Abstract
Study Objectives:
Excessive daytime sleepiness (EDS) is highly prevalent in the general population and is associated with occupational and public safety hazards. However, no study has examined the clinical and polysomnographic (PSG) predictors of the natural history of EDS.
Design:
Representative longitudinal study.
Setting:
Sleep laboratory.
Participants:
From a random, general population sample of 1,741 individuals of the Penn State Adult Cohort, 1,395 were followed up after 7.5 years.
Measurements and Results:
Full medical evaluation and 1-night PSG at baseline and standardized telephone interview at follow-up. The incidence of EDS was 8.2%, while its persistence and remission were 38% and 62%, respectively. Obesity and weight gain were associated with the incidence and persistence of EDS, while weight loss was associated with its remission. Significant interactions between depression and PSG parameters on incident EDS showed that, in depressed individuals, incident EDS was associated with sleep disturbances, while in non-depressed individuals, incident EDS was associated with increased physiologic sleep propensity. Diabetes, allergy/asthma, anemia, and sleep complaints also predicted the natural history of EDS.
Conclusions:
Obesity, a disorder of epidemic proportions, is a major risk factor for the incidence and chronicity of excessive daytime sleepiness (EDS), while weight loss is associated with its remission. Interestingly, objective sleep disturbances predict incident EDS in depressed individuals, whereas physiologic sleep propensity predicts incident EDS in those without depression. Weight management and treatment of depression and sleep disorders should be part of public health policies.
Citation:
Fernandez-Mendoza J, Vgontzas AN, Kritikou I, Calhoun SL, Liao D, Bixler EO. Natural history of excessive daytime sleepiness: role of obesity, weight loss, depression, and sleep propensity. SLEEP 2015;38(3):351–360.
Keywords: daytime sleepiness, depression, incidence, obesity, persistence, polysomnography
INTRODUCTION
Excessive daytime sleepiness (EDS) is a pervasive problem that clinicians encounter very frequently in their practice. Population-wise, EDS is highly prevalent, affecting up to 30% of the general public, and is associated with significant personal and occupational sequelae and public safety hazards.1–7 However, its etiology and pathophysiology is still poorly understood and little is known about how to treat EDS in specific patient populations.
Cross-sectional studies have shown that EDS is associated with psychiatric, cardiometabolic, and sleep disorders, particularly depression, obesity, and sleep apnea.8–18 Despite its high prevalence and significant medical correlates, the natural history of EDS in the general population remains to be documented, and consequently, very little is known about the determinants of the incidence, persistence, and remission of EDS.1,19,20 In fact, no study to date has explored the role of sleep, psychiatric, and medical disorders in the natural history of EDS using physiologic sleep data, i.e., polysomnography (PSG).
The aim of this study was to longitudinally examine the predictors of the natural history of EDS in a large, random, general population sample using both subjective and PSG data. We hypothesized that psychiatric, cardiometabolic, and sleep disorders are the main predictors of the incidence and persistence of EDS, and that different mechanisms account for such associations. Specifically, we hypothesized that (1) obesity and weight gain are strong predictors of the incidence and persistence of EDS, whereas weight loss is associated with its remission; and (2) depression and increased physiologic sleep propensity are independent risk factors for EDS, suggesting the presence of two distinct pathophysiologic pathways leading to EDS.
METHODS
Population
The data presented here were collected as part of the Penn State Adult Cohort, a population-based study of sleep disorders that used a 2-phase protocol to randomly select adult (age ≥ 20 years) men and women using standard sampling methods.21–23 A comprehensive presentation of the design and sampling methodology has been presented elsewhere.10,24–36 In brief, phase I included 16,583 men and women (response rates of 73.5% and 74.1%, respectively) and phase II included 1,741 randomly selected men and women studied in the sleep laboratory (response rates of 67.8% and 65.8%, respectively). Of those, 1,395 were followed up after an average of 7.5 years with a standardized telephone interview (response rates of 79.7% for the 1,741 and 90.9% for the 1,526 alive).26–30 After giving a complete description of the study to the subjects, written and verbal informed consents were obtained at baseline and follow-up, respectively. The whole study procedure was approved by the university's institutional review board. Figure 1 shows the participant flow in the study.
Figure 1.

Participants' flow in the study.
Definition of Incident, Persistent, and Remitted EDS
Commensurate with our previous cross-sectional study,10 the presence of EDS was established based on a moderate-to-severe self-report of daytime drowsiness or sleepiness occurring most of the day (“Do you feel drowsy or sleepy most of the day but manage to stay awake?”) and/or irresistible sleep attacks (“Do you have any irresistible sleep attacks during the day?”). Each question was answered on a 4-point Likert scale (0 = none, 1 = mild, 2 = moderate, and 3 = severe), and the presence of EDS was defined as a moderate or severe report to either of the 2 questions. Of the 1,395 subjects who were followed-up, 222 reported EDS at baseline and 1,173 did not. Subjects were classified according to their baseline and follow-up status into: no EDS (i.e., individuals without EDS at baseline and at follow-up; n = 1,035), incident EDS (i.e., individuals without EDS at baseline and with EDS at follow-up; n = 138), remitted EDS (i.e., individuals with EDS at baseline and without EDS at follow-up; n = 147), and persistent EDS (i.e., individuals with EDS at baseline and at follow-up; n = 75).
