Abstract
The present study envisages the influence of essential oils namely lemon grass, eucalyptus, clove and neem on Kinnow mandarin with the objective to combat major post harvest diseases and to prolong its availability for longer time in the season. For this, in vitro and in vivo studies were conducted. Poisoned food technique was used for in vitro studies, and for in vivo studies, Kinnow fruit were pre-inoculated with pathogens (Penicillium digitatum and P. italicum), treated with different essential oils and then stored at 5 °C ±1 °C temperature and 85–90 % RH). Our results indicated that all essential oils inhibited the growth (colony diameter) of both pathogens over untreated PDA plates, but the inhibition was the strongest by lemon grass oil. Similarly, under in vivo conditions, all essential oils influenced decay incidence, decay loss, lesion diameter, respiration rate, ethylene evolution, overall acceptability and physiological loss in weight but lemon grass was the most effective. And also the incidence of Penicillium italicum was more noticed in fruits than P. digitatum, however, it was reverse under in vitro conditions. The decay rot at all stages of storage was less in EOs treated fruits than untreated fruits, thereby increasing their storage life significantly. Thus, it is evident from our studies that essential oils have the potential to control green and blue mold without causing any injury or harmful effects on Kinnow mandarin, and EOs can be recommended as a safe method for extending its storage life while maintaining fruit quality.
Keywords: Kinnow mandarin, Essential oils, Respiration rate, Ethylene evolution rate, Storage life
Introduction
Citrus constitutes an important group of fruits in the world, which includes fruits such as oranges, mandarins, grapefruits, pummelos, tangerines, tangor, citranges. Under each group, several varieties have been developed in the world. During 1935, Kinnow mandarin (Citrus nobilis × C. deliciosa) was developed by H.B. Frost at California, USA. This mandarin was not very successful in the USA but it revolutionized citrus industry in India, Pakistan and Bangladesh (Sharma and Saxena 2004), and now occupies major share in area and production of citrus grown in India. It has become a major table citrus fruit in India because of attractive orange colour, high juice content and better quality than other citrus fruits.
However, the major problem with ‘Kinnow’ mandarin is its availability only for a limited period, and during peak production season, there is a glut of fruits in the market. As a result, farmers get very poor price of their valuable produce. To extend its availability, producers store it in cold stores for some period, but postharvest losses are enormous in ‘Kinnow’ mandarin, ranging from 25 to 35 %. Being succulent and juicy in nature, this fruit is more prone to fungal and microbial invasion. Thus, significant post-harvest losses can occur after harvest during storage and marketing of ‘Kinnow’ mandarin, primarily due to green mold, caused by Penicillium digitatum, and secondarily by blue mold caused by P. italicum (Eckert and Eaks 1989). The fruit rots in citrus caused by various species of fungi, i.e. Penicillium, Alternaria, Aspergillus, Colletotrichum, Botryodiplodia and Phomopsis are the most widely noticed as they affect the fruit quality and reduces the marketable value (Bhardwaj and Sharma 1999). Kaur and Verma (2002) reported that losses due to soft rot of citrus caused by Aspergillus niger up to 20% in the orchard as well as in Punjab markets. Several chemicals such as sodium bicarbonate, imazalil, thiabendazole, pyrimethanil and fludioxonil are used to manage postharvest diseases of citrus (Ismail and Zhang 2004), but their excessive use complemented with high costs, residues in plants, phytotoxic effects and development of resistance, has left a negative effect on human health and the environment (Paster and Bullerman 1988). Hence, use of some safe bioactive compounds like essential oils has been proved beneficial in bringing down the physiological activities of fruits during storage and minimizing the overall qualitative and quantitative losses (Porat et al. 2002). In addition, there is an increasing demand for organically produced fruit, and hence, there is urgent need to replace synthetic fungicides with safer and biodegradable alternatives (Wisniewski et al. 2001).
Essential oils (EOs) are volatile oily liquids obtained from different plant parts and widely used as food flavours. In spite of having been long recognised for their antibacterial, antifungal, antiviral, insecticidal and antioxidant properties (Pezo et al. 2006), the recent interest in alternative natural substances has led to a new scientific awareness of these substances. Recent reports on the success of essential oils as biodegradable and eco-friendly fungi-toxicants have shown the possibilities for their exploitation as natural fungicides (Dixit et al. 1995). With this in view, the essential oils of neem, clove, lemon grass and eucalyptus oils were tested for their efficacy for the control of blue and green mold rots of Kinnow mandarin in vitro and in vivo. The major purpose of our research was to extend the marketable period of ‘Kinnow’ mandarin through noble approaches (such as using essential oils) to control or inhibit the pathogens causing postharvest diseases in Kinnow mandarin, as the fruits are susceptible to postharvest diseases like green mold and blue mold caused by P. digitatum and P. italicum, respectively, which reduce its availability for longer time in the market.
Material and methods
Experimental site and fruit material
This study was conducted in the Division of Post Harvest Technology during 2010–12 in the fruiting season (December-February) of Kinnow mandarin. For in vitro and in vivo studies, four different essential oils (EOs) such as lemon grass oil, eucalyptus oil, neem (azadirachtin) oil, clove (eugenol) oil were used. The Kinnow fruits were procured from a private orchard, sorted and graded before giving any treatment in the laboratory.
