Abstract
Behavioral inhibition (BI) is a temperament characterized by heightened negative affect and social reticence to unfamiliar peers. In a longitudinal study, 291 infants were assessed for BI at 24 and 36 months of age. At age 7, N2 amplitude was measured during a Flanker task. Also at age 7, children experienced social exclusion in the lab during an interaction with an unfamiliar peer and an experimenter. Our findings indicate that children characterized as high in BI, relative to those low in BI, had larger (i.e., more negative) N2 amplitudes. Additionally, among children with a large N2, BI was positively related to withdrawal and negatively related to assertiveness during social exclusion. These findings suggest that variations in conflict detection among behaviorally inhibited children plays a role in their social behavior during stressful social situations.
Keywords: Behavioral inhibition, cognitive conflict, N2, social problem solving, social exclusion
Behavioral inhibition (BI) is a temperament characterized by fearful responses to novelty, heightened negative affect, and social reticence to unfamiliar peers (Fox, Henderson, Marshall, Nichols, & Ghera, 2005; Fox, Henderson, Rubin, Calkins, & Schmidt, 2001; Kagan & Snidman, 1991). Research (Lamm et al., in press; McDermott et al., 2009) suggests that neural responses to cognitive conflict and self-monitoring moderate the relations between BI and risk for psychopathology and response to stressful social situations. For example, adolescents with high childhood BI displayed enhanced Error Related Negativity (ERN), an event related potential (ERP) reflecting enhanced response monitoring, which moderated the relation between early BI and later anxiety problems (McDermott, et al., 2009).
Cognitive conflict can occur whenever two or more incompatible response tendencies are simultaneously active (Nieuwenhuis, Yeung, van den Wildenberg, & Ridderinkhof, 2003). During conflict, individuals either overcome interference from a prepotent response tendency (Botvinick, Nystrom, Fissell, Carter, & Cohen, 1999) or choose between multiple response alternatives (Barch, Braver, Sabb, & Noll, 2000). An ERP associated with the detection of cognitive conflict (Botvinick, Braver, Barch, Carter, & Cohen, 2001; Nieuwenhuis, et al., 2003; Van Veen & Carter, 2002) is the N2, which is usually observed at medial-frontal sites 250 to 500 ms following stimulus onset (Lahat, Todd, Mahy, Lau, & Zelazo, 2009; Lamm, Zelazo, & Lewis, 2006). In a recent study (Lamm, et al., in press), N2 amplitude was larger (i.e., more negative) during a go/no-go task for children with higher BI scores. Additionally, increased N2 was associated with continuity of temperamental shyness, which is itself associated with heightened risk for anxiety symptoms (Biederman, Rosenbaum, Chaloff, & Kagan, 1995; Schwartz, Snidman, & Kagan, 1999).
Using a Flanker paradigm, shy children with larger N2 amplitude had poor social-emotional functioning (negative attribution style, social self-perceptions, social anxiety; Henderson, 2010). Whereas go/no-go requires response inhibition, Flanker requires interference suppression (Bunge, Dudukovic, Thomason, Vaidya, & Gabrieli, 2002). During Flanker, participants are asked to choose between two alternatives on both congruent and incongruent trials while ignoring distracting stimuli (Eriksen & Eriksen, 1974). Thus, both types of trials elicit conflict. However, since the distraction is greater during incongruent trials, conflict tends to increase.
The detection of cognitive conflict can also arise during challenging social situations (Lahat & Zelazo, 2012), including social exclusion. Such social interactions require social problem solving (SPS), or strategies used to achieve personal goals (Rubin & Kransnor, 1983). Anxious children approach SPS more passively than their peers (Stewart & Rubin, 1995; Walker, Degnan, Fox, & Henderson, 2013). In a behavioral paradigm based on the Cyberball task -- a virtual ball toss game in which the participant is socially excluded (e.g., Eisenberger, Lieberman, & Williams, 2003) -- behaviorally inhibited children displayed high withdrawal and low assertiveness (Walker, Henderson, Degnan, Penela, & Fox, in press). Given links between BI, cognitive conflict, and social withdrawal (Henderson, 2010; Lamm, et al., in press), it is likely that cognitive conflict may play a role in the link between BI and SPS during social exclusion. Thus, the present study focuses on the N2 since it taps cognitive conflict, which plays a role in social exclusion. ERN responses which reflect response monitoring are reported elsewhere (Lahat et al., accepted).
