Abstract
Some studies have indicated that children born after fertility treatment have a potential risk for cancer, but the results are inconsistent. Furthermore, any negative effects of fertility treatment might be due to the underlying infertility rather than to the procedure itself. In the largest cohort study to date with information on fertility, we examined whether the offspring of women with fertility problems had a higher risk for cancer than offspring of women without fertility problems. The study cohort consisted of 2 830 054 offspring born in Denmark between 1964 and 2006. Of these, 125 844 were offspring of women evaluated for infertility. Cox regression models were used to estimate the possible effect of being the offspring of a woman evaluated for infertility on the risk for cancer. Analyses were performed separately for cancer during childhood (0–19 years) and cancer in young adulthood (≥ 20 years). We found that offspring born to women with fertility problems had higher overall risks for cancer in childhood (hazard ratio (HR), 1.18; 95% confidence interval (CI), 1.05–1.32) and in young adulthood (HR, 1.22; 95% CI, 1.04–1.43) than offspring of women without fertility problems. Offspring of women with fertility problems had significantly increased risks for leukemia in childhood (HR, 1.30; 95% CI, 1.06–1.60) and for cancer of the endocrine glands in young adulthood (HR, 2.67; 95% CI, 1.35–5.29). These findings suggest that offspring born to mothers with fertility problems are at increased risk for cancer in both childhood and young adulthood. If real, our findings of an ∼18% overall increase in risk for cancer in childhood and an ∼22% overall increase in risk for cancer in young adulthood would mean about four additional cases of childhood cancer and about nine additional cases of cancer in young adults per 100 000 exposed offspring.
Keywords: Infertility, fertility treatment, childhood cancer
Introduction
As the number of couples with fertility problems is increasing, approaching 10–15% of all couples in western countries,1 use of fertility treatments, such as intrauterine insemination, in-vitro fertilization (IVF) and intracytoplasmic sperm injection is also increasing. Worldwide, it is estimated that 3.5 million children have been born after such treatment.2 In Denmark, approximately 9% of the 2009 birth cohort was born after fertility treatment,3 this is the highest proportion in Europe.4
Since the breakthrough especially of IVF treatment, the possibility that fertility treatments have a negative impact on the health of offspring has been widely debated. The short-term effects have been relatively well examined, whereas only a few studies have assessed the potential long-term consequences on the health of children born after fertility treatment. Concern that there may be an association between fertility treatment and cancer has emerged from case-control and cohort studies that indicated increased risks for cancer among children born after fertility treatment.5-10 Nevertheless, the results have been inconsistent, and many of the studies had methodological problems: case–control studies have potential recall bias, and the cohort studies were characterized by limited size and follow-up time and by lack of control for potential confounders. In addition, and very importantly, it is possible that negative effects found in relation to fertility treatment, are in reality related to the underlying fertility problems.
Using data from one of the largest cohorts for which information on maternal fertility was available, the Danish Infertility Cohort, we previously observed nonsignificant increases in the risks for leukemia and sympathetic nervous system tumors among the offspring of women evaluated for infertility.11 We have since updated this cohort; to our knowledge, this updated cohort comprises the largest number of cancer cases among the offspring of women with fertility problems compiled to date, with a longer follow-up than earlier cohort studies in this research area. On the basis of information from this cohort, the aim of the study reported here was to investigate whether the cancer risk of offspring of women evaluated for infertility is different from that of offspring born to women not evaluated for infertility (hereafter referred to as ‘fertile women’).
Material and Methods
Study population
Since 1968, all residents of Denmark have been recorded in the computerized Civil Registration System by a unique personal identification number (PIN), which contains information on age and gender. This number is used throughout Danish society and in all health registries. The Civil Registration System includes information on birthplace, linkage between parents and live born offspring if both were alive on April 1968, and the child was born after January 1953, as well as continuously updated information on vital status (date of migration, date of death or date of loss to follow up). For the present analyses, we extracted data (offspring PIN, maternal PIN, information on birth order and information on vital status) for 2 830 054 offspring born in Denmark between January 1, 1964 (if both mother and offspring were alive in April 1, 1968) and December 1, 2006. The inclusion criteria were a valid maternal PIN and information on birth order.