Key Measurements
All subjects completed a comprehensive sleep history and physical examination and were evaluated for one night in the sleep laboratory (8 h fixed-time period) in sound-attenuated, light- and temperature-controlled rooms using 16-channel PSG. Sleep recordings were scored according to standard criteria and evaluated for parameters of sleep continuity (sleep onset latency, total sleep time, etc.) as well as sleep architecture (e.g., percentage of sleep stages such as REM).37 Increased physiologic sleep propensity was defined as a sleep onset latency ≤ 8 minutes.38 Respiration was monitored throughout the night by use of thermocouples at the nose and mouth and thoracic strain gauges, and all-night recordings of hemoglobin oxygen saturation (SpO2) were obtained with an oximeter attached to the finger. Sleep apnea was defined as an apnea-hypopnea index (AHI) ≥ 15.24,25 Body mass index was based on measured height (cm) and weight (kg) during the subjects' sleep laboratory visit. Obesity was defined as a BMI ≥ 30 kg/m2. We also ascertained the presence of sleep, physical and mental health problems, and substance use using a standardized questionnaire. The presence of sleep difficulty was established on 3 levels of severity: insomnia, poor sleep, and normal sleep, as defined elsewhere.26–36 We ascertained whether the respondent was currently being treated for physical (ulcer, anemia, allergy/ asthma, etc.) and mental (e.g., depression, alcohol abuse, drug abuse) health problems.26,28 Hypertension and diabetes were also defined based on blood pressure measured in the evening and fasting blood glucose measured in the morning during the sleep laboratory visit, respectively.32,33 Finally, we ascertained participants' daily consumption of caffeine, tobacco, and alcohol.26–28
Follow-up measures taken through telephone interview included the standardized questionnaire that subjects completed at baseline during their sleep laboratory visit,26–29 which included self-reported height and weight data.30 Sleep-related questions were used to establish the presence of EDS at follow-up as mentioned above.
Statistical Analyses
The design of this study included oversampling of those at higher risk for sleep apnea and women with markedly higher levels of BMI to increase the precision of the risk estimates. A sampling weight was developed so that the estimates could be inferred to the general population, including the use of the NHANES III laboratory data as the standard to be representative of the national population, as reported elsewhere.10,21,24,55 Thus, all analyses were adjusted for the sampling weight, including the incidence rate (proportion of cases developing EDS at follow-up among those without EDS at baseline) and persistence or remission rates (proportion of cases with or without EDS at follow-up among those with EDS at baseline, respectively). Descriptive data (means, standard deviations, and proportions) of all variables were calculated for the entire population, as well as stratified by EDS status. Bivariate logistic regression was used to assess the odds ratios (OR) associated with each baseline risk factor with the incidence or persistence of EDS. Multivariable logistic regression models were used to assess the independent association and relative significance of each baseline risk factor with the incidence or persistence of EDS. We calculated the adjusted odds ratios (AOR) and their 95% confidence intervals (95% CI) from the multivariable regression models to estimate the odds associated with each risk factor. Given the known clustering of clinical risk factors, particularly obesity, sleep apnea, diabetes, and hypertension, a stepwise procedure examined which of these were the strongest predictors of incident EDS, using a backward conditional model followed by forced entry of sociodemographic factors (see supplemental material). Furthermore, based on previous clinical studies,8,9 we further tested the interaction between depression and PSG parameters on incident EDS in multivariable logistic regression models adjusting for potential confounding factors associated with depression, PSG parameters, or incident EDS (i.e., gender, race, age, obesity, hypertension, diabetes, allergy/asthma, sleep difficulties, and sleep apnea). The no EDS group served as the reference for incident EDS, while the remitted EDS group served as the reference for persistent EDS. Finally, given the association of obesity with EDS,12–15 we examined the role of weight gain and weight loss with the natural history of EDS. All analyses were conducted with SPSS version 21.0 for Windows.
RESULTS
The demographic and behavioral characteristics of the overall study sample and stratified by the natural history of EDS are presented in Table 1.
Table 1.
Sociodemographic and behavioral characteristics at baseline.

Incident EDS
The incidence of EDS was 8.2%. Male gender (OR = 2.0, 95% CI = 1.3–3.0, P < 0.01), non-Caucasian race (OR = 2.6, 95% CI = 1.4–4.8, P < 0.01), and young and older age were associated with incident EDS (see Table 1). Figure 2 depicts the U-shaped relationship between age and the incidence of EDS. Consistently, age was modeled using fine-grained, clinically meaningful categories in multivariable analyses, i.e., young adults (≤ 30 y), middle-age (31–64 y, which served as the reference group), and older adults (≥ 65 y).
Figure 2.

Age-specific incidence of EDS.
As shown in Table 2, depression (OR = 2.8, 95% CI = 1.8–4.5, P = 0.00002), sleep apnea (OR = 2.2, 95% CI = 1.1–4.4, P = 0.031), obesity (OR = 2.1, 95% CI = 1.4–3.1, P = 0.001), and diabetes (OR = 2.0, 95% CI = 1.2–3.3, P = 0.008) were significantly associated with incident EDS, whereas hypertension (OR = 1.5, 95% CI = 1.0–2.2, P = 0.063), allergy/ asthma (OR = 1.5, 95% CI = 1.0–2.3, P = 0.085), and migraine (OR = 1.7, 95% CI = 1.0–2.9, P = 0.073) were marginally associated. Other medical conditions (e.g., stroke, cancer, colitis, epilepsy, kidney/bladder, thyroidism, arthritis, and alcohol or drug abuse) were not associated with incident EDS. A multivariable backward regression model showed that depression (AOR = 2.6, 95% CI = 1.6–4.2, P = 0.0002), obesity (AOR = 1.8, 95% CI = 1.2–2.8, P = 0.011), diabetes (AOR = 1.7, 95% CI = 1.0–3.0, P = 0.046), and allergy/asthma (AOR = 1.5, 95% CI = 1.0–2.4, P = 0.057) were the strongest clinical predictors of incident EDS (see Table S1, supplemental material).
Table 2.
Clinical characteristics at baseline.

