Abstract
Despite the alarming increase in the prevalence of depression during adolescence, particularly among female adolescents, the pathophysiology of depression in adolescents remains largely unknown. Event-related potentials (ERPs) provide an ideal approach to investigate cognitive-affective processes associated with depression in adolescents, especially in the context of negative self-referential processing biases. In this study, healthy (n = 30) and depressed (n = 22) female adolescents completed a self-referential encoding task while ERP data were recorded. To examine cognitive-affective processes associated with self-referential processing, P1, P2, and late positive potential (LPP) responses to negative and positive words were investigated, and intracortical sources of scalp effects were probed using Low Resolution Electromagnetic Tomography (LORETA). Additionally, we tested whether key cognitive processes (e.g., maladaptive self-view, self-criticism) previously implicated in depression related to ERP components. Relative to healthy female subjects, depressed females endorsed more negative and fewer positive words, and free recalled and recognized fewer positive words. With respect to ERPs, compared to healthy female adolescents, depressed adolescents exhibited greater P1 amplitudes following negative words, which was associated with a more maladaptive self-view and self-criticism. In both early and late LPP responses, depressed females showed greater activity following negative versus positive words, whereas healthy females demonstrated the opposite pattern. For both P1 and LPP, LORETA revealed reduced inferior frontal gyrus activity in response to negative words in depressed versus healthy female adolescents. Collectively, these findings suggest that the P1 and LPP reflect biased self-referential processing in female adolescents with depression. Potential treatment implications are discussed.
Keywords: Adolescent Depression, P1, P2, Late Positive Potential, Cognitive Vulnerability
The lifetime prevalence for adolescent major depressive disorder (MDD) is 11.7% (Merikangas et al., 2010), and the associated emotional and socioeconomic burden has led to a major public health concern (Avenoli, Knight, Kessler, & Merikangas, 2008; Greden et al., 2001). Depressive episodes are associated with profound developmental, social, and behavioral problems (Rudolph, 2009), and for some, depression may lead to broad-based risky behavior engagement in adolescence (e.g., substance use, precocious sexual behaviors, aggression; Auerbach, Tsai, & Abela, 2010) and suicide attempts in adulthood (Nock et al., 2013). During adolescence there is a 6-fold increase in depressive episodes from ages 13–18, and gender differences begin to arise at age 14, with female adolescents reporting twice as many episodes relative to male adolescents – a difference that persists throughout adulthood (Hankin et al., 1998). Despite these alarming epidemiological data, the pathophysiology of depression remains largely unknown. Identifying cognitive-affective processes associated with depression in adolescents, particularly for female adolescents who are at greatest risk within this developmental window, may lead to early identification and better treatment.
A core symptom of depression is a depressogenic view of the self (i.e., feelings of worthlessness and helplessness) (e.g., Auerbach, Ho, & Kim, 2014), and it is believed that depressed individuals are characterized by behavior and brain activity that may underlie these negative self-referential biases. Self-referential processing biases refer to the tendency of depressed individuals to appraise depressogenic or negative content as being related to their own person and experience (Lemogne et al., 2009). Indeed, studies investigating negative self-referential biases have shown that, relative to healthy individuals, depressed adults are more likely to endorse and recall negative emotional information (e.g., negative words). Moreover, among depressed adults, reaction time for endorsing words is faster for negative adjectives and slower for positive adjectives, particularly if they are self-relevant (e.g., Shestyuk & Deldin, 2010; Yoshimura et al., 2009). Scalp-recorded event-related potentials, which provide temporal resolution in the millisecond (ms) range, may be ideally suited to examine the time course of cognitive-affective processes associated with negative self-referential biases. For example, in a sample of adults, Shestyuk and Deldin (2010) used a self-referential encoding paradigm that included the presentation of positive and negative adjectives, followed by a prompt to indicate whether these words described the participant. The task elicited a P2 – an ERP component thought to reflect automatic processes associated with semantic monitoring – and the late positive component (LPC; also known as the late positive potential (LPP)) – a positive-going ERP complex hypothesized to index more effortful elaboration and encoding. When presented with negative words, relative to healthy participants, depressed adults exhibited increased P2 and LPC amplitudes for negative compared to positive words, which suggests that negative self-referential processing in depression may be reflected in exaggerated ERP responses to negative compared to positive stimuli. Although revealing, these studies did not report whether gender differences emerged, and importantly, developmental, behavioral, and neurobiological differences between adolescents and adults prevent the downward extension of findings from adults to adolescents.
Toward the goal of better understanding cognitive-affective processes that characterize depression in adolescents, the primary aim of the study was to examine behavioral and neural mechanisms associated with self-referential processing in depressed female adolescents. Additionally, low-resolution electromagnetic tomography (LORETA) was used to investigate possible cortical regions underlying putative scalp effects. A secondary aim was to test whether such abnormalities relate to maladaptive cognitive processes hypothesized to be critically implicated in depressive symptoms among female adolescents. Specifically, we tested whether ERPs elicited in the self-referential encoding task were associated with key cognitive vulnerabilities (e.g., depressogenic views of the self, self-criticism, and rumination). Although these cognitive vulnerability factors are not unique to depression in adolescents (as opposed to adults), they have emerged as robust cognitive predictors of depression in youth and the relationship with pathophsysiological processes remains unknown (Abela & Hankin, 2008). As a whole, understanding the pathophysiology of MDD may provide new potential targets to improve psychotherapeutic and pharmacologic approaches for treating depression in adolescents.
ERP Correlates of Emotional (Semantic) Processing
To date, a large body of ERP research has examined cognitive-affective processing of emotional words; however, findings have been equivocal. Researchers have employed a wide range of experimental paradigms (e.g., lexical decision tasks, self-referential tasks, oddball tasks) (Scott, O’Donnell, Leuthold, & Sereno, 2009). This methodological heterogeneity has made it difficult to generalize findings, especially when trying to determine application to clinical samples. Initially, it was believed that automatic processing of lexical information was best indexed by the P2, which typically occurs 200–300 ms after the presentation of stimuli (e.g., West & Holcomb, 2000). However, more recent ERP research has observed that emotional words elicit ERP modulations over parietal-occipital sites as early ~100 to 200 ms after stimulus onset (i.e., the P1; Kissler, Herbert, Winkler, & Junghofer, 2009; Ortigue et al., 2004). These earlier effects suggest that automatic lexical processing may occur rapidly (Kissler et al., 2009). Nevertheless, findings have been inconsistent. In non-clinical adult samples, pleasant and unpleasant words did not elicit differences within the P1 time window (Herbert, Junghofer, & Kissler, 2008; Kissler, Herbert, Peyk, & Junghofer, 2007), but research conducted with chronic pain adults found clear emotional modulations of the P1 to pain-related words (Flor, Knost, & Birbaumer, 1997; Knost, Flor, Braun, & Birbaumer, 1997). These studies are not depression-specific and nor do they report explicit gender differences. Nevertheless, these findings provide preliminary evidence that emotionally-relevant lexical information among clinical adult populations may elicit differential ERP responses within these earlier time windows. Earlier ERP components may provide a promising means of objectively assessing self-referential biases in depression as elicitations to positive versus negative words may catalogue whether biases occur prior to more conscious endorsement of emotional stimuli. Based on these earlier findings, we hypothesized that, in the context of a self-referential paradigm, depressed female adolescents would exhibit more positive P1 and P2 responses to negative words as compared to healthy female adolescents, whereas healthy female youth would show greater P1 and P2 responses to positive versus negative stimuli compared to depressed adolescents.
