1. INTRODUCTION
Spinal cord injury (SCI) affects 12,000 people every year, with the majority of these injuries occurring at the cervical level (NSCISC 2008). To enhance the clinical relevance of animal studies, there has been a surge of interest in cervical SCI models in rodents to investigate mechanisms of injury and treatment strategies to enhance functional recovery. Although cervical SCI models are now being used extensively, rapid and reliable behavioral assessments that can capture forelimb function during open field locomotion are needed to provide a description of functional outcome.
Available techniques to assess motor and sensory deficits of the forelimb include: single pellet reaching (McKenna et al., 1999), tactile discrimination (Allred et al., 2008), grooming (Bertelli and Mira, 1993), grip strength (Anderson et al., 2005), horizontal ladder walking (Soblosky et al., 1997, 2001), limb preference (Shumsky et al., 2003), gait analysis (Hamers et al., 2001), forelimb step-alternation test (Khiang et al., 2012) and kinematic analysis (Metz et al., 1998). Most of these tests require pre-training, which is time consuming, and food or water deprivation, which can interfere with an animal’s physiological and behavioral performance (Tucci et al., 2006; Jang et al., 2013; Yanai et al., 2004; Heiderstadt et al., 2000). Also, because many of these tests cannot be performed by animals in the early stages of recovery after injury, the full extent of deficits and early stages of recovery cannot easily be assessed. For example, gait analysis cannot be accurately performed on an animal that is unable to achieve weight support. Thus, there remains a need to develop tests that assess locomotor abilities in animals with forelimb deficits across the full range of behavior post-injury.
To this end, a few scales have been created to assess forelimb locomotor behavior after unilateral and bilateral cervical injuries in rodents. Our group has developed the Forelimb Locomotor Scale (FLS) for use in both surgical and contusive unilateral cervical injury (Cao et al., 2008; Sandrow-Feinberg et al., 2009). Martinez (2009) created a modified BBB scale for use in surgical unilateral cervical injury. Anderson (2009) created the Forelimb Locomotor Assessment Scale (FLAS) for use in a midline contusive cervical injury model. Each of these scoring systems has advantages and disadvantages. FLS was designed for high throughput studies to deliver a quick observational score that describes the forelimb’s functional capability during locomotion. In the current study, we focused on validating the use of the FLS to assess early deficits and long-term recovery following several different types of cervical injuries including unilateral contusion, dorsolateral funiculotomy and hemisection injuries across commonly used cervical injury levels (C3–C5). We also correlated the FLS scores with grid walking and kinetic measurements of forelimb behavior, as well as with the amount of spared white matter at the injury site. To examine inter-rater reliability, we compared scores from novice raters to those from expert raters and the accuracy of live scoring with scoring from a digital video. By demonstrating the validity and reliability of our FLS score we propose that it can be easily employed in other laboratories.
2. MATERIAL AND METHODS
2.1. Animals and Groups
A total of 46 (female = 41, male = 5) adult (225–250 g) Sprague-Dawley rats sustained a unilateral cervical SCI of various types and severities. Some of these animals were used for scale development and all were used for scale validation (Table 1).
Table 1.
Animal groups and details of injury severity and levels of injury.
| Abbrev | Injury Type | Level | Sex | Sample Size | Purpose |
|---|---|---|---|---|---|
| C100 | Contusion – Mild (100 kdyne) | C5 | Female | N=10 | Development and Validation |
| C200 | Contusion – Moderate (200 kdyne) | C5 | Female | N=10 | Development and Validation |
| HX | Hemisection | C5 | Female | N=9 | Development and Validation |
| C200 | Contusion – Moderate (200 kdyne) | C4 | Female | N=6 | Validation |
| DLF | Dorsolateral funiculotomy | C3/4 | Female | N=6 | Validation |
| C200 | Contusion – Moderate (200 kdyne) | C3/4 | Male | N=5 | Validation |
2.2. Spinal cord injury
All animals were subjected to surgical procedures that were performed in accordance with protocols approved by the Drexel University College of Medicine’s Institutional Animal Care and Use Committee and followed National Institutes of Health guidelines for the care and use of laboratory animals. Animals were anesthetized with a mixture of ketamine (60 mg/kg) and xylazine (6 mg/kg) and a unilateral cervical laminectomy was performed to expose the spinal cord at the appropriate level. For contusion injuries, the vertebral column was stabilized by clamping the vertebral bodies immediately above and below the lesion level with forceps fixed to the base of an Infinite Horizon Impact Device (Precision Systems and Instrumentation, Lexington, KY). Animals were placed on the impactor and the custom-built 1.6 mm stainless steel tip was positioned over the right side at the lesion level such that the tip was immediately above the spinal cord midway between the medial dorsal vein and the lateral edge of the spinal cord. The impactor tip was lowered to 3–4 mm above the dorsal surface of the spinal cord and the field flooded with sterile saline up to the impactor tip. A moderate or mild contusion injury was created by an impact force of 200 Kdyne (C200) and 100 Kdyne (C100), respectively. After injury, animals were immediately released from the clamping forceps and muscle layers were closed with sutures and the skin incision was closed with wound clips (Krisa et al., 2011; Sandrow-Feinberg et al., 2009). For dorsolateral funiculotomy (DLF), a longitudinal incision was made in the dura to gain access to the spinal cord and the right dorsolateral funiculus was removed by gentle aspiration with a finely pulled glass pipette resulting in a lesion cavity that was 1.5–2 mm in length. For hemisection, the entire right half of the spinal cord was removed by aspiration, resulting in a cavity that was 2–3 mm in length. The dura was closed using a 10-0 suture, the overlying muscles closed with sutures and the skin incision closed with wound clips (Stackhouse et al., 2008). Animals were given ampicillin (100 mg/kg) and the analgesic buprenorphine (0.05 mg/kg) for 3 days post operatively.