Follow-up for cancer
Cancer cases were identified by linkage to the Danish Cancer Registry. Since 1943, this Registry has collected information on all cases of incident cancer in Denmark, including benign brain tumors, and is 95 to 99% complete.12 Cancers diagnosed in people in the age group 0–19 years (‘childhood cancers’) are classified according to Birch and Marsden's scheme for childhood cancer;13 cancers diagnosed in people 20 years or older (‘young adult cancers’) are classified according to the Danish version of the International Classification of Diseases revision 10 (ICD-10). For analyses of cancer in childhood, the study population was followed from the date of birth until first cancer occurrence or censoring, whichever came first. Censoring was performed on the date of emigration (N=42 976), date of loss to follow-up (N=890), date of death (N=30 402), date of 20th birthday (N=1 658 360) or December 31, 2009 (N=1 090 008). For analyses of cancer in young adulthood, the study cohort consisted of 913 379 offspring who reached the age of 20 during the study period without cancer or censoring and who were followed from their 20th birthday until first cancer occurrence or censoring, whichever came first. Censoring was done on the date of emigration (N=17 294), date of loss-to follow-up (N=205), date of death (N=3516) or December 31, 2009 (N=887 236).
Ascertainment of maternal fertility
In order to ascertain the exposure status of offspring (i.e. maternal fertility), we used the Danish Infertility Cohort. This cohort, which has been described elsewhere,14 initially consisted of a cohort of 54 379 women with fertility problems referred to public gynecological hospital departments or private fertility clinics in Denmark in the period 1963–1998. We updated the cohort by including all women with a diagnosis infertility (N97 in ICD-10) recorded between January 1, 1999 and December 31, 2009, in the National Patient Registry, which contains information on all contacts with Danish hospitals since 1977 and outpatient contacts since 1995, and in the Danish IVF registry, which contains compulsory information on all IVF treatment in Denmark since 1994 (at the time of analysis, updated to December 31, 2005). The updated Danish Infertility Cohort consists of 109 009 women with fertility problems (both primary and secondary infertility) in the period September 1, 1963 to December 31, 2009. It should be noted that the ICD-10 code N97 (female infertility) also includes the subcode N97.4: “female infertility caused by infertile partner”. In the present paper, we have chosen to include all diagnoses of female infertility, also when caused by a partner, as the offspring may have been exposed to many of the same potential risk factors for cancer, e.g. ovarian stimulation and egg collection in the situations where the couple chooses to undergo fertility treatment. Furthermore, a sensitivity analysis showed no noticeable differences in the magnitude of the risk estimates, when excluding children born to women with the infertility diagnosis “female infertility caused by infertile partner (N97.4)” from analyses (data not shown). All data were entered into a single database, with one record for each woman, including the initial date of infertility evaluation, the name of the clinic and the woman's PIN.
In order to identify the maternal fertility status for the offspring in our study cohort, we linked the cohort to the Danish Infertility Cohort by the maternal PIN. In the analyses reported here, the mothers in the Danish Infertility Cohort were considered to have fertility problems, and mothers not in the Cohort were considered to be fertile.