Isolation and Identification of Pathogens from Kinnow Mandarin Fruit Samples
Pathogens
The pathogens, Penicillium digitatum and Penicillium italicum were originally isolated from ‘Kinnow’ fruits and were cultured for 1–2 weeks on potato dextrose agar (PDA) at 25 °C. Conidia of P. italicum and P. digitatum were harvested by adding 5 ml of sterile, de-ionized water (diH2O) containing 0.05 % Triton X-100 to the Petri dish. Colonies were rubbed with a sterile glass rod and the conidia suspension was passed through two layers of cheese cloth. The suspension was diluted with water to an absorbance of 0.1 at 425 nm as measured with a spectrophotometer, a density that comprised about1 × 106conidiaml−1 (Eckert and Brown 1986).
The identification of the fungal isolate was carried out by microscopic observation according to appropriate taxonomic key and description. Continuous re-isolations were carried out on PDA slants to maintain pathogenicity of the inoculums.
Based on the inhibition in radial mycelial growth and conidial germination of P. digitatum and P. italicum on PDA, the antifungal assay of essential oils (EOs) using poison food technique was done. An agar disk (5 mm diameter) from a pure culture of P. digitatum and P. italicum was placed in the center of a PDA plate containing essential oils (EOs) (0.16, 0.06, 0.3 and 2.0 % v/v). Daily radial growth measurements were taken until the fungus reached the edge of the control plate.
In another experiment to test the toxicity of EOs on the increased inoculums density of the pathogens, the suspension was diluted with water to an absorbance of 0.1 at 425 nm as measured with a spectrophotometer, a density that comprised about 2,358 × 103 to 1,509,568 × 103, numbering from 1 fungal disc to 32 fungal discs respectively (Eckert and Brown 1986).
Preparation of essential oil solution
Essential oil was obtained from Kerala, India. PDA amended with known concentrations of essential oils (EOs) such as lemon grass (0.16 % v/v) (Anthony et al. 2003), clove (0.06 % v/v) (Yahyazadeh et al. 2008), eucalyptus (0.3 % v/v) and neem (2.0 % v/v) (Moline and Locke 1993) using Tween 80 (0.01 %) as a surfactant was prepared. These concentrations of essential oil were selected based on the preliminary experiments done in the laboratory as well as from previous studies. The pH 5.6 of solution was adjusted by adding 1 N NaOH, using a digital pH meter (Model: Knick 646). The media were autoclaved for 15 min at 121 °C.
In vitro antifungal assay of essential oils (EOs)
Based on the inhibition in radial mycelial growth and conidial germination of P. digitatum and P. italicum on PDA, the antifungal assay of EOs was carried out using poison food technique. An agar disk (5 mm diameter) from a pure culture of P. digitatum and P. italicum was placed in the center of a PDA plate containing EOs (0.16, 0.06, 0.3 and 2.0 % v/v). Control plates contained only PDA. Petri plates were incubated at 25 °C for 7 days. Daily radial growth measurements were taken until the fungus reached the edge of the control plate.
In vivo antifungal assay of essential oils (EOs)
Mature Kinnow mandarin fruits without any visible defects were obtained from a farmers orchard located at Abohar, Punjab, India. In the laboratory, fruits were washed with sodium hypochlorite (0.5 %), rinsed with distilled water and air-dried at ambient temperature (25–28 °C). The fruits were inoculated with a spore suspension containing 106 conidia ml−1of either P. italicum, P. digitatum and held at room temperature (25 °C) for 2 h. Inoculation was carried out by dipping a steel rod with a 1-mm-wide and 2-mm-long tip into the inoculum suspension and making a single puncture in each fruit with the rod (Eckert and Brown 1986). Applications were made by immersing the fruit in the solutions for 60s at 25 °C. Air-dried fruits were dipped for 2–3 min in known concentrations of EOs (% v/v) solutions and again kept at ambient conditions for drying. After treatments, fruits were packed in polythene bag with zip and stored (5 ± 1 °C, 80 ± 5 % RH) for 60 days.
The effect of EOs on various pathological and physiological parameters was evaluated at regular intervals for 60 days during cold storage. Disease incidence (DI) data was expressed as the percentage of fruits showing particular disease symptoms out of the total number of fruits in each treatment, while lesion diameter and decay area were expressed accordingly (Sivakumar et al. 2002) and other physical and physiological parameters such as percentage loss in weight (PLW) and fruit decay. The numbers of fruits for observations were 30.
Studies were also conducted to check the initiation of decay caused by P. digitatum and P. italicum in un-inoculated control Kinnow mandarin fruits stored at 5 °C and 80–90 % RH (Table 3) and overall decay in Kinnow mandarin fruits, consequently the increase in the storage life (Table 3).
Table 3.