In addition to phasic components, which have well-defined peaks within a relatively short time window, self-referential processing research has also explored more sustained components using the LPP, which spans several hundred milliseconds to several seconds (Friedman & Johnson, 2000; Rosler, Heil, & Roder, 1997). In general, the LPP is believed to reflect sustained engagement, particularly following emotionally arousing stimuli, and research, primarily in adult populations, has demonstrated that the LPP is enhanced to both emotional words (Fischler & Bradley, 2006) and images (Foti, Hajak, & Dien, 2009). The LPP is initially maximal over parietal regions (i.e., early LPP) and becomes evident at more frontal recording sites (i.e., late LPP) several hundred milliseconds after stimulus presentation (Foti, Hajcak, & Dien, 2009); such frontal propagation might be particularly pertinent to the proposed research in light of prior neuroimaging evidence implicating prefrontal cortex abnormalities in self-referential processing biases in depression (Lemogne et al., 2010).
From a functional perspective, the early LPP has been implicated in cognitive processes including encoding, retrieval, and processing of emotional information (Naumann, Bartussek, Diedrich, & Laufer, 1992). Whereas there is some functional overlap between the early and late LPP, the late LPP is believed to reflect memory storage, affective encoding, and effortful retrieval (Ruchkin, Johnson, Mahaffey, & Sutton, 1988). Particularly relevant to the present study, healthy adults exhibited greater early LPP activity to positive versus negative words during a self-referential encoding paradigm, while depressed subjects showed greater early LPP positivity to negative versus positive words (~600–800 ms post-stimulus; Shestyuk & Deldin, 2010). In a working memory task with positive and negative words, however, Deldin and colleagues (2001) reported that both healthy and depressed adults exhibited greater late LPP amplitudes for positive versus negative words in fronto-central regions, which suggests that depressed individuals may not be differentially responsive to negative stimuli (Deldin, Deveney, Kim, Casas, & Best, 2001). Presently, important empirical gaps remain in our understanding of pathophysiological processes associated with self-referential processing biases; especially, as these adult studies did not report whether gender differences emerged. To our knowledge, no research has explored the LPP modulations associated with self-referential processing in depressed female adolescents, and critically, no research has examined both the early and late components of the LPP, which may help reconcile the mixed findings outlined above. Nevertheless, if the early and late LPP reflects greater sustained attention and elaborative processing, respectively, it stands to reason that similar to Shestyuk and Deldin (2010), there will be greater early and late LPP positivity to negative words in depressed female adolescents whereas healthy female youth will show greater early and late LPP positivity to positive words.
Cognitive Processes Implicated in Depressed Adolescents
Research has long sought to identify cognitive processes (e.g., schema, self-criticism, rumination) associated depression in adolescents (for review see Abela & Hankin, 2008). Cognitive models of depression posit that depressogenic schema and attributions are elicited automatically and, once activated, lead to more elaborative processes in which individuals repetitively perseverate about negative self-schema and the associated symptoms (Abela, Aydin, & Auerbach, 2007). While the occurrence of these automatic and elaborative processes has been largely accepted among clinicians and researchers, few experimental paradigms provide the requisite temporal resolution needed to capture both automatic (< 300 ms; Kanske & Kotz, 2007) and elaborative (> 400 ms; Fischler & Bradley, 2006) cognitive processes associated with the elicitation of negative schema and the effortful retrieval of depressogenic content. Given the excellent temporal resolution afforded by ERPs, we sought to test the association between ERP components elicited by a self-referential paradigm and cognitive processes critically implicated in depression. Specifically, as depressogenic schemas are elicited automatically, we hypothesized that a more maladaptive self-view and greater self-criticism would be associated with greater P1 and P2 activity following negative words. Additionally, in light of the fact that the LPP is thought to reflect effortful retrieval of emotional information, we hypothesized that greater LPP positivity following negative stimuli will be associated with rumination.
Goals of the Current Study
The goals of the study are to examine behavioral and neural mechanisms associated with self-referential processing in depressed female adolescents. We aimed to test the following a priori hypotheses. First, when completing the self-referential encoding task, relative to healthy participants, depressed adolescents will endorse, recall, and recognize more negative words and fewer positive words. Further, depressed female adolescents will have faster reaction times for endorsed negative words while healthy female adolescents will have faster reaction times when endorsing positive words. Second, ERP data will examine earlier P1 and P2 components in parietal regions and the LPP within parietal-occipital (i.e., ~400–600 ms post-stimulus) and fronto-central (~600–1200 ms post-stimulus) regions. When examining differences in semantic encoding, we hypothesize that depressed female participants will exhibit a larger P1 and P2 following negative versus positive stimuli. Conversely, healthy female adolescents will show greater activity for positive as opposed to negative words. Additionally, we believe that more positive P1 and P2 responses following negative words will be positively associated with self-report endorsement of a depressogenic view of the self (i.e., viewing the self as flawed) and self-criticism. Third, when examining the LPP in both parietal and fronto-central cortical areas, we hypothesize that depressed female youth will exhibit greater positivity following the presentation of negative versus positive words, whereas healthy female youth will display greater activity to positive as opposed to negative words. Further, we believe greater early and late LPP positivity in response to negative words will be positively associated with self-reported rumination. Last, low-resolution electromagnetic tomography (LORETA) whole-brain analyses were utilized to examine differential current density that may underlie between-group differences across significant ERP effects. These exploratory source localization analyses were conceptualized as a means of providing promising insights for future studies to probe regions differentially recruited in depression during the self-referential encoding task.
Method
Participants
Female adolescents (healthy control (HC) = 30, depressed adolescents (MDD) = 22) were recruited from the greater Boston area through the use of online advertisements, posted fliers, and direct mailing. Inclusion criteria for participants included ages 13–18, English as a first language (or English fluency), right-handed, and female. For HC participants, exclusion criteria included history of depression, mania/hypomania, anxiety, eating disorders, substance use disorders, ADHD, psychosis, mental retardation, organic brain syndrome, and head injury resulting in loss of consciousness for 5 minutes or seizures. MDD participants had the same exclusion criteria with the exception of current depression.
Of the original 52 participants, data from 2 HC participants were excluded due to poor EEG data quality, leaving a final sample of 50 participants. Groups (HC = 28, MDD = 22) did not differ in terms of age (14.67±1.58 vs. 15.50±1.66 years; t(44.27) = −1.70, p = .10), race (χ2 (3) = 1.89, p = .60), or family income (χ2 (6) = 9.89, p = .13). As expected, self-report depressive symptom scores – assessed by the Beck Depression Inventory-II (Beck, Steer, & Brown, 1996) – between the healthy and depressed group were significantly different (2.39±3.26 vs. 30.55±9.73; t(48) = −14.36, p < .001), and in line with epidemiological data examining the course of depression in adolescents (Merikangas et al., 2010), 55% of the depressed sample (n = 12) reported recurrent episodes. The female participants endorsed the following races: 86.0% White, 8.0 % Asian, 4.0% multiple races, 2.0% not reported, and the income distribution included: 57.1% $100,000 or more, 10.2% $75,000–100,000, 14.3% $50,000–75,000, 4.1% $25,000–50,000, 2.0% $10,000–$25,000, and 2.0% less than $10,000. The ethnic and income distribution is in line with the demographics in the greater Boston area. Five depressed female participants were on antidepressant medication (selective serotonin reuptake inhibitors, SSRIs); because no differences emerged for medicated versus unmedicated adolescents, data were pooled together across all MDD participants for subsequent analyses. For the sample, there is 95% power to detect a moderate effect size (d = .70) when examining between-group interactions.
