Abstract
In the past few decades, medicinal chemistry research towards potent and selective antagonists of human adenosine receptors (namely, A1, A2A, A2B, and A3) has been evolving rapidly. These antagonists are deemed therapeutically beneficial in several pathological conditions including neurological and renal disorders, cancer, inflammation, and glaucoma. Up to this point, many classes of compounds have been successfully synthesized and identified as potent human adenosine receptor antagonists. In this paper, an overview of the structure-activity relationship (SAR) profiles of promising nonxanthine pyrazolo derivatives is reported and discussed. We have emphasized the SAR for some representative structures such as pyrazolo-[4,3-e]-1,2,4-triazolo-[1,5-c]pyrimidines; pyrazolo-[3,4-c] or -[4,3-c]quinolines; pyrazolo-[4,3-d]pyrimidinones; pyrazolo-[3,4-d]pyrimidines and pyrazolo-[1,5-a]pyridines. This overview not only clarifies the structural requirements deemed essential for affinity towards individual adenosine receptor subtypes, but it also sheds light on the rational design and optimization of existing structural templates to allow us to conceive new, more potent adenosine receptor antagonists.
1. Introduction
Adenosine is an endogenous nucleoside that mediates a wide range of physiological responses through interaction with specific adenosine receptors (ARs), which are G-protein-coupled receptors (GPCRs) comprising the characteristic seven transmembrane domains connected by three extracellular and three intracellular loops. There are four basic types of ARs that have been cloned and pharmacologically characterized, namely, A1, A2A, A2B, and A3 ARs [1]. Each of these ARs is associated with its own distinct biochemical pathways. Typically, the activation of A1 and A3 receptors mediates adenylyl cyclase inhibition through an interaction with Gi protein, followed by a subsequent decrease in the level of cyclic adenosine monophosphate (cAMP); conversely, the A2A and A2B receptors stimulate the adenylyl cyclase activity via the Gs protein thereby increasing the level of cAMP [2]. In addition, other signaling pathways involving phospholipases C and D, and Ca2+ and mitogen-activated protein kinases (MAPK) have also been described [1]. Pharmacologically, the inhibition of A1 receptors has led to implications in the renal system disorders through regulation of diuresis and neurological disorders such as Alzheimer's disease [3, 4]; on the other hand, A3 receptor antagonists are primarily related to the treatment of glaucoma, renal protection, inflammatory disorders like asthma, as well as cancer [5–7]. Studies have also found that A2A receptor antagonists can reverse Parkinsonian motor deficits in preclinical models of Parkinson's disease, and they do so without inducing or exacerbating dyskinesias in nonhuman primate models [8, 9]. As for the A2B receptor, its antagonists seem to be suitable for the treatment of certain forms of inflammatory processes such as asthma via modulation of mast cell degranulation [10, 11].
In the last 15 years, intensive efforts in medicinal chemistry to design and synthesize new AR antagonists have led to the discovery of potent and selective ligands (with either agonistic or antagonistic properties) for the A1, A2A, A2B, and A3 ARs. These new derivatives have resulted in a better understanding of the pathophysiological role of these receptors; more precisely, among the AR antagonists, several different types of xanthine-derived and nonxanthine-based polyheterocyclic structures have been identified as potent AR antagonists. Some of them are shown to possess good affinity exclusively towards a particular AR subtype with concomitant improvements in their selectivity profiles. On the other hand, some scaffolds demonstrate good binding affinity across more than one AR subtype, with relatively lower selectivity profile. Among these diverse classes of compounds, nonxanthine pyrazolo derivatives have been reported to show good potency towards ARs, together with a broad range of selectivity. The aim of this review is to briefly summarize the structure-activity relationship profiles of various nonxanthine derivatives containing the pyrazole moiety as AR antagonists to the A1, A2A, A2B, and A3 receptor subtypes.
2. Pyrazolo Derivatives as Potent AR Antagonists
In general, nonxanthine AR antagonists are represented by polyheterocyclic derivatives which are categorized as monocyclic, bicyclic, or tricyclic structures [12]. In this review, we emphasized the structure-activity relationships for some of the representative nonxanthine pyrazolo derivatives (i.e., derivatives with a fused pyrazole ring in their respective core nuclei), which have been identified as potent AR antagonists at the A1, A2A, A2B, or A3 receptor subtypes. These derivatives are pyrazolo-[4,3-e]1,2,4-triazolo-[1,5-c]pyrimidines, pyrazolo-[3,4-c] or -[4,3-c] quinolines, pyrazolo-[4,3-d]pyrimidinones, pyrazolo-[3,4-d]pyrimidines, and pyrazolo-[1,5-a]pyridines. The binding data of the most representative AR antagonists belonging to these series are reported in Table 1.
Table 1.
Binding affinities of pyrazolo derivatives at A1, A2A, A2B, and A3 ARs.
| Pyrazolo derivatives | ||||||
| Type of scaffold | Compounds | K i, affinity (nM) or % of inhibition | ||||
| A1 a | A2A b | A2B c | A3 d | Refs. | ||
|
| ||||||
| Tricyclic scaffold | Pyrazolo-[4,3-e]triazolo-[1,5-c]pyrimidine | |||||
| A2A AR antagonists | ||||||
| 1, 8FB-PTP | 3.3e | 1.2f | ND | ND | [13] | |
| 2 | 236e | 8.9f | ND | ND | [14, 15] | |
| 3 | 30.4e | 2.4f | ND | ND | [14, 15] | |
| 4, SCH 63390 | 504e | 2.4f | ND | >10,000 | [15–17] | |
| 5, SCH 58261 | 121e | 2.3f | ND | >10,000 | [15–17] | |
| 5a, [3H]SCH 58261 | — | K D = 1 nM | — | — | [18] | |
| 6 | 741e | 0.94f | ND | >10,000 | [16] | |
| 7 | 444e | 1.7f | ND | >10,000 | [16] | |
| 8, SCH 442416 | 1,111 | 0.048 | >10,000 | >10,000 | [19] | |
| 9, MRS5346 | — | K D = 16.5 nM | — | — | [20] | |
| 10 | 4,927 | 4.63 | >10,000 | >10,000 | [17] | |
| 11 | 190 | 100 | >10,000 | >10,000 | [17] | |
| 12 | 2,160 | 0.22 | >10,000 | >10,000 | [17] | |
| 13 | 1 | 0.34 | 5.1 | 280 | [21, 22] | |
| 14 | >960 | 0.6 | ND | ND | [23] | |
| 15, SCH 420814 | >1,000 | 1.1 | >1,700 | >1,000 | [23] | |
| A2B AR antagonists | ||||||
| 16 | 2 | 0.8 | 9 | 700 | [24] | |
| 17 | 1.6 | 54 | 27 | 65 | [24] | |
| 18 | 702 | 423 | 165 | 0.81 | [25] | |
| 19 | 1,100 | 800 | 20 | 300 | [25] | |
| A3 AR antagonists | ||||||
| 21 | 1,026 | 1,040 | 245 | 0.6 | [21] | |
