoubtedly, afford a more refined appreciation of each method of analysis as well as a better understanding of taste palatability.
5.3. Lick pattern analysis and pain-inducing USs
Pelchat et al. (1983), as far as we are aware, is the only study using naïve rats to examine whether an internal pain US supports a shift in palatability of the associated taste CS. In that study, voluntary ingestion of lactose (a US causing lower gastrointestinal tract discomfort) suppressed intake of lactose at test to 0.5 ml or less but did not influence the pattern of orofacial/somatic taste reactivity responses evoked by the taste of lactose. We (Lin et al., 2013) recently re-examined the issue using our standard CTA procedure in which separate events serve as CS and US. That is, water deprived rats were given pairings of a CS (0.1% saccharin) with internal pain USs generated by intraperitoneal administration of either gallamine (10 mg/kg) or hypertonic (1.0 M) saline or, for comparison purposes, LiCl; isotonic saline was used in lieu of a US in the control group. Gallamine, like curare, causes muscular paralysis and pain by blocking cholinergic transmission at the neuromuscular junction (Cull-Candy & Miledi, 1983; Mishra & Ramzan, 1992) whereas hypertonic saline is a well-established laboratory model of visceral pain in rats (Collier & Schneider, 1969; Giesler & Liebeskind, 1976). To avoid the need for artificial respiration and to reduce mortality rate, the dose of gallamine was one quarter of that employed by Ionescu and Buresova (1977) and the same as that used by Lett (1985). Ionescu and Buresova found no evidence of gallamine-induced taste suppression in a one-trial learning procedure whereas Lett, using a complex, multi-trial experimental design that combined conditioned place aversion and CTA and pitted gallamine against LiCl as USs, reported mild suppression of the taste CS by gallamine.
Other than a higher intake of the CS on Trial 1 (occasioned by the use of a less concentrated saccharin solution), the LiCl data reported by Lin et al. (2013) were identical to those shown in Figure 6; that is, significant reductions in intake, cluster size and initial lick rate were obtained. The gallamine results are summarized in Figure 7. Although two or three CS-US pairings were needed, gallamine not only suppressed intake but it also significantly reduced palatability as assessed with cluster size and initial lick rate. Because no significant changes in performance were found with the hypertonic saline US, a second experiment was conducted in which the parameters were modified to optimize the detection of group differences. The second experiment yielded significant changes in intake and palatability of the saccharin CS associated with the hypertonic saline US. Thus, except for the rate of acquisition, the patterns of results obtained with gallamine and hypertonic saline where essentially the same as those obtained with LiCl. Differences in the rate of acquisition raise the interesting question of whether or not relatedness of the US to the gustatory system is a key factor in the rapidity of CTA learning. That is, aversive stimuli that act directly on the gastrointestinal system may lead to more rapid CTA acquisition than internal aversive stimuli acting at sites distal to the gastrointestinal system. Muscular pain (gallamine) and visceral pain (hypertonic saline), then, supported the same CS-directed performance profile as gastrointestinal malaise (LiCl), producing conditioned reductions in volume consumed and taste palatability. These findings demonstrate, for the first time we believe, that internal pain can support the acquisition of CTAs. It will be of great theoretically interest to determine with lick pattern analysis whether other types of internal pain (e.g., lactose4) are, like gallamine and hypertonic saline, effective USs that support CTA acquisition. For a similar reason, more research using external pain USs, including foot shocks, will benefit and refine our understanding of TAL and CTA.
Fig. 7.
Mean (±SE) conditioned stimulus (0.1% saccharin)-directed performance during five conditioning trials and one taste only test trial in rats given contingent injections of isotonic saline (Control) or gallamine hydrochloride (Gallamine; 10 mg/kg). Panel A, intake; panel B, cluster size; panel C, initial lick rate (total licks during the first 3 min following the first lick). Figures redrawn with permission from Lin et al. (2013).
5.4. Lick pattern analysis and drug of abuse USs
As demonstrated with taste reactivity methodology, drug of abuse USs are considered to produced TAL, a type of taste learning that is viewed as qualitatively different from CTA because the former, unlike the latter, involves no shift in the palatability of the associated taste CS (e.g., Parker, 1995, 1998, 2003; Parker et al., 2009). To our knowledge, Dwyer et al. (2008; Experiment 2) was the first study to use lick pattern analysis to investigate the nature of drug-induced taste suppression. These authors found no downshift in palatability of a saccharin CS after a single pairing with an amphetamine US, although there was a significant decrease in volume consumed.
Dwyer et al. (2008) viewed their results as supportive of Parker’s TAL account of drug-induced taste suppression. However, given the evidence showing that the preconditioning reward value of the taste CS may influence the strength of drug-induced suppression (Gomez & Grigson, 1999; Grigson, 1997), this interpretation may be premature. Therefore, we (Lin, Arthurs et al., 2012) conducted experiments to determine the influence of an amphetamine US on consumption of CSs that differed in their intrinsic reward value prior to conditioning.
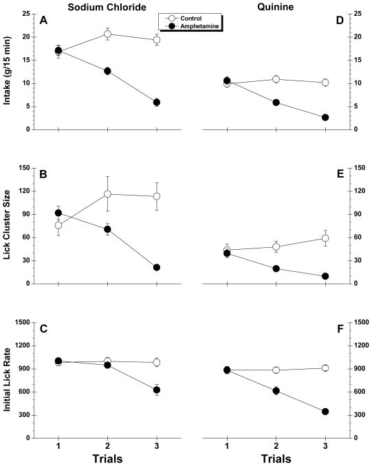
As in our prior work with LiCl-induced CTA learning, Lin, Arthurs et al. (2012) used water-deprived rats given 15-min per trial access to the CS followed by administration of the psychoactive drug US, or saline in the control groups. To equate exposure across animals, the control groups were injected with the US drug 24-h later. It might be noted that conditioning trials did not occur until baseline water intake was stable across all dependent measures, an approach that takes many more baseline days than what is typically employed in the CTA literature. In the three experiments, amphetamine (1 mg/kg) was paired with a preferred taste (0.1 M sodium chloride), a non-preferred taste (0.00003 M quinine hydrochloride) or a neutral, nontaste cue (0.02% aqueous orange odor, which retronasally stimulates the olfactory epithelia); internal evidence was presented in support of this characterization of the CSs. The results of these experiments are shown in Figures 8 and 9.
Fig. 8.
Mean (±SE) conditioned stimulus (0.1 M sodium chloride or 0.00003 M quinine)-directed performance across two conditioning trials and one taste only test trial in rats given contingent injections of isotonic saline (Control) or d-amphetamine sulfate (Amphetamine; 1 mg/kg). Panels A and D, intake; panels B and E, cluster size; panels C and F, initial lick rate (total licks during the first 3 min following the first lick). Figures redrawn from Lin, Arthurs et al. (2012).
Fig. 9.
Mean (±SE) conditioned stimulus (0.02% aqueous orange odor)-directed performance across five conditioning trials and one taste only test trial in rats given contingent injections of isotonic saline (Control) or d-amphetamine sulfate (Amphetamine; 1 mg/kg). Panel A, intake; panel B, cluster size; panel C, initial lick rate (total licks during the first 3 min following the first lick). Figures redrawn from Lin, Arthurs et al. (2012).
As is readily evident from inspection of Figures 8A and 8D, the amphetamine US significantly reduced intake of each taste CS. Similarly, a significant decrease in cluster size (see Figures 8B and 8E) and initial lick rate (see Figures 8C and 8F) was obtained for the sodium chloride and quinine CSs. Although more conditioning trials were required, the amphetamine US had the same influence on the intake and palatability of the odor CS (see Figure 9). These results demonstrate that a drug of abuse can conditionally reduce the palatability of taste and odor stimuli. Because a reduction in palatability is taken as evidence of aversion, we concluded that amphetamine supports CTA and conditioned odor aversion.
To evaluate whether the results of Lin, Arthurs et al. (2012) were specific to amphetamine, in a second set of experiments (Arthurs et al., 2012) we examined whether a similar conditioned reduction in palatability could be obtained with a morphine US (15 mg/kg); for comparison purposes, amphetamine (1 mg/kg) and LiCl (0.037 M at 1.33 ml/100g) were also tested. The CS (0.15% saccharin) was held constant across all three USs. The results showed that morphine, like amphetamine and LiCl, supported significant reductions in the intake and palatability of the associated saccharin CS.
As note above, our work with drug of abuse USs and the lick pattern analysis of palatability was intended to determine the generality of the null finding reported by Dwyer et al (2008). Although our work has some similarities with the Dwyer et al. experiment, there were many design and parametric differences (including initial value of the CS, number of conditioning trials, durations of CS, the CS-US interval and the inter-trial interval). Any one or all of these differences might have influenced the outcome. What is clear, however, is that two drug of abuse USs, amphetamine and morphine, have been shown to cause a downshift in the palatability of the associated CS.
6. Palatability assessments: resolving the interpretational differences
Interpretation of the role of drug of abuse USs in taste learning seemingly turns on the method of palatability assessment. We believe that this difference may be more apparent than real. It is important to note that the results obtained with lick pattern analysis cannot be attributed to the use of higher, more aversive doses of drug USs in our studies. In fact, the opposite is true. That is, using taste reactivity methodology, a dose of 10 mg/kg or more of amphetamine is needed before significant aversive orofacial responses begin to emerge (Parker, 1982, 1984, 1991b; Parker & Carvell, 1986; Parker & MacLeod, 1991; Zalaquett & Parker, 1989). Similarly, as assessed with the taste reactivity test, an 80-mg/kg dose of morphine failed to support a conditioned reduction in the palatability of the associated taste CS (Parker, 1991b) whereas the dose in our lick pattern analysis experiment was 15 mg/kg.
The foregoing analysis encouraged a re-examination of the taste reactivity results and suggests that the apparent absence of conditioned palatability downshifts in this literature may be a matter of definition. As previously discussed (see Section 4.3), it is claimed that drug of abuse USs do not cause a significant increase in aversive taste reactivity responses. In many cases, however, the contingent administration of a drug US produced a significant reduction in ingestive responding. To illustrate, Figure 3A (estimated from Parker, 1991b) shows the mean duration of ingestive responses across six sucrose-amphetamine trials. Relative to Trial 1 durations of 30–35 sec, the three highest doses of amphetamine (2, 5 and 10 mg/kg) completely suppressed ingestive responding after three conditioning trials (results that are highly comparable with those of the LiCl groups). Indeed, one presumes that even the low dose (1 mg/kg) of amphetamine suppressed ingestive responding by Trial 6. In addition to amphetamine, this reduction in ingestive responses has been found with many other drug USs, including, for example, cocaine, phencyclidine and methamphetamine (Parker, 1993), methylphenidate (Parker, 1995), morphine (Parker, 1988), and a low dose of nicotine (Parker, 1991b; Parker & Carvell, 1986); these drugs, it was reported, had no significant influence on the occurrence of aversive responses. This pattern of conditioned reductions in the frequency of ingestive responses can be viewed as evidence that drugs of abuse devalue the taste CS, a conclusion that is consistent with the interpretation derived from lick pattern analysis.
It should be acknowledged that each approach to palatability assessment, lick pattern analysis and taste reactivity, has interpretational predispositions. Lick pattern analysis is a continuous measure and therefore palatability is evaluated along a single continuum or dimension, which ranges from positive to negative. On the other hand, taste reactivity can be viewed as one- or two-dimensional depending upon whether reduction in ingestive responses and increase in aversive/rejection responses are viewed as related variations along a seamless continuum or, alternatively, represent independent aspects of palatability where variations in one dimension are not related to the other. According to the latter account, a decrease in ingestive responding does not equate to an increase in aversive taste palatability.
