Abstract

Cyclic secondary amines and 2-hydroxybenzaldehydes or related ketones react to furnish benzo[e][1,3]oxazine structures in generally good yields. This overall redox-neutral amine α-C–H functionalization features a combined reductive N-alkylation/oxidative α-functionalization and is catalyzed by acetic acid. In contrast to previous reports, no external oxidants or metal catalysts are required. Reactions performed under modified conditions lead to an apparent reductive amination and the formation of o-hydroxybenzylamines in a process that involves the oxidation of a second equivalent of amine. A detailed computational study employing density functional theory compares different mechanistic pathways and is used to explain the observed experimental findings. Furthermore, these results also reveal the origin of the catalytic efficiency of acetic acid in these transformations.
Introduction
As drug discovery programs have come to rely on high-throughput screenings of diverse chemical libraries, the ability to rapidly construct complex, heterocyclic small molecules from simple starting materials is of great importance.1 The N,O-acetal moiety can be found in a diverse set of natural products2 and useful synthetic intermediates.3 Benzoxazines in particular have been studied as nonsteroidal progesterone receptor agonists,4 as antibacterial agents5 and as non-nucleoside reverse transcriptase inhibitors for the treatment of human immunodeficiency virus (HIV)6 as well as for a wide array of other applications.7 For example, benzo[e][1,3]oxazines such as PD 102 807 (2a) have been identified as potent, selective inhibitors of the m4 muscarinic receptor, which have made such compounds important leads in Parkinson’s disease research.8
A number of methods for the synthesis of benzo[e][1,3]oxazines have been reported (Scheme 1).3i,3l,3o,3q,3v,9 One early approach to polycyclic benzoxazines such as N,O-acetal 2a involves the addition of a 3,4-dihydroisoquinoline (DHIQ) to a phenolic Mannich base (e.g., 1), proceeding via an o-quinone methide intermediate and generally resulting in low to moderate yields (eq 1).8,9g,9o−9q,10 An intriguing and unanticipated entry to the N,O-acetal motif was reported by Cohen et al. in 1979 (eq 2).9h Proline was found to react with 2-hydroxyacetophenones (e.g., 3) via a decarboxylative process to yield products such as 2b. Unfortunately, this method exhibited a rather narrow substrate scope. The presence of a methyl group in the ortho-position of the ketone was reported to be crucial; replacement with a hydrogen substituent led to the recovery of 3 and pyrrolidine (from the decarboxylation of proline). The use of pipecolic acid (piperidine-2-carboxylic acid) in place of proline resulted in the formation of only trace amounts of the corresponding product. Recently, during the preparation of this paper, Maycock and co-workers9r reported an oxidative, copper(II) acetate-catalyzed synthesis of benzoxazines such as 2c from o-aminomethylnaphthols (e.g., 4) and -phenols (eq 3). This report was closely followed by an independent publication by Jana and co-workers9t in which the essentially identical transformation was described with superstoichiometric amounts of Ag2O as the oxidant. All previous methods for benzo[e][1,3]oxazine synthesis involve either a prefunctionalized amine moiety (an amino acid or imine), an external oxidant, and/or a metal catalyst.11 In 2008, one of our groups12 reported the synthesis of aminals such as 6 from o-aminobenzaldehydes (e.g., 5) and unactivated secondary amines such as pyrrolidine (eq 4). These reactions feature a combined reductive N-alkylation/oxidative α-amination and function most efficiently in alcoholic solvents in the absence of any additives.13 The overall redox-neutral nature of this reaction distinguishes it from oxidative approaches to the C–H functionalization of amines, which continue to dominate most of the research efforts conducted in this area.14 The Seidel group has worked extensively on developing redox-neutral methods for the α-functionalization of amines,15 many of which involve iminium isomerization through azomethine ylide intermediates.16,17 Our two groups recently published a joint computational and experimental study of the amination reaction (eq 4) that revealed some interesting mechanistic features.12c Simple iminium ions do not appear to play a role in this reaction, and the rate-determining step most likely involves a 1,6-proton transfer event. On the basis of the ability of o-aminobenzaldehydes to undergo these condensations with amines, we decided to explore the analogous reaction with salicylaldehydes in an effort to gain access to the N,O-acetal functionality in a facile, redox-neutral fashion. Here we report the successful development of this α-oxygenation, the scope of the reaction, and a detailed computational study of the mechanism.
Scheme 1. Selected Previous Approaches to N,O-Acetals and Aminals.
Experimental Results and Discussion
Evaluation of Various Reaction Conditions
To facilitate reaction development, we began our investigation using microwave conditions that had proven successful in the analogous aminal formation (Scheme 2).12d Surprisingly, a reaction of pyrrolidine with salicylaldehyde (7) in n-butanol solvent (optimized conditions for aminal formation) did not lead to desired N,O-acetal product 2d. Instead, 2-hydroxybenzylamine 8d, the apparent product of a reductive amination, was isolated in 92% yield (eq 5). Similar observations were made in the corresponding reactions of morpholine (eq 6) and 1,2,3,4-tetrahydroisoquinoline (THIQ) (eq 7). In the case of THIQ, 3,4-dihydroisoquinoline (DHIQ) was isolated as a second product in 65% yield. This indicates that THIQ functions as the reductant in the formation of 8f. In order to avoid the formation of undesired product 8f, milder conditions were employed and the amount of THIQ was reduced. Heating a 1:1.1 mixture of 7 and THIQ under reflux in ethanol did, indeed, lead to isolation of N,O-acetal 2f, albeit in only 10% yield alongside a substantial amount of 8f and DHIQ (eq 8). When an otherwise identical reaction was performed under reflux in n-butanol (eq 9), a trace amount of N,O-acetal was observed alongside 8f (37%) and DHIQ (33%). In addition, n-butyl ether 9 was isolated in 19% yield.
Scheme 2. Initial Studies on N,O-Acetal Formation.
There are a number of different mechanistic scenarios that could account for the formation of reduced product 8f (Scheme 3). First, 8f could be formed from the desired product 2f. Fragmentation of 2f, either via a retro [4 + 2] reaction or a stepwise pathway via zwitterion 10f, would result in the formation of o-quinone methide 11f and DHIQ. Reaction of the highly reactive 11f with THIQ would be expected to readily form 8f.18 Alternatively, the formation of 8f and DHIQ could be explained by reduction of 10f (or the regioisomeric zwitterion from the condensation of 7 and THIQ) via intermolecular hydride transfer from THIQ with concurrent oxidation of the latter to DHIQ (not shown). The formation of 9 (eq 9) is consistent with the intermediacy of 11f but not with the hydride transfer pathway. To obtain further insights into the course of the reaction, benzoxazine 2f was subjected to high temperatures in the presence of an excess of pyrrolidine (Scheme 3). In the event, o-hydroxybenzyl pyrrolidine 8d and DHIQ were isolated in good yields, providing additional support for the fragmentation pathway.
Scheme 3. Potential Reaction Pathways and Experimental Support.
Due to the formation of undesired side products at higher temperatures and with nucleophilic solvents, we decided to evaluate the reaction under milder conditions (Table 1).
Table 1. Optimization of N,O-Acetal-Forming Reaction between Salicylaldehyde and THIQ.

| entry | 7, mmol | THIQ, mmol | additive (equiv) | solvent (M) | T, °C | t, h | yield of 2f, % | yield of 12, % |
|---|---|---|---|---|---|---|---|---|
| 1 | 2 | 1 | − | PhMe (0.25) | rt | 48a | 35 | 36 |
| 2 | 2 | 1 | PhCO2H (0.2) | PhMe (0.25) | rt | 18 | 38 | 48 |
| 3 | 1.1 | 1 | PhCO2H (0.2) | PhMe (0.25) | rt | 24 | 54 | 25 |
| 4 | 1.1 | 1 | 2-EHAb (0.2) | PhMe (0.25) | rt | 24 | 62 | 21 |
| 5 | 1 | 1.1 | 2-EHA (0.2) | PhMe (0.25) | rt | 48a | 38 | trace |
| 6 | 1 | 1.1 | 2-EHA (0.2) | DMF (0.25) | rt | 48a | 23 | trace |
| 7 | 1 | 1.1 | 2-EHA (0.2) | EtOH (0.25) | rt | 48a | 22 | 31 |
| 8 | 1 | 1.1 | 2-EHA (0.2) | MeCN (0.25) | rt | 48a | 62 | 32 |
| 9 | 1 | 1.1 | 2-EHA (1.3) | PhMe (0.25) | rt | 48a | 75 | trace |
| 10 | 1 | 1.3 | 2-EHA (1.3) | PhMe (0.25) | rt | 48 | 94 | trace |
| 11 | 1 | 1.3 | 2-EHA (1.3) | PhMe (0.25) | 60 | 1.5 | 95 | trace |
| 12 | 1 | 1.3 | 2-EHA (1.3) | PhMe (0.1) | 60 | 3 | 97 | − |
| 13c | 1 | 1.3 | 2-EHA (1.3) | PhMe (0.1) | 60 | 6a | 64 | − |
| 14 | 1 | 1.3 | AcOH (1.3) | PhMe (0.1) | 60 | 3 | 98 | − |
| 15 | 1 | 1.3 | AcOH (0.2) | PhMe (0.1) | 60 | 3 | 59 | − |
| 16 | 1 | 1.3 | AcOH (1.0) | PhMe (0.1) | 60 | 3 | 98 | − |
Reaction incomplete.
