Abstract
Dark matter-only simulations of galaxy formation predict many more subhalos around a Milky Way-like galaxy than the number of observed satellites. Proposed solutions require the satellites to inhabit dark matter halos with masses 109–1010 Msun at the time they fell into the Milky Way. Here we use a modelling approach, independent of cosmological simulations, to obtain a pre-infall mass of
Msun for one of the Milky Way's satellites: Carina. This determination of a low halo mass for Carina can be accommodated within the standard model only if galaxy formation becomes stochastic in halos below ∼1010 Msun. Otherwise Carina, the eighth most luminous Milky Way dwarf, would be expected to inhabit a significantly more massive halo. The implication of this is that a population of ‘dark dwarfs' should orbit the Milky Way: halos devoid of stars and yet more massive than many of their visible counterparts.
The cold dark matter paradigm predicts that Milky Way-like galaxies should have dwarf galaxies with dark matter halos as satellites. Ural et al. present a new model, independent of cosmological simulations, that constrains the pre-infall mass of the Milky Way satellite Carina to a value lower than expected.
While the Cold Dark Matter paradigm for structure formation in the Universe has been very successful in reproducing observations on scales larger than ∼1 Mpc (refs 1, 2, 3), on galactic scales there have been long-standing puzzles. The discrepancy between the predictions of the Cold Dark Matter paradigm and the observed properties of the dwarf spheroidal galaxy satellites (dSphs) of the Milky Way has persisted for over a decade. Numerical models predict that thousands of dark matter subhalos should be found orbiting the Milky Way and Andromeda, yet only a few tens have been found to date4,5. This has become known as the ‘Missing Satellites' problem. A popular resolution of this issue is to place stars only in the most massive satellite halos, implying a total or ‘virial' mass for the Milky Way dSphs of ∼1010 Msun (see Fig. 1). However, in such halos, the required central stellar velocity dispersions of the dSphs would be too high to be consistent with the Milky Way dSphs6. More recent work has shown further that more refined mappings between luminous and dark matter result in a population of massive satellites, which have inexplicably failed to form stars (the ‘Too Big To Fail' problem)7,8,9. Several solutions have been proposed, including lowering the mass of the Milky Way halo10, or the central stellar velocity dispersion of the dSphs through the action of stellar feedback11. However, these still require the Milky Way dSphs to inhabit dark matter halos with pre-infall masses greater than ∼109 Msun4.
Figure 1. The estimated pre-infall mass of the Carina dwarf compared with predictions from cosmological simulations.
The estimated pre-infall mass of the carina dwarf compared with predictions from cosmological simulations. The blue28 and green29 lines show abundance matching estimates based on data from the Sloan Digital Sky Survey; below B1010 Msun (grey lines), they both become extrapolations. The red and black lines show the stellar mass halo mass relation taken from a recent cosmological hydrodynamical simulation16, using the halo mass before infall (BI: black) and at the present time (red). Unlike the other lines and data points, these two curves are not based on abundance-matching16. The purple points show the abundance-matching results between Local Group dwarfs and a ‘constrained' simulation of our local volume30. The black and red circles are our pre-infall mass estimates (M200) for Carina for cusped and cored dark matter halos, respectively. They are lower than any of the curves, only marginally consistent with the extrapolation to low luminosities of the relation found in ref. 28. Finally, the black (cusped) and red triangles (cored) are our present-day mass estimates within 1.5 kpc. We calculate the 1σ error bars by including 68% of the good models around the median value as given in Table 1.
Here we use a new ‘disequilibrium' model fitting algorithm to constrain the mass of a dwarf galaxy—Carina—that appears to be in the process of tidal disruption by the Milky Way12. Previous simulations of Carina, which assumed identical spatial distributions for the dark matter and stars, suggested that tides have played a role in the evolution of this system13. The extensive observed data for Carina, combined with our larger parameter space of non-equilibrium models, allows us to measure the mass of Carina over a far greater radial range than has been possible to date. Most significantly, we are able to ‘wind the clock' back to estimate its mass before it fell into the Milky Way, without recourse to comparisons with cosmological simulations.