Statistical analysis
Cox proportional hazards models were used to estimate the relative risks for childhood and young adult cancer of offspring born to women with fertility problems when compared with offspring born to fertile women, with adjustment for potential confounders, chosen a priori, including age, year of birth, gender, birth order of offspring and maternal age at birth. Analyses were conducted for all cancers in childhood and young adulthood and for specific child and young adult cancers in the main diagnostic groups. Furthermore, sensitivity analyses of Proportional hazards tests and diagnoses were based on weighted residuals. The proportional hazards assumption was fulfilled for the analysis of childhood cancer among offspring for the entire period; for young adult cancer, the proportional hazard assumption was fulfilled only for offspring born from 1974 onwards, and only these offspring were included for analyses of young adult cancer. In all analyses, only the first cancer that occurred was included, except for the few cases of two first cancers in different main diagnostic groups on the same date; these were counted as one case in the analyses of both cancer types. Age was used as the underlying time scale, and the analyses were stratified for gender and year of birth. We chose to report results from both genders combined as we found no indication of a sex difference for overall cancer risk for both childhood and young adult cancer risk (results not shown). Birth order and maternal age at birth were included as restricted cubic splines and tested for linearity. Robust variance estimates were obtained by regarding siblings as clusters. All tests were conducted as likelihood ratio tests, and p values below 5% were considered statistically significant. Effect estimates were reported as hazard ratios (HRs) with 95% confidence intervals (CIs). All analyses were performed with the stcox procedure in Stata 11.2.
Results
Childhood cancer
Childhood cancer risk associated with maternal infertility was analyzed for 2 830 054 offspring born between 1964 and 2006. The median follow-up was 20.0 years (range, 0–20), resulting in 46 239 555 person-years of observation. A total of 125 844 offspring (4.4%) were born to women with fertility problems and 2 704 210 offspring (95.6%) to fertile women. Of the 7 418 offspring with a diagnosis of childhood cancer, 328 were born to women with fertility problems. The mean age at diagnosis was 8.6 years (standard deviation, 6.3; range, 0–19) (Figure 1).
Figure 1.
Identification of offspring of women with and without fertility problems and cancer cases.
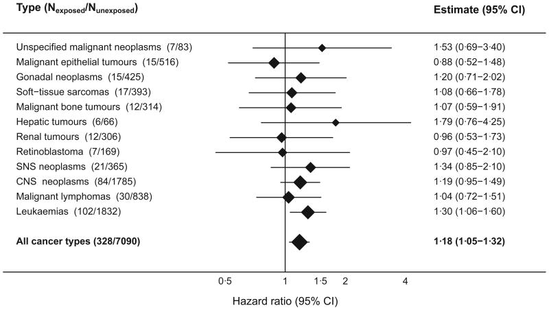
Figure 2 shows the relative risk for childhood cancer according to the mother's fertility status. Overall, the offspring of women with fertility problems had a higher risk for childhood cancer (HR, 1.18; 95% CI, 1.05–1.32) than those born to fertile women. A significantly increased risk for leukemia was observed for offspring born to women with fertility problems (HR, 1.30; 95% CI, 1.06–1.60). When we further subdivided leukemia's into lymphoid (76%), non-lymphoid (18%) and unspecific types (7%), we found that offspring of women with fertility problems had a statistically significantly increased risk for non-lymphoid leukemia's (HR, 1.89; 95% CI, 1.25–2.88) but not for lymphoid leukemia's (HR, 1.13; 95% CI, 0.89–1.45). A maternal history of infertility problems was not statistically significantly associated with other specific childhood cancers, but positive associations were observed with central nervous system neoplasms (HR, 1.19; 95% CI, 0.95–1.49), sympathetic nervous system neoplasms (HR, 1.34; 95% CI, 0.85–2.10), hepatic tumors (HR, 1.79; 95% CI, 0.76–4.25), gonadal neoplasms (HR, 1.20; 95% CI, 0.71–2.02) and unspecified malignant neoplasms (HR, 1.53; 95% CI, 0.69–3.40).
Figure 2.
Relative risks for cancer in childhood of offspring of mothers with fertility problems and offspring of women without fertility problems.
Footnotes:
CNS, central nervous system; SNS, sympathetic nervous system; CI, confidence interval Hazard rates stratified by gender and year of birth and adjusted for maternal age at birth and birth order As two people had two first cancers in different main diagnostic groups, two more cancers were included in the analyses of specific cancers than in the analyses of all cancers.
The sizes of the diamonds are proportional to the number of events in each category.