2-EHA = 2-ethylhexanoic acid.
No molecular sieves.
Toluene, a solvent that had previously been shown to be optimal for other redox-isomerization reactions,15h−15j,15l−15o was selected as the reaction medium. To further facilitate product formation, molecular sieves were added to sequester the water released during the condensation. Remarkably, the desired reaction was found to proceed at room temperature in the absence of any acid additives to provide N,O-acetal 2f in 35% isolated yield (entry 1). In addition, the apparent [3 + 2] product 12 was formed in 36% yield, consistent with the intermediacy of an azomethine ylide.12c,19 The relative stereochemistry of 12 was not confirmed unambiguously, but literature precedent suggests that the phenolic groups should be trans-configured.19 The 1:1 diastereomeric ratio is the result of conformational instability of the N,O-acetal (see Supporting Information). Addition of catalytic amounts of benzoic acid dramatically accelerated the rate of the reaction while increasing the yield of both 2f and 12 (entry 2). Reduction of the amount of salicylaldehyde (7) led to a more favorable product ratio with partial suppression of the [3 + 2] product 12 (entry 3). 2-Ethylhexanoic acid (2-EHA) performed slightly better than benzoic acid (entry 4), and acetic acid was later found to be still better (entry 14). Several protic and aprotic solvents were evaluated as potential alternatives to toluene, but all either resulted in lower yields (entries 6 and 7) or promoted the [3 + 2] reaction (entry 8). The formation of product 12 was completely suppressed with a reduction in solvent concentration (entry 12). Elevating the temperature to 60 °C and using acetic acid in stoichiometric amounts led to the best result and allowed for the isolation of 2f in 98% yield following a reaction time of 3 h (entry 16).
Substrate Scope
Optimized conditions were employed to evaluate the scope of the α-oxygenation with a number of different salicylaldehydes and related o-hydroxy ketones (Scheme 4). Salicylaldehydes with simple alkyl groups appended to the ring provided the corresponding products in good yields but required a higher temperature of 80 °C to achieve reasonable reaction rates (2g and 2h). Both electron-withdrawing and electron-donating groups were tolerated, although more electron-deficient salicylaldehydes such as 3,5-dibromo- (2l) and 5-nitrosalicylaldehyde (2m) provided products with slightly decreased yields. o-Hydroxyketones required higher temperatures and afforded N,O-acetal products in relatively low yields but as single diastereomers (2q and 2r). While ketones with some steric demand in the 6-position did yield the desired products, neither 2-hydroxyacetophenone nor 2-hydroxybenzophenone underwent the formation of N,O-acetals with THIQ under a variety of conditions, an observation that is in line with Cohen’s findings on the related decarboxylative process.9h
Scheme 4. Variation of Salicylaldehyde Moiety.
All reactions were performed on a 1 mmol scale. bFor this reaction, 1 mmol of amine, 2 equiv of ketone, and xylenes (0.1 M) were used.
The scope of the reaction with regard to other amines was evaluated next (Scheme 5). Not surprisingly, cyclic secondary amines with benzylic protons in α-position to the ring nitrogen proved to be the most reactive substrates. Tetrahydroisoquinolines with methoxy groups appended to the aryl ring, upon reaction with 7, resulted in the formation of products in excellent yields (2s and 2t). A THIQ derivative with a phenyl group at the 1-position required more forcing conditions in order to form the corresponding N,O-acetal 2u. Nevertheless, this highly substituted product was obtained in 72% yield. N,O-Acetal products could also be obtained with pyrrolidine, piperidine, and azepane. However, acyclic amines such as methylbenzyl amine failed to undergo the title reaction. Interestingly, attempted reactions with pyrrolidine and parent salicylaldehyde (7) did not yield N,O-acetal 2d under a variety of conditions. Despite different experimental and computational attempts, this result could so far not be rationalized. Pyrrolidine underwent reaction with 3,5-di-t-butylsalicylaldehyde to form the corresponding N,O-acetal 2x in 55% yield. Formation of product 2c from pyrrolidine and 2-hydroxy-1-benzoylnaphthalene proceeded in 71% yield but required more forcing conditions (reflux in xylenes). Maycock and co-workers9r did not observe benzoxazine 2c as a product with the same starting materials in an experiment conducted at 130 °C in xylenes. This failure to obtain product 2c is likely due to the fact that neither acidic additives nor molecular sieves were employed. While products 2c, 2y, 2z, and 2b were all isolated as single diastereomers, product 2aa, which is different in that it lacks a substituent in the 6-position of the aryl ring, was formed as a 2.5:1 mixture of diastereomers.
Scheme 5. Variation of Secondary Amine.
All reactions were performed on a 1 mmol scale. bFor these reactions, 1 mmol of amine, 2 equiv of aldehyde or ketone, and xylenes (0.1 M) were used.
Interestingly, when 1-methyl THIQ was subjected to the reaction conditions, the desired N,O-acetal 2ac was not obtained. Instead, the spirobenzopyran 13 was obtained in essentially quantitative yield (Scheme 6). In this case, N,O-acetal 2ac or the corresponding zwitterion (not shown) could undergo transformation into or exist in equilibrium with enamine 14. The latter can engage a second molecule of salicylaldehyde to give 13. Reactions of structurally related enamines with salicylaldehydes have been previously reported.20
Scheme 6. Reaction of Salicylaldehyde with 1-Methyltetrahydroisoquinoline.
To demonstrate that the redox-neutral synthesis of N,O-acetals is amenable to scale-up, the reaction of salicylaldehyde (7) and THIQ was performed on a 1-g scale in benzene as the solvent (Scheme 7). In the absence of molecular sieves, heating of the reaction mixture under reflux for a period of 24 h resulted in an incomplete reaction and furnished the expected N,O-acetal 2f in only 52% yield. Remarkably, an otherwise identical reaction performed in the presence of a Dean–Stark apparatus (for water removal) was completed after only 1 h and provided 2f in nearly quantitative yield (98%, Scheme 7). These experiments nicely illustrate not only the ease with which this reaction can be performed under optimized conditions but also the importance of removing water from the reaction mixture.
Scheme 7. Effect of Water on Condensation Reaction.
Conceivable Mechanistic Pathways
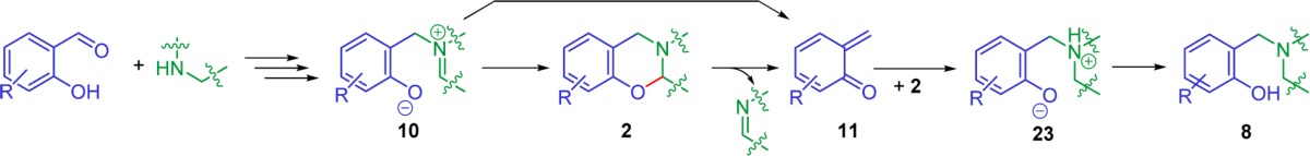
A network of interrelated pathways presented itself when we considered possible mechanisms that would account for the formation of all observed products from the reaction of salicylaldehyde (7) and THIQ (Scheme 8). Based on the isolation of apparent [3 + 2] product 12, it appears highly likely that the overall transformation involves the intermediacy of azomethine ylide 19f. The reaction most likely initiates by addition of THIQ to salicylaldehyde (7) to form N,O-acetal 15f, a step that may be facilitated by the presence of acetic acid. Subsequent elimination of water could occur either with the assistance of acetic acid, yielding iminium 16f, or in a concerted intramolecular fashion to give zwitterion/quinoidal species 17f. Due to the presence of acetic acid, 16f and 17f may exist in equilibrium. Azomethine ylide 19f could be formed from 17f via a 1,6-proton transfer; an analogous step was established in the formation of the corresponding aminals.12c Another pathway to 19f would involve deprotonation of 16f. Alternatively, 18f, which could exist in equilibrium with 16f, could suffer concerted loss of acetic acid to generate azomethine ylide 19f, consistent with a proposal by Yu and co-workers21 for a related process. Azomethine ylide 19f would then progress to zwitterion 10f either by a stepwise protonation/deprotonation pathway via 20f or by direct proton transfer. Ring closure finally leads to N,O-acetal product 2f. N,O-Acetal 2f can undergo further transformation to “reduced” product 8f via the addition of THIQ to o-quinone methide 11f, formed in a formal retro-[4 + 2] reaction that also generates DHIQ. It should be noted that the retro-[4 + 2] step may occur in a stepwise manner via zwitterion 10f. Facile ring-opening of benzoxazines and the potential existence of an equilibrium between 2f and 10f is supported by an observation about the appearance of benzoxazine 2f. While 2f is a white solid in pure form, solutions of 2f turn bright yellow in the presence of an acid (e.g., acetic acid or silica gel), suggesting the formation of a new species.
Scheme 8. Possible Mechanistic Pathways for Formation of N,O-Acetal 2f and Benzylamine 8f.

Another observation consistent with the existence of zwitterions in equilibrium with benzoxazines is that benzoxazine products with an electron-deficient phenolic ring (i.e., 2i, 2l, and 2m) exhibit broadened peaks in their 1H NMR spectra (see Supporting Information). Presumably, the electron-withdrawing groups stabilize the phenoxide, allowing the N,O-acetal to rapidly equilibrate with zwitterionic form 10l. This process is suppressed or slowed down at lower temperatures, as illustrated by a series of 1H NMR spectra of product 2l that were recorded at temperatures between 20 and −60 °C (Figure 1).