2.3. Behavioral testing
After acclimation to the various testing apparatus over a 1-week period, baseline pre-injury scores for forelimb locomotor scale, hindlimb open field test (BBB), grid walking, and kinetic tests were established for each animal. Details of each testing procedure and time-point are described below.
2.3.1. Forelimb Open Field Test
2.3.1.1. Testing Procedure
Post-injury, forelimb open-field testing was performed at Days 2, 3, 4 and 7 in the first week during development of the scale, 3 days post-injury during scale validation, and weekly thereafter for 8 weeks for all animals. Rats were placed in an enclosure (2.5 × 3 foot diameter) allowing the animal to move freely in the open field. The rats were observed and live scored for 4 minutes during testing. Forelimb behavior was also recorded by digital video with a minimum of three locomotor passes showing the affected limb. If the animal remained stationary for more than 15 seconds it was picked up (held at mid-trunk) and placed in the center of the field to reinstate locomotion. While observing the animal in the open field a score sheet was filled out by two observers (see Table 2). The score sheet was designed as a series of simple parameters so that the observations could be translated directly into a score that provided an accurate description of the animal’s performance. Also, the use of the score sheet allowed the observer to record the movements as they occurred during testing. No scores were given while the animal was turning, rearing, defecating or urinating.
Table 2.
Forelimb Locomotor Scale (FLS) Score Sheet
| Rat ID : | Scored by: | FLS Score of Affected Limb: | ||||||
|---|---|---|---|---|---|---|---|---|
| Experiment: | Date Post Injury: | |||||||
| Joint Movements | Weight Support in Stance | Stepping | Predominant Paw Position (Initial Contact or Lift Off) | Toe Clearance | ||||
| Shoulder | Elbow | Wrist | Dorsal | Plantar | Dorsal | Plantar | ||
| None | None | None | None | None | Occasional (1–50%) | Occasional (1–50%) | Rotated | Occasional (1–50%) |
| Slight | Slight | Slight | Partial | Partial | Frequent (51–99%) | Frequent (51–99%) | Parallel | Frequent (51–99%) |
| Extensive | Extensive | Extensive | Full | Full | Continuous (100%) | Continuous (100%) | Continuous (100%) | |
| FLS Score: 0–6 | FLS Score: 7 | FLS Score: 8–11 | FLS Score: 12–17 | |||||
2.3.1.2. Scale Development
Animals with mild contusion, moderate contusion and hemisection injuries at the C5 level were used for scale development. The categories were based on behavioral changes observed after unilateral cervical injury. The scoring order and the scale were determined by the consensus of several experienced BBB raters observing the behavioral changes and assessing typical pattern of recovery over time. Immediately after injury, the joint movements at all three forelimb joints (shoulder, elbow, wrist) were significantly affected and recovery in these joint movements was assessed as none, slight (less than 50% of normal range of motion) or extensive (more than 50%) during locomotion (FLS Scores: 0–6). Following improvement in movements of two or all the joint movements, improvement in foot placement was observed. Plantar or dorsal placement of the foot with no, partial or full weight support was observed (FLS Score: 7). The improvement further extended to dorsal stepping with partial or full weight support followed by occasional (less than 50%) to frequent (50–95%) to continuous (100%) plantar stepping (FLS Scores: 8–11). Once continuous plantar placement was observed, focus was turned to the paw. Paw placement was scored as either parallel or rotated during locomotion (FLS Scores: 11–13). Animals were required to have continuous plantar placement before toe clearance was assessed. Toe clearance was assessed to determine if the toe was raised above the ground and cleared during swing phase of locomotion. The paw, however, could be either parallel or rotated. Toe clearance in plantar-stepping animals was then assessed as being occasional (less than 50%), frequent (greater than 50%, but less than 99%) and continuous (100%) (Scores: 14–17). A higher score was given to an animal with parallel paw placement and occasional clearance than to an animal with similar clearance but rotated paw. Animals with frequent or continuous toe clearance were often observed to have parallel paw placements. We did not include forelimb-hindlimb coordination, because this function is often spared except in very extensive unilateral injury models where the interlimb locomotion circuits can be affected quite variably depending upon the lesion type.
