Abstract
Objectives
We examine whether anticipated guilt for substance use is a gendered mechanism underlying the noted enhancement effect of gang membership on illegal drug use. We also demonstrate a method for making stronger causal inferences when assessing mediation in the presence of moderation and time-varying confounding.
Methods
We estimate a series of inverse propensity weighted models to obtain unbiased estimates of mediation in the presence of confounding of the exposure (i.e., gang membership) and mediator (i.e., anticipated guilt) using three waves of data from a multi-site panel study of a law-related education program for youth (N=1,113).
Results
The onset of gang membership significantly decreased anticipated substance use guilt among both male and female respondents. This reduction was significantly associated with increased frequency of substance use only for female respondents, however, suggesting that gender moderates the mechanism through which gang membership influences substance use.
Conclusions
Criminologists are often concerned with identifying causal pathways for antisocial and/or delinquent behavior, but confounders of the exposure, mediator, and outcome often interfere with efforts to assess mediation. Many new approaches have been proposed for strengthening causal inference for mediation effects. After controlling for confounding using inverse propensity weighting, our results suggest that interventions aimed at reducing substance use by current and former female gang members should focus on the normative aspects of these behaviors.
Keywords: Gangs, inverse propensity weighting, causal mediation, gender moderation, substance use, guilt
Over the past four decades criminologists have paid increasing attention to female criminality and the potential for gendered causal pathways to offending (Daly 1998; Steffensmeier and Allan 1996). One particular arena for research on the role of gender in the genesis of delinquent and criminal behavior is youth gangs. While much of the research on youth gangs in the early and mid-1900s focused on male gang members, female gang involvement has drawn the attention of researchers at a growing rate over the last 40 years (e.g., Campbell 1984; Bjerregaard and Smith 1993; Esbensen and Deschenes 1998; Esbensen, Deschenes, and Winfree 1999; Miller 2001; Petersen and Howell 2013). Much of this research on the potential for gender to influence the gang experience has focused on risk factors and motivations for involvement in these groups as well as the resulting effect it has on delinquent behavior (e.g., violence, drug use). Interestingly, this body of work has found a high degree of overlap between males and females in these respects (for a review see Peterson and Panfil 2014). As Kruttschnitt (2013: 301) concluded, “there is growing evidence that many of the central theoretical correlates of crime are gender invariant but that the mediators of these experiences…may not be.” That is, while gangs enhance deviant behavior for both males and females, the mechanisms underlying these changes in behavior may be gendered.
One area of research on the potentially gendered mechanisms of action emanating from the gang experience is the role of emotions in regulating behavior (Kruttschnitt, 2013). In particular, research suggests the role of anticipated guilt in regulating deviant behavior operates differently for males and females (Baumeister et al. 1994; Benetti-McQuoid and Bursik 2005). We draw upon extant theory and research on gender and emotional development in conjunction with Wikstrom's (2006) situated action theory to test whether or not the causal pathway between gang membership and enhanced substance use (Bjerregaard, 2010; Gordon et al., 2004) is indeed moderated by gender. We focus on substance use as an outcome given evidence that such behavior may be a particularly salient causal pathway for serious offending for females (Daly 1992; but see Kruttschnett 2013).
Even though criminologists often seek to understand whether, how, and why specific treatments or exposures1 produce psychological and/or behavioral change, unbiased estimation of the influence of mediators (i.e., intermediate variables) on outcomes of interest (e.g., crime, delinquency, substance use) is often impossible due to the realities of such research, including the non-random selection of individuals to the exposure status and levels of the mediator(s), and the resulting reliance on observed data. Thus, a second aim of our paper is to demonstrate a recently developed statistical approach for estimating moderated mediation effects in the presence of a non-randomized exposure and mediator (Coffman and Zhong 2012). This approach helps to overcome many problems associated with mediation analyses using observed data, which we discuss in greater detail below. Specifically, we use longitudinal panel data from a multi-site evaluation of a school-based, law-related education program to 1) estimate whether the impact of gang membership on drug use frequency operates through changes in anticipated guilt for involvement in substance use; and 2) whether this potential mechanism of action is moderated by gender.
This paper is organized as follows. First, we introduce the motivating example, including the theoretical and empirical basis for the moderated mediation model. Next, we discuss the challenges of causal inference in the context of mediation. We then introduce the potential outcomes framework for defining mediation effects using marginal structural models (MSMs; Robins et al. 2000) and the estimation approach using inverse propensity (IP) weighting. Finally, we return to the motivating example to demonstrate implementation of the approach and discuss the results and limitations.
Understanding the Enhancement Effect of Gang Membership
Criminological research suggests a strong and robust positive association between gang membership and involvement in crime, delinquency, and drug use (for a review see Decker et al. 2013). Due to the disproportionate selection of high risk youth into gangs, recent research has investigated the role of gang membership on delinquency using propensity score methods based on the potential outcomes framework (e.g., Haviland et al. 2007; Melde and Esbensen 2011). This research indicates that gang membership has a persistent effect on delinquency after controlling for sources of selection, suggesting that the gang experience leads to increased deviant behavior above that which would have been expected absent this exposure.
As has been noted elsewhere, nothing about gang membership itself necessitates increased involvement in delinquency and drug use (Melde and Esbensen, 2014; Papachristos, 2009). Simply calling oneself a gang member or associating with gang members does not make one consume illegal substances, burglarize a home, or rob a fellow student. These individuals must make a conscious decision to engage in these behaviors, and gang membership appears to influence these choices. This suggests that gang membership may influence internal mechanisms of control related to deviance in a way that frees individuals to engage in these proscribed behaviors. Elucidating the mechanisms through which gang membership influences adherence to moral standards, therefore, is of particular importance.
Situational action theory of crime causation (SAT), as proposed by Wikstrom (2006), is based upon the notion that acts of crime and delinquency are, at their core, acts of moral rule breaking (see also Wikstrom, 2010). A fundamental determinant of criminal propensity according to SAT is moral emotions, which serve to guide behavior. Guilt, which is considered a self-conscious, moral emotion (Tracy and Robins 2007), is a strong predictor of many antisocial behaviors (Baumeister et al. 2007; Stuewig and McCloskey 2005; Svensson et al., 2013; Tibbetts, 2003), including illegal substance use (see, e.g., Dearing et al. 2005; Quiles et al. 2002). As a self-conscious emotion, guilt is influenced by social and environmental conditions, which has led researchers to call for research on how developmental risk factors (e.g., delinquent peers) impact this internal mechanism of control, and ultimately involvement in risky behavior (Kruttschnitt, 2013; Stuewig and Tangney 2007). For example, Stuewig and Tangney (2007: 381) suggested that guilt may be an important “mechanism of action” connecting local life circumstances to antisocial behavior. According to SAT, gang membership is a “cause of the cause” (Wikstrom, 2010; 211) of crime and delinquency, as the gang environment tends to reshape the moral context in which individuals are situated, leading to a potential discontinuity in their moral development as deviant behaviors take on a more normative meaning.
Research by Matsuda et al. (2013) and Melde and Esbensen (2011; 2013) suggested that the onset of gang membership was, indeed, associated with a significant decline in anticipated guilt for involvement in delinquent acts, and this decrease in guilt partially explained the resultant increase in delinquency and violence. These results suggest there are systematic changes in anticipated guilt as youth enter gangs and that this is a viable mechanism through which gang membership impacts deviant behavior.
The behavior of females, however, is more strongly influenced by moral emotions than males, as females have a tendency to respond more strongly to these emotions than males (Mears et al., 1998; Svensson, 2004), including a proneness to feelings of guilt (Hubbard and Matthews 2008). That is, females tend to both experience greater guilt and respond differently to guilt than males (e.g., Baumeister et al., 1994; Benetti-McQuoid and Bursik 2005; Else-Quest et al. 2012; Keenan, Loeber, and Green 1999). A recent meta-analysis of gender differences in guilt, which included 697 effect sizes and 236,304 individual ratings, confirmed the robustness of these differences by sex across time and place (Else-Quest, et al., 2012). While the development of differential levels of guilt across the sexes is associated with primary socialization processes in the family, the adolescent peer group also influences this emotion in gendered ways. As Benetti-McQuoid and Bursik (2005: 140) suggest with respect to the development of moral emotions, “girls, more than boys, are taught to defer to friends” and are more likely to “anticipate others' reactions to their behavior.” Further, this tendency is also most pronounced in mixed sex social interactions (Stapley and Haviland, 1989), which is overwhelmingly the case for girls in youth gangs (Peterson, Miller, and Esbensen, 2001; Peterson and Carson, 2012).