Figure 1.
Temperature-dependent 1H NMR spectra of 2l in CDCl3 (400 MHz).
With regard to the above-mentioned oxidative N,O-acetal syntheses reported by Maycock and co-workers9r (eq 3) and Jana and co-workers,9t different mechanisms were proposed by the two groups. Jana and co-workers proposed an initial oxidation of 4 at the benzylic position and deprotonation of the resulting iminium ion, followed by a pathway that is based on our previously established mechanism for the corresponding aminal formation, namely, 1,6-proton abstraction to generate an azomethine ylide and subsequent proton transfer and ring closure (not shown). Interestingly, Maycock’s mechanistic proposal is radically different (Scheme 9). It involves oxidation of amine 4 at the seemingly less activated endocyclic position rather than the benzylic position to give intermediate 10c. While 10c may undergo direct ring closure to product 2c, the observed diastereoselectivity was rationalized via a different pathway. According to Maycock and co-workers, intermediate 10c undergoes fragmentation to o-quinone methides trans-11c and cis-11c and 1-pyrroline. The isomer cis-11c is proposed to engage in an endo-[4 + 2] cycloaddition with 1-pyrroline to selectively form 2c in the observed relative configuration. An alternative and more likely explanation that accounts for the essentially exclusive formation of 2c over its other diastereomer is based on equilibration between the two possible diastereomers via zwitterion 10c. In fact, the equilibration of diastereomers of closely related benzoxazines was studied in detail by Fülöp, Kleinpeter, and co-workers,9q who concluded that the diastereomer corresponding to 2c represents the thermodynamically more stable product.
Scheme 9. Proposed Mechanism of Maycock and Co-workers9r for Oxidative N,O-Acetal Formation.

Computational Results and Discussion
In order to investigate the underlying mechanism and to identify the most important pathways for the formation of benzoxazines under these conditions, we have employed density functional theory calculations [M06-2X-D3/def2-TZVPP/IEFPCM//TPSS-D2/6-31+G(d,p)/IEFPCM]. We will first discuss the mechanisms for the uncatalyzed and acetic-acid-catalyzed reaction using the model system salicylaldehyde (7) and THIQ before we analyze the influence of substituents at the carbonyl and variation of the amine as well as potential side reactions.
Uncatalyzed Reaction in Toluene
Although the uncatalyzed reaction between the aldehyde and the amine results in low yields of the corresponding benzoxazines (Table 1), this background reaction is important for the acid-catalyzed reaction as well. Therefore, we first carefully analyzed the mechanism for the prototypic reaction between salicylaldehyde (7) and tetrahydroisoquinoline (THIQ) in toluene solution in the absence of any catalyst (cf. Scheme 8). The calculated free energy profile is depicted in Figure 2 (black lines), and selected calculated structures are discussed in Figures 3–5.
Figure 2.
Free energy profile [in kcal·mol–1, M06-2X-D3/def2-TZVPP/IEFPCM//TPSS-D2/6-31+G(d,p)/IEFPCM] for uncatalyzed (black) and acetic-acid-catalyzed (red) transformation of 7 and THIQ to benzoxazine 2f in toluene.
Figure 3.

Calculated structures [M06-2X-D3/def2-TZVPP/IEFPCM//TPSS-D2/6-31+G(d,p)/IEFPCM], relative free energies (in kcal·mol–1), selected bond lengths (in Å), and dihedrals for different conformers of transition state TS1 and zwitterion 17f.
Figure 5.

Calculated structures [M06-2X-D3/def2-TZVPP/IEFPCM//TPSS-D2/6-31+G(d,p)/IEFPCM], relative free energies (in kcal·mol–1), and selected bond lengths (in Å) for transition state TS3.
In the first step of this transformation, the aldehyde 7 and THIQ form the hemiaminal 15f in a slightly endergonic reaction (ΔG = +1.9 kcal·mol–1). Next, water is eliminated from the hemiaminal, yielding the zwitterionic intermediate 17f. This reaction could occur either in a concerted mechanism (ΔG⧧ = +22.5 kcal·mol–1, via cis-TS1, Figure 3) or in a stepwise reaction through an iminium ion. In line with previous investigations of the synthesis of tetrahydroquinazolines,12c the putative iminium ion obtained from the elimination of a hydroxy group was located 38 kcal·mol–1 above cis-TS1 and is not shown in Figure 2. As a consequence, the concerted elimination is also preferred over the stepwise elimination of hydroxide and subsequent deprotonation in these transformations. In principle, both eliminations to the cis and the trans zwitterions 17f are possible (Figure 3). Our calculations predict cis-TS1 to be significantly favored over trans-TS1 (ΔΔG⧧ = 3.2 kcal·mol–1), while the product cis-17f is essentially isoenergetic to its isomer trans-17f. The slight thermodynamic preference for the trans conformer can be rationalized by the greater planarity of the exocyclic π-system (as reflected by the dihedral angle θ in Figure 3). Analysis of the charge distribution [e.g, natural bond orbital (NBO) or ChelpG] in 17f as well as of smaller model systems revealed that the zwitterionic and neutral resonance structures should be equally important (see Supporting Information for more details). The next step of the mechanism requires abstraction of one of the α-hydrogens of the heterocycle, which, in an intramolecular reaction, is possible only from the cis conformation of 17f. However, previous calculations on the corresponding aminobenzaldehyde-derived intermediates have shown that cis- and trans-17f can be directly interconverted with small barriers.12c
A subsequent proton transfer via TS2 leads to the azomethine ylide 19f in another endergonic transformation (Figure 4). The endergonicity of this step is also reflected in the short O–H bond length of the late transition state TS2. This reaction could proceed via either a 1,6-hydride shift or a 1,6-proton transfer, and our charge calculations (NBO or ChelpG) indicate that the latter is more likely due to a significant positive charge on the transferred hydrogen atom.
Figure 4.

Calculated structures [M06-2X-D3/def2-TZVPP/IEFPCM//TPSS-D2/6-31+G(d,p)/IEFPCM], relative free energies (in kcal·mol–1), selected bond lengths (in Å), and selected NBO charges for transition state TS2.
The azomethine ylide 19f then undergoes another, rate-limiting proton transfer yielding the zwitterion 10f. This transformation can either occur in an intramolecular reaction (TS3, Figure 5) or in a salicylaldehyde-mediated reaction (TS3-Sali, Figure 5). The entropic penalty (−TΔS) for the intermolecular reaction through TS3-Sali involving a second molecule of salicylaldehyde 7 is compensated by the very favorable activation enthalpy rendering TS3-Sali the preferred pathway. The oxazinane 2f is subsequently obtained by a barrierless cyclization of the zwitterionic intermediate 10f in an overall exergonic reaction (ΔG = −2.4 kcal·mol–1).
As an alternative pathway, azomethine ylide 19f may be trapped via the reaction with excess salicylaldehyde 7, affording the [3 + 2] adduct 12 (Scheme 8, Figure 6). As the relative stereochemistry of the experimentally isolated adduct has not been determined, we have investigated all four possible stereoisomers and their corresponding transition states. Our calculations indicate that RSS-12 is the most stable stereoisomer of the four [ΔΔG(RRR-12) = +2.2, ΔΔG(RSR-12) = +2.9, and ΔΔG(RRS-12) = +3.6 kcal·mol–1; see Supporting Information for more details] and only RSS-12 is formed in an exergonic reaction (ΔG = −1.5 kcal·mol–1, Figure 6). The lowest-energy transition states were calculated to be RRR-TS4 (ΔG⧧ = 32.6 kcal·mol–1) and RSS-TS4 (ΔG⧧ = 33.0 kcal·mol–1). As the formation of RRR-12 is endergonic, the computational data predict the formation of RSS-12 to be the preferred [3 + 2] pathway (Figure 6). Both pathways leading to the benzoxazine 2f and the alternate product RSS-12 are similar in both activation and reaction free energies. While formation of the [3 + 2] adduct has a slightly smaller activation free energy (kinetic preference), the benzoxazine is preferred thermodynamically. This also explains why the [3 + 2] cycloaddition is facilitated when the aldehyde is present in large concentrations and used in excess over the amine (e.g., entries 1 and 2 in Table 1).
Figure 6.

Calculated activation and reaction free energies of different pathways involving the azomethine ylide 19f [M06-2X-D3/def2-TZVPP/IEFPCM//TPSS-D2/6-31+G(d,p)/IEFPCM] and transition state RSS-TS4 with selected bond lengths (in Å).
Acetic-Acid-Catalyzed Reaction in Toluene
As the rate-limiting step for the uncatalyzed reaction was calculated to be rather high and significant accelerations could be observed in the experiments with acetic acid as a catalyst, we subsequently investigated how acetic acid can catalyze the synthesis of benzoxazinanes (Figures 2–4).
Previous calculations on similar redox isomerizations by Yu and co-workers,21 employing MP2/6-31+G(d)//B3LYP/6-31+G(d)/CPCM, have already highlighted the crucial role of acetic acid in these transformations and are possibly important for the transformations under investigation.
In a first step, we analyzed whether the acetylated hemiaminal 18f could eliminate acetic acid with formation of the azomethine ylide 19f as proposed by Yu and co-workers (Scheme 10).21 However, according to our calculations, the formation of hemiaminal 18f is significantly endergonic (ΔG = +11.2 kcal·mol–1) and the transition state for the elimination of acetic acid TS5 (ΔG⧧ = +35.3 kcal·mol–1) was found to be comparable in energy to the uncatalyzed reaction [ΔG⧧(TS3-Sali)= +33.2 kcal·mol–1]. Based on these results, this mode of activation by acetic acid does not explain the rate acceleration and has to be rejected for these transformations.