Efficacy of essential oils on initiation of decay (days), decay rot (%) and increase in storage life of un-inoculated Kinnow mandarin fruits stored at 5 °C for 60 days. Data are the mean of 30 fruits across three replications. Letters in columns with same alphabet are not significant different
| Essential oil | Penicillium digitatum | Penicillium italicum | ||||
|---|---|---|---|---|---|---|
| Initiation of decay (days) | Decay rot (%) | Increase in Storage life (days) | Initiation of decay (days) | Decay rot (%) | Increase in storage life (days) | |
| Lemon grass | 50a | 33.63a | 9a | 46a | 37.67a | 7a |
| Clove | 43b | 42.57b | 7b | 43b | 44.57b | 5b |
| Eucalyptus | 42b | 51.93c | 6b | 41b | 56.93c | 4b |
| Neem | 40b | 61.30d | 4b | 38c | 64.47d | 3c |
| Control | 33c | 94.97e | 0d | 31c | 96.97e | 0d |
Determination of respiration and ethylene evolution rates
Ethylene production and respiration rates were measured using the static headspace technique (Jhalegar et al. 2012; Sharma et al. 2012). Two fruits from each replication were selected at random and enclosed in a hermetically sealed container (1,000 ml), fitted with a silicon rubber septum, for 1 h or less. The concentrations of O2 and CO2 were recorded in the headspace of the container using auto gas analyzer (Model: Checkmate 9900 O2/CO2, PBI Dan sensor, Denmark) and expressed as ml CO2/kg/h. To determine ethylene, 1 ml of the head space atmosphere of the container was withdrawn with a gas-tight syringe and injected into a gas chromatograph (Model HP 5890, Hewlett Packard, USA) which was calibrated using standard ethylene gas (Laser Gases, New Delhi). The gas chromatograph was equipped with Porapak-N (80–100 mesh) column and a flame ionization detector (FID). Nitrogen was used as the carrier gas at a flow rate of 30 ml/min, while hydrogen and air were fuel gases had flow rates of 25 and 250 mlmin-1, respectively. The temperatures in injector, column and detector were maintained at 110, 60 and 275 °C, respectively and the rate of ethylene evolution was expressed as μLkg-1h−1.
Weight loss (WL) and fruit decay
WL was measured by subtracting the initial fruit weight from the final weight and was expressed as a percentage (%). Similarly, decay was determined by counting the number of rotten fruit, divided by the total number of fruit, and was expressed s a percentage (%). WL and decay were determined in 20 fruits per treatment at each storage interval.
Sensory evaluation
Sensory evaluation of stored Kinnow fruits was done by a panel of five experts on hedonic scale ranging from 0 to 9. Colour, aroma, appearance and overall acceptability were done by this method and the average values were included for assessing the acceptability by the consumers (Ranganna 1999).
Statistical design and analysis of data
The experiments were laid out in factorial CRD design with each treatment consisting of 30 fruits with 3 replications. The data obtained from the experiments were analysed as per design and the results were compared from ANOVA by calculating the C.D. (Panse and Sukhatme 1984). For data on decay initiation, decay and shelf-life, Duncans Multiple Range Test was applied.
Results and discussions
In vitro studies
Effects of EOs on colony diameter of test pathogens
Our studies have indicated that growth (colony diameter) of both Penicillium italicum and P. digitatum was inhibited strongly under in vitro conditions by all the essential oils but this inhibition was higher in P. italicum than P. digitatum (Table 1). Among different EOs, maximum inhibition was brought out by lemon grass oil both in P. italicum (7 ± 1.21 mm) and P. digitatum (5 ± 0.45 mm), respectively. This difference in growth inhibition of P. italicum and P. digitatum could possibly be due to the fact that even though both pathogens grow at the optimal temperature of 24 °C, however, green mold is predominant at room temperature, and blue mold is more important on cold-conditions, since P. italicum grows faster than P. digitatum below 10 °C (Brown and Eckert 2000). Several EOs have been reported to be great inhibitor of postharvest pathogens, yet reports on the use of lemon grass, clove, eucalyptus, neem oil on Kinnow mandarin are limited. Yet, Neri et al. (2006) showed that concentrations of 74 and 984 μl l−1of eugenol at its vapour phase were necessary for a complete inhibition of mycelial growth and conidial germination, respectively, in P. expansum. Similarly, Amiri et al. (2008) have conducted in vitro studies using eugenol oil against postharvest pathogens of apple and reported complete inhibition of mycelia growth of the tested pathogens. Differential inhibition of pathogens by EOs may be due to their composition, which contribute to their biological activity. For example, high content of citral (Paviani et al. 2006) was found as the main compound in lemon grass oil, while clove oil contains eugenol, caryophyllene, furfurol, α-pinene and eugenyl acetate and eugenol a phenolic compound (70–90 %) was the main contributor (Matan et al. 2006), and the antimicrobial activity of eucalyptus essential oil is due to the presence of a mixture of monoterpenes and oxygenated monoterpenes. (Aggarwal et al. 2002). A number of active principles of neem oil are azadirachtin, azadiradione, fraxinellone, nimbinsalannin etc., which could act as the compound for antifungal activity.
Table 1.