Results
Simulation procedure
Our method works by simulating the disruption of almost 19,000 N-body Carina models in a static Milky Way potential. To marginalize over the unknown model parameters, the N-body models are wrapped up inside a Markov Chain Monte Carlo (MCMC) pipeline (see Methods section). For the dark matter halo, we allowed both cusped and cored central density profiles. The former are found in cold dark matter simulations, while the latter give a better match to observations14. The main advantage of the method over previous studies is that by using full N-body simulations, we can model ‘disequilibrium' systems like the tidally disrupting Carina dSph. A demonstration of the performance of our methodology on artificial data is shown in Fig. 2: we recover both the pre-infall and present-day mass of a mock dwarf.
Figure 2. The results of MCMC chains run with artificial input data.
The present-day mass is very well constrained (red histogram)—the red dashed line shows the actual value from the target model. The pre-infall mass (blue histogram) has more uncertainty but is still close to the actual value (solid blue line), despite the large range of masses explored by the chains. The values quoted in the legends of the histograms are the median values that the best models in the MCMC chains found. The likely reason for the larger uncertainty in the pre-infall mass is that the target model in this test was chosen to be on a very eccentric orbit and has undergone stronger tidal disturbance than Carina (see Table 1). In addition, the noise we add to its ‘observations' (in order to make the uncertainties similar to those in Carina) admits models with a larger range of orbital eccentricities. Both histograms show models with χ2<9.
Mass of the Carina dsph
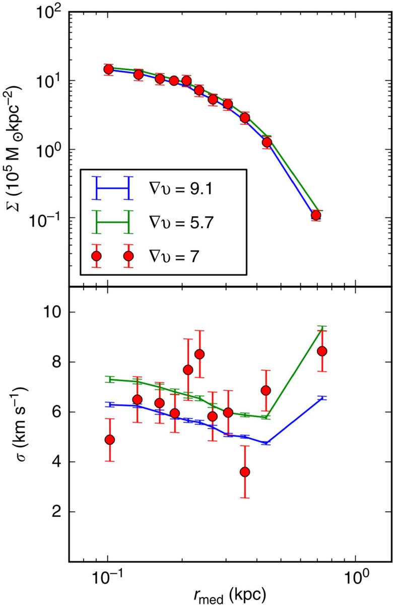
In Fig. 3, as well as Table 1, we show our results for Carina. Figure 3 shows our best fit surface brightness (top) and projected velocity dispersion (bottom) profiles. Table 1 reports the median and 68% confidence intervals for all of our fitted parameters. To facilitate comparison with the predictions of cosmological simulations, we calculate the distribution of M200 (the mass within the radius where the mean density of the dSph reaches 200 times the critical density of the Universe) values at the start of our simulations. We find pre-infall M200 values of 3.9 × 108 (−2.4;+3.9) and 3.37 × 108 (−2.1;+3.8) Msun for Carina models with cusped and cored halos, respectively. Interestingly, this low mass estimate agrees with an earlier study, which found that the halos in the Aquarius cosmological simulations that reproduced the mass of Carina at the present time were those with pre-infall masses of <4 × 108 Msun4. After infall, M200 is no longer a meaningful quantity for a satellite galaxy, and we therefore use the mass within 1.5 kpc (the radial extent of our surface brightness and velocity dispersion data) as our present-day mass estimate. This quantity is very well constrained, with M(r<1.5 kpc)=7.1 × 107 (−3.5;+2.8) and 9.7 × 107 (−4.8;+4.9) Msun for the cusped and cored halos, respectively. We find that both cusped and cored models fit the data very well, suggesting that there is little power in the binned data to distinguish between the two. In general, protected by their higher central densities, cusped halos are able to withstand the stronger tidal forces experienced during closer perigalactic passages.
Figure 3. A comparison between the best Carina models with cusped and cored dark matter halos and the observed data.