Table 3 shows that several subjective and objective sleep parameters were associated with the incidence of EDS. Reporting short (≤ 5 h) or long (> 8 h) sleep duration were significantly associated with incident EDS (OR = 2.7, 95% CI = 1.4–5.0, P = 0.002 and OR = 2.2, 95% CI = 1.0–4.8, P = 0.044, respectively), while reporting sleep difficulties was not significantly associated with incident EDS (OR = 1.3, 95% CI = 0.8–2.1 for poor sleep and OR = 1.5, 95% CI = 0.7–3.2 for insomnia, P-linear = 0.166). Snoring was significantly associated with incident EDS, particularly in those with milder levels of sleep apnea (OR = 1.9, 95% CI = 1.2–2.9, P = 0.004). Furthermore, PSG markers of sleep fragmentation, such as increased wake (P = 0.008) and stage 1 (P = 0.005) and decreased stage 2 (P = 0.037) and slow wave sleep (P = 0.083), as well as PSG markers of increased physiologic sleep propensity (i.e., sleep onset latency ≤ 8 min, OR = 2.7, 95% CI = 1.6–4.7, P = 0.0002) were associated with incident EDS.
Table 3.
Subjective and objective sleep characteristics at baseline.

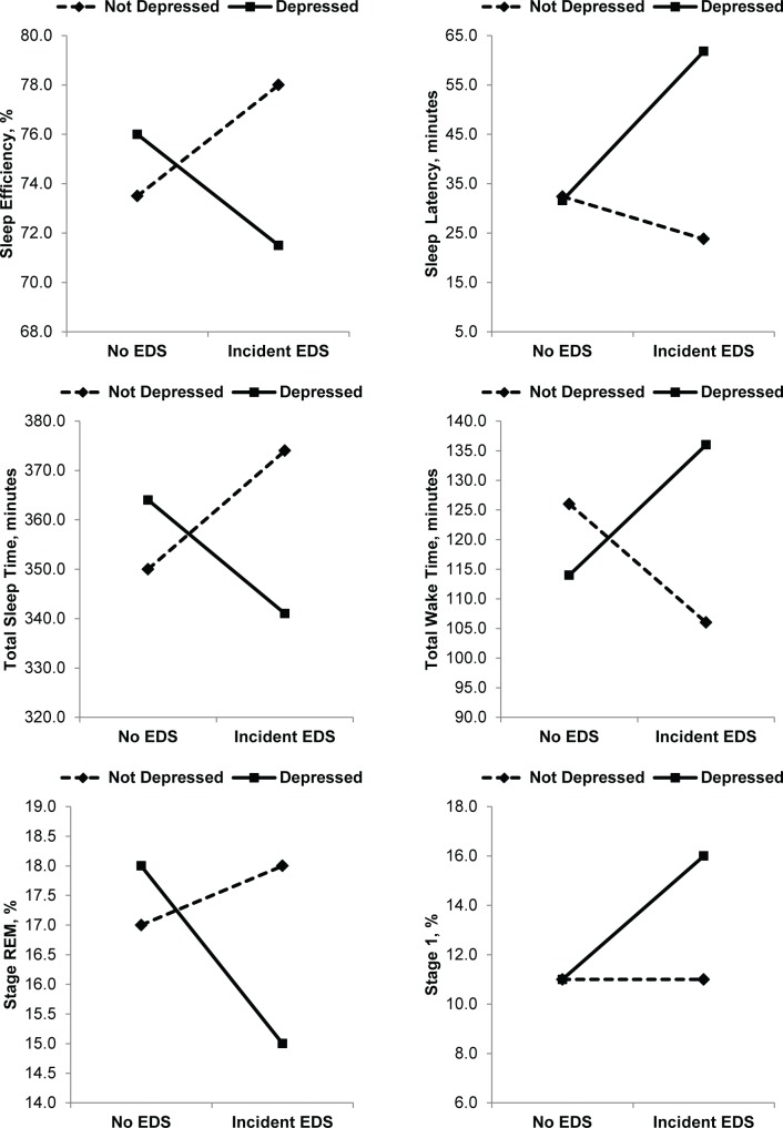
Importantly, we found significant interactions between depression and PSG parameters of sleep onset latency (P = 0.001), total sleep time (P = 0.004), sleep efficiency (P = 0.005), total wake time (P = 0.007), percent of stage 1 (P = 0.010), and percent of REM sleep (P = 0.002) on incident EDS, even after adjusting for gender, race, age, obesity, hypertension, diabetes, allergy/asthma, sleep difficulties, and sleep apnea. As shown in Figure 3, the association of PSG parameters with incident EDS differed in depressed and non-depressed individuals. Longer sleep latency, higher wake time and percent of stage 1, and lower sleep efficiency and percent of REM sleep were associated with incident EDS in depressed individuals. In contrast, longer sleep duration, higher sleep efficiency, shorter sleep latency, and lower wake time, were associated with incident EDS in non-depressed individuals. In fact, increased physiologic sleep propensity (sleep onset latency ≤ 8 min) was significantly associated with incident EDS in those without depression (AOR = 3.1, 95% CI = 1.8–5.6, P = 0.0001) but not in those with depression (AOR = 0.9, 95% CI = 0.1–8.1, P = 0.993). Please see also Figure S1 (supplemental material).
Figure 3.
Graphic representation of the interaction between depression and polysomnographic characteristics on incident EDS. Depressed individuals with incident EDS showed sleep disturbances at baseline (longer sleep onset latency, shorter sleep duration, lower sleep efficiency, more time awake and in stage 1, and less time in REM sleep), while non-depressed individuals with incident EDS showed increased physiologic sleep propensity (shorter sleep latency, longer sleep duration, higher sleep efficiency, and less time awake). Data adjusted for gender, race, age, obesity, diabetes, hypertension, allergy/ asthma, sleep difficulty, and sleep apnea.
