Abstract
Objective
Exercise-induced weight loss (WL) can lead to decreased areal bone mineral density (aBMD). It is unknown whether this translates into decreased volumetric BMD (vBMD) or bone strength. The purpose of this pilot study was to determine whether exercise-induced WL results in decreased vBMD and bone strength in postmenopausal women.
Methods
Fourteen subjects participated in a 4-month endurance exercise WL intervention. A weight stable (WS) control group (n=10) was followed for 4 months. Proximal femur aBMD was measured by DXA. Femoral neck vBMD and estimates of bone strength (cross-sectional moment of inertia (CSMI) and section modulus (SM)) were measured by quantitative CT.
Results
Women were 54.6±2.4 years, BMI 32.1±5.9 kg/m2 and 54.4±2.9 years, BMI 27.9±3.6 kg/m2 in the WL and WS groups, respectively. The WL group lost 3.0±2.6 kg which was predominately fat mass. There was a significant decrease in SMmax. Changes in CSMImax and total hip aBMD were not significant. Total hip vBMD did not decrease significantly in response to WL. There were no significant changes in the WS group.
Conclusions
WL may lead to decreased bone strength before changes in BMD are detected. Further studies are needed to determine whether bone-targeted exercise can preserve bone strength during WL.
Keywords: Aging, Bone Mineral Density, Bone Strength, Exercise, Menopause
Introduction
The benefits of weight loss on health are thought to far outweigh the risks, at least in young and middle-aged obese adults. However, the benefits of weight loss may be countered, to some extent, by the accelerated loss of areal bone mineral density (aBMD) that occurs in response to weight loss1–3. In postmenopausal women, modest (5–10%) weight loss induced by endurance exercise training resulted in a loss of aBMD when compared with weight stable controls2. This loss of aBMD occurred despite preservation of fat-free mass2. In addition, weight regain did not promote the recovery of aBMD after 12 months of follow-up4. This suggests that the decline in aBMD persists long after weight loss ceases, or reverses, and is likely affected by factors other than the change in loading forces that result from changes in body mass4,5.
Studies of weight loss and bone loss have focused on aBMD, which may not reflect changes in bone strength. Additionally, DXA does not distinguish cortical and trabecular bone compartments, important determinants of bone strength. Because bone strength is determined by bone mass, size, and macro- and micro-architecture, aBMD may not fully capture changes in fracture risk with weight loss6. It is not clear that the decrease in aBMD in response to exercise-induced weight loss translates into decreased bone strength.
Quantitative computed tomography (QCT) measures total, cortical, and trabecular volumetric BMD (vBMD) and bone geometry, and facilitates estimates of bone strength, including cross-sectional moment of inertia (CSMI) and section modulus (SM), which are measures of resistance to bending7. CSMI is a measurement of density and the distribution of the density around the femoral neck8. It reflects the extent of periosteal apposition that brings the bone mineral further away from the central axis; increases in CSMI reflect increased bone strength8. SM is inversely related to the maximum strain that will occur in the bone due to a given bending load. A decrease in SM suggests that a given load will cause greater strain in bone8. Ex vivo experiments indicate that vBMD, CSMI, and SM are better predictors of resistance to fracture than aBMD9. Further, both trabecular and cortical bone make unique contributions to the prediction of whole bone strength9.
The purpose of this pilot study was to generate new information about changes in vBMD and bone strength in response to endurance exercise-induced weight loss in overweight and obese sedentary postmenopausal women. The endurance exercise program was designed to increase energy expenditure to promote weight loss but was not targeted to load bone. Because it has been previously demonstrated that weight loss results in aBMD loss, we hypothesized that weight loss would result in decreases in total hip vBMD. Animal studies have demonstrated that small increases in aBMD induced by mechanical loading result in very large increases in bone strength10. Although our exercise intervention was not targeted to load bone, we did not expect the exercise to be directly responsible for any observed changes in bone strength.
Materials and methods
Study populations
This pilot study was part of a parent protocol designed to evaluate changes in cortisol after 4 months of exercise-induced weight loss. The inclusion criteria for study participants were: community-dwelling, postmenopausal women, aged 50 to 70 years, absence of sex hormone therapy or drugs that influence bone metabolism for at least 6 months (i.e., teriparatide, glucocorticoids), no use of antiresorptives in the last 2 years (i.e., bisphosphonates), no history of diabetes or cardiovascular disease, nonsmokers, and overweight or moderately obese. Women with osteoporosis, prior fracture or total hip replacement were not excluded. Screening tests included a medical history, physical examination, blood chemistries, 12-lead electrocardiogram, and an exercise stress test. All subjects were confirmed to be euthyroid or on adequate replacement therapy based on a normal ultrasensitive thyroid stimulating hormone level. The Colorado Multiple Institutional Review Board approved the study. All volunteers who underwent screening for the study provided written informed consent to participate.
Weight loss (WL) subjects participated in a 4-month supervised endurance exercise program to induce a weight loss of 4 to 5 kg. Participants were expected to attend three supervised exercise sessions per week, but were encouraged to attend up to five sessions per week and to exercise at home. During the first few weeks of the program, the goal was to exercise at a moderate intensity (i.e., 60–70% of maximal heart rate) and gradually increase duration to approximately 50 min/d. To enhance compliance with the exercise program, participants were allowed to select the mode(s) of exercise (i.e., treadmill walking/running, rowing, cycling, and/or elliptical exercise machine). To help with weight loss during the 4-month exercise program13, participants reduced their energy intake to 1200 kcal/d for 1 week in months 1 and 3 (41–58% reduction from maintenance caloric intake). A dietician met with each participant to help choose foods and portion sizes to facilitate effective caloric reduction. Participants were instructed to stop exercising and continue a normal diet (i.e., no caloric restriction) for one week after the WL intervention to stabilize body weight.