As characterized by Parker and colleagues (Parker, 2003, 2014a, b; Parker et al., 2009), the occurrence of CTA is defined purely in terms of significant elevations in aversive/rejection taste reactivity responses. By this analysis, then, CTA is an all-or-none effect (i.e., a two-dimensional view of palatability is implicitly advocated). Gaping, which typically initiates any sequence of aversive reactivity in the rat, is widely accepted as a definitive measure of aversion (Breslin, Spector, & Grill, 1992; Parker, 2003). As noted by Travers and Norgren (1986), the muscular movements involved in the rat gaping response mimic those seen in species capable of vomiting. This suggests that gaping is an index of an extreme level of aversion and gives pause for concern that it may not be particularly sensitive to the detection of mild-moderate aversions or to the gradual development of aversions. This is a concern for research using rats because gaping is the only aversive orofacial response in their repertoire. On the other hand, as described by Steiner, Glaser, Hawilo and Berridge (2001; see also Berridge, 2000), mid-face grimace-like responses precede gaping in humans and apes. Intuitively, it is difficult to perceive that a stimulus capable of inducing retching (i.e., gaping) is not strongly aversive and that lower levels of aversion must exist. Accordingly, we believe that a recalibration of CTA definition to include significant reductions in ingestive responses may square the circle of the seemingly incompatible results obtained with the two different methods of palatability assessment and thereby increase the utility of the taste reactivity test. That is, we advocate a one-dimensional account for conditioned changes in palatability.
The question that now comes into focus is: how does a drug of abuse, which at the same dose in other tasks is self-administered and rewarding, devalue a taste CS in the CTA procedure? In the next section we offer some perspective and some speculations on this question in the hope of providing new insights regarding the nature of CTA learning.
7. Where are we now?
Our research using lick pattern analysis replicates previous work showing that the standard laboratory US for the induction of CTAs, LiCl, not only suppresses intake of the associated taste but also causes a significant reduction in the palatability of the CS. Following CTA training, then, the taste CS has been significantly devalued. This conditioned feature of the CS is fundamentally important because it ensures that the aversive stimulus is consumed neither by accident nor mistake. Indeed, we believe that this conditioned downshift in taste palatability motivates the reduction in CS intake that is the traditional hallmark of CTA. As shown in Figure 10, we view CTA as the product of a palatability modulation mechanism. According to this account, an external pain US may support, in accord with Garcia’s analysis, TAL in which the CS becomes a danger signal. This view is supported by the taste reactivity findings of Pelchat et al. (1983) in which the footshock US had no apparent influence on taste palatability. As previously noted, however, additional research using taste reactivity and lick pattern analysis is needed to afford a better understanding of the role of external pain induced with a footshock US on taste suppression. On the other hand, our research indicates that internal pain is a very different type of US than external pain. That is, we found that internal pain causes a reduction in both the intake and the palatability of the associated taste CS. Whether triggered by gastrointestinal malaise or internal pain, the function of the CTA mechanism is to prevent the consumption of a food that might compromise survival. Furthermore, our research indicates that drug of abuse USs also cause a conditioned downshift in the palatability of the taste CS and therefore we conclude that psychoactive drugs can support CTA learning. The straightforward interpretation of this latter finding is that drugs of abuse, at doses that in other circumstances are rewarding and self-administered, also possess aversive stimulus properties that can induce CTAs. A typical example used to support this dual-property account is that the same drug treatment can produce both aversive (e.g., CTA) and rewarding effects (e.g., conditioned place preference) and, importantly, the two effects sometimes can be dissociated from each other (e.g., Simpson & Riley, 2005; Verendeev & Riley, 2011; see also Footnote 5).
Fig. 10.

Our account of conditioned taste aversion and taste avoidance learning. This model suggests that like gastrointestinal malaise (GIM), both internal pain and drugs of abuse support the acquisition of conditioned taste aversions. On the other hand, external pain induces taste avoidance learning (a reduction in intake in the absence of a change in palatability) because the paired taste CS becomes a signal for danger or fear.
But is the straightforward interpretation the correct interpretation? The view that drugs of abuse have aversive properties has an impressive list of advocates (e.g., Cunningham, 1979; Ettenberg & Geist, 1991; Goudie, 1979; Huang & Hsiao, 2008; Reicher & Holman, 1977; Riley, 2011; Stefurak, Martin & van der Kooy, 1988; Verendeev & Riley, 2012, 2013; Wang, Huang & Hsiao, 2010; White, Sklar & Amit, 1977; Wise, Yokel & DeWit, 1976). We acknowledge that our results are readily interpreted as evidence that drugs of abuse have aversive properties. But, we are puzzled that these aversive properties are usually revealed only through CTA learning. Why is the CTA mechanism so sensitive to the detection of the aversive properties of drug of abuse USs, properties that go unnoticed in other circumstances? Indeed, we wonder if the finding that drug of abuse USs support CTA acquisition is revealing something important about the CTA mechanism per se. In the remainder of this section we offer our speculation about how drugs of abuse may induce CTAs.
As noted in the first paragraph of this article, CTA is, first and last, a feeding system defense mechanism - it protects against the self-administration of a food known to be toxic and it does this by making the taste of the food unpalatable and disgusting. Because toxins and poisons come in many forms that have varied internal consequences, the CTA mechanism, by necessity, must be very broadly tuned. Inevitably, the more broadly tuned the mechanism the more prone it will be to errors in the detection of a US, that is to the acquisition of a CTA to a food that is not poisonous or toxic. But, when safety and survival are at stake, the occurrence of this type of false positive may be the price that has to be paid for the level of vigilance that has evolved. Of course, such false positives will not happen at the extreme end of the toxicity dimension where it is clear that the food certainly is toxic. False positives of this type are most likely to occur where there is some degree of uncertainty about the nature of the internal state consequent to ingestion of a novel food. It is in this domain of uncertainty, we believe, where drugs of abuse may trigger the CTA mechanism.
The neophobia data of Lin, Amodeo et al. (2012) are informative when considering uncertainty in feeding situations. As demonstrated in that study, taste neophobia involves a suppression of both intake and palatability. Presumably, it is the initial fear evoked by the unknown post-ingestive consequences that are responsible for the suppression in the hedonic value of the novel tastant. That is, the animal, having consumed a novel tastant, is fearful about what is going to happen to its internal milieu. Has it just eaten a toxic food? At this time in this circumstance, an unusual change to the normal internal state of the body may be perceived as evidence of a poison or toxin. This perception triggers the engagement of the CTA palatability-downshift mechanism and, consequently, that unusual and previously unexperienced internal state will be associated with the taste of the ingested food. Of course, an unusual change in internal state may not, in actuality, be due to a poison. But once that state has been perceived, or misperceived, as potentially harmful, the CTA mechanism is engaged and the palatability of the tastant is reduced. This, we speculate, is how drug of abuse USs may induce CTAs.
We emphasize that this analysis is intended for those doses of drug USs that in other procedures are known to be rewarding (e.g., support self-administration and conditioned place preference)5. At higher doses, doses that in other procedures are known to be aversive (e.g., support conditioned place aversion), drugs may induce CTAs because of their genuine toxic US effects. As previously mentioned, we view the suppression of CS intake to be the consequence of a conditioned reduction in the palatability of that CS. Because the latter causes the former, we believe that the drug of abuse USs that have been found to suppress intake of the associated CS do so because of a conditioned downshift in taste palatability. The merits of this analysis, which is contrary to that proposed by Parker and colleagues (Parker, 1995, 1998, 2003; Parker et al., 2009), will be tested as more drugs of abuse are evaluated using lick pattern analysis in a voluntary intake CTA procedure.
Some interesting directions for research concerning the nature of drug-induced CTAs are suggested by this new speculative position. As mentioned previously, experimental animals can acquire CTAs when they are anesthetized following consumption of the taste CS but before and during exposure to genuinely aversive USs such as LiCl or radiation (e.g., Buresova & Bures, 1977; Rabin & Rabin, 1984; Roll & Smith, 1972). That is, “conscious” awareness of the malaise is not a necessary condition for a CTA to be acquired. It would be of great interest to determine if drug-induced CTAs also develop in anesthetized animals. If CTAs are found in this situation then we see two potential interpretations. First, like toxin-induced CTAs, the effective US may involve the aversive properties of the drug of abuse. Or, alternatively, we may have learned that the rewarding properties of the drug of abuse do not require “conscious” awareness for taste aversion learning. On the other hand, if anesthesia prevents the acquisition of drug-induced CTAs then we would be inclined to the view that the CTA-inducing property of a drug of abuse is qualitatively different from that of genuinely aversive USs. That is, that drug-induced CTAs may be false positives. Whichever outcome was obtained with anesthetized rats it would be essential to test a wide variety of drug of abuse USs to determine the generality of the findings.
The nature of the US responsible for CTAs induced with drugs of abuse has been debated for many years (e.g., Davis & Riley, 2010; Gamzu, 1977; Goudie, 1979; Grigson et al., 2009; Hunt & Amit, 1987; Parker et al., 2009). One approach to this issue might involve the use pharmacological treatments, central or systemic, to investigate the influence of blocking specific properties of drug of abuse USs on CTA acquisition. Antiemetic drugs (e.g., ondansetron, Δ9-tetrahydrocannabinol) may be useful in this context. Ondansetron, for example, has been shown to attenuate the expression of LiCl-induced CTAs in terms of either intake (e.g., Balleine, Garner & Dickinson, 1995) or palatability (e.g., Limebeer & Parker, 2000), and is thought to act by attenuating nausea. Do antiemetics have the same influence on CTAs induced with drug of abuse USs? If they do then evidence would accrue that drug-induced nausea was contributing to CTA acquisition. If they do not then, assuming careful experimental design, it might be concluded that the specific drug US induces CTA in the absence of nausea. In order to establish the generality of any findings, null or positive, a wide range of drug USs (e.g., opiates, stimulants, barbiturates, etc.) would have to be examined in the same procedure. A similar approach could be used to investigate the role of reward in drug-induced CTAs. In this case, the pharmacological treatment would be an agent known to block the rewarding properties of a particular drug of abuse US (i.e., a treatment that might block the acquisition of a conditioned place preference that was otherwise supported by that drug of abuse). Evidence that blocking the rewarding properties of the drug US also attenuates or even prevents CTA acquisition would provide support for our false positive account of drug-induced CTAs. On the other hand, if blocking the rewarding properties of a drug US had no influence on CTA acquisition then it would be difficult to escape the conclusion that the CTA induced with that particular drug US was not a false positive.
The findings obtained from the proposed pharmacological treatment studies might implicate particular brain structures or systems in the acquisition of drug-induced CTAs. Such possibilities might be investigated by inactivating, both permanently and temporarily, those potential neural substrates to determine their involvement in CTA learning. Will the neural substrates of drug-induced CTAs match those already thought to underlie taste aversions keyed off genuinely aversive USs (e.g., Reilly, 2009)? Or, do different brain structures contribute to drug-induced CTAs? Indeed, one might use this overall approach to determine the neural pathway(s) by which the US state (whether rewarding or otherwise) that is induced by a drug of abuse supports CTA acquisition.