Persistent EDS
The persistence and remission rates of EDS were 38% and 62%, respectively. Ulcer (OR = 3.6, 95% CI = 1.1–11.1, P = 0.030), anemia (OR = 2.9, 95% CI = 1.1–7.8, P = 0.040), and sleep difficulties (OR = 2.0, 95% CI = 1.1–3.6, P = 0.020) were significantly associated with persistent EDS, whereas depression (OR = 2.1, 95% CI = 1.0–4.6, P = 0.063), hypertension (OR = 2.1, 95% CI = 1.0–4.6, P = 0.064), allergy/asthma (OR = 2.0, 95% CI = 0.9–4.5, P = 0.096), female gender (OR = 2.0, 95% CI = 0.9–4.6, P = 0.095), and BMI (2 kg/m2 increase OR = 1.1, 95% CI = 1.0–1.2, P = 0.125) were only marginally associated with persistent EDS. PSG parameters did not differ between remitted and persistent EDS, while reporting short or long sleep duration were associated with persistent EDS (see Table 3). A multivariable backward regression model showed that anemia (AOR = 3.4, 95% CI = 1.1–10.0, P = 0.031), sleep difficulties (AOR = 3.0, 95% CI = 1.1–8.1, P = 0.029), and BMI (2 kg/m2 AOR = 1.1, 95% CI = 1.0–1.3, P = 0.088) were the strongest predictors of persistent EDS, whereas ulcer, depression, allergy/asthma, and hypertension did not enter the model when sleep difficulties were included (see Table S2, supplemental material).
Weight Gain and Weight Loss
Given the association of baseline obesity with EDS, we further explored whether weight gain and weight loss, as measured by ΔBMI, were associated with the natural history of EDS. As shown in Table 4, individuals with incident or persistent EDS gained significantly more weight as compared to those without EDS (ΔBMI 2.5 ± 3.5 and 2.8 ± 2.8 vs. 1.3 ± 3.2 kg/m2, respectively), even after adjusting for baseline obesity (ΔBMI 2.4 ± 3.6, P = 0.001 and 2.7 ± 4.1, P = 0.006 vs. 1.4 ± 2.9 kg/m2, respectively). Interestingly, individuals with remitted EDS gained significantly less weight as compared to individuals without EDS (ΔBMI 0.4 ± 2.7 vs. 1.3 ± 3.2 kg/m2, P = 0.027), which indicated that an important proportion of remitted EDS cases lost weight over time (see Table 4). In fact, weight loss (i.e., ΔBMI ≤ −2.0 kg/m2) was associated with remitted EDS (OR = 2.5, 95% CI = 1.2–5.1, P = 0.013), whereas weight gain (i.e., ΔBMI ≥ + 2.0 kg/m2) was associated with incident (OR = 2.8, 95% CI = 1.8–4.3, P = 0.00006) and persistent EDS (OR = 2.7, 95% CI = 1.4–5.2, P = 0.003). These findings were similar when other indices of weight gain/loss (i.e., absolute or percent change in body weight) were examined (see Table 4) and when analyses were further adjusted for baseline sleep duration (ΔBMI = 1.4, 2.4, 2.9, and 0.5 kg/m2 for none, incident, persistent, and remitted EDS, respectively).
Table 4.
Association of weight gain and weight loss with the natural history of EDS.

DISCUSSION
The main findings of this population-based, longitudinal study are that (1) obesity, weight gain, and weight loss are associated with the incidence, persistence, and remission of EDS, respectively; and (2) objective sleep disturbance predicts the incidence of EDS in individuals with depression, while physiologic sleep propensity predicts the incidence of EDS in individuals without depression. These findings underscore that obesity, depression, and sleep disorders should be our priority in terms of public health policies and early clinical interventions for EDS.
Incidence, Persistence, and Remission of EDS
As stated above, up to 30% of the general population complains of EDS, depending on the definition used.1,2 For example, 8% to 10% of the general population has moderate-to-severe complaints of EDS.1,10 Using this latter definition, we found that the incidence of EDS is about 8% and that it is very likely to remit (62%), with only about 38% persisting with the complaint after a long follow-up. This scenario is similar to that of “poor sleep,” which is more likely to remit, while “insomnia” is a highly persistent disorder.27,28 Thus, this study further suggests that EDS is a symptom rather than a disorder per se (i.e., hypersomnia).2,10,11
Role of Obesity, Weight Gain, and Weight Loss
In line with previous cross-sectional studies,10,12–15 obesity and diabetes were independent risk factors for EDS. An important and novel finding in our study was that weight gain was a strong predictor of the incidence and persistence of EDS even in non-obese individuals. A recent longitudinal study showed that EDS was not a significant predictor of the incidence of obesity.30 Together, these studies indicate that EDS is likely to be a consequence of metabolic aberrations associated with obesity rather than a premorbid characteristic of obese subjects. From a mechanistic standpoint, these data further suggest that metabolic aberrations and chronic low-grade inflammation, conditions common in obesity and diabetes, may play a role in the pathogenesis of EDS and fatigue13–15,39 in a large proportion of individuals from the general population. Moreover, weight loss was a significant predictor of the remission of EDS in the present study. These data not only reinforce the etiological link between obesity/weight gain and the development and chronicity of EDS but also suggest that focusing on modifiable behavioral and metabolic factors associated with weight gain and weight loss will lead to higher success in reducing the prevalence and severity of EDS. It is important to keep in mind that weight gain or loss is likely to be associated with other factors (e.g., changes in diet and physical activity) that may be the actual cause of incident or remitted EDS. For example, increased physical activity may lead to both weight loss and reduced EDS or weight change may (partially or fully) mediate the association of physical activity with EDS. Future experimental and clinical studies should examine the underlying mechanisms in energy balance leading to weight loss and EDS remission.