Cancer in young adulthood
For the analyses of maternal fertility problems and young adult cancer risk, 913 379 offspring born in 1974–1989 were included and followed from age 20. The median follow-up was 8.4 years (range, 0–16), giving 7 478 617 person-years of observation. A total of 29 479 offspring (3.2%) were born to women with fertility problems and 883 900 (96.8%) to fertile women. Of the 5128 offspring with young adult cancer, 153 were born to women with fertility problems. The mean age at diagnosis was 26.9 years (standard deviation, 4.1; range, 20–35) (Figure 1).
Figure 3 shows the relative risks for cancer in young adulthood according to whether the mother had experienced fertility problems. In line with our findings for cancers in childhood, the offspring of women with fertility problems had a higher overall risk for cancer in young adulthood (HR, 1.22; 95% CI, 1.04–1.43) than those born to fertile women, and had more than twice the risk for cancer of the endocrine glands (HR, 2.67; 95% CI, 1.35–5.29). As the number of cases was low for cancer of the endocrine glands (n = 9 among offspring born to women with fertility problems), meaningful analyses for specific types could not be performed. No statistically significant associations were found for other specific young adult cancer sites, but increased risks were suggested for cancers of the skin (HR, 1.22; 95% CI, 0.94–1.60), mesothelium and connective tissue (HR, 1.71; 95% CI, 0.69–4.21), male genital organs (HR, 1.21; 95% CI, 0.82–1.80) and lymphatic and hematopoietic tissue (HR, 1.34; 95% CI, 0.84–2.15).
Figure 3.
Relative risks for cancer in young adulthood of offspring of mothers with fertility problems and offspring of women without fertility problems.
Footnotes:
CNS, central nervous system
Hazard rates stratified by gender and year of birth and adjusted for maternal age at birth and birth order
The estimate for cancer in the respiratory system and intrathoracic organs is not shown as there were no exposed cases in this category.
The sizes of the diamonds are proportional to the number of events in each category.
Discussion
In the largest cohort study in this research area to date, we found higher risks for both childhood and young adulthood cancers among the offspring of women with fertility problems than those of women without such problems even after adjustment for age, year of birth, gender, birth order of offspring and maternal age at birth. The increased risk for childhood cancer was due mainly to an increased risk for leukemia. In young adulthood, a statistically significantly increased risk for cancer of the endocrine glands was observed.
Earlier cohort studies did not show a strong association between infertility or infertility treatment and childhood cancer in offspring. In a meta-analysis of 11 cohort studies with 47 exposed cases in 2005, a statistically nonsignificant increase in cancer risk was found (standardized incidence ratio, 1.33; 95% CI, 0.62–2.85) for children born after fertility treatment.15 In contrast, but in line with our results, the most recent cohort study showed a higher overall cancer risk in offspring born after IVF than in the background population (odds ratio, 1.42; 95% CI, 1.09–1.87).8 Although the authors did not report risk estimates for specific cancer types, they stated that the observed numbers of cases of hematological neoplasms, central nervous system tumors, retinoblastomas and histiocytosis were higher than expected.
The only other cohort study that addressed leukemia specifically did not find an association with either fertility problems or infertility treatment.16 However, this study was based on a small number of observed cancer cases as only respectively five and three cases of leukemia were observed following either fertility problems or fertility treatment. In agreement with our results, however, five case–control studies found indication of an increased risk for leukemia associated with maternal fertility status or fertility treatment 6, 7, 17-19 although two other case-control studies provide no convincing evidence.20, 21 When looking at the subtypes of leukemia, we in particular found an increased risk of the non-lymphoid types. One case-control study found, in line with our results, that the risk estimates concerning infertility or infertility treatment and the development of acute myeloid leukemia were increased as opposed to the risk estimates concerning acute lymphoblastic leukemia.20 However, two other case-control studies that reported risk-estimates for subtypes of leukemia did not find this pattern.7, 21
Finally, we found no convincing associations between fertility problems and other specific childhood cancers. Only two other cohort/case-cohort studies reported risk estimates for specific childhood cancer types other than leukemia, with increased risks for hepatoblastomas and retinoblastomas associated with infertility treatment.9, 10 We also found an increased risk, although statistically nonsignificant, for hepatic tumors. We found no increase in the risk for retinoblastomas.