Women in the weight stable (WS) arm were those who did not have the time to commit to the exercise program and were instructed to maintain the same diet and level of activity for 4 months. All WL and WS participants were provided with supplemental calcium and vitamin D3 (Os-Cal extra D3: 500 mg calcium and 600 international units (IU) vitamin D3) and instructed to take 1 capsule by mouth twice a day with meals. This was done to ensure that all women were receiving adequate calcium and vitamin D during the study.
Dual-energy x-ray absorptiometry (DXA)
Total body composition (total mass, fat mass, and fat-free mass (FFM)) and proximal femur (total hip, femoral neck, trochanter, subtrochanteric region) aBMD were measured by DXA (Hologic Delphi-W instrument, software v11.2, Waltham, MA) at baseline and 4 months.
Quantitative computed tomography (QCT) and bone strength
Proximal femur scans were performed at baseline and 4 months with a Philips CT scanner. The scans were performed with the participant supine with a calibration pad behind the pelvis and hip joint. thickness was 1.0 mm and pixel width was 0.78 mm. Images included the region from the acetabulum directly superior to the femoral head to 1 cm below the lesser trochanter. Trabecular and cortical vBMD at the total hip and femoral neck quantified using commercial software QCT Pro (Mindways Software, Inc., Austin, TX). A threshold of 350 mg/cm3 was used to separate cortical and trabecular bone. Bone strength was assessed for forces that lead to bending. Density-weighted cross-sectional moments of inertia (CSMI) and section moduli (SM) of the strongest (CSMImax, SMmax) and weakest (CSMImin, SMmin) axes were calculated to provide estimates of bone strength at the femoral neck and were determined using the Bone Investigational Toolkit (Mindways Software, Inc., Austin, TX). Femoral neck slices with an eccentricity ratio closest to 1.4:1 (eccentricity registration method) were used to ensure that the same slices were utilized for strength analyses at baseline and follow-up14,15. QCT imaging parameters were set at 120 kV, 250 mA, collimation 16×0.625 mm, pitch 0.938.
Bone turnover markers, vitamin d and parathyroid hormone (PTH)
Blood samples were collected in the morning after an overnight fast at baseline and at 4 months. Samples were stored at −80°C and were analyzed in batch at the end of the study. No exercise was performed for at least 24 hours prior to blood sampling. Serum markers of bone formation (bone-specific alkaline phosphatase, BAP; Quidel Corporation, San Jose, CA) and resorption (C-terminal telopeptide of type I collagen, CTX; NordicBioscience Diagnostics, Herlev, Denmark) were determined using commercial ELISA kits. Intra- and inter-assay coefficients of variation (CV) for BAP were 1.6–2.2% and 9.2–10.3% respectively. Intra- and inter-assay CVs for CTX were 2.7–10.3% and 2.5–9.2%, respectively.
Serum 25-hydroxy (25-OH) vitamin D and serum parathyroid hormone (PTH) were measured at baseline and at 4 months. 25-OH vitamin D was measured by RIA (DiaSorin-Inc., Stillwater, MN). Intra- and inter-assay CVs were 21.4% (at 5.21 ng/mL) and 8.4–10.4%, respectively. Intact PTH was measured by a two-site chemiluminescent enzyme-labeled immunometric assay on an Immulite 1000 analyzer (Siemens, Tarrytown, NY); intra- and inter-assay CVs were 2.9–3.5% and 4.8–6.8%, respectively.
Aerobic power (VO2max)
Maximal aerobic power was measured at baseline and 4 months in the WL group only, to facilitate exercise prescriptions, using an individualized treadmill protocol with open-circuit spirometry (ParvoMedics, Sandy, Utah). Subjects warmed up to determine the walking speed that elicited a heart rate of approximately 70% of age-predicted maximum. During the test, this speed was maintained and treadmill elevation was increased by 2% every 2 minutes. Heart rate was monitored continuously using a 12-lead electrocardiogram (Quinton Q4500; Quinton Instruments, Seattle, WA) and blood pressure was measured during each exercise stage. VO2max was confirmed by one of the following criteria: 1) heart rate within 10 beats per minute of age predicted maximum, 2) respiratory quotient ≥1.1, or 3) plateau in VO2.
Statistical methods
Changes in outcome measures over the 4-month intervention in WL were evaluated by paired t tests and are presented with 95% confidence intervals and p values. Differences in 4-month changes between WL and WS were evaluated by 2-group t tests and are also presented with 95% confidence intervals. For all analyses, statistical significance was defined as p≤0.05. Data are reported as mean ± SD unless otherwise stated. Data were analyzed using SAS version 9.2 (SAS Institute Inc., Cary, NC).
Results
The 24 women included 22 Caucasians, 1 American Indian/Alaska Native, and 1 unknown; 6 women identified themselves as Hispanic or Latina. WL women (n=14) were aged 54.6±2.4 years, BMI was 32.1±5.9 kg/m2, and total hip T-score 0.1±0.3. WS women (n=10) were aged 54.4±2.9 years, BMI was 27.9±3.6 kg/m2, and total hip T-score was 0.6±0.5. There were no significant group differences (Table 1). Low bone mass (T-score≤−1.0 but >−2.5) was present in 7 (50%) women in the WL group and 6 (60%) women in the WS arm. One participant in each group met the criterion for osteoporosis (T-score ≤−2.5) at baseline16.
