Abstract
Importance
This study describes what is, to our knowledge, the previously unknown effect of glatiramer acetate therapy on B cells in patients with relapsing-remitting multiple sclerosis (MS).
Objective
To determine whether glatiramer acetate therapy normalizes dysregulated B-cell proliferation and cytokine production in patients with MS.
Design, Setting, and Participants
Twenty-two patients with MS who were receiving glatiramer acetate therapy and 22 treatment-naive patients with MS were recruited at The University of Texas Southwestern Medical Center multiple sclerosis clinic. Cell samples from healthy donors were obtained from HemaCare or Carter Blood Bank. Treatment-naive patients with MS had not received any disease-modifying therapies for at least 3 months before the study.
Exposures
Glatiramer acetate therapy for at least 3 months at the time of the study.
Main Outcomes and Measures
B-cell phenotype and proliferation and immunoglobulin and cytokine secretion.
Results
A restoration of interleukin 10 production by peripheral B cells was observed in patients undergoing glatiramer acetate therapy as well as a significant reduction of interleukin 6 production in a subset of patients who received therapy for less than 32 months. Furthermore, proliferation in response to high-dose Cluster of Differentiation 40 Ligand (CD40L) was altered and immunoglobulin production was elevated in in vitro–activated B cells obtained from patients who received glatiramer acetate.
Conclusions and Relevance
Glatiramer acetate therapy remodels the composition of the B-cell compartment and influences cytokine secretion and immunoglobulin production. These data suggest that glatiramer acetate therapy affects several aspects of dysregulated B-cell function in MS that may contribute to the therapeutic mechanisms of glatiramer acetate.
Introduction
Despite growing evidence of the involvement of B cells in multiple sclerosis (MS), it is unclear whether current immunomodulatory therapies can affect dysregulated B-cell functions. It has been reported1–3 that B cells from patients with MS have lost the ability to produce the regulatory cytokine interleukin 10 (IL-10) but produce increased levels of other potentially inflammatory cytokines, such as IL-6 and lymphotoxin α (LT-α). Evidence from the murine model of MS, experimental autoimmune encephalomyelitis (EAE) suggests that B cells from glatiramer acetate–treated mice are protective in EAE, in part because of increased IL-10 production by B cells.4,5 In other studies,5,6 B-cell production of growth factors and inflammatory cytokines, including IL-6, were reduced in mice that received glatiramer acetate.
Thus, our goal for the present study was to determine whether glatiramer acetate therapy normalizes cytokine production by B cells from patients with MS. Glatiramer acetate is a synthetic peptide composed of amino acids in a ratio similar to the putative MS autoantigen myelin basic protein. Glatiramer acetate therapy influences T-cell behavior by inducing helper T cell subtype 2 (TH2),7,8 CD4+,9 and CD8+ T regulatory cells10,11 through mechanisms involving the binding of glatiramer acetate to HLA antigen molecules.12–14 In addition, there is some evidence7,15,16 that glatiramer acetate directly influences myeloid cells to produce regulatory cytokines and factors while inhibiting factors that promote TH1 and TH17 cell development. In contrast to the direct effect of glatiramer acetate on myeloid cells, glatiramer acetate does not influence B-cell activity directly in vitro.1
We sought to determine whether B cells from patients with MS who received glatiramer acetate are functionally distinct from the B cells in treatment-naive patients with MS. We did this by exposing peripheral B cells from both sets of patients to stimulatory conditions that would induce activation of major pathways of B-cell activation. These stimulatory conditions include engagement of CD40L, B-cell receptor (BCR), and toll-like receptor 9 in addition to cytokine supplementation.17 In the present study, we demonstrated that after 5 days in culture, B cells obtained from patients with MS who received glatiramer acetate failed to respond to additional stimuli when incubated with high doses of CD40L. Furthermore, glatiramer acetate treatment restored the ability of B cells to produce IL-10 and reduced their capacity to secrete LT-α. We also observed that glatiramer acetate therapy transiently diminishes IL-6 production by B cells.
Glatiramer acetate therapy diminished the total frequency of B cells, plasmablasts, and class-switched as well as non–class-switched memory B cells. The therapy also elevated the number of naive B cells. Despite the reduction in memory B-cell subsets, in vitro IgG and IgM production by B cells from patients who received glatiramer acetate was significantly elevated. Detection of cytokine-producing B cells by flow cytometry revealed a higher frequency and intensity of IL-6+ B cells in treatment-naive patients, but we did not observe an increased frequency of IL-10+ B cells in patients who received glatiramer acetate. These results demonstrate that glatiramer acetate therapy affects the proliferative capacity, immunoglobulin secretion, and dysregulated cytokine production by B cells. Further studies are warranted to determine whether this modulation of B cells contributes to the therapeutic effects of glatiramer acetate.