2.3.1.3. FORELIMB LOCOMOTOR SCALE
| SCORE | DESCRIPTOR |
|---|---|
| 0 = | No movements of the forelimb (shoulder, elbow, or wrist joints) |
| 1 = | Slight movements of one or two joints of the forelimb |
| 2 = | Extensive movement of one joint and slight or no movement of another joint of the forelimb |
| 3 = | Slight movements of all three joints of the forelimb |
| 4 = | Extensive movement of one joint and slight movement of two joints of the forelimb |
| 5 = | Extensive movement of two joints and slight movement of one or no joints of the forelimb |
| 6 = | Extensive movement of all three joints of the forelimb |
| 7 = | Dorsal or Plantar placement of the forelimb with no or partial weight support in that limb during stance |
| Weight support is seen when the body is elevated above the surface and there is muscle tension visible in the elbow and/or the shoulder. By definition, there is no stepping without weight support present in that limb. Plantar stepping is considered to be Occasional if 1–50% of the steps are plantar, Frequent if 51–99% of the steps are plantar, and Continuous if 100% of the steps are plantar. | |
| 8 = | Dorsal stepping only |
| 9 = | Dorsal stepping with occasional plantar stepping |
| 10 = | Frequent plantar stepping with occasional dorsal stepping |
| 11 = | Continuous plantar stepping with poor wrist control indicated by a mix of rotated and parallel paw position (either at initial contact, lift off, or both) and no toe clearance |
| 12 = | Continuous plantar stepping with paw position predominantly rotated (either at initial contact, lift off, or both) and no toe clearance |
| 13 = | Continuous plantar stepping with paw position predominantly parallel (either at initial contact, lift off, or both) and no toe clearance |
| 14 = | Continuous plantar stepping with paw position predominantly rotated (either at initial contact, lift off, or both) and occasional or frequent toe clearance |
| 15 = | Continuous plantar stepping with paw position predominantly parallel (either at initial contact, lift off, or both) and occasional toe clearance |
| 16 = | Continuous plantar stepping with paw position predominantly parallel (either at initial contact, lift off, or both) and frequent toe clearance |
| 17 = | Continuous plantar stepping with paw position predominantly parallel (either at initial contact, lift off, or both) and continuous toe clearance |
2.3.1.4. Scale Validation
To validate the forelimb locomotor scale, we used three approaches. First, we used two additional groups of female rats with injury at different levels (DLF at C3/4 and moderate contusion at C4) and one group of male rats with injury similar to that used for female rats (Moderate contusion at C3/4: 200 Kdyne). Second, we used other behavior assessments including grid walking and kinetic tests to correlate the FLS score with these established outcomes at various time points. Finally, we performed a correlation analysis between the spared white matter and FLS score observed at Wk 8 post-injury.
2.3.2. Hindlimb Open Field Test
Rats were placed in an enclosure and scored according to the BBB scale by 2 observers who were blinded to the experimental conditions (Basso et al., 1995) Observations were made for 4 min before injury and after injury at Days 2, 3, 4 and 7, and Wks 4 and 8.
2.3.3. Grid-walking Test
Paw placement for the affected forelimb and hindlimb was assessed as the animals walked on an elevated plastic coated wire mesh grid (36 cm × 38 cm with 3 cm2 openings). The animals are placed on the grid for 2 min and allowed to walk freely across the space. Each limb was scored for the total number of steps and the total number of missteps. A misstep occurs when the entire foot falls through the grid. The total number of steps and missteps were added together to obtain the total number of placements. The percent correct was calculated by dividing the number of steps by the total number of placements (steps plus missteps). Grid-walk testing has been validated as a sensorimotor assessment (Grill et al., 1997).
2.3.4. Kinetic Test
A clear acrylic (15mm thick) walkway was confined to a width of 100 mm by two clear acrylic walls (130mm high). Two 6 degree-of-freedom miniature (17 mm diameter) force/torque cells (nano17, ATI Industrial Automation, Apex North Carolina) were mounted to two 70 mm long acrylic force plates (15 mm thick), which were placed 150 mm from the entrance to the walkway. A 2 mm gap was placed between plates and the walkway to avoid loads transferring between plates and the walkway. A darkened box was placed 600 mm from the entrance of the walkway to encourage the animals to walk. Animals were placed at one end of the walkway and allowed to walk freely. As the animal walked over the force platforms, vertical ground reaction forces were obtained. A camera placed under the walkway, acquiring data at 60 fps, was used to identify which paws were placed on the platforms. A Matlab program was used to generate the force plots and mean forces (from 3 walks) were expressed as percentages of body weight.
2.4. Histological Analysis
Animals used for scale development were euthanized at the end of the study using Euthasol (50 mg/kg, i.p.) and perfused transcardially with 4% paraformaldehyde in 0.1M Sorenson’s phosphate buffer. A length of spinal cord between C3 and C6 level was removed, post-fixed in paraformaldehyde at 4°C for 4 hours, and then submersed in 30% sucrose for 36 hours at 4°C. Spinal cord was then embedded in OCT and every fifth section of 25 μm thickness was mounted on a glass slide. The sections were then stained for Nissl-myelin histology to detect the amount of spared tissue (Sandrow-Feinberg et al., 2009). The contralesional side of the spinal cord served as the control and the percentage of spared tissue was determined using Image J software (Rasband, 2011).
2.5. Statistical Analysis
Two expert raters came to a consensus score for the same animals both by live animal observation and from a digital video recording and their live and video scores were analyzed by interclass correlation coefficient model (ICC) (3, 1) to determine intra-rater reliability. Inter-rater reliability was tested among six raters. Three of these were experienced (experts) BBB scorers who helped develop the FLS score and other three were first-time (naïve) FLS scorers. All raters were introduced to the scale with examples of videos and a detailed description of the scores. The experienced raters all came to a single consensus score which served as our standard of comparison. Naïve raters scored the animals individually from the videos. Model ICC (2, 1) was used to quantify inter-rater reliability. When ICC = 1.0, there is perfect agreement between ratings or raters. The standard error of measure (SEM) was calculated as: SEM = SD(√1- r), where SD is the standard deviation of the sample and r is the reliability coefficient of the measurement. The SEM was used to estimate the minimal detectable change at the 90% confidence interval (MDC90%) of the FLS scale and was calculated as: MDC90% = 1.65(SEM)√2. The MDC90% statistic allows us to estimate how much change in the FLS represents a true change above random variation. Data are presented as group means ± SEM.