Table 1.
Baseline characteristics for the weight loss and weight stable groups.
| Weight Loss (n=14) | Weight Stable (n=10) | |
|---|---|---|
| Age (years) | 54.6±2.4 | 54.4±2.9 |
| BMI (kg/m2) | 32.1±5.9 | 27.9±3.6 |
| Years Postmenopausal | 7.1±4.0 | 6.0±9.8 |
| % Osteopenia | 7 (50.0%) | 6 (60.0%) |
| % Osteoporosis | 1 (7.1%) | 1 (10.0%) |
|
| ||
| Areal BMD (g/cm2) | ||
| Hip | 0.952±0.152 | 0.878±0.091 |
| Femoral Neck | 0.789±0.129 | 0.750±0.090 |
| Trochanter | 0.719±0.134 | 0.661±0.104 |
| Subtrochanter | 1.129±0.173 | 1.044±0.113 |
|
| ||
| Volumetric BMD (g/cm3) | ||
| Total Hip | 290.0±50.0 | 281.8±33.6 |
| Cortical | 860.1±55.4 | 881.6±76.6 |
| Trabecular | 132.9±25.3 | 130.2±15.8 |
| Total Neck | 287.2±57.8 | 295.1±42.2 |
| Cortical | 922.6±105.0 | 904.3±105.0 |
| Trabecular | 129.4±22.4 | 134.4±13.0 |
|
| ||
| PTH (pg/mL) | 45.1±6.7 | 50.6±28.0 |
| Vitamin D (25OH) (ng/mL) | 28.1±10.9 | 29.4±6.7 |
|
| ||
| Bone Markers | ||
| CTX (ng/mL) | 0.5±0.2 | 0.6±0.2 |
| BAP (U/L) | 25.4±7.0 | 30.8±7.5 |
Data are mean ± SD or N (%). Values do not differ significantly between groups; BMI: body mass index; BMD: bone mineral density; PTH: parathyroid hormone.
WL participants performed 3.6±1.2 exercise sessions per week. The duration of exercise sessions was 58.4±14.0 minutes and exercise energy expenditure was 392.2±116.7 kcals per session. There were no withdrawals or injuries during the exercise intervention. The majority of participants met the goal of at least 3 exercise sessions per week. VO2max improved from 25.4±3.6 to 29.3±5.4 mL/kg/min (p=0.004) and from 2.1±0.4 to 2.3±0.4 L/min (p=0.006). Exercisers lost 3.0±2.6 kg (p=0.001) during the 4-mo intervention. Fat mass decreased −2.3 kg (−3.5, −1.1; p=0.001) and there was no significant decrease in fat-free mass (−0.6 kg (−1.26, 0.05), p=0.07) (Table 2). There were no changes in weight, fat mass, or fat-free mass in the WS group (all p≥0.33; Table 4). There were no significant changes in bone markers, vitamin D, or PTH in either group (all p>0.15).
Table 2.
Absolute and relative changes in body composition, areal BMD, volumetric BMD, bone strength, bone markers, parathyroid hormone (PTH), 25-hydroxy (25-OH) vitamin D and aerobic power in response to the exercise-induced weight loss intervention (n=14).
| Baseline | 4 Months | Mean Change (95% CI) (% Change) | p value | |
|---|---|---|---|---|
| Body Composition (kg) | ||||
| Total Mass | 83.8±16.0 | 80.9±16.8 | −3.0 (−4.40,−1.39) (−3.7%) | 0.001 |
| Fat Mass | 34.8±9.2 | 32.5±10.0 | −2.3 (−3.49,−1.09) (−7.3%) | 0.001 |
| Fat-free Mass | 49.0±7.5 | 48.4±7.7 | −0.6 (−1.26,0.05) (−1.3%) | 0.07 |
|
| ||||
| Areal BMD (g/cm2f) | ||||
| Hip | 0.952±0.152 | 0.942±0.155 | −0.010 (−0.020,0.001) (−0.1%) | 0.07 |
| Femoral Neck | 0.789±0.129 | 0.788±0.135 | −0.001 (−0.014,0.013) (−1.1%) | 0.94 |
| Trochanter | 0.719±0.134 | 0.711±0.138 | −0.008 (−0.019,0.003) (−1.3%) | 0.13 |
| Subtrochanter | 1.129±0.173 | 1.117±0.176 | −0.011 (−0.025,0.003) (−1.0%) | 0.10 |
|
| ||||
| Volumetric BMD (g/cm3) | ||||
| Total Hip | 290.0±50.0 | 287.1±42.6 | −2.9 (−14.5,8.7) (−0.5%) | 0.60 |
| Cortical | 860.1±55.4 | 841.7±71.8 | −18.4 (−51.9,15.0) (−2.1%) | 0.26 |
| Trabecular | 132.9±25.3 | 132.7±22.2 | −0.2(−5.5,5.0) (0.3 %) | 0.93 |
| Total Neck | 287.2±57.8 | 288.6±48.9 | 1.4 (−13.7,16.5) (1.2 %) | 0.84 |
| Cortical | 922.6±105.0 | 909.2±109.9 | −13.4 (−68.3,41.4) (−1.1%) | 0.61 |