We know of no other studies in this field that addressed cancer in young adulthood in the offspring of women with infertility separately. The median follow-up was relatively short (8.4 years) and the mean age at diagnosis (29.9 years) was below the peak age for many adult cancers, however, and this may have weakened our estimates. A longer follow-up is needed to verify these results.
In general, the discrepancies between our results and those of earlier studies may be due to differences in study design and study populations and various methodological limitations. The risk estimates in our study were more precise than those of previous cohort studies, as we had 481 exposed offspring with cancer, whereas most previous studies were limited by a smaller number of exposed cancer cases.8, 9, 16, 22-27 Nevertheless, the total number of exposed cases in our study was still not very high, and our study may also have been somewhat underpowered; furthermore, the risk estimates were relatively imprecise for specific cancer sites. In contrast to most earlier cohort studies, however, we were able to adjust for a number of potential confounders, including age, year of birth, gender, birth order and maternal age at birth, whereas most earlier cohort studies either made no adjustments or only adjusted for age, gender and/or calendar year.16, 22-24
Maternal infertility, infertility treatment and cancer are potentially linked through aberrant epigenetic mechanisms. Several studies have shown that children born after fertility treatment are more prone to severe disorders caused by abnormal genomic imprinting.28 Although imprinting diseases in such offspring are rare in absolute numbers, the fact that they are more common could indicate more widespread disruption of epigenetic mechanisms. These disruptions could manifest themselves as increased risks for certain cancers. Other studies indicated that epigenetic effects after fertility treatment could be related to the underlying infertility rather than the treatment itself.29, 30 However, we could not distinguish between the effects of maternal infertility and the effects of fertility treatment, as we had no information on the use of treatment.
Apart from its large size, the large number of cancer cases and the adjustment for several factors, our study has other important strengths. Use of the virtually complete population-based registries in Denmark resulted in limited loss to follow-up and nearly complete ascertainment of cancer diagnoses. We also had the benefit of exposure data that were independent of patient recall. Our study also has some limitations. As the information on maternal infertility status was obtained from all public gynecological departments and private fertility clinics in Denmark, supplemented with information from the National Patient Registry and the IVF registry, most women in Denmark who were evaluated for infertility during the study period were included. As some women have undiagnosed fertility problems and some might have been referred to private gynecologists (who are nonetheless rare in Denmark), our risk estimates might be slightly underestimated. Also, although we were able to adjust for several potential confounders including age, birth year, birth order, gender and maternal age at birth, we cannot rule out the possibility that there may be other potential confounders that we have been unable to control for. However, in addition to the potential confounders we have adjusted for, very few risk factors for childhood cancers are in fact known. One of the few recognized risk factors for cancer in offspring is exposure to diethylstilbestrol (a synthetic estrogen structurally similar to the anti-estrogens used for ovulation stimulation),31 which has been prescribed to pregnant women between 1940 and 1971 to prevent complications of pregnancy.32 However, diethylstilbestrol has not been marketed in Denmark and exposure to diethylstilbestrol can therefore not explain the increased risk of cancer in offspring of women with fertility problems.33 Another potential risk factor for childhood cancer is socioeconomic status, where a high parental socioeconomic status has been suggested to increase the risk of childhood leukemia.34 However, a recent systematic review concludes that there is no clear evidence to support this hypothesis and it is therefore unlikely that socioeconomic status may act as a strong confounder in our study.34
In conclusion, using information from the largest, most comprehensive cohort study in this area to date, we found that the offspring of mothers with fertility problems may be at increased risk for cancer in both childhood and young adulthood. However, the absolute risk for cancer of a child born to a mother who had fertility problems is low. If real, our findings of an ∼18% overall increase in risk for cancer in childhood and an ∼22% overall increase in risk for cancer in young adulthood would mean about four additional cases of childhood cancer and about nine additional cases of young adult cancer per 100 000 exposed offspring. Additional follow-up studies with longer follow-up and more exposed cases are needed to further explore the long-term effects of fertility problems on offspring and provide further insight into the risk for specific cancer types. Finally, further comprehensive case–cohort analyses of our data will focus specifically on the cancer risk of offspring born after maternal use of fertility drugs which will help to differentiate between effect of fertility problems and effects of the treatment.