In summary, three important findings in extant research lead directly to our hypotheses: 1) Anticipated guilt is a robust predictor of antisocial behavior, including the use of illegal substances, in adolescents (e.g., Dearing et al. 2005; Quiles et al. 2002; Svensson et al., 2013; Wikstrom, 2006; 2010); 2) females have a tendency to experience higher levels of anticipated guilt and respond differently to guilt-inducing situations than males (e.g., Baumeister et al. 1994; Benetti-McQuoid and Bursik 2005); and 3) anticipated guilt is a robust mechanism explaining the relationship between gang membership and involvement in delinquency and violence (Matsuda et al. 2012; Melde and Esbensen 2011), suggesting that changes in anticipated guilt is a likely mechanism through which gang membership induces increased substance use. Together, this body of research leads us to answer the call from Kruttschnitt (2013) to more fully identify the conditions through which adolescents develop emotions that inhibit anti-social behavior in potentially gendered ways, as “its salience for furthering our understanding of gendered lives cannot be underestimated” (Kruttschnitt 2013: 303). To examine such a process in its entirety, however, it is necessary to use methods that control for potential confounders of the exposure, mediator, and outcome, and that allow for the estimation of moderated effects. Until recently, methods for efficiently estimating such models were underdeveloped. Next we discuss the necessary procedures for identifying such models and demonstrate a newly developed method for estimating moderated mediation under such conditions using the potential outcomes framework.
The Difficulty of Inferring Causality in Mediation Analysis
Criminologists are often concerned with the mechanisms underlying the causal influence of exposures, and have relied upon various methods to estimate the impact of mediators on outcomes of interest. The most common method for assessing mediation was proposed by Baron and Kenny (1986). This approach, which we will refer to as the traditional approach, is subject to potentially untenable assumptions (e.g., linearity, no interactions, and unconfoundedness). In particular, the unconfoundedness assumptions related to both the effect of the exposure on the mediator and the effect of the mediator on an outcome have received considerable attention in recent statistical and epidemiological research (see, e.g., Coffman 2011; Coffman and Zhong 2012; Imai et al. 2010; VanderWeele 2009).
Unconfoundedness implies that there are no unmeasured confounders related to the exposure and either the mediator or outcome; this assumption is most easily and ideally satisfied through randomization to exposure status. Whenever possible, random assignment is preferred and is considered the stronger design for causal inference. However, in many situations, individuals cannot be randomly assigned to the exposure. For example, it would not be ethical to assign individuals to gang membership. Furthermore, even when random assignment is possible, in practice, individuals may not comply. In other words, in practice, randomization often fails for a variety of reasons. In these cases, causal inference is possible if it can be assumed that all the potential confounders are measured and proper adjustments have been made. If this unconfoundedness assumption regarding the exposure is satisfied, then the causal effect of the exposure on the mediator and the causal effect of the exposure on the outcome without the mediator in the model (i.e., the total effect) can be estimated without bias.
The unconfoundness assumption further implies that there are no unmeasured confounders of the mediator and outcome (sometimes referred to as sequential ignorability; Imai et al. 2010). If individuals could be randomly assigned to levels of the mediator, then this assumption would hold. However, even if individuals are successfully randomly assigned to the exposure, they cannot typically be randomly assigned to levels of the mediator, and thus estimation of the impact of the mediator on the outcome can be biased if adequate adjustments are not made to account for sources of confounding. That is, there may be confounders that impact both the mediator and the outcome (see, e.g., Coffman and Zhong 2012; VanderWeele 2009). Therefore, even under random assignment to exposure conditions, it cannot be guaranteed that the estimate of the effect of the mediator on the outcome is an unbiased causal effect.
Unfortunately, many mediation analyses do not control for confounders of the mediator – outcome effect. Those that do, typically control for only a few confounders of convenience, which is generally insufficient (Shadish 2012). More importantly, confounders of the mediator – outcome effect may have themselves been affected by the exposure. If this is the case, controlling for these post-exposure confounders by including them as covariates in a regression model will result in biased estimates of the direct effect (i.e., the effect of the exposure on the outcome that does not go through the mediator). Thus, the researcher is presented with a dilemma when using ordinary regression adjustment to assess mediation: either fit a regression model that includes the post-exposure confounders of the mediator – outcome effect and obtain biased estimates of the direct effect, or fit a regression model that does not include the post-exposure confounders and obtain biased estimates of the mediator – outcome effect. Many researchers are unaware of this dilemma, although it is well-known in the statistics and epidemiology literature (e.g., Robins et al. 2000; Robins and Greenland 1992; Rosenbaum 1984).
Although it is impossible to randomly assign individuals to gang membership or anticipated guilt, we will attempt to estimate causal effects in mediation analysis by using MSMs (marginal structural models) and the potential outcomes framework to define causal effects and IP weighting to account for confounding, including post-exposure confounders. In the following sections, we describe the potential outcomes framework, how causal mediation effects may be defined within this framework, and the assumptions needed to estimate these effects.
The Potential Outcomes Framework for Causal Inference
In the potential outcomes framework (see Holland 1986; Rubin 1974; 2005), each individual has a potential outcome for each possible exposure condition. For simplicity, consider a binary exposure indicator, Ti, where Ti = 1 denotes the exposed condition (in this case, gang membership), and Ti = 0 denotes the unexposed condition for participant i, i = 1,…,n. In this case, there are two potential outcomes for each individual: the potential outcome if the individual joins a gang, denoted Yi(1), and the potential outcome if the individual does not, denoted Yi(0). The individual causal effect is the difference between these two potential outcomes. Because each participant is observed in only one of these conditions, only one of these potential outcomes is observed; the other potential outcome is missing and, therefore, the individual causal effect cannot be computed. However, strategies have been implemented to estimate the causal effect averaged over participants in the study, called the average causal effect (ACE) defined as E[Yi(1) − Yi(0)]; that is, the difference between the two potential outcomes averaged across individuals. Introductions to the potential outcomes framework outside of the context of mediation are provided by Little and Rubin (2000), Schafer and Kang (2008), West et al. (2000), and Winship and Morgan (1999).
When there is a mediator, the potential outcomes are expanded to include it. For example, Yi(1,Mi(1)) is the potential outcome if individual i joins a gang, and Yi(0,Mi(0)) is the potential outcome if individual i does not, where Mi(1) is the potential value of the mediator under the exposed condition and Mi(0) the potential value of the mediator under the unexposed condition. As before, only one of these potential values is actually observed for each individual.
Throughout this article, we will use Yi to denote the observed value of substance use frequency (described in more detail in the Measures section), Mi to denote the observed value for anticipated guilt, and Yi(ti,Mi(ti)) to denote the potential outcomes where ti is one of the levels of the exposure (i.e., gang member vs. not a gang member). We will use Xi to denote measured confounders. We will assume throughout that if an individual joins a gang, then Yi = Yi (1) = Yi (1,Mi (1)) and Mi = Mi (1). Likewise, if an individual does not join a gang, then Yi = Yi(0) = Yi(0,Mi(0)) and Mi = Mi(0). This means that the observed outcome is equal to the potential outcome under the actual exposure level. This is usually referred to as the consistency assumption (VanderWeele and Vansteelandt 2009). Also implicit in this notation is that there is no interference among individuals because the potential outcomes are a function of only Ti and not Tj, where i and j denote two different individuals. In other words, one individual's potential outcomes do not depend on another individual's exposure status. Throughout this article, we will make this no-interference assumption although this assumption can be relaxed by expanding the potential outcomes notation to include other individuals' exposure statuses (for further elaboration, see Rubin 1986). Note that this assumption is with regards to potential outcomes and is therefore difficult to test. Also, it is not necessarily equivalent to a nested or clustered data structure.
Using the potential outcomes framework to define mediation effects
In terms of our motivating example, the controlled direct effect (Robins and Greenland 1992) is the causal effect of joining a gang on substance use frequency when setting anticipated guilt to a specific value, (e.g., m = 0 where a value of 0 indicates no change in anticipated guilt) for the entire population: E[Yi(1,m) − Yi(0,m)]. For the direct effect, the mediator is set (i.e., held constant) at the same value for every individual. Also, for a binary exposure, such as gang membership, there are as many direct effects as there are possible values of the mediator. If the direct effects are different across levels of the mediator, this implies that there is an interaction between the exposure and the mediator.