The figure shows the surface brightness and projected velocity dispersion profiles (and the velocity gradient given in km s-1 in the legend) from two of our best models. The red data points are the observations with associated 1σ errors. The blue and green curves come from our best fit cusped and cored models, respectively, with their 1σ Poisson errors calculated in each bin.
Table 1. Parameter constraints for Carina.
| Range | Cusp (Σ, σ, ∇v) | Core (Σ, σ, ∇v) | Cusp (Σ, σ) | |
|---|---|---|---|---|
| Ms (105 Msun; pre-infall) | 4.3; 21.5 | 4.8 (−0.35; +0.6) | 4.8 (−0.35; +0.49) | 4.9 (−0.4; +0.55) |
| rs (kpc) | 0.074; 0.74 | 0.2 (−0.06; +0.04) | 0.19 (−0.07; +0.06) | 0.22 (−0.07; +0.06) |
| Mh (108 Msun) | 0.01; 100 | 4.0 (−2.4; +4.1) | 3.48 (−2.25; +3.87) | 2.57 (−1.42; +3.7) |
| rh (kpc) | rs; 5 | 2.06 (−1.11; +1.96) | 0.88 (−0.46; +0.48) | 1.55 (−0.67; +1.78) |
| μα cos(δ) (mas cent−1) | −0.17; 0.61 | 0.15 (−0.15; +0.36) | 0.15 (−0.15; +0.33) | 0.23 (−0.21; +0.25) |
| μδ (mas cent−1) | −0.09; 0.57 | 0.11 (−0.11; +0.36) | 0.30 (−0.3; +0.17) | 0.26 (−0.17; +0.18) |
| Rperi (kpc) | — | 91.3 (−71.8; +10.7) | 98.6 (−61.9; +3.3) | 98.2 (−62.5;+3.6) |
| M200 (108 Msun; pre-infall) | — | 3.9 (−2.4; +3.9) | 3.37 (−2.1; +3.8) | 2.44 (−1.3; +3.56) |
| M(r<1.5 kpc; 107 Msun) | — | 7.1 (−3.4; +2.8) | 9.7 (−4.8; +4.9) | 6.1 (−2.4; +3.5) |
| vmax,in (pre-infall; km s-1) | — | 17.4 (−3.6; +3.2) | 18.3 (−3.6; +5.4) | 15.0 (−2.8; +4.2) |
| vmax (present; km s-1) | — | 15.0 (−3.1; +2.9) | 17.0 (−3.9; +4.4) | 13.7 (−2.7; +4.0) |
MCMC, Markov Chain Monte Carlo.
The parameters listed in the first column are as follows: stellar mass and scale length (Ms, rs); total halo mass we use to generate the model and scale length (Mh, rh); the proper motions (μα cos(δ), μδ); perigalactic distance (Rperi); the pre-infall and present epoch masses as explained in the text (M200, M(r<1.5 kpc)); and the maximum halo circular velocity before infall and today (vmax,in, vmax). The second column gives the range of values explored by our MCMC chains. Columns three and four list the constraints we obtain for all parameters for chains that used cored or cusped models and included the velocity gradient in the model likelihood. The fifth column presents results for chains with cusped models in which the velocity gradient was ignored. The estimated pre-infall and present-day masses for Carina are calculated as the average values given by our cored and cusped chains.
Our favoured models include both cases in which Carina inhabits a rather low-mass halo, showing significant tidal disruption in its outer parts and cases where it is protected from external tides by a massive halo. These latter models may be favoured by a recent study that found no evidence for tidal tails at a radius of ∼1 degree from the main body of Carina15. We explicitly tested which of our models show visible tidal tails when analysed similarly to that study and found that only the most tidally disrupted are inconsistent with their results. Table 1 presents results from the three sets of model chains, a cusped and a cored chain that use surface brightness, velocity dispersion and velocity gradient and an additional set of model chains with cusped haloes but which excluded the velocity gradient data. It is seen that ignoring the velocity gradient favours models with an even lower pre-infall mass (nevertheless, consistent with our other results within the errors). We expect our results for Carina to be relatively insensitive to the detailed properties of the Milky Way disk as the majority of successful models are not on disk-crossing orbits.