In our study, BI was assessed at 24 and 36 months of age. At age 7, the N2 was measured using a Flanker task. Additionally, at age 7, children participated in a social exclusion task in the lab. We expected that N2 amplitudes would be increased for children with high BI than low BI. Additionally, we expected that N2 amplitudes would moderate the link between BI and SPS during social exclusion.
Method
Participants and procedure
Four month old infants (N = 779) were assessed for positive and negative affect and motor reactivity to novel stimuli (see Hane, Fox, Henderson, & Marshall, 2008). Of this sample, 291 infants (135 males, 156 females) representing the full range of reactivity were selected to continue in a longitudinal study. Of these, 64.30% were Caucasian 14.10% were African American, and 21.50% were of other ethnic backgrounds. Mothers were college graduates (84.40%) or high school graduates (15.60%).
Behavioral observations and maternal report of temperament, were collected on 268 participants at 24 and 36 months of age. At age 7, 173 children completed an ERP Flanker task (Eriksen & Eriksen, 1974). Reasons for missing data included scheduling difficulties (N = 87), refusal (N = 4), and technical problems (N = 4). An additional 47 children were excluded because they completed a different version of the task. Of those who completed the task, children with less than 30% accuracy or fewer than 10 artifact-free trials were excluded. Thus, behavioral analyses included N = 113 and N2 analyses included N = 81.
Additionally, at age 7, target children were randomly paired with a same-sex, same-age unfamiliar peer during the ball toss task. Ball toss data were collected on 172 target children. Reasons for missing data included scheduling difficulties (N = 92), refusal (N = 1), and technical problems (N = 3). There were no differences between target children and controls on age, t (346) = .47, p = .64, sex, χ2 (1, N = 348) = .0001, p = 1.00, ethnicity, χ2 (13, N = 348) = 7.21, p = .89, maternal education, χ2 (3, N = 345) = 2.03, p = .57 or maternal report of shyness at age 7, t (331) = −.67, p = .51. The ordinal regression predicting whether BI, N2, and their interaction predict SPS during social exclusion included 79 children, who had all three measures. Among those who completed Flanker, no significant differences were found between participants who were included or excluded from the analyses on BI, sex, maternal education, or ethnicity, all ps > .15.
Measures
Behavioral inhibition
At 24 and 36 months of age children were observed during interactions with unfamiliar people and objects (Calkins, Fox, & Marshall, 1996; Fox, et al., 2001). Children’s behavior was coded, and inter-rater reliability (Intraclass correlations) ranged from .72 to .98 (M = .87; 19% overlap; two coders) for 24-months and .93 to 1.00 (M = .98; 10% overlap; two coders) for 36-months. Additionally, parental report of social fear was obtained using the Toddler Behavior Assessment Questionnaire (TBAQ; Goldsmith, 1996). These measures were standardized and averaged to create a composite BI measure.
Flanker task
The Flanker was administered at age 7 (Eriksen & Eriksen, 1974). Participants first completed 24 practice trials. For 4 errors or less, they completed a fast version; for between 5–11 errors they completed a slow version; for 12–24 errors they repeated the practice block until they had 11 errors or less. A total of 11 children completed the fast version (5 high BI and 6 low BI).
Next, the task began, comprising 200 trials (64 congruent and 136 incongruent) presented across four blocks. First, a fixation appeared for 190 ms, followed by a 40 ms black screen, and then a 250 ms (fast version) or 300 ms (slow version) target (five fish presented horizontally). Fish-targets were either pointing left or right (divided equally across each block), with the central fish being either congruent or incongruent with the flanking fish. Participants made right-button pushes for central fish-targets pointing right, and left-button pushes for central fish-targets pointing left. Participants were asked to respond as quickly and as accurately as possible. Following the fish, a black response window appeared for 500 ms (fast) or 600 ms (slow). Participants were allowed to respond either during the fish or the response window. Next, a 640 ms black screen appeared. Finally, to keep children engaged, feedback appeared for 1000 ms (smiley face) or 690 ms (sad face) and was followed by a 90 ms black screen.