Brief description.
To our knowledge, this is to date by far the largest cohort study examining the cancer risk among offspring born to women with fertility problems. Furthermore, it is the only study that has been able to look at both childhood and young adult cancer risk separately as well as specific cancer types/sites. Due to the relatively large number of exposed cases (N=481) this study has more precise risk estimates than any other comparable cohort study.
Acknowledgments
This work was supported by Savværksejer Jeppe Juhl og Hustru Ovita Juhls Foundation. The funding organization had no role in the design and conduct of the study; the collection, management, analyses, and interpretation of the data; or the preparation or approval of the manuscript.
Footnotes
None of the authors reported any conflicts of interest.
Reference List
- 1.Juul S, Karmaus W, Olsen J. Regional differences in waiting time to pregnancy: pregnancy-based surveys from Denmark, France, Germany, Italy and Sweden. The European Infertility and Subfecundity Study Group. Hum Reprod. 1999;14:1250–4. doi: 10.1093/humrep/14.5.1250. [DOI] [PubMed] [Google Scholar]
- 2.Connolly MP, Hoorens S, Chambers GM. The costs and consequences of assisted reproductive technology: an economic perspective. Hum Reprod Update. 2010;16:603–13. doi: 10.1093/humupd/dmq013. [DOI] [PubMed] [Google Scholar]
- 3.Danish Fertility Society. [Accessed April 30, 2012]; at: http://www.fertilitetsselskab.dk/index.php?option=com_content&view=article&id=123&Itemid=120.
- 4.de Mouzon J, Goossens V, Bhattacharya S, Castilla JA, Ferraretti AP, Korsak V, Kupka M, Nygren KG, Nyboe Andersen A The European IVF-monitoring (EIM) Consortium, for the European Society of Human Reproduction and Embryology (ESHRE) Assisted reproductive technology in Europe, 2006: results generated from European registers by ESHRE. Hum Reprod. 2010;25:1851–62. doi: 10.1093/humrep/deq124. [DOI] [PubMed] [Google Scholar]
- 5.Michalek AM, Buck GM, Nasca PC, Freedman AN, Baptiste MS, Mahoney MC. Gravid health status, medication use, and risk of neuroblastoma. Am J Epidemiol. 1996;143:996–1001. doi: 10.1093/oxfordjournals.aje.a008682. [DOI] [PubMed] [Google Scholar]
- 6.Petridou ET, Sergentanis TN, Panagopoulou P, Moschovi M, Polychronopoulou S, Baka M, Pourtsidis A, Athanassiadou F, Kalmanti M, Sidi V, Dessypris N, Frangakis C, et al. In vitro fertilization and risk of childhood leukemia in Greece and Sweden 7. Pediatr Blood Cancer. 2012;58:930–6. doi: 10.1002/pbc.23194. [DOI] [PubMed] [Google Scholar]
- 7.Rudant J, Amigou A, Orsi L, Althaus T, Leverger G, Baruchel A, Bertrand Y, Nelken B, Plat G, Michel G, Sirvent N, Chastagner P, et al. Fertility treatments, congenital malformations, fetal loss, and childhood acute leukemia: The ESCALE study (SFCE) Pediatr Blood Cancer. 2013;60:301–8. doi: 10.1002/pbc.24192. [DOI] [PubMed] [Google Scholar]
- 8.Kallen B, Finnstrom O, Lindam A, Nilsson E, Nygren KG, Olausson PO. Cancer risk in children and young adults conceived by in vitro fertilization. Pediatrics. 2010;126:270–6. doi: 10.1542/peds.2009-3225. [DOI] [PubMed] [Google Scholar]