A two-way ANOVA between various groups and times, with time taken as a repeated measure, was used to establish a significant difference between the various groups. Simple linear regression was then performed between various behavior tests and FLS scores. Similar analysis was performed for histological results indicating the percentage of spared tissue. All analyses were conducted using SPSS 11.0 software (SPSS Inc., Chicago, Il) and p<0.05 was considered significant.
3. RESULTS
3.1. Forelimb locomotor rating scale (FLS)
The scale was developed by observing animals from three groups, where each group was subjected to a different injury model (mild contusion, moderate contusion, and hemisection) at the same cervical level (C5) (Fig. 1). Similar deficits were observed in all animals at Day 2 post-injury, where animals could only perform extensive movement of one joint, usually shoulder, and slight movements of other joints. However, starting Day 3, the severity of injury greatly affected the outcome of locomotor recovery such that animals with mild contusion injury exhibited extensive movement of all three joints and had significant improvement in the locomotor function compared to moderately contused and hemisected rats that could only perform extensive movement of one joint. On Day 4, rats in all three groups exhibited significant recovery in function. Animals with moderate contusion had recovery comparable to the mildly contused rats. A continuous improvement in the recovery was observed in the following days until Wk 2 and a plateau was observed by Wk 3 for hemisected and moderately contused animals. Hemisected rats could perform dorsal stepping or frequent plantar stepping and moderately contused rats were able to perform continuous plantar stepping with rotated paw at this time point. The mildly contused rats continued to have a slight improvement in function until Wk 4 when they plateauted with performing continuous plantar stepping, with parallel or rotated paw position and no or occasional toe clearance (FLS Score: 13–15). The mildly contused rats had higher scores than the hemisected rats at all time points except Day 2. The moderately contused rats were significantly better than hemisected rats at all time points except Days 2 and 3. The scores were significantly different between the mildly and moderately contused rats except at Days 2, 4, 7 and Wks 2 and 3.
Figure 1.
Scale Development: FLS scores can detect differences in recovery by injury type and severity (C5 level). The mildly C5 contused rats (C100) had higher scores than the C5 hemisected (HX) rats at all time points (ϕ p<0.05) except Day 2. The moderately C5 contused rats (C200) were significantly better than hemisected rats at all time points (# p<0.05) except Days 2 and 3. The scores were significantly different between the mildly and moderately contused rats (* p<0.05) except at Days 2, 4, 7 and Wks 2 and 3.
Next, to assess the validity of the scale, we produced additional sets of animals with different injury model (DLF at C3/4 level), level of injury (moderate contusion at C4 level) and sex (moderate contusion at C3/4 level in male rats) (Fig. 2). Animals with DLF injury had significantly higher scores than the moderately contused rats at same cervical level. Thus, the scores in animals with less severe injury were higher than animals with greater injury severity. Moderately contused rats with injuries at C4 were also not significantly different in their final FLS scores from animals with moderate contusions at the C5 level. Thus, the level of injury did not greatly influence the forelimb locomotor rating scores. Finally no difference between the male and female rats injured with similar injury severity was observed.
Figure 2.
Scale Validation: FLS scores can be used for additional injury models. Animals with dorsolateral funiculotomy (DLF) injury at C3/4 had significantly higher scores than the moderately contused rats (C200) at same C4 cervical level (* p < 0.05). No difference was observed between moderately contused (C200) male (C3/4) and female (C4) rats.
3.2 Open field locomotor test (Fig 3)
Figure 3.
Hindlimb (BBB) scores of affected limb following C5 SCI of different severity. BBB scores were not different between animals immediately after injury. However, a significant difference in the BBB scores was observed between both the mildly contused (C100, * p<0.05) and moderately contused (C200, # p<0.05) and hemisected (HX) rats at both Wk 4 and Wk 8.
The BBB scores were assessed for animals (with C5 level injuries) that were live-scored for forelimb locomotor scale. Immediately after injury, the hindlimb locomotor scale was not significantly different between animals with different injury severity or type. However, at Wk 4, BBB scores of contused animals were significantly higher than those of the hemisected animals. BBB scores for contused rats continued to improve at Wk 8, however hemisected rats BBB scores plateaued after Wk 4 and remained significantly lower than the contused animals. FLS scores for these groups of animals continued to improve in the first few days after injury but, unlike BBB scores, a similar trend of plateaued recovery was observed for hemisected rats after Wk 4. For contused rats, the forelimb scores (Fig 1), like the BBB scores (Fig 3), continued to improve after Wk 4. Also, there was a significant difference between the FLS scores of mildly and moderately contused rats at Wk 8, an observation similar to BBB scores. Thus, the FLS and BBB scores exhibited similar trends of recovery in animals with different injury severity, with the exception that the BBB scores in the days immediately post forelimb injury are similar in all injury groups.
3.3. Scale Validation using other behavior tests (C5 level injuries)
3.3.1. Grid walk test (Fig. 4)
Figure 4.
Grid walking scores of affected forelimb (A) and hindlimb (B) following C5 SCI. Significant increases in correct stepping were observed between both the mildly contused (C100, * p<0.05) and moderately contused (C200, # p<0.05) and hemisected (HX) rats.