8. Summary
Since the first laboratory demonstrations by Garcia in the 1950s, CTAs have been found to occur with a variety of USs, including GIM, pain-inducing events and drugs of abuse. Over the ensuing years many studies have been dedicated to investigating whether there is a common mechanism responsible for all CTAs. Garcia proposed that the quintessential component of CTA is a downshift in taste palatability consequent to taste-GIM pairings. Furthermore, he suggested that those events that cause external pain (e.g., footshock) suppress the intake, but not the palatability, of the taste CS. In this latter case, the taste CS was considered to serve as a signal for the impending shock and that the consequent suppression of intake was a fear-mediated avoidance response. Garcia’s analysis was supported by results from the later study of Pelchat et al. (1983), which used taste reactivity to monitor palatability changes, and which demonstrated that although both LiCl and external pain (induced with footshock) could suppress CS intake only the LiCl US reduced the palatability of the associated taste CS.
Beginning in the 1980s, Parker and colleagues conducted a series of studies with taste reactivity methodology and found that drug of abuse USs have little influence on the palatability of the associated taste although, as many other researchers have also shown, they do suppress intake of the taste CS. This pattern of results encouraged the view that drug of abuse USs support TAL not CTA. This type of avoidance, it is argued, is mediated by fear of the novel body states induced by drug administrations. This dual-process, aversion-avoidance account has achieved widespread acceptance as an explanation of how rewarding drugs suppress intake of the associated taste CS. To test Parker’s analysis we employed lick pattern analysis to investigate the reductions in voluntary intake and palatability during conditioning with a variety of USs, including LiCl, internal pain-inducing agents and drugs of abuse. We did not obtain evidence supporting Parker’s view about drug-induced TAL. Rather, drug of abuse USs were found to suppress intake as well as palatability and thus, we argued, to support the acquisition of CTAs. We have suggested that, in the rodent model system, defining CTAs solely in terms of significant increases in gaping, and ignoring other indicators of a shift in palatability (i.e., declining ingestive responses) may be an insensitive approach. However, if changes in other taste reactivity measures are incorporated into the overall view, then this sensitivity issue may be mitigated.
Our results with lick pattern analysis have encouraged a reevaluation of CTA learning. This account is similar to Garcia’s view that the CTA mechanism associates a taste or food with its gastrointestinal consequences. However, our analysis goes beyond Garcia’s analysis in that the US for the induction of CTAs is not limited to GIM. Rather, a variety of events, including internal pain and drugs of abuse, are able to support CTA acquisition. We acknowledge that our findings are consistent with the view that drugs of abuse have both rewarding and aversive properties. However, we can easily conceive a scenario in which cautious animals, primed by a neophobic encounter, could misinterpret the rewarding effects of a drug of abuse (along with any potential overtly aversive drug properties) as evidence of poisoning. We speculate that CTAs induced with drug of abuse USs are primarily false positives and that studying how this special case occurs will not only benefit understanding of the CTA mechanism but will also expose Achilles’ heels in the mechanism that might be therapeutically exploited to prevent or eliminate unwanted CTAs.
Highlights.
Conditioned taste aversion (CTA) protects against repeated ingestion of poisons.
CTA is manifest as reduction in taste palatability and thus amount consumed.
Internal pain-inducing agents, like nauseating stimuli, induce CTAs.
Drugs of abuse cause a palatability downshift and thus support CTAs.
Drug CTAs may be false positives due to a misperception of their rewarding effects.
Acknowledgments
Our research and the preparation of this manuscript were supported by grant DC006456 from the National Institute of Deafness and Other Communication Disorders. We thank Elaine Reilly for bringing the Anne Bronte text to our attention. We would also like to thank two anonymous reviewers for their comments, which significantly improved the quality of this manuscript.
Footnotes
The failure of decerebrate rats to acquire CTA was, and often still is, taken as evidence that this form of learning is forebrain-dependent, a conclusion based on the unstated assumption that decerebration does not cause significant retrograde degeneration of the parabrachial nucleus, a brainstem structure that is essential for CTA acquisition (see Reilly, 1999, 2009, for reviews).
Although the idea of a dual-effect of LiCl is intriguing, a detailed inspection of the taste reactivity data casts some doubt on this analysis. As reported by Limebeer and Parker (2000), ondansetron reduced the conditioned increase in rejection responses of the taste CS. Importantly, however, ondansetron had no influence on LiCl-induced reductions in ingestive taste reactivity responses. Thus, ondansetron only partially influenced LiCl-induced changes in palatability. Indeed, by selectively influencing only one category of taste reactivity responses questions are raised about the sensitivity of rodent taste reactivity rejection responses in the detection of mild-moderate aversions (see Section 6). Blocking nausea may attenuate the level of aversive taste reactivity to a sub-gaping threshold, but the hedonic valance of the taste CS may still be negative. That is, ondansetron may have reduced the palatability of the taste CS sufficiently enough to influence detection of taste reactivity rejection responses but not far enough to influence volume consumed.
Zalaquett and Parker (1989) claimed to have resolved this issue of US intensity as an account for the differential ability of LiCl, as compared to drugs of abuse, to induce aversive resposivity. This contention was based on evidence that a low dose of LiCl (12 mg/kg) which produced weak taste avoidance also produced taste reactivity rejection responses, whereas a moderately high dose of amphetamine (3 mg/kg) which produced stronger taste avoidance did not produce rejection responses. However, the data in that report are not so clear cut. In the experiment, non-deprived rats were given six conditioning trials in which a 60 sec intraoral infusion of the CS (0.5 M sucrose) in a taste reactivity chamber was followed by 15 min access to the CS in the home cage and then an immediate injection of a US. There were no CS intake differences between the LiCl- and amphetamime-injected rats over the 6 acquisition trials. Indeed, both groups drank 0 ml of the sucrose CS on trials 4 – 6. In terms of aversive taste reactivity responses, gapes and paw pushing were virtually zero in both US groups across all 6 acquisition trials. The frequency of the final aversive response, chin rubs, was identical and low for both groups on trials 1 – 5. However, a significant group difference was found on the final conditioning trial (5 vs 1, respectively, for LiCl and amphetamine rats). Although the LiCl rats showed more rapid extinction than the amphetamine rats in a subsequent 71-hour voluntary intake test, taste reactivity responses were not monitored so the relationship between avoidance and rejection in extinction is not known. We are not persuaded that these results demonstrate weaker avoidance and stronger rejection in the LiCl rats and stronger avoidance and weaker rejection in the amphetamine rats.
We have unpublished data showing that ingested lactose supports a downshift in taste palatability. However, lactose when used as an ingested stimulus, as CS and US, is a difficult stimulus with which to work because it readily falls out of suspension. In fact, this problem was one of the reasons why we favored gallamine and hypertonic saline as USs in Lin et al. (2013). An alternative approach might employ a taste CS and a lactose US administered via a gastric catheter.
Hunt and Amit (1987) and Grigson (1997) proposed that the rewarding properties of drugs of abuse cause conditioned taste suppression. In our false positive analysis, however, it is the “misperception” of these rewarding effects that supports CTA acquisition. Following a treatment (e.g., US preexposure) that may reduce the likelihood of misperception while enhancing the rewarding effects, we would expect to see a reduction of CTA strength. Since CTAs based on drugs of abuse are supported by misperception, we term this type of CTA “false positive”. It is important to note that this misperception is not completely determined by the actual strength of the rewarding effects. As some other factors, such as neophobia, likely influence how an animal perceives the drug state, we do not expect a strong correlation between the strengths of CTA and rewarding effects of the drug (see Verendeev & Riley, 2012).
Publisher's Disclaimer: This is a PDF file of an unedited manuscript that has been accepted for publication. As a service to our customers we are providing this early version of the manuscript. The manuscript will undergo copyediting, typesetting, and review of the resulting proof before it is published in its final citable form. Please note that during the production process errors may be discovered which could affect the content, and all legal disclaimers that apply to the journal pertain.
References
- Ader R, Grota LJ, Buckland R. Effects of adrenalectomy on taste aversion learning. Physiological Psychology. 1978;6:359–361. [Google Scholar]
- Ahlers RH, Best PJ. Novelty versus temporal contiguity in learned taste aversions. Psychonomic Science. 1971;25:34–36. [Google Scholar]
- Allison J, Castellan NJ., Jr Temporal characteristics of nutritive drinking in rats and humans. Journal of Comparative and Physiological Psychology. 1970;170:116–125. [Google Scholar]
- Andrews EA, Braveman NS. The combined effects of dosage level and interstimulus interval on the formation of one-trial poison-based aversions in rats. Animal Learning and Behavior. 1975;3:287–289. [Google Scholar]