- 9.Marees T, Dommering CJ, Imhof SM, Kors WA, Ringens PJ, van Leeuwen FE, Moll AC. Incidence of retinoblastoma in Dutch children conceived by IVF: an expanded study. Hum Reprod. 2009;24:3220–4. doi: 10.1093/humrep/dep335. [DOI] [PubMed] [Google Scholar]
- 10.McLaughlin CC, Baptiste MS, Schymura MJ, Nasca PC, Zdeb MS. Maternal and infant birth characteristics and hepatoblastoma. Am J Epidemiol. 2006;163:818–28. doi: 10.1093/aje/kwj104. [DOI] [PubMed] [Google Scholar]
- 11.Brinton LA, Kjaer SK, Thomsen BL, Sharif HF, Graubard BI, Olsen JH, Bock JE. Childhood tumor risk after treatment with ovulation-stimulating drugs. Fertil Steril. 2004;81:1083–91. doi: 10.1016/j.fertnstert.2003.08.042. [DOI] [PubMed] [Google Scholar]
- 12.Gjerstorff ML. The Danish Cancer Registry. Scand J Public Health. 2011;39:42–5. doi: 10.1177/1403494810393562. [DOI] [PubMed] [Google Scholar]
- 13.Birch JM, Marsden HB. A classification scheme for childhood cancer. Int J Cancer. 1987;40:620–4. doi: 10.1002/ijc.2910400508. [DOI] [PubMed] [Google Scholar]
- 14.Jensen A, Sharif H, Frederiksen K, Kjaer SK. Use of fertility drugs and risk of ovarian cancer: Danish Population Based Cohort Study. BMJ. 2009;338:b249. doi: 10.1136/bmj.b249. [DOI] [PMC free article] [PubMed] [Google Scholar]
- 15.Raimondi S, Pedotti P, Taioli E. Meta-analysis of cancer incidence in children born after assisted reproductive technologies. Br J Cancer. 2005;93:1053–6. doi: 10.1038/sj.bjc.6602838. [DOI] [PMC free article] [PubMed] [Google Scholar]
- 16.Klip H, Burger CW, de KJ, van Leeuwen FE. Risk of cancer in the offspring of women who underwent ovarian stimulation for IVF. Hum Reprod. 2001;16:2451–8. doi: 10.1093/humrep/16.11.2451. [DOI] [PubMed] [Google Scholar]
- 17.Schuz J, Kaatsch P, Kaletsch U, Meinert R, Michaelis J. Association of childhood cancer with factors related to pregnancy and birth. Int J Epidemiol. 1999;28:631–9. doi: 10.1093/ije/28.4.631. [DOI] [PubMed] [Google Scholar]
- 18.van Steensel-Moll HA, Valkenburg HA, Vandenbroucke JP, van Zanen GE. Are maternal fertility problems related to childhood leukaemia? Int J Epidemiol. 1985;14:555–9. doi: 10.1093/ije/14.4.555. [DOI] [PubMed] [Google Scholar]
- 19.Roman E, Ansell P, Bull D. Leukaemia and non-Hodgkin's lymphoma in children and young adults: are prenatal and neonatal factors important determinants of disease? Br J Cancer. 1997;76:406–15. doi: 10.1038/bjc.1997.399. [DOI] [PMC free article] [PubMed] [Google Scholar]
- 20.Puumala SE, Ross JA, Olshan AF, Robison LL, Smith FO, Spector LG. Reproductive history, infertility treatment, and the risk of acute leukemia in children with down syndrome: a report from the Children's Oncology Group. Cancer. 2007;110:2067–74. doi: 10.1002/cncr.23025. [DOI] [PubMed] [Google Scholar]
- 21.Puumala SE, Spector LG, Wall MM, Robison LL, Heerema NA, Roesler MA, Ross JA. Infant leukemia and parental infertility or its treatment: a Children's Oncology Group report. Hum Reprod. 2010;25:1561–8. doi: 10.1093/humrep/deq090. [DOI] [PMC free article] [PubMed] [Google Scholar]