| 22, [3H]MRE-3008-F20 | — | — | — | K D = 0.8 nM | [26] | |
| 23 | 594 | 381 | 222 | 0.16 | [22, 27–29] | |
| 24 | 350 | 100 | 250 | 0.01 | [30] | |
| 25 | 235 | >1,000 | >1,000 | >1,000 | [31] | |
| 26 | 562 | 778 | >10,000g | 0.108 | [32] | |
| 27 | 38h | 120i | 1,500j | 4.1k | [6, 33] | |
| 28 | 610h | >10,000i | 9,400j | 1.9k | [6, 33] | |
| 29 | 150 | 21 | 37 | 17 | [31] | |
| Pyrazoloquinoline | ||||||
| A3 AR antagonists | ||||||
| 30 | 32% | 21%m | ND | 0.6 | [34–38] | |
| 31 | 45% | 24% | >1,000 | 1 | [37] | |
| 32 | 464l | 35%m | ND | 2.9 | [39, 40] | |
| 33 | 40 | 1,060 | ND | 90.2 | [39, 40] | |
| 34 | 0% | 9% | ND | 2.1 | [39, 40] | |
| 35 | >1,000 | >1,000 | >1,000n | 9.0 | [41] | |
| Bicyclic scaffold | Pyrazolo-[4,3-d]pyrimidinone | |||||
| A3 AR antagonist | ||||||
| 36 | 5% | 1% | 2%g | 1.2 | [42] | |
| Pyrazolo-[3,4-d]pyrimidine | ||||||
| A1 AR antagonists | ||||||
| 37 | 370e | ND | ND | ND | [43, 44] | |
| 38 | 0.939e | 88.3f | ND | ND | [44] | |
| 39 | 0.745e | 247f | ND | ND | [44] | |
| A2A AR antagonists | ||||||
| 40 | 647 | 48 | ND | ND | [45] | |
| 41 | 468 | 3 | ND | ND | [45] | |
| 42 | 206 | 1 | ND | ND | [45] | |
| A3 AR antagonists | ||||||
| 43 | 334 | 728.1 | 49.8n | 0.60 | [46] | |
| 44 | 1,037 | 3,179 | 53.9n | 0.18 | [46] | |
| Pyrazolo-[1,5-a]pyridine | ||||||
| A1 AR antagonists | ||||||
| 45, FK453 | 17o | 11,000p | ND | ND | [47] | |
| 46, FK838 | 120o | 5900p | ND | ND | [48] | |
| 47, FR166124 | 15o | 6200p | ND | ND | [49] | |
ND: Not determined.
a, b, c, d: binding affinity assay determined using recombinant cells expressing human A1 AR, A2A AR, A2B AR, and A3 AR, respectively, unless noted.
e: binding affinity assay determined at A1 AR in rat brain membranes.
f: binding affinity assay determined at A2A AR in rat striatal membranes.
g: adenylyl cyclase assay determined using recombinant cells expressing human A2B AR.
h, i, j, k: IC50 value from binding affinity assay determined with human A1 AR, A2A AR, A2B AR, and A3 AR, respectively.
l: binding affinity assay determined at A1 AR in bovine cerebral cortical membranes.
m: binding affinity assay determined at A2A AR in bovine striatal membranes.
n: IC50 value from adenylyl cyclase assay determined at human A2B AR.
o: IC50 value from binding affinity assay determined at A1 AR in rat brain membranes.
p: IC50 value from binding affinity assay determined at A2A AR in rat striatal membranes.
2.1. Pyrazolo-[4,3-e]-1,2,4-triazolo-[1,5-c]pyrimidine
2.1.1. A2A AR Antagonists
The pyrazolo-triazolo-pyrimidine derivatives were first described as AR antagonists by Gatta and coworkers [13], who identified a compound named 8FB-PTP (1 in Figure 1), which demonstrated good binding to the A2A AR but lacked selectivity towards the A1 receptor subtype. Structure-affinity relationship studies showed that the free amino group at 5-position and the effect of the substituents on the pyrazole ring seemed important for both high affinity and selectivity for the A2A AR subtype. From further studies, substitutions at the 7-position were shown to improve the selectivity for the A2A receptor while the same substitutions at the 8-position increased affinity to the A1 and A2A receptors with low levels of selectivity, as indicated by the N7-n-butyl (2) and the N8-n-butyl (3) derivatives [14, 15]. This again indicated that the presence of a chain (preferably a long (ar)alkyl one) at the N7 position seemed essential for both affinity and selectivity for the A2A receptors.
Figure 1.
Structures of pyrazolo-triazolo-pyrimidines as A2A AR antagonists.
In fact, two selected compounds named SCH 63390 (4) and SCH 58261 (5) proved to be the most potent and selective A2A AR antagonists ever reported, both in rat and human models [15–17]. The latter was further developed into an A2A antagonist radioligand, [3H]SCH 58261 (5a) with a K D value of about 1 nM. Further studies have suggested that it could be a useful tool for characterization of A2A receptor subtypes in platelets, autoradiography assays, and labeling of striatal A2A receptors for studying A2A receptor occupancy of various antagonists [18, 50, 51]. Nevertheless, this class of compounds presents a significant problem because of poor water solubility. To overcome this drawback, several polar moieties on the side chain of the pyrazole nucleus have been introduced. In particular, the introduction of a hydroxyl function at the para position of the phenyl ring of compounds (4) and (5) led to derivatives (5-amino-7-[3-(4-hydroxyphenyl)propyl]-2-(2-furyl)pyrazolo[4,3-e]1,2,4-triazolo[1,5-c]pyrimidine) (6) and (5-amino-7-[β-(4-hydroxyphenyl)ethyl]-2-(2-furyl)pyrazolo[4,3-e]1,2,4-triazolo[1,5-c]pyrimidine) (7), which not only showed a better hydrophilic character but also a significant increase of both affinity and selectivity for the A2A AR subtype, suggesting that most probably, a hydrogen bond is involved in receptor recognition via this part of the ligand [16].
To understand the nature of such a hypothetical hydrogen bond, compound SCH 442416 (8) was synthesized. This derivative showed even higher affinity and selectivity for the A2A receptor, thus representing a suitable candidate for positron emission tomography (PET) studies in its 11C-labeled form [19]. Moreover, it was developed into novel fluorescent tracer MRS5346 (9), which was conjugated to the fluorescent dye Alexa Fluor-488. It has a K D value of 16.5 ± 4.7 nM and could be used in fluorescence polarization competition binding experiments as well as high-throughput screening [20]. On top of that, this SCH 442416 derivative also confirmed the role of a hydrogen bond via the pyrazolo side chain. Nonetheless, the introduction of oxygenated groups could not be considered sufficient to confer water solubility. Hence, carboxylic (10) and sulfonic (11) moieties were introduced, and such structural modifications (the sulfonic moiety in particular) improved water solubility. However, in some cases, a loss of affinity with respect to reference compounds (6, 7) for the A2A AR was observed. On the other hand, the introduction of an amino group at the para position of the phenyl ring (12) improved both affinity and selectivity towards the A2Areceptor, although with low water solubility [17]. Despite these observations, it was found that the N7 derivative (such as compound 5) was totally inactive to the human A2B and A3 receptors. The N8 regioisomer (13), however, showed a slight affinity profile for these two receptor subtypes [21, 22].