Next, consider defining the effect, E[Yi(1,m) − Yi(1,m′)], for two different values of m and m′ (e.g., m = 1 and m′ =0 so that m does not equal m′). This is the effect of, for example, a one-unit change in anticipated guilt when T = 1. Similarly, the difference, E[Y(0,m)−Y(0,m′)], defines the effect of a one-unit change in anticipated guilt when T = 0. Each of these differences defines the effect of a one-unit change in anticipated guilt on substance use frequency for gang members and non-members. The effect of gang membership on anticipated guilt is defined as E[Mi(1) −Mi(0)]. The total effect is defined as the effect of gang membership on substance use frequency irrespective of the mediator, E[Yi(1)−Yi(0)]. Finally, if there is no interaction between gang membership and anticipated guilt (no-interaction assumption), such that there is only one direct effect, the direct effect may be subtracted from the total effect to obtain the indirect effect.
Assumptions
This approach requires assuming that there are no unmeasured confounders (a) of gang membership and substance use frequency, (b) of gang membership and anticipated guilt, or (c) of anticipated guilt and substance use frequency. In experiments where individuals are randomized to levels of the exposure, comply with the randomization, and do not dropout, assumptions (a) and (b) hold. However, this randomization would not imply that assumption (c) holds.
Estimation – overview and models
Coffman and Zhong (2012) proposed to define and estimate the effects given above using an IP weighted estimator using assumptions (a) – (c). IP weighted estimation has been described in the prevention literature (e.g., Bray et al. 2006; Coffman et al. 2012) and sociology literature (e.g., Barber et al. 2004; Wimer et al. 2008). The models are fit by choosing an appropriate model for the observed outcome (e.g., linear regression, logistic regression, Poisson regression, survival model) and using the IP weighted estimator rather than the usual ordinary least squares (OLS) or maximum likelihood (ML) estimator. We describe how to obtain the weights for the IP weighted estimator in the next section. The models for the observed data are
| (1) |
and
| (2) |
where β1 is the effect of gang membership on anticipated guilt, β2 is the effect of anticipated guilt on substance use frequency, and β3 is the direct effect of gang membership on substance use frequency. If individuals are randomized to levels of the exposure, then assumption (a) holds and weights are unnecessary for estimating Eq. (1). An interaction term can be included in Eq. (2) and if it is, then there are two estimates of the effect of anticipated guilt on substance use: one for gang members and another for non-members. If the effect of anticipated guilt on substance use does not vary by gang status, then reporting one estimate of the effect of the mediator on the outcome should suffice.
Coffman and Zhong (2012) proposed a test of the null hypothesis of no mediation. Specifically, the null hypothesis is that either the effect of gang membership on anticipated guilt or the effect of anticipated guilt on substance use frequency, holding constant gang membership, (or both) is zero, in which case, mediation could not have occurred. An estimate of the indirect effect itself requires the no-interaction assumption mentioned previously, but the null hypothesis test of no mediation is still valid and unbiased. Estimates of the causal effect of gang membership on anticipated guilt and of anticipated guilt on substance use frequency holding constant gang membership can still be obtained even if the no-interaction assumption does not hold. The null hypothesis test uses bootstrapped standard errors that take into account the uncertainty in estimating the weights, which will be described next.
Propensity scores and IP weighting
The method we illustrate uses propensity scores to control for potential confounders of the exposure, mediator, and outcome variables. Rosenbaum and Rubin (1983) defined the propensity score as the probability that an individual receives a particular level of the intervention or exposure variable, given measured confounders. In this study, the propensity score for the exposure is the probability of joining a gang, and the propensity score for the mediator is the probability of decreasing in anticipated substance use guilt (described in more detail in the Method section). Individuals in different exposure groups with similar propensity scores are similar on all measured confounders.
Propensity scores have typically been estimated as the predicted probabilities from a logistic regression of Ti on Xi, although more flexible alternatives such as generalized boosted regression (GBR; McCaffrey et al. 2004) have been shown to perform better (Lee et al. 2009; Setoguchi et al. 2008). We illustrate estimation of propensity scores using both logistic regression and GBR (see sample R code provided in Appendix A) because in the past logistic regression has been popular for estimating propensity scores. We compare the efficacy of these two approaches using receiver operating characteristic (ROC) analysis (Fawcett 2006) to determine the best fitting model from which to conduct our analysis. Estimation of propensity scores using GBR is implemented using the twang package for R (Ridgeway et al. 2006); further details on estimation of propensity scores using GBR and the twang package can be found in Ridgeway (2006).
After the propensity scores are estimated, the weights are constructed. The basis for weighting is similar to that of survey weights, in that there is an underrepresentation of those who are gang members but have a low propensity score and an overrepresentation of those who are gang members and have a high propensity score. Thus, a solution is to up-weight those who are underrepresented and down-weight those who are overrepresented. After the weights have been created, they are incorporated into the model for the effect of gang membership on the outcome in the same manner as survey weights. The goal is to weight the data so that it mimics what would be obtained in a randomized trial. The uncertainty in the propensity score estimates can be preserved by bootstrapping standard errors, which will be illustrated in our example.
To construct the weights, those in the exposed group (i.e., those who join a gang) are given a weight of P[T=1]/P[T=1|X] and those in the unexposed group (i.e., those who do not join a gang) are given a weight of (1-P[T=1])/(1-P[T=1|X]). The propensity score is P[T=1|X]. The value for the numerator of the weights is obtained from an intercept-only or “empty” model, which helps stabilize the weights (see Cole and Hernan 2008; Robins et al. 2000).
Before proceeding, balance and overlap should be assessed. The degree of overlap on the propensity score estimates between the groups can be assessed by creating boxplots or histograms. The goal of assessing balance is to determine whether there are differences between the exposure groups on the measured confounders. To assess balance, it is recommended that the standardized mean differences be reported (Rosenbaum and Rubin 1985) for the original sample (i.e., without weights) and for the weighted sample. If these standardized mean differences are less than .2 (Cohen's [1988] rule of thumb for a small effect size) in the weighted sample then the groups are considered balanced on the measured confounders. If some of the differences are still larger than .2, then balance has not been achieved and the propensity score model should be reconsidered. For example, interaction effects or quadratic terms could be added and then the propensity scores could be re-estimated and balance could be re-assessed; this process can be repeated until balance is achieved. There is no need to be concerned about estimating the propensity scores multiple times because the outcome variable does not play a role in the propensity score model. In other words, it is not “fishing” because no model for estimating the causal effect has yet been fit. The goal is obtaining balance on the confounders, not parsimony or theory testing (Schafer & Kang, 2008). An advantage of using GBR to estimate propensity scores is that interactions and nonlinearities are automatically considered and thus balance is more easily attained than when using logistic regression.
To assess mediation, we will also estimate a propensity score model for change in anticipated guilt and check overlap and balance. More detail concerning measurement of change in anticipated guilt is described in the Method section. The IP weights for change in anticipated guilt are computed as P[M=1|T, gender]/P[M=1|T, gender, X] for those who decrease in anticipated substance use guilt and (1−P[M=1|T, gender]/(1−P[M=1|T, gender, X]) for those who increase/stay the same. Note that for the mediator, the weights include exposure history (i.e., gang membership) and any moderators, in this case gender; exposure history and moderators are included in both the denominator and numerator models (see Coffman and Zhong 2012 for further details).
Finally, we fit a weighted logistic regression model in which change in anticipated guilt is the outcome and gang membership is the predictor (see Eq(1)). These weighted estimates are obtained using the survey package for R (Lumley 2010). We then fit a weighted Poisson regression model in which current substance use frequency is the outcome and gang membership and change in anticipated guilt are predictors (see Eq(2)). The weights for this Poisson regression model are the product of the weights for gang membership and the weights for change in anticipated guilt. This product thereby controls for potential confounding in both gang membership and anticipated guilt (see Coffman and Zhong 2012 for further details).
Method
Empirical Data
The current study uses data collected as part of a longitudinal evaluation of a school-based law-related education program delivered to students in grades six through nine (Esbensen, 2011). The evaluation included 15 schools in nine cities across the United States beginning in the 2004-2005 school year. Ten of the 15 schools were in the southwestern region of the United States, two schools were in the northeast, and three schools were in the southeast.
Active parental consent was required before students could participate in the evaluation, resulting in an initial loss rate of 28 percent. Twelve percent was due to parental refusal, and 16 percent was due to the failure of students to return their consent form. This loss rate is well below other comparable panel studies (e.g., Esbensen et al. 2001; Wilcox et al. 2006), and is in line with general recommendations for consent rates needed to ensure low sample bias (Babbie 1973; Lueptow et al. 1977; Sewell and Hauser 1975). For a more thorough description of the data, see Melde and Esbensen (2011).