Methods
Patients were recruited to the study conducted at The University of Texas Southwestern Medical Center in accordance with institutional review board guidelines and gave written informed consent to participate in this study and received financial compensation. Peripheral blood mononuclear cells were isolated by standard procedures, CD19+ B cells were isolated by magnetic selection (CD19+ kit; Miltenyi Biotec) to greater than 96%, and purity was confirmed by flow cytometry. Briefly, carboxyfluorescein succinimidyl ester (CFSE)-labeled B cells were incubated with irradiated mouse embryonic fibroblast cell line NIH3t3 expressing CD40L alone (1:200 NIH3t3 to B cells [low-dose]; and 1:50 NIH3t3 to B cells [high-dose]) or with 10 ng/mL of IL-4, IL-4 plus 0.5 μg/mL of polyclonal goat α human IgG/IgM (Jackson ImmunoResearch), or 10 ng/mL of IL-2 plus 5 μg/mL of cytosine-phosphate-guanine (CpG) DNA2006 (InvivoGen). Proliferation was determined by CFSE dilution on gated CD19+ B cells (eFigure 1A, B, and C in the Supplement). Supernatants were harvested on days 3 and 5 and were stored at −80°C for batched analysis by enzyme-linked immunosorbent assay for IL-6, IL-10, and LT-α (BD Biosciences); IgM (eBioscience); and IgG (Bethyl Laboratories) according to the manufacturers’ instructions. Methods for phenotypic characterization and intracellular cytokine production are available in the eMethods in the Supplement. Flow cytometry data were analyzed with FlowJo v10.0.6 software (Treestar). All data were analyzed using GraphPad v6.0 (GraftPad Software). Statistical analysis was carried out with an unpaired 2-tailed t test using the Welch correction.
Patient Characteristics
Cell samples from 15 healthy donors (obtained from HemaCare or Carter Blood Bank), 22 patients with MS (5 men, 17 women; mean [SD] age, 40.8 [14.4] years) who were receiving glatiramer acetate therapy, and 22 treatment-naive patients with MS (6 men, 16 women; age, 44.4 [11.8] years) were evaluated in this study. The mean length of glatiramer acetate therapy was 36.1 (19.1) months. Phenotypic characterization of total CD19+ and IgD+ cells was carried out on an additional 18 to 24 healthy donors and 19 to 27 treatment-naive patients. Samples from each patient were repeated in culture conditions in duplicate or triplicate when cell numbers were not limited Not all patient samples had sufficient quantities of B cells to test responses to all conditions in all assays. The number of data points for the in vitro cultures are indicated in Figures 1 through 5 and eFigure 3. Intracellular staining was carried out in 10 healthy donors, glatiramer acetate patients, and treatment-naive patients, with 1 data point per patient.
Figure 1. Proliferation by B cells.
Proliferation by B cells from healthy donors (A), patients with multiple sclerosis (MS) who were receiving glatiramer acetate (B), and treatment-naive patients with MS (C) upon exposure to polyclonal stimuli and low- or high-dose CD40L after 5 days of in vitro culture. BCR indicates B cell receptor; CpG, XX; IL, interleukin; bars, mean values; and limit lines, SD.
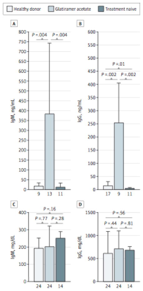
Figure 5. Glatiramer Acetate Therapy Influence on Immunoglobulin Secretion In Vitro.
IgM levels (A) and IgG secreted by B cells (B) on day 5 of in vitro culture with high-dose CD40L plus IL-2/CpG; similar results were obtained with low-dose CD40L (data not shown). Total serum concentrations of IgM (C) and IgG (D).
Results
Effect of Glatiramer Acetate on the Proliferative Capacity of B Cells
Proliferation measured by CFSE dilution showed that B cells from the healthy donors, glatiramer acetate patients, and treatment-naive patients proliferated significantly more upon exposure to high-dose CD40L than to low-dose CD40L (Figure 1). The B cells from the healthy donors and treatment-naive patients proliferated significantly more upon exposure to additional stimuli when cultured with high-dose CD40L, except in the case of treatment-naive patients with IL-2/CpG (Figure 1A and C). Most notably, B cells from patients receiving glatiramer acetate did not display this CD40L dose effect when combined with additional stimuli; instead B cells in this patient group proliferated to a similar extent when exposed to either low- or high-dose CD40L (Figure 1B).
Further analysis revealed that B-cell proliferation from the healthy donors, treatment-naive patients, and glatiramer acetate patients were not significantly different in any of the culture conditions containing low-dose CD40L (data not shown). When cultured with high-dose CD40L with IL-4, IL-4/BCR, and IL-2/CpG, B cells from glatiramer acetate and treatment-naive patients proliferated significantly less compared with those of the healthy donors and treatment-naive patients (eFigure 1D in the Supplement). The B cells from glatiramer acetate patients were less responsive to high-dose CD40L plus IL-4 than were the B cells from treatment-naive patients (eFigure 1D in the Supplement). These results suggest a defect in the ability of patients with MS to respond to high-dose CD40L in combination with additional stimuli that is enhanced by glatiramer acetate therapy.