Procedure
The McLean Hospital IRB provided approval for the study, and the procedures were in accordance with American Psychological Association guidelines. Prior to data collection, assent was obtained from female adolescents ages 13–17 and consent was received from 18-year old female adolescents and parents. The study assessment spanned two days. On the first day, adolescents completed a semi-structured diagnostic interview to assess current and past DSM-IV Axis I psychopathology as well as self-report instruments assessing depressive symptoms and cognitive vulnerability. During the second day, electroencephalograph (EEG) sensors were attached to the participants while they completed an experimental task examining self-referential encoding (described below). The average length between the first and second assessment was 6.24 days, and there was no difference in days elapsed between healthy and depressed female participants (6.82±6.38 vs. 5.50±3.81; t(45.15) = 0.91, p = .37). Participants were remunerated $40 for their participation.
Instruments
The Schedule for Affective Disorders and Schizophrenia for School-Age Children – Present (K-SADS-PL; Kaufman et al., 1997)
The K-SADS-PL was utilized to assess current and past DSM-IV disorders among the adolescent participants, as it possesses excellent reliability and validity (Kaufman et al., 1997). Adolescents were administered the semi-structured clinical interview during the initial session, and 22/52 adolescents met diagnostic criteria for current major depressive disorder while 30/52 reported no current or past psychopathology. Graduate students and BA-level research assistants administered clinical interviews after receiving 40 hours of training (i.e., didactics, mock interviews, direct supervision), and all interviews were digitally recorded. The principal investigator (RPA) selected 20% of the interviews at random to assess inter-rater reliability, and the Cohen’s kappa coefficients for depressive disorders were excellent (κ = 1.00). Depressed female adolescents reported the following: (a) duration of current MDD episode (Mean = 11.65 weeks, SD = 12.99) and (b) estimated number of depressive episodes (Mean = 2.94, SD = 3.39).
Beck Depression Inventory-II (BDI-II; Beck, Steer, & Brown, 1996)
The BDI-II is a 21-question self-report instrument assessing depressive symptom severity over the past 2 weeks. Items on the BDI-II range from 0–3 with higher scores indicating higher levels of depressive symptoms, and cutoffs for the BDI-II include: (a) 0–13 – minimum depression, (b) 14–19 – mild depression, (c) 20–28 – moderate depression, (d) 29–63 – severe depression. In the current study, the Cronbach’s alpha for the BDI-II was .98 suggesting excellent internal consistency.
Children’s Response Style Questionnaire (CRSQ; Abela et al., 2007)
The CRSQ is a 25-item self-report instrument, which includes a rumination subscale (13 items). Rumination assesses an adolescents’ tendency to perseverate on their depressive mood, and scores on each item range from 1–4 (i.e., almost never – almost always) with higher scores reflecting a greater likelihood of engaging in a particular response style. Past research has found that the CRSQ is reliable and valid (Abela et al., 2007). In the current study, the Cronbach’s alpha for rumination was .95, highlighting excellent internal consistency.
Cognitive Triad Inventory for Children – Self (CTIC- Self; Kaslow, Stark, Printz, Livingston, & Tsai, 1992)
The CTIC is a 36-item self-report instrument, which assesses negative beliefs about the self, world, and future. For the current study, we focused on negative views of the self, which is reflected in a12-item subscale, and exemplar items include, “I am a failure; I can’t do anything right.” Respondents are instructed to answer either yes, no, or maybe (i.e., 1–3), and lower scores reflect more maladaptive views of the self. The Cronbach’s alpha for the CTIC-Self in the current sample was .94, which suggests strong internal consistency.
Children’s Depressive Experiences Questionnaire (CDEQ; Abela & Taylor, 2003)
The CDEQ is a 20-item measure that assesses dependency and self–criticism in youth, and the current study utilized the 10-item self-criticism subscale. For each item, participants respond to statements about themselves by endorsing: “not true for me,” “sort of true for me,” and “really true for me.” Higher scores are indicative of greater self-criticism, and past research has found that higher self-criticism scores prospectively predict adolescent depressive symptoms (Abela & Taylor, 2003). In the current study, the Cronbach’s alpha for self-criticism was .81 indicating strong internal consistency.
Experimental Task
The self-referential encoding task included 80 trials consisting of 40 positive and 40 negative words.1 Adjectives were selected from the Affective Norms for English Words based on criteria including valence, arousal, frequency, and length. Positive and negative stimuli were significantly different in the valence domain (t = −55.88, p < 0.001); however, there were no statistical differences in stimuli when comparing arousal (t = 0.68, p = 0.497), frequency (t = −1.64, p = 0.106), and length (t = −0.060, p = 0.952). Stimuli were pseudo-randomly presented, with no more than two words of the same valence repeated. In a given trial, the stimuli was presented for 200 ms, followed by a fixation cross (1800 ms), and then, the participant was presented with a question prompt, “Does this word describe you?” Participants responded by pressing ‘Yes’ or ‘No’ on a button box. Intertrial intervals were jittered between 1500 and 1700 ms. Participants completed three practice trials using affectively neutral words prior to the start of the task; data collection began when the participant signaled that they understood the instructions and were ready to begin. After completing the 80 trials, participants were asked to count backwards from 50 at a pace set by a flashing star on the computer screen. Upon completing this distractor task, participants were asked to recall as many words as they could that were presented during the task. Following the recall, participants were given a recognition task that included 160 words. Eighty of the words appeared in the task while 80 words were matched distractors (i.e., an additional 40 positive and 40 negative words).
EEG Recording, Data Reduction, Analysis
The EEG was recorded using a 128-channel HydroCel GSN Electrical Geodesics, Inc. (EGI) net. Continuous EEG data were sampled at 250 Hz (referenced to Cz), and EEG electrode impedances were kept below 75 kΩ. Analyses were performed using BrainVision Analyzer 2.04 software (Brain Products). EEG data were re-referenced to the average reference, and offline filters (0.1 – 30 Hz) were applied. An independent component analysis transform was conducted to identify and remove vertical and horizontal eye movement artifacts as well as eye blinks. For each trial, the EEG data were then segmented 200 ms before and 1200 ms after stimulus onset. Intervals for individual channels were rejected using a semiautomated procedure, using the following criteria: (a) a voltage step >50 μV between sample rates, (b) a voltage difference >300 μV within a trial, and (c) a maximum voltage difference of <0.50 μV within a 100-ms interval. Critically, all trials also were visually inspected for manual artifact rejection.
ERPs were computed time-locked to all available positive and negative words (i.e., irrespective of self-endorsement), whereby the average amplitude 200 ms prior to the stimulus served as a baseline, and extracted from sensor locations equivalent to selected electrodes in the 10/10 system. Scalp location and start/end of time windows of interest were consistent with past research using similar self-referential tasks. Specifically, the P1, P2, and early LPP components were calculated as the mean area across the average of electrode sites Pz, P1, PO3, POz, PO4, P2, for the following time window: (a) P1: 100–200 ms (Kissler et al., 2009), (b) P2: 200–300 ms (Ortigue et al., 2004), (c) early LPP: 400–600 ms (Friedman & Johnson, 2000). The late LPP was examined across the average of fronto-central midline electrode sites Fz, FCz, and Cz and operationalized as the average area in the 600–1200 ms post-stimulus time window (Cuthbert et al., 2000). All components were statistically evaluated using SPSS (version 20.0) General Linear Model software using the Greenhouse-Geisser correction, which also include eta-squared effect sizes (η2) where: (a) .02–.12 = small, (b) .13 – .25 = medium, and (c) ≥ .26 = large. Mean area measures were utilized as peak measures may be susceptible to noise (Luck, 2005).