Effect of essential oils incorporated into potato dextrose agar on the growth of pathogens after 10 days of incubation at 25 °C
| Essential oil | Colony diameter (mm)a | |
|---|---|---|
| Penicillium digitatum | Penicillium italicum | |
| Lemon grass | 7 ± 1.21 | 5 ± 0.45 |
| Clove | 22 ± 0.52 | 18 ± 0.87 |
| Eucalyptus | 43 ± 0.98 | 39 ± 1.43 |
| Neem | 53 ± 1.27 | 46 ± 1.65 |
| Control | 72 ± 1.35 | 65 ± 1.78 |
aMean of five replicates
Toxicity of essential oils on increased inoculum density of Penicillium digitatum and P.italicum
We observed that the EOs inhibited the fungal growth of the treatments sets containing even 32 discs of the test fungus indicating the potency of the EOs to withstand high inoculum density of test fungus (Table 2). All the EOs were successful in controlling the growth of test fungus whereas the untreated fruits were unable to control the growth of test fungus.
Table 2.
In vitro studies to investigate the toxicity of the essential oils on increased inoculum density of Penicillium. digitatum and P.italicum
| No. of fungal disc | Approx. No. of spores | Growth of test fungus | |||||||
|---|---|---|---|---|---|---|---|---|---|
| Lemon grass oil | Eucalyptus oil | Clove oil | Neem oil | ||||||
| Treatment | Control | Treatment | Control | Treatment | Control | Treatment | Control | ||
| 1 | 2,358 × 103 | – | + | – | + | – | + | – | + |
| 2 | 47,174 × 103 | – | + | – | + | – | + | – | + |
| 3 | 94,348 × 103 | – | + | – | + | – | + | – | + |
| 4 | 188,696 × 103 | – | + | – | + | – | + | – | + |
| 8 | 377,392 × 103 | – | + | – | + | – | + | – | + |
| 16 | 754,784 × 103 | – | + | – | + | – | + | – | + |
| 32 | 1,509,568 × 1 03 | – | + | – | + | – | + | – | + |
–Indicates no growth of test fungus, + indicates growth of test fungus
In vivo studies
Decay area
Irrespective of storage period, EOs treated Kinnow fruits showed lesser mean decay area than untreated fruits, when they were simultaneously pre-inoculated with Penicillium digitatum and P. italicum. Among different treatments, fruits treated with lemon grass oil had the least decay area caused either by P. digitatum or P. italicum, significantly followed by clove oil, eucalyptus and neem oil and the maximum in untreated fruits (Fig. 1a). This could be attributed to the influence of EOs on biological membranes, as several investigations on the antimicrobial action of some EOs showed disruption of the bacterial and fungal membrane by EOs (Bakkali et al. 2008). All these reports suggest that this antimicrobial mechanism of EOs is due to membrane damage and our results further confirm this point of view. Similarly, we noticed that fruit decay caused either by P. digitatum or P. italicum, increased with the increase in storage period from 30th to 60th day. At the end of the storage period, decay area caused by P. digitatum or P. italicum was nearly four times higher than those treated with lemon grass oil (Fig. 1a). The effects of other oils (neem, clove, eucalyptus) on decay area were also significant over control but were less effective than lemon grass oil. The differential response of EOs for decay area caused by P. italicum or P. digitatum could be attributed to the components and biological activity of respective oil. Thus, better inhibition of P. digitatum and P. italicum by lemon grass oil may be due to high content of citral (Paviani et al. 2006). Irrespective of essential oil treatment and storage, P. italicum caused higher decay area than P. digitaum. Although, no scientific evidence is available to prove this fact, however this could probably be due to the fact that green mold is predominant at room temperature than blue mold and P. italicum grows faster than P. digitatum below 10 °C (Brown and Eckert 2000).
Fig. 1.
Effect of essential oils on decay area (a), lesion diameter (b), and decay incidence (c) on Kinnow mandarin fruits pre-inoculated with Penicillium digitatum and Penicillium italicum. Fruits were stored at 5 ± 1 °C and 85–90 % RH for 60 days. Data are the mean of 30 fruits across three replications. Vertical bars are the standard deviations
Lesion diameter
EOs treated Kinnow fruits showed lesser mean lesion diameter than untreated fruits, when they were simultaneously pre-inoculated with P. digitatum and P.italicum, the pathogens known to cause huge post-harvest losses in citrus industry. Among different treatments, fruits treated with lemon grass oil had the least lesion diameter caused either by P. digitatum or P. italicum, followed by clove oil, eucalyptus oil or neem oil with P. digitatum pre inoculated fruits showing lesser lesion diameter (Fig. 1b). Such positive effect of essential oil could be attributed to the reason that the essential oils (EOs) which pass through the cell wall and cytoplasmic membrane disrupt the structure of the different layers of polysaccharides, fatty acids and phospholipids permeabilize them. However, the lesion diameter showed an increasing trend with the increase in storage period from 30th day to the 60th day of storage. Nevertheless our results were in agreement with the results of Plaza et al. (2003), who reported that the EOs have the potential of commercialising as a postharvest application to control citrus decay. We could also find support from the work of Tripathi et al. (2008), who reported that the treatment of grapes with the EOs of has been found to control grey molds, thereby enhancing shelf life.