Scheme 10. Potential Acceleration of Acetic Acid (cf. Ref (21)).

Next, we investigated whether acetic acid can act as a proton shuttle within the transition states TS1–3 and thereby lower the activation energy of each step. The activation free energies for the acetic-acid-catalyzed reactions are summarized in Figure 2 and the optimized structures are depicted in Figures 3–5.
The dehydration of the hemiaminal 15f is slightly facilitated by acetic acid acting as proton shuttle (cis-TS1-HOAc versus cis-TS1, Figure 3), while the proton transfer yielding the azomethine ylide (TS2 and TS2-HOAc, Figure 4) is actually destabilized by acetic acid. As the barrier for the uncatalyzed reaction is already very small (with respect to 19f), the additional entropy penalty (−TΔS) cannot be compensated by the more favorable enthalpy. As a consequence, the intramolecular proton transfer is preferred over the intermolecular process for this step. In contrast, a large stabilization has been calculated for the rate-limiting proton transfer TS3 in TS3-HOAc (Figure 5), indicating a substantial stabilization of the transition state. In summary, this large difference in free energy for TS3 (ΔΔG⧧ = 8.6 kcal·mol–1) is also the origin of the favorable acetic acid catalysis. This role of acetic acid in N,O-acetal formation has a parallel in the corresponding synthesis of aminals. In the latter case, the solvent, ethanol, has been shown to serve as the proton shuttle.12c
Comparison of Selected Carbonyl-Amine Combinations
To better understand the observed reactivities, we next analyzed selected carbonyl-amine combinations including electron-rich and -poor carbonyls and two different amines.
Independent of the combinations of carbonyl and amine, the overall reaction free energies are all found within a relatively small range (−5.4 < ΔG < +2.4 kcal·mol–1, Table 2), indicating that the substituents on the carbonyl and the choice of amine are less important for the thermodynamics of the overall reaction. The fact that some intermediates (e.g., for 19ad or 19d) are higher in energy than the corresponding acetic-acid-catalyzed transition states indicate that acetic acid can coordinate to the intermediates, which leads to a further stabilization. While the combination of hydroxyacetophenone and THIQ resulted in an endergonic reaction (→ 2ad) and no detectable product formation, the dimethyl analogue yields the corresponding benzoxazine 2r in an exergonic reaction in line with an isolated yield of 53% (Scheme 4). Employing truncated model systems, we could show that this difference can be attributed to a relief of 1,3-strain present in the reactant 3 but not in the corresponding oxazine (see Supporting Information for more details).
Table 2. Calculated Free Energies for Different Carbonyl-Amine Combinations in Toluenea.


Energies are given in kcal·mol–1, M06-2X-D3/def2-TZVPP/IEFPCM//TPSS-D2/6-31+G(d,p)/IEFPCM.
All attempts to locate a transition state for these reactions failed, and potential energy surface scans indicate a barrierless reaction.
A pronounced substituent effect is observed, however, for the zwitterionic intermediates 10, as already indicated by the broad NMR peaks (Figure 1) for the dibromo compound 2l. The electron-withdrawing bromo substituents in 10l result in a stabilization of 7.8 kcal·mol–1 compared to 10f, while the electron-donating methoxy group leads to a destabilization in 10o (ΔΔG = +3.9 kcal·mol–1). The additional benzene ring of tetrahydroisoquinoline compared to pyrrolidine only translates to a small difference in free energy (cf. 10f and 10d in Table 2) indicating that the interaction with the negatively charged alcoholate is more important for the stability than an interaction with the iminium substructure.
For very bulky substrates (e.g., leading to 2r or 2x), the additional steric interactions in the transition states cis-TS1-HOAc and TS3-Sali completely compensate any stabilization and render them higher in energy than cis-TS1 and TS3, respectively.
Investigation of Side Reactions
Among the possible pathways for side reactions, we first analyzed the feasibility of an intermolecular reduction of the intermediate zwitterion 10f by excess THIQ (Figure 7). The high activation free energy for the hydride transfer (ΔG⧧ = 38.4 kcal·mol–1) renders this pathway unlikely under the reaction conditions employed (Table 1). However, a large excess of the amine would favor this reaction and could slightly reduce the activation free energy.
Figure 7.

Calculated transition state TS6 with selected bond lengths (in Å) and activation and reaction free energies (in kcal·mol–1) for an intermolecular reduction of the intermediate zwitterion 10f by THIQ [M06-2X-D3/def2-TZVPP/IEFPCM//TPSS-D2/6-31+G(d,p)/IEFPCM].
Another possibility, which is also in line with the experimental isolation of dihydroquinoline (DHIQ), is a retro-Diels–Alder reaction followed by a nucleophilic attack of the amine on the formed quinone methide. The energies of all intermediates for these transformations are summarized in Table 3. In all cases under investigation, the alternate product 8 is thermodynamically more stable than the corresponding cyclic N,O-acetal 2 (0.8 < ΔΔG < 4.3 kcal·mol–1) and the intermediates of the putative retro-[4 + 2] reaction, 11 and the corresponding imine, are 20–25 kcal·mol–1 higher in energy. Table 3 further shows that the reduced amines dihydroquinoline and pyrroline are comparable in stability (ΔΔG = 1.0 kcal·mol–1). However, we were not able to locate any transition states for any of these transformations. Therefore, we investigated the potential energy landscape around the hemiaminals 2 by performing two-dimensional relaxed potential energy surface scans at the TPSS-D2/6-31G(d)/IEFPCM level of theory (Figure 8). Regardless of the proposed mechanism (e.g., stepwise versus concerted cycloaddition), these scans result in a barrierless combination of the quinone methide 11f and the imine DHIQ, yielding the experimentally observed N,O-acetal 2f. From these results, we have to conclude that both a putative retro-[4 + 2] reaction and the subsequent nucleophilic attack would proceed without significant barriers. These results are in agreement with previous kinetic studies by the groups of Freccero, Kresge, Richard, Rokita, Mayr, and others.22
Table 3. Calculated Free Energies for Intermediates of Reductive Isomerization for Different Carbonyl-Amine Combinations in Toluenea.


Energies are given in kcal·mol–1, M06-2X-D3/def2-TZVPP/IEFPCM//TPSS-D2/6-31+G(d,p)/IEFPCM.
Figure 8.

Calculated potential energy surface scan for the putative retro-hetero-Diels–Alder reaction involving 2f [in kcal·mol–1, TPSS-D2/6-31G(d)/IEFPCM].
As a consequence, none of the pathways considered can account for the unusual reactivity of pyrrolidine and salicylaldehyde, and a different reason has to be responsible for the experimental observations.
Computational Details
The conformational space of all intermediates for the benzoxazine synthesis was explored by use of the OPLS-200523 force field and a modified Monte Carlo search routine implemented in Macromodel 9.9.24 An energy cutoff of 20 kcal·mol–1 was used for the conformational analysis, and structures with heavy-atom root-mean-square deviation (RMSD) less than 1–2 Å after the initial force field optimization were assumed to be the same conformer. The remaining structures were subsequently optimized by employing the meta-GGA functional TPSS25 with Grimme’s dispersion-correction D2,26 and the double-ζ basis set 6-31+G(d,p). Solvation by toluene was taken into account by using the integral equation formalism polarizable continuum model (IEFPCM) for all calculations (optimizations, frequencies, and single points).27 It has recently been shown that the use of a polarizable continuum model does not have a large impact on the calculated frequencies but is necessary for the location of transition states in some cases.28 Vibrational analysis verified that each structure was a minimum or a transition state. Following the intrinsic reaction coordinates (IRC) confirmed that all transition states connected the corresponding reactants and products on the potential energy surface. Two-dimensional potential energy surface scans were performed at the TPSS-D2/6-31G(d)/IEFPCM level of theory. Thermal corrections were calculated from unscaled harmonic vibrational frequencies at the same level of theory for a standard state of 1 mol·L–1 and 298.15 K. Entropic contributions to the reported free energies were calculated from partition functions evaluated with quasiharmonic approximation of Truhlar and co-workers.28 This method uses the same approximations as the usual harmonic oscillator except that all vibrational frequencies lower than 100 cm–1 are set equal to 100 cm–1 to correct for the breakdown of the harmonic oscillator approximation for low frequencies. Electronic energies were subsequently obtained from single-point calculations of the TPSS-D2 geometries employing the meta-hybrid M06-2X functional,29 the large triple-ζ def2-TZVPP basis set,30 IEFPCM for toluene, and Grimme’s dispersion-correction D3 (zero-damping),31 a level expected to give accurate energies.32 An ultrafine grid corresponding to 99 radial shells and 590 angular points was used throughout this study for numerical integration of the density.33 All density functional theory (DFT) calculations were performed with Gaussian 09,34 and the additional D3 corrections for single-point calculations were carried out with Grimme’s DFT-D3 program.31
Conclusions
We have developed a mild and highly efficient synthesis of benzoxazines from the direct condensation of salicylaldehydes and secondary amines. This redox-neutral process can be used to rapidly create a wide range of polycyclic N,O-acetals. In addition, a reductive amination of salicylaldehydes in which excess amine serves as reductant was discovered. The mechanism of the α-oxygenation was elucidated by DFT calculations that correlate well with experimental results. Further studies on this and related reactions are ongoing.