ERP data collection and analysis
EEG was recorded using a 64-channel Hydrocel net and sampled at 250 Hz, using EGI software (Net Station; Electrical Geodesic, Inc., Eugene, OR). Once impedance values for all EEG channels were reduced below 50 kΩ, data acquisition began. All channels were referenced to Cz and after acquisition, data were re-referenced using an average reference. Data were filtered using a FIR bandpass filter with a lowpass frequency of 50 Hz and a highpass frequency of .3 Hz. To best capture eye blink artifacts the threshold was set to 140 µV. Furthermore, signal activation change exceeding 190 µV (peak-to-peak) across the entire trial were marked as bad and interpolated.
Stimulus-locked waveforms for correct congruent and incongruent trials were segmented into epochs from 300 ms before to 1000 ms after stimulus onset and baseline corrected for the 200 ms preceding the stimulus. Mediofrontal N2 scalp activation was maximal between 300 and 400 ms; thus, peak activation was exported for correct trials within this time.
Ball Toss task and SPS coding
At age 7, dyads consisting of a target and control child played a ball toss game with an unfamiliar experimenter (see Walker, et al., in press). After a few minutes of play, the target child was excluded from the game for 60 seconds. Children’s predominant behaviors during social exclusion were coded for SPS as described in Walker et al. (in press). Children's observed behavior was coded (kappa = .72; 49% overlap; two coders) as either: Aggressive (.60%; dropped due to the low frequency); directly assertive (12.6%; child stood up for him/herself); indirectly assertive (31 %; child stayed involved in the situation, but did not directly stand up for him/herself); passive-redirect (13.2%; child directed attention elsewhere); or passive-withdrawal (42.5%; child withdrew from the situation).
Results
Two groups of children were created based on a median split, those high (M = .56, SD = .51) or low (M = −.62, SD = .43) on the BI composite. The two groups did not differ on age, t (111) = .43, p = .67, sex, χ2 (1, N = 113) = .19, p = .66, or ethnicity, χ2 (11, N = 113) = 11.25, p = .42. In order to increase power, the ordinal regression examining SPS during social exclusion utilized the continuous BI score as a predictor.
Flanker behavioral results
Since preliminary analysis of Flanker behavioral data revealed sex differences, sex was entered as a factor in all Flanker analyses. Separate repeated measures analyses of variance (ANOVA) were preformed for accuracy and reaction times (RTs), with BI (high, low) and sex (male, female) as between subjects factors, and condition (congruent, incongruent) as a repeated measure. The ANOVA for accuracy revealed a main effect for condition, F(1, 109) = 126.37, p < .0001, ηp2 = .51, with higher accuracy on congruent (M = .73 , SD = .19 ) than incongruent trials (M = .63, SD = .19 ), and a main effect for sex, F(1, 109) = 6.93, p < .01, ηp2 = .06, with females (M = .72, SE = .02) performing better than males (M = .63, SE = .03). The ANOVA for RTs revealed a main effect for condition, F(1, 109) = 49.40, p < .0001, ηp2 = .31, with faster RTs on congruent (M = 486.86 , SD = 81.46) than incongruent trials (M = 507.90, SD = 94.73), and a main effect for sex, F(1, 109) = 8.78, p < .01, ηp2 = .08, with males (M = 472.27, SE = 11.73) having faster RTs than females (M = 519.64, SE = 10.87). No effects emerged with BI for Flanker behavior.
Flanker N2 results
An examination of the stimulus-locked scalp topographical plots of the grand-averaged data revealed a fronto-central N2 component. Based on a topographical map, N2 data were averaged across a cluster of electrodes that included Cz, Fcz, as well as the adjacent Hydrocel electrodes 7, and 54. Because the number of trials comprising an ERP can affect ERP activation, trial counts were entered as covariates to all ERP analyses. Figure 1 presents the grand averaged waveforms of the N2 component on congruent and incongruent trials for each BI group.