Low-Resolution Electromagnetic Tomography
Low-resolution electromagnetic tomography (LORETA; Pascual-Marqui, Michel, & Lehmann, 1994) was utilized to estimate the intracerebral current density underlying scalp effects. Current density was computed as the linear weighted sum of the scalp electric potentials at each voxel (N = 2394; voxel resolution = 7 mm3) post-stimulus (P1 = 100–200 ms; early LPP = 400–600 ms; late LPP = 600–1200 ms). The LORETA solution space is limited to cortical gray matter and hippocampi, as defined by the MNI305 (Montreal Neurological Institute) template. For each participant, LORETA values were normalized to a total power of 1 and then log-transformed (log 10) before analyses. A p < .01 threshold with a minimum cluster size of 5 voxels was utilized to minimize Type II error.
Results
Behavioral Data
Behavioral SRET data are summarized in Table 1. Two-way mixed ANOVAs with Group (HC, MDD) and Condition (Positive Words, Negative Words) as factors were run for the following variables: endorsed, reaction time (i.e., endorsed words), recall, and recognition.
Table 1.
Self-Referential Encoding Data for Healthy and Depressed Adolescents
| Task | Healthy Control (n = 28) | MDD (n = 22) | ||
|---|---|---|---|---|
| Mean | SD | Mean | SD | |
| Endorsed | ||||
| Positive | 30.11 | 4.32 | 11.86 | 7.25 |
| Negative | 2.18 | 2.99 | 23.95 | 6.47 |
| Reaction Time | ||||
| Positive | 496.01 | 217.95 | 881.82 | 608.36 |
| Negative | 1119.90 | 1367.92 | 610.83 | 342.28 |
| Recall | ||||
| Positive | 9.37 | 2.88 | 7.00 | 3.07 |
| Negative | 7.63 | 3.20 | 8.05 | 3.51 |
| Recognition | ||||
| Positive | 36.46 | 3.75 | 32.55 | 6.38 |
| Negative | 33.54 | 4.50 | 35.18 | 3.47 |
Note. Reaction Time measured in ms.
Word Endorsement
When examining words endorsed, the Group x Condition interaction was significant (F(1,48) = 280.40, p < .001; η2 = .85) with depressed female adolescents endorsing more negative words and healthy youth endorsing more positive words (see Figure 1A). Between-subject comparisons indicated that, compared to healthy female adolescents, depressed youth endorsed fewer positive (p < .001; η2 = .72) and more negative words (p < .001; η2 = .84).
Figure 1. Self-Referential Encoding Task: Endorsed, Reaction Time, Recall, and Recognition.
Note. Self-referential encoding task data for HC (n = 28) and MDD (n = 22) pertaining to (A) words endorsed, (B) Reaction Time (ms) (HC=17; MDD=21); (C) Recall, and (D) Recognition; Data reflect between-group differences for *p < .05 and ***p < .001.
Reaction Time
Participants’ data were excluded from the two-way ANOVA analyses if they did not endorse any negative or positive words as being self-relevant (excluded data: HC = 11 – no endorsement of any negative words, MDD = 1 – no endorsement of positive words). The Group x Condition interaction for reaction time was also significant (F(1,36) = 8.10, p = .007; η2 = .18) (see Figure 1B). Relative to healthy female subjects, depressed females were slower on positive (p = .036; η2 = .12) but faster on negative words (p = .11; η2 = .07), although this latter difference did not reach statistical significance.
Free Recall
During the free recall portion of the task, the Group x Condition interaction was significant (F(1,47) = 7.37, p = .009; η2 = .14). Relative to healthy female adolescents, depressed females recalled significantly fewer positive words (p = .008; η2 = .14) but no group differences emerged with negative words (p = .68; η2 =.004) (see Figure 1C).
Recognition
The Group x Condition ANOVA revealed a significant interaction effect (F(1,48) = 16.19, p < .001; η2 = .25) (see Figure 1D). Relative to healthy female adolescents, depressed females recognized fewer positive words (p = .009; η2 = .13) but not negative words (p = .16; η2 = .04).
P1 and P2
The Group (HC, MDD) x Condition (Positive Words, Negative Words) ANOVA revealed a main effect of Group, with depressed female adolescents exhibiting greater P1 mean area relative to healthy female adolescents (F(1,48) = 12.40, p = .001; η2 = .21) (see Figure 2). Critically, and as hypothesized, this effect was qualified by a significant Group x Condition interaction (F(1,48) = 47.03, p < .001; η2 = .50). When examining the between-subject simple effects as a function of condition, no group differences emerged following the presentation of positive words (p = .85; η2 = .001); however, relative to healthy females, depressed females exhibited greater P1 activity to negative words (p < .001; η2 = .37). Across groups, greater mean P1 (averaged across electrode sites) amplitudes following negative words were associated with a more negative self-view (lower scores on the CTI-C Self = more maladaptive self-views; r = −.54, p < .001) (see Figure 3A); highlighting the specificity of this finding, there was no relationship between P1 amplitudes following positive words and self-view (r = .009, p = .95), and the two dependent correlations were significantly different (Z = −2.97, p = .003). Additionally, greater P1 following negative words (r = .35, p = .014) – but not positive words (r = −.08, p = .57) – was correlated with greater self-criticism, and the difference between these correlations also was significant (Z = 2.16, p = .03) (see Figure 3B). Conversely, after controlling for depressive symptoms, P1 activity following negative words was no longer associated with a maladaptive self-view (r = −.06, p = .67) or self-criticism (r = .08, p = .58).
Figure 2. P1, P2, and Early LPP Activity for Healthy (n = 28) and Depressed (n = 22) Female Adolescents in Response to Positive and Negative Words.
Note. P1 (100–200 ms), P2 (200–300 ms), and early LPP (400–600 ms) averaged across electrode sites Pz, POz, P1, P2, PO3, PO4 for: (A) Healthy (n = 28) and (B) Depressed (n = 22) Adolescents.
Figure 3. Associations among P1 Activity, Negative Self-View, and Self-Criticism Following Negative Words.
Note. Correlations for Negative Word Condition among (A) P1 Mean Area and Negative View of the Self (Lower Scores = More Maladaptive Views of the Self; r = −.54, p < .001); (B) P1 Mean Area and Self-Criticism (r = .35, p = .014).
In contrast to the P1 findings, no significant effects emerged for P2 amplitudes (Group x Condition: F(1,48) = 0.24, p = .63; η2 = .005; Group: F(1,48) = 0.70, p = .41; η2 = .014) (see Figure 2). An examination of the simple effects confirmed no between-group mean area differences for positive (p = .52; η2 = .009) or negative (p = .36; η2 = .017) words.
Late Positive Potential
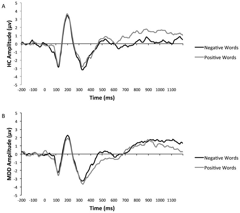
The early LPP mean area was examined from 400–600 ms post-stimulus in parietal-occipatal midline electrode sites. The Group (HC, MDD) x Condition (Positive Words, Negative Words) ANOVA did not yield a main effect of Group (F(1,48) = 0.003, p = .96; η2 = .001). However, in line with our hypothesis, there was a significant Group x Condition interaction (F(1,48) = 4.31, p = .043; η2 = .082) with depressed female adolescents exhibiting greater activity following negative versus positive words and healthy female adolescents demonstrating the opposite pattern (see Figure 2). An examination of the simple effects confirmed no between-group mean area differences for positive (p = .57; η2 = .007) or negative (p = .54; η2 = .008) words.2
The late LPP was examined along fronto-central midline electrode sites, and the two-way ANOVA indicated a significant Group x Condition interaction (F(1,48) = 9.208, p = .004; η2 = .16). Similar to the early effects, the late LPP results suggest that healthy female adolescents exhibited greater activity to positive relative to negative words, whereas depressed female adolescents displayed greater activity following negative words in comparison to positive stimuli (see Figure 4). Simple effects revealed that healthy female adolescents showed greater activity for positive versus negative words (p = .001; η2 = .22), but no significant differences emerged for depressed females (p = .42; η2 = .013). There were no between-group mean area differences for positive (p = .72; η2 = .003) or negative (p = .13; η2 = .047) words. Contrary to our hypotheses, correlational analyses revealed no significant associations for (a) the early LPP following negative words and rumination (r = .05, p = .73) or (b) the late LPP following negative words and rumination (r = .16, p = .26).