Acknowledgments
This work used the Extreme Science and Engineering Discovery Environment (XSEDE), which is supported by National Science Foundation Grant OCI-1053575, resources from the UCLA Institute for Digital Research and Education (IDRE), and the Cologne High Efficiency Operating Platform for Sciences (CHEOPS). We are grateful to the Alexander von Humboldt foundation (Feodor Lynen fellowship to M.B. and A.D.), the Fonds der Chemischen Industrie (Liebig scholarship to M.B.), the German Academic Exchange Service (scholarship to A.U.), and the National Science Foundation for support of this research through Grant CHE-1059084 to K.N.H. Financial support from the NIH–NIGMS through Grant R01GM101389-01 to D.S. is gratefully acknowledged. A.Y.P. gratefully acknowledges financial support from the Russian Federation President Grant (order N2057).
Supporting Information Available
Experimental procedures, characterization data, Cartesian coordinates, energies of all reported structures, and details of computational methods. This material is available free of charge via the Internet at http://pubs.acs.org.
The authors declare no competing financial interest.
Funding Statement
National Institutes of Health, United States
Supplementary Material
References
- a Kennedy J. P.; Williams L.; Bridges T. M.; Daniels R. N.; Weaver D.; Lindsley C. W. J. Comb. Chem. 2008, 10, 345. [DOI] [PubMed] [Google Scholar]; b Huggins D. J.; Venkitaraman A. R.; Spring D. R. ACS Chem. Biol. 2011, 6, 208. [DOI] [PMC free article] [PubMed] [Google Scholar]
- a Nonato M. G.; Garson M. J.; Truscott R. J. W.; Carver J. A. Phytochemistry (Elsevier) 1993, 34, 1159. [Google Scholar]; b Langer P.; Frackenpohl J.; Hoffmann H. M. R. J. Chem. Soc., Perkin Trans. 1 1998, 801. [Google Scholar]; c Heys L.; Moore C. G.; Murphy P. J. Chem. Soc. Rev. 2000, 29, 57. [Google Scholar]; d Troast D. M.; Porco J. A. Jr. Org. Lett. 2002, 4, 991. [DOI] [PubMed] [Google Scholar]; e Jiang X.; Garcia-Fortanet J.; De Brabander J. K. J. Am. Chem. Soc. 2005, 127, 11254. [DOI] [PubMed] [Google Scholar]; f Kock M.; Grube A.; Seiple I. B.; Baran P. S. Angew. Chem., Int. Ed. 2007, 46, 6586. [DOI] [PubMed] [Google Scholar]; g Miyashita M. Pure Appl. Chem. 2007, 79, 651. [Google Scholar]; h Sakaguchi K.; Ayabe M.; Watanabe Y.; Okada T.; Kawamura K.; Shiada T.; Ohfune Y. Org. Lett. 2008, 10, 5449. [DOI] [PubMed] [Google Scholar]; i Su S.; Rodriguez R. A.; Baran P. S. J. Am. Chem. Soc. 2011, 133, 13922. [DOI] [PMC free article] [PubMed] [Google Scholar]
- a Leonard N. J.; Leubner G. W. J. Am. Chem. Soc. 1949, 71, 3408. [Google Scholar]; b Galinovsky F.; Wagner A.; Weiser R. Monatsh. Chem. 1951, 82, 551. [Google Scholar]; c Shono T.; Matsumura Y.; Tsubata K. J. Am. Chem. Soc. 1981, 103, 1172. [Google Scholar]; d Miao C. K.; Sorcek R.; Jones P. J. Tetrahedron Lett. 1993, 34, 2259. [Google Scholar]; e Ishii A.; Higashiama K.; Mikami K. Synlett 1997, 1381. [Google Scholar]; f Jiang J.; DeVita R. J.; Doss G. A.; Goulet M. T.; Wyvratt M. J. J. Am. Chem. Soc. 1999, 121, 593. [Google Scholar]; g Ferraris D.; Dudding T.; Young B.; Drury W. J.; Lectka T. J. Org. Chem. 1999, 64, 2168. [Google Scholar]; h Veerman J. J. N.; Rutjes F. P. J. T.; van Maarseveen J. H.; Hiemstra H. Tetrahedron Lett. 1999, 40, 6079. [Google Scholar]; i Yamazaki N.; Ito T.; Kibayashi C. Org. Lett. 2000, 2, 465. [DOI] [PubMed] [Google Scholar]; j Cimarelli C.; Palmieri G.; Volpini E. Tetrahedron 2001, 57, 6089. [Google Scholar]; k Kinderman S. S.; Doodeman R.; van Beijma J. W.; Russcher J. C.; Tjen K. C. M. F.; Kooistra T. M.; Mohaselzadeh H.; van Maarseveen J. H.; Hiemstra H.; Schoemaker H. E.; Rutjes F. P. J. T. Adv. Synth. Catal. 2002, 344, 736. [Google Scholar]; l Lu J.; Xu X.; Wang S.; Wang C.; Hu Y.; Hu H. J. Chem. Soc., Perkin Trans. 1 2002, 2900. [Google Scholar]; m Lebouvier N.; Laroche C.; Huguenot F.; Brigaud T. Tetrahedron Lett. 2002, 43, 2827. [Google Scholar]; n Gosselin F.; Roy A.; O’Shea P. D.; Chen C.; Volante R. P. Org. Lett. 2004, 6, 641. [DOI] [PubMed] [Google Scholar]; o Dong Y.; Sun J.; Wang X.; Xu X.; Cao L.; Hu Y. Tetrahedron: Asymmetry 2004, 15, 1667. [Google Scholar]; p Harayama Y.; Yoshida M.; Kamimura D.; Kita Y. Chem. Commun. 2005, 1764. [DOI] [PubMed] [Google Scholar]; q Wang X.; Dong Y.; Sun J.; Xu X.; Li R.; Hu Y. J. Org. Chem. 2005, 70, 1897. [DOI] [PubMed] [Google Scholar]; r Barragan E.; Olivo H. F.; Romero-Ortega M.; Sarduy S. J. Org. Chem. 2005, 70, 4214. [DOI] [PubMed] [Google Scholar]; s Myers E. L.; de Vries J. G.; Aggarwal V. K. Angew. Chem., Int. Ed. 2007, 46, 1893. [DOI] [PubMed] [Google Scholar]; t Peterson A. E.; Jacobsen E. N. Angew. Chem., Int. Ed. 2009, 48, 6328. [DOI] [PMC free article] [PubMed] [Google Scholar]; u Othman R. B.; Affani R.; Tranchant M. J.; Antoniotti S.; Dalla V.; Dunach E. Angew. Chem., Int. Ed. 2010, 49, 776. [DOI] [PubMed] [Google Scholar]; v Chen G.; Wang X.; Su D.; Liu H.; Liu F.; Hu Y. J. Org. Chem. 2010, 75, 1911. [DOI] [PubMed] [Google Scholar]; w Peixoto S.; Nguyen T. M.; Crich D.; Delpech B.; Marazano C. Org. Lett. 2010, 12, 4760. [DOI] [PubMed] [Google Scholar]; x Zhang W.; Dai Y.; Wang X.; Zhang W. Tetrahedron Lett. 2011, 52, 6122. [Google Scholar]; y Jurberg I. D.; Peng B.; Wostefeld E.; Wasserloos M.; Maulide N. Angew. Chem., Int. Ed. 2012, 51, 1950. [DOI] [PubMed] [Google Scholar]; z Shi S. L.; Wei X. F.; Shimizu Y.; Kanai M. J. Am. Chem. Soc. 2012, 134, 17019. [DOI] [PubMed] [Google Scholar]