- Arias C, Chotro MG. Increased preference for ethanol in the infant rat after prenatal ethanol exposure, expressed on intake and taste reactivity tests. Alcoholism: Clinical and Experimental Research. 2005;29:337–346. doi: 10.1097/01.alc.0000156115.35817.21. [DOI] [PubMed] [Google Scholar]
- Arthurs J, Lin JY, Amodeo LR, Reilly S. Reduced palatability in drug-induced taste aversion: II. Aversive and rewarding unconditioned stimuli. Behavioral Neuroscience. 2012;126:433–444. doi: 10.1037/a0027676. [DOI] [PMC free article] [PubMed] [Google Scholar]
- Arwas S, Rolnick A, Lubow RE. Conditioned taste aversion in humans using motion-induced sickness as US. Behaviour Research and Therapy. 1989;27:295–301. doi: 10.1016/0005-7967(89)90049-1. [DOI] [PubMed] [Google Scholar]
- Baird JP, St John SJ, Nguyen EA. Temporal and qualitative dynamics of conditioned taste aversion processing: combined generalization testing and licking microstructure analysis. Behavioral Neuroscience. 2005;119:983–1003. doi: 10.1037/0735-7044.119.4.983. [DOI] [PubMed] [Google Scholar]
- Balleine B, Garner C, Dickinson A. Instrumental outcome devaluation is attenuated by the anti-emetic ondansetron. Quarterly Journal of Experimental Psychology. 1995;48:235–251. [PubMed] [Google Scholar]
- Bardo MT, Bevins RA. Conditioned place preference: what does it add to our preclinical understanding of drug reward? Psychopharmacology. 2000;153:31–43. doi: 10.1007/s002130000569. [DOI] [PubMed] [Google Scholar]
- Barker LM, Best MR, Domjan M, editors. Learning mechanisms in food selection. Baylor University Press; Waco, Texas: 1977. [Google Scholar]
- Barnett SA. Behaviour components in the feeding of wild and laboratory rats. Behaviour. 1956;9:24–43. [Google Scholar]
- Barnett SA. Experiments on ‘neophobia’ in wild and laboratory rats. British Journal of Psychology. 1958;49:195–201. doi: 10.1111/j.2044-8295.1958.tb00657.x. [DOI] [PubMed] [Google Scholar]
- Barot SK, Bernstein IL. Polycose taste pre-exposure fails to influence behavioral and neural indices of taste novelty. Behavioral Neuroscience. 2005;119:1640–1647. doi: 10.1037/0735-7044.119.6.1640. [DOI] [PMC free article] [PubMed] [Google Scholar]
- Beck RC. Clearance of ingested sucrose solutions from the stomach and intestine of the rat. Journal of Comparative and Physiological Psychology. 1967;64:243–249. doi: 10.1037/h0088018. [DOI] [PubMed] [Google Scholar]
- Berger BD. Conditioning of food aversions by injections of psychoactive drugs. Journal of Comparative and Physiological Psychology. 1972;81:21–26. doi: 10.1037/h0033316. [DOI] [PubMed] [Google Scholar]
- Bermudez-Rattoni F, Forthman DL, Sanchez MA, Perez JL, Garcia J. Odor and taste aversions conditioned in anesthetized rats. Behavioral Neuroscience. 1988;102:726–732. doi: 10.1037//0735-7044.102.5.726. [DOI] [PubMed] [Google Scholar]
- Bernstein IL. Learned food aversions in the progression of cancer and its treatment. Annals of the New York Academy of Sciences. 1985;443:365–380. doi: 10.1111/j.1749-6632.1985.tb27086.x. [DOI] [PubMed] [Google Scholar]
- Berridge KC. Measuring hedonic impact in animals and infants: microstructure of affective taste reactivity patterns. Neuroscience and Biobehavioral Reviews. 2000;24:173–198. doi: 10.1016/s0149-7634(99)00072-x. [DOI] [PubMed] [Google Scholar]
- Berridge KC, Flynn FW, Schulkin J, Grill HJ. Sodium depletion enhances salt palatability in rats. Behavioral Neuroscience. 1984;98:652–660. doi: 10.1037//0735-7044.98.4.652. [DOI] [PubMed] [Google Scholar]
- Berridge KC, Grill HJ. Alternating ingestive and aversive consummatory responses suggest a two-dimensional analysis of palatability in rats. Behavioral Neuroscience. 1983;97:563–573. doi: 10.1037//0735-7044.97.4.563. [DOI] [PubMed] [Google Scholar]
- Berridge KC, Grill HJ. Isohedonic tastes support a two-dimensional hypothesis of palatability. Appetite. 1984;5:221–231. doi: 10.1016/s0195-6663(84)80017-3. [DOI] [PubMed] [Google Scholar]
- Berridge K, Grill HJ, Norgren R. Relation of consummatory responses and preabsorptive insulin release to palatability and learned taste aversions. Journal of Comparative and Physiological Psychology. 1981;95:363–382. doi: 10.1037/h0077782. [DOI] [PubMed] [Google Scholar]
- Berridge KC, Schulkin J. Palatability shift of a salt-associated incentive during sodium depletion. Quarterly Journal of Experimental Psychology. 1989;41B:121–138. [PubMed] [Google Scholar]
- Best MR. Conditioned and latent inhibition in taste aversion learning: Clarifying the role of learned safety. Journal of Experimental Psychology: Animal Behavior Processes. 1975;1:97–113. doi: 10.1037//0097-7403.1.2.97. [DOI] [PubMed] [Google Scholar]
- Best MR, Barker LM. The nature of “learned safety” and its role in the delay of reinforcement gradient. In: Barker LM, Best M, Domjan M, editors. Learning mechanisms in food selection. Baylor University Press; Waco, TX: 1977. pp. 295–317. [Google Scholar]
- Booth D, Mather P, Fuller J. Starch content of ordinary foods associatively conditions human appetite and satiation, indexed by intake and eating pleasantness of starch-paired flavours. Appetite. 1982;3:163–184. doi: 10.1016/s0195-6663(82)80009-3. [DOI] [PubMed] [Google Scholar]
- Braun JJ, McIntosh HJ. Learned taste aversions induced by rotational stimulation. Physiological Psychology. 1973;1:301–304. [Google Scholar]
- Braveman NS, Bronstein P, editors. Experimental assessments and clinical applications of conditioned food aversions. Annals of the New York Academy of Sciences. 1985;443:1–441. [PubMed] [Google Scholar]
- Breslin PAS, Davis JD, Rosenak R. Saccharin increases the effectiveness of glucose in stimulating ingestion in rats but has little effect on negative feedback. Physiology and Behavior. 1996;60:411–416. doi: 10.1016/s0031-9384(96)80012-6. [DOI] [PubMed] [Google Scholar]
- Breslin PAS, Kaplan JM, Spector AC, Zambito CM, Grill HJ. Lick rate analysis of sodium taste-state combinations. American Journal of Physiology. 1993;264:R312–318. doi: 10.1152/ajpregu.1993.264.2.R312. [DOI] [PubMed] [Google Scholar]
- Breslin PAS, Spector AC, Grill HJ. A quantitative comparison of taste reactivity behaviors to sucrose before and after lithium chloride pairings: A unidimensional account of palatability. Behavioral Neuroscience. 1992;106:820–836. doi: 10.1037//0735-7044.106.5.820. [DOI] [PubMed] [Google Scholar]
- Breslin PAS, Spector AC, Grill HJ. Chorda tympani section decreases the cation specificity of depletion induced sodium appetite in rats. American Journal of Physiology. 1993;264:R319–R323. doi: 10.1152/ajpregu.1993.264.2.R319. [DOI] [PubMed] [Google Scholar]
- Brett LP. Unpublished doctoral dissertation. University of California; Los Angeles: 1977. Experimental extensions of the cue-consequence aversive conditioning paradigm. [Google Scholar]
- Brigham AJ, Sibly RM. A review of the phenomenon of neophobia. In: Cowan DP, Feare CJ, editors. Advances in vertebrate pest management. Filander Verlag; Furth, Germany: 1999. pp. 67–84. [Google Scholar]
- Bronte A. Wordsworth Classics Edition. 1994. The Tenant of Wildfell Hall. (Original work published 1848) [Google Scholar]
- Brown AR, Penney AM, Skinner DM, Martin GM. Aversive, appetitive and flavour avoidance responses in the presence of contextual cues. Learning and Behavior. 2011;39:95–103. doi: 10.3758/s13420-010-0008-0. [DOI] [PubMed] [Google Scholar]
- Bures J, Bermudez-Rattoni F, Yamamoto T. Conditioned taste aversion: Memory of a special kind. Oxford University Press; Oxford, UK: 1998. [Google Scholar]
- Buresova O, Bures J. The effect of anesthesia on acquisition and extinction of conditioned taste aversion. Behavioral Biology. 1977;20:41–50. doi: 10.1016/s0091-6773(77)90473-4. [DOI] [PubMed] [Google Scholar]
- Buresova O, Bures J. Conditioned taste aversions in anesthetized rats: A nonexistent controversy. Animal Learning and Behavior. 1986;14:452. [Google Scholar]
- Burish TG, Levy SM, Meyerowitz BE, editors. Cancer, nutrition, and eating behavior: A biobehavioral perspective. Lawrence Erlbaum Associates; Hillsdale, New Jersey: 1985. [Google Scholar]
- Cabanac M. Physiological role of pleasure. Science. 1971;173:1103–1107. doi: 10.1126/science.173.4002.1103. [DOI] [PubMed] [Google Scholar]
- Cappell H, LeBlanc AE. Conditioned aversion to saccharin by single administrations of mescaline and d-amphetamine. Psychopharmacologia. 1971;22:352–356. doi: 10.1007/BF00406873. [DOI] [PubMed] [Google Scholar]
- Cappell H, LeBlanc AE, Endrenyi L. Aversive conditioning by psychoactive drugs: effects of morphine, alcohol and chlordiazepoxide. Psychopharmacologia. 1973;29:239–246. doi: 10.1007/BF00414038. [DOI] [PubMed] [Google Scholar]
- Carey RJ. Long-term aversions to a saccharin solution induced by repeated amphetamine injections. Pharmacology, Biochemistry and Behavior. 1973;1:265–269. doi: 10.1016/0091-3057(73)90115-9. [DOI] [PubMed] [Google Scholar]
- Carr GD, Fibiger HC, Phillips AG. Conditioned place preference as a measure of drug reward. In: Liebman JM, Cooper SJ, editors. The Neuropharmacological Basis of Reward. Oxford University Press; New York: 1989. pp. 264–319. [Google Scholar]
- Carroll ME, Dinc HI, Levy CJ, Smith JC. Demonstrations of neophobia and enhanced neophobia in the albino rat. Journal of Comparative and Physiological Psychology. 1975;89:457–67. doi: 10.1037/h0077041. [DOI] [PubMed] [Google Scholar]
- Clarke SNDA, Parker LA. Morphine-induced modification of quinine palatability: Effects of multiple morphine-quinine trials Pharmacology, Biochemistry and Behavior. 1995;51:505–508. doi: 10.1016/0091-3057(95)00042-u. [DOI] [PubMed] [Google Scholar]
- Collier HOJ, Schneider C. Profiles of activity in rodents of some narcotic and narcotic antagonist drugs. Nature. 1969;224:610–612. doi: 10.1038/224610a0. [DOI] [PubMed] [Google Scholar]
- Cooper SJ. Palatability-dependent appetite and benzodiazepines: New directions from the pharmacology of GABAA receptor subtypes. Appetite. 2005;44:133–150. doi: 10.1016/j.appet.2005.01.003. [DOI] [PubMed] [Google Scholar]
- Corbit JD, Luschei ES. Invariance of the rat’s rate of drinking. Journal of Comparative and Physiological Psychology. 1969;69:119–125. doi: 10.1037/h0027943. [DOI] [PubMed] [Google Scholar]