Effect of Glatiramer Acetate Therapy on Cytokine Production by B Cells
Cytokine levels measured from in vitro culture supernatants of the B-cell assays demonstrated differences among the cohorts. For example, CD19+ B cells from treatment-naive patients produced significantly lower levels of IL-10 in all conditions tested compared with the cytokine levels in healthy donors and glatiramer acetate patients (Figure 2A). In fact, B cells from glatiramer acetate patients secreted IL-10 at levels equivalent to those in healthy donors and up to 6.5-fold greater than levels in treatment-naive patients (Figure 2A). Similar results were observed in low- and high-dose CD40L conditions.
Figure 2. Cytokine Production.
Cytokine production by B cells from healthy donors, patients with multiple sclerosis (MS) who were receiving glatiramer acetate, and treatment-naive patients with MS from in vitro culture supernatants (high-dose CD40L). A, IL-10 secretion on day 5; similar results were observed on day 3. B, Lymphotoxin α (LT-α) production on day 3.
The B cells from treatment-naive patients produced up to 19.0-fold more LT-α compared with healthy donors and up to 16.2-fold more LT-α compared with glatiramer acetate patients (Figure 2B). The LT-α levels were similar in the glatiramer acetate patients and healthy donors, suggesting that glatiramer acetate therapy reduced B-cell secretion of LT-α. The levels of LT-α declined in the cultures by day 5 to less than 150 pg/mL in all glatiramer acetate and treatment-naive cultures. At day 5 in high-CD40L plus IL-2/CpG conditions, healthy donors had significantly elevated levels of LT-α (376.7 [368.1]) compared with patients who were treatment naive (142.91[170.62] pg/mL; P = .009) or receiving glatiramer acetate (97.4 [97.8] pg/mL; P = .03) (data not shown).
The B cells cultured with CD40L alone did not produce IL-6 (data not shown); however, the combination of high-dose CD40L with additional stimulatory molecules induced robust IL-6 production by B cells from treatment-naive patients (Figure 3B) compared with B cells from healthy donors. In contrast, IL-6 production by the patients receiving glatiramer acetate was not significantly different from the production in healthy donors or treatment-naive patients (data not shown). However, we observed that the glatiramer acetate cohort contained a subset of patients that produced high amounts of IL-6. To determine whether the glatiramer acetate patients who produced high amounts of IL-6 were clinically distinct, we mathematically defined IL-6high (n = 3) glatiramer acetate patients as those with IL-6 levels that were 2 SDs above the mean of healthy donors in the same condition groups and compared them with the IL-6low (n = 7) glatiramer acetate patients. Age, years since diagnosis, and months since the most recent relapse were not significantly different between IL-6high and IL-6low groups. Surprisingly, patients whose B cells produced larger amounts of IL-6 had been receiving glatiramer acetate therapy longer than were those whose B cells produced reduced amounts of IL-6 (Figure 3A).
Figure 3. Levels of Interleukin 6 (IL-6) in Cell Culture Supernatants.
The levels of IL-6 in healthy donors, patients with multiple sclerosis (MS) who were receiving glatiramer acetate, and treatment-naive patients with MS on day 3. A, The length of glatiramer acetate therapy from IL-6low and IL-6high patients. B, IL-6 production from treatment-naive patients, patients who received glatiramer acetate for less than 32 months, patients who received glatiramer acetate for more than 32 months, and healthy donors.
The IL-6 levels produced by B cells from patients who had been receiving glatiramer acetate therapy for more than 32 months or less than 32 months revealed that, in response to CD40L plus IL-4, there was diminished IL-6 production by B cells from glatiramer acetate patients who had been receiving therapy for less than 32 months compared with treatment-naive patients and healthy donors (Figure 3B). Because only 2 of the 3 patients who had received therapy for more than 32 months had data available in the CD40L plus IL-4 condition, we were not able to establish whether the level of IL-6 produced by B cells from patients receiving glatiramer acetate was significantly different from other patient groups. In the presence of CD40L plus IL-4/BCR or IL-2/CpG, B cells from glatiramer acetate (<32 months) patients had significantly reduced IL-6 production compared with the production in treatment-naive patients and glatiramer acetate patients who had received therapy for more than 32 months. In contrast, B cells from patients receiving glatiramer acetate therapy for more than 32 months produced elevated levels of IL-6 compared with B cells from healthy donors, patients who received glatiramer acetate for less than 32 months, and treatment-naive patients (Figure 3B).