A recent series of pyrazolo-triazolo-pyrimidine derivatives was obtained by modifying the phenylethyl substituent of 5 with substituted phenylpiperazine ethyl groups [23]. Introduction of fluorine atoms in the phenyl ring (14) enhanced the affinity to subnanomolar values and the compounds displayed potent oral activity, but their solubilities still remained poor. Further introduction of ether substituents led to derivatives with high affinities and selectivities for A2A receptors and improvements in water solubility. In particular, one of these compounds (SCH 420814, Privadenant, 15) exhibited high affinity for both rat and human A2A receptors, with K i values of 2.5 and 1.1 nM, respectively. In addition, the compound was very selective for human A2A receptors over A1, A2B, and A3 receptors. Interestingly, the compound did not show significant binding against a panel of 59 unrelated receptors, enzymes and ion channels. Privadenant is now in Phase II Clinical Trials for the treatment of dyskinesia in Parkinson's disease.
2.1.2. A2B AR Antagonists
The binding data obtained from parallel studies on A2A receptor antagonists have indicated that the N5-unsubstituted pyrazolo-triazolo-pyrimidine derivatives (13 in Figure 1, 16 in Figure 2) possessed high affinity to the human A2B receptors but completely lacked selectivity. Subsequently, introduction of a polar γ-amino-butyryl amide (17) at the N5-position decreased affinity towards the A2B receptors but was found to be slightly selective against the A2A subtype [24]. An improvement of this class of compounds was further achieved by an optimized pattern of substitutions at the N5- and N8-positions. In fact, in parallel studies on human A3 receptor antagonists (to be elaborated in the following section), it was observed that replacement of the phenylcarbamoyl moiety at the N5-position with a phenylacetyl group (compound 18) produced a decrease in affinity to the human A3 AR and a retention or improvement towards the A2B subtype. A combination of a naphthyl acetyl moiety at the N5-position and a phenyl propyl group (characteristic of A2A antagonists) at the N8 position led to a compound (19), which was found to be quite potent and selective towards the A2B ARs [25]. These findings indicated that bulky substituents at both the N5- and N8-positions could lead to potent and selective A2B AR antagonists, thus suggesting the presence of a larger pocket in the receptor binding site.
Figure 2.
Structures of pyrazolo-triazolo-pyrimidines as A2B AR antagonists.
2.1.3. A3 AR Antagonists
The optimization approach to obtain potent A3 AR antagonists in the series of pyrazolo-triazolo-pyrimidines was a hybrid molecule between a human A2A receptor antagonist [15, 16] and an agonist of the A3 subtype [52, 53]. The tricyclic scaffold of a known human A2A antagonist was substituted at the N5 position with an aryl carbamoyl moiety. Specifically, this para-methoxyphenyl was demonstrated to be optimal for A3 affinity when introduced at the N6-position of the A3 agonist NECA (as represented by compound 20; Figure 3). Such rational design led to compound 21, which is one of the most potent and selective human A3 AR antagonists [21]. Subsequent collation of binding data and molecular modeling studies indicated that small substituents, such as a methyl group at the N8-position, the phenyl ring on the N5-carbamoyl moiety, and a furyl ring at 2-position, were important (although not crucial, as indicated in the following paragraphs) for A3 affinity (e.g., compound 23) [22, 27–29]. Only small substituents at the para position of the phenyl ring, including fluoro (F), chloro (Cl), and methoxy (OCH3) were tolerated. At the meta-position, only hydrogen was tolerated, while the ortho-position could be substituted by a chlorine atom. Introduction of an allyl chain at N8-position, followed by reduction with tritium afforded [3H]MRE-3008-F20 (22), which was the first selective and tritiated human A3 receptor antagonist radioligand [26]. It showed a K D value of 0.8 nM and exhibited ca. 25% of nonspecific binding at that concentration. Since its discovery, it has been used for the identification of A3 receptors on various cells, including Jurkat T cells, HL60 cells, and human neutrophils [54, 55]. Later, the N5-phenyl ring of the tricyclic scaffold was substituted with a pyridinium salt, as represented by compound 24, which not only showed good solubility (15 mM) but also significantly improved hA3 affinity [30]. In previous studies, substitution of the N5-pyridine moiety with various N5-heteroaryl rings resulted in a general loss of hA3 affinity and selectivity [28].
Figure 3.
Structures of (a) N6-(substituted arylcarbamoyl) adenosine-5′-uronamide as A3 AR agonist; (b) pyrazolo-triazolo-pyrimidines as A3 AR antagonists.
Substitution at position C2 of the tricyclic system has not been deeply explored, being essentially limited to a furyl group. The furan ring had been considered to be an essential structural requirement for the binding of antagonists to all of the AR subtypes, since its removal from the tricyclic system was associated with an irreversible loss of affinity and selectivity, regardless of the receptor under investigation. In fact, Baraldi and coworkers [31] found that the substitution of the furan ring in PTPs with phenyl (25) or alkoxyphenyl rings led to a loss of affinity to A2A, A2B, and A3 receptors, while the A1 subtype in some cases displayed a high nanomolar binding profile. Similarly, the functionalization of the furan ring with polar substituents led to completely inactive derivatives, clearly indicating that an unsubstituted furan ring at the C2 position played a fundamental role in ligand-receptor recognition [31]. Notably, in most cases, substitution at the pyrazole ring occurred at the N7-rather than at the N8-position. Recently, a new series of 2-aryl pyrazolo-triazolo-pyrimidines was reported by Cheong et al., in which the previously conserved furan at C2 was substituted with a 2-aryl ring while substitutions on pyrazole ring were maintained at the N8-position [32]. Such bioisosteric replacement at C2 resulted in improved human A3 affinity and remarkably enhanced selectivity over other AR subtypes. The para substituents at the 2-phenyl ring were generally well tolerated, except for a para-nitro group, which caused detrimental effects on hA3 affinity. Particularly, the para-OCH3 and para-F groups conferred better affinities and selectivities towards the hA3 receptor. The most potent compound in this series (26) had a methyl group at the N8-position, a phenylacetamide at the N5-position, and a phenyl ring at the C2-position. Interestingly, Okamura et al. also described a series of pyrazolo-triazolo-pyrimidine analogues with a para-(un)substituted-phenyl ring and an alkyl chain at the C2- and C5-positions, respectively, that was shown to possess good hA3 affinity. The selectivity against other AR subtypes was significantly improved in this group of derivatives, especially when a para-substituted-2-phenyl ring was present (as illustrated by compounds 27, 28) [6, 33]. It was also observed that the introduction of a substituent (e.g., NHCH2CH3 (29) and SCH3) at the C9-position, induced a loss of both affinity and selectivity towards the A3 receptor. It was postulated that the introduction of these substituents caused a repulsive effect due to steric hindrance, which hampered the interaction with the binding site of the A3 AR [31].