Decay incidence (%)
EOs treated Kinnow fruits showed lesser decay incidence than untreated fruits when they were simultaneously pre-inoculated with green and blue mold pathogen. Among different treatments, fruits treated with lemon grass oil had the least decay incidence followed by clove, eucalyptus and neem oil treated fruits (Fig. 1c). Various researchers studied and reported that EOs have been successful in controlling decay of fruits. For instance, Martinez-Romero et al. (2007) investigated the influence of carvacrol on survival of Botrytis cinerea inoculated in table grapes and showed that the survival after treatment was less.
However, fruit decay pre-inoculated fruits with P. italicum and P. digitatum pathogen increased with the increase in storage period from 40th day (0.0 %) to the 60th day of storage with P. digitatum showing least decay incidence in comparison to P.italicum. Interestingly untreated fruits showed almost 50 % fruit decay on 50th day of storage, whereas the best treatment i.e., lemon grass oil, the fruits did not show such percentage of decay till 60th day of storage as well. Moline and Locke (1993) studied the antifungal properties of a hydrophobic neem (Azadirachta indica) seed extract (clarified neem oil) against three postharvest apple pathogen, Botrytis cinerea, Penicillium expansum and Glomerella cingulata. A 2 % aqueous emulsion of the clarified neem seed oil was moderately fungicidal to B. cinerea and G. cingulata in inoculated fruit, but had little activity against P. expansum.
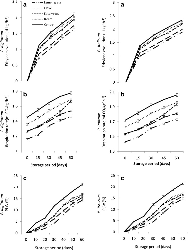
Rate of ethylene evolution
Ethylene evolution is major deterent for post harvest life of any fruit. In Kinnow mandarin, irrespective of storage period, ethylene evolution was significantly higher in the untreated fruits than the treated ones. However, the fruits pre-inoculated with the pathogens causing green and blue mold, showed an increasing trend of ethylene evolution but P. digitatum inoculated fruits showed lesser evolution than P.italicum inoculated fruits (Fig. 2a). In fact, there is always a linear correlation between ethylene and damage, and thus the fungus is responsible for the majority of ethylene production (Cristescu et al. 2002). Hence, higher production rate of ethylene by P. italicum pre-inoculated Kinnow fruits might be due to higher decay area, decay incidence and lesion diameter by the pathogen (Jhalegar et al. 2012; Sharma et al. 2012).
Fig. 2.
Effect of essential oils on ethylene evolution rate (a) respiration rate (b) and PLW (c) in Kinnow mandarin fruits pre-inoculated with Penicillium digitatum and Penicillium italicum. Fruits were stored at 5 ± 1 °C and 85–90 % RH for 60 days. Data are the mean of 30 fruits across three replications. Vertical bars are the standard deviations
Further, Kinnow fruits receiving treatment of lemon grass oil showed least ethylene evolution rate, significantly followed by clove, eucalyptus and neem oils treatments. Interestingly, ethylene production rate was quite steady from 15th day onwards but EOs (lemon grass, clove, eucalyptus and neem) treated fruits showed very meagre evolution of ethylene up till 30th day of storage (Fig. 2a). Similarly, ethylene production rate increased with progressive increase in storage period from 15th day to 60th day. Little scientific evidence is available on the effect of EOs on ethylene production rate as Moline and Locke (1993) reported that the ethylene production in apple was reduced by 80 % in fruit dipped in 2 % neem seed oil. Similarly, Rabiei et al. (2011) investigated application of essential oil in apple and deduced that on essential oil application, the production of ethylene was decreased.
Rate of respiration
The respiration rate is the index of measuring the potential storage and shelf life of fruits. Respiration rate is a major metabolic process taking place in harvested produce or in any living plant product. It is one of basic processes of life, which is directly related to maturation, handling, transportation, and subsequent storage life.
Respiration rate was significantly higher in the untreated fruits than the treated ones. Fruits pre-inoculated with the pathogens causing blue mold (P. italicum) respired more than those inoculated with P. digitatum, giving an impression that the fruits with P.digitatum can be stored longer. This could be attributed to the more tolerant feature of P. digitatum to cold storage conditions (5 ± 1 °C) in which we stored the fruits for our study. Further, the respiration rate of Kinnow fruits pre-inoculated with pathogens and simultaneously treated with EOs, was lesser than untreated fruits. Among different oils, fruits that received lemon grass showed least respiration rate than other EOs (Fig. 2b). The respiration rate was clearly affected by different EOs concentrations and dimension of infection (Cristescu et al. 2002). It could be concluded that EOs had a positive influence on respiration rate of fruit, which might help in maintain fruit quality and prolonging shelf-life or storage life (Valero and Giner 2006).