Three waves of data were collected at approximately six-month intervals between October 2004 and February 20062. Student mobility between waves of data collection, including transferring out of district and movement from middle to high school, was the primary reason for attrition. Persistent truancy led to attrition as well, although researchers reduced this loss rate by making multiple trips to each school. Even with these efforts, however, a total of 502 participants failed to complete all three waves of the survey.3 Another five students were eliminated because they failed to fill out the survey questionnaire, even though they were present for survey administration.4 A total of 1,113 students who indicated that they were not a member of a gang at the first measurement occasion were included in the final sample. The reason for this selection is that if a student was already in a gang at wave 1, then we cannot draw any conclusion about whether gang membership occurred prior to either substance use or anticipated guilt (for a discussion of the temporal ordering of gang joining and onset of drug use, see Esbensen et al. (2002)). The issues of timing in assessing causal effects of gang membership are addressed by Haviland et al. (2007). The final sample was 54% female and 39% Hispanic.
Measures
Exposure: Onset of gang membership
Gang membership was measured at wave two through a single-item self-report measure. That is, survey participants were asked “Do you consider your group of friends to be a gang?” consistent with the work of Junger-Tas and colleagues (2010) on the international self-reported delinquency study (yes=1; no=0). While there is some debate as to the appropriate manner in which to measure gang membership, research has demonstrated that self-report methods are robust indicators of gang involvement (Esbensen et al., 2001; Thornberry et al., 2003)5. For the purposes of the current study, the analysis only included those who reported onset of gang membership at time 2 (n = 76) and those youth who were never gang-involved across the first two time points (n = 1,037). Of the 76 who reported joining a gang between waves 1 and 2, 41 were male and 35 were female.
Mediator: Anticipated guilt for substance use
To measure anticipated guilt related to use of illegal substances, we used a three-item scale measured at wave 26. The stimulus for the measure was, “how guilty or how bad would you feel if you,” and was followed by statements: “used tobacco products?”, “used alcohol?”, and “used marijuana or other illegal drugs?” Responses were based on a three-point scale ranging from not very guilty/bad to very guilty/bad. We created a change score by subtracting the score on anticipated guilt at wave 1 from the score on anticipated guilt at wave 2 for each student because we would expect joining a gain to decrease anticipated guilt (and the decreased anticipated guilt would then result in increased substance use). We further transformed the variable by creating a binary indicator that equaled 1 if the change in anticipated guilt was negative (i.e., anticipated guilt decreased between wave 1 and wave 2) and equaled zero if the change in anticipated guilt was positive or if there was no change (i.e., anticipated guilt increased or remained the same between wave 1 and wave 2)7.
Confounders
All confounders, including demographic variables, such as gender, race, ethnicity, and age, and pre-gang-membership measures of substance use frequency were measured at wave 1. Other confounders, more fully described in Appendix B, included selling marijuana or other illegal drugs, current delinquency frequency, current victimization frequency, impulsivity, risk-taking, self-centeredness, self-esteem, self-efficacy, empathy, collective efficacy, fear of crime, perceived risk of victimization, parental monitoring, aggressive conflict resolution, peer pro-social behavior, school and community problems, awareness of social services, victimization reporting likelihood, school safety, involvement in conventional activities, cultural rejection, positive peer commitment, and temper. Variables related to gang membership, substance-use anticipated guilt, and substance use frequency were selected as potential confounders to include in the propensity models.
Outcome: Substance use
The substance use index, measured at wave 3 was created using a frequency score representing the number of times in the past three months that respondents used each described substance category (tobacco products; alcohol; marijuana or other illegal drugs; and paint, glue, or other inhalants). Available answers ranged in magnitude from zero to four (0= never, 1= one to two times, 2= about once a month, 3= about once a week, 4= every day). Questions used in the creation of the index were adapted from those used as part of the Denver Youth Survey (Huizinga et al. 1991) and the National Youth Survey (Elliott et al. 1985). Answers to all four substance categories were summed to create an overall frequency score. We treated the distribution of current substance use frequency as Poisson (see Figure 2) and used Poisson regression to model the substance use frequency outcome, allowing for over-dispersion in the model.
Figure 2.
Distribution of log current substance use frequency outcome.
Results
The interaction between gang membership and anticipated guilt was not statistically significant; therefore we removed it from our analysis. We included gender as a moderator variable of the effect of anticipated substance use guilt on substance use frequency; it was statistically significant. Therefore, we report the results for this effect for males and females separately.
Comparison of propensity score estimates
The propensity score estimates obtained using GBR were highly, albeit not perfectly, correlated with those obtained using a logistic regression model (r = .835). We compared the predictive utility of our logistic and GBR models to determine the better fitting model. We conducted a comparative test (see Figure 3) using ROC and area under the curve (AUC) and found the GBR models significantly outperformed the logistic model (χ2= 58.10, df = 1, p < .001). Specifically, while the logistic model produced a “fair” to “good” estimate of future gang membership (AUC = .79), the GBR estimate (AUC = .92) would be considered “excellent” according to standards suggested by Tape (n.d.). In other words, GBR identified key interactions and non-linear associations that significantly improved our ability to identify individuals at risk for gang membership.
Figure 3.
Comparative ROC analysis of logistic versus generalized boosted regression for estimating propensity scores.
Propensity score diagnostics
Figure 4 presents the boxplots of the logit propensity scores by gang membership (top) and change in anticipated guilt (bottom). These plots indicate that there is overlap for the two groups for both variables. That is, there are individuals in each exposure group with similar propensities to join a gang and there are individuals in each mediator group with similar propensities to decrease in anticipated guilt.
Figure 4.
Boxplots of estimated logit propensities by gang membership (top) and by change in anticipated guilt (bottom).
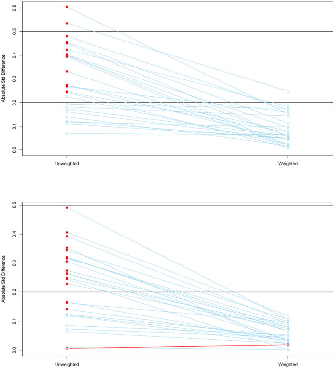
We generated summary plots of the standardized mean differences before and after weighting to assess balance. The standardized mean differences between those who join a gang and those who do not on each of the potential confounders are presented in the top panel of Figure 5. The standardized mean differences between those who decrease and those who increase/stay the same on anticipated guilt on each of the potential confounders are presented in the bottom panel of Figure 5. None of the weighted standardized mean differences for joining a gang are statistically significant; all but one are less than .2. In Figure 5, filled-in circles indicate that the mean difference is statistically significant. All of the weighted standardized mean differences are less than .2 for anticipated guilt. Thus balance was attained on the observed confounders for both joining a gang and anticipated guilt.
Figure 5.

Absolute standardized mean differences between those who join and those who do not join a gang for each confounder before and after inverse propensity (IP) weighting (top) and between those who decrease in anticipated guilt and those who increase/stay the same for each confounder before and after IP weighting.
Causal effect estimates
The results of the mediation analysis are presented in Table 1. We found a statistically significant effect of joining a gang on change in anticipated guilt. Those who joined a gang were two times more likely to report a decrease in anticipated guilt (see Table 1). Among females, we also found a statistically significant effect of change in anticipated guilt on substance use frequency, holding constant gang membership. Among females, a decrease in anticipated guilt resulted in an increase of approximately 1.0 in the log expected count of substance use frequency, or an approximately 2.9 times greater incident rate compared to males. The effect of anticipated guilt on substance use frequency was not statistically significant among males. We did not find a statistically significant direct effect of gang membership on substance use frequency holding constant change in anticipated guilt. The indirect effect of anticipated guilt was not significant for males (Z = 1.72, p = .086), but was significant for females (Z = 2.030, p = .042).
Table 1.
Results.
| Estimate | SE | p | |
|---|---|---|---|
| Gang → guilt | .748 (2.113) | .335 | .026 |
| Gang → sub use (direct effect) | .057 (1.059) | .380 | .880 |
| Guilt → sub use among females | 1.09 (2.974) | .228 | < .001 |
| Guilt → sub use among males | -.384 (.681) | .350 | .270 |
| Male → sub use | .399 (1.49) | .268 | .140 |
| Total effect | .301 (1.35) | .379 |
Note: Odds ratios and incidence rate ratios are given in parentheses in the Estimate column. SE = Standard error
Discussion
There is a robust association between onset of gang membership and increased use of illegal substances such as alcohol, marijuana, and other drugs (e.g., Gordon et al. 2004; Bjerregaard 2010). Researchers have suggested that the gang experience may be unique for males and females, including the impact of these social environments on substance use (e.g., Chesney-Lind, 2013). As was suggested by Keenan, Loeber, and Green (1999) among others, guilt appears to influence the behavior of females more strongly than males, and thus represents a potentially fruitful area of inquiry for the study of the mechanisms of delinquency and drug use. Findings from the current study were consistent with this body of work, as anticipated guilt for substance use was a mediator of the effect of gang membership on substance use for females but not for males, in accord with the notion that females have “greater vulnerability to guilt” (Baumeister et al. 1994: 255). While the onset of gang membership had a statistically similar impact on anticipated guilt for substance use for males in the sample, this did not affect their level of subsequent substance use. Thus, our results suggest that mechanisms other than guilt likely influence male gang youths' drug use. Future research should seek to identify alternative mechanisms at play for males, including phenomena such as increased opportunity for usage produced by the gang context, identity development and management associated with membership in these groups, and/or peer pressure.