- a Zhang P.; Terefenko E. A.; Fensome A.; Zhang Z.; Zhu Y.; Cohen J.; Winneker R.; Wrobel J.; Yardley J. Bioorg. Med. Chem. Lett. 2002, 12, 787. [DOI] [PubMed] [Google Scholar]; b Zhang P.; Terefenko E. A.; Fensome A.; Wrobel J.; Winneker R.; Zhang Z. Bioorg. Med. Chem. Lett. 2003, 13, 1313. [DOI] [PubMed] [Google Scholar]
- a Chylinska J. B.; Janoiec M.; Urbanski T. Br. J. Pharmacol. 1971, 43, 649. [DOI] [PMC free article] [PubMed] [Google Scholar]; b Scoda J.; Votruba I.; Farkas J. Biochem. Pharmacol. 1979, 28, 1837. [DOI] [PubMed] [Google Scholar]; c Latif N.; Mishriky N.; Assad F. M. Aust. J. Chem. 1982, 35, 1037. [Google Scholar]; d Waisser K.; Gregor J.; Kubicova L.; Klimesova V.; Kunes J.; Machacek M.; Kaustova J. Eur. J. Med. Chem. 2000, 35, 733. [DOI] [PubMed] [Google Scholar]; e Petrlikova E.; Waisser K.; Divisova H.; Husakova P.; Vrabcova P.; Kunes J.; Kolar K.; Stolarikova J. Bioorg. Med. Chem. 2010, 18, 8178. [DOI] [PubMed] [Google Scholar]; f Kategaonkar A. H.; Sonar S. S.; Pokalwar R. U.; Kategaonkar A. H.; Shingate B. B.; Shingare M. S. Bull. Korean Chem. Soc. 2010, 31, 1657. [Google Scholar]; g Mathew B. P.; Kumar A.; Sharma S.; Shukla P. K.; Nath M. Eur. J. Med. Chem. 2010, 45, 1502. [DOI] [PubMed] [Google Scholar]
- a Pedersen O. S.; Pedersen E. B. Synthesis 2000, 4, 479. [Google Scholar]; b Cocuzza A. J.; Chidester D. R.; Cordova B. C.; Jeffrey S.; Parsons R. L.; Bacheler L. T.; Erickson-Viitanen S.; Trainor G. L.; Ko S. S. Bioorg. Med. Chem. Lett. 2001, 11, 1177. [DOI] [PubMed] [Google Scholar]
- a Duffin W. M.; Rollo I. M. Br. J. Pharmacol. 1957, 12, 171. [DOI] [PMC free article] [PubMed] [Google Scholar]; b Kuehne M. E.; Konopka E. A. J. Med. Chem. 1962, 5, 257. [DOI] [PubMed] [Google Scholar]; c Kuehne M. E.; Konopka E. A.; Lambert B. F. J. Med. Chem. 1962, 5, 281. [DOI] [PubMed] [Google Scholar]; d Chylinska J. B.; Urbanski T. J. Med. Chem. 1962, 6, 484. [DOI] [PubMed] [Google Scholar]; e Bouaziz Z.; Riondel J.; Mey A.; Berlion M.; Villard J.; Fillion H. Eur. J. Med. Chem. 1991, 26, 469. [Google Scholar]; f Benameur L.; Bouaziz Z.; Nebois P.; Bartoli M.-H.; Boitard M.; Fillion H. Chem. Pharm. Bull. 1996, 44, 605. [DOI] [PubMed] [Google Scholar]; g Joyce J. N.; Presgraves S.; Renish L.; Borwege S.; Osredkar T.; Hagner D.; Replogle M.; PazSoldan M.; Millan M. J. Exp. Neurol. 2003, 184, 393. [DOI] [PubMed] [Google Scholar]; h Millan M. J.; Cussac D.; Gobert A.; Lejeune F.; Rivet J.-M.; La Cour C. M.; Newman-Tancredi A.; Peglion J.-L. J. Pharmacol. Exp. Ther. 2004, 309, 903. [DOI] [PubMed] [Google Scholar]; i Millan M. J.; Di Cara B.; Hill M.; Jackson M.; Joyce J. N.; Brotchie J.; McGuire S.; Crossman A.; Smith L.; Jenner P.; Gobert A.; Peglion J.-L.; Brocco M. J. Pharmacol. Exp. Ther. 2004, 309, 921. [DOI] [PubMed] [Google Scholar]; j Millan M. J.; Brocco M.; Papp M.; Serres F.; La Rochelle C. D.; Sharp T.; Peglion J.-L.; Dekeyne A. J. Pharmacol. Exp. Ther. 2004, 309, 936. [DOI] [PubMed] [Google Scholar]; k Tang Z.; Zhu Z.; Xia Z.; Liu H.; Chen J.; Xiao W.; Ou X. Molecules 2012, 17, 8174. [DOI] [PMC free article] [PubMed] [Google Scholar]
- a von Strandtmann M.; Cohen M. P.; Shavel J.. Fused Ring Systems Containing [1,3]Oxazine. U.S. Patent 3,649,626, March 14, 1972.; b Augelli-Szafran C. E.; Jaen J. C.; Moreland D. W.; Nelson C. B.; Penvose-Yi J. R.; Schwarz R. D. Bioorg. Med. Chem. Lett. 1998, 8, 1991. [DOI] [PubMed] [Google Scholar]; c Olianas M. C.; Onali P. Life Sci. 1999, 65, 2233. [DOI] [PubMed] [Google Scholar]; d Bohme T. M.; Augelli-Szafran C. E.; Hallak H.; Pugsley T.; Serpa K.; Schwarz R. D. J. Med. Chem. 2002, 45, 3094. [DOI] [PubMed] [Google Scholar]
- a Burke W. J. J. Am. Chem. Soc. 1949, 71, 609. [Google Scholar]; b Burke W. J.; Kolbezen M. J.; Stephens J. W. J. Am. Chem. Soc. 1951, 73, 3601. [Google Scholar]; c Burke W. J.; Reynolds R. J. J. Am. Chem. Soc. 1954, 76, 1291. [Google Scholar]; d Burke W. J.; Murdock K. C.; Ec G. J. Am. Chem. Soc. 1954, 76, 1677. [Google Scholar]; e Burke W. J.; Hammer C. R.; Weatherbee C. J. Org. Chem. 1961, 83, 4403. [Google Scholar]; f Fields D. L.; Miller J. B.; Reynolds D. D. J. Org. Chem. 1962, 84, 2749. [Google Scholar]; g von Strandtmann M.; Cohen M. P.; Shavel J. J. Heterocycl. Chem. 1969, 6, 429. [Google Scholar]; h Cohen N.; Blount J. F.; Lopresti R. J.; Trullinger D. P. J. Org. Chem. 1979, 44, 4005. [Google Scholar]; i Campi E. M.; Jackson W. R.; McCubbin Q. J.; Trnacek A. E. J. Chem. Soc., Chem. Commun. 1994, 2763. [Google Scholar]; j Campi E. M.; Jackson W. R.; McCubbin Q. J.; Trnacek A. E. Aust. J. Chem. 1996, 49, 219. [Google Scholar]; k Katritzky A. R.; Xu Y.-J.; Jain R. J. Org. Chem. 2002, 67, 8234. [DOI] [PubMed] [Google Scholar]; l Tomasulo M.; Raymo F. M. Org. Lett. 2005, 7, 4633. [DOI] [PubMed] [Google Scholar]; m Mathew B. P.; Nath M. J. Heterocycl. Chem. 2009, 46, 1003. [Google Scholar]; n Vellalath S.; Coric I.; List B. Angew. Chem., Int. Ed. 2010, 49, 9749. [DOI] [PubMed] [Google Scholar]; o Osyanin V. A.; Ivleva E. A.; Osipov D. V.; Klimochkin Y. N. Chem. Heterocycl. Compd. 2011, 47, 845. [Google Scholar]; p Szatmari I.; Fulop F. Tetrahedron Lett. 2011, 52, 4440. [Google Scholar]; q Szatmari I.; Heydenreich M.; Koch A.; Fulop F.; Kleinpeter E. Tetrahedron 2013, 69, 7455. [Google Scholar]; r Deb M. L.; Dey S. S.; Bento I.; Barros M. T.; Maycock C. D. Angew. Chem., Int. Ed. 2013, 52, 9791. [DOI] [PubMed] [Google Scholar]; s Xu D.; Lin Y.; Zhang J.; Cao W.; Chen J.; Wong M. S. Tetrahedron 2013, 69, 6144. [Google Scholar]; t Mahato S.; Haldar S.; Jana C. K. Chem. Commun. 2014, 50, 332. [DOI] [PubMed] [Google Scholar]
- Higher yields have been obtained by Fülop and co-workers when microwave conditions were used instead of conventional thermal methods. See refs (9p) and (9q).