Physiological loss in weight (%)
It is one of the basic areas wherein postharvest physiologist is interested in or targeting to contain or maintain, it being such an important parameter to be emphasised on, which directly is linked to the shelf life of any produce. Our studies revealed a steady increase in physiological loss in weight (PLW) with the increase in storage period from 10th day to 60th day (Fig. 2c). Similarly, the EOs treated Kinnow fruits showed lesser loss in weight in comparison to untreated fruits, which indicates that essential oil treated fruits can be stored for a longer time than untreated fruits. Similarly, the physiological loss in weight was higher in fruits pre-inoculated with the pathogens causing blue mold than green mold, indicating that the fruits with P.digitatum can be stored longer. Further, the fruits which were pre-inoculated and simultaneously treated with EOs showed lesser loss in weight of which least being with lemon grass oils significantly followed by clove, eucalyptus and neem treated fruits (Fig. 2c). The positive effects of EOs on decreasing the weight loss could be attributed to lesser respiration rate and ethylene production rate, which might have inhibited the water loss from fruits. Similarly, EOs form a thin film surrounding the fruit peel and induce a modification of microclimate of fruits (Golam-Rabbany and Mizutani 1996; Samra et al. 2006). While working with natural antifungal compounds (eugenol, thymol and menthol vapors), Serrano et al. (2005) reported that EOs application significantly decreased weight loss percentage in cherries and grapes. Similarly, Tian et al. (2011) reported that use of eucalyptus and cinnamon oil reduced weight loss in strawberry and tomato, which increased their shelf life significantly.
Effects of EOs on decay initiation, total decay and storage life of un-inoculated kinnow fruits
Our studies indicated that initiation of decay caused by P. digitatum and P. italicum in un-inoculated control Kinnow mandarin fruits started after 33 and 37 days, respectively of storage at 5 °C and 80–90 % RH (Table 3). Interestingly, initiation of such decay was significantly delayed by all the EOs. However, decay initiation caused by P. digitatum and P. italicum was delayed by 46 days and 50 days, respectively by lemon grass oil. This treatment not only delayed the decay initiation process but also inhibited/decreased overall decay in Kinnow mandarin fruits, consequently increasing the storage life by 7 and 9 days, respectively (Table 3). From this study we can make out that when the fruits were not inoculated artificially by the pathogens yet they contained natural population of pathogens, which cause decay during storage, such decay can also be reduced significantly by EOs as such treatments have the ability to inhibit the natural decay caused by P. digitatum and P. italicum.
Sensory evaluation
The effect of treatments with the progressive storage period on the physical characters like appearance, colour and flavour was evaluated by sensory evaluation for the fruits stored Kinnow fruits (Table 4). Overall acceptability score was significantly lower in the untreated fruits than the treated ones. The results revealed that given score was gradually decreased during storage period. During the initial day of observation, the maximum score was given to Kinnow fruits treated lemon grass oil followed those treated with clove, eucalyptus and neem oil. The minimum score was awarded to untreated fruits (control) on 60th day of storage under cold storage condition. Similarly, the maximum score was obtained for lemon grass oil treated fruits (8.00), followed by those treated with clove, eucalyptus or neem (4.67) at 30th or 45th day of storage. The overall acceptability of Kinnow fruits pre-inoculated with pathogens and simultaneously treated with EOs, was higher than untreated fruits. Among different oils, fruits that received lemon grass oil showed higher score than those treated with other EOs (Table 4). It could be concluded that EOs had a positive influence on consumers mind as the application of essential oils affected colour, texture, physiology and overall appearance of the fruits. This highest score may be attributed to the lowest water loss from the fruit surface and retention of better balance between sugars and acids of fruit juice.
Table 4.
Effect of various treatments and the days of storage on overall acceptability evaluation of Kinnow mandarin under cold storage (5 ± 1 °C)
| Essential oil | Storage days | ||||
|---|---|---|---|---|---|
| 0 | 30 | 45 | 60 | Mean | |
| Lemon grass | 6.67b | 8.00 c | 8.00c | 7.67 c | 7.59c |
| Clove | 6.67 b | 6.00a | 6.67b | 6.33a | 6.42a |
| Eucalyptus | 6.33a | 6.33a | 6.17a | 6.00a | 6.21a |
| Neem | 6.67 b | 5.00d | 6.00a | 4.67e | 5.59a |
| Control | 6.33a | 4.96e | 4.03e | 3.61f | 4.73e |
| Mean | 6.53b | 6.06a | 6.17a | 5.66 d | |
| CD at 5 % for days of storage | 0.70 | ||||
| CD at 5 % for treatments | 0.70 | ||||
| CD at 5 % for days of storage × treatments | 1.40 | ||||
Conclusion
The study revealed that essential oil treatments have the potential to control green and blue mold diseases caused by Penicillium digitatum and P. italicum, respectively of Kinnow mandarin. Mycelial growth and conidial germination were clearly affected by these oils treatments indicating that these concentrations affected various stages of the development of P. digitatum and P. italicum. Among all oils, lemon grass oil was found by far the best in controlling the incidence of green and blue mold disease. In this investigation, the EOs neither caused any injury to the treated fruits nor showed other phytotoxic effects. Treated fruits were attractive and their texture was well maintained.