| Trabecular | 129.4±22.4 | 128.2±19.5 | 1.3 (−6.3,3.8) (−0.6%) | 0.60 |
|
| ||||
| Bone Strength (Femoral Neck) | ||||
| CSMImax (mgxcm) | 3406±2710 | 1944±594 | −1462 (−3085,160) (−19.0%) | 0.07 |
| SMmax(cm3) | 7.0±4.0 | 4.6±0.8 | −2.4 (−4.8,−0.1) (−17.4%) | 0.05 |
| CSMImin (mgxcm) | 1725±560 | 1565±510 | −159(−459, 140) (−5.4%) | 0.27 |
| SMmin (cm3) | 5.0±1.4 | 4.5±0.8 | −0.6 (−1.4, 0.2) (−7.1%) | 0.12 |
|
| ||||
| Bone Markers | ||||
| CTX (ng/mL) | 0.5±0.2 | 0.6±0.2 | 0.1 (−0.1,0.2) (20.1%) | 0.37 |
| BAP (U/L) | 25.4±7.0 | 25.2±6.4 | −0.2 (−1.7,1.3) (−0.1%) | 0.76 |
|
| ||||
| PTH (pg/mL) | 45.1±6.8 | 41.0±11.8 | −4.1 (−11.6,3.4) (−7.5%) | 0.26 |
|
| ||||
| Vitamin D (25OH) (ng/mL) | 28.1±10.9 | 30.6±10.3 | 2.43(−1.7,6.6) (14.0%) | 0.22 |
|
| ||||
| Maximal Aerobic Power | ||||
| VO2 (mL/kg/min) | 25.4±3.6 | 29.3±5.4 | 3.9 (1.5, 6.3) (15.9%) | 0.004 |
| VO2 (L/min) | 2.12±0.41 | 2.35±0.44 | 0.23 (0.08, 0.38) (11.8%) | 0.006 |
P values are based on a paired t test. BMD: bone mineral density; CSMImax: cross-sectional moment of inertia, strong axis of bone; CSMImin: cross-sectional moment of inertia, weak axis of bone; Zmax: section modulus, strong axis of bone; Zmin: section modulus, weak axis of bone.
Table 4.
Absolute and relative changes in body composition, areal BMD, volumetric BMD, bone strength, bone markers, parathyroid hormone (PTH), 25-hydroxy (25-OH) vitamin D and aerobic power in the weight stable women (n=10).
| Baseline | 4 Months | Mean Change (95% CI) (% Change) | p value | |
|---|---|---|---|---|
| Body Composition (kg) | ||||
| Total Mass | 73.6±13.5 | 73.9±13.4 | 0.3(−1.0,1.7) (0.48 %) | 0.61 |
| Fat Mass | 29.2±8.9 | 29.7±9.0 | 0.4(−0.5,1.4) (1.63 %) | 0.33 |
| Fat Free Mass | 44.4±6.2 | 44.3±5.7 | −0.1(−0.9,0.6) (−0.14%) | 0.71 |
|
| ||||
| Areal BMD (g/cm2) | ||||
| Hip | 0.878±0.091 | 0.867±0.089 | −0.011(−0.024,0.002) (−1.23%) | 0.09 |
| Femoral Neck | 0.750±0.090 | 0.759±0.088 | 0.009(−0.006,0.024) (1.29 %) | 0.20 |
| Trochanter | 0.661±0.104 | 0.652±0.100 | −0.009(−0.023,0.005) (−1.25%) | 0.19 |
| Subtrochanter | 1.044±0.113 | 1.032±0.125 | −0.012(−0.028,0.003) (−1.30%) | 0.10 |
|
| ||||
| Volumetric BMD (g/cm3) | ||||
| Total Hip | 281.8±33.6 | 273.5±40.9 | −8.3(−24.0,7.4) (−3.00%) | 0.26 |
| Cortical | 881.6±76.6 | 855.8±45.6 | −25.8(−73.4,21.7) (−2.50%) | 0.25 |
| Trabecular | 130.2±15.8 | 126.7±16.2 | −3.5(−11.1,4.1) (−2.47%) | 0.33 |
| Total Neck | 295.1±42.2 | 285.5±49.8 | −9.6(−29.3,10.2) (−3.28%) | 0.30 |
| Cortical | 904.3±105.0 | 899.8±106.5 | −4.5(−62.6,53.6) (−0.12%) | 0.86 |
| Trabecular | 134.4±13.0 | 132.7±15.9 | −1.7(−8.3,5.0) (−1.25%) | 0.58 |
|
| ||||
| Bone Strength (Femoral Neck) | ||||
| CSMImax (mgxcm) | 1935±678 | 3279±3305 | 1345(−832.8,3522.2) (57.89%) | 0.20 |
| SMmax (cm3) | 4.8±1.4 | 7.0±4.4 | 2.2(−0.4,4.8) (40.01%) | 0.08 |
| CSMImin (mgxcm) | 1532±550 | 1830±1063 | 298(−175.7,772.0) (15.33%) | 0.19 |
| SMmin (cm3) | 4.3±1.2 | 5.4±2.4 | 1.1(−0.4,2.5) (24.57%) | 0.13 |
|
| ||||
| Bone Markers | ||||
| CTX (ng/mL) | 0.6±0.2 | 0.7±0.3 | 0.1(−0.0,0.2) (17.90%) | 0.15 |
| BAP (U/L) | 30.8±7.5 | 30.5±6.3 | −0.3(−4.4,3.8) (1.38 %) | 0.87 |
|
| ||||
| PTH (pg/mL) | 50.6±28.0 | 58.6±28.0 | 8.0(−3.5,19.5) (21.51%) | 0.15 |
|
| ||||
| Vitamin D (25OH) (ng/mL) | 29.4±6.7 | 30.7±6.1 | 1.3(−3.4,6.0) (7.73%) | 0.54 |
P values are based on a paired t test.