- For redox-neutral syntheses of benzo[d][1,3]oxazines, see ref (3y) and the following:; a Kaval N.; Halasz-Dajka B.; Vo-Thanh G.; Dehaen W.; Van der Eycken J.; Matyus P.; Loupy A.; Van der Eycken E. Tetrahedron 2005, 61, 9052. [Google Scholar]; b Shaaban S.; Peng B.; Maulide N. Synlett 2013, 24, 1722. [Google Scholar]; For selected oxidative syntheses of benzo[d][1,3]oxazines, see the following:; c Mohrle H.; Busch M. Arch. Pharm. 1981, 314, 524. [Google Scholar]; d Kienzle F. Tetrahedron Lett. 1983, 24, 2213. [Google Scholar]; e Mohrle H.; Jeandree M. Z. Naturforsch. 2000, 55b, 74. [Google Scholar]; f Xuan J.; Feng Z.-J.; Duan S.-W.; Xiao W.-J. RSC Adv. 2012, 2, 4065. [Google Scholar]; g Mathis C. L.; Gist B. M.; Frederickson C. K.; Midkiff K. M.; Marvin C. C. Tetrahedron Lett. 2013, 54, 2101. [Google Scholar]
- a Zhang C.; De C. K.; Mal R.; Seidel D. J. Am. Chem. Soc. 2008, 130, 416. [DOI] [PubMed] [Google Scholar]; b Zhang C.; De C. K.; Seidel D. Org. Synth. 2012, 89, 274. [Google Scholar]; c Dieckmann A.; Richers M. T.; Platonova A. Y.; Zhang C.; Seidel D.; Houk K. N. J. Org. Chem. 2013, 78, 4132. [DOI] [PMC free article] [PubMed] [Google Scholar]; d Richers M. T.; Deb I.; Platonova A. Y.; Zhang C.; Seidel D. Synthesis 2013, 45, 1730–1748. [PMC free article] [PubMed] [Google Scholar]; e Richers M. T.; Zhao C.; Seidel D. Beilstein J. Org. Chem. 2013, 9, 1194. [DOI] [PMC free article] [PubMed] [Google Scholar]
- For reviews on redox economy, see; a Burns N. Z.; Baran P. S.; Hoffmann R. W. Angew. Chem., Int. Ed. 2009, 48, 2854. [DOI] [PubMed] [Google Scholar]; b Newhouse T.; Baran P. S.; Hoffmann R. W. Chem. Soc. Rev. 2009, 38, 3010. [DOI] [PMC free article] [PubMed] [Google Scholar]
- Selected reviews on amine α-functionalization:; a Murahashi S.-I. Angew. Chem., Int. Ed. Engl. 1995, 34, 2443. [Google Scholar]; b Campos K. R. Chem. Soc. Rev. 2007, 36, 1069. [DOI] [PubMed] [Google Scholar]; c Murahashi S. I.; Zhang D. Chem. Soc. Rev. 2008, 37, 1490. [DOI] [PubMed] [Google Scholar]; d Li C.-J. Acc. Chem. Res. 2009, 42, 335. [DOI] [PubMed] [Google Scholar]; e Jazzar R.; Hitce J.; Renaudat A.; Sofack-Kreutzer J.; Baudoin O. Chem.—Eur. J. 2010, 16, 2654. [DOI] [PubMed] [Google Scholar]; f Yeung C. S.; Dong V. M. Chem. Rev. 2011, 111, 1215. [DOI] [PubMed] [Google Scholar]; g Wendlandt A. E.; Seuss A. M.; Stahl S. S. Angew. Chem., Int. Ed. 2011, 50, 11062. [DOI] [PubMed] [Google Scholar]; h Pan S. C. Beilstein J. Org. Chem. 2012, 8, 1374. [DOI] [PMC free article] [PubMed] [Google Scholar]; i Mitchell E. A.; Peschiulli A.; Lefevre N.; Meerpoel L.; Maes B. U. W. Chem.—Eur. J. 2012, 18, 10092. [DOI] [PubMed] [Google Scholar]; j Zhang C.; Tang C.; Jiao N. Chem. Soc. Rev. 2012, 41, 3464. [DOI] [PubMed] [Google Scholar]; k Jones K. M.; Klussmann M. Synlett 2012, 23, 159. [Google Scholar]; l Shi L.; Xia W. Chem. Soc. Rev. 2012, 41, 7687. [DOI] [PubMed] [Google Scholar]; m Peng B.; Maulide N. Chem.—Eur. J. 2013, 19, 13274. [DOI] [PubMed] [Google Scholar]; n Prier C. K.; Rankic D. A.; MacMillan D. W. C. Chem. Rev. 2013, 113, 5322. [DOI] [PMC free article] [PubMed] [Google Scholar]
- a Zhang C.; Murarka S.; Seidel D. J. Org. Chem. 2009, 74, 419. [DOI] [PubMed] [Google Scholar]; b Murarka S.; Zhang C.; Konieczynska M.; Seidel D. Org. Lett. 2009, 11, 129. [DOI] [PubMed] [Google Scholar]; c Murarka S.; Deb I.; Zhang C.; Seidel D. J. Am. Chem. Soc. 2009, 131, 13226. [DOI] [PubMed] [Google Scholar]; d Zhang C.; Seidel D. J. Am. Chem. Soc. 2010, 132, 1798. [DOI] [PubMed] [Google Scholar]; e Deb I.; Seidel D. Tetrahedron Lett. 2010, 51, 2945. [Google Scholar]; f Deb I.; Corio D. J.; Seidel D. Chem. Commun. 2011, 47, 6473. [DOI] [PubMed] [Google Scholar]; g Zhang C.; Das D.; Seidel D. Chem. Sci. 2011, 2, 233. [Google Scholar]; h Vecchione M. K.; Sun A. X.; Seidel D. Chem. Sci. 2011, 2, 2178. [Google Scholar]; i Haibach M. C.; Deb I.; De C. K.; Seidel D. J. Am. Chem. Soc. 2011, 133, 2100. [DOI] [PubMed] [Google Scholar]; j Deb I.; Das D.; Seidel D. Org. Lett. 2011, 13, 812. [DOI] [PubMed] [Google Scholar]; k Das D.; Richers M. T.; Ma L.; Seidel D. Org. Lett. 2011, 13, 6584. [DOI] [PubMed] [Google Scholar]; l Ma L.; Chen W.; Seidel D. J. Am. Chem. Soc. 2012, 134, 15305. [DOI] [PubMed] [Google Scholar]; m Das D.; Sun A. X.; Seidel D. Angew. Chem., Int. Ed. 2013, 52, 3765. [DOI] [PMC free article] [PubMed] [Google Scholar]; n Das D.; Seidel D. Org. Lett. 2013, 15, 4358. [DOI] [PMC free article] [PubMed] [Google Scholar]; o Chen W.; Wilde R. G.; Seidel D. Org. Lett. 2014, 16, 730. [DOI] [PMC free article] [PubMed] [Google Scholar]
- Selected reviews on azomethine ylides:; a Padwa A.; Pearson W. H.. Synthetic Applications of 1,3-Dipolar Cycloaddition Chemistry toward Heterocycles and Natural Products; Wiley: Chichester, U.K., 2002; Vol. 59. [Google Scholar]; b Najera C.; Sansano J. M. Curr. Org. Chem. 2003, 7, 1105. [Google Scholar]; c Coldham I.; Hufton R. Chem. Rev. 2005, 105, 2765. [DOI] [PubMed] [Google Scholar]; d Pandey G.; Banerjee P.; Gadre S. R. Chem. Rev. 2006, 106, 4484. [DOI] [PubMed] [Google Scholar]; e Nyerges M.; Toth J.; Groundwater P. W. Synlett 2008, 1269. [Google Scholar]; f Adrio J.; Carretero J. C. Chem. Commun. 2011, 47, 6784. [DOI] [PubMed] [Google Scholar]
- For selected articles on redox-neutral amine α-functionalization, see; a ten Broeke J.; Douglas A. W.; Grabowski E. J. J. J. Org. Chem. 1976, 41, 3159. [Google Scholar]; b Pastine S. J.; McQuaid K. M.; Sames D. J. Am. Chem. Soc. 2005, 127, 12180. [DOI] [PubMed] [Google Scholar]; c Tobisu M.; Chatani N. Angew. Chem., Int. Ed. 2006, 45, 1683. [DOI] [PubMed] [Google Scholar]; d Ryabukhin S. V.; Plaskon A. S.; Volochnyuk D. M.; Shivanyuk A. N.; Tolmachev A. A. Synthesis 2007, 18, 2872. [Google Scholar]; e Indumathi S.; Kumar R. R.; Perumal S. Tetrahedron 2007, 63, 1411. [Google Scholar]; f Oda M.; Fukuchi Y.; Ito S.; Thanh N. C.; Kuroda S. Tetrahedron Lett. 2007, 48, 9159. [Google Scholar]; g Belskaia N. P.; Deryabina T. G.; Koksharov A. V.; Kodess M. I.; Dehaen W.; Lebedev A. T.; Bakulev V. A. Tetrahedron Lett. 2007, 48, 9128. [Google Scholar]; h Barluenga J.; Fananas-Mastral M.; Aznar F.; Valdes C. Agnew Chem. Int. Ed. 2008, 47, 6594. [DOI] [PubMed] [Google Scholar]; i Polonka-Balint A.; Saraceno C.; Ludanyi K.; Benyei A.; Matyus P. Synlett 2008, 18, 2846. [Google Scholar]; j Mori K.; Ohshima Y.; Ehara K.; Akiyama T. Chem. Lett. 2009, 38, 521. [Google Scholar]; k Vadola P. A.; Sames D. J. Am. Chem. Soc. 2009, 131, 16525. [DOI] [PMC free article] [PubMed] [Google Scholar]; l Cui L.; Peng Y.; Zhang L. J. Am. Chem. Soc. 2009, 131, 8394. [DOI] [PubMed] [Google Scholar]; m Ruble J. C.; Hurd A. R.; Johnson T. A.; Sherry D. A.; Barbachyn M. R.; Toogood P. L.; Bundy G. L.; Graber D. R.; Kamilar G. M. J. Am. Chem. Soc. 2009, 131, 3991. [DOI] [PubMed] [Google Scholar]; n Pahadi N. K.; Paley M.; Jana R.; Waetzig S. R.; Tunge J. A. J. Am. Chem. Soc. 2009, 131, 16626. [DOI] [PMC free article] [PubMed] [Google Scholar]; o Cui L.; Ye L.; Zhang L. Chem. Commun. 