We also sought to describe an approach based on the potential outcomes framework for strengthening causal inference in mediation analysis. This is important because mediation is, by definition, a question about causal pathways. Even if individuals are randomly assigned to levels of an exposure and randomization does not fail (e.g., no dropout or non-compliance), this does not imply that individuals are randomly assigned to levels of the mediator. In fact, there are usually confounders of the mediator and outcome. Without proper control for these confounders, the estimate of the effect of the mediator on the outcome and, therefore, the estimate of the indirect effect of the exposure on the outcome will be biased.
IP weighting is one approach to controlling for confounders. Another approach would be to control for all confounders using regression adjustment (i.e., ANCOVA); however, propensity scores are advantageous because they reduce a potentially large number of confounders into a single-number summary. Furthermore, regression adjustment may still result in biased estimates of the direct effect if there are post-treatment time-varying confounders of the mediator and outcome, and if these confounders have been influenced by the exposure (Robins et al. 2000). In the absence of post-treatment time-varying confounders, regression adjustment is an equally valid approach to the one presented here.
We believe that this approach will be valuable in criminology research. It differs from the traditional approach to mediation primarily in that the proposed approach uses weights, which account for potential confounding. This approach addresses questions, such as, “What is the effect of gang membership on substance use frequency, holding constant the level of anticipated guilt?”, “What is the effect of gang membership on anticipated guilt?”, and “What is the effect of anticipated guilt on substance use frequency, holding constant gang membership?” If the no-interaction assumption holds, then this approach also addresses the question, “What is the effect of gang membership on substance use frequency that is due to anticipated guilt?” The indirect effect itself is not identified unless there is no interaction between the exposure and mediator. That is, there is more than one indirect effect if there is an interaction between the exposure and mediator.
The primary assumption underlying the use of propensity scores is that all confounders of selection into gang membership and substance use have been measured and included in the propensity model for gang membership. Likewise, we assume that all confounders of anticipated guilt and substance use have been measured and included in the propensity model for anticipated guilt. Although we can never know for sure whether there is an unmeasured confounder or not, this assumption becomes more plausible as more measured confounders are included. In addition, if there is an unmeasured confounder that is highly correlated with a measured confounder, then including the measured confounder in the propensity model will mitigate the bias of the causal effect estimate to the degree of the correlation. It should be noted that the traditional approach also requires the no unmeasured confounding assumption, but an advantage of using propensity scores is that many more confounders may be included and balance diagnostics and sensitivity analyses are available. In summary, an advantage of the potential outcomes framework is that it allows for the careful definition of causal effects and of the assumptions needed for identification and estimation of causal effects.
Results of the comparative analysis of logistic versus GBR models predicting gang membership offer two important findings for future research. First, both the logistic and GBR models produce estimates of the probability of gang membership that are significantly above chance and are well within medical standards for efficient prediction (Tape, n.d.). Specifically, while the logistic model produced a “fair” to “good” estimate of future gang membership, the GBR estimate would be considered “excellent” according to standards suggested by Tape (n.d.). This finding is consistent with prior simulation studies that found that GBR outperforms logistic regression in estimating propensity scores. Second, the GBR estimates offer a significantly better fit to the data than the logistic model, indicating that there are likely key interactions and non-linear relationships among the confounders in the model that can be identified to significantly improve our ability to identify individuals at risk for gang membership. Identifying the functional form of these relationships should be a priority among gang researchers if we continue to prioritize targeted, public health approaches to dealing with gangs.
The present study has several limitations. First, we measured anticipated guilt by combining scores across both legal and illegal substances; there could still be less anticipated guilt for tobacco and alcohol than for marijuana (note that for this age group, though, all the substances are illegal). Second, we dichotomized anticipated guilt. It is not necessary for this approach to have a binary mediator; however, estimation of propensity scores for continuous mediators is more complicated, and estimation of propensity scores for continuous mediators using GBR is an active area of research. Thus, we felt that a continuous variable would complicate the illustration of the approach.
In conclusion and in response to the proverbial question “so what?”, the current findings suggest that some attention should be given to gender-specific programming for gang involved youth. If substance use among gang girls is a byproduct of their reduced sense of guilt for engaging in this activity, then interventions may need to focus on the normative and relational aspects of this behavior. For instance, because females are more likely to anticipate how others will feel about their behavior, programs aimed at female gang participants might seek to re-orient the reference group the girls view as most important from the gang to more prosocial influences, such as family, school personnel, or other positive role models in their community. To be sure, however, more research on effective gendered programming for gang prevention and intervention is necessary (Peterson, 2009; for a review see Chesney-Lind, 2013). From a theoretical standpoint, current results confirm Kruttschnitt's (2013) speculation that the processes and social contexts associated with the learning of emotions, including those that serve as protective factors for anti-social behavior, are an integral component of “how the gendering of social life affects propensities to offend” (p. 303). Future research should continue to explore how emotions both motivate and dissuade anti-social behaviors, and how social contexts such as youth gangs may influence these affective processes.
Figure 1.
Model of the direct and indirect relationships between gang membership and self-reported substance use through anticipated guilt.
Acknowledgments
This work was supported by Award Number P50DA010075-16 from the National Institute on Drug Abuse and by Award No. 2003-JN-FX-0003 (October 2003–June 2009) from the National Institute of Justice, Office of Justice Programs, U.S. Department of Justice. The content is solely the responsibility of the authors and does not necessarily represent the official views of the National Institute on Drug Abuse, the National Institutes of Health, or the U.S. Department of Justice.
Appendix A. R code for performing weighted mediation analysis
#obtain propensities via logistic regression
log.mod <- glm(gngonset2 ∼ MALE1 + BLACK1 + HISP1 + OTHER1 + V1003 + IMPULSV1 + RISKTK1
+ SELFCNT1 + SELFEST1 + SELFEFF1 + EMPATHY1 + COLLEFF1 + REPRTLH1 +
AGGCR1 + SRVAWRE1 + SCHSAFE1 + CONACT1 + RISK1 + CULTRJT1 + TEMPER1 +
PARMON1 + PROB1 + FEAR1 + PPROSOC1 + PPEERCM1 + CURDGDL1 + CURDEL1
+ CURRVIC1 + V1227, family=binomial, data=samp)
samp$pihat <- log.mod$fitted
log.mod.num <- glm(gngonset2 ∼ 1, family=binomial, data=samp)
samp$pihat.n <- log.mod.num$fitted
#estimate propensities via generalized boosted regression using twang
set.seed(1234)
gbm.mod <- ps(gngonset2 ∼ MALE1 + BLACK1 + HISP1 + OTHER1 + V1003 + IMPULSV1 + RISKTK1