The Effect of Glatiramer Acetate on the Phenotypic Composition of B Cells
The B cells can be subdivided into unique subsets, each with a unique role in the immune system, based on the expression of surface molecules.18 To determine whether glatiramer acetate therapy induces a remodeling of the B-cell compartment that may contribute to the differential cytokine secretion, we carried out immunophenotyping of B cells by flow cytometry. The gating strategy for identification of B-cell populations is available in eFigure 2A and B in the Supplement.
The percentage of total CD19+ B cells was decreased in patients receiving glatiramer acetate, but levels of naive CD27-IgD+ B cells were elevated in that group compared with a larger cohort of healthy donors and treatment-naive patients (eFigure 3A and B). Although the total frequency of CD27+ memory B cells was similar among the groups, the frequency of CD27high plasmablasts,19 class-switched (CD27+IgD−), and non–class-switched (CD27+IgD+) memory B cells was diminished in the glatiramer acetate patients compared with the healthy donors and treatment-naive patients (eFigure 3C, D, and E).
Intracellular Detection of IL-6– and IL-10–Producing B Cells
Recent observations in mice and humans have underscored the importance of IL-10–producing B cells to limit autoimmune diseases. Given the modulation of IL-6 and IL-10 produced by B cells in vitro from B cells obtained from glatiramer acetate patients, we hypothesized that the frequency of B cells that produce IL-10 spontaneously (B10 cells) or that have the capacity to secrete IL-10 upon short-term stimulation (B10PRO cells)20 would be elevated. In contrast, B cells that produce IL-6 would be decreased in patients receiving glatiramer acetate.
The frequency of B cells that produced IL-6 and IL-10 was determined ex vivo and, after 48 hours of stimulation with BCR and CpG, conditions were established to induce maximal IL-10 production.21 Negative controls showed less than 1% cytokine-positive cells (eFigure 2G and I in the Supplement), and both B cells and non–B cells producing IL-6 and IL-10 were detectable by flow cytometry (eFigure 2H and J in the Supplement). Healthy donors had significantly more IL-6+ B cells ex vivo (eFigure 2K in the Supplement) compared with glatiramer acetate and treatment-naive patients. After stimulation for 48 hours, B cells from treatment-naive patients had significantly more IL-6+ B cells than did glatiramer acetate patients (Figure 4A), and the intensity of IL-6 staining was significantly higher in treatment-naive patients than in glatiramer acetate patients and healthy donors (Figure 4B). This finding suggests that B cells from treatment-naive patients were producing a larger quantity of IL-6, in agreement with what is excreted into the supernatants during in vitro stimulation. The majority of IL-6+ B cells in both patient groups were naive B cells (CD27−) that expressed CD24 and high levels of CD1d.
Figure 4. Analysis of IL-10 and IL-6 producing B cells by flow cytometry after stimulation.

The frequency of IL-6+ (A) and IL-10+ (C) B cells. The level of IL-6 expression expressed as the geometric mean of fluorescence intensity (gMFI) in IL-6+ (B) and IL-10+ (D) in B cells after a 48-hour stimulation
The frequency of B10 cells was not significantly different ex vivo (eFigure 2L in the Supplement) and, after 48 hours of stimulation with BCR/CpG, glatiramer acetate patients had fewer IL-10+ B cells than did healthy donors (Figure 4C). Despite a diminished frequency of IL-10+ B cells in the glatiramer acetate patients, the intensity of IL-10 production by these IL-10+ B cells from all 3 cohorts was similar (Figure 4D). Previous reports suggested that IL-10–producing B cells are enriched in CD24highCD27+20 and CD24highCD38high 22,23 B cells; however, we found no significant differences in the frequency of these populations within the patient groups (data not shown). Our results showed that IL-10+ B cells are more prevalent in the CD24+, CD1Dhigh, and CD27+ memory B-cell subsets and less evident in the CD38high populations (data not shown).
Immunoglobulin Titers in B Cells From Glatiramer Acetate Patients
Despite the diminished frequency of IL-10+ B cells by intracellular staining at 48 hours in glatiramer acetate patients, we observed high levels of IL-10 in B cell supernatants from 3- and 5-day B-cell stimulation cultures (data not shown and Figure 2A). Because IL-10 production is the defining feature of B10 and B10PRO cells and human IL-10–producing B cells are not uniquely confined to any phenotypic population,21 we reasoned that glatiramer acetate therapy may influence the activation of B cells beyond 48 hours. One report24 on mice demonstrated that IL-10–producing B cells went on to become IgM- and IgG-secreting plasmablasts and plasma cells and to produce significant levels of serum immunoglobulin. We thus hypothesized that glatiramer acetate therapy influences in vitro differentiation of B cells into antibody-secreting cells, and we tested this by quantifying IgM and IgG levels using in vitro culture supernatants from the B-cell stimulations. Because IL-2/CpG stimulation induces the greatest amount of antibody production, only B-cell stimulation with high-dose CD40L+IL-2/CpG is shown (Figure 5). B cells from glatiramer acetate patients produced significantly more IgM compared with B cells from treatment-naive patients and healthy donors. (Figure 5A). The levels of IgG produced by B cells obtained from the glatiramer acetate patients were also higher compared with levels from treatment-naive patients and healthy donors (Figure 5B). Despite the elevated immunoglobulin production in vitro, serum levels of IgM (Figure 5C) and IgG (Figure 5D) were similar among the patient groups.