Role of Depression and Objective Sleep Disturbances
We found a strong association between depression and EDS, which is consistent with previous cross-sectional studies.8–12,18–20 A novel and important finding of this longitudinal study was that PSG characteristics were differentially associated with the incidence of EDS in individuals with and without depression. Specifically, we found that in individuals with depression, incident EDS was associated with PSG sleep disturbances, such as increased sleep onset latency. These longitudinal, population-based findings are consistent with previous clinical studies showing that the complaint of EDS in psychiatric disorders is more likely associated with a state of physiologic hyperarousal rather than with physiologic sleep propensity (i.e., hypoarousal of central origin).8,9,11
Role of Physiologic Sleep Propensity
In contrast, the incidence of EDS in individuals without depression was associated with increased physiologic sleep propensity. Previous studies have shown that increased daytime sleep propensity is associated with shorter nighttime sleep onset latency and longer sleep duration5,40 as well as with significant genetic influences.41–45 Our data suggest the existence of a phenotype of individuals without psychiatric disorders who have increased physiologic sleep propensity and significant risk of developing a disorder of EDS (e.g., hypersomnia of central origin). It is not clear, however, why these individuals with physiologic sleep propensity develop the complaint of EDS later on in life. Several putative mechanisms include (1) impaired homeostatic sleep/arousal mechanisms with increasing age, (2) fatigue-mediating factors (e.g., inflammatory) that increase with age, and/or (3) increased personal, occupational, and social demands that do not allow extended nighttime sleep or brief daytime naps to alleviate physiologic sleep pressure.
It is important to note that many patients with hypersomnia of central origin present with depressive symptoms or even clinical diagnosis of depression.11 In this instance, the differential diagnosis of hypersomnia of central origin vs. hypersomnia related to depression becomes a challenge in the clinic if it is only based on clinical history and subjective reports. Our longitudinal data confirm and expand our previous findings9 that objective measures of EDS may be necessary to confirm or rule-out the presence of increased physiologic sleep propensity, particularly in depressed individuals.
Role of Aging, Sleep, and Other Medical Conditions
The incidence of EDS was higher in the young and in the old; the former most likely as a result of increased unmet sleep needs and the latter associated with increased health problems and medical illness,1,2,10 which was evidenced by the association of reported insufficient and long sleep with incident EDS. Snoring, particularly in those with milder levels of sleep apnea, was significantly associated with incident EDS, which indicates that these individuals are likely to progress into more severe forms of sleep apnea, most likely through further weight gain, and develop clinical symptoms of the disorder, i.e., EDS. Interestingly, moderate-to-severe sleep apnea at baseline was significantly associated with EDS; however, it did not enter the multivariable model after adjusting for obesity. These data reinforce the hypothesis that metabolic and inflammatory aberrations may play a major role in the pathogenesis of EDS, even in individuals with sleep apnea.39 Furthermore, allergy/asthma, anemia, ulcer, and hypertension were associated with the incidence or persistence of EDS. The association of allergy/asthma with incident EDS was weaker than that of metabolic and mood disorders, while the link between ulcer, allergy/asthma, depression, and hypertension with the persistence of EDS was the presence of complaints of sleep difficulties, which may be the final common path for the persistence of the complaint of EDS in individuals with those conditions. It remains to be tested whether treatment of underlying sleep difficulties improves both the medical disorder and associated EDS or whether treatment of the underlying medical disorder improves sleep and associated EDS. These data reinforce the inclusion of blood, respiratory, pain, and sleep disorders, including unmet sleep needs, as part of the thorough assessment of patients with EDS.
Limitations
Some limitations should be taken into account when interpreting our results. The objective sleep in this study was based on one night of PSG, which may not be representative of the subjects' typical or optimal sleep and may be affected by the “first night effect.” Nevertheless, large epidemiological studies show high consistency in sleep parameters (e.g., average sleep duration of about 6 h) independent of whether sleep is recorded at home with PSG,46 for three consecutive nights with actigraphy,47 or in the sleep laboratory with PSG.32–36 The consistency among these three large epidemiological studies supports the validity of our findings. In the present study, we did not ascertain EDS using standardized questionnaires or physiologic measures of daytime sleep propensity, i.e., multiple sleep latency test. Despite the limitations of using two items to ascertain the complaint of EDS, these items specifically referred to two core symptoms used in the diagnosis of hypersomnia (sleepiness or drowsiness and irresistible sleep attacks) and capture the complaints typically expressed by patients.38 Importantly, the prevalence estimate in the Penn State Cohort using this definition of EDS10 is consistent with that of other population-based studies, where the complaint of EDS is defined based on severity criteria.1,2 Nevertheless, the potential effect of measurement characteristics, measurement error, and regression to the mean in our natural history estimates cannot be entirely ruled out. The study had one long follow-up time point, which precludes an assessment of a potential waxing and waning pattern and short-term, stronger associations with baseline predictors. Similarly, the lack of measures of habitual sleep duration at follow-up precludes examining the trajectory of sleep duration as it relates to the natural history of EDS, particularly its incidence and persistence. Another potential limitation is that we had to rely on self-reported data for our weight gain/loss analyses. However, we have previously shown that objectively measured and self-reported weight data highly correlated in our cohort,30 which provides further validity to the present findings.
Implications for Clinical Practice and Public Health Policy
In summary, our data indicate that obesity and weight gain play a key role in the development and chronicity of EDS, whereas weight loss is associated with its remission. Furthermore, EDS in individuals with depression is associated with objective sleep disturbances, while increased physiologic sleep propensity is an independent predictor of EDS. These data suggest potentially different etiologic mechanisms for the complaint of EDS in the presence of psychiatric disorders, i.e., physiologic hyperarousal vs. central nervous system hypoarousal. Future clinical studies should test whether (1) the complaint of EDS in depression may respond better to treatments targeting mood and nighttime sleep disturbances rather than pharmacological agents increasing physiologic alertness, and (2) whether extending sleep (e.g., regular sleep schedules, brief daytime naps) and/or enhancing alertness through pharmacological agents (stimulants) prevent EDS in individuals with physiologic sleep propensity. From a public health policy perspective, this study suggests that obesity, depression, and sleep disorders should be a priority in the prevention and reduction of EDS in the general population.