Figure 4. Late LPP Activity (600–1200 ms) for Healthy (n = 28) and Depressed (n = 22) Adolescents in Response to Positive and Negative Words.
Note. Late LPP (600–1200 ms post-stimulus) activity averaged across electrode sites Fz, FCz, Cz for (A) Healthy (n=28) and (B) MDD (n=22) adolescents.
LORETA: Between-Group Differences for the P1 and the late LPP
LORETA was utilized to probe group differences during the P1 and the LPP following negative words (Table 2). During the P1 time window, depressed adolescents, relative to healthy youth, exhibited less current density to negative words in the anterior cingulate (t(48) = −2.83, p = 0.007; t(34.70) = −2.70, p = 0.011), medial temporal gyrus (t(48) = −2.85, p = 0.006), inferior frontal gyrus (t(48) = −3.18, p = 0.003) (see Figures 5A/B). Interestingly, a more adaptive self-view correlated with greater current density within the anterior cingulate (r = .31, p = .033) and inferior frontal gyrus (r = .31, p = .028), and lower levels of self-criticism were associated with greater current density in the anterior cingulate (r = −.34, p = .017), medial temporal gyrus (r = −.33, p = .02), inferior frontal gyrus (r = −.38, p = .004). Conversely, compared to healthy participants, depressed adolescents exhibited greater current density in the right precentral gyrus (t(48) = 4.44, p < 0.001) (Figure 5C), and moreover, such activity was associated with a more maladaptive view of the self (i.e., lower scores = more maladaptive self-view; r = −.46, p = .001) and higher levels of self-criticism (r = .37, p = .009). After controlling for depressive symptoms, correlations between maladaptive self-view/self-criticism and current density in regions of interest were no longer significant (Ps = .11–.67).
Table 2.
Summary of Significant Results Emerging from LORETA Whole-Brain Analyses Following Negative Words during the P1 and Late Positive Potential
| Region | Brodmann Areas | Time Frame Post-stimulus | MNI Coordinates | Voxels | t-value | ||
|---|---|---|---|---|---|---|---|
| X | Y | Z | |||||
| Anterior Cingulate | 25 | 100 – 200 ms | 11 | 17 | −13 | 6 | −2.847 |
| Inferior Frontal Gyrus | 47 | 100 – 200 ms | 25 | 17 | −20 | 10 | −3.346 |
| Medial Temporal Gyrus | 28 | 100 – 200 ms | −24 | 10 | −34 | 10 | −3.119 |
| Precentral Gyrus | 4 | 100 – 200 ms | 46 | −32 | 43 | 17 | 4.084 |
| Middle Temporal Gyrus | 21 | 400 – 600 ms | −66 | −32 | −6 | 7 | −3.121 |
| Inferior Frontal Gyrus | 47 | 400 – 600 ms | 18 | 10 | −20 | 6 | −2.948 |
Note. Negative t-values reflect reduced current density in depressed (n = 22) relative to healthy (n = 28) female adolescents in contiguous voxels thresholded at p < .01; X = left (−) to right (+); Y = posterior (−) to anterior (+); Z = inferior (−) to superior (+).
Figure 5. LORETA Contrasts for Healthy (n = 28) versus Depressed (n = 22) Adolescents Following Negative Words.
Note. Results of independent t-tests contrasting current density for healthy versus depressed adolescents following negative words in the Self-Referential Encoding Task (Blue: HC > MDD; Red: MDD > HC). Statistical maps are thresholded at p < .01 (minimum cluster size: 5 voxels) displayed on the MNI template: (A) Medial Temporal Gyrus (100 – 200 ms poststimulus), (B) Inferior Frontal Gyrus (100 – 200 ms poststimulus), (C) Precentral Gyrus (100 – 200 ms poststimulus), (D) Inferior Frontal Gyrus and Middle Temporal Gyrus (400 – 600 ms poststimulus).
With respect to the early LPP (400–600 ms post-stimulus), current density in the middle temporal gyrus (t(48) = −3.12, p = 0.003) and inferior frontal gyrus (t(48) = −2.80, p = 0.007) was significantly reduced in depressed versus healthy adolescents following negative words (Figure 5D). Further, greater rumination was associated with lower current density in the middle temporal gyrus (r = −.32, p = .025) but not inferior temporal gyrus (r = −.19, p = .193). Of note, after controlling for depressive symptoms, the medial temporal gyrus-rumination association was no longer significant (r = −.125, p = .39). When using a p < .01 threshold with a minimum cluster size of 5 voxels, no whole-brain differences emerged for the late LPP.
Discussion
Female adolescents have an elevated risk to develop depression, and thus research is warranted to better understand pathophysiological mechanisms that may contribute to this debilitating disorder. The main goals of the current study were to leverage ERPs to examine the time course of processes associated with self-referential processing in depressed female adolescents, and additionally, to determine whether neural indices related to maladaptive cognitive processes. Results indicated that depressed female youth endorsed, recalled, and recognized more negative words whereas healthy female youth exhibited a greater tendency to endorse, recall, and recognize positive words. With respect to the early ERP components, we found P1, but not P2, differences, with depressed female adolescents showing greater activity for negative words and healthy participants exhibiting greater activity for positive words. Similarly, the early and late LPP showed greater sustained activity for negative versus positive words among depressed female adolescents, whereas healthy females demonstrated the opposite trend (i.e., greater activity for positive than negative words). Finally, LORETA analyses suggested that between-group differences in P1 and early LPP scalp activity following negative words may stem, in part, from frontolimbic circuitry dysfunction in depressed adolescents. As a whole, these findings shed important light on cognitive-affective processes that may contribute to our understanding of depression in female adolescents.
Early and Late Cognitive-Affective Processes
Scalp-recorded ERPs, which provide excellent temporal resolution, allowed us to identify putative cognitive-affective mechanisms that may contribute to depression in adolescents. In this context, results of the current study indicate that negative referential biases are evident already during the P1 time window (i.e., 100–200 ms post-stimulus), as depressed female adolescents showed greater activity for negative versus positive words relative to healthy participants, and effect size that was large. Greater P1 positivity is further supported by behavioral findings with medium to large effect sizes, which indicated that depressed female adolescents endorsed, recalled, and recognized more negative words when completing the self-referential encoding task whereas healthy female youth exhibited the opposite pattern. Interestingly, the behavioral data (i.e., recall and recognition) revealed group differences for positive words, whereas the P1 effects highlighted group differences for negative words. Thus, relative to healthy female adolescents, depressed females recalled and recognized fewer positive words but showed greater P1 responses for negative words. At first blush, these findings may seem inconsistent; however, it is likely that these results reflect different aspects of cognitive-affective and information processing. In particular, the P1, which occurs 100–200 ms poststimulus, has been associated with early emotional encoding within parietal-occipital regions whereas the LPP, which is initially maximal over parietal regions and propagates to frontal areas in later phases, indices more sustained processing (e.g., effortful retrieval) that relate to recall and recognition. Thus, whereas the behavioral and LPP findings converge in highlighting a blunting in effortful processing (including recall and recognition) of positive words, the temporal resolution of ERPs allowed us to identify additional, early (likely automatic) potentiation of encoding of negative cues.