To establish a correlation between the FLS score and grid walk test, the percentage of correct steps was determined in the affected fore- and hindlimbs. Forelimb scores were significantly affected by the injury severity and were significantly lower at Wks 2–8 in hemisected rats compared to contused rats. Simple linear regression revealed a positive association (R2 = 0.5868, p<0.05) between the FLS scores and % of correct steps for the affected forelimb. Hindlimb grid walk test scores were unaffected by cervical SCI, except hemisected rats had significant decrease in the % of correct steps compared to contused rats at Wks 2, 3 and 4.
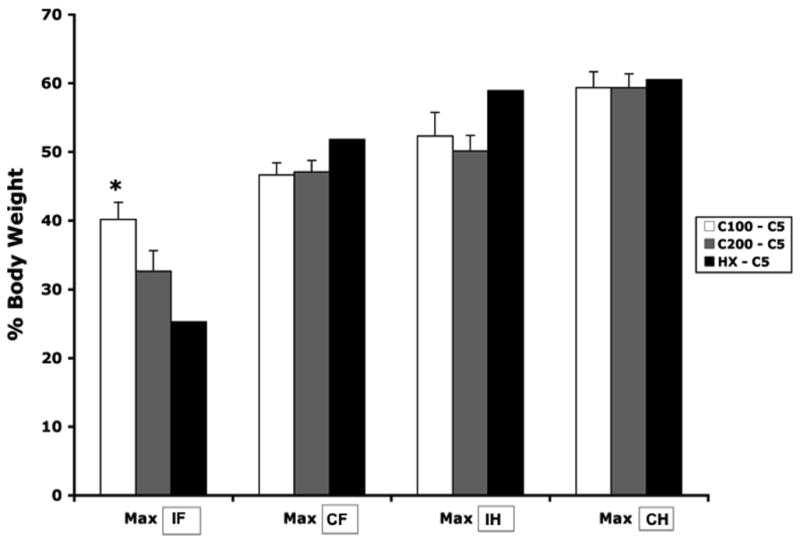
3.3.2. Kinetic Test (Fig. 5)
Figure 5.

Maximum vertical forces expressed as % of body weight for the ispilesional (I) and contralesional (C) fore (F) and hind (H) limbs as recorded from force plates while the C5 SCI animal locomoted on a walkway. Mildly contused rats (C100) exhibited significantly more vertical kinetic force in the right forelimb (* p<0.05) than moderately contused rats (C200). Since data could only be collected from one hemisected (HX) rat, its data were not analyzed, but it displayed even less vertical force in its right forelimb.
A kinetic test was performed for all injured animals at Wk 8. All contused rats (mild and moderate) were able to locomote on the kinetic setup, however only one hemisected rat was able to perform on the walkway. Uninjured animals bear approximately 50% of body weight (BW) on the forelimbs and 50% on the hindlimbs. In all injured animals, a decrease in support by the affected forelimb was observed when compared to the uninjured side. Hindlimb scores between the injured and uninjured sides were not affected by the cervical injury. Forelimb and hindlimb scores were not different on the uninjured side for all injury groups. Also, a significant association (R2 = 0.3720, p < 0.05) between the FLS and vertical force recorded from the affected forelimb at Wk 8 was observed in contused rats of various injury severities Analysis could not be performed for hemisected rats due to a small sample size.
3.3.3. Histology
Lesion extent was assessed quantitatively in transverse sections of the cervical spinal cord at the injury site (Table 3). In mild and moderate contusion injuries, the dorsal funiculus, lateral funiculus and gray matter were severely damaged (Fig. 6). The ventral portion of the white matter was spared, more in mild contusions and less in moderate contusion injuries. There was a slight variation in the injury and the spared tissue was related to the severity of injury (IH force and spared tissue were significantly correlated, data not shown). Quantification of the spared tissue at the epicenter was used to determine if a correlation existed between the spared tissue and FLS scores (Table 3). A significant positive association (R2 = 0.7437, p < 0.05) was observed between the FLS score at Wk 8 and spared tissue (Fig. 7).
Table 3.
Injury group, spared tissue (%) at the epicenter and FLS score at wk 8. A strong R squared value (p<0.05) between the spared tissue and FLS score was observed in all animals.
| Injury Type | Spared Tissue (%) | FLS score |
|---|---|---|
| C100 Kdyne | 71.4 ± 2.3 | 15.1 ± 0.7 |
| C200 Kdyne | 63.8 ± 4.2 | 12.9 ± 0.9 |
| HX | 59.4 ± 5.1 | 10.4 ± 0.3 |
Figure 6.
Nissl-myelin stain of representative samples of mild contusion (A), moderate contusion (B), and hemisection (C) at C5.
Figure 7.

In C5 injury group, spared tissue (%) at the epicenter and FLS score at wk 8. A strong positive correlation (R2 = 0.7437, p<0.05) was observed between the spared tissue and FLS score in animals selected from each group.
3.4. Reliability
A high degree of intra-rater reliability was found amongst two expert scorers when scoring by observation of live animals or from video recordings ICC (3,1) = 0.968. The observed variability occurred when rating higher functioning animals (FLS Score: 13–17) where raters were judging paw rotation and toe clearance. The expert raters also reported less confidence in their live scoring results than in their video scores because they felt it was hard to distinguish the degree of forelimb paw positions and toe drags. Consequently, while we demonstrate no difference between live and video scoring, we recommend video scoring for ease of use.