- Cordick N, Parker LA, Ossenkopp KP. Rotation-induced conditioned rejection in the taste reactivity test. NeuroReport. 1999;10:1157–1159. doi: 10.1097/00001756-199905140-00030. [DOI] [PubMed] [Google Scholar]
- Corey DT. The determinants of exploration and neophobia. Neuroscience and Biobehavioral Reviews. 1978;2:235–53. [Google Scholar]
- Craig W. Appetites and aversions as constituents of instinct. Biological Bulletin. 1918;34:91–107. [Google Scholar]
- Cull-Candy SG, Miledi R. Block of glutamate-activated synaptic channels by curare and gallamine. Proceedings of the Royal Society of London. 1983;B218:111–118. doi: 10.1098/rspb.1983.0029. [DOI] [PubMed] [Google Scholar]
- Cunningham CL. Flavor and location aversions produced by ethanol. Behavioral and Neural Biology. 1979;27:362–367. doi: 10.1016/s0163-1047(79)92440-3. [DOI] [PubMed] [Google Scholar]
- D’Aquila PS, Rossi R, Rizzi A, Galistu A. Possible role of dopamine D1-like and D2-like receptors in behavioural activation and “contingent” reward evaluation in sodium-replete and sodium-depleted rats licking for NaCl solutions. Pharmacology Biochemistry and Behavior. 2012;101:99–106. doi: 10.1016/j.pbb.2011.12.004. [DOI] [PubMed] [Google Scholar]
- Davies BT, Wellman PJ. Conditioned taste reactivity in rats after phenylpropanolamine, d-Amphetamine or lithium chloride. Pharmacology, Biochemistry and Behavior. 1990;36:973–977. doi: 10.1016/0091-3057(90)90108-t. [DOI] [PubMed] [Google Scholar]
- Davis CM, Riley AL. Conditioned taste aversion learning. Annals of the New York Academy of Sciences. 2010;1187:247–275. doi: 10.1111/j.1749-6632.2009.05147.x. [DOI] [PubMed] [Google Scholar]
- Davis JD. The microstructure of ingestive behavior. Annals of the New York Academy of Sciences. 1989;575:106–119. doi: 10.1111/j.1749-6632.1989.tb53236.x. [DOI] [PubMed] [Google Scholar]
- Davis JD. Deterministic and probabilistic control of the behavior of rats ingesting liquid diets. American Journal of Physiology. 1996a;270:R793–R800. doi: 10.1152/ajpregu.1996.270.4.R793. [DOI] [PubMed] [Google Scholar]
- Davis JD. Microstructural analysis of the ingestive behavior of the rat ingesting polycose. Physiology and Behavior. 1996b;60:1557–1563. doi: 10.1016/s0031-9384(96)00321-6. [DOI] [PubMed] [Google Scholar]
- Davis JD. A model for the control of ingestion-20 years later. Progress in Psychobiology and Physiological Psychology. 1998;17:127–173. [Google Scholar]
- Davis JD, Levine M. A model for the control of ingestion. Psychological Review. 1977;89:379–412. [PubMed] [Google Scholar]
- Davis JD, Smith GP. Analysis of the microstructure of the rhythmic tongue movements of rats ingesting maltose and sucrose solutions. Behavioral Neuroscience. 1992;106:217–228. [PubMed] [Google Scholar]
- Davis JD, Smith GP, Singh B, McCann DL. The impact of sucrose-derived unconditioned and conditioned negative feedback on the microstructure of ingestive behavior. Physiology and Behavior. 2001;72:393–402. doi: 10.1016/s0031-9384(00)00442-x. [DOI] [PubMed] [Google Scholar]
- Davis CM, Riley AK. Conditioned taste aversion learning: Implications for animal models of drug abuse. Annals of the New York Academy of Sciences. 2010;1187:247–275. doi: 10.1111/j.1749-6632.2009.05147.x. [DOI] [PubMed] [Google Scholar]
- Davison CS, House WJ. Alcohol as the aversive stimulus in conditioned taste aversion. Bulletin of the Psychonomic Society. 1975;6:49–50. [Google Scholar]
- Dickinson A. Why a rat is not a beast machine. In: Lawrence W, Martin D, editors. Frontiers of consciousness: The Chichele Lectures. Oxford University Press; New York: 2008. pp. 275–288. [Google Scholar]
- Domjan M. CS preexposure in taste aversion learning: effects of deprivation and preexposure duration. Learning and Motivation. 1972;3:389–402. [Google Scholar]
- Domjan M. Attenuation and enhancement of neophobia for edible substances. In: Barker LM, Best M, Domjan M, editors. Learning mechanisms in food selection. Baylor University Press; Waco, TX: 1977. pp. 151–79. [Google Scholar]
- Domjan M, Bowman TG. Learned safety and the CS-US delay gradient in taste-aversion learning. Learning and Motivation. 1974;5:409–423. [Google Scholar]
- Domjan M, Wilson NE. Specificity of cue to consequence in aversion learning in the rat. Psychonomic Science. 1972;26:143–145. [Google Scholar]
- Dragoin WB. Conditioning and extinction of taste aversion with variations in intensity of the CS and UCS in two strains of rats. Psychonomic Science. 1971;22:303–305. [Google Scholar]
- Dwyer DM. Microstructural analysis of conditioned and unconditioned responses to maltodextrin. Learning and Behavior. 2008;36:149–158. doi: 10.3758/lb.36.2.149. [DOI] [PubMed] [Google Scholar]
- Dwyer DM. Microstructural analysis of ingestive behaviour reveals no contribution of palatability to the incomplete extinction of a conditioned taste aversion. Quarterly Journal of Experimental Psychology. 2009;62:9–17. doi: 10.1080/17470210802215152. [DOI] [PubMed] [Google Scholar]
- Dwyer DM. Licking and liking: The assessment of hedonic responses in rodents. Quarterly Journal of Experimental Psychology. 2012;65:371–94. doi: 10.1080/17470218.2011.652969. [DOI] [PubMed] [Google Scholar]
- Dwyer DM, Boakes RA, Hayward AJ. Reduced palatability in lithium-and activity-based, but not in amphetamine-based, taste aversion learning. Behavioral Neuroscience. 2008;122:1051–1060. doi: 10.1037/a0012703. [DOI] [PubMed] [Google Scholar]
- Eckel LA, Ossenkopp KP. Area postrema mediates the formation of rapid, conditioned palatability shifts in lithium-treated rats. Behavioral Neuroscience. 1996;110:202–212. [PubMed] [Google Scholar]
- Elkins RL. Attenuation of drug-induced bait shyness to a palatable solution as an increasing function of its availability prior to conditioning. Behavioral Biology. 1973;9:221–226. doi: 10.1016/s0091-6773(73)80156-7. [DOI] [PubMed] [Google Scholar]
- Ernits T, Corbit JD. Taste as a dipsogenic stimulus. Journal of Comparative and Physiological Psychology. 1973;83:27–31. doi: 10.1037/h0034258. [DOI] [PubMed] [Google Scholar]
- Etscorn F, Stephens R. Establishment of conditioned taste aversion with a 24-hour CS-US interval. Physiological Psychology. 1973;1:251–253. [Google Scholar]
- Ettenberg A, Geist TD. Animal model for investigating the anxiogenic effects of self-administered cocaine. Psychopharmacology. 1991;103:455–461. doi: 10.1007/BF02244244. [DOI] [PubMed] [Google Scholar]
- Flynn FW, Grill HJ, Schulkin J, Norgren R. Central gustatory lesions: II. Effects on sodium appetite, taste aversion learning, and feeding behavior. Behavioral Neuroscience. 1991;105:944–954. doi: 10.1037//0735-7044.105.6.944. [DOI] [PubMed] [Google Scholar]
- Forthman-Quick DL, Gustavson CR, Rusiniak KW. Coyote control and taste aversion. Appetite. 1985;6:253–264. doi: 10.1016/s0195-6663(85)80014-3. [DOI] [PubMed] [Google Scholar]
- Fox RA, Corcoran M, Brizzee KR. Conditioned taste aversion and motion sickness in cats and squirrel monkeys. Canadian Journal of Physiology and Pharmacology. 1990;68:269–78. doi: 10.1139/y90-041. [DOI] [PubMed] [Google Scholar]
- Gamzu E. The multifaceted nature of taste-aversion inducing agents: Is there a single common factor? In: Barker LM, Best MR, Domjan M, editors. Learning Mechanisms in Food Selection. Baylor University Press; Waco, TX: 1977. pp. 477–509. [Google Scholar]
- Gamzu E, Vincent G, Boff E. A pharmacological perspective of drugs used in establishing conditioned food aversions. Annals of the New York Academy of Sciences. 1985;443:231–249. doi: 10.1111/j.1749-6632.1985.tb27077.x. [DOI] [PubMed] [Google Scholar]
- Garcia J, Brett LP, Rusiniak KW. Limits of Darwinian conditioning. In: Mowrer RR, Klein SB, editors. Contemporary Learning Theories: Instrumental Conditioning Theory and the Impact of Biological Constraints on Learning. Lawrence Erlbaum Associates; Hillsdale, New Jersey: 1989. pp. 181–203. [Google Scholar]
- Garcia J, Ervin FR. Gustatory-visceral and telereceptor-cutaneous conditioning: adaptation in internal and external milieus. Communications in Behavioral Biology Part A. 1968:389–415. [Google Scholar]
- Garcia J, Ervin FR, Koelling RA. Learning with prolonged delay of reinforcement. Psychonomic Science. 1966;5:121–122. [Google Scholar]
- Garcia J, Ervin FR, Koelling RA. Bait-shyness: A test for toxicity with N = 2. Psychonomic Science. 1967;7:245–246. [Google Scholar]
- Garcia J, Hankins WG. On the origins of food aversion paradigms. In: Barker LM, Best MR, Domjan M, editors. Learning mechanisms in food selection. Baylor University Press; Waco, Texas: 1977. pp. 3–19. [Google Scholar]
- Garcia J, Hankin WG, Robinson JH, Vogt JL. Bait shyness: Tests of CS-US mediation. Physiology and Behavior. 1972;8:807–810. doi: 10.1016/0031-9384(72)90288-0. [DOI] [PubMed] [Google Scholar]
- Garcia J, Hankins WG, Rusiniak KW. Behavioral regulation of the milieu interne in man and rat. Science. 1974;185:824–831. doi: 10.1126/science.185.4154.824. [DOI] [PubMed] [Google Scholar]
- Garcia J, Kimeldorf JK. Temporal relationship within the conditioning of a saccharine aversion through radiation exposure. Journal of Comparative and Physiological Psychology. 1957;50:180–183. doi: 10.1037/h0046326. [DOI] [PubMed] [Google Scholar]
- Garcia J, Kimeldorf DJ, Hunt EL. Conditioned responses to manipulative procedures resulting from exposure to gamma radiation. Radiation Research. 1956;5:79–87. [PubMed] [Google Scholar]
- Garcia J, Kimeldorf DJ, Hunt EL, Davies BP. Food and water consumption of rats during exposure to gamma radiation. Radiation Research. 1956;4:33–41. [PubMed] [Google Scholar]
- Garcia J, Kimeldorf DJ, Koelling RA. Conditioned aversion to saccharin resulting from exposure to gamma radiation. Science. 1955;122:157–158. [PubMed] [Google Scholar]
- Garcia J, Koelling RA. Relation of cue to consequence in avoidance learning. Psychonomic Science. 1966;4:123–124. [Google Scholar]
- Garcia J, Kovner R, Green KF. Cue properties vs palatability of flavors in avoidance learning. Psychonomic Science. 1970;20:313–314. [Google Scholar]
- Garcia J, McGowan BK, Ervin FR, Koelling RA. Cues: Their relative effectiveness as a function of the reinforcer. Science. 1968;160:794–795. doi: 10.1126/science.160.3829.794. [DOI] [PubMed] [Google Scholar]
- Garcia J, McGowan BK, Green KF. Biological constraints on conditioning. In: Seligman MEP, Hager JL, editors. Biological Boundaries of Learning. Appleton-Century-Crofts; New York: 1972. pp. 21–43. [Google Scholar]