BMD: bone mineral density; CSMImax: cross-sectional moment of inertia, strong axis of bone; CSMImin: cross-sectional moment of inertia, weak axis of bone; Zmax: section modulus, strong axis of bone; Zmin: section modulus, weak axis of bone.
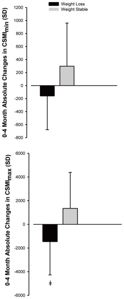
There were changes along the strong axis of bone with decreases in SMmax (−2.4 (−4.8, −0.1), p=0.05) in the WL group and no significant decrease in total hip aBMD (−0.010 (−0.020, 0.001), p=0.07) and CSMImax (−1462 (−3085, 160), p=0.07). However, total hip vBMD did not change in response to WL (Table 2). There were no significant within-group changes in vBMD in the WS group (all p>0.26). There were no significant changes in total hip aBMD (−0.011 (−0.024, 0.002), p=0.09) or SMmax (2.2 (−0.4, 4.8), p=0.08) in the WS group (data not shown). There were significant between-group differences in change in SMmin, SMmax and CSMImax, which decreased more in WL than WS (between-group differences: SMmin −1.67 (−3.26, −0.09), p=0.04; SMmax, −4.6 (−7.9, −1.3), p=0.008; CSMImax, −2807 (−5,367, −247), p=0.03) (Table 3, Figures 1 and 2).
Table 3.
Absolute changes in body composition, areal BMD, volumetric BMD, bone strength, bone markers, parathyroid hormone (PTH) and 25-hydroxy (25-OH) vitamin D for weight loss and weight stable participants (0 to 4 months).
| 4 Month Change | Difference (95% CI) | * p value | ||
|---|---|---|---|---|
| Weight Loss (N=14) | Weight Stable (N=10) | |||
| Body Composition (kg) | ||||
| Total Mass | −3.0±2.61 | 0.3±1.88 | −3.2 (−5.11, −1.31) | 0.002 |
| Fat Mass | −2.3±2.08 | 0.4±1.37 | −2.7 (−4.20, −1.27) | <.001 |
| Fat Free Mass | −0.6±1.14 | −0.1±1.08 | −0.5 (−1.43, 0.48) | 0.31 |
|
| ||||
| Areal BMD (g/cm2) | ||||
| Hip | −0.001±0.024 | −0.011±0.019 | 0.001 (−0.015, 0.017) | 0.86 |
| Femoral Neck | −0.010±0.018 | 0.01±0.020 | −0.009 (−0.028, 0.009) | 0.31 |
| Trochanter | −0.008±0.019 | −0.009±0.020 | 0.001 (−0.016, 0.017) | 0.94 |
| Subtrochanter | −0.011±0.024 | −0.012±0.021 | 0.001 (−0.018, 0.021) | 0.90 |
|
| ||||
| Volumetric BMD (g/cm3) | ||||
| Total Hip | −2.9±20.1 | −8.3±21.9 | 5.4 (−13.0, 23.8) | 0.54 |
| Cortical | −18.4±58.0 | −25.8±66.5 | 7.4 (−47.5, 62.3) | 0.78 |
| Trabecular | −0.2±9.1 | −3.5±10.6 | 3.3 (−5.4, 12.0) | 0.44 |
| Total Neck | 1.4±26.1 | −9.6±27.6 | 11.0 (−12.4, 34.4) | 0.34 |
| Cortical | −13.4±95.0 | −4.5±81.2 | −8.9 (−84.0, 66.1) | 0.81 |
| Trabecular | −1.2±8.7 | −1.7±9.3 | 0.4 (−7.4, 8.3) | 0.91 |
|
| ||||
| Bone Strength (Femoral Neck) | ||||
| CSMImax(mgxcm) | −1462±2810 | 1345±3044 | −2807 (−5367, −247) | 0.03 |
| SMmax (cm3) | −2.4±4.07 | 2.22±3.60 | −4.62 (−7.90, −1.35) | 0.008 |
| CSMImin (mgxcm) | −160±518.8 | 298±662 | −458 (−989, 74) | 0.09 |
| SMmin (cm3) | −0.6±1.3 | 1.1±2.0 | −1.7(−3.26, −0.09) | 0.04 |
|
| ||||
| Bone Markers | ||||
|
| ||||
| CTX (ng/mL) | 0.05±0.2 | 0.1±0.1 | −0.02 (−0.2, 0.1) | 0.77 |
| BAP (U/L) | −0.2±2.5 | −0.3±5.7 | 0.1 (−4.1, 4.3) | 0.97 |
|
| ||||
| PTH (pg/mL) | −4.1±13.0 | 8.0±16.1 | −12.0 (−25.1, 1.0) | 0.07 |
|
| ||||
| Vitamin D (25OH) (ng/mL) | 2.4±7.1 | 1.3±6.5 | 1.1 (−4.7, 7.0) | 0.69 |
P values are based on a 2-group t test.
BMD: bone mineral density; CSMImax: cross-sectional moment of inertia, strong axis of bone; CSMImin: cross-sectional moment of inertia, weak axis of bone; Zmax: section modulus, strong axis of bone; Zmin: section modulus, weak axis of bone; CTX: C-terminal telopeptide of type I collagen; BAP: bone-specific alkaline phosphatase.
Figure 1.

Absolute changes in section modulus of the weakest and strongest bone axes (SMmin and SMmax) after 4 months of weight loss or weight stability. *P values are based on a 2-group t test. Within-group change, *p<0.05; Between-group difference, ‡p<0.05.