Figure 1.
Stimulus-locked grand-averaged N2 waveform at electrode Fcz on congruent and incongruent trials for high and low BI children
In order to examine BI differences in N2 amplitudes, a 2×2×2 ANOVA was carried out with BI (high, low) and sex (male, female) as between subjects factors, condition (congruent, incongruent) as a repeated measure, and trial counts as covariates. The results indicated a main effect for BI, F(1, 75) = 6.93, p < .01, ηp2 = .09, with high BI children (congruent M = −4.21, SD = 3.85; incongruent M = −3.86, SD = 3.64) showing a larger N2 amplitude than low BI children (congruent M = −2.29, SD = 2.97; incongruent M = −2.52, SD = 2.24) on both congruent and incongruent trials (Figure 1). No other main effects or interactions were found.
Relations between N2 and behavior
Pearson correlations indicated that N2 amplitudes on congruent trials were negatively correlated with RTs on congruent trials, r = −.39, p < .0001, suggesting that as N2 amplitudes increase (i.e., becomes more negative) RTs become slower. In addition, N2 amplitudes on incongruent trials were negatively correlated with RTs, r = −.34, p < .001, and accuracy, r = −.26, p < .01, on incongruent trials, suggesting that as N2 amplitudes increase RTs become slower and accuracy improves.
The moderating role of N2 in the BI-SPS relation
An ordinal logistic regression was conducted using Stata version 11. Given that congruent and incongruent trials both elicit conflict, N2 amplitudes across these trials were averaged, mean centered, and entered as a moderator in the regression. BI was the independent variable and the categorical SPS was the dependent variable. To test for significant moderation of N2 amplitudes on the link between BI and SPS during social exclusion, the interaction product term between BI and N2 amplitude was entered into the regression analyses as well.
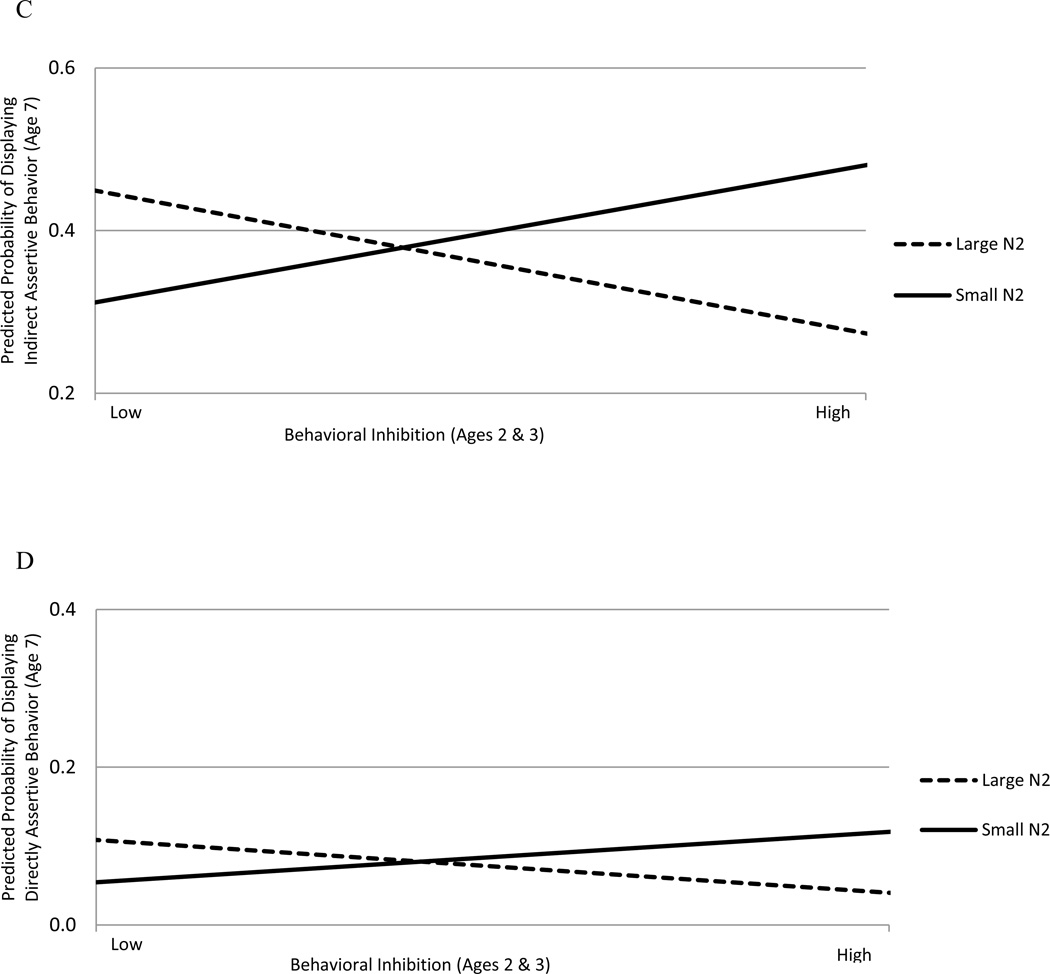
The regression indicated that BI significantly interacted with N2 amplitude in predicting SPS during social exclusion, b = −.31, SE = .14, z = −2.27, p = .02, CI95% from −.59 to −.04. Follow-up regressions were conducted at high (+ 1 SD) and low (−1 SD) values of N2 amplitude, following recommendations by Aiken and West (1991). Follow-up analyses indicated that BI was related to SPS behavior during social exclusion among children with large N2 amplitudes, b = −1.01, SE = .52, z = −.26, p = .05, CI95% from −2.03 to −.003. Specifically, high BI children with large N2 amplitudes displayed greater withdrawal and lower