- Garcia J, Rusiniak KW, Brett LP. Conditioning food-illness aversions in wild animals: Caveant canonici. In: Davis H, Hurwitz HMB, editors. Operant-Pavlovian interactions. Lawrence Erlbaum Associates; Hillsdale, New Jersey: 1977. pp. 273–311. [Google Scholar]
- Giesler GJ, Jr, Liebeskind JC. Inhibition of visceral pain by electrical stimulation of the periaqueductal gray matter. Pain. 1976;2:43–48. doi: 10.1016/0304-3959(76)90045-2. [DOI] [PubMed] [Google Scholar]
- Gomez F, Grigson PS. The suppressive effects of LiCl, sucrose, and drugs of abuse are modulated by sucrose concentration in food-deprived rats. Physiology and Behavior. 1999;67:351–357. doi: 10.1016/s0031-9384(99)00079-7. [DOI] [PubMed] [Google Scholar]
- Goudie AJ. Aversive stimulus properties of drugs. Neuropharmacology. 1979;18:971–979. doi: 10.1016/0028-3908(79)90161-8. [DOI] [PubMed] [Google Scholar]
- Goudie AJ, Dickins DW, Thornton EW. Cocaine-induced conditioned taste aversions in rats. Pharmacology, Biochemistry, and Behavior. 1978;8:757–761. doi: 10.1016/0091-3057(78)90279-4. [DOI] [PubMed] [Google Scholar]
- Gray RW, Cooper SJ. Benzodiazepines and palatability—Taste reactivity in normal ingestion. Physiology and Behavior. 1995;58:853–859. doi: 10.1016/0031-9384(95)00115-y. [DOI] [PubMed] [Google Scholar]
- Green L, Bouzas A, Rachlin H. Test of an electric-shock analog to illness-induced aversion. Behavioral Biology. 1972;7:513–518. doi: 10.1016/s0091-6773(72)80213-x. [DOI] [PubMed] [Google Scholar]
- Green KF, Parker LA. Gustatory memory: incubation and interference. Behavioral Biology. 1975;13:359–67. doi: 10.1016/s0091-6773(75)91416-9. [DOI] [PubMed] [Google Scholar]
- Green L, Rachlin H. The effect of rotation on the learning of taste aversions. Bulletin of the Psychonomic Society. 1973;1:137–138. [Google Scholar]
- Grigson PS. Conditioned taste aversions and drugs of abuse: a reinterpretation. Behavioral Neuroscience. 1997;111:129–136. [PubMed] [Google Scholar]
- Grigson PS, Twining RC, Freet CS, Wheeler RA, Geddes RI. Drug-induced suppression of conditioned stimulus intake: reward, aversion, and addiction. In: Reilly S, Schachtman TR, editors. Conditioned Taste Aversion: Behavioral and Neural Processes. Oxford University Press; Oxford: 2009. pp. 74–91. [Google Scholar]
- Grill HJ. Physiological mechanisms in conditioned taste aversions. Annals of the New York Academy of Sciences. 1985;443:67–88. doi: 10.1111/j.1749-6632.1985.tb27064.x. [DOI] [PubMed] [Google Scholar]
- Grill HJ, Berridge KC. Taste reactivity as a measure of the neural control of palatability. In: Sprague JM, Epstein AN, editors. Progress in Psychobiology and Physiological Psychology. Vol. 11. Academic Press; Orlando, FL: 1985. pp. 2–61. [Google Scholar]
- Grill HJ, Norgren R. The taste reactivity test. I. Mimetic responses to gustatory stimuli in neurologically normal rats. Brain Research. 1978a;143:263–279. doi: 10.1016/0006-8993(78)90568-1. [DOI] [PubMed] [Google Scholar]
- Grill HJ, Norgren R. The taste reactivity test. II. Mimetic responses to gustatory stimuli in chronic thalamic and chronic decerebrate rats. Brain Research. 1978b;143:281–297. doi: 10.1016/0006-8993(78)90569-3. [DOI] [PubMed] [Google Scholar]
- Grill HJ, Norgren R. Chronically decerebrate rats demonstrate satiation but not bait shyness. Science. 1978c;201:267–269. doi: 10.1126/science.663655. [DOI] [PubMed] [Google Scholar]
- Grill HJ, Spector AC, Schwartz GJ, Kaplan J, Flynn FW. Evaluating taste effects on ingestive behavior. In: Toates FM, Rowland NE, editors. Techniques in the behavioral and neural sciences: Feeding and drinking. Elsevier; Amsterdam: 1987. pp. 151–188. [Google Scholar]
- Gustavson CR, Garcia J, Hankins WG, Rusiniak KW. Coyote predation control by aversive conditioning. Science. 1974;184:581–583. doi: 10.1126/science.184.4136.581. [DOI] [PubMed] [Google Scholar]
- Gustavson CR, Gustavson JC. Predation control using conditioned food aversion methodology: Theory, practice and implications. Annals of the New York Academy of Sciences. 1985;443:348–356. doi: 10.1111/j.1749-6632.1985.tb27084.x. [DOI] [PubMed] [Google Scholar]
- Gustavson CR, Kelly DJ, Sweeney M, Garcia J. Prey-lithium aversions. I. Coyotes and wolves. Behavioral Biology. 1976;17:61–72. doi: 10.1016/s0091-6773(76)90272-8. [DOI] [PubMed] [Google Scholar]
- Haney M, Comer SD, Fischman MW, Foltin RW. Alprazolam increases food intake in humans. Psychopharmacology. 1997;132:311–314. doi: 10.1007/s002130050350. [DOI] [PubMed] [Google Scholar]
- Higgs S, Cooper SJ. Effects of the benzodiazepine receptor inverse agonist Ro15-4513 on the ingestion of sucrose and sodium saccharin solutions: A microstructural analysis of licking behavior. Behavioral Neuroscience. 1996;110:559–566. doi: 10.1037//0735-7044.110.3.559. [DOI] [PubMed] [Google Scholar]
- Higgs S, Cooper SJ. Midazolam induced rapid changes in licking behaviour: evidence for involvement of endogenous opioid peptides. Psychopharmacology. 1997;131:278–286. doi: 10.1007/s002130050294. [DOI] [PubMed] [Google Scholar]
- Higgs S, Cooper SJ. Effects of benzodiazepine receptor ligands on the ingestion of sucrose, intralipid, and maltodextrin: An investigation using a microstructural analysis of licking behavior in a brief contact test. Behavioral Neuroscience. 1998;112:447–457. doi: 10.1037//0735-7044.112.2.447. [DOI] [PubMed] [Google Scholar]
- Higgs S, Cooper SJ. The effect of the dopamine D2 antagonist raclopride on the pattern of licking microstructure induced by midazolam in the rat. European Journal of Pharmacology. 2000;409:73–80. doi: 10.1016/s0014-2999(00)00802-5. [DOI] [PubMed] [Google Scholar]
- Hsiao S, Fan RJ. Additivity of taste-specific effects of sucrose and quinine: Microstructural analysis of ingestive behavior in rats. Behavioral Neuroscience. 1993;107:317–326. doi: 10.1037//0735-7044.107.2.317. [DOI] [PubMed] [Google Scholar]
- Huang AC, Hsiao S. Re-examination of amphetamine-induced conditioned suppression of tastant intake in rats: the task-dependent drug effects hypothesis. Behavioral Neuroscience. 2008;122:1207–1216. doi: 10.1037/a0013511. [DOI] [PubMed] [Google Scholar]
- Hunt T, Amit Z. Conditioned taste aversion induced by self-administered drugs: paradox revisited. Neuroscience and Biobehavioral Reviews. 1987;11:107–130. doi: 10.1016/s0149-7634(87)80005-2. [DOI] [PubMed] [Google Scholar]
- Hutchison SL., Jr Taste aversion in albino rats using centrifugal spin as an unconditioned stimulus. Psychological Reports. 1973;33:467–470. doi: 10.2466/pr0.1973.33.2.467. [DOI] [PubMed] [Google Scholar]
- Ionescu E, Buresova O. Failure to elicit conditioned taste aversion by severe poisoning. Pharmacology, Biochemistry, and Behavior. 1977;6:251–254. doi: 10.1016/0091-3057(77)90021-1. [DOI] [PubMed] [Google Scholar]
- Jaffe JH. Drug addiction and drug abuse. In: Goodman LS, Gilman A, editors. The Pharmacological Basis of Therapeutics. The Macmillan Company; New York, New York: 1970. pp. 276–312. [Google Scholar]
- Kalat JW. Taste salience depends on novelty, not concentration, in taste-aversion learning in the rat. Journal of Comparative and Physiological Psychology. 1974;86:47–50. doi: 10.1037/h0035958. [DOI] [PubMed] [Google Scholar]
- Kalat JW, Rozin P. ‘Salience’: A factor which can override temporal contiguity in taste-aversion learning. Journal of Comparative and Physiological Psychology. 1970;71:192–197. [Google Scholar]
- Kay EJ. Aversive effects of repeated injections of THC in rats. Psychological Reports. 1975;37:1051–1054. doi: 10.2466/pr0.1975.37.3f.1051. [DOI] [PubMed] [Google Scholar]
- Konorski J. Integrative activity of the brain: An interdisciplinary approach. University of Chicago Press; Chicago: 1967. [Google Scholar]
- Kruszewska A, Romandini S, Samanin R. Different effects of zimelidine on the reinforcing properties of d-amphetamine and morphine on conditioned place preference in rats. European Journal of Pharmacology. 1986;125:285–286. doi: 10.1016/0014-2999(86)90038-5. [DOI] [PubMed] [Google Scholar]
- Le Magnen J. Peripheral and systemic actions of food in the caloric regulation of intake. Annals of the New York Academy of Sciences. 1969;157:1126–1157. doi: 10.1111/j.1749-6632.1969.tb12940.x. [DOI] [PubMed] [Google Scholar]
- Lett BT. The painlike effect of gallamine and Naloxone differs from the sickness induced by lithium chloride. Behavioral Neuroscience. 1985;99:145–150. doi: 10.1037//0735-7044.99.1.145. [DOI] [PubMed] [Google Scholar]
- Limebeer CL, Parker LA. The antiemetic drug ondansetron interferes with lithium-induced conditioned rejection reactions, but not lithium induced taste avoidance in rats. Journal of Experimental Psychology: Animal Behavior Processes. 2000;26:371–384. doi: 10.1037//0097-7403.26.4.371. [DOI] [PubMed] [Google Scholar]
- Lin JY, Amodeo LR, Arthurs J, Reilly S. Taste neophobia and palatability: The pleasure of drinking. Physiology and Behavior. 2012;106:515–519. doi: 10.1016/j.physbeh.2012.03.029. [DOI] [PMC free article] [PubMed] [Google Scholar]
- Lin JY, Arthurs J, Amodeo LR, Reilly S. Reduced palatability in drug-induced taste aversion: I. Variations in the initial value of the conditioned stimulus. Behavioral Neuroscience. 2012;126:423–32. doi: 10.1037/a0027674. [DOI] [PMC free article] [PubMed] [Google Scholar]
- Lin JY, Arthurs J, Reilly S. Role of the insular cortex in morphine-induced conditioned taste avoidance. Brain Research. 2011;1384:80–88. doi: 10.1016/j.brainres.2011.01.109. [DOI] [PMC free article] [PubMed] [Google Scholar]
- Lin JY, Arthurs J, Reilly S. Reduced palatability in pain-induced conditioned taste aversions. Physiology and Behavior. 2013;119:79–85. doi: 10.1016/j.physbeh.2013.06.012. [DOI] [PMC free article] [PubMed] [Google Scholar]
- Lin JY, Roman C, Arthurs J, Reilly S. Taste neophobia and c-Fos expression in the rat brain. Brain Research. 2012;1448:82–88. doi: 10.1016/j.brainres.2012.02.013. [DOI] [PMC free article] [PubMed] [Google Scholar]
- Lin JY, Roman C, St Andre J, Reilly S. Taste, olfactory and trigeminal neophobia in rats with forebrain lesions. Brain Research. 2009;1251:195–203. doi: 10.1016/j.brainres.2008.11.040. [DOI] [PMC free article] [PubMed] [Google Scholar]
- Lubow RE. Latent inhibition and conditioned attention theory. Cambridge University Press; Cambridge: 1989. [Google Scholar]