Discussion
Collectively, we have shown that glatiramer acetate therapy affects B-cell function. Although this is not a direct effect,1 the importance of modulating dysregulated B-cell function by MS therapeutics is understudied and of potential relevance to the efficacy of such treatments. The CD40-CD40L interactions are a critical component of immune cell activation, and perturbations in CD40 signaling in B cells is a common feature of autoimmune disorders.22,25,26 Modulation and targeting of CD40-40L are of great interest as pharmacologic targets in autoimmunity.27,28 We observed a lack of proliferative responses to high-dose CD40 in B cells from patients receiving glatiramer acetate therapy combined with other activation signals. It stands to reason that glatiramer acetate therapy may alter pathways that are important for integrating these activation signals and other key immunologic genes that are modulated by glatiramer acetate therapy.29,30
The exact contribution of B-cell–derived cytokines in MS is not clear. The overproduction of LT-α by B cells from treatment-naive patients is in agreement with previous observations2,31 but, although LT-α plays an important role in the some EAE models, its role in MS is unknown32 and the differential temporal regulation suggests more nuanced regulation than previously described. What is clear is that B-cell–derived IL-6 promotes EAE,33 and B cells that re-emerge after B-cell depletion therapy in patients with MS produce less IL-6 than do B cells in treatment-naive patients with MS.3 Future investigations are warranted to address how glatiramer acetate affects the pathway of B-cell activation.
In contrast to IL-6, B-cell–derived IL-10 limits disease activity in EAE,5 although the mechanisms of B10 immune suppression are not entirely dependent on IL-10 in humans21 or mice and appear to involve CD40 and IL-21.34 It is clear, however, that human B cells can inhibit inflammatory TH1 and TH17 activity and support T regulatory cells.23 Patients with MS who develop parasitic infections, which provoke a TH2 response, experience an increase in the frequency of IL-10–producing B cells that in turn dampen interferon gamma production by neuroantigen-specific T cells.35
Although we observed that the B cells in patients receiving glatiramer acetate produced more IL-10 after 3 to 5 days of in vitro activation regardless of the length of glatiramer acetate therapy, the frequency of B10 and B10PRO cells was not significantly different than the frequency in treatment-naive patients at 48 hours after stimulation. The memory B-cell pool harbors most B10 B cells. The frequency of CD27+ memory B cells is decreased in MS who are receiving glatiramer acetate and thus could account for the similar frequency of IL-10–producing B cells in the glatiramer acetate and control cohorts. The B cells producing IL-10 in the glatiramer acetate patients have similar levels of IL-10 detected by flow cytometry in comparison with the control cohorts. The naive B-cell pool may harbor IL-10–producing B cells, but they likely require longer periods of stimulation than what we used in the present study to upregulate toll-like receptor 9 and respond to CpG.36 Whether these glatiramer acetate–induced late IL-10–producing B cells can control the balance of inflammatory and regulatory T cells remains unknown. However, 2 patients who experienced exacerbations while receiving glatiramer acetate therapy harbored B cells with a deficit in IL-10 production and high IL-6 production in vitro that were similar to the production in patients with untreated MS.
Glatiramer acetate therapy is known to affect immunoglobulin secretion. In fact, glatiramer acetate therapy induces antibodies against glatiramer acetate that do not interfere with the efficacy of treatment.37 In the present study, we found no significant difference in total serum IgG or IgM levels; however, others38 have shown that IgG subtypes are modulated by glatiramer acetate therapy. Remarkably, glatiramer acetate therapy resulted in higher levels of IgM and IgG secretion after B-cell activation in vitro despite the overrepresentation of naive B cells in patients who received glatiramer acetate.
Conclusions
Taken together, the results of the present study suggest that glatiramer acetate therapy modulates B-cell responses to CD40L in combination with other stimuli. Whether these alterations can be used to guide therapeutic options remains to be seen. A larger longitudinal study is warranted to assess the correlation between B-cell cytokines, immunoglobulin production, and the effects of glatiramer acetate as a disease-modifying therapy.
Supplementary Material
Acknowledgments
Funding/Support: This work was supported by a grant from Teva Neuroscience, the National MS Society (RG 4944), and the National Institute of Health, National Research Service Award 5 T32 AI005284-34 from the National Institutes of Allergy and Infectious Disease.
Role of the Funder/Sponsor: The sponsors had no role in the design and conduct of the study; collection, management, analysis, and interpretation of the data; preparation, or approval of the manuscript; and decision to submit the manuscript for publication. Teva Neuroscience reviewed the manuscript prior to submission.