Discussion
The most striking aspect of our results is our upper bound on the mass of Carina both today and pre-infall. In Fig. 1, we compare this upper bound to predictions derived from ‘abundance matching' schemes, where satellite luminosity is assumed to depend monotonically on the mass of the dark matter subhalos at infall, as well as to cosmological hydrodynamical simulations. Intriguingly, our data point for Carina lies to the low-mass side of all but one of the extrapolated relations. Even in this case, there is a tension at the ∼1σ level. Our pre-infall mass estimate, being based on N-body simulations constrained by the observed data for the Carina dSph, does not rely on any assumed cosmological model and, unlike previous studies, it is entirely independent of any cosmological simulations. The low mass that we find thus provides a new and complementary insight into the mapping between low-mass haloes and low-luminosity galaxies and suggests that a simple monotonic mapping between light and dark in our standard cosmological model fails. One solution is to posit that for halo masses below ∼1010 Msun, the physics of galaxy formation leads to a halo occupation function that is effectively stochastic, as suggested by some cosmological hydrodynamic simulations16,17.
Our findings can be extended in the near future: dwarf galaxy proper motions from the Gaia satellite will significantly decrease the orbital uncertainties for Carina and the other Local Group dwarfs18. Combined with deep photometric observations of dwarf outskirts, we will be able to obtain a pre-infall mass distribution for the whole population. This will address the important question of whether Carina is an outlier in the mass distribution. However, even taken in isolation, our determination of the mass of Carina before interacting with the Milky Way precludes any models that associate the most luminous dSphs with the most massive subhalos.
Methods
Markov chain Monte Carlo
We performed a large suite of N-body simulations that compared the final state of the disrupting dwarf spheroidal galaxies in the tidal field of the Milky Way to a host of observational data for the Carina dwarf galaxy. The simulations were performed within a MCMC framework19 in order to sample the parameter space effectively and constrain the properties of the dSph. Our method is reminiscent of ref. 20 that uses a genetic algorithm combined with restricted N-body simulations to explore the tidal disruption of NGC 205 around the Andromeda galaxy. However, our method is more general, using full rather than restricted N-body simulations and using an MCMC algorithm that allows us to fully explore parameter degeneracies.
First, a two-component, non-rotating and spherical N-body model of the dSph was built with 2 × 105 particles split equally between the dark matter and stellar components. The starting coordinates and velocities of the dSph were calculated by integrating the orbit of a point mass backwards in a static Milky Way potential using the present-day position and velocity. We then replaced the point mass with the live model and performed a full N-body simulation of its evolution around the Milky Way for 6 Gyr. At the end of the simulation, the radial profiles for the velocity dispersion (σ) and the surface brightness (Σ), as well as the velocity gradient (∇v) between the outermost bins along the major axis of the model dwarf were calculated, and a (reduced) χ2-statistic was used to compare it with Carina data12,21. The likelihood ratio between the consecutive models was used to determine the more favourable region of the parameter space at each step, as the Markov Chain accepted either the new model or re-accepted the older one with the better likelihood. This is the learning process of the MCMC algorithm that chooses new initial conditions for the simulations at each step on the basis of the initial conditions of the last model that is accepted. In our pipeline, the proper motions are used as a prior on the basis of observational data and running N-body simulations that fit both the observational profiles and the proper motions, we are able to marginalize over orbit and halo properties simultaneously with the minimum number of assumptions for the dark matter mass and distribution of the satellite.
Supplementary Fig. 1 shows a schematic representation of the algorithm and the codes used at each step. MCMC chains that used models with cusped and cored halos were run separately, where each N-body simulation took ∼1 h on 32 processors on average. As a very large number of simulations needed to be performed (∼19,000 in total for Carina), several chains were run in parallel. Before adding the chains together for the final analysis, the first 50–100 simulations of each of them were dismissed to account for the burn-in period of the algorithm.