- 22.Doyle P, Bunch KJ, Beral V, Draper GJ. Cancer incidence in children conceived with assisted reproduction technology. Lancet. 1998;352:452–3. doi: 10.1016/s0140-6736(05)79186-8. [DOI] [PubMed] [Google Scholar]
- 23.Bruinsma F, Venn A, Lancaster P, Speirs A, Healy D. Incidence of cancer in children born after in-vitro fertilization. Hum Reprod. 2000;15:604–7. doi: 10.1093/humrep/15.3.604. [DOI] [PubMed] [Google Scholar]
- 24.Lerner-Geva L, Toren A, Chetrit A, Modan B, Mandel M, Rechavi G, Dor J. The risk for cancer among children of women who underwent in vitro fertilization. Cancer. 2000;88:2845–7. doi: 10.1002/1097-0142(20000615)88:12<2845::aid-cncr26>3.0.co;2-e. [DOI] [PubMed] [Google Scholar]
- 25.Pinborg A, Loft A, Nyboe AA. Neonatal outcome in a Danish national cohort of 8602 children born after in vitro fertilization or intracytoplasmic sperm injection: the role of twin pregnancy. Acta Obstet Gynecol Scand. 2004;83:1071–8. doi: 10.1111/j.0001-6349.2004.00476.x. [DOI] [PubMed] [Google Scholar]
- 26.Bradbury BD, Jick H. In vitro fertilization and childhood retinoblastoma. Br J Clin Pharmacol. 2004;58:209–11. doi: 10.1111/j.1365-2125.2004.02109.x. [DOI] [PMC free article] [PubMed] [Google Scholar]
- 27.Rufat P, Olivennes F, de MJ, Dehan M, Frydman R. Task force report on the outcome of pregnancies and children conceived by in vitro fertilization (France: 1987 to 1989) Fertil Steril. 1994;61:324–30. [PubMed] [Google Scholar]
- 28.Savage T, Peek J, Hofman PL, Cutfield WS. Childhood outcomes of assisted reproductive technology. Hum Reprod. 2011;26:2392–2400. doi: 10.1093/humrep/der212. [DOI] [PubMed] [Google Scholar]
- 29.Doornbos ME, Maas SM, McDonnell J, Vermeiden JP, Hennekam RC. Infertility, assisted reproduction technologies and imprinting disturbances: a Dutch study. Hum Reprod. 2007;22:2476–80. doi: 10.1093/humrep/dem172. [DOI] [PubMed] [Google Scholar]
- 30.Ludwig M, Katalinic A, Gross S, Sutcliffe A, Varon R, Horsthemke B. Increased prevalence of imprinting defects in patients with Angelman syndrome born to subfertile couples. J Med Genet. 2005;42:289–91. doi: 10.1136/jmg.2004.026930. [DOI] [PMC free article] [PubMed] [Google Scholar]
- 31.Cunha GR, Taguchi O, Namikawa R, Nishizuka Y, Robboy SJ. Teratogenic effects of clomiphene, tamoxifen, and diethylstilbestrol on the developing human female genital tract. Hum Pathol. 1987;18:1132–43. doi: 10.1016/s0046-8177(87)80381-7. [DOI] [PubMed] [Google Scholar]
- 32.Harris RM, Waring RH. Diethylstilboestrol--a long-term legacy. Maturitas. 2012;72:108–12. doi: 10.1016/j.maturitas.2012.03.002. [DOI] [PubMed] [Google Scholar]
- 33.Senderovitz T, Christensen HR. Lægemidler i graviditeten II. Praktisk Lægemiddelinformation. 1999;16:3–4. [Google Scholar]
- 34.Adam M, Rebholz CE, Egger M, Zwahlen M, Kuehni CE. Childhood leukaemia and socioeconomic status: what is the evidence? Radiat Prot Dosimetry. 2008;132:246–54. doi: 10.1093/rpd/ncn261. [DOI] [PubMed] [Google Scholar]