Further, greater P1 positivity following negative words was associated with more maladaptive self-views and self-criticism. However, when controlling for depressive symptoms, these associations were no longer significant, suggesting that other factors (e.g., negative affect) may account for the relationship between ERP effects and cognitive processes. It will be important in future studies to determine whether negative affect exerts a state-based influence, which may provide important insight into whether affective processes underlie the relationship between ERP components and depressogenic cognitive vulnerability factors. Taken together, these findings strongly support that depressed female youth engage in automated lexical processing of depressogenic content – particularly self-relevant information – which may serve to reinforce and intensify their depressive symptoms.
Surprisingly, we did not find P2 differences among depressed and healthy adolescents. Although Shestyuk and Deldin (2010) showed greater P2 amplitude differences when comparing healthy and depressed adults, they did not show P1 differences. One possibility may be that there are age-related differences in neural activity pertaining to encoding and retrieval of information, particularly in parietal regions that lead to older individuals exhibiting a slowdown of neural circuitry (e.g., Cabeza et al., 1997). These developmental differences may influence how quickly emotionally-salient information elicits ERPs. At the same time, this null finding was unexpected, and thus, replication is warranted.
Critically, when presented with negative self-referential words, depressed participants showed greater early LPP activity following negative relative to positive words over parietal-occipital regions (small effect size) as well as a similar effect for late LPP activity over fronto-central regions (medium effect size). Importantly, the early LPP was maximal over parietal-occipital regions; however, in line with past research examining self-referential biases in depressed adults (Deldin et al., 2001; Shestyuk & Deldin, 2010) as well as prior neuroimaging research indicating that self-referential processing biases in depressed adults are associated with deficits within the prefrontal cortex (Lemogne et al., 2010), we investigated propagated effects over frontocentral areas (see Deldin et al., 2001; Shestyuk & Deldin, 2010). Such sustained engagement to negative versus positive self-referential information reflects the complex interplay between attention and emotion, which stems, in part, from the ongoing activation of multiple brain regions (e.g., parietal, frontal) (see Hajcak, Weinberg, MacNamara, & Foti, 2012). Taken together, these findings suggest that depressed female adolescents may be differentially attending to negative self-referent information, which may, over time, contribute to the maintenance of their depressive symptoms as more negative information may be encoded and potentially, retrieved. Nevertheless, the LPP may also be susceptible to change as prior research has demonstrated that psychotherapeutic skills such as cognitive reappraisal can reduce the LPP following emotional images among healthy controls (Hajcak, Moser, & Simons, 2006). Although untested in depressed adolescents, this remains a promising avenue for future research.
Source Localization Findings
Whole-brain analyses following negative words during the P1 and early LPP highlighted differential activity among healthy and depressed female adolescents. Specifically, across the P1 and early LPP, there was reduced inferior frontal gyrus activity in the depressed versus the healthy female adolescents, which is consistent with research probing attention and cognitive control in depressed adolescents (Halari et al., 2009). In addition to the inferior frontal gyrus, reduced current density emerged in depressed female adolescents within anterior cingulate and medial temporal gyrus; these findings raise the possibility that depressed individuals under-recruit frontolimbic circuitry and cognitive control to modulate arousal to negative stimuli (see review Seminowicz et al., 2004). By contrast, depressed individuals exhibited greater current density in the precentral gyrus, which may be an important area of inquiry for future research. For example, in a sample of depressed adults receiving behavioral activation, treatment responders exhibited a decrease in precentral gyrus activation, which may be a promising clinical target for future intervention development (Dichter et al., 2009). Collectively, whole-brain analyses suggest that negative stimuli elicits different patterns of cortical activation in MDD, which is consistent with prevailing models of depression in adults that underscore the importance of interrogating related neural networks (Mayberg, 1997).
Limitations
While the current study has several strengths, it is important to highlight limitations. First, in order to reduce heterogeneity within our sample, we only assessed female adolescents. Important developmental and neural differences may prevent the extension of these results to male adolescents. Additionally, similar to the demographic distribution of the greater Boston area, the sample was primarily Caucasian, and thus, additional research is needed to ensure generalizability to more ethnically diverse populations. Second, the self-referential task is a valuable tool to elicit early and late components associated with depression; however, it did not allow us to explicitly examine endorsed versus non-endorsed words between groups. In particular, healthy adolescents endorse comparatively few negative words as being self-relevant, and similarly, depressed youth endorse fewer positive words as being self-relevant (see Table 1). This prevented us from computing ERPs only in response to words endorsed as being self-relevant. Additionally, the version of the SRET utilized in this study did not include neutral words. Although this is consistent with other studies using this paradigm (e.g., Shestyuk & Deldin, 2010), inclusion of a neutral valence may provide important contextual information when interpreting ERP data. Third, in the current study, 5/22 depressed adolescents were taking SSRI medication. Although there were no differences between medicated and unmedicated depressed female adolescents in terms of symptoms or ERP components, it remains possible that medication could impact our findings as well as the generalizability of these results. Fourth, we did not to control for age as a means of maintaining adequate power to detect between-group differences. Nevertheless, there are considerable developmental considerations that should be considered. For example, the ANEW lists do not provide reading levels for the words, and consequently, it is possible that comprehension of words may vary as a function of age. Additionally, pubertal status and neural development vary significantly from early to late adolescence, and thus, these issues should be considered in future studies using larger samples. Last, as the study is cross-sectional, we cannot ascertain whether the between-group differences are a cause or effect of depression, and consequently, we cannot determine the influence of self-referential processing biases (and associated neural dysfunction) on the onset or maintenance of depressive symptoms. To address this critical gap, future research should examine whether cognitive-affective and frontolimbic deficits contribute to the onset and course of symptoms among adolescents.
Clinical Implications and Future Directions
The NIMH has delineated a programmatic mission to identify promising brain-behavior targets that may guide early prevention and intervention efforts. Findings from the current study suggest that negative self-referential information was associated with group differences in both parietal-occipital and fronto-central cortical regions. Presently, CBT is the gold standard of psychotherapeutic treatment for depressed adolescents; however, the processes that drive CBT efficacy remain unclear (Webb, Auerbach, & Derubeis, 2012). One possibility is that relatively early cognitive-affective processes (e.g., the P1) would remain the same after treatment, whereas sustained, slow-wave components associated with encoding of self-relevant information, may be more susceptible to change in the context of psychotherapy. If we are able to identify the explicit mechanisms that are modulated in treatment, we could potentially develop adjunctive behavioral or computer-based exercises to “retrain the brain,” which may improve the efficacy of CBT (for example see Auerbach, Admon, & Pizzagalli, 2014). However, before developing these adjunctive treatments, future research must determine whether neural mechanisms implicated in treatment improve during the course of CBT. In doing so, such research would provide clear brain-behavior targets and advance our understanding of the neurocognitive mechanisms that underlie depression in adolescents.
Acknowledgments
Randy P. Auerbach was partially supported through funding from: NIMH K23MH097786, the Kaplen Fellowship on Depression awarded by Harvard Medical School, the Klingenstein Third Generation Foundation Adolescent Depression Fellowship, and the Tommy Fuss Fund. Diego A. Pizzagalli was partially supported through NIMH R01MH68376 and R01MH101521 grants.
Over the past three years, Dr. Pizzagalli has received consulting fees from ANT North America Inc. (Advanced Neuro Technology), AstraZeneca, Pfizer and Servier for activities unrelated to the current research.