2.2. Pyrazolo-[3,4-c] or -[4,3-c]quinolines
2.2.1. A3 AR Antagonists
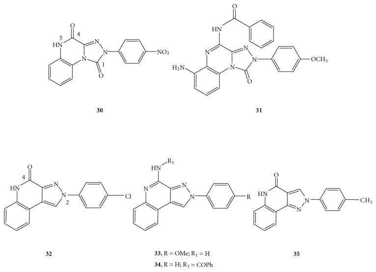
The series of pyrazoloquinolin-4-ones and pyrazolo[3,4-c]quinolines, 4-oxo and 4-amino substituted, shared a similar central scaffold as that of the triazoloquinoxalinones (30, 31) [34–38], and they were found to be potent and selective A3 AR antagonists (Figure 4) [39, 40]. The substituent on the appended 2-phenyl ring was crucial to modulate A3 affinity while a nuclear (e.g., oxo group) or extranuclear (e.g., amide group) C=O proton acceptor at the 4-position gave rise to potent and selective A3 antagonists. At the 2-position, the presence of 4-Cl, 4-OCH3, 4-CH3, and 3-CH3 on the 2-phenyl ring resulted in enhancement of A3 affinities in both the 4-ones (32) and 4-amino (33) series. Conversely, the substituents on the 2-phenyl ring of the 4-amido derivatives generally maintained but did not ameliorate the high A3 affinities in comparison with the 2-phenyl parent derivatives. At the 4-position, the introduction of 4-benzoylamido (34), 4-phenylacetylamido, and 4-carbamoyl residues resulted in improved human A3 affinities and selectivities, confirming the importance of the C=O group at this position towards A3 receptor-ligand interaction. Among the 4-amido derivatives, the 4-acetylamido group showed lower human A3 affinity in comparison to the other bulkier 4-acyl moieties, thus implying not only the presence of a roomy receptor pocket around this region, but also the importance of hydrophobic interactions between the 4-substituents and the receptor site. Another series of 2-phenyl-2,5-dihydro-pyrazolo[4,3-c]quinolin-4-ones, which are the structural isomers of the parent 2-arylpyrazolo[3,4-c]quinoline derivatives, have also been reported by Baraldi et al. [41]. Some of the synthesized compounds showed good A3 affinities (nanomolar ranges) and excellent selectivities. Particularly, the substitution of methyl, methoxy, or chlorine at the para-position of the 2-phenyl ring, together with the presence of a 4-oxo functionality gave good A3 affinity and selectivity (35).
Figure 4.
Structures of pyrazoloquinolines as A3 AR antagonists.
2.3. Pyrazolo-[4,3-d]pyrimidinones
2.3.1. A3 AR Antagonists
The pyrazolo-[4,3-d]pyrimidin-7-ones, which were a molecular simplification of the tricyclic scaffold of pyrazolo-[3,4-c]quinolin-4-one, have recently been shown to possess good affinity and selectivity profiles for the hA3 receptor [42]. According to the structure-activity relationship (SAR) analysis, both the substituents at the C5- and N2-positions of the bicyclic nucleus were crucial for the human A3 affinity and selectivity. The concomitant presence of small alkyl chains, such as methyl group at the C5-position and a para-methoxy-substituted phenyl ring at the N2 position (as demonstrated by compound 36 in Figure 5) gave rise to the most potent and selective A3 AR antagonist in this series of derivatives.
Figure 5.

Structure of pyrazolo-[4,3-d]pyrimidinone as an A3 AR antagonist.
2.4. Pyrazolo-[3,4-d]pyrimidines
2.4.1. A1 AR Antagonists
A series of pyrazolo-[3,4-d]pyrimidines was identified that contains novel A1 AR antagonists [43]. The lead compound, 4,6-Bis[α-carbamoylethyl)thio]-1-phenylpyrazolo-[3,4-d]pyrimidine (37 in Figure 6), served as a starting template for the optimization of A1 affinity and selectivity in this series of compounds. 1-phenyl-pyrazolo-[3,4-d]pyrimidine was modified at C4 with mercapto, methylthio, and amino groups in order to investigate the hydrogen-bonding and steric tolerance at this position [44]. At C6, thioesters containing distal amides with varying lengths of linear and branched alkyl groups extending from the α-carbon were evaluated for steric and hydrophobic tolerance [44]. From the binding data at A1 receptor, it was found that the simultaneous presence of an amino at C4 and α-butyl side chain at C6 gave rise to the most potent compound of the series (38); the least potent compound contained a mercapto and an α-isopropyl side chain at C4 and C6, respectively. These observations suggested that the superiority of the C4-amino group was most likely due to a hydrogen-bonding interaction with the receptor binding sites. Although a C4-methylthio group was less preferable than the amino species, its presence was still tolerable, thus indicating the existence of a hydrophobic pocket in the A1 binding site able to accommodate the methyl group. As for the C6 position, the increase in length of the linear carbon side chain (from ethyl to butyl) was favorably tolerated at the A1 receptor for each C4-substituent. Similarly, the hydrophobic tolerance at C6 position seemed crucial for the A1 binding affinity as well. In an attempt to test for the hypothesis mentioned above, a methyl-amino and an α-butyl side chain were concurrently introduced at the C4 and C6 positions, respectively [44]. Accordingly, the derivative 39 displayed improved A1 affinity and increased A1 selectivity, which further supported the proposed structural requirements at both the C4 and C6 positions.
Figure 6.

Structures of pyrazolo-[3,4-d]pyrimidines as A1 AR antagonists.
2.4.2. A2A AR Antagonists
Pyrazolo-[3,4-d]pyrimidines were also explored by Gillespie and collaborators as A2A AR antagonists [45]. In particular, the 4-(furan-2-yl)pyrazolo-[3,4-d]pyrimidine (compound 40 in Figure 7) was identified as a starting point for further investigation. It showed a good affinity for the A2A receptor subtype and was 13-fold more selective over A1. The following introduction of 1-phenyl substitution (41) increased potency at A2A while either incorporation of heteroatoms or ring saturation did not improve affinity significantly. Extension of spatial linker between the phenyl ring and pyrazole by more than one methylene group was found to provide an hA2A affinity profile similar to the 1-phenyl derivative. Furthermore, subsequent substitution on the meta-position of phenyl ring with electron-rich and deficient groups was tolerated, with the 3-chlorobenzyl derivative (42) demonstrating the best hA2A affinity and selectivity in the series. Moreover, compounds 40–42 have also shown in vivo activity in a mouse haloperidol-induced hypolocomotion model of Parkinson's disease. Due to the fact that the 4-(furan-2-yl) moiety in this series of compounds could be easily converted into reactive species under oxidative metabolism, further studies were undertaken to replace such group with other nonfuran-containing heterocycles. Unfortunately, the resulting compounds have showed reduced affinity for the A2A receptor.
Figure 7.

Structures of pyrazolo-[3,4-d]pyrimidines as A2A AR antagonists.