assertiveness. However, for children with small N2 amplitudes, BI was not related to SPS behavior, b = .97, SE = .61, z = 1.59, p = .11, CI95% from −.22 to 2.17 (see Figure 2). When analyzing an ordinal dependent variable, it is assumed that the relations between pairs of behaviors along the continuum are the same, which allows for all behaviors to be analyzed simultaneously in one ordinal logistic regression. The Brant Test (Brant, 1990) provided evidence that this assumption was not violated, χ2 (10) = 5.32, p = .87.
Figure 2.
Joint effect of behavioral inhibition and N2 amplitude on social problem solving during social exclusion
Discussion
Seven-year-old children characterized with BI during early childhood, were assessed on the N2. Additionally, at age 7, these children participated in a laboratory task in which they experienced social exclusion by an unfamiliar peer and an experimenter. We examined the possible moderating influences of cognitive conflict via the N2 on their behavior in the social exclusion task. The findings indicate increased N2 amplitudes among high BI than low BI children on congruent and incongruent trials, which both elicit conflict. Furthermore, N2 amplitude moderated the relations between BI and SPS during social exclusion; specifically, among children with a large N2, BI was positively related to withdrawal and negatively related to assertiveness. These data suggest increased sensitivity to conflict among high BI children and are consistent with prior work on BI and shyness (Henderson, 2010; Lamm, et al., in press). These findings also suggest that increased N2 is an underlying mechanism through which BI leads to later maladaptive social behavior.
Social exclusion is a situation that elicits conflict since children are faced with a social problem that they need to resolve. Our findings are consistent with Cyberball imaging studies (Eisenberger, Gable, & Lieberman, 2007; Eisenberger, et al., 2003; Eisenberger, Taylor, Gable, Hilmert, & Lieberman, 2007; Masten et al., 2009; Masten, Telzer, Fuligni, Lieberman, & Eisenberger, 2010), which suggest that social exclusion is associated with increased activation in the dorsal anterior cingulate cortex, a region thought to be a primary generator underlying the N2, and is considered to play a role in the detection of cognitive conflict (see van Noordt & Segalowitz, 2012). Given the association with cognitive conflict, we made an a priori decision to focus on the N2, as opposed to ERN, which is more relevant to response monitoring.