A total of six scorers were included to evaluate the ease of learning this test and its reliability among various scorers. Three scorers were considered experts with experience scoring the BBB and having developed the FLS score. Three first-time FLS scorers, participated as naïve raters. After a few sessions of training, all scorers scored a total of 30 animals that had scores ranging from 0–17. No significant difference between the average scores of naïve and expert scorers was observed. Interclass correlation analysis to test inter-rater reliability between scores from the expert and naïve raters resulted in ICC (2,1) = 0.971. We calculated a minimal detectable change (MDC90%) of 1.98 for the FLS score. This means that changes in FLS scores of greater than 2 points are significantly different from random variation with the exception that smaller differences that span specific milestones may still be of interest, such as from absence to presence of weight supported stepping (FLS Score of 7 to 8).
4. DISCUSSION
The FLS ratings were created from observation of the sequence of recovery from unilateral mild contusion (C100), moderate contusion (C200) and complete (HX) spinal cord injury at C5 level. The pattern of recovery was also validated over time in moderate contusion (C200) injury at C4 level and DLF and moderate contusion (C200) injury at C3/4 level. In general, the lower scores indicate forelimb joint movements, the middle scores indicate degree of weight supported stepping, and the higher scores indicate more distal motor control involving paw placement and toe clearance. Like the BBB score, it is not clear what the underlying changes are that produce this pattern of recovery, nor did this study attempt to address those issues. Instead we have developed and validated a new tool for reliable, early post injury and rapid forelimb behavioral assessments.
A high degree of reliability was found between scores generated by three experts versus three novice raters, suggesting that the FLS score is highly reliable and easy to learn. Reliability was further expressed by calculating the MDC90%, which determined that a change of 2 points or greater on the FLS would be above that of random variation. Comparison of live scoring versus scoring from video showed a similar degree of high reliability, although raters reported less confidence in rating scores above 12 during live scoring. Thus similar to the BMS scores for mouse hindlimb locomotor movements (Basso et al., 2006), we recommend using video scoring in order to best observe the smaller and faster movements involving paw position and toe clearance. Finally, we compared video scoring results from individual naïve scorers to a consensus expert score and found a high degree of inter-rater reliability. Thus, we have demonstrated that the FLS score can be reliably obtained by a newly trained single scorer using video records.
Several forelimb locomotor assessment scales have recently been introduced and each has advantages and disadvantages. The scale by Martinez (2009) has been validated for unilateral cervical surgical injuries at C4 in males. However, because of its cumulative scoring approach, it is possible for the same score to represent different forelimb behaviors, which is potentially confusing for experiments designed to investigate structure function relationships. The FLAS (Anderson et al., 2009) has been validated for bilateral cervical injury at C5–C7 levels in females. It provides a detailed description of fine motor skills and limb kinematics, but requires pre-training the animals. In this study, FLS score was validated for several unilateral cervical models, both contusion and surgical injuries at C3/4 and C5 in female and male rats. It has the advantage of not requiring pre-training of the animals and data can be quickly collected and scored by a single investigator. Furthermore, the FLS test allows reliable and very early post-op (as early as 2 days post injury) assessment of forelimb behavior recovery. While it would be interesting to directly compare these three scores for the same animals, it may be more productive for the investigator to simply select the appropriate scale based upon the specifics of the experimental design and outcomes required.
We correlated recovery of forelimb locomotor behavior over time on the FLS score with grid walking performance, a measure of sensorimotor integration (Grill et al., 1997). We found that the FLS score was able to discriminate among our three injury models (mild, moderate and hemisection at C5) whereas the grid-walking test was only able to discriminate between the contusion and surgical models. This is not surprising since both mild and moderate contusion injuries at the C5 level affected dorsal horn, and dorsal funicular structures to different degrees, consistent with the severity of the injury. In addition, the apparent increase in grid-walking seen in week 1 is probably due to temporarily reduced locomotor abilities of the animals as they recover from injury, resulting in a lower number of total steps that increased the ratio of incorrect placements to total number of placements. Similar results have been reported in other studies using the grid test (Onifer et al., 2005; Soblosky et al., 1997). This technical limitation was not observed using the FLS score. Thus, the FLS score is actually more useful for comparisons between C5 contusion injuries than is forelimb grid walking performance.
Kinetic testing for ground reaction forces and histological analysis was performed for all injured animals (C5 level injuries) at Wk 8. A significant correlation (R2 = 0.3720, p < 0.05) between the FLS score and vertical force recorded from the affected forelimb was observed across mildly and moderately contused rats. Since kinetic data could be collected from the only rat that had received a cervical hemisection, correlational analysis was not performed, although that rat’s kinetic data were much lower than those of the contused rats and corresponded to a lower FLS score. Lesion extent was assessed quantitatively in transverse sections of the cervical spinal cord at the injury site. In mild and moderate contusion injury the dorsal funiculus, lateral funiculus and gray matter was severely damaged. The ventral funiculus was spared, more in the mild and less in the moderate contusion injuries. Cervical spinal hemisection typically spared a very small amount of the ispilesional dorsal and ventral funiculi. Quantification of the spared lateral tissue at the epicenter correlated significantly with the FLS scores.