Acknowledgments
We thank Dr. V.R. Sagar, Head, Division of Post Harvest Technology, IARI, New Delhi for providing all lab facilities. We are also thankful to Dr. Madan Pal Singh, Division of Plant Physiology, IARI, New Delhi for valuable advice during this investigation. The financial support of the ICAR in the form of Senior Research Fellow is duly acknowledged.
References
- Aggarwal KK, Khanuja SPS, Ahmad A, Kumar TRS, Gupta VK, Kumar S. Antimicrobial activity profiles of the two enantiomers of limonene and carvone isolated from the oils of Mentha spicita and Anethum sowa. Flavour Frag J. 2002;17:59–63. doi: 10.1002/ffj.1040. [DOI] [Google Scholar]
- Amiri A, Dugas R, Pichot AL, Bompeix G. In vitro and in vitro activity of eugenol oil (Eugenia caryophylata) against four important postharvest apple pathogens. Intl J Food Microbiol. 2008;126:13–19. doi: 10.1016/j.ijfoodmicro.2008.04.022. [DOI] [PubMed] [Google Scholar]
- Anthony S, Abeywickrama K, Wigaratnam SW. The effect of spraying essential oils Cymbopagon nardus, Cymbopagon flexuosus and Ocimum basilicum on postharvest diseases and storage life of embul banana. J Hortic Sci Biotechnol. 2003;78:780–785. [Google Scholar]
- Bakkali F, Averbeck S, Averbeck D, Idaomar M. Biological effects of essential oils—a review. Food Chem Toxicol. 2008;46:446–475. doi: 10.1016/j.fct.2007.09.106. [DOI] [PubMed] [Google Scholar]
- Bhardwaj SS, Sharma M. Diseases of minor fruits. In: Verma LR, Sharma RC, editors. Diseases of Horticultural crops-fruits. New Delhi: Indus Publishing co; 1999. pp. 540–562. [Google Scholar]
- Brown GE, Eckert JW. Penicillium decays. In: Timmer LW, Gamsey SM, Graham JH, editors. Compendium of citrus diseases. 2. St Paul: APS; 2000. pp. 41–42. [Google Scholar]
- Cristescu SM, De Martinis D, Hekkert SL, Parker DH, Harren FJM. Ethylene production by Botrytis cinerea in vitro and in tomatoes. Appl Environ Microbiol. 2002;68:5342–5350. doi: 10.1128/AEM.68.11.5342-5350.2002. [DOI] [PMC free article] [PubMed] [Google Scholar]
- Dixit SN, Chandra H, Tiwari R, Dixit V (1995) Development of a botanical fungicide against blue mold of mandarins. J Stored Products Res 31:165–172
- Eckert JW, Eaks IL. Postharvest disorders and diseases of citrus fruits. In: Renter W, Calavan GE, editors. The citrus industry, vol 5. Berkeley: University of California Press; 1989. pp. 179–260. [Google Scholar]
- Eckert JW, Brown GE. Post harvest citrus disease and their control. In: Fresh citrus fruits. Westport: AVI publishing Co.; 1986. pp. 315–360. [Google Scholar]
- Golam-Rabbany ABM, Mizutani F. Effect of essential oils on ethylene production and ACC content in apple fruit and peach seed tissues. J Jpn Soc Hort Sci. 1996;65:7–13. doi: 10.2503/jjshs.65.7. [DOI] [Google Scholar]
- Ismail M, Zhang J. Post-harvest citrus diseases and their control. Outlook Pest Manag. 2004;15:29–35. doi: 10.1564/15feb12. [DOI] [Google Scholar]
- Jhalegar MJ, Sharma RR, Pal RK, Rana V. Effect of postharvest treatments with polyamines on physiological and biochemical attributes of kiwifruit (Actinidia deliciosa) cv Allison. Fruits. 2012;67:13–22. doi: 10.1051/fruits/2011062. [DOI] [Google Scholar]
- Kaur P, Verma KS. Prevalence of post harvest rots of kinnow in Punjab. Pl Dis Res. 2002;17(2):329–331. [Google Scholar]
- Martinez-Romero D, Guillén F, Valverde JM, Bailén G, Zapata PJ, Serrano M, Castillo S, Valero D. Influence of carvacrol on survival of Botrytis cinerea inoculated in table grapes. Intl J Food Microbiol. 2007;115:144–148. doi: 10.1016/j.ijfoodmicro.2006.10.015. [DOI] [PubMed] [Google Scholar]
- Matan N, Rimkeeree H, Mawson AJ, Chompreeda P, Haruthaithanasan V, Parker M. Antimicrobial activity of cinnamon and clove oils under modified atmosphere conditions. Intl J Food Microbiol. 2006;107(2):180–185. doi: 10.1016/j.ijfoodmicro.2005.07.007. [DOI] [PubMed] [Google Scholar]
- Moline HE, Locke JC. Comparing Neem seed oil with calcium chloride and fungicides for controlling postharvest apple decay. Hortsci. 1993;28(7):719–720. [Google Scholar]