For most children, enhanced conflict monitoring is an adaptive factor for social-emotional development (White, McDermott, Degnan, Henderson, & Fox, 2011). However, children with this pattern of behavior who are also highly behaviorally inhibited may not flexibly engage their control processes, resulting in rigid, inflexible, and over controlled behaviors (Derryberry & Rothbart, 1997; Lamm, et al., in press; McDermott, et al., 2009; White, et al., 2011). This over control may result in increased withdrawal during challenging social situations.
Despite the ERP BI group differences, we did not find significant BI group behavioral differences during the Flanker task. However, we found relations between N2 amplitude and behavioral measures. Therefore, although behavioral measures were not sensitive enough to identify group differences, task performance appears to be related to ERP activation, where clear group differences were obtained.
Of note, N2 and SPS during social exclusion were measured concurrently. Thus, one should take caution when inferring causality and future research should examine N2 and SPS at different time points.
In sum, the present study followed behaviorally inhibited children into middle childhood and examined the moderating role of cognitive conflict in the link between BI and SPS during social exclusion. Our findings suggest that BI interacts with N2 amplitudes to predict SPS during social exclusion. These findings are important in light of behaviorally inhibited children’s sensitivity to social feedback (Guyer et al., 2013), and given the association between social exclusion and anxiety problems (Guyer et al., 2008).
Acknowledgements
This work was supported by the National Institutes of Health [HD017899, MH093349 to N.A.F]
References
- Aiken LS, West GM. Multiple regression: Testing and interpreting interactions. Newbury Park, CA: Sage; 1991. [Google Scholar]
- Barch DM, Braver TS, Sabb FW, Noll DC. Anterior cingulate and the monitoring of response conflict: Evidence from an fMRI study of overt verb generation. Journal of Cognitive Neuroscience. 2000;12(2):298–309. doi: 10.1162/089892900562110. [DOI] [PubMed] [Google Scholar]
- Biederman J, Rosenbaum JF, Chaloff J, Kagan J. Behavioral inhibition as a risk factor for anxiety disorders. In: March JS, editor. Anxiety disorders in children and adolescents. New York, NY: Guilford Press; 1995. pp. 61–81. [Google Scholar]
- Botvinick MM, Braver TS, Barch DM, Carter CS, Cohen JD. Conflict monitoring and cognitive control. Psychological review. 2001;108(3):624. doi: 10.1037/0033-295x.108.3.624. [DOI] [PubMed] [Google Scholar]
- Botvinick MM, Nystrom LE, Fissell K, Carter CS, Cohen JD. Conflict monitoring versus selection-for-action in anterior cingulate cortex. Nature. 1999;402(6758):179–181. doi: 10.1038/46035. [DOI] [PubMed] [Google Scholar]
- Brant R. Assessing proportionality in the proportional odds model for ordinal logistic regression. Biometrics. 1990:1171–1178. [PubMed] [Google Scholar]
- Bunge SA, Dudukovic NM, Thomason ME, Vaidya CJ, Gabrieli JD. Immature frontal lobe contributions to cognitive control in children: Evidence from fMRI. Neuron. 2002;33(2):301–311. doi: 10.1016/s0896-6273(01)00583-9. [DOI] [PMC free article] [PubMed] [Google Scholar]
- Calkins SD, Fox NA, Marshall TR. Behavioral and physiological antecedents of inhibited and uninhibited behavior. Child Development. 1996;67(2):523–540. [PubMed] [Google Scholar]
- Derryberry D, Rothbart MK. Reactive and effortful processes in the organization of temperament. Development and Psychopathology. 1997;9:633–652. doi: 10.1017/s0954579497001375. [DOI] [PubMed] [Google Scholar]