Footnotes
Additional Contributions: We thank the patients who participated in this study. Angela Mobley, BS, Christina Nguyen, BS, and Aina Iversen, BS, in the University of Texas Southwestern Medical Center flow cytometry core, provided technical support
Author Contributions: Ms Ireland and Dr Monson had full access to all the data in the study and take responsibility for the integrity of the data and the accuracy of the data analysis.
Study concept and design: Ireland, Davis, Monson.
Acquisition, analysis, or interpretation of data: All authors.
Drafting of the manuscript: Ireland, Monson.
Critical revision of the manuscript for important intellectual content: All authors.
Statistical analysis: Ireland, Monson.
Obtained funding: Monson.
Administrative, technical, or material support: Guzman, O’Brien, Hughes, Flores, Remington, Frohman.
Study supervision: Greenberg, Frohman, Davis, Monson.
Conflict of Interest Disclosures: Dr Greenberg has received honoraria or consulting fees form Chugai, Novartis, Amplimmune, and DioGenix. He has received grant support from the National Institutes of Health, Patients Centered Outcomes Research Institute (PCORI), Biogen, Acorda Therapeutics, and the Guthy Jackson Charitable Foundation. He has equity in Amplimmune and DioGenix. Dr Flores has participated in speaker programs for Teva Neuroscience and Biogen Idec. Ms Remington is a consultant for Teva Neuroscience, Biogen Idec, and Genzyme. Dr Frohman has received lecture and consulting fees from Genzyme, Novartis, Teva, and Acord. Dr Monson receives grant funding from Teva Neuroscience. No other disclosures were reported.
References
- 1.Ireland SJ, Blazek M, Harp CT, et al. Antibody-independent B cell effector functions in relapsing remitting multiple sclerosis: clues to increased inflammatory and reduced regulatory B cell capacity. Autoimmunity. 2012;45(5):400–414. doi: 10.3109/08916934.2012.665529. [DOI] [PubMed] [Google Scholar]
- 2.Bar-Or A, Fawaz L, Fan B, et al. Abnormal B-cell cytokine responses a trigger of T-cell–mediated disease in MS? Ann Neurol. 2010;67(4):452–461. doi: 10.1002/ana.21939. [DOI] [PubMed] [Google Scholar]
- 3.Barr TA, Shen P, Brown S, et al. B cell depletion therapy ameliorates autoimmune disease through ablation of IL-6-producing B cells. J Exp Med. 2012;209(5):1001–1010. doi: 10.1084/jem.20111675. [DOI] [PMC free article] [PubMed] [Google Scholar]
- 4.Kala M, Rhodes SN, Piao WH, Shi FD, Campagnolo DI, Vollmer TL. B cells from glatiramer acetate–treated mice suppress experimental autoimmune encephalomyelitis. Exp Neurol. 2010;221(1):136–145. doi: 10.1016/j.expneurol.2009.10.015. [DOI] [PubMed] [Google Scholar]
- 5.Begum-Haque S, Christy M, Ochoa-Reparaz J, et al. Augmentation of regulatory B cell activity in experimental allergic encephalomyelitis by glatiramer acetate. J Neuroimmunol. 2011;232(1–2):136–144. doi: 10.1016/j.jneuroim.2010.10.031. [DOI] [PMC free article] [PubMed] [Google Scholar]
- 6.Begum-Haque S, Sharma A, Christy M, et al. Increased expression of B cell–associated regulatory cytokines by glatiramer acetate in mice with experimental autoimmune encephalomyelitis. J Neuroimmunol. 2010;219(1–2):47–53. doi: 10.1016/j.jneuroim.2009.11.016. [DOI] [PubMed] [Google Scholar]
- 7.Vieira PL, Heystek HC, Wormmeester J, Wierenga EA, Kapsenberg ML. Glatiramer acetate (copolymer-1, copaxone) promotes Th2 cell development and increased IL-10 production through modulation of dendritic cells. J Immunol. 2003;170(9):4483–4488. doi: 10.4049/jimmunol.170.9.4483. [DOI] [PubMed] [Google Scholar]
- 8.Duda PW, Schmied MC, Cook SL, Krieger JI, Hafler DA. Glatiramer acetate (Copaxone) induces degenerate, Th2-polarized immune responses in patients with multiple sclerosis. J Clin Invest. 2000;105(7):967–976. doi: 10.1172/JCI8970. [DOI] [PMC free article] [PubMed] [Google Scholar]