2.4.3. A3 AR Antagonists
Pyrazolo-[3,4-d]pyrimidines represent a novel series of bicyclic scaffold-derived A3 antagonists [46] isosterically related to the imidazole-[1,2-a][1,3,5]triazine (43; Figure 8), which have shown a certain degree of binding affinity at both A1 and A3 receptors [56]. Such pyrazolo-pyrimidine analogues displayed improved A3 affinity and selectivity profiles in comparison to the parent imidazole-triazines. From the binding affinity results, it was suggested that the 6-phenyl substituent at the bicyclic scaffold was a key pharmacophoric element for recognition at the ARs, since its removal led to poor affinity to all the ARs. Besides that, small alkyl groups at the N2-position, such as a methyl moiety were found to be more favourable than bulky groups for conferring good human A3 affinity. The introduction of N4-acyl substituents generally resulted in improved human A3 affinity relative to unsubstituted derivatives. In particular, the presence of a methyl group at N2, together with para-methoxy benzoyl substituent at N4 (44) dramatically increased the potency and selectivity to the A3 AR. Compound 44 was subsequently tested on human glioma U87MG cells, and it was able to counteract the proliferation of glioma cells mediated by A3 AR agonists Cl-IB-MECA and IB-MECA through the inhibition of A3 AR agonist-mediated ERK 1/2 activation. This finding implied that this class of derivatives might represent promising lead compounds for the development of adjuvants for glioma chemotherapy [46].
Figure 8.

Structures of (a) parent scaffold, imidazole[1,2-a][1,3,5]triazine as an A1 and A3 AR antagonist; (b) pyrazolo-[3,4-d]pyrimidine as an A3 AR antagonist.
2.5. Pyrazolo-[1,5-a]pyridines
2.5.1. A1 AR Antagonists
Akahane and coworkers reported a series of pyrazolo-[1,5-a]pyridine derivatives as potent and selective A1 AR antagonists. FK453 (45 in Figure 9) [47] and FK838 (46) [48] were the typical examples of such derivatives, and they also showed diuretic activity both in vivo and in vitro. Nevertheless, there were some limitations in these two compounds. For FK453, photochemical trans-cis isomerization at the acryloyl amide moiety and low water solubility (11.9 μg/mL) were two main problems in this type of structure. In FK838, photochemical stability was achieved through the substitution of the acryloyl amide with a pyridazinone ring while water solubility (10 mg/mL) was enhanced by the introduction of the butyric acid group. Nevertheless, this derivative had lower binding affinity and poorer selectivity for A1 receptor than FK453. Subsequently, further structural modifications to FK838 led to the synthesis of FR166124 (47) [49], which is the most potent and selective A1 AR antagonist of this series, and it shows high water solubility (>200 mg/mL). In fact, it was designed based on the hypothesis that the high affinity and selectivity of FK453 for the A1 receptor was due to the presence of the (2R)-2-(2-hydroxyethyl)piperidine ring of the acryloyl amide as a conformationally limiting factor. The pyridazinone ring of FK838 was maintained in the structure of FR166124, with the introduction of a ring structure joining the C3 and C4 positions of the butyric acid group to limit possible conformations. Overall, the close resemblance of X-ray crystal structures of FR166124 and FK453 to each other, together with the experimental binding assay data, suggested that the presence of a double bond in the cyclohexenyl acetic acid group was essential for high selectivity to the A1 receptor, with good A1 affinity and water solubility.
Figure 9.

Structures of pyrazolo-[1,5-a]pyridine as A1 AR antagonists.
3. Conclusion
Pyrazolo-containing polyheterocyclic scaffolds have given rise to a group of potent and selective antagonists for the A1, A2A, A2B, and A3 AR subtypes. An overview of the structure-activity relationships of each class of derivatives not only clarifies the structural requirements deemed essential for the affinity towards the individual AR subtypes, but it also lends insight into the rational design and optimization of existing structural templates to obtain other new, potent AR antagonists.
Acknowledgments
This paper was supported by the National Medical Research Council, Singapore (Grant no. NMRC/NIG/0020/2008) and the National University of Singapore (FRC Grant no. R-148-000-129-112).
Abbreviations
- AR(s):
adenosine receptor(s)
- cAMP:
cyclic adenosine monophosphate
- Cl-IB-MECA:
2-chloro-N6-(3-iodobenzyl)-5′-N-methylcarboxamidoadenosine
- ERK 1/2:
extracellular signal-regulated kinase
- 8FB-PTP:
5-amino-8-(4-fluorobenzyl)-2-(2-furyl)-pyrazolo[4,3-e]-1,2,4-triazolo[1,5-c]pyrimidine
- FK453:
2-phenylpyrazolo[1,5-a]pyridine-3-((2R)-2-(2-hydroxyethyl)piperidyl)acryloylamides
- FK838:
3-(2-butyric acid-3-oxo-2,3-dihydropyridazin-6-yl)-2-phenylpyrazolo[1,5-a]pyridine
- FR166124:
3-(2-cyclohexenyl acetic acid-3-oxo-2,3-dihydropyridazin-6-yl)-2-phenylpyrazolo[1,5-a]pyridine
- GPCR:
G protein-coupled receptor
- [3H]MRE-3008-F20:
[3H]-5-N-(4-methoxyphenylcarbamoyl)amino-8-propyl-2-(2-furyl)pyrazolo[4,3-e]-1,2,4-triazolo[1,5-c]pyrimidine
- IB-MECA:
N6-(3-iodobenzyl)-5′- N-methylcarboxamidoadenosine
- MAPK:
mitogen-activated protein kinase
- MRS5346:
5-((2-(2-(4-(3-(5-amino-2-(furan-2-yl)-7H-pyrazolo[4,3-e][1, 2, 4]triazolo[1,5-c]pyrimidin-7-yl)propyl)phenoxy)acetamido)ethyl)-carbamoyl)-2-(6-amino-3-iminio-4,5-disulfonato-3H-xanthen-9-yl)benzoate
- NECA:
N-ethylcarboxamidoadenosine
- PET:
positron emission tomography
- SCH 63390:
5-amino-7-(3-phenyl propyl)-2-(2-furyl)pyrazolo[4,3-e]1,2,4-triazolo[1,5-c]pyrimidine
- SCH 58261:
5-amino-7-(β-phenylethyl)-2-(2-furyl)pyrazolo[4,3-e]1,2,4-triazolo[1,5-c]pyrimidine
- SCH 442416:
5-amino-7-[3-(4-methoxyphenyl)propyl]-2-(2-furyl)pyrazolo[4,3-e]-1,2,4-triazolo[1,5-c]pyrimidine
- SCH 420814:
5-amino-7-{[(2-(4-methoxyethoxyphenyl)piperazin-1-yl]ethyl}-2-(2-furyl)-pyrazolo [4,3-e]1,2,4-triazolo[1,5-c]pyrimidine.