Parameter space
The parameter space of initial conditions consisted of six free parameters (μα cos(δ), μδ,, Ms, rs, Mh and rh) for which the allowed ranges are given in Table 1. Given the potential for systematic errors in the observed proper motions, the allowed range for the present-day proper motions (μα cos(δ), μδ) used for the orbit integration was the 3σ range of the observations (the values of the revised proper motions were obtained through private communication from the authors of ref. 22). The N-body models were generated with falcON23 according to the split power profiles given in Equation 1, where α, β and γ were fixed: 1,4,1 for the cusped halo; 0,4,1 for the cored halo; and 0.515, 4.45 and 0.287 for the stellar component.
![]() |
The latter was chosen to have a functional form providing a good fit to the present-day surface density in the central regions, albeit with variable amplitude and scale radius that can take values between 0.2 and 2.5 times the original fit (rs=0.237 kpc). The initial stellar mass Ms was allowed to be up to five times larger than the current one.
The initial mass of the dark matter halo Mh could be as small as 106 Msun, making it only twice as massive as the stellar component, while the upper limit is high enough (1010 Msun) to allow the large mass models predicted by the cosmological simulations to be tested. Similarly, while the scale radius of the dark matter halo, rh can be as large as 5 kpc, the lower limit is determined by that of the stellar component for each model.
Technical details of the N-body simulations and the Milky Way potential
The external Milky Way potential (pot 4a24) implemented for the point mass orbit integrator25 and the N-body code PkdGRAV-1 (ref. 26) was provided by the GalPot programme provided in the NEMO Stellar Dynamics Toolbox27. The mass of the Milky Way reaches 5 × 1011 Msun at 100 kpc, which is Carina's current distance. The simulation time of 6 Gyr was chosen to allow a large enough timescale for the dwarf's evolution while avoiding the complications because of the evolution of the Milky Way potential, and hence Carina's orbit25.
We keep the parameters describing the potential of the Milky Way fixed in our analysis. This is an additional systematic error that we do not currently marginalize over. However, much of the associated uncertainty is accounted for by the wide range of proper motions admitted by the large observed errors bars and so marginalizing over uncertainties in the Milky Way potential is not yet required. However, as Carina's proper motion errors shrink, this may become the leading error term. Such a situation would open up the possibility of actually constraining the Milky Way potential alongside the mass and orbit of Carina.
The parameters used in PkdGRAV were chosen on the basis of analysis of simulations with different number of particles, opening angle, time step and the softening length, taking into account the trade-off between CPU time and accuracy. Supplementary Table 1 shows a subset of these simulations where it is seen that the main factor that can affect the χ2 is the number of particles. Therefore, we chose N=2 × 105, the largest number of particles that were computationally affordable—the slow down of the simulation when run with 2 × 106 particles instead of 2 × 105 was a factor of 10. We underline that even for the very tidally disrupting model we present in Supplementary Fig. 2, the effects of changing these numerical parameters is not large enough to change the results of the MCMC.
Tests with mock data
To test the MCMC pipeline described above, we ran the chains first for a mock dSph instead of Carina. The mock dwarf had a cusped dark matter halo profile to start with and its final Σ, σ and ∇v were similar to those of Carina. We modified the Σ and σ profiles, adding Gaussian noise to each data bin as well as increasing the error bars to match the s.d. of the data that resulted in a Mock dwarf with similar uncertainties to Carina. The noise in the velocity gradient in Carina was calculated for ∼10 stars in the outermost data bin on the major axis. The error bars were obtained by using 100,000 random samples of 10 stars. Both the ideal N-body model and the noisy data are presented in Supplementary Fig. 3, where an increase in the velocity dispersion in the outer bins because of the eccentric orbit of the dwarf is observed.