- 9.Hong J, Li N, Zhang X, Zheng B, Zhang JZ. Induction of CD4+CD25+ regulatory T cells by copolymer-I through activation of transcription factor Foxp3. Proc Natl Acad Sci U S A. 2005;102(18):6449–6454. doi: 10.1073/pnas.0502187102. [DOI] [PMC free article] [PubMed] [Google Scholar]
- 10.Tennakoon DK, Mehta RS, Ortega SB, Bhoj V, Racke MK, Karandikar NJ. Therapeutic induction of regulatory, cytotoxic CD8+ T cells in multiple sclerosis. J Immunol. 2006;176(11):7119–7129. doi: 10.4049/jimmunol.176.11.7119. [DOI] [PubMed] [Google Scholar]
- 11.Karandikar NJ, Crawford MP, Yan X, et al. Glatiramer acetate (Copaxone) therapy induces CD8+ T cell responses in patients with multiple sclerosis. J Clin Invest. 2002;109(5):641–649. doi: 10.1172/JCI14380. [DOI] [PMC free article] [PubMed] [Google Scholar]
- 12.Fridkis-Hareli M, Teitelbaum D, Pecht I, Arnon R, Sela M. Binding of copolymer 1 and myelin basic protein leads to clustering of class II MHC molecules on antigen-presenting cells. Int Immunol. 1997;9(7):925–934. doi: 10.1093/intimm/9.7.925. [DOI] [PubMed] [Google Scholar]
- 13.Fridkis-Hareli M, Teitelbaum D, Gurevich E, et al. Direct binding of myelin basic protein and synthetic copolymer 1 to class II major histocompatibility complex molecules on living antigen-presenting cells—specificity and promiscuity. Proc Natl Acad Sci U S A. 1994;91(11):4872–4876. doi: 10.1073/pnas.91.11.4872. [DOI] [PMC free article] [PubMed] [Google Scholar]
- 14.Aharoni R, Teitelbaum D, Arnon R, Sela M. Copolymer 1 acts against the immunodominant epitope 82–100 of myelin basic protein by T cell receptor antagonism in addition to major histocompatibility complex blocking. Proc Natl Acad Sci U S A. 1999;96(2):634–639. doi: 10.1073/pnas.96.2.634. [DOI] [PMC free article] [PubMed] [Google Scholar]
- 15.Kim HJ, Ifergan I, Antel JP, et al. Type 2 monocyte and microglia differentiation mediated by glatiramer acetate therapy in patients with multiple sclerosis. J Immunol. 2004;172(11):7144–7153. doi: 10.4049/jimmunol.172.11.7144. [DOI] [PubMed] [Google Scholar]
- 16.Weber MS, Starck M, Wagenpfeil S, Meinl E, Hohlfeld R, Farina C. Multiple sclerosis: glatiramer acetate inhibits monocyte reactivity in vitro and in vivo. Brain. 2004;127(Pt 6):1370–1378. doi: 10.1093/brain/awh163. [DOI] [PubMed] [Google Scholar]
- 17.Cerutti A, Cols M, Puga I. Activation of B cells by non-canonical helper signals. EMBO Rep. 2012;13(9):798–810. doi: 10.1038/embor.2012.111. [DOI] [PMC free article] [PubMed] [Google Scholar]
- 18.Wei C, Jung J, Sanz I. OMIP-003: phenotypic analysis of human memory B cells. Cytometry A. 2011;79(11):894–896. doi: 10.1002/cyto.a.21112. [DOI] [PMC free article] [PubMed] [Google Scholar]
- 19.Dörner T, Lipsky PE. Correlation of circulating CD27high plasma cells and disease activity in systemic lupus erythematosus. Lupus. 2004;13(5):283–289. doi: 10.1191/0961203304lu1014oa. [DOI] [PubMed] [Google Scholar]
- 20.Iwata Y, Matsushita T, Horikawa M, et al. Characterization of a rare IL-10–competent B-cell subset in humans that parallels mouse regulatory B10 cells. Blood. 2011;117(2):530–541. doi: 10.1182/blood-2010-07-294249. [DOI] [PMC free article] [PubMed] [Google Scholar]
- 21.Bouaziz JD, Calbo S, Maho-Vaillant M, et al. IL-10 produced by activated human B cells regulates CD4+ T-cell activation in vitro. Eur J Immunol. 2010;40(10):2686–2691. doi: 10.1002/eji.201040673. [DOI] [PubMed] [Google Scholar]
- 22.Blair PA, Noreña LY, Flores-Borja F, et al. CD19+CD24hiCD38hi B cells exhibit regulatory capacity in healthy individuals but are functionally impaired in systemic lupus erythematosus patients. Immunity. 2010;32(1):129–140. doi: 10.1016/j.immuni.2009.11.009. [DOI] [PubMed] [Google Scholar]
- 23.Flores-Borja F, Bosma A, Ng D, et al. CD19+CD24hiCD38hi B cells maintain regulatory T cells while limiting TH1 and TH17 differentiation. Sci Transl Med. 2013;5(173):173ra123. doi: 10.1126/scitranslmed.3005407.23427243. [DOI] [PubMed] [Google Scholar]