- Lubow RE. Conditioned taste aversion and latent inhibition: A review. In: Reilly S, Schachtman TR, editors. Conditioned Taste Aversion: Behavioral and Neural Processes. Oxford University Press; Oxford: 2009. pp. 37–57. [Google Scholar]
- Lubow RE, Moore AU. Latent inhibition: The effect of non-reinforced preexposure to the conditioned stimulus. Journal of Comparative and Physiological Psychology. 1959;52:415–419. doi: 10.1037/h0046700. [DOI] [PubMed] [Google Scholar]
- Mayer LA, Parker LA. Rewarding and aversive properties of IP versus SC cocaine: Assessment by place and taste conditioning. Psychopharmacology. 1993;112:189–194. doi: 10.1007/BF02244909. [DOI] [PubMed] [Google Scholar]
- McCleary RA. Taste and postingestive factors in specific-hunger behavior. Journal of Comparative and Physiological Psychology. 1953;46:411–421. doi: 10.1037/h0059419. [DOI] [PubMed] [Google Scholar]
- McLaurin WA, Scarborough BB. Extension of the interstimulus interval in saccharin avoidance conditioning. Radiation Research. 1963;20:317–323. [PubMed] [Google Scholar]
- Milgram NW, Krames L, Alloway TM, editors. Food aversion learning. Plenum Press; New York: 1977. [Google Scholar]
- Miller V, Domjan M. Selective sensitization induced by lithium malaise and footshock in rats. Behavioral and Neural Biology. 1981a;31:42–55. doi: 10.1016/s0163-1047(81)91050-5. [DOI] [PubMed] [Google Scholar]
- Miller V, Domjan M. Specificity if cue to consequence in aversion learning in the rat: Control for US-induced differential orientations. Animal Learning and Behavior. 1981b;9:339–345. [Google Scholar]
- Mishra Y, Ramzan I. Influence of cimetidine on gallamine-induced neuromuscular paralysis in rats. Clinical and Experimental Pharmacology and Physiology. 1992;19:803–807. doi: 10.1111/j.1440-1681.1992.tb00418.x. [DOI] [PubMed] [Google Scholar]
- Myers KP, Sclafani A. Conditioned enhancement of flavor evaluation reinforced by intragastric glucose: I. Intake acceptance and preference analysis. Physiology and Behavior. 2001a;74:481–493. doi: 10.1016/s0031-9384(01)00595-9. [DOI] [PubMed] [Google Scholar]
- Myers KP, Sclafani A. Conditioned enhancement of flavor evaluation reinforced by intragastric glucose: II. Taste reactivity analysis. Physiology and Behavior. 2001b;74:495–505. doi: 10.1016/s0031-9384(01)00596-0. [DOI] [PubMed] [Google Scholar]
- Nachman M. Learned taste and temperature aversions due to lithium chloride sickness after temporal delays. Journal of Comparative and Physiological Psychology. 1970;73:22–30. doi: 10.1037/h0029807. [DOI] [PubMed] [Google Scholar]
- Nachman M, Ashe JH. Learned taste aversions in rats as a function of dosage, concentration, and route of administration of LiCl. Physiology and Behavior. 1973;10:73–78. doi: 10.1016/0031-9384(73)90089-9. [DOI] [PubMed] [Google Scholar]
- Nachman M, Jones DR. Learned taste aversions over long delays in rats: The role of learned safety. Journal of Comparative and Physiological Psychology. 1974;86:949–956. [Google Scholar]
- Nachman M, Lester D, Le Magnen J. Alcohol aversion in the rat: Behavioral assessment of noxious drug effects. Science. 1970;168:1244–1246. doi: 10.1126/science.168.3936.1244. [DOI] [PubMed] [Google Scholar]
- Nathan BA, Vogel JR. Taste aversions induced by d-amphetamine: Dose response relationship. Bulletin of the Psychonomic Society. 1975;6:287–288. [Google Scholar]
- Neath KN, Limebeer CL, Reilly S, Parker LA. Increased liking for a solution is not necessary for the attenuation of neophobia in rats. Behavioral Neuroscience. 2010;124:398–404. doi: 10.1037/a0019505. [DOI] [PMC free article] [PubMed] [Google Scholar]
- Parker LA. Nonconsummatory and consummatory behavioral CRs elicited by lithium- and amphetamine-paired flavors. Learning and Motivation. 1982;13:281–303. [Google Scholar]
- Parker LA. Behavioral conditioned responses across multiple conditioning/testing trials elicited by lithium- and amphetamine-paired flavors. Behavioral and Neural Biology. 1984;41:190–199. doi: 10.1016/s0163-1047(84)90569-7. [DOI] [PubMed] [Google Scholar]
- Parker LA. Positively reinforcing drugs may produce a different kind of CTA than drugs which are not positively reinforcing. Learning and Motivation. 1988;19:207–220. [Google Scholar]
- Parker LA. Chlordiazepoxide nonspecifically enhances consumption of saccharin solution. Pharmacology, Biochemistry, and Behavior. 1991a;38:375–377. doi: 10.1016/0091-3057(91)90294-c. [DOI] [PubMed] [Google Scholar]
- Parker LA. Taste reactivity responses elicited by reinforcing drugs: a dose response analysis. Behavioral Neuroscience. 1991b;105:955–964. doi: 10.1037//0735-7044.105.6.955. [DOI] [PubMed] [Google Scholar]
- Parker LA. Taste reactivity responses elicited by cocaine-, phencyclidine-, and methamphetamine-paired sucrose solutions. Behavioral Neuroscience. 1993;107:118–129. doi: 10.1037//0735-7044.107.1.118. [DOI] [PubMed] [Google Scholar]
- Parker LA. Rewarding drugs produce taste avoidance, but not taste aversion. Neuroscience and Biobehavioral Reviews. 1995;19:143–157. doi: 10.1016/0149-7634(94)00028-y. [DOI] [PubMed] [Google Scholar]
- Parker LA. LSD produces a place preference and taste avoidance, but does not produce taste aversion. Behavioral Neuroscience. 1996;110:503–508. doi: 10.1037//0735-7044.110.3.503. [DOI] [PubMed] [Google Scholar]
- Parker LA. Emetic drugs produce conditioned rejection reactions in the taste reactivity test. Journal of Psychophysiology. 1998;12:3–13. [Google Scholar]
- Parker LA. Taste avoidance and taste aversion: Evidence of two different processes. Learning and Behavior. 2003;31:165–172. doi: 10.3758/bf03195979. [DOI] [PubMed] [Google Scholar]
- Parker LA. Conditioned flavor avoidance and conditioned gaping: Rat models of conditioned nausea. European Journal of Pharmacology. 2014a;722:122–133. doi: 10.1016/j.ejphar.2013.09.070. [DOI] [PubMed] [Google Scholar]
- Parker LA. Conditioned taste aversion learning: Relationship to nausea and conditioned disgust. In: McSweeney FK, Murphy ES, editors. Handbook of Operant and Classical Conditioning. Wiley-Blackwell Press; 2014b. pp. xx–xx. [Google Scholar]
- Parker LA, Brosseau L. Apomorphine-induced flavor-drug associations: a dose–response analysis by the taste reactivity test and the conditioned taste avoidance test. Pharmacology, Biochemistry, and Behavior. 1990;35:583–587. doi: 10.1016/0091-3057(90)90294-r. [DOI] [PubMed] [Google Scholar]
- Parker LA, Carvell T. Orofacial and somatic responses elicited by lithium-, nicotine- and amphetamine-paired sucrose solution. Pharmacology, Biochemistry and Behavior. 1986;24:883–887. doi: 10.1016/0091-3057(86)90431-4. [DOI] [PubMed] [Google Scholar]
- Parker LA, Gillies T. THC-induced place and taste aversions in Lewis and Sprague-Dawley rats. Behavioral Neuroscience. 1995;109:71–78. doi: 10.1037//0735-7044.109.1.71. [DOI] [PubMed] [Google Scholar]
- Parker LA, Limebeer CL, Rana SA. Conditioned disgust, but not conditioned taste avoidance, may reflect conditioned nausea in rats. In: Reilly S, Schachtman TR, editors. Conditioned Taste Aversion: Behavioral and Neural Processes. Oxford University Press; Oxford: 2009. pp. 92–113. [Google Scholar]
- Parker LA, MacLeod KB. Chin rub CRs may reflect conditioned sickness elicited by a lithium-paired sucrose solution. Pharmacology, Biochemistry and Behavior. 1991;40:983–986. doi: 10.1016/0091-3057(91)90115-i. [DOI] [PubMed] [Google Scholar]
- Parker LA, Rennie M. Naltrexone-induced aversions: Assessment by place conditioning, taste reactivity, and taste avoidance paradigms. Pharmacology, Biochemistry and Behavior. 1992;41:559–565. doi: 10.1016/0091-3057(92)90373-n. [DOI] [PubMed] [Google Scholar]
- Pelchat ML, Grill HJ, Rozin P, Jacobs J. Quality of acquired responses to tastes by Rattus norvegicus depends on type of associated discomfort. Journal of Comparative Psychology. 1983;97:140–153. [PubMed] [Google Scholar]
- Pfaffmann C, Norgren R, Grill HJ. Sensory affect and motivation. Annals of the New York Academy of Sciences. 1977;290:18–34. doi: 10.1111/j.1749-6632.1977.tb39713.x. [DOI] [PubMed] [Google Scholar]
- Rabin BM, Rabin JS. Acquisition of radiation- and lithium chloride-induced conditioned taste aversions in anesthetized rats. Animal Learning and Behavior. 1984;12:439–441. [Google Scholar]
- Rabin BM, Rabin JS. Conditioned taste aversions in anesthetized rats: A reply to Buresova and Bures. Animal Learning and Behavior. 1986;14:453. [Google Scholar]
- Rana SA, Parker LA. Effect of prior exposure to a lithium- and an amphetamine-paired flavor on the acoustic startle response in rats. Journal of Experimental Psychology: Animal Behavior Processes. 2007;33:172–184. doi: 10.1037/0097-7403.33.2.172. [DOI] [PubMed] [Google Scholar]
- Rana SA, Parker LA. Differential effects of neurotoxin-induced lesions of the basolateral amygdala and central nucleus of the amygdala on lithium-induced conditioned disgust reactions and conditioned taste avoidance. Behavioral Brain Research. 2008;189:284–297. doi: 10.1016/j.bbr.2008.01.005. [DOI] [PubMed] [Google Scholar]
- Reicher MA, Holman EW. Location preference and flavor aversion reinforced by amphetamine in rats. Animal Learning and Behavior. 1977;5:343–346. [Google Scholar]
- Reilly S. The parabrachial nucleus and conditioned taste aversion. Brain Research Bulletin. 1999;48:239–254. doi: 10.1016/s0361-9230(98)00173-7. [DOI] [PubMed] [Google Scholar]
- Reilly S. Central gustatory system lesions and conditioned taste aversion. In: Reilly S, Schachtman TR, editors. Conditioned Taste Aversion: Behavioral and Neural Processes. Oxford University Press; Oxford: 2009. pp. 309–327. [Google Scholar]
- Reilly S, Bornovalova M. Conditioned taste aversion and amygdala lesions in the rat: A critical review. Neuroscience and Biobehavioral Reviews. 2005;29:1067–1088. doi: 10.1016/j.neubiorev.2005.03.025. [DOI] [PubMed] [Google Scholar]
- Reilly S, Schachtman TR, editors. Conditioned Taste Aversion: Behavioral and Neural Processes. Oxford University Press; Oxford: 2009. [Google Scholar]
- Revusky SH. Aversion to sucrose produced by contingent X irradiation: Temporal and dosage parameters. Journal of Comparative and Physiological Psychology. 1968;65:17–22. doi: 10.1037/h0025416. [DOI] [PubMed] [Google Scholar]
- Revusky S. The role of interference in association over a delay. In: Honig WK, James PHR, editors. Animal memory. Academic Press; New York: 1971. pp. 155–213. [Google Scholar]