DISCLOSURE STATEMENT
This was not an industry supported study. This research is funded in part by the National Institutes of Health grants RO1 HL51931, RO1 HL40916, and RO1 HL64415. The authors have indicated no financial conflicts of interest.
ACKNOWLEDGMENTS
The work was performed at the Sleep Research & Treatment Center, Penn State Milton S. Hershey Medical Center, and the staff is especially commended for their efforts.
SUPPLEMENTAL MATERIAL
Multivariable regression models of clinical factors predicting incident excessive daytime sleepiness.
Multivariable regression models of clinical factors predicting persistent excessive daytime sleepiness.
Interaction between depression and polysomnographic sleep onset latency on incident excessive daytime sleepiness. Depressed individuals had a higher incidence of EDS (17%) than non-depressed individuals (7%). Individuals with physiologic sleep propensity (≤ 8 min) had a higher incidence of EDS (15%) than those with normal (9–29 min) or increased (≥ 30 min) sleep latency (7% and 8%, respectively). A significant interaction between these two factors showed that depressed individuals with increased sleep latency had a higher incidence of EDS (22%) than depressed individuals with normal sleep latency or physiologic sleep propensity (13.4% and 11.0%, respectively), whereas in contrast non-depressed individuals with physiologic sleep propensity had a higher incidence of EDS (16.3%) than non-depressed individuals with normal or increased sleep latency at baseline (5.6% and 5.7%, respectively). Data adjusted for gender, race, age, obesity, hypertension, diabetes, allergy/asthma, sleep difficulties, and sleep apnea.
REFERENCES
- 1.Ohayon MM. From wakefulness to excessive sleepiness: what we know and still need to know. Sleep Med Rev. 2008;12:129–41. doi: 10.1016/j.smrv.2008.01.001. [DOI] [PMC free article] [PubMed] [Google Scholar]
- 2.Ohayon MM. Determining the level of sleepiness in the American population and its correlates. J Psychiatr Res. 2012;46:422–7. doi: 10.1016/j.jpsychires.2011.06.008. [DOI] [PubMed] [Google Scholar]
- 3.Foley D, Monjan A, Masaki K, et al. Daytime sleepiness is associated with 3-year incident dementia and cognitive decline in older Japanese-American men. J Am Geriatr Soc. 2001;49:1628–32. doi: 10.1046/j.1532-5415.2001.t01-1-49271.x. [DOI] [PubMed] [Google Scholar]
- 4.Jaussent I, Bouyer J, Ancelin ML, et al. Excessive sleepiness is predictive of cognitive decline in the elderly. Sleep. 2012;35:1201–07. doi: 10.5665/sleep.2070. [DOI] [PMC free article] [PubMed] [Google Scholar]
- 5.Drake C, Roehrs T, Breslau N, et al. The 10-year risk of verified motor vehicle crashes in relation to physiologic sleepiness. Sleep. 2010;33:745–52. doi: 10.1093/sleep/33.6.745. [DOI] [PMC free article] [PubMed] [Google Scholar]
- 6.Ward KL, Hillman DR, James A, et al. Excessive daytime sleepiness increases the risk of motor vehicle crash in obstructive sleep apnea. J Clin Sleep Med. 2013;9:1013–21. doi: 10.5664/jcsm.3072. [DOI] [PMC free article] [PubMed] [Google Scholar]
- 7.Stevenson MR, Elkington J, Sharwood L, et al. The role of sleepiness, sleep disorders, and the work environment on heavy-vehicle crashes in 2 Australian States. Am J Epidemiol. 2014;179:594–601. doi: 10.1093/aje/kwt305. [DOI] [PubMed] [Google Scholar]
- 8.Nofzinger EA, Thase ME, Reynolds CF, 3rd, et al. Hypersomnia in bipolar depression: a comparison with narcolepsy using the multiple sleep latency test. Am J Psychiatry. 1991;148:1177–81. doi: 10.1176/ajp.148.9.1177. [DOI] [PubMed] [Google Scholar]
- 9.Vgontzas AN, Bixler EO, Kales A, Criley C, Vela-Bueno A. Differences in nocturnal and daytime sleep between primary and psychiatric hypersomnia: diagnostic and treatment implications. Psychosom Med. 2000;62:220–6. doi: 10.1097/00006842-200003000-00013. [DOI] [PubMed] [Google Scholar]
- 10.Bixler EO, Vgontzas AN, Lin HM, Calhoun SL, Vela-Bueno A, Kales A. Excessive daytime sleepiness in a general population sample: the role of sleep apnea, age, obesity, diabetes, and depression. J Clin Endocrinol Metab. 2005;90:4510–15. doi: 10.1210/jc.2005-0035. [DOI] [PubMed] [Google Scholar]
- 11.Dauvilliers Y, Lopez R, Ohayon M, Bayard S. Hypersomnia and depressive symptoms: methodological and clinical aspects. BMC Med. 2013;11:78. doi: 10.1186/1741-7015-11-78. [DOI] [PMC free article] [PubMed] [Google Scholar]
- 12.Vashum KP, McEvoy MA, Hancock SJ, et al. Prevalence of and associations with excessive daytime sleepiness in an Australian older population. Asia Pac J Public Health. 2013 Oct 4; doi: 10.1177/1010539513497783. [Epub ahead of print] [DOI] [PubMed] [Google Scholar]
- 13.Vgontzas AN, Papanicolaou DA, Bixler EO, Kales A, Tyson K, Chrousos GP. Elevation of plasma cytokines in disorders of excessive daytime sleepiness: role of sleep disturbance and obesity. J Clin Endocrinol Metab. 1997;82:1313–6. doi: 10.1210/jcem.82.5.3950. [DOI] [PubMed] [Google Scholar]