Figure 2.

Absolute changes in cross-sectional moment of inertia of the weakest and strongest bone axes (CSMImin and CSMImax) after 4 months of weight loss or weight stability. *P values are based on a 2-group t test. Within-group change, *p<0.05; Between group difference, ‡p<0.05.
Discussion and conclusions
The major finding of this pilot study was that 4 months of endurance exercise-induced weight loss resulted in a decrease in bending strength at the proximal femur. There were also non-significant reductions in most measures of aBMD, vBMD, and another measure of bone strength in the WL group. As expected, there were no significant changes in aBMD, vBMD or bone strength in the WS group over 4 months. When compared to the changes in the WS group, bone strength decreased more in the WL group.
The primary objective of the current investigation was to determine whether 4 months of endurance exercise-induced weight loss resulted in changes in vBMD and bone strength. Prior exercise intervention studies have typically been 6 to12 months in duration, so it is possible we did not observe significant decreases in aBMD, as previously observed, because of the shorter WL intervention period and the small sample size2,3. This pilot was part of a parent protocol designed to look at changes in cortisol after 4 months of exercise-induced weight loss, which was the rationale behind the shorter intervention period, and was not powered a priori to detect changes in hip vBMD and bone strength. It should be emphasized that subjects were not randomized to be in the WL or WS group and the WS group was followed to provide a secondary, comparative analysis. An additional limitation includes lack of activity data for the WS group during the 4 month period. Our pilot study was intended to be hypothesis-generating and produce data that can be used to compute power calculations for future studies examining the effects of weight loss on bone strength.
Because of the multiple purported health benefits of weight loss in overweight and obese adults, it is important to determine whether sustained weight loss has a negative effect on bone density, strength and fracture risk. We previously found that modest weight loss (~5%) in postmenopausal women, generated through a supervised endurance exercise intervention, caused a significant loss of aBMD as measured by DXA2. The weight loss was 4 kg (all fat mass) over 6 months and resulted in decreases in lumbar spine (LS) and total hip aBMD of 3.4% and 1.2%. Moreover, in a follow-up study, we evaluated whether weight regain was associated with the recovery of aBMD4. The women in the weight loss intervention described above were followed for an additional 12 months4. During this time, they regained most of the lost weight (2.9±3.9 kg of the 3.9±3.5 kg lost)4. Weight regain was not associated with LS (0.05±3.8%; p=0.15) or hip (−0.6±3.0%; p=0.81) aBMD regain4. This suggests that weight loss-induced bone loss persists in postmenopausal women, even following weight regain, and perhaps is lost at a greater rate than expected over the 18 month period.
It has also been found that diet-induced weight loss adversely affects BMD1,3. Villareal et al. reported the effects of diet alone vs. diet plus exercise (endurance and resistance exercise) on changes in aBMD in older women and men3. Both groups lost ~6 kg over 6 months and maintained the weight loss at 1 year3. Decreases in total hip BMD were −2.6% in the diet group compared with −1.1% in the diet plus exercise group over 1 year3. The investigators speculated that the potential adverse effect of weight loss on hip aBMD may have been prevented by having participants perform resistance exercise only to better preserve lean mass, rather than both endurance and resistance exercises. Our intervention focused on endurance exercise only which resulted in weight loss, a decline in hip aBMD (although nonsignificant) and decreases in bone strength. Our findings also support the role of resistance exercise to help prevent the loss of BMD and possibly bone strength.
To the best of our knowledge, this pilot study was the first to examine changes in total hip vBMD and bone strength in response to an exercise-induced weight loss intervention in overweight and obese postmenopausal women. Previous weight loss studies examining changes in bone microarchitecture and strength have been limited to measurements at peripheral bone sites (i.e., distal radius and tibia). Villareal et al. used high resolution MRI measurements of the distal radius to compare differences in bone microarchitecture (e.g., trabecular microstructure) between those who practiced chronic (i.e., 6+ years) caloric restriction and those who consumed a non-restricted Western diet17. Interestingly, the quality of trabecular network was not lower in those who practiced chronic caloric restriction, despite having a lower ultra-distal radius aBMD17. However, it should be noted that only a small subgroup of participants, mostly male, had MRI measurements and the caloric restriction group exercised more than the Western diet group. In addition, this study did not include measures of bone strength. In a study of postmenopausal women, aBMD and vBMD were measured in response to caloric restriction using two protein diets (i.e., high vs. normal) and controlled calcium intake over 1 year23. It was found that during weight loss the high protein diet attenuated aBMD loss at the ultra-distal radius, LS and total hip as well as trabecular vBMD of the tibia23. Bone strength measures derived from peripheral QCT images of the distal tibia did not significantly decrease over time in both diet groups23. The authors concluded that higher protein diets might help preserve BMD during caloric restriction and weight loss23. In another study of obese premenopausal women, it has been shown that 3 months of a very-low energy diet aimed at inducing weight loss (i.e., 0.7–1.5 kg per week) did not worsen most measures of bone strength at the distal tibia, tibial shaft and radial shaft18. There was a decrease in bending strength at the distal radius that was attributed to poor calcium intake18. Although bone turnover increased during the 3-month weight reduction period, changes in total BMC were not significant, and bone turnover markers returned to baseline levels at the end of the 9-month weight maintenance period18. In our hormone-deficient, postmenopausal women, we detected a decrease in bending strength at the proximal femur, but did not observe an increase in bone turnover markers during the weight loss intervention. Our observed decrease in bending strength does not likely reflect poor calcium intake as all of our participants were supplemented with adequate calcium and vitamin D throughout the intervention. Although measurements of peripheral bone may be easier to acquire, it is currently unclear whether BMD and bone strength changes at distal or non-weight-bearing sites (i.e., tibia and radius) reflect similar changes at central, weight-bearing sites such as the hip and spine, which are clinically important sites of fracture.