- Revusky S, Bedarf EW. Association of illness with prior ingestion of novel foods. Science. 1967;155:219–220. doi: 10.1126/science.155.3759.219. [DOI] [PubMed] [Google Scholar]
- Revusky S, Garcia J. Learned associations over long delays. In: Bower G, Spence J, editors. Psychology of Learning and Motivation: Advances in Research and Theory. Academic Press; New York: 1970. pp. 1–84. [Google Scholar]
- Richter CP, Campbell KH. Taste thresholds and taste preferences of rats for five common sugars. Journal of Nutrition. 1940;20:31–46. [Google Scholar]
- Riley AL. The paradox of drug taking: the role of the aversive effects of drugs. Physiology and Behavior. 2011;103:69–78. doi: 10.1016/j.physbeh.2010.11.021. [DOI] [PubMed] [Google Scholar]
- Riley AL, Jacobs WJ, LoLordo VM. Morphine-induced taste aversions: A consideration of parameters. Physiological Psychology. 1978;6:96–100. [Google Scholar]
- Riley AL, Tuck DL. Conditioned taste aversions: a behavioral index of toxicity. Annals of the New York Academy of Sciences. 1985;443:272–292. doi: 10.1111/j.1749-6632.1985.tb27079.x. [DOI] [PubMed] [Google Scholar]
- Roll DL, Smith JC. Conditioned taste aversion in anesthetized rats. In: Seligman MEP, Hager JL, editors. Biological boundaries of learning. New York: Appleton-Century-Crofts; 1972. pp. 98–102. [Google Scholar]
- Rozin P. One-trial acquired likes and dislikes in humans: Disgust as a US, food predominance, and negative learning predominance. Learning and Motivation. 1986;17:180–189. [Google Scholar]
- Rzoska J. Bait shyness, a study in rat behavior. British Journal of Animal Behavior. 1953;1:128–135. [Google Scholar]
- Scalera G, Bavieri M. Role of conditioned taste aversion on the side effects of chemotherapy in cancer patients. In: Reilly S, Schachtman TR, editors. Conditioned Taste Aversion: Behavioral and Neural Processes. Oxford University Press; Oxford: 2009. pp. 513–541. [Google Scholar]
- Schafe GE, Bernstein IL. Forebrain contribution to the induction of a brainstem correlate of conditioned taste aversion: I. The amygdala. Brain Research. 1996;741:109–116. doi: 10.1016/s0006-8993(96)00906-7. [DOI] [PubMed] [Google Scholar]
- Schechter MD, Calcagnetti DJ. Trends in place preference conditioning with a cross-indexed bibliography; 1957–1991. Neuroscience and Biobehavioral Reviews. 1993;17:21–41. doi: 10.1016/s0149-7634(05)80228-3. [DOI] [PubMed] [Google Scholar]
- Schuster CR, Thompson T. Self administration of and behavioral dependence on drugs. Annual Review of Pharmacology. 1969;9:483–502. doi: 10.1146/annurev.pa.09.040169.002411. [DOI] [PubMed] [Google Scholar]
- Seligman MEP. The sauce Béarnaise phenomenon. In: Seligman MEP, Hager JL, editors. Biological Boundaries of Learning. Appleton-Century-Crofts; New York: 1972. pp. 8–9. [Google Scholar]
- Siegel S. Flavor preexposure and ‘learned safety’. Journal of Comparative and Physiological Psychology. 1974;87:1073–1082. doi: 10.1037/h0037599. [DOI] [PubMed] [Google Scholar]
- Simpson GR, Riley AL. Morphine preexposure facilitates morphine place preference and attenuates morphine taste aversion. Pharmacology Biochemistry and Behavior. 2005;80:471–479. doi: 10.1016/j.pbb.2005.01.003. [DOI] [PubMed] [Google Scholar]
- Smith JC, Roll DL. Trace conditioning with X-rays as an aversive stimulus. Psychonomic Science. 1967;9:11–12. [Google Scholar]
- Söderpalm AHV, Hansen S. Benzodiazepines enhance the consumption and palatability of alcohol in the rat. Psychopharmacology. 1998;137:215–22. doi: 10.1007/s002130050613. [DOI] [PubMed] [Google Scholar]
- Spector AC, Breslin P, Grill HJ. Taste reactivity as a dependent measure of the rapid formation of conditioned taste aversion: A tool for the neural analysis of taste-visceral associations. Behavioral Neuroscience. 1988;102:942–952. doi: 10.1037//0735-7044.102.6.942. [DOI] [PubMed] [Google Scholar]
- Spector AC, Klumpp PA, Kaplan JM. Analytical issues in the evaluation of food deprivation and sucrose concentration effects on the microstructure of licking behavior in the rat. Behavioral Neuroscience. 1998;112:678–694. doi: 10.1037//0735-7044.112.3.678. [DOI] [PubMed] [Google Scholar]
- Spector AC, St John SJ. Role of taste in the microstructure of quinine ingestion by rats. American Journal of Physiology: Regulatory, Integrative and Comparative Physiology. 1998;274:1687–1703. doi: 10.1152/ajpregu.1998.274.6.R1687. [DOI] [PubMed] [Google Scholar]
- Spector AC, Smith JC. A detailed analysis of sucrose drinking in the rat. Physiology and Behavior. 1984;33:127–36. doi: 10.1016/0031-9384(84)90023-4. [DOI] [PubMed] [Google Scholar]
- Stefurak TL, Martin G, van der Kooy D. The representation in memory of morphine’s unconditioned motivational effects depends on the nature of the conditioned stimulus. Psychobiology. 1988;18:435–442. [Google Scholar]
- Steiner JE. The gustofacial response: observation on normal and anencephalic newborn infants. Symposium on Oral Sensation and Perception. 1973;4:254–278. [PubMed] [Google Scholar]
- Steiner JE. Discussion paper: innate, discriminative human facial expressions to taste and smell stimulation. Annals of the New York Academy of Sciences. 1974;237:229–233. doi: 10.1111/j.1749-6632.1974.tb49858.x. [DOI] [PubMed] [Google Scholar]
- Steiner JE. Human facial expressions in response to taste and smell stimulation. Advances in Child Development and Behavior. 1979;13:257–295. doi: 10.1016/s0065-2407(08)60349-3. [DOI] [PubMed] [Google Scholar]
- Steiner JE, Glaser D. Differential behavioral responses to taste stimuli in non-human primates. Journal of Human Evolution. 1984;13:709–723. [Google Scholar]
- Steiner JE, Glaser D. Taste-induced facial expressions in apes and humans. Human Evolution. 1995;10:97–105. [Google Scholar]
- Steiner JE, Glaser D, Hawilo ME, Berridge KC. Comparative expression of hedonic impact: affective reactions to taste by human infants and other primates. Neuroscience and Biobehavioral Reviews. 2001;25:53–74. doi: 10.1016/s0149-7634(00)00051-8. [DOI] [PubMed] [Google Scholar]
- Stellar E, Hill JH. The rat’s rate of drinking as a function of water deprivation. Journal of Comparative and Physiological Psychology. 1952;45:96–102. doi: 10.1037/h0062150. [DOI] [PubMed] [Google Scholar]
- Swank MW, Schafe GE, Bernstein IL. c-Fos induction in response to taste stimuli previously paired with amphetamine or LiC1 during taste aversion learning. Brain Research. 1995;673:251–261. doi: 10.1016/0006-8993(94)01421-d. [DOI] [PubMed] [Google Scholar]
- Travers JB, Norgren R. Electromyographic analysis of the ingestion and rejection of sapid stimuli in the rat. Behavioral Neuroscience. 1986;100:544. doi: 10.1037//0735-7044.100.4.544. [DOI] [PubMed] [Google Scholar]
- Tzschentke TM. Measuring reward with the conditioned place preference paradigm: a comprehensive review of drug effects, recent progress and new issues. Progress in Neurobiology. 1998;56:613–672. doi: 10.1016/s0301-0082(98)00060-4. [DOI] [PubMed] [Google Scholar]
- Tzschentke TM. Measuring reward with the conditioned place preference (CPP) paradigm: update of the last decade. Addiction Biology. 2007;12:227–462. doi: 10.1111/j.1369-1600.2007.00070.x. [DOI] [PubMed] [Google Scholar]
- van Ree JM. Reinforcing stimulus properties of drugs. Neuropharmacology. 1979;18:963–969. doi: 10.1016/0028-3908(79)90160-6. [DOI] [PubMed] [Google Scholar]
- Verendeev A, Riley AL. Relationship between the rewarding and aversive effects of morphine and amphetamine in individual subjects. Learning and Behavior. 2011;39:399–408. doi: 10.3758/s13420-011-0035-5. [DOI] [PubMed] [Google Scholar]
- Verendeev A, Riley AL. Conditioned taste aversion and drugs of abuse: History and interpretation. Neuroscience and Biobehavioral Reviews. 2012;36:2193–2205. doi: 10.1016/j.neubiorev.2012.08.004. [DOI] [PubMed] [Google Scholar]
- Verendeev A, Riley AL. The role of the aversive effects of drugs in self-administration: assessing the balance of reward and aversion in drug-taking behavior. Behavioural Pharmacology. 2013;24:363–374. doi: 10.1097/FBP.0b013e32836413d5. [DOI] [PubMed] [Google Scholar]
- Vogel JR, Nathan BA. Learned taste aversions induced by hypnotic drugs. Pharmacology, Biochemistry and Behavior. 1975;3:189–194. doi: 10.1016/0091-3057(75)90147-1. [DOI] [PubMed] [Google Scholar]
- Wall AM, Hinson RE, Schmidt E, Johnston C, Streather A. Place conditioning with d-amphetamine: The effect of the CS-UCS interval and evidence of a place avoidance. Animal Learning and Behavior. 1990;18:393–400. [Google Scholar]
- Wang YC, Huang AC, Hsiao S. Paradoxical simultaneous occurrence of amphetamine-induced conditioned taste aversion and conditioned place preference with the same single drug injection: a new “pre- and post-association” experimental paradigm. Pharmacology, Biochemistry and Behavior. 2010;95:80–87. doi: 10.1016/j.pbb.2009.12.009. [DOI] [PubMed] [Google Scholar]
- Weeks JR. Experimental morphine addiction: method for automatic intravenous injections in unrestrained rats. Science. 1962;138:143–144. doi: 10.1126/science.138.3537.143. [DOI] [PubMed] [Google Scholar]
- Welzl H, Alessandri B, Baettig K. The formation of a new gustatory memory trace in rats is prevents by the noncompetitive NMDA antagonist ketamine. Psychobiology. 1990;18:43–47. [Google Scholar]
- White N, Sklar L, Amit Z. The reinforcing action of morphine and its paradoxical side effect. Psychopharmacology. 1977;52:63–66. doi: 10.1007/BF00426601. [DOI] [PubMed] [Google Scholar]
- Wise RA, Yokel RA, DeWit H. Both positive reinforcement and conditioned aversion from amphetamine and from apomorphine in rats. Science. 1976;191:1273–1275. doi: 10.1126/science.1257748. [DOI] [PubMed] [Google Scholar]
- Wittlin WA, Brookshire KH. Apomorphine-induced conditioned aversion to a novel food. Psychonomic Science. 1968;12:217–218. [Google Scholar]
- Young PT. Palatability: The hedonic response to foodstuffs. In: Code CF, editor. Handbook of Physiology. Section. 6: Alimentary Canal Vol. 1. Control of Food and Water Intake. American Physiological Society; Washington, D.C: 1967. pp. 353–366. [Google Scholar]
- Zalaquett C, Parker LA. Further evidence that CTAs produced lithium and amphetamine are qualitatively different. Learning and Motivation. 1989;20:413–427. [Google Scholar]