- Eisenberger NI, Gable SL, Lieberman MD. Functional magnetic resonance imaging responses relate to differences in real-world social experience. Emotion. 2007;7(4):745. doi: 10.1037/1528-3542.7.4.745. [DOI] [PubMed] [Google Scholar]
- Eisenberger NI, Lieberman MD, Williams KD. Does rejection hurt? An fMRI study of social exclusion. Science. 2003;302(5643):290–292. doi: 10.1126/science.1089134. [DOI] [PubMed] [Google Scholar]
- Eisenberger NI, Taylor SE, Gable SL, Hilmert CJ, Lieberman MD. Neural pathways link social support to attenuated neuroendocrine stress responses. Neuroimage. 2007;35(4):1601–1612. doi: 10.1016/j.neuroimage.2007.01.038. [DOI] [PMC free article] [PubMed] [Google Scholar]
- Eriksen BA, Eriksen CW. Effects of noise letters upon the identification of a target letter in a nonsearch task. Perception & Psychophysics. 1974;(16):143–149. [Google Scholar]
- Fox NA, Henderson HA, Marshall PJ, Nichols KE, Ghera MM. Behavioral inhibition: linking biology and behavior within a developmental framework. Annual Review of Psychology. 2005;56:235–262. doi: 10.1146/annurev.psych.55.090902.141532. [DOI] [PubMed] [Google Scholar]
- Fox NA, Henderson HA, Rubin KH, Calkins SD, Schmidt LA. Continuity and discontinuity of behavioral inhibition and exuberance: Psychophysiological and behavioral influences across the first four years of life. Child Development. 2001;72(1):1–21. doi: 10.1111/1467-8624.00262. [DOI] [PubMed] [Google Scholar]
- Goldsmith H. Studying temperament via construction of the Toddler Behavior Assessment Questionnaire. Child Development. 1996;67(1):218–235. [PubMed] [Google Scholar]
- Guyer AE, Benson B, Choate VR, Bar-Haim Y, Perez-Edgar KMJJ, Nelson EE. Lasting associations between early-childhood temperament and late-adolescent reward-circuitry response to peer feedback. Development and Psychopathology. 2013;26:1–15. doi: 10.1017/S0954579413000941. [DOI] [PMC free article] [PubMed] [Google Scholar]
- Guyer AE, Lau JYF, McClure-Tone EB, Parrish J, Shiffrin ND, Reynolds RC, Nelson EE. Amygdala and ventrolateral prefrontal cortex function during anticipated peer evaluation in pediatric social anxiety. Archives of General Psychiatry. 2008;65:1303–1312. doi: 10.1001/archpsyc.65.11.1303. [DOI] [PMC free article] [PubMed] [Google Scholar]
- Hane AA, Fox NA, Henderson HA, Marshall PJ. Behavioral reactivity and approach-withdrawal bias in infancy. Developmental Psychology. 2008;44(5):1491–1496. doi: 10.1037/a0012855. [DOI] [PMC free article] [PubMed] [Google Scholar]
- Henderson HA. Electrophysiological correlates of cognitive control and the regulation of shyness in children. Developmental Neuropsychology. 2010;35(2):177–193. doi: 10.1080/87565640903526538. [DOI] [PubMed] [Google Scholar]
- Kagan J, Snidman N. Temperamental factors in human development. American Psychologist. 1991;46(8):856. doi: 10.1037//0003-066x.46.8.856. [DOI] [PubMed] [Google Scholar]
- Lahat A, Lamm C, Chronis-Tuscano A, Pine DS, Henderson HA, Fox NA. Early behavioral inhibition and increased error monitoring predict later social phobia symptoms in childhood. Journal of the American Academy of Child & Adolescent Psychiatry. doi: 10.1016/j.jaac.2013.12.019. (accepted) [DOI] [PMC free article] [PubMed] [Google Scholar]
- Lahat A, Todd RM, Mahy CEV, Lau K, Zelazo PD. Neurophysiological correlates of executive function: a comparison of European-Canadian and Chinese-Canadian 5-year-old children. Frontiers in Human Neuroscience. 2009;3 doi: 10.3389/neuro.09.072.2009. [DOI] [PMC free article] [PubMed] [Google Scholar]
- Lahat A, Zelazo PD. Towards a process model of children’s reasoning about social domains. Human Development. 2012;55:26–29. [Google Scholar]