- 14.Vgontzas AN, Bixler EO, Chrousos GP. Obesity-related sleepiness and fatigue: the role of the stress system and cytokines. Ann N Y Acad Sci. 2006;1083:329–44. doi: 10.1196/annals.1367.023. [DOI] [PubMed] [Google Scholar]
- 15.Panossian LA, Veasey SC. Daytime sleepiness in obesity: mechanisms beyond obstructive sleep apnea--a review. Sleep. 2012;35:605–15. doi: 10.5665/sleep.1812. [DOI] [PMC free article] [PubMed] [Google Scholar]
- 16.Gottlieb DJ, Whitney CW, Bonekat WH, et al. Relation of sleepiness to respiratory disturbance index: the Sleep Heart Health Study. Am J Respir Crit Care Med. 1999;159:502–7. doi: 10.1164/ajrccm.159.2.9804051. [DOI] [PubMed] [Google Scholar]
- 17.Morrell MJ, Finn L, McMillan A, Peppard PE. The impact of ageing and sex on the association between sleepiness and sleep disordered breathing. Eur Respir J. 2012;40:386–93. doi: 10.1183/09031936.00177411. [DOI] [PMC free article] [PubMed] [Google Scholar]
- 18.Basta M, Lin HM, Pejovic S, Sarrigiannidis A, Bixler E, Vgontzas AN. Lack of regular exercise, depression, and degree of apnea are predictors of excessive daytime sleepiness in patients with sleep apnea: sex differences. J Clin Sleep Med. 2008;4:19–25. [PMC free article] [PubMed] [Google Scholar]
- 19.Hasler G, Buysse DJ, Gamma A, et al. Excessive daytime sleepiness in young adults: a 20-year prospective community study. J Clin Psychiatry. 2005;66:521–9. doi: 10.4088/jcp.v66n0416. [DOI] [PubMed] [Google Scholar]
- 20.Quan SF, Katz R, Olson J, et al. Factors associated with incidence and persistence of symptoms of disturbed sleep in an elderly cohort: the Cardiovascular Health Study. Am J Med Sci. 2005;329:163–72. doi: 10.1097/00000441-200504000-00001. [DOI] [PubMed] [Google Scholar]
- 21.ten Have TR, Bixler EO. Modelling population heterogeneity in sensitivity and specificity of a multi-stage screen for obstructive sleep apnoea. Stat Med. 1997;16:1995–2008. doi: 10.1002/(sici)1097-0258(19970915)16:17<1995::aid-sim611>3.0.co;2-i. [DOI] [PubMed] [Google Scholar]
- 22.Waksberg J. Sampling methods for random digit dialing. J Am Stat Assoc. 1978;73:40–6. [Google Scholar]
- 23.Kish L. Survey sampling. New York: John Wiley & Sons, Inc; 1965. [Google Scholar]
- 24.Bixler EO, Vgontzas AN, Ten Have T, Tyson K, Kales A. Effects of age on sleep apnea in men: I. Prevalence and severity. Am J Respir Crit Care Med. 1998;157:144–8. doi: 10.1164/ajrccm.157.1.9706079. [DOI] [PubMed] [Google Scholar]
- 25.Bixler EO, Vgontzas AN, Lin HM, et al. Prevalence of sleep-disordered breathing in women: effects of gender. Am J Respir Crit Care Med. 2001;163:608–13. doi: 10.1164/ajrccm.163.3.9911064. [DOI] [PubMed] [Google Scholar]
- 26.Singareddy R, Vgontzas AN, Fernandez-Mendoza J, et al. Risk factors for incident chronic insomnia: a general population prospective study. Sleep Med. 2012;13:346–53. doi: 10.1016/j.sleep.2011.10.033. [DOI] [PMC free article] [PubMed] [Google Scholar]
- 27.Vgontzas AN, Fernandez-Mendoza J, Bixler EO, et al. Persistent insomnia: the role of objective short sleep duration and mental health. Sleep. 2012;35:61–8. doi: 10.5665/sleep.1586. [DOI] [PMC free article] [PubMed] [Google Scholar]
- 28.Fernandez-Mendoza J, Vgontzas AN, Bixler EO, et al. Clinical and polysomnographic predictors of the natural history of poor sleep in the general population. Sleep. 2012;35:689–97. doi: 10.5665/sleep.1832. [DOI] [PMC free article] [PubMed] [Google Scholar]
- 29.Fernandez-Mendoza J, Vgontzas AN, Liao D, et al. Insomnia with objective short sleep duration and incident hypertension: the Penn State Cohort. Hypertension. 2012;60:929–35. doi: 10.1161/HYPERTENSIONAHA.112.193268. [DOI] [PMC free article] [PubMed] [Google Scholar]
- 30.Vgontzas AN, Fernandez-Mendoza J, Miksiewicz T, et al. Unveiling the longitudinal association between short sleep duration and the incidence of obesity: the Penn State Cohort. Int J Obes (Lond) 2014;38:825–32. doi: 10.1038/ijo.2013.172. [DOI] [PMC free article] [PubMed] [Google Scholar]
- 31.Bixler EO, Vgontzas AN, Lin HM, Vela-Bueno A, Kales A. Insomnia in central Pennsylvania. J Psychosom Res. 2002;53:589–92. doi: 10.1016/s0022-3999(02)00450-6. [DOI] [PubMed] [Google Scholar]
- 32.Vgontzas AN, Liao D, Bixler EO, Chrousos GP, Vela-Bueno A. Insomnia with objective short sleep duration is associated with a high risk for hypertension. Sleep. 2009;32:491–7. doi: 10.1093/sleep/32.4.491. [DOI] [PMC free article] [PubMed] [Google Scholar]
- 33.Vgontzas AN, Liao D, Pejovic S, Calhoun S, Karataraki M, Bixler EO. Insomnia with objective short sleep duration is associated with type 2 diabetes: a population-based study. Diabetes Care. 2009;32:1–6. doi: 10.2337/dc09-0284. [DOI] [PMC free article] [PubMed] [Google Scholar]