2010, 46, 3351. [DOI] [PMC free article] [PubMed] [Google Scholar]; p Zhou G.; Zhang J. Chem. Commun. 2010, 46, 6593. [DOI] [PubMed] [Google Scholar]; q Mao H.; Xu R.; Wan J.; Jiang Z.; Sun C.; Pan Y. Chem.—Eur. J. 2010, 16, 13352. [DOI] [PubMed] [Google Scholar]; r Kang Y. K.; Kim S. M.; Kim D. Y. J. Am. Chem. Soc. 2010, 132, 11847. [DOI] [PubMed] [Google Scholar]; s Dunkel P.; Turos G.; Benyei A.; Ludanyi K.; Matyus P. Tetrahedron 2010, 66, 2331. [Google Scholar]; t Zhou G.; Liu F.; Zhang J. Chem.—Eur. J. 2011, 17, 3101. [DOI] [PubMed] [Google Scholar]; u Barluenga J.; Fananas-Mastral M.; Fernadez A.; Aznar F. Eur. J. Org. Chem. 2011, 1961. [Google Scholar]; v Ruiz M. C. R.; Vasella A. Helv. Chim. Acta 2011, 94, 785. [Google Scholar]; w Mori K.; Ehara K.; Kurihara K.; Akiyama T. J. Am. Chem. Soc. 2011, 133, 6166. [DOI] [PubMed] [Google Scholar]; x Ghavtadze N.; Narayan R.; Wibbeling B.; Wurthwein E.-U. J. Org. Chem. 2011, 76, 5185. [DOI] [PubMed] [Google Scholar]; y Cao W.; Liu X.; Wang W.; Lin L.; Feng X. Org. Lett. 2011, 13, 600. [DOI] [PubMed] [Google Scholar]; z He Y.-P.; Du Y.-L.; Luo S.-W.; Gong L.-Z. Tetrahedron Lett. 2011, 52, 7064. [Google Scholar]; aa Zhang L.; Chen L.; Lv J.; Cheng J.-P.; Luo S. Chem.—Asian J. 2012, 7, 2569. [DOI] [PubMed] [Google Scholar]; ab Chen L.; Zhang L.; Lv J.; Cheng J.-P.; Luo S. Chem.—Eur. J. 2012, 18, 8891. [DOI] [PubMed] [Google Scholar]; ac Mahoney S. J.; Fillion E. Chem.—Eur. J. 2012, 18, 68. [DOI] [PubMed] [Google Scholar]; ad Wang Y.; Chi Y.; Zhang W.-X.; Xi Z. J. Am. Chem. Soc. 2012, 134, 2926. [DOI] [PubMed] [Google Scholar]; ae Sugiishi T.; Nakamura H. J. Am. Chem. Soc. 2012, 134, 2504. [DOI] [PubMed] [Google Scholar]; af Han Y.-Y.; Han W.-Y.; Hou X.; Zhang X.-M.; Yuan W.-C. Org. Lett. 2012, 14, 4054. [DOI] [PubMed] [Google Scholar]; ag He Y.-P.; Wu H.; Chen D.-F.; Yu J.; Gong L.-Z. Chem.—Eur. J. 2013, 19, 5232. [DOI] [PubMed] [Google Scholar]; ah Zheng Q.-H.; Meng W.; Jiang G.-J.; Yu Z.-X. Org. Lett. 2013, 15, 5928. [DOI] [PubMed] [Google Scholar]; ai Lin W.; Cao T.; Fan W.; Han Y.; Kuang J.; Luo H.; Miao B.; Tang X.; Yu Q.; Yuan W.; Zhang J.; Zhu C.; Ma S. Angew. Chem., Int. Ed. 2014, 53, 277. [DOI] [PubMed] [Google Scholar]; aj Haldar S.; Mahato S.; Jana C. K. Asian J. Org. Chem. 2014, 3, 44. [Google Scholar]; ak Mori K.; Kurihara K.; Yabe S.; Yamanaka M.; Akiyama T. J. Am. Chem. Soc. 2014, 136, 3744. [DOI] [PubMed] [Google Scholar]
- a Van De Water R. W.; Pettus T. R. R. Tetrahedron 2002, 58, 5367. [Google Scholar]; b Shaikh A. K.; Cobb A. J. A.; Varvounis G. Org. Lett. 2012, 14, 584. [DOI] [PubMed] [Google Scholar]
- a Forte M.; Orsini F.; Pelizzoni F. Gazz. Chim. Ital. 1985, 115, 569. [Google Scholar]; b Ardill H.; Grigg R.; Sridharan V.; Surendrakumar S.; Thianpatanagul S.; Kanajun S. J. Chem. Soc., Chem. Commun. 1986, 602. [Google Scholar]; c Aly M. F.; Ardill H.; Grigg R.; Leong-Ling S.; Rajviroongit S.; Surendrakumar S. Tetrahedron Lett. 1987, 28, 6077. [Google Scholar]; d Orsini F.; Pelizzoni F.; Forte M.; Destro R.; Gariboldi P. Tetrahedron Lett. 1988, 44, 519. [Google Scholar]; e Ardill H.; Fontaine X. L. R.; Grigg R.; Henderson D.; Montgomery J.; Sridharan V.; Surendrakumar S. Tetrahedron 1990, 46, 6449. [Google Scholar]
- a Bashut-skaya E. V.; Zakhs E. R.; Efros L. S. Chem. Heterocycl. Compd. 1974, 10, 878. [Google Scholar]; b Bashut-skaya E. V.; Zakhs E. R.; Efros L. S. Chem. Heterocycl. Compd. 1975, 11, 850. [Google Scholar]
- Xue X. S.; Yu A.; Cai Y.; Cheng J. P. Org. Lett. 2011, 13, 6054. [DOI] [PubMed] [Google Scholar]
- a Richard J. P.; Toteva M. M.; Crugeiras J. J. Am. Chem. Soc. 2000, 122, 1664. [Google Scholar]; b Chiang Y.; Kresge A. J.; Zhu Y. J. Am. Chem. Soc. 2001, 124, 717. [DOI] [PubMed] [Google Scholar]; c Mayr H.; Kempf B.; Ofial A. R. Acc. Chem. Res. 2003, 36, 66. [DOI] [PubMed] [Google Scholar]; d Toteva M. M.; Moran M.; Amyes T. L.; Richard J. P. J. Am. Chem. Soc. 2003, 125, 8814. [DOI] [PubMed] [Google Scholar]; e Chiang Y.; Kresge A. J.; Zhu Y. J. Am. Chem. Soc. 2002, 124, 6349. [DOI] [PubMed] [Google Scholar]; f Weinert E. E.; Dondi R.; Colloredo-Melz S.; Frankenfield K. N.; Mitchell C. H.; Freccero M.; Rokita S. E. J. Am. Chem. Soc. 2006, 128, 11940. [DOI] [PMC free article] [PubMed] [Google Scholar]
- Banks J. L.; Beard H. S.; Cao Y.; Cho A. E.; Damm W.; Farid R.; Felts A. K.; Halgren T. A.; Mainz D. T.; Maple J. R.; Murphy R.; Philipp D. M.; Repasky M. P.; Zhang L. Y.; Berne B. J.; Friesner R. A.; Gallicchio E.; Levy R. M. J. Comput. Chem. 2005, 26, 1752. [DOI] [PMC free article] [PubMed] [Google Scholar]
- MacroModel, v 9.9; Schrödinger LLC, New York, 2012.
- Tao J.; Perdew J. P.; Staroverov V. N.; Scuseria G. E. Phys. Rev. Lett. 2003, 91, 146401. [DOI] [PubMed] [Google Scholar]
- Grimme S. J. Comput. Chem. 2006, 27, 1787. [DOI] [PubMed] [Google Scholar]
- Cancès E.; Mennucci B.; Tomasi J. J. Chem. Phys. 1997, 107, 3032. [Google Scholar]
- Ribeiro R. F.; Marenich A. V.; Cramer C. J.; Truhlar D. G. J. Phys. Chem. B 2011, 115, 14556. [DOI] [PubMed] [Google Scholar]
- Zhao Y.; Truhlar D. G. Theor. Chem. Acc. 2008, 120, 215. [Google Scholar]
- Weigend F.; Ahlrichs R. Phys. Chem. Chem. Phys. 2005, 7, 3297. [DOI] [PubMed] [Google Scholar]
- Grimme S.; Antony J.; Ehrlich S.; Krieg H. J. Chem. Phys. 2010, 132, 154104. [DOI] [PubMed] [Google Scholar]
- Goerigk L.; Grimme S. Phys. Chem. Chem. Phys. 2011, 13, 6670. [DOI] [PubMed] [Google Scholar]
- Wheeler S. E.; Houk K. N. J. Chem. Theory Comput. 2010, 6, 395. [DOI] [PMC free article] [PubMed] [Google Scholar]
- Frisch M. J.; Trucks G. W.; Schlegel H. B.; Scuseria G. E.; Robb M. A.; Cheeseman J. R.; Scalmani G.; Barone V.; Mennucci B.; Petersson G. A.; Nakatsuji H.; Caricato M.; Li X.; Hratchian H. P.; Izmaylov A. F.; Bloino J.; Zheng G.; Sonnenberg J. L.; Hada M.; Ehara M.; Toyota K.; Fukuda R.; Hasegawa J.; Ishida M.; Nakajima T.; Honda Y.; Kitao O.; Nakai H.; Vreven T.; Montgomery J. A. Jr. ; Peralta J. E.; Ogliaro F.; Bearpark M.; Heyd J. J.; Brothers E.; Kudin K. N.; Staroverov V. N.; Kobayashi R.; Normand J.; Raghavachari K.; Rendell A.; Burant J. C.; Iyengar S. S.; Tomasi J.; Cossi M.; Rega N.; Millam J. M.; Klene M.; Knox J. E.; Cross J. B.; Bakken V.; Adamo C.; Jaramillo J.; Gomperts R.; Stratmann R. E.; Yazyev O.; Austin A. J.; Cammi R.; Pomelli C.; Ochterski J. W.; Martin R. L.; Morokuma K.; Zakrzewski V. G.; Voth G. A.; Salvador P.; Dannenberg J. J.; Dapprich S.; Daniels A. D.; Farkas Ö.; Foresman J. B.; Ortiz J. V.; Cioslowski J.; Fox D. J.. Gaussian 09; Gaussian, Inc., Wallingford, CT, 2009.
Associated Data
This section collects any data citations, data availability statements, or supplementary materials included in this article.