Footnotes
The following positive (n = 40) and negative (n = 40) words were included in the self-referential encoding task (alphabetical order): admired, adorable, afraid, alive, alone, angry, anguished, beautiful, bold, bored, bright, brutal, burdened, capable, carefree, confident, cruel, crushed, cute, defeated, depressed, devoted, dignified, disgusted, disloyal, displeased, distressed, dreadful, elated, engaged, famous, fearful, festive, friendly, frustrated, gentle, grateful, guilty, happy, helpless, honest, hopeful, hostile, insane, insecure, inspired, jolly, joyful, lively, lonely, lost, loyal, lucky, masterful, morbid, obnoxious, outstanding, proud, rejected, rude, satisfied, scared, shamed, silly, sinful, stupid, surprised, terrible, terrific, terrified, thoughtful, troubled, unhappy, untroubled, upset, useful, useless, vigorous, violent, wise.
Exploratory analyses examined whether the P1 and early LPP effects within the parietal-occipital region were more prominent along the left hemisphere, right hemisphere, or midline. For the P1 ANOVA, neither the Group (HC, MDD) x Laterality (Left hemisphere, Right Hemisphere, Midline) interaction (F(2,47) = 0.551, p = .56; η2 = .01) nor the Condition (Positive Words, Negative Words) x Laterality interaction (F(2,47) = 0.192, p = .77; η2 = .004) were significant. Similarly, when examining the early LPP, the Group x Laterality interaction (F(2,47) = 0.052, p = .47; η2 = .015) and the Condition (Positive Words, Negative Words) x Laterality interaction (F(2,47) = 0.741, p = .77; η2 = .004) were not significant.
References
- Abela JRZ, Aydin CM, Auerbach RP. Responses to depression in children: reconceptualizing the relation among response styles. Journal of Abnormal Child Psychology. 2007;35(6):913–927. doi: 10.1007/s10802-007-9143-2. [DOI] [PubMed] [Google Scholar]
- Abela JRZ, Hankin BL. Cognitive vulnerability to depression in children and adolescents: A developmental psychopathology perspective. In: Abela JRZ, Hankin BL, editors. Handbook of Depression in Children and Adolescents. New York, NY: Guilford Press; 2008. pp. 35–78. [Google Scholar]
- Abela JRZ, Taylor G. Specific vulnerability to depressive mood reactions in schoolchildren: the moderating role of self-esteem. Journal of Clinical Child and Adolescent Psychology. 2003;32:408–418. doi: 10.1207/S15374424JCCP3203_09. [DOI] [PubMed] [Google Scholar]
- Auerbach RP, Admon R, Pizzagalli DA. Adolescent Depression: Stress and Reward Dysfunction. Harvard Review of Psychiatry. 2014;22(3):139–148. doi: 10.1097/HRP.0000000000000034. [DOI] [PMC free article] [PubMed] [Google Scholar]
- Auerbach RP, Ho MH. A cognitive-interpersonal model of adolescent depression: the impact of family conflict and depressogenic cognitive styles. Journal of Clinical Child and Adolescent Psychology. 2012;41(6):792–802. doi: 10.1080/15374416.2012.727760. [DOI] [PubMed] [Google Scholar]
- Auerbach RP, Ho MH, Kim JC. Identifying Cognitive and Interpersonal Predictors of Adolescent Depression. Journal of Abnormal Child Psychology. 2014;42:913–924. doi: 10.1007/s10802-013-9845-6. [DOI] [PMC free article] [PubMed] [Google Scholar]
- Auerbach RP, Tsai B, Abela JR. Temporal relationships among depressive symptoms, risky behavior engagement, perceived control, and gender in a sample of adolescents. Journal of Research on Adolescence. 2010;20(3):726–747. [Google Scholar]
- Avenevoli S, Knight E, Kessler RC, Merikangas KR. Epidemiology of depression in children and adolescents. In: Abela JRZ, Hankin BL, editors. Handbook of Depression in Children and Adolescents. New York, NY: Guilford Press; 2008. pp. 6–32. [Google Scholar]
- Beck AT, Steer RA, Brown GK. Beck Depression Inventory Manual. 2 1996. [Google Scholar]
- Cabeza R, Grady CL, Nyberg L, McIntosh AR, Tulving E, Kapur S, Craik FI. Age-related differences in neural activity during memory encoding and retrieval: a positron emission tomography study. The Journal of Neuroscience. 1997;17(1):391–400. doi: 10.1523/JNEUROSCI.17-01-00391.1997. [DOI] [PMC free article] [PubMed] [Google Scholar]
- Cuthbert BN, Schupp HT, Bradley MM, Birbaumer N, Lang PJ. Brain potentials in affective picture processing: covariation with autonomic arousal and affective report. Biological Psychology. 2000;52(2):95–111. doi: 10.1016/s0301-0511(99)00044-7. [DOI] [PubMed] [Google Scholar]
- Deldin PJ, Deveney CM, Kim AS, Casas BR, Best JL. A slow wave investigation of working memory biases in mood disorders. Journal of Abnormal Psychology. 2001;110(2):267–281. doi: 10.1037//0021-843x.110.2.267. [DOI] [PubMed] [Google Scholar]
- Dichter GS, Felder JN, Petty C, Bizzell J, Ernst M, Smoski MJ. The effects of psychotherapy on neural responses to rewards in major depression. Biological Psychiatry. 2009;66(9):886–897. doi: 10.1016/j.biopsych.2009.06.021. [DOI] [PMC free article] [PubMed] [Google Scholar]
- Fischler I, Bradley M. Event-related potential studies of language and emotion: words, phrases, and task effects. Progress in Brain Research. 2006;156:185–203. doi: 10.1016/S0079-6123(06)56009-1. [DOI] [PubMed] [Google Scholar]
- Flor H, Knost B, Birbaumer N. Processing of pain- and body-related verbal material in chronic pain patients: central and peripheral correlates. Pain. 1997;73(3):413–421. doi: 10.1016/S0304-3959(97)00137-1. [DOI] [PubMed] [Google Scholar]
- Foti D, Hajcak G, Dien J. Differentiating neural responses to emotional pictures: evidence from temporal-spatial PCA. Psychophysiology. 2009;46(3):521–530. doi: 10.1111/j.1469-8986.2009.00796.x. [DOI] [PubMed] [Google Scholar]
- Friedman D, Johnson R. Event-related potential (ERP) studies of memory encoding and retrieval: A selective review. Microscopy Research and Technique. 2000;51(1):6–28. doi: 10.1002/1097-0029(20001001)51:1<6::AID-JEMT2>3.0.CO;2-R. [DOI] [PubMed] [Google Scholar]
- Greden JF. The burden of recurrent depression: causes, consequences, and future prospects. Journal of Clinical Psychiatry. 2001;62:5–9. [PubMed] [Google Scholar]
- Hajcak G, Moser J, Simons R. Attending to affect: Appraisal strategies modulate the electrocortical response to arousing pictures. Emotion. 2006;6(3):517–522. doi: 10.1037/1528-3542.6.3.517. [DOI] [PubMed] [Google Scholar]
- Hajcak G, Weinberg A, MacNamara A, Foti D. ERPs and the Study of Emotion. In: Luck S, Kappenman E, editors. Handbook of Event-Related Potential Components. New York: Oxford University Press; 2012. [Google Scholar]
- Halari R, Simic M, Pariante CM, Papadopoulos A, Cleare A, Brammer M, Rubia K. Reduced activation in lateral prefrontal cortex and anterior cingulate during attention and cognitive control functions in medication-naïve adolescents with depression compared to controls. Journal of Child Psychology and Psychiatry. 2009;50:307–316. doi: 10.1111/j.1469-7610.2008.01972.x. [DOI] [PubMed] [Google Scholar]