- 34.Fernandez-Mendoza J, Calhoun S, Bixler EO, et al. Insomnia with objective short sleep duration is associated with deficits in neuropsychological performance: a general population study. Sleep. 2010;33:459–65. doi: 10.1093/sleep/33.4.459. [DOI] [PMC free article] [PubMed] [Google Scholar]
- 35.Fernandez-Mendoza J, Calhoun SL, Bixler EO, et al. Sleep misperception and chronic insomnia in the general population: the role of objective sleep duration and psychological profiles. Psychosom Med. 2011;73:88–97. doi: 10.1097/PSY.0b013e3181fe365a. [DOI] [PMC free article] [PubMed] [Google Scholar]
- 36.Vgontzas AN, Liao D, Pejovic S, et al. Insomnia with short sleep duration and mortality: the Penn State Cohort. Sleep. 2010;33:1159–64. doi: 10.1093/sleep/33.9.1159. [DOI] [PMC free article] [PubMed] [Google Scholar]
- 37.Rechtschaffen A, Kales A. A manual of standardized terminology, techniques and scoring system for sleep stages of human subjects. Bethesda: National Institutes of Health; 1968. [Google Scholar]
- 38.American Psychiatric Association. Diagnostic and statistical manual of mental disorders. 5th ed. Arlington, VA: American Psychiatric Association; 2013. [Google Scholar]
- 39.Vgontzas AN. Does obesity play a major role in the pathogenesis of sleep apnoea and its associated manifestations via inflammation, visceral adiposity, and insulin resistance? Arch Physiol Biochem. 2008;114:211–23. doi: 10.1080/13813450802364627. [DOI] [PubMed] [Google Scholar]
- 40.Chervin RD, Kraemer HC, Guilleminault C. Correlates of sleep latency on the multiple sleep latency test in a clinical population. Electroencephalogr Clin Neurophysiol. 1995;95:147–53. doi: 10.1016/0013-4694(95)00075-a. [DOI] [PubMed] [Google Scholar]
- 41.Mignot E, Young T, Lin L, Finn L. Nocturnal sleep and daytime sleepiness in normal subjects with HLA-DQB1*0602. Sleep. 1999;22:347–52. [PubMed] [Google Scholar]
- 42.Ojeda DA, Niño CL, López-León S, Camargo A, Adan A, Forero DA. A functional polymorphism in the promoter region of MAOA gene is associated with daytime sleepiness in healthy subjects. J Neurol Sci. 2014;337:176–9. doi: 10.1016/j.jns.2013.12.005. [DOI] [PubMed] [Google Scholar]
- 43.Evans DS, Snitker S, Wu SH, et al. Habitual sleep/wake patterns in the Old Order Amish: heritability and association with non-genetic factors. Sleep. 2011;34:661–9. doi: 10.1093/sleep/34.5.661. [DOI] [PMC free article] [PubMed] [Google Scholar]
- 44.Goel N, Banks S, Mignot E, Dinges DF. DQB1*0602 predicts interindividual differences in physiologic sleep, sleepiness, and fatigue. Neurology. 2010;75:1509–19. doi: 10.1212/WNL.0b013e3181f9615d. [DOI] [PMC free article] [PubMed] [Google Scholar]
- 45.Goel N, Banks S, Lin L, Mignot E, Dinges DF. Catechol-O-methyltransferase Val158Met polymorphism associates with individual differences in sleep physiologic responses to chronic sleep loss. PLoS One. 2011;6:e29283. doi: 10.1371/journal.pone.0029283. [DOI] [PMC free article] [PubMed] [Google Scholar]
- 46.Silva GE, Goodwin JL, Sherrill DL, et al. Relationship between reported and measured sleep times: the sleep heart health study (SHHS) J Clin Sleep Med. 2007;3:622–30. [PMC free article] [PubMed] [Google Scholar]
- 47.Lauderdale DS, Knutson KL, Yan LL, et al. Objectively measured sleep characteristics among early-middle-aged adults: the CARDIA study. Am J Epidemiol. 2006;164:5–16. doi: 10.1093/aje/kwj199. [DOI] [PubMed] [Google Scholar]
Associated Data
This section collects any data citations, data availability statements, or supplementary materials included in this article.
Supplementary Materials
Multivariable regression models of clinical factors predicting incident excessive daytime sleepiness.
Multivariable regression models of clinical factors predicting persistent excessive daytime sleepiness.
Interaction between depression and polysomnographic sleep onset latency on incident excessive daytime sleepiness. Depressed individuals had a higher incidence of EDS (17%) than non-depressed individuals (7%). Individuals with physiologic sleep propensity (≤ 8 min) had a higher incidence of EDS (15%) than those with normal (9–29 min) or increased (≥ 30 min) sleep latency (7% and 8%, respectively). A significant interaction between these two factors showed that depressed individuals with increased sleep latency had a higher incidence of EDS (22%) than depressed individuals with normal sleep latency or physiologic sleep propensity (13.4% and 11.0%, respectively), whereas in contrast non-depressed individuals with physiologic sleep propensity had a higher incidence of EDS (16.3%) than non-depressed individuals with normal or increased sleep latency at baseline (5.6% and 5.7%, respectively). Data adjusted for gender, race, age, obesity, hypertension, diabetes, allergy/asthma, sleep difficulties, and sleep apnea.