References
- 1.Jacobson K. A., Gao Z. G. Adenosine receptors as therapeutic targets. Nature Reviews Drug Discovery. 2006;5(3):247–264. doi: 10.1038/nrd1983. [DOI] [PMC free article] [PubMed] [Google Scholar]
- 2.Moro S., Gao Z. G., Jacobson K. A., Spalluto G. Progress in the pursuit of therapeutic adenosine receptor antagonists. Medicinal Research Reviews. 2006;26(2):131–159. doi: 10.1002/med.20048. [DOI] [PMC free article] [PubMed] [Google Scholar]
- 3.Welch W. J. Adenosine A1 receptor antagonists in the kidney: effects in fluid-retaining disorders. Current Opinion in Pharmacology. 2002;2(2):165–170. doi: 10.1016/S1471-4892(02)00134-0. [DOI] [PubMed] [Google Scholar]
- 4.Dunwiddie T. V., Masino S. A. The role and regulation of adenosine in the central nervous system. Annual Review of Neuroscience. 2001;24:31–55. doi: 10.1146/annurev.neuro.24.1.31. [DOI] [PubMed] [Google Scholar]
- 5.Jacobson K. A. Adenosine A3 receptors: novel ligands and paradoxical effects. Trends in Pharmacological Sciences. 1998;19(5):184–191. doi: 10.1016/S0165-6147(98)01203-6. [DOI] [PMC free article] [PubMed] [Google Scholar]
- 6.Okamura T., Kurogi Y., Hashimoto K., Nishikawa H., Nagao Y. Facile synthesis of fused 1,2,4-triazolo[1,5-c]pyrimidine derivatives as human adenosine A3 receptor ligands. Bioorganic and Medicinal Chemistry Letters. 2004;14(10):2443–2446. doi: 10.1016/j.bmcl.2004.03.010. [DOI] [PubMed] [Google Scholar]
- 7.Merighi S., Mirandola P., Varani K., et al. Pyrazolotriazolopyrimidine derivatives sensitize melanoma cells to the chemotherapic drugs: taxol and vindesine. Biochemical Pharmacology. 2003;66(5):739–748. doi: 10.1016/S0006-2952(03)00400-3. [DOI] [PubMed] [Google Scholar]
- 8.Grondin R., Bédard P. J., Tahar A. H., Grégoire L., Mori A., Kase H. Antiparkinsonian effect of a new selective adenosine A2A receptor antagonist in MPTP-treated monkeys. Neurology. 1999;52(8):1673–1677. doi: 10.1212/wnl.52.8.1673. [DOI] [PubMed] [Google Scholar]
- 9.Jenner P. Istradefylline, a novel adenosine A2A receptor antagonist, for the treatment of Parkinson's disease. Expert Opinion on Investigational Drugs. 2005;14(6):729–738. doi: 10.1517/13543784.14.6.729. [DOI] [PubMed] [Google Scholar]
- 10.Feoktistov I., Biaggioni I., Polosa R., Holgate S. T. Adenosine A2B receptors: a novel therapeutic target in asthma? Trends in Pharmacological Sciences. 1998;19(4):148–153. doi: 10.1016/S0165-6147(98)01179-1. [DOI] [PubMed] [Google Scholar]
- 11.Holgate S. T. The identification of the adenosine A2B receptor as a novel therapeutic target in asthma. British Journal of Pharmacology. 2005;145(8):1009–1015. doi: 10.1038/sj.bjp.0706272. [DOI] [PMC free article] [PubMed] [Google Scholar]
- 12.Schenone S., Radi M., Botta M. Pyazolopyrimidines: old molecules, new targets. Targets in Heterocyclic Systems-Chemistry and Properties. 2007;11:44–69. [Google Scholar]
- 13.Gatta F., Del Giudice M. R., Borioni A., Borea P. A., Dionisotti S., Ongini E. Synthesis of imidazo[1,2-c]pyrazolo[4,3-e]pyrimidines, pyrazolo[4,3-e]1,2,4-triazolo[1,5-c]pyrimidines and 1,2,4-triazolo[5,1-i]purines: new potent adenosine A2 receptor antagonists. European Journal of Medicinal Chemistry. 1993;28(7-8):569–576. [Google Scholar]
- 14.Baraldi P. G., Manfredini S., Simoni D., et al. Sythesis of new pyrazolo[4,3-e]1,2,4-triazolo[1,5-c] pyrimidine and 1,2,3-triazolo[4,5-e]1,2,4-triazolo[1,5-c] pyrimidine displaying potent and selective activity as A2A adenosine receptor antagonists. Bioorganic and Medicinal Chemistry Letters. 1994;4(21):2539–2544. doi: 10.1016/S0960-894X(01)80279-1. [DOI] [Google Scholar]
- 15.Baraldi P. G., Cacciari B., Spalluto G., et al. Pyrazolo[4,3-e]-1,2,4-triazolo[1,5-c]pyrimidine derivatives: potent and selective A2A adenosine antagonists. Journal of Medicinal Chemistry. 1996;39(5):1164–1171. doi: 10.1021/jm950746l. [DOI] [PubMed] [Google Scholar]
- 16.Baraldi P. G., Cacciari B., Spalluto G., et al. Design, synthesis, and biological evaluation of a second generation of pyrazolo[4,3-e]-1,2,4-triazolo[1,5-c]pyrimidines as potent and selective A2A adenosine receptor antagonists. Journal of Medicinal Chemistry. 1998;41(12):2126–2133. doi: 10.1021/jm9708689. [DOI] [PubMed] [Google Scholar]
- 17.Baraldi P. G., Cacciari B., Romagnoli R., et al. 7-substituted 5-amino-2-(2-furyl)pyrazolo[4,3-e]-1,2,4-triazolo[1,5-c]pyrimidines as A2A adenosine receptor antagonists: a study on the importance of modifications at the side chain on the activity and solubility. Journal of Medicinal Chemistry. 2002;45(1):115–126. doi: 10.1021/jm010924c. [DOI] [PubMed] [Google Scholar]
- 18.Dionisotti S., Ferrara S., Molta C., Zocchi C., Ongini E. Labeling of A2A adenosine receptors in human platelets by use of the new nonxanthine antagonist radioligand [ 3H]SCH 58261. Journal of Pharmacology and Experimental Therapeutics. 1996;278(3):1209–1214. [PubMed] [Google Scholar]
- 19.Todde S., Moresco R. M., Simonelli P., et al. Design, radiosynthesis, and biodistribution of a new potent and selective ligand for in vivo imaging of the adenosine A2A receptor system using positron emission tomography. Journal of Medicinal Chemistry. 2000;43(23):4359–4362. doi: 10.1021/jm0009843. [DOI] [PubMed] [Google Scholar]
- 20.Kecskés M., Kumar T. S., Yoo L., Gao Z. G., Jacobson K. A. Novel Alexa Fluor-488 labeled antagonist of the A2A adenosine receptor: application to a fluorescence polarization-based receptor binding assay. Biochemical Pharmacology. 2010;80(4):506–511. doi: 10.1016/j.bcp.2010.04.027. [DOI] [PMC free article] [PubMed] [Google Scholar]
- 21.Baraldi P. G., Cacciari B., Romagnoli R., et al. Pyrazolo[4,3-e]-1,2,4-triazolo[1,5-c]pyrimidine derivatives as highly potent and selective human A3 adenosine receptor antagonists. Journal of Medicinal Chemistry. 1999;42(22):4473–4478. doi: 10.1021/jm991114s. [DOI] [PubMed] [Google Scholar]