- Lamm C, Walker OL, Degnan KA, Henderson HA, Pine DS, McDermott JM, Fox NA. Cognitive control moderates early childhood temperament in predicting social behavior in seven year old children: An ERP study. Developmental Science. doi: 10.1111/desc.12158. (in press) [DOI] [PMC free article] [PubMed] [Google Scholar]
- Lamm C, Zelazo PD, Lewis MD. Neural correlates of cognitive control in childhood and adolescence: Disentangling the contributions of age and executive function. Neuropsychologia. 2006;44(11):2139–2148. doi: 10.1016/j.neuropsychologia.2005.10.013. [DOI] [PubMed] [Google Scholar]
- Masten CL, Eisenberger NI, Borofsky LA, Pfeifer JH, McNealy K, Mazziotta JC, Dapretto M. Neural correlates of social exclusion during adolescence: understanding the distress of peer rejection. Social Cognitive and Affective Neuroscience. 2009;4(2):143–157. doi: 10.1093/scan/nsp007. [DOI] [PMC free article] [PubMed] [Google Scholar]
- Masten CL, Telzer EH, Fuligni AJ, Lieberman MD, Eisenberger NI. Time spent with friends in adolescence relates to less neural sensitivity to later peer rejection. Social Cognitive and Affective Neuroscience. 2010;7(1):106–114. doi: 10.1093/scan/nsq098. [DOI] [PMC free article] [PubMed] [Google Scholar]
- McDermott JM, Perez-Edgar K, Henderson HA, Chronis-Tuscano A, Pine DS, Fox NA. A history of childhood behavioral inhibition and enhanced response monitoring in adolescence are linked to clinical anxiety. Biological Psychiatry. 2009;65(5):445–448. doi: 10.1016/j.biopsych.2008.10.043. [DOI] [PMC free article] [PubMed] [Google Scholar]
- Nieuwenhuis S, Yeung N, van den Wildenberg W, Ridderinkhof K. Electrophysiological correlates of anterior cingulate function in a go/no-go task: Effects of response conflict and trial type frequency. Cognitive, Affective, & Behavioral Neuroscience. 2003;3(1):17–26. doi: 10.3758/cabn.3.1.17. [DOI] [PubMed] [Google Scholar]
- Rubin KH, Kransnor LR. Age and gender differences in solutions to hypothetical social problems. Journal of Applied Developmental Psychology. 1983;4:263–275. [Google Scholar]
- Schwartz CE, Snidman N, Kagan J. Adolescent social anxiety as an outcome of inhibited temperament in childhood. Journal of the American Academy of Child & Adolescent Psychiatry. 1999;38(8):1008–1015. doi: 10.1097/00004583-199908000-00017. [DOI] [PubMed] [Google Scholar]
- Stewart SL, Rubin KH. The social problem-solving skills of anxious-withdrawn children. Development and Psychopathology. 1995;7:323–336. [Google Scholar]
- van Noordt SJR, Segalowitz SJ. Performance monitoring and the medial prefrontal cortex: a review of individual differences and context effects as a window on self-regulation. Frontiers in Human Neuroscience. 2012;6 doi: 10.3389/fnhum.2012.00197. [DOI] [PMC free article] [PubMed] [Google Scholar]
- Van Veen V, Carter CS. The anterior cingulate as a conflict monitor: fMRI and ERP studies. Physiology and Behavior. 2002;77(4):477–482. doi: 10.1016/s0031-9384(02)00930-7. [DOI] [PubMed] [Google Scholar]
- Walker OL, Degnan KA, Fox NA, Henderson HA. Social problem solving in early childhood: Developmental change and the influence of shyness. Journal of Applied Developmental Psychology. 2013;34:185–193. doi: 10.1016/j.appdev.2013.04.001. [DOI] [PMC free article] [PubMed] [Google Scholar]
- Walker OL, Henderson HA, Degnan KA, Penela EC, Fox NA. Associations between behavioral inhibition and children’s social problem-solving behavior during social exclusion. Social Development. doi: 10.1111/sode.12053. (in press) [DOI] [PMC free article] [PubMed] [Google Scholar]
- White LK, McDermott JM, Degnan KA, Henderson HA, Fox NA. Behavioral inhibition and anxiety: the moderating roles of inhibitory control and attention shifting. Journal of Abnormal Child Psychology. 2011;39(5):735–747. doi: 10.1007/s10802-011-9490-x. [DOI] [PMC free article] [PubMed] [Google Scholar]