- 24.Maseda D, Smith SH, DiLillo DJ, et al. Regulatory B10 cells differentiate into antibody-secreting cells after transient IL-10 production in vivo. J Immunol. 2012;188(3):1036–1048. doi: 10.4049/jimmunol.1102500. [DOI] [PMC free article] [PubMed] [Google Scholar]
- 25.Zhang W, Shi Q, Xu X, et al. Aberrant CD40-induced NF-κB activation in human lupus B lymphocytes. PLoS One. 2012;7(8):e41644. doi: 10.1371/journal.pone.0041644. [DOI] [PMC free article] [PubMed] [Google Scholar]
- 26.Kroese FG, Abdulahad WH, Haacke E, Bos NA, Vissink A, Bootsma H. B-cell hyperactivity in primary Sjögren’s syndrome. Expert Rev Clin Immunol. 2014;10(4):483–499. doi: 10.1586/1744666X.2014.891439. [DOI] [PubMed] [Google Scholar]
- 27.Bishop GA. The many faces of CD40: multiple roles in normal immunity and disease. Semin Immunol. 2009;21(5):255–256. doi: 10.1016/j.smim.2009.08.002. [DOI] [PubMed] [Google Scholar]
- 28.Law CL, Grewal IS. Therapeutic interventions targeting CD40L (CD154) and CD40: the opportunities and challenges. Adv Exp Med Biol. 2009;647:8–36. doi: 10.1007/978-0-387-89520-8_2. [DOI] [PubMed] [Google Scholar]
- 29.Achiron A, Feldman A, Gurevich M. Molecular profiling of glatiramer acetate early treatment effects in multiple sclerosis. Dis Markers. 2009;27(2):63–73. doi: 10.3233/DMA-2009-0651. [DOI] [PMC free article] [PubMed] [Google Scholar]
- 30.Bakshi S, Chalifa-Caspi V, Plaschkes I, Perevozkin I, Gurevich M, Schwartz R. Gene expression analysis reveals functional pathways of glatiramer acetate activation. Expert Opin Ther Targets. 2013;17(4):351–362. doi: 10.1517/14728222.2013.778829. [DOI] [PubMed] [Google Scholar]
- 31.Harp CT, Ireland S, Davis LS, et al. Memory B cells from a subset of treatment-naïve relapsing-remitting multiple sclerosis patients elicit CD4+T-cell proliferation and IFN-γ production in response to myelin basic protein and myelin oligodendrocyte glycoprotein. Eur J Immunol. 2010;40(10):2942–2956. doi: 10.1002/eji.201040516. [DOI] [PMC free article] [PubMed] [Google Scholar]
- 32.Suen WE, Bergman CM, Hjelmström P, Ruddle NH. A critical role for lymphotoxin in experimental allergic encephalomyelitis. J Exp Med. 1997;186(8):1233–1240. doi: 10.1084/jem.186.8.1233. [DOI] [PMC free article] [PubMed] [Google Scholar]
- 33.Molnarfi N, Schulze-Topphoff U, Weber MS, et al. MHC class II–dependent B cell APC function is required for induction of CNS autoimmunity independent of myelin-specific antibodies. J Exp Med. 2013;210(13):2921–2937. doi: 10.1084/jem.20130699. [DOI] [PMC free article] [PubMed] [Google Scholar]
- 34.Yoshizaki A, Miyagaki T, DiLillo DJ, et al. Regulatory B cells control T-cell autoimmunity through IL-21–dependent cognate interactions. Nature. 2012;491(7423):264–268. doi: 10.1038/nature11501. [DOI] [PMC free article] [PubMed] [Google Scholar]
- 35.Correale J, Farez M, Razzitte G. Helminth infections associated with multiple sclerosis induce regulatory B cells. Ann Neurol. 2008;64(2):187–199. doi: 10.1002/ana.21438. [DOI] [PubMed] [Google Scholar]
- 36.Bernasconi NL, Onai N, Lanzavecchia A. A role for Toll-like receptors in acquired immunity: up-regulation of TLR9 by BCR triggering in naive B cells and constitutive expression in memory B cells. Blood. 2003;101(11):4500–4504. doi: 10.1182/blood-2002-11-3569. [DOI] [PubMed] [Google Scholar]
- 37.Teitelbaum D, Brenner T, Abramsky O, Aharoni R, Sela M, Arnon R. Antibodies to glatiramer acetate do not interfere with its biological functions and therapeutic efficacy. Mult Scler. 2003;9(6):592–599. doi: 10.1191/1352458503ms963oa. [DOI] [PubMed] [Google Scholar]
- 38.Bomprezzi R, Schafer R, Reese V, Misra A, Vollmer TL, Kala M. Glatiramer acetate–specific antibody titres in patients with relapsing/remitting multiple sclerosis and in experimental autoimmune encephalomyelitis. Scand J Immunol. 2011;74(3):219–226. doi: 10.1111/j.1365-3083.2011.02581.x. [DOI] [PubMed] [Google Scholar]
Associated Data
This section collects any data citations, data availability statements, or supplementary materials included in this article.