+ SELFCNT1 + SELFEST1 + SELFEFF1 + EMPATHY1 + COLLEFF1 + REPRTLH1 +
AGGCR1 + SRVAWRE1 + SCHSAFE1 + CONACT1 + RISK1 + CULTRJT1 + TEMPER1 +
PARMON1 + PROB1 + FEAR1 + PPROSOC1 + PPEERCM1 + CURDGDL1 + CURDEL1
+ CURRVIC1 + V1227, data=samp,
stop.method = “es.mean”,
n.trees = 10000, estimand = “ATE”,
interaction.depth = 4,
shrinkage = 0.001,
perm.test.iters = 0,
verbose = FALSE)
#propensities from GBM
samp$pihat.gbm <- gbm.mod$ps$es.mean
# Creating the IP weights
samp$iptw.gbm <- ifelse(samp$gngonset2==1, samp$pihat.n/samp$pihat.gbm, (1-samp$pihat.n)/(1-
samp$pihat.gbm))
# Check balance and overlap
bal.table(gbm.mod)
plot(gbm.mod, plots=“boxplot”)
plot(gbm.mod, plots=“es”)
#estimate logistic propensity scores for subgltbin
num.mod <- glm(subgltbin ∼ gngonset2 + MALE1, family=binomial, data=samp)
den.mod <- glm(subgltbin ∼ gngonset2 + MALE1 + BLACK1 + HISP1 + OTHER1 + V1003 +
IMPULSV1 + RISKTK1 + SELFCNT1 + SELFEST1 + SELFEFF1 + EMPATHY1 + COLLEFF1 + REPRTLH1 + AGGCR1 + SRVAWRE1 + SCHSAFE1 + CONACT1 + RISK1 + CULTRJT1 +
TEMPER1 + PARMON1 + PROB1 + FEAR1 + PPROSOC1 + PPEERCM1 + CURDGDL1 + CURDEL1 + CURRVIC1 + V1227, family=binomial, data=samp)
samp$num.p <- num.mod$fitted
samp$den.p <- den.mod$fitted
#estimate gbm weights for subgltbin
#with gender as moderator
set.seed(1234)
num.mod.gbm <- ps(subgltbin ∼ gngonset2 + MALE1, data=samp,
stop.method = “es.mean”,
n.trees = 10000, estimand = “ATE”,
interaction.depth = 2,
shrinkage = 0.001,
perm.test.iters = 0,
verbose = FALSE)
den.mod.gbm <- ps(subgltbin ∼ gngonset2 + MALE1 + BLACK1 + HISP1 + OTHER1 + V1003 +
IMPULSV1 + RISKTK1 + SELFCNT1 + SELFEST1 +SELFEFF1 + EMPATHY1 +
COLLEFF1 + REPRTLH1 + AGGCR1 + SRVAWRE1 + SCHSAFE1 + CONACT1 +
RISK1 + CULTRJT1 + TEMPER1 + PARMON1 + PROB1 + FEAR1 + PPROSOC1 +
PPEERCM1 + CURDGDL1 + CURDEL1 + CURRVIC1 + V1227, data=samp,
stop.method = “es.mean”,
n.trees = 10000, estimand = “ATE”,
interaction.depth = 4,
shrinkage = 0.001,
perm.test.iters = 0,
verbose = FALSE)
#propensities from GBM
samp$num.p.gbm <- num.mod.gbm$ps$es.mean
samp$den.p.gbm <- den.mod.gbm$ps$es.mean
#Create Weights
samp$wt.m.gbm <- ifelse(samp$subgltbin==1, samp$num.p.gbm/samp$den.p.gbm, (1-samp$num.p.gbm)/(1-
samp$den.p.gbm))
samp$wt.tot.gbm <- samp$wt.m.gbm*samp$iptw.gbm
#check balance and overlap
bal.table(den.mod.gbm)
plot(den.mod.gbm)
#Outcome analysis
design.ps1 <- svydesign(ids= ∼1, weights= ∼iptw.gbm, data=samp)
msm.a.gbm <- svyglm(subgltbin ∼ gngonset2, family=quasibinomial(), design=design.ps1)
summary(msm.a.gbm)
design.ps2 <- svydesign(ids= ∼1, weights= ∼wt.tot.gbm, data=samp)
msm.tot.gbm <- svyglm(CURDGDL3 ∼ gngonset2 + subgltbin + MALE1 + MALE1:subgltbin, family=quasipoisson(), design=design.ps2)
summary(msm.tot.gbm)
Appendix B: Description of Variables and Scales Used to Create the Propensity Scores
| Scales/Indices | Example Question(s) | # of items | Range | Alpha |
|---|---|---|---|---|
| Community Problems | “Run down or poorly kept buildings in the neighborhood” | 15 | 1-3 | .90 |
| Fear of Victimization | “Being robbed or mugged,” “Being attacked by someone with a weapon,” “Being attacked or threatened at school” | 8 | 1-5 | .90 |
| Impulsivity | “I often act on the spur of the moment,” “I don't devote much thought and effort to preparing for the future” | 4 | 1-5 | .56 |
| Risk Taking | “I like to test myself every now and then by doing some- thing a little risky” | 4 | 1-5 | .75 |
| Self-Centeredness | “I try to look out for myself first, even if it means making things difficult for other people” | 4 | 1-5 | .70 |
| Positive Peer Commitment | “If your friends told you not to do something because it was wrong, how likely is it that you would listen to them?” | 2 | 1-5 | .73 |
| Aggressive Conflict Resolution | “During the past year when you've gotten upset with someone, how often have you done the following?… Hit the person” | 2 | 1-3 | .65 |
| Cultural Rejection | “I'll never have as much opportunity to succeed as young people from other neighborhoods” | 8 | 1-5 | .58 |
| Self-Esteem | “I feel that I can't do anything right,” “I feel good about myself” | 10 | 1-5 | .82 |
| Perceived Risk of Victimization | “Being robbed or mugged,” Being attacked by someone with a weapon,” “Being attacked or threatened at school” | 8 | 1-5 | .90 |
| Collective Efficacy | “Young people take an active role in my neighborhood,” | 6 | 1-5 | .66 |
| Awareness of Victim Services | “You are aware of programs and services in your community that help victims of crime” | 4 | 1-5 | .70 |
| Self-Efficacy | “There's not much I can do to change our community” | 4 | 1-5 | .70 |
| Perceived School Safety | “I feel like nothing can hurt me when I am at school,” “A lot of time, I feel like I have to ‘watch my back’ when I am at school” | 4 | 1-5 | .70 |
| Reporting Likelihood | “How likely is it that you would report the following events if you saw someone doing the following things? | 6 | 1-5 | .89 |
| Parental Monitoring | “My parents know who I am with if I am not at home,” “My parents know where I am when I am not at home or at school.” | 4 | 1-5 | .72 |
| Peer Prosocial Behavior | “How many of your current friends have done the following?…Have been involved in school activities or school athletics?” | 8 | 1-5 | .84 |
| Temper | “I lose my temper pretty easily,” “When I am really angry, other people better stay away from me.” | 4 | 1-5 | .74 |
| Involvement in Conventional Activities | “During the past year, were you involved in the following activities?…School Activities or athletics, Job activities…” | 5 | 1-2 | na |
| Empathy | “I would feel sorry for a lonely stranger in a group,” “I worry about how other people feel” | 4 | 1-2 | na |
| Drug Dealing | Have you ever “Sold marijuana or other illegal drugs?” If yes, how many times in the last 6 months have you…” | 1 | 0->10 | na |
| Recent Victimization | Have you ever “Been hit by someone trying to hurt you?” | 10 | 0->10 | na |
| Delinquency | Have you ever “Carried a hidden weapon for protection?” | 14 | 0->10 | na |
Footnotes
A treatment or exposure is a variable about which the researcher hypothesizes there is a causal effect. Although the methods we present are applicable to either non-randomized treatments or exposure variables, we will use the term exposure throughout.
Pre-test data were collected prior to the administration of the evaluated curriculum during the 2004-2005 school year, and post-tests were completed directly following the completion of the program. A one-year follow-up survey was conducted in the fall of 2005. All three waves of survey data were collected using group-administered self-report methods, whereby subjects answered questions individually as they were read aloud by members of the research team. The approximate time needed for completion of the survey was 40 to 45 minutes.
Approximately 200 of these students were lost when they transitioned from an elementary school district to a high school district. In the original data collection, approval was sought for this evaluation design from the high school district, but the central office failed to approve our proposal and would not allow us to administer the student surveys due to low scores on testing related to the No Child Left Behind legislation.
These students filled out the assent form and discontinued their participation in the survey administration.
A reviewer raised the important issue of measurement. However, we cannot assess this issue in the current data. The only measure of gang membership in the current study is peer nomination, consistent with the International Self Report Delinquency Study (ISRD). It certainly is possible that some in the comparison group would nominate themselves as gang involved. If that was the case, however, it would likely bias our results toward zero effect given the robust association between self-report delinquency and the mediator and outcome.
The guilt scale has been used and validated in a number of publications. Huizinga, Esbensen, and Weiher report scale reliabilities (.81 for youth and .86 for child respondents) for the measure in their 1991 article in the Journal of Criminal Law and Criminology.
330 individuals decreased in guilt between waves 1 and 2 and 946 increased or stayed the same.
Contributor Information
Donna L. Coffman, The Pennsylvania State University
Chris Melde, Michigan State University.
Finn-Aage Esbensen, University of Missouri-St. Louis.