There is strong evidence that bone-loading endurance and resistance exercise are beneficial to the skeleton through mechanical stimulation of the bone19–21. Our exercise intervention did not specifically target bone loading because it was aimed at weight loss. Interestingly, preclinical studies indicate that small increases in BMD in response to mechanical loading (5–7%) generate disproportionately large improvements in bone strength (60–90%)10. In contrast, bisphosphonates or teriparatide therapy tend to generate larger increases in BMD (9–14%) compared to mechanical loading, but increases in bone strength (7–21%) are only proportional to the changes in BMD11,12. This suggests that bone-loading exercise may preferentially preserve or even increase bone strength during periods of weight loss, even if small decreases in BMD occur10–12. It remains unknown whether bone-loading exercise during weight loss can preserve bone strength even when bone loss occurs.
QCT imaging has greatly enhanced the way we measure bone mass, density, macro- and micro-achitecture and bone strength over the last 3 decades22. QCT not only provides information about the pathophysiology of skeletal disease and skeletal response to therapies, it also has improved our ability to predict fracture risk22. Studies employing QCT-based imaging techniques are needed to determine whether high-intensity progressive resistance or bone-loading endurance exercise can preserve bone strength during periods of exercise-or diet-induced weight loss in overweight and obese adults. Research is also needed to identify the underlying mechanisms of weight-loss induced bone loss so that effective and safe strategies can be designed to preserve BMD and bone strength during weight loss in men and postmenopausal women as well as other populations at increased risk for premature bone loss and fracture (i.e., aging, HIV, hypogonadism).
Acknowledgments
We express our gratitude to the nursing, bionutrition, core laboratory, information systems, and administrative staffs of the Clinical Translational Research Center and Energy Balance Core of the Clinical Nutrition Research Unit for their support of the study. We also acknowledge the members of our research group who carried out the day-to-day activities for the project. Finally, we thank the women who volunteered to participate in the study for their time and efforts.
This research was supported by awards from the National Institutes of Health, including F32 AG035460 (KL Villalon), K23 AG19630 (WS Gozansky) and Hartford/Jahnigen Center of Excellence Award (KL Villalon).
Footnotes
The authors have no conflict of interest.
Author contributions
Study design: KS, WG, PW, WK. Study conduct and data collection: KS, TS, WG. Data analysis: PW. Data interpretation: KS, VS, PW, WK. Drafting manuscript: KS. Revising manuscript content: KS, VS, PW, TS, WG, WK. Approving final version of manuscript: KS, VS, WG, TS, PW, WK.
References
- 1.Villareal DT, Chode S, Nehu P, Sinacore DR, Hilton T, Armento-Villareal A, et al. Weight Loss, Exercise, or Both and Physical Function in Obese Older Adults. N Engl J Med. 2011;364(13):1218–29. doi: 10.1056/NEJMoa1008234. [DOI] [PMC free article] [PubMed] [Google Scholar]
- 2.Gozansky WS, Van Pelt RE, Jankowski CM, Schwartz RS, Kohrt WM. Protection of bone mass by estrogens and raloxifene during exercise-induced weight Loss. J Clin Endocrinol Metab. 2005;90(1):52–9. doi: 10.1210/jc.2004-0275. [DOI] [PubMed] [Google Scholar]
- 3.Villareal DT, Fontana L, Weiss EP, Racette SB, Steger-May K, Schechtman KB, et al. Bone mineral density response to caloric restriction-induced weight loss or exercise-induced weight loss: a randomized controlled trial. Arch Intern Med. 2006;166(22):2502–10. doi: 10.1001/archinte.166.22.2502. [DOI] [PubMed] [Google Scholar]
- 4.Villalon KL, Gozansky WS, Van Pelt RE, Wolfe P, Jankowski Schwartz RS, et al. A Losing Battle: Weight Regain Does Not Restore Weight Loss-Induced Bone Loss in Postmenopausal Women. Obesity. 2011 doi: 10.1038/oby.2011.263.. [DOI] [PMC free article] [PubMed] [Google Scholar]
- 5.Park HA, Lee JS, Kuller LH, Cauley JA. Effects of weight control during the menopausal transition on bone mineral density. J Clin Endocrinol Metab. 2007;92(10):3809–15. doi: 10.1210/jc.2007-1040. [DOI] [PubMed] [Google Scholar]
- 6.Bouxsein ML. Bone quality: where do we go from here? Osteoporos Int. 2003;14(Suppl 5):S118–27. doi: 10.1007/s00198-003-1489-x. [DOI] [PubMed] [Google Scholar]
- 7.Lang TF, Li J, Harris ST, Genant HK. Assessment of vertebral bone mineral density using volumetric quantitative CT. J Comput Assist Tomogr. 1999;23(1):130–7. doi: 10.1097/00004728-199901000-00027. [DOI] [PubMed] [Google Scholar]