- Neri F, Mari M, Brigati S. Control of Penicillium expansum by plant volatile compounds. Plant Pathol. 2006;55:100–105. doi: 10.1111/j.1365-3059.2005.01312.x. [DOI] [Google Scholar]
- Panse VG, Sukhatme PV. Statistical methods for agricultural workers. New Delhi: ICAR; 1984. pp. 288–290. [Google Scholar]
- Paster N, Bullerman LB. Mold spoilage and mycotoxin formation in grains as controlled by physical means. Intl J Food Microbiol. 1988;7:257–265. doi: 10.1016/0168-1605(88)90044-X. [DOI] [PubMed] [Google Scholar]
- Paviani L, Pergher SBC, Dariva C. Application of molecular sieves in the fractionation of lemongrass oil from high-pressure carbon dioxide extraction. Braz J Chem Eng. 2006;23:219–225. doi: 10.1590/S0104-66322006000200009. [DOI] [Google Scholar]
- Pezo D, Salafranca J, Nerin C. Design of a method for generation of gas-phase hydroxyl radicals, and use of HPLC with fluorescence detection to assess the antioxidant capacity of natural essential oils. Anal Bioanal Chem. 2006;385(7):1241–1246. doi: 10.1007/s00216-006-0395-4. [DOI] [PubMed] [Google Scholar]
- Plaza P, Usall J, Torres R, Lamarca N, Ascensio A, Vinas I (2003) Control of green and blue mold by curing on oranges during ambient and cold storage. Postharv Biol Technol 28:195–198
- Porat R, Daus A, Weiss B, Cohen L, Droby S. Effects of combing hot water, sodium bicarbonate and biocontrol on postharvest decay of citrus fruit. J Hortic Sci Biotechnol. 2002;77:441–445. [Google Scholar]
- Rabiei V, Shirzadeh E, RabbiAngourani H, Sharafi Y (2011) Effect of thyme and lavender essential oils on the qualitative and quantitative traits and storage life of apple ‘Jonagold’ cultivar. J Medicinal Plants Res 5(23):5522-5527
- Ranganna S. Handbook of Analysis and Quality Control for Fruit and Vegetable Products. 2. New Delhi: Tata McGraw-Hill Publishing Company Ltd.; 1999. [Google Scholar]
- Samra NR, Mansour AM, Tourky MN, Tarbih ME. Pre and post harvest treatments on peach fruit grown under desert conditions. J Agric Sci Mansoura Univ. 2006;31:7835–7846. [Google Scholar]
- Serrano M, Martinez- Romero D, Castillo S, Guillen D, Valero M. The use of the natural antifungal compounds improves the beneficial effect of MAP in sweet cherry storage. Innov Food Emerging Technol. 2005;6:115–123. doi: 10.1016/j.ifset.2004.09.001. [DOI] [Google Scholar]
- Sharma RR, Saxena SK. Rootstocks influence granulation in Kinnow (C. nobilis × C. deliciosa) Sci Hortic. 2004;101:235–242. doi: 10.1016/j.scienta.2003.10.010. [DOI] [Google Scholar]
- Sharma S, Sharma RR, Pal RK, Jhalegar MJ, Singh J, Srivastav M, Dhiman MR. Ethylene absorbents influence fruit firmness and activity of enzymes involved in fruit softening of Japanese plum (Prunus salicina Lindell) cv Santa Rosa. Fruits. 2012;67:257–266. doi: 10.1051/fruits/2012021. [DOI] [Google Scholar]
- Sivakumar D, Hewarathgamagae NK, Wijeratnam RSW, Wijesundera RLC. Effect of ammonium carbonate and sodium bicarbonate on anthracnose of papaya. Phytoparasitica. 2002;30:1–7. [Google Scholar]
- Tian J, Ban XQ, Zeng H, He JS, Huang B, Wang YW. Chemical composition and antifungal activity of essential oil from Cicuta virosa L. var. latisecta Celak. Int J Food Microbiol. 2011;145:464–470. doi: 10.1016/j.ijfoodmicro.2011.01.023. [DOI] [PubMed] [Google Scholar]
- Tripathi P, Dubey NK, Shukla AK. Use of some essential oils as postharvest botanical fungicides in the management of gray moulds of grapes caused by Botrytis cinerea. World J Microbial Biotechnol. 2008;24:39–46. doi: 10.1007/s11274-007-9435-2. [DOI] [Google Scholar]
- Valero M, Giner MJ. Effects of antimicrobial components of essential oils on growth of Bacillus cereus INRA L2104 in and the sensory qualities of carrot broth. Intl J Food Microbiol. 2006;106(1):90–94. doi: 10.1016/j.ijfoodmicro.2005.06.011. [DOI] [PubMed] [Google Scholar]
- Wisniewski M, Wilson C, El-Ghaouth A, Droby S. Non chemical approaches to postharvest disease control. Acta Hortic. 2001;553:407–412. [Google Scholar]
- Yahyazadeh M, Omidbaigi R, Zare R, Taheri H. Effect of some essential oils on mycelial growth of Penicillium Sacc. World J Microbial Biotechnol. 2008;24:1445–1450. doi: 10.1007/s11274-007-9636-8. [DOI] [Google Scholar]