References
- Babbie ER. Survey research methods. Belmont: Wadsworth; 1973. [Google Scholar]
- Barber JS, Murphy SA, Verbitsky N. Adjusting for time-varying confounding in survival analysis. Sociological Methodology. 2004;34:163–192. [Google Scholar]
- Baron RM, Kenny DA. The moderator-mediator variable distinction in social psychological research: Conceptual, strategic, and statistical considerations. Journal of Personality and Social Psychology. 1986;51:1173–1182. doi: 10.1037//0022-3514.51.6.1173. [DOI] [PubMed] [Google Scholar]
- Baumeister RF, Stillwell AM, Heatherton TF. Guilt: An interpersonal approach. Psychological Bulletin. 1994;115:243–267. doi: 10.1037/0033-2909.115.2.243. [DOI] [PubMed] [Google Scholar]
- Baumeister RF, Vohs KD, DeWall CN, Zhang L. How emotion shapes behavior: Feedback, anticipation, and reflection, rather than direct causation. Personality and Social Psychology Review. 2007;11:167–203. doi: 10.1177/1088868307301033. [DOI] [PubMed] [Google Scholar]
- Bem SL. The lenses of gender. New Haven: Yale University Press; 1993. [Google Scholar]
- Benetti-McQuoid J, Bursik K. Individual differences in experiences of and responses to guilt and shame: Examining the lenses of gender and gender role. Sex Roles. 2005;53:133–142. [Google Scholar]
- Bjerregaard B. Gang membership and drug involvement: Untangling the complex relationship. Crime and Delinquency. 2010;56(1):3–34. [Google Scholar]
- Bjerregaard B, Smith C. Gender Differences in Gang Participation, Delinquency, and Substance Use. Journal of Quantitative Criminology. 1993;9:329–355. [Google Scholar]
- Bray BC, Almirall D, Zimmerman RS, Lynam D, Murphy SA. Assessing the total effect of time-varying predictors in prevention research. Prevention Science. 2006;7:1–17. doi: 10.1007/s11121-005-0023-0. [DOI] [PMC free article] [PubMed] [Google Scholar]
- Campbell A. The girls in the gang. New York: Basil Blackwell; 1984. [Google Scholar]
- Chesney-Lind M. How can we prevent girls from joining gangs? In: Simon TR, Ritter NM, Mahendra RR, editors. Changing course: Preventing gang membership. Washington, DC: U.S.: 2013. pp. 121–134. [Google Scholar]
- Coffman DL. Estimating causal effects in mediation analysis using propensity scores. Structural Equation Modeling. 2011;18:357–369. doi: 10.1080/10705511.2011.582001. [DOI] [PMC free article] [PubMed] [Google Scholar]
- Coffman DL, Zhong W. Assessing mediation using marginal structural models in the presence of confounding and moderation. Psychological Methods. 2012;74:642–664. doi: 10.1037/a0029311. [DOI] [PMC free article] [PubMed] [Google Scholar]
- Coffman DL, Caldwell L, Smith E. Introducing the at-risk average causal effect with application to HealthWise South Africa. Prevention Science. 2012;13:437–447. doi: 10.1007/s11121-011-0271-0. [DOI] [PMC free article] [PubMed] [Google Scholar]
- Chesney-Lind M. How can we prevent girls from joining gangs? In: Simon TR, Ritter NM, Mahendra RR, editors. Changing course: Preventing gang membership. Washington, DC: U.S Department of Justice and the U.S. Department of Health and Human Services; 2013. [Google Scholar]
- Cohen J. Statistical power analysis for the behavioral sciences. 2nd. Hillsdale, NJ: LEA; 1988. [Google Scholar]
- Cole SR, Hernan MA. Constructing inverse probability weights for marginal structural models. American Journal of Epidemiology. 2008;168:656–664. doi: 10.1093/aje/kwn164. [DOI] [PMC free article] [PubMed] [Google Scholar]
- Daly K. Gender, crime, and criminology. In: Tonry M, editor. The Handbook of Crime and Justice. Oxford: Oxford University Press; 1998. pp. 85–108. [Google Scholar]
- Dearing RL, Stuewig J, Tangney JP. On the importance of distinguishing shame from guilt: Relations to problematic alcohol and drug use. Addictive Behaviors. 2005;30:1392–1404. doi: 10.1016/j.addbeh.2005.02.002. [DOI] [PMC free article] [PubMed] [Google Scholar]
- Decker SH. Legitimating drug use: A note on the impact of gang membership and drug sales on the use of illicit drugs. Justice Quarterly. 2000;17(2):393–410. [Google Scholar]
- Decker SH, Melde C, Pyrooz DC. What do we know about gangs and gang membership and where do we go from here? Justice Quarterly. 2013;30:369–402. [Google Scholar]
- Elliott DS, Huizinga D, Ageton SS. Explaining delinquency and drug use. Beverly Hills: Sage; 1985. [Google Scholar]
- Else-Quest NM, Higgins A, Allison C, Morton LC. Gender differences in self-conscious emotional experience: A meta-analysis. Psychological Bulletin. 2012;138:947–981. doi: 10.1037/a0027930. [DOI] [PubMed] [Google Scholar]
- Esbensen FA. ICPSR25865-v1. Ann Arbor, MI: Inter-university Consortium for Political and Social Research; 2011. Outcome Evaluation of the Teens, Crime, and the Community/Community Works (TCC/CW) training program in nine cities across four states, 2004-2005. Computer file. [distributor], 2011. [DOI] [Google Scholar]
- Esbensen FA, Deschenes EP. A multi-site examination of gang membership: Does gender matter? Criminology. 1998;36:799–828. [Google Scholar]
- Esbensen FA, Deschenes EP, Winfree LT., Jr Differences between gang girls and gang boys: Results from a multi-site survey. Youth & Society. 1999;31:27–53. [Google Scholar]
- Esbensen FA, Peterson D, Freng A, Taylor TJ. Initiation of drug use, drug sales, and violent offending among a sample of gang and non-gang youth. In: Huff CR, editor. Gangs in America. 3rd. Thousand Oaks, CA: Sage; 2002. [Google Scholar]
- Esbensen FA, Winfree LT, Jr, He N, Taylor TJ. Youth gangs and definitional issues: When is a gang a gang, and why does it matter? Crime & Delinquency. 2001;47:105–130. [Google Scholar]
- Fawcett T. An introduction to ROC analysis. Pattern Recognition Letters. 2006;27:861–874. [Google Scholar]
- Haviland A, Nagin DS, Rosenbaum PR. Combining propensity score matching and group-based trajectory analysis in an observational study. Psychological Methods. 2007;12:247–267. doi: 10.1037/1082-989X.12.3.247. [DOI] [PubMed] [Google Scholar]
- Holland PW. Statistics and causal inference. Journal of the American Statistical Association. 1986;81:945–970. [Google Scholar]
- Hubbard DJ, Matthews B. Reconciling the differences between the “gender-responsive” and the “what works” literatures to improve services for girls. Crime and Delinquency. 2008;54(2):225–258. [Google Scholar]
- Huizinga D, Esbensen FA, Weiher AW. Are there multiple routes to delinquency? Journal of Criminal Law and Criminology. 1991;82:83–118. [Google Scholar]
- Imai K, Keele L, Tingley D. A general approach to causal mediation analysis. Psychological Methods. 2010;15:309–334. doi: 10.1037/a0020761. [DOI] [PubMed] [Google Scholar]
- Junger-Tas J, Marshall IH, Enzmann D, Killias M, Steketee M, Gruszczynska B, editors. Juvenile delinquency in Europe and beyond. New York: Springer; 2010. [Google Scholar]
- Keenan K, Loeber R, Green S. Conduct disorder in girls: A review of the literature. Clinical Child and Family Psychology Review. 1999;2(1):3–19. doi: 10.1023/a:1021811307364. [DOI] [PubMed] [Google Scholar]
- Kruttschnitt C. Gender and Crime. Annual Review of Sociology. 2013;39:291–308. [Google Scholar]
- Lee B, Lessler J, Stuart EA. Improving propensity score weighting using machine learning. Statistics in Medicine. 2009;29:337–346. doi: 10.1002/sim.3782. [DOI] [PMC free article] [PubMed] [Google Scholar]
- Little RJA, Rubin DB. Causal effects in clinical and epidemiological studies via potential outcomes: Concepts and analytical approaches. Annual Review of Public Health. 2000;21:121–145. doi: 10.1146/annurev.publhealth.21.1.121. [DOI] [PubMed] [Google Scholar]
- Lueptow L, Mueller SA, Hammes RR, Master LR. The impact of informed consent regulations on response rate and response bias. Social Methods Research. 1977;6:183–204. doi: 10.1177/004912417700600204. [DOI] [PubMed] [Google Scholar]
- Lumley T. Survey: Analysis of complex survey samples. 2010 [Computer software manual]. Available from http://CRAN.R-project.org/package=survey (R package version 3.22-1)
- Matsuda KN, Melde C, Taylor TJ, Freng A, Esbensen FA. Gang membership and adherence to the “code of the street”. Justice Quarterly. 2013;30:440–468. [Google Scholar]