Finally, we extended the use of the FLS score to the C3/4 contusion, C4 contusion and C3/4 dorsolateral funiculotemy models. Animals with a substantially smaller DFL injury (Stackhouse et al., 2008) had significantly higher FLS scores than did the moderately contused rats at the same cervical level. Thus, the FLS score can also discriminate injury severity at C3/4 level. FLS scores from moderately contused rats at C4 were not significantly different from moderately contused rats at C5. Finally, no difference between male and female rats injured with similar severity was observed. Our group has used the FLS to detect behavioral improvements associated with therapeutic interventions (Cao et al., 2008; Sandrow-Feinberg et al., 2009) thus demonstrating its utility for assessing functional recovery following treatments. Another group has used FLS scale to validate their newly developed forelimb step-alternation test in a lateral C3–4 hemisection SCI model (Khaing et al., 2012). They employed FLS score to exhibit that step-alternation test can separate lesioned animals into groups that predict their spontaneous recovery profiles. In conclusion, we present the FLS scale as a rapid and useful assessment of forelimb locomotor behavior that has been validated for unilateral upper cervical injuries.
Acknowledgments
This study was supported by grants from The Craig H. Neilson Foundation (to J.S.S.) and the National Institutes of Health PO1 NS 055976. We wish to thank Kassi Miller, Christina Spino and Theresa Connors for their technical assistance.
Footnotes
Publisher's Disclaimer: This is a PDF file of an unedited manuscript that has been accepted for publication. As a service to our customers we are providing this early version of the manuscript. The manuscript will undergo copyediting, typesetting, and review of the resulting proof before it is published in its final citable form. Please note that during the production process errors may be discovered which could affect the content, and all legal disclaimers that apply to the journal pertain.
Contributor Information
Anita Singh, University of Delaware, Newark, DE
Laura Krisa, Drexel University, College of Medicine, Queen Lane, Philadelphia, PA
Kelly L Frederick, Drexel University, College of Medicine, Queen Lane, Philadelphia, PA
Harra Sandrow-Feinberg, Drexel University, College of Medicine, Queen Lane, Philadelphia, PA
Scott K Stackhouse, Drexel University, College of Medicine, Queen Lane, Philadelphia, PA
Marion Murray, Drexel University, College of Medicine, Queen Lane, Philadelphia, PA
Jed S. Shumsky, Drexel University, College of Medicine, Queen Lane, Philadelphia, PA
References
- Allred RP, Adkins DL, Woodlee MT, Husbands LC, Maldonado MA, Kane JR, Schallert T, Jones TA. The vermicelli handling test: a simple quantitative measure of dexterous forepaw function in rats. J Neurosci Methods. 2008;170:229–44. doi: 10.1016/j.jneumeth.2008.01.015. [DOI] [PMC free article] [PubMed] [Google Scholar]
- Anderson KD, Gunawan A, Steward O. Quantitative assessment of forelimb motor function after cervical spinal cord injury in rats: relationship to the corticospinal tract. Exp Neurol. 2005;194:161–74. doi: 10.1016/j.expneurol.2005.02.006. [DOI] [PubMed] [Google Scholar]
- Anderson KD, Sharp KG, Hofstadter M, Irvine KA, Murray M, Steward O. Forelimb locomotor assessment scale (FLAS): novel assessment of forelimb dysfunction after cervical spinal cord injury. Exp Neurol. 2009;220(1):23–33. doi: 10.1016/j.expneurol.2009.08.020. [DOI] [PMC free article] [PubMed] [Google Scholar]
- Basso DM, Beattie MS, Bresnahan JC. A sensitive and reliable locomotor rating scale for open field testing in rats. J Neurotrauma. 1995;12:1–21. doi: 10.1089/neu.1995.12.1. [DOI] [PubMed] [Google Scholar]
- Basso DM, Fisher LC, Anderson AJ, Jakeman LB, McTigue DM, Popovich PG. Basso Mouse Scale for locomotion detects differences in recovery after spinal cord injury in five common mouse strains. J Neurotrauma. 2006;23:635–59. doi: 10.1089/neu.2006.23.635. [DOI] [PubMed] [Google Scholar]
- Bertelli JA, Mira JC. Behavioral evaluating methods in the objective clinical assessment of motor function after experimental brachial plexus reconstruction in the rat. J Neurosci Methods. 1993;46:203–8. doi: 10.1016/0165-0270(93)90068-3. [DOI] [PubMed] [Google Scholar]
- Cao Y, Shumsky JS, Sabol MA, Kushner RA, Strittmatter S, Hamers FP, Lee DH, Rabacchi SA, Murray M. Nogo-66 receptor antagonist peptide (NEP1–40) administration promotes functional recovery and axonal growth after lateral funiculus injury in the adult rat. Neurorehabil Neural Repair. 2008;22:262–78. doi: 10.1177/1545968307308550. [DOI] [PMC free article] [PubMed] [Google Scholar]