- 22.Baraldi P. G., Cacciari B., Romagnoli R., et al. Pyrazolo[4,3-e]1,2,4-triazolo[1,5-c]pyrimidine derivatives as highly potent and selective human A3 adenosine receptor antagonists: influence of the chain at the N8 pyrazole nitrogen. Journal of Medicinal Chemistry. 2000;43(25):4768–4780. doi: 10.1021/jm001047y. [DOI] [PubMed] [Google Scholar]
- 23.Neustadt B. R., Hao J., Lindo N., et al. Potent, selective, and orally active adenosine A2A receptor antagonists: arylpiperazine derivatives of pyrazolo[4,3-e]-1,2,4-triazolo[1,5-c]pyrimidines. Bioorganic and Medicinal Chemistry Letters. 2007;17(5):1376–1380. doi: 10.1016/j.bmcl.2006.11.083. [DOI] [PubMed] [Google Scholar]
- 24.Baraldi P. G. (pgb@dns.unife.it), Cacciari B., Romagnoli R., et al. Pyrazolo[4,3-e]1,2,4-triazolo[1,5-c]pyrimidine derivatives as adenosine receptor ligands: a starting point for searching A2B adenosine receptor antagonists. Drug Development Research. 2001;53(2-3):225–235. doi: 10.1002/ddr.1191. [DOI] [Google Scholar]
- 25.Pastorin G., Da Ros T., Spalluto G., et al. Pyrazolo[4,3-e]-1,2,4-triazolo[1,5-c]pyrimidine derivatives as adenosine receptor antagonists. Influence of the N5 substituent on the affinity at the human A3 and A2B adenosine receptor subtypes: a molecular modeling investigation. Journal of Medicinal Chemistry. 2003;46(20):4287–4296. doi: 10.1021/jm030852k. [DOI] [PubMed] [Google Scholar]
- 26.Varani K., Merighi S., Gessi S., et al. [3H]MRE 3008F20: a novel antagonist radioligand for the pharmacological and biochemical characterization of human A3 adenosine receptors. Molecular Pharmacology. 2000;57(5):968–975. [PubMed] [Google Scholar]
- 27.Baraldi P. G., Cacciari B., Moro S., et al. Synthesis, biological activity, and molecular modeling investigation of new pyrazolo[4,3-e]-1,2,4-triazolo[1,5-c]pyrimidine derivatives as human A3 adenosine receptor antagonists. Journal of Medicinal Chemistry. 2002;45(4):770–780. doi: 10.1021/jm0109614. [DOI] [PubMed] [Google Scholar]
- 28.Pastorin G., Da Ros T., Bolcato C., et al. Synthesis and biological studies of a new series of 5-heteroarylcarbamoylaminopyrazolo[4,3-e]1,2,4-triazolo[1,5-c]pyrimidines as human A3 adenosine receptor antagonists. Influence of the heteroaryl substituent on binding affinity and molecular modeling investigations. Journal of Medicinal Chemistry. 2006;49(5):1720–1729. doi: 10.1021/jm051147+. [DOI] [PubMed] [Google Scholar]
- 29.Moro S., Braiuca P., Deflorian F., et al. Combined target-based and ligand-based drug design approach as a tool to define a novel 3D-pharmacophore model of human A3 adenosine receptor antagonists: pyrazolo[4,3-e]1,2,4-triazolo[1,5-c]pyrimidine derivatives as a key study. Journal of Medicinal Chemistry. 2005;48(1):152–162. doi: 10.1021/jm049662f. [DOI] [PubMed] [Google Scholar]
- 30.Maconi A., Pastorin G., Da Ros T., et al. Synthesis, biological properties, and molecular modeling investigation of the first potent, selective, and water-soluble human A3 adenosine receptor antagonist. Journal of Medicinal Chemistry. 2002;45(17):3579–3582. doi: 10.1021/jm020974x. [DOI] [PMC free article] [PubMed] [Google Scholar]
- 31.Baraldi P. G., Fruttarolo F., Tabrizi M. A., et al. Design, synthesis, and biological evaluation of C9- and C2-substituted pyrazolo[4,3-e]-1,2,4-triazolo[1,5-c]pyrimidines as new A2A and A3 adenosine receptors antagonists. Journal of Medicinal Chemistry. 2003;46(7):1229–1241. doi: 10.1021/jm021023m. [DOI] [PubMed] [Google Scholar]
- 32.Cheong S. L., Dolzhenko A., Kachler S., et al. The significance of 2-furyl ring substitution with a 2-(para-substituted) aryl group in a new series of pyrazolo-triazolo-pyrimidines as potent and highly selective hA3 adenosine receptors antagonists: new insights into structure-affinity relationship and receptor-antagonist recognition. Journal of Medicinal Chemistry. 2010;53(8):3361–3375. doi: 10.1021/jm100049f. [DOI] [PubMed] [Google Scholar]
- 33.Okamura T., Kurogi Y., Hashimoto K., et al. Structure-activity relationships of adenosine A3 receptor ligands: new potential therapy for the treatment of glaucoma. Bioorganic and Medicinal Chemistry Letters. 2004;14(14):3775–3779. doi: 10.1016/j.bmcl.2004.04.099. [DOI] [PubMed] [Google Scholar]
- 34.Colotta V., Catarzi D., Varano F., et al. 1,2,4-triazolo[4,3-a]quinoxalin-1-one: a versatile tool for the synthesis of potent and selective adenosine receptor antagonists. Journal of Medicinal Chemistry. 2000;43(6):1158–1164. doi: 10.1021/jm991096e. [DOI] [PubMed] [Google Scholar]
- 35.Colotta V., Catarzi D., Varano F., et al. Synthesis and structure-activity relationships of a new set of 1,2,4-triazolo[4,3-a]quinoxalin-1-one derivatives as adenosine receptor antagonists. Bioorganic and Medicinal Chemistry. 2003;11(16):3541–3550. doi: 10.1016/S0968-0896(03)00338-9. [DOI] [PubMed] [Google Scholar]
- 36.Colotta V., Catarzi D., Varano F., et al. 1,2,4-triazolo[4,3-a]quinoxalin-1-one moiety as an attractive scaffold to develop new potent and selective human A3 adenosine receptor antagonists: synthesis, pharmacological, and ligand-receptor modeling studies. Journal of Medicinal Chemistry. 2004;47(14):3580–3590. doi: 10.1021/jm031136l. [DOI] [PubMed] [Google Scholar]
- 37.Lenzi O., Colotta V., Catarzi D., et al. 4-amido-2-aryl-1,2,4-triazolo[4,3-a]quinoxalin-1-ones as new potent and selective human A3 adenosine receptor antagonists. Synthesis, pharmacological evaluation, and ligand-receptor modeling studies. Journal of Medicinal Chemistry. 2006;49(13):3916–3925. doi: 10.1021/jm060373w. [DOI] [PubMed] [Google Scholar]