- McCaffrey DF, Ridgeway G, Morral AR. Propensity score estimation with boosted regression for evaluating causal effects in observational studies. Psychological Methods. 2004;9:403–425. doi: 10.1037/1082-989X.9.4.403. [DOI] [PubMed] [Google Scholar]
- Mears DP, Ploeger M, Warr M. Explaining the gender gap in delinquency: Peer influence and moral evaluations of behavior. Journal of Research in Crime and Delinquency. 1998;35:251–266. [Google Scholar]
- Melde C, Esbensen FA. Gang membership as a turning point in the life course. Criminology. 2011;49:513–552. [Google Scholar]
- Melde C, Esbensen FA. The relative impact of gang status transitions: Identifying the mechanisms of change in delinquency. Journal of Research in Crime and Delinquency. 2013 doi: 10.1177/0022427813507059. in press. [DOI] [Google Scholar]
- Miller J. One of the guys: Girls, gangs, and gender. New York: Oxford University Press; 2001. [Google Scholar]
- Papachristos AV. Murder by Structure: Dominance Relations and the Social Structure of Gang Homicide. American Journal of Sociology. 2009;115(1):74–128. doi: 10.1086/597791. [DOI] [PubMed] [Google Scholar]
- Petersen RD, Howell JC. Program approaches for girls in gangs: Female specific or gender neutral? Criminal Justice Review. 2013;38(4):491–509. [Google Scholar]
- Peterson D. Girls in Gangs and Implications for Gender-Specific Programming. Paper presented at the 8th Annual Youth Violence Prevention Conference; St. Louis. 2009. Apr, [Google Scholar]
- Peterson D, Carson DC. The sex composition of groups and youths' delinquency: a comparison of gang and non-gang peer groups. In: Esbensen FA, Maxson C, editors. Youth gangs in international perspective: tales from the eurogang program of research. New York: Springer; 2012. pp. 189–210. [Google Scholar]
- Peterson D, Miller J, Esbensen FA. The impact of sex composition on gangs and gang members delinquency. Criminology. 2001;39:411–440. [Google Scholar]
- Quiles ZN, Kinnunen T, Bybee J. Aspects of guilt and self-reported substance use in adolescence. Journal of Drug Education. 2002;32:343–362. doi: 10.2190/VN3D-5M0A-47BN-3Y3T. [DOI] [PubMed] [Google Scholar]
- Ridgeway G. Assessing the effect of race bias in post-traffic stop outcomes using propensity scores. Journal of Quantitative Criminology. 2006;22:1–29. [Google Scholar]
- Ridgeway G, McCaffrey D, Morral A. twang: Toolkit for weighting and analysis of nonequivalent groups. R package version 1.0-1 2006 [Google Scholar]
- Robins JM, Greenland S. Identifiability and exchangeability for direct and indirect effects. Epidemiology. 1992;3:143–155. doi: 10.1097/00001648-199203000-00013. [DOI] [PubMed] [Google Scholar]
- Robins JM, Hernan M, Brumback B. Marginal structural models and causal inference in epidemiology. Epidemiology. 2000;11:550–560. doi: 10.1097/00001648-200009000-00011. [DOI] [PubMed] [Google Scholar]
- Rosenbaum PR, Rubin DB. The central role of the propensity score in observational studies for causal effects. Biometrika. 1983;70:41–55. [Google Scholar]
- Rosenbaum PR, Rubin DB. Constructing a control group using multivariate matched sampling methods that incorporate the propensity score. American Statistician. 1985;39:33–38. [Google Scholar]
- Rubin DB. Estimating causal effects of treatments in randomized and nonrandomized studies. Journal of Educational Psychology. 1974;66:688–701. [Google Scholar]
- Rubin DB. Statistics and causal inference: Comment: Which ifs have causal answers? Journal of the American Statistical Association. 1986;81:961–962. [Google Scholar]
- Rubin DB. Causal inference using potential outcomes: Design, modeling, decisions. Journal of the American Statistical Association. 2005;100:322–331. [Google Scholar]
- Schafer JL, Kang J. Average causal effects from non-randomized studies: A practical guide and simulated example. Psychological Methods. 2008;13:279–313. doi: 10.1037/a0014268. [DOI] [PubMed] [Google Scholar]
- Setoguchi S, Schneeweiss S, Brookhart MA, Glynn RJ, Cook EF. Evaluating uses of data mining techniques in propensity score estimation: A simulation study. Pharmacoepidemiology and Drug Safety. 2008;17(6):546–555. doi: 10.1002/pds.1555. [DOI] [PMC free article] [PubMed] [Google Scholar]
- Sewell WH, Hauser RM. Education, occupation and earnings: Achievement in the early career. New York: Academic Press; 1975. [Google Scholar]
- Shadish WR. Propensity score analysis: Promise, reality, and irrational exuberance. Journal of Experimental Criminology. 2013;9:129–144. [Google Scholar]
- Stapley JC, Haviland JM. Beyond depression: Gender differences in normal adolescents' emotional experiences. Sex Roles. 1989;20:295–308. [Google Scholar]
- Steffensmeier D, Allen E. Gender and crime: Toward a gendered theory of female offending. Annual Review of Sociology. 1996;22:459–487. [Google Scholar]
- Stuewig J, McCloskey LA. The relation of child maltreatment to shame and guilt among adolescents: Psychological routes to depression and delinquency. Child Maltreatment. 2005;10:324–336. doi: 10.1177/1077559505279308. [DOI] [PubMed] [Google Scholar]
- Stuewig J, Tangney JP. Shame and guilt in antisocial and risky behaviors. In: Tracy JL, Robins RW, Tangney JP, editors. The self-conscious emotions. New York: Guilford; 2007. pp. 371–388. [Google Scholar]
- Svensson R. Shame as a consequence of the parent-child relationship: A study of gender differences in juvenile delinquency. European Journal of Criminology. 2004;1:477–504. [Google Scholar]
- Svensson R, Weerman FM, Lieven JR, Pauwels G, Bruinsma JN, Bernasco W. Moral emotions and offending: Do feelings of anticipated shame and guilt mediate the effect of socialization on offending. European Journal of Criminology. 2013;10:22–39. [Google Scholar]
- Tape T. Interpreting diagnostic tests. Vol. 2012. Lincoln, NE: University of Nebraska Medical Center; no date. Retrieved December 1, 2013 from http://gim.unmc.edu/dxtests/roc3.htm. [Google Scholar]
- Thornberry TP, Krohn MD, Lizotte AJ, Smith CA, Tobin K. Gangs and delinquency in developmental perspective. New York: Cambridge University Press; 2003. [Google Scholar]
- Tibbetts S. Self-conscious emotions and criminal offending. Psychological Reports. 2003;93:101–126. doi: 10.2466/pr0.2003.93.1.101. [DOI] [PubMed] [Google Scholar]
- Tracy JL, Robins RW. The self in self-conscious emotions: A cognitive appraisal approach. In: Tracy JL, Robins RW, Tangney JP, editors. The self-conscious emotions. New York: Guilford; 2007. pp. 3–20. [Google Scholar]
- VanderWeele TJ. Marginal structural models for the estimation of direct and indirect effects. Epidemiology. 2009;20:18–26. doi: 10.1097/EDE.0b013e31818f69ce. [DOI] [PubMed] [Google Scholar]
- VanderWeele TJ, Vansteelandt S. Conceptual issues concerning mediation, interventions, and composition. Statistics and Its Interface. 2009;2:457–468. [Google Scholar]
- West SG, Biesanz JC, Pitts SC. Causal inference and generalization in field settings: Experimental and quasi-experimental designs. In: Reis HTJ, Judd C, editors. Handbook of research methods in social and personality psychology. New York: Cambridge University Press; 2000. pp. 40–84. [Google Scholar]
- Wikstrom POH. Individuals, settings, and acts of crime: Situational mechansims and the explanation of crime. In: Wikstrom POH, Sampson RJ, editors. The explanation of crime: Context, mechansims, and development. Cambridge, UK: Cambridge University Press; 2006. [Google Scholar]
- Wikstrom POH. Explaining crime as moral action. In: Hitlin S, Vaisey S, editors. Handbook of the sociology of morality. New York, NY: Springer; 2010. [Google Scholar]
- Wilcox P, May DC, Roberts SD. Student weapon possession and the “fear and victimization hypothesis”: Unraveling the temporal order. Justice Quarterly. 2006;23:502–529. [Google Scholar]
- Wimer C, Sampson RJ, Laub JH. Estimating time-varying causes and outcomes with application to incarceration and crime. In: Cohen P, editor. Applied data analytic techniques for turning points research. New York: Routledge; 2008. pp. 37–59. [Google Scholar]
- Winship C, Morgan SL. The estimation of causal effects from observational data. Annual Review of Sociology. 1999;25:659–706. [Google Scholar]