- 8.Carpenter D, Beaupré GS, Lang TF, Orwoll ES, Carter DR for the Osteoporotic Fractures in Men (MrOS) Study Group. New QCT Analysis Approach Shows the Importance of Fall Orientation on Femoral Neck Strength. J Bone Miner Res. 2005;20:1533–42. doi: 10.1359/JBMR.050510. [DOI] [PubMed] [Google Scholar]
- 9.Bousson V, Le Bras A, Roqueplan F, Kang Y, Mitton D, Kolta S, et al. Volumetric quantitative computed tomography of the proximal femur: relationships linking geometric and densitometric variables to bone strength. Role for compact bone. Osteoporos Int. 2006;17(6):855–64. doi: 10.1007/s00198-006-0074-5. [DOI] [PubMed] [Google Scholar]
- 10.Turner CH, Robling AG. Designing Exercise Regimens to Increase Bone Strength. Exerc Sport Sci Rev. 2003;31(1):45–50. doi: 10.1097/00003677-200301000-00009. [DOI] [PubMed] [Google Scholar]
- 11.Hirano T, Burr DB, Turner CH, Sato M, Cain RL, Hock JM. Anabolic effects of human biosynthetic parathyroid hormone fragment (1-34), LY333334, on remodeling and mechanical properties of cortical bone in rabbits. J Bone Miner Res. 1999;14(4):536–45. doi: 10.1359/jbmr.1999.14.4.536. [DOI] [PubMed] [Google Scholar]
- 12.Mashiba T, Turner CH, Hirano T, Forwood MR, Johnston CC, Burr DB. Effects of Suppressed Bone Turnover by Bisphosphonates on Microdamage Accumulation and Biomechanical Properties in Clinically Relevant Skeletal Sites in Beagles. Bone. 2001;28(5):524–31. doi: 10.1016/s8756-3282(01)00414-8. [DOI] [PubMed] [Google Scholar]
- 13.Racette SB, Weiss EP, Obert KA, Kohrt WM, Holloszy JO. Modest lifestyle intervention and glucose tolerance in obese African Americans. Obes Res. 2001;9:348–355. doi: 10.1038/oby.2001.45. [DOI] [PubMed] [Google Scholar]
- 14.Borggrefe J, Graeff C, Nickelsen TN, Marin F, Gluer CC. Quantitative Computed Tomographic Assessment of the Effects of 24 Months of Teriparatide Treatment on 3D Femoral Neck Bone Distribution, Geometry, and Bone Strength: Results From the EUROFORS Study. J Bone Miner Res. 2010;25(3):472–81. doi: 10.1359/jbmr.090820. [DOI] [PubMed] [Google Scholar]
- 15.Poole KES, Mayhew PM, Rose CM, Brown JK, Bearcroft PJ, Loveridge N, Reeve J. Changing Structure of the Femoral Neck Across the Adult Female Lifespan. J Bone Miner Res. 2009;(2593):482–91. doi: 10.1359/jbmr.090734. [DOI] [PubMed] [Google Scholar]
- 16.Report of a WHO Study Group. Assessment of fracture risk and its application to screening for postmenopausal osteoporosis: 1994. Geneva: World Health Organization (WHO); (WHO Technical Report Series, No. 843) [PubMed] [Google Scholar]
- 17.Villareal DT, Kotyk JJ, Armamento-Villareal RC, Kenguva V, Seaman P, Shahar A, Wald MJ, Kleerekoper M, Fontana L. Reduced bone mineral density is not associated with significantly reduced bone quality in men and women practicing long-term calorie restriction with adequate nutrition. Aging Cell. 2011;10(1):96–102. doi: 10.1111/j.1474-9726.2010.00643.x. [DOI] [PMC free article] [PubMed] [Google Scholar]
- 18.Uusi-Rasi K, Rauhio A, Kannus P, Pasanen M, Kukkonen-Harjula K, Fogelholm M, Sievanen H. Three-month weight reduction does not compromise bone strength in obse premenopausal women. Bone. 2010;46:1286–93. doi: 10.1016/j.bone.2009.10.013. [DOI] [PubMed] [Google Scholar]
- 19.Kelley Ga, Kelley KS, Kohrt WM. Effects of ground and joint reaction force exercise on lumbar spine and femoral neck bone mineral density in postmenopausal women: a metaanalysis of randcomized control trials. BMC Musculoskeletal Disorders. 2012;13:177. doi: 10.1186/1471-2474-13-177. [DOI] [PMC free article] [PubMed] [Google Scholar]
- 20.Barry DW, Kohrt WM. Exercise and the Preservation of Bone Health. J Cardiopulm Rehabil Prev. 2008;28(3):153–62. doi: 10.1097/01.HCR.0000320065.50976.7c. [DOI] [PubMed] [Google Scholar]
- 21.Kohrt WM, Barry DW, Schwartz RS. Muscle Forces or Gravity: What Predominates Mechanical Loading on Bone? Medcine & Science in Sports and Exercise. 2009;41(11):2050–5. doi: 10.1249/MSS.0b013e3181a8c717. [DOI] [PMC free article] [PubMed] [Google Scholar]
- 22.Engelke K, Libanati C, Fuerst T, Zysset P, Genant HK. Advanced Ct based In Vivo Methods for the Assessment of Bone Density, Structure, and Strength. Curr Osteoporos Rep. 2013 doi: 10.1007/s11914-013-0147-2. Epub ahead of print. [DOI] [PubMed] [Google Scholar]
- 23.Sukumar D, Ambia-Sobhan H, Zurfluh R, Schlussel Y, Stahl TJ, Gordon CL, Shapses SA. Areal and volumetric bone mineral density and geometry at two levels of protein intake during caloric restriction: a randomized, controlled trial. Journal of Bone and Mineral Research. 2011;26(6):1339–48. doi: 10.1002/jbmr.318. [DOI] [PMC free article] [PubMed] [Google Scholar]