- 38.Colotta V., Catarzi D., Varano F., et al. Synthesis, ligand-receptor modeling studies and pharmacological evaluation of novel 4-modified-2-aryl-1,2,4-triazolo[4,3-a]quinoxalin-1-one derivatives as potent and selective human A3 adenosine receptor antagonists. Bioorganic and Medicinal Chemistry. 2008;16(11):6086–6102. doi: 10.1016/j.bmc.2008.04.039. [DOI] [PubMed] [Google Scholar]
- 39.Colotta V., Catarzi D., Varano F., et al. Synthesis and structure-activity relationships of a new set of 2-arylpyrazolo[3,4-c]quinoline derivatives as adenosine receptor antagonists. Journal of Medicinal Chemistry. 2000;43(16):3118–3124. doi: 10.1021/jm000936i. [DOI] [PubMed] [Google Scholar]
- 40.Colotta V., Catarzi D., Varano F., et al. New 2-arylpyrazolo[3,4-c]quinoline derivatives as potent and selective human A3 adenosine receptor antagonists. Synthesis, pharmacological evaluation, and ligand-receptor modeling studies. Journal of Medicinal Chemistry. 2007;50(17):4061–4074. doi: 10.1021/jm070123v. [DOI] [PubMed] [Google Scholar]
- 41.Baraldi P. G., Tabrizi M. A., Preti D., et al. New 2-arylpyrazolo[4,3-c]quinoline derivatives as potent and selective human A3 adenosine receptor antagonists. Journal of Medicinal Chemistry. 2005;48(15):5001–5008. doi: 10.1021/jm050125k. [DOI] [PubMed] [Google Scholar]
- 42.Lenzi O., Colotta V., Catarzi D., et al. 2-phenylpyrazolo[4,3-d]pyrimidin-7-one as a new scaffold to obtain potent and selective human a adenosine receptor antagonists: new insights into the receptor-antagonist recognition. Journal of Medicinal Chemistry. 2009;52(23):7640–7652. doi: 10.1021/jm900718w. [DOI] [PubMed] [Google Scholar]
- 43.Davies L. P., Chow S. C., Skerritt J. H. Pyrazolo[3,4-d]pyrimidines as adenosine antagonists. Life Sciences. 1984;34(22):2117–2128. doi: 10.1016/0024-3205(84)90310-2. [DOI] [PubMed] [Google Scholar]
- 44.Poulsen S. A., Quinn R. J. Synthesis and structure-activity relationship of pyrazolo[3,4-d]pyrimidines: potent and selective adenosine A1 receptor antagonists. Journal of Medicinal Chemistry. 1996;39(21):4156–4161. doi: 10.1021/jm960052s. [DOI] [PubMed] [Google Scholar]
- 45.Gillespie R. J., Cliffe I. A., Dawson C. E., et al. Antagonists of the human adenosine A2A receptor. Part 3: design and synthesis of pyrazolo[3,4-d]pyrimidines, pyrrolo[2,3-d]pyrimidines and 6-arylpurines. Bioorganic and Medicinal Chemistry Letters. 2008;18(9):2924–2929. doi: 10.1016/j.bmcl.2008.03.072. [DOI] [PubMed] [Google Scholar]
- 46.Taliani S., La Motta C., Mugnaini L., et al. Novel N -Substituted pyrazolo[3,4- d]pyrimidine adenosine A receptor antagonists: inhibition of A-Mediated human glioblastoma cell proliferation. Journal of Medicinal Chemistry. 2010;53(10):3954–3963. doi: 10.1021/jm901785w. [DOI] [PubMed] [Google Scholar]
- 47.Akahane A., Katayama H., Mitsunaga T., et al. Discovery of FK453, a novel non-xanthine adenosine A1 receptor antagonist. Bioorganic and Medicinal Chemistry Letters. 1996;6(17):2059–2062. doi: 10.1016/0960-894X(96)00368-X. [DOI] [Google Scholar]
- 48.Akahane A., Katayama H., Mitsunaga T., et al. Discovery of 6-oxo-3 (2-phenylpyrazolo[1,5-a]pyridin-3-yl) 1(6H)-pyridazinebutanoic acid (FK 838): a novel non-xanthine adenosine A1 receptor antagonist with potent diuretic activity. Journal of Medicinal Chemistry. 1999;42(5):779–783. doi: 10.1021/jm980671w. [DOI] [PubMed] [Google Scholar]
- 49.Kuroda S., Akahane A., Itani H., et al. Discovery of FR166124, a novel water-soluble pyrazolo[1,5-a]pyridine adenosine A1 receptor antagonist. Bioorganic and Medicinal Chemistry Letters. 1999;9(14):1979–1984. doi: 10.1016/S0960-894X(99)00304-2. [DOI] [PubMed] [Google Scholar]
- 50.Fredholm B. B., Lindström K., Dionisotti S., Ongini E. [3H]SCH 58261, a selective adenosine A2A receptor antagonist, is a useful ligand in autoradiographic studies. Journal of Neurochemistry. 1998;70(3):1210–1216. doi: 10.1046/j.1471-4159.1998.70031210.x. [DOI] [PubMed] [Google Scholar]
- 51.El Yacoubi M., Ledent C., Parmentier M., Ongini E., Costentin J., Vaugeois J. M. In vivo labelling of the adenosine A2A receptor in mouse brain using the selective antagonist [3H]SCH 58261. European Journal of Neuroscience. 2001;14(9):1567–1570. doi: 10.1046/j.0953-816X.2001.01771.x. [DOI] [PubMed] [Google Scholar]
- 52.Baraldi P. G., Cacciari B., Spalluto G., et al. Novel N6-(substituted-phenylcarbamoyl)adenosine-5′-uronamides as potent agonists for A3 adenosine receptors. Journal of Medicinal Chemistry. 1996;39(3):802–806. doi: 10.1021/jm950518r. [DOI] [PMC free article] [PubMed] [Google Scholar]
- 53.Baraldi P. G., Cacciari B., De Las Infantas M. J. P., et al. Synthesis and biological activity of a new series of N6-arylcarbamoyl, 2-(Ar)alkynyl-N6-arylcarbamoyl, and N6-carboxamido derivatives of adenosine-5′-N-ethyluronamide as A1 and A3 adenosine receptor agonists. Journal of Medicinal Chemistry. 1998;41(17):3174–3185. doi: 10.1021/jm980147p. [DOI] [PMC free article] [PubMed] [Google Scholar]
- 54.Gessi S., Varani K., Merighi S., et al. Pharmacological and biochemical characterization of A3 adenosine receptors in Jurkat T cells. British Journal of Pharmacology. 2001;134(1):116–126. doi: 10.1038/sj.bjp.0704254. [DOI] [PMC free article] [PubMed] [Google Scholar]
- 55.Gessi S., Varani K., Merighi S., et al. A3 adenosine receptors in human neutrophils and promyelocytic HL60 cells: a pharmacological and biochemical study. Molecular Pharmacology. 2002;61(2):415–424. doi: 10.1124/mol.61.2.415. [DOI] [PubMed] [Google Scholar]
- 56.Novellino E., Abignente E., Cosimelli B., et al. Design, synthesis and biological evaluation of novel N-alkyl- and N-acyl-(7-substituted-2-phenylimidazo[1,2-a][1,3,5]triazin-4-yl)amines (ITAs) as novel A1 adenosine receptor antagonists. Journal of Medicinal Chemistry. 2002;45(23):5030–5036. doi: 10.1021/jm020911e. [DOI] [PubMed] [Google Scholar]