- Hankin BL, Abramson LY, Moffitt TE, Silva PA, McGee R, Angell KE. Development of depression from preadolescence to young adulthood: emerging gender differences in a 10-year longitudinal study. Journal of Abnormal Psychology. 1998;107:128. doi: 10.1037//0021-843x.107.1.128. [DOI] [PubMed] [Google Scholar]
- Hankin BL. Cognitive vulnerability–stress model of depression during adolescence: Investigating depressive symptom specificity in a multi-wave prospective study. Journal of Abnormal Child Psychology. 2008;36(7):999–1014. doi: 10.1007/s10802-008-9228-6. [DOI] [PMC free article] [PubMed] [Google Scholar]
- Herbert C, Junghofer M, Kissler J. Event related potentials to emotional adjectives during reading. Psychophysiology. 2008;45(3):487–498. doi: 10.1111/j.1469-8986.2007.00638.x. [DOI] [PubMed] [Google Scholar]
- Kanske P, Kotz SA. Concreteness in emotional words: ERP evidence from a hemifield study. Brain Res. 2007;1148:138–148. doi: 10.1016/j.brainres.2007.02.044. [DOI] [PubMed] [Google Scholar]
- Kaslow NJ, Stark KD, Printz B, Livingston R, Tsai S. Cognitive triad inventory for children: Development and relation to depression and anxiety. Journal of Clinical Child and Adolescent Psychology. 1992;21(4):339–347. [Google Scholar]
- Kaufman J, Birmaher B, Brent D, Rao U, Flynn C, Moreci P, Ryan N. Schedule for Affective Disorders and Schizophrenia for School-Age Children-Present and Lifetime Version (K-SADS-PL): initial reliability and validity data. Journal of the American Academy of Child and Adolescent Psychiatry. 1997;36(7):980–988. doi: 10.1097/00004583-199707000-00021. [DOI] [PubMed] [Google Scholar]
- Kissler J, Herbert C, Peyk P, Junghofer M. Buzzwords: early cortical responses to emotional words during reading. Psychological Science. 2007;18(6):475–480. doi: 10.1111/j.1467-9280.2007.01924.x. [DOI] [PubMed] [Google Scholar]
- Kissler J, Herbert C, Winkler I, Junghofer M. Emotion and attention in visual word processing: an ERP study. Biological Psychology. 2009;80(1):75–83. doi: 10.1016/j.biopsycho.2008.03.004. [DOI] [PubMed] [Google Scholar]
- Knost B, Flor H, Braun C, Birbaumer N. Cerebral processing of words and the development of chronic pain. Psychophysiology. 1997;34(4):474–481. doi: 10.1111/j.1469-8986.1997.tb02392.x. [DOI] [PubMed] [Google Scholar]
- Lemogne C, Mayberg H, Bergouignan L, Volle E, Delaveau P, Lehéricy S, Fossati P. Self-referential processing and the prefrontal cortex over the course of depression: A pilot study. Journal of Affective Disorders. 2010;124(1):196–201. doi: 10.1016/j.jad.2009.11.003. [DOI] [PubMed] [Google Scholar]
- Luck S. An Introduction to the Event-Related Potential Technique (Cognitive Neuroscience): A Bradford Book. 2005. [Google Scholar]
- Merikangas KR, He J-p, Burstein M, Swanson SA, Avenevoli S, Cui L, Swendsen J. Lifetime Prevalence of Mental Disorders in U.S. Adolescents: Results from the National Comorbidity Survey Replication‚Adolescent Supplement (NCS-A) Journal of the American Academy of Child & Adolescent Psychiatry. 2010;49(10):980–989. doi: 10.1016/j.jaac.2010.05.017. [DOI] [PMC free article] [PubMed] [Google Scholar]
- Naumann E, Bartussek D, Diedrich O, Laufer ME. Assessing cognitive and affective information processing functions of the brain by means of the late positive complex of the event-related potential. Journal of Psychophysiology. 1992;6(4):285–298. [Google Scholar]
- Nock MK, Green JG, Hwang I, McLaughlin KA, Sampson NA, Zaslavsky AM, Kessler RC. Prevalence, correlates, and treatment of lifetime suicidal behavior among adolescents: results from the National Comorbidity Survey Replication Adolescent Supplement. JAMA Psychiatry. 2013;70(3):300–310. doi: 10.1001/2013.jamapsychiatry.55. [DOI] [PMC free article] [PubMed] [Google Scholar]
- Ortigue S, Michel CM, Murray MM, Mohr C, Carbonnel S, Landis T. Electrical neuroimaging reveals early generator modulation to emotional words. NeuroImage. 2004;21(4):1242–1251. doi: 10.1016/j.neuroimage.2003.11.007. [DOI] [PubMed] [Google Scholar]
- Pascual-Marqui RD, Michel CM, Lehmann D. Low resolution electromagnetic tomography: a new method for localizing electrical activity in the brain. International Journal of Psychophysioly. 1994;18(1):49–65. doi: 10.1016/0167-8760(84)90014-x. [DOI] [PubMed] [Google Scholar]
- Pollatos O, Kirsch W, Schandry R. On the relationship between interoceptive awareness, emotional experience, and brain processes. Brain Research Cognitive Brain Research. 2005;25(3):948–962. doi: 10.1016/j.cogbrainres.2005.09.019. [DOI] [PubMed] [Google Scholar]
- Rosler F, Heil M, Roder B. Slow negative brain potentials as reflections of specific modular resources of cognition. Biological Psychology. 1997;45(1–3):109–141. doi: 10.1016/s0301-0511(96)05225-8. [DOI] [PubMed] [Google Scholar]
- Ruchkin DS, Johnson R, Jr, Mahaffey D, Sutton S. Toward a functional categorization of slow waves. Psychophysiology. 1988;25(3):339–353. doi: 10.1111/j.1469-8986.1988.tb01253.x. [DOI] [PubMed] [Google Scholar]
- Rudolph KD. Adolescent Depression. In: Gotlib Ian H, Hammen Constance L., editors. Handbook of Depression. New York: Guilford Press; 2009. pp. 444–466. [Google Scholar]
- Scott GG, O’Donnell PJ, Leuthold H, Sereno SC. Early emotion word processing: evidence from event-related potentials. Biological Psychology. 2009;80(1):95–104. doi: 10.1016/j.biopsycho.2008.03.010. [DOI] [PubMed] [Google Scholar]
- Shestyuk AY, Deldin PJ. Automatic and strategic representation of the self in major depression: trait and state abnormalities. The American Journal of Psychiatry. 2010;167(5):536–544. doi: 10.1176/appi.ajp.2009.06091444. [DOI] [PubMed] [Google Scholar]
- Seminowicz DA, Mayberg HS, McIntosh AR, Goldapple K, Kennedy S, Segal Z, Rafi-Tari S. Limbic–frontal circuitry in major depression: a path modeling metanalysis. Neuroimage. 2004;22(1):409–418. doi: 10.1016/j.neuroimage.2004.01.015. [DOI] [PubMed] [Google Scholar]
- Webb CA, Auerbach RP, Derubeis RJ. Processes of change in CBT of adolescent depression: review and recommendations. Journal of Clinical Child and Adolescent Psychology. 2012;41(5):654–665. doi: 10.1080/15374416.2012.704842. [DOI] [PubMed] [Google Scholar]
- West WC, Holcomb PJ. Imaginal, semantic, and surface-level processing of concrete and abstract words: an electrophysiological investigation. Journal of Cognitive Neuroscience. 2000;12(6):1024–1037. doi: 10.1162/08989290051137558. [DOI] [PubMed] [Google Scholar]
- Yoshimura S, Ueda K, Suzuki SI, Onoda K, Okamoto Y, Yamawaki S. Self-referential processing of negative stimuli within the ventral anterior cingulate gyrus and right amygdala. Brain and Cognition. 2009;69(1):218–225. doi: 10.1016/j.bandc.2008.07.010. [DOI] [PubMed] [Google Scholar]