- Grill R, Murai K, Blesch A, Gage FH, Tuszynski MH. Cellular delivery of neurotrophin-3 promotes corticospinal axonal growth and partial functional recovery after spinal cord injury. J Neurosci. 1997;17:5560–72. doi: 10.1523/JNEUROSCI.17-14-05560.1997. [DOI] [PMC free article] [PubMed] [Google Scholar]
- Hamers FPT, Lankhorst AJ, Van Laar TJ, Veldhuis WB, Gispen WH. Automated quantitative gait analysis during overground locomotion in the rat: its application to spinal cord contusion and transaction injuries. J Neurotrauma. 2001;18:187–201. doi: 10.1089/08977150150502613. [DOI] [PubMed] [Google Scholar]
- Heiderstadt KM, McLaughlin RM, Wright DC, Walker SE, Gomez-Sanchez CE. The effect of chronic food and water restriction on open-field behaviour and serum corticosterone levels in rats. Lab Anim. 2000;34(1):20–8. doi: 10.1258/002367700780578028. [DOI] [PubMed] [Google Scholar]
- Jang EH, Ahn SH, Lee YS, Lee HR, Kaang BK. Effect of Food Deprivation on a Delayed Nonmatch-to-place T-maze Task. Exp Neurobiol. 2013;22(2):124–7. doi: 10.5607/en.2013.22.2.124. [DOI] [PMC free article] [PubMed] [Google Scholar]
- Khaing ZZ, Geissler AS, Jiang S, Milman DB, Aguilar VS, Schmidt EC, Schallert T. Assessing Forelimb Function after Unilateral Cervical Spinal Cord Injury: Novel Forelimb Tasks Predict Lesion Severity and Recovery. J Neurotrauma. 2012;29(3):488–498. doi: 10.1089/neu.2011.2106. [DOI] [PubMed] [Google Scholar]
- Krisa L, Frederick KL, Canver J, Stackhouse SK, Shumsky JS, Murray M. Amphetamine enhanced motor training following cervical contusion injury. J Neurotrauma. 2011 doi: 10.1089/neu.2011.1767. Epub 2011, Jun 8. [DOI] [PMC free article] [PubMed] [Google Scholar]
- Martinez M, Brezun JM, Bonnier L, Xerri C. A new rating scale for openfield evaluation of behavioral recovery after cervical spinal cord injury in rats. J Neurotrauma. 2009;26:1043–53. doi: 10.1089/neu.2008.0717. [DOI] [PubMed] [Google Scholar]
- McKenna JE, Whishaw IQ. Complete compensation in skilled reaching success with associated impairments in limb synergies after dorsal column lesion in the rat. J Neurosci. 1999;19:1885–94. doi: 10.1523/JNEUROSCI.19-05-01885.1999. [DOI] [PMC free article] [PubMed] [Google Scholar]
- Metz GA, Dietz V, Schwab ME, Van de Meent H. The effects of unilateral pyramidal tract section on hindlimb motor performance in the rat. Behav Brain Res. 1998;96:37–46. doi: 10.1016/s0166-4328(97)00195-2. [DOI] [PubMed] [Google Scholar]
- National Spinal Cord Injury Statistical Center. Spinal cord injury facts and figures at a glance. J Spinal Cord Med. 2008;31:357–8. [PubMed] [Google Scholar]
- Onifer SM, Zhang YP, Burke DA, Brooks DL, Decker JA, McClure NJ, Floyd AR, Hall J, Proffitt BL, Shields CB, Magnuson DS. Adult rat forelimb dysfunction after dorsal cervical spinal cord injury. Exp Neurol. 2005;192:25–38. doi: 10.1016/j.expneurol.2004.10.016. [DOI] [PubMed] [Google Scholar]
- Rasband WS. ImageJ. U. S. National Institutes of Health; Bethesda, Maryland, USA: 1997–2011. http://imagej.nih.gov/ij/ [Google Scholar]
- Sandrow-Feinberg HR, Izzi J, Shumsky JS, Zhukareva V, Houle JD. Forced exercise as a rehabilitation strategy after unilateral cervical spinal cord contusion injury. J Neurotrauma. 2009;26:721–31. doi: 10.1089/neu.2008.0750. [DOI] [PMC free article] [PubMed] [Google Scholar]
- Shumsky JS, Tobias CA, Tumolo M, Long WD, Giszter SF, Murray M. Delayed transplantation of fibroblasts genetically modified to secrete BDNF and NT-3 into a spinal cord injury site is associated with limited recovery of function. Exp Neurol. 2003;184:114–30. doi: 10.1016/s0014-4886(03)00398-4. [DOI] [PubMed] [Google Scholar]
- Soblosky JS, Colgin LL, Chorney-Lane D, Davidson JF, Carey ME. Ladder beam and camera video recording system for evaluating forelimb and hindlimb deficits after sensorimotor cortex injury in rats. J Neurosci Methods. 1997;78:75–83. doi: 10.1016/s0165-0270(97)00131-3. [DOI] [PubMed] [Google Scholar]
- Soblosky JS, Song JH, Dinh DH. Graded unilateral cervical spinal cord injury in the rat: evaluation of forelimb recovery and histological effects. Behav Brain Res. 2001;119:1–13. doi: 10.1016/s0166-4328(00)00328-4. [DOI] [PubMed] [Google Scholar]
- Stackhouse SK, Murray M, Shumsky JS. The effect of cervical dorsolateral funiculotemy on reach-to-grasp function in the rat. J Neurotrauma. 2008;25:1039–47. doi: 10.1089/neu.2007.0419. [DOI] [PMC free article] [PubMed] [Google Scholar]
- Tucci V, Hardy A, Nolan PM. A comparison of physiological and behavioural parameters in C57BL/6J mice undergoing food or water restriction regimes. Behav Brain Res. 2006;2;173(1):22–9. doi: 10.1016/j.bbr.2006.05.031. [DOI] [PubMed] [Google Scholar]
- Yanai S, Okaichi Y, Okaichi H. Long-term dietary restriction causes negative effects on cognitive functions in rats. Neurobiol Aging. 2004;25(3):325–32. doi: 10.1016/S0197-4580(03)00115-5. [DOI] [PubMed] [Google Scholar]