Three sets of Markov Chains were run separately for the mock dwarf. Two chains where the likelihood comparisons between models were made using (Σ, σ, ∇v) were run separately testing either cored or cusped dark matter halos, while the third chain with a cusped halo used only Σ and σ in its ‘observations'. Supplementary Table 2 shows the parameter values used in the mock data as well as those found by the three chains. The χ2 cuts were chosen to include as many as possible ‘good' models for our statistical calculations to be meaningful. The numbers presented in the Supplementary Table 2 are derived from 2,469 (50 unique) models with χ2 (Σ, σ,∇v)<9 and 3,119 (335 unique) models with χ2 (Σ, σ)<6 for the cusped chains.
It is seen from Supplementary Table 2 that the current mass M(r<1.5 kpc) is very well constrained by both the cored and the cusped chains within the radius probed by the data. It is also seen that when the velocity gradient was excluded from the χ2 calculations, the chains found models with larger and more massive dark matter halos and hence overestimated the both the initial and the final mass. Interestingly, although the Mock dwarf was cusped to start with, the cored chains recovered the initial mass better than those with cusps that found models with M200 twice as massive. Nevertheless, the results for these chains are very promising considering the wide ranges of masses the algorithm explored. Supplementary Fig. 4 and Supplementary Fig. 5 show the distribution of the good models in the parameter space that was explored by the cusped (cored) chains, for all of the models as well as those within the χ2<9 cut. The figure shows that the orbit is the worst constrained property of the models; hence, any improvement of the observed uncertainties in the proper motions will improve the results.
As seen in Fig. 2, the final mass is very well constrained by the chains within the radius probed by the data.
MCMC for Carina
The same three sets of MCMC chains were then run for Carina, which is ideally suited for our study because of the quality of available photometric and spectroscopic data extending to large radii, as well as the evidence of a velocity gradient along the major axis12. These new chains found more models with small χ2 than those for the mock dwarf. In order to test the validity of the χ2 cut used above, we re-analysed the Carina chains for different cuts. Supplementary Figs 6 and 7 show the distribution of the models for a χ2<6 cut, which included 445 models (22 unique) and the χ2<9 cut that we use throughout this paper with 2,686 models (232 unique). As can be seen from the figures, these two options result in mass estimates consistent with each other. Therefore, as the overall power of the method we use is to provide a distribution of good models, we choose to use the same χ2 cut for Carina and the mock dwarf. As a final test, in Supplementary Fig. 8, we compare two models with different χ2 for both cusped and cored halos and demonstrate that even at the highest end of the χ2 range the models used still provide a reasonable match for Carina.
Code availability
The simulation data, MCMC algorithm, pytipsy package necessary to read the binary data files and the codes analysing the simulation data are available on the project website: http://vo.aip.de/dwarfedmasses/.
The new version of PkdGRAV that was used for the N-body simulation can be obtained from https://hpcforge.org/projects/pkdgrav2/.
The falcON code used to generate the two-component N-body models is part of the NEMO package available at https://github.com/Milkyway-at-home/nemo/tree/master/nemo_cvs/usr/dehnen/falcON.
Additional information
How to cite this article: Ural, U. et al. A low pre-infall mass for the Carina dwarf galaxy from disequilibrium modelling. Nat. Commun. 6:7599 doi: 10.1038/ncomms8599 (2015).
Supplementary Material
Supplementary Figures 1-8 and Supplementary Tables 1-2
Acknowledgments
We thank the developers of the codes we used in the pipeline: Hanni Lux for her orbit integration code; Walter Dehnen for the GalPot and falcON codes that we used to generate our two-component galaxies; Joachim Stadel for PkdGRAV; Jonathan Coles for his tipsy routines. We also thank Kristin Riebe who prepared the website of the project as well as the cover art. U.U. acknowledges funding for a large part of this project from the European Commission under the Marie Curie Host Fellowship for Early Stage Research Training SPARTAN, Contract No MEST-CT-2004-007512, University of Leicester, UK. M.I.W. acknowledges the Royal Society for support via a University Research Fellowship. J.I.R. would like to acknowledge support from SNF grant PP00P2 128540/1. M.G.W. is supported by National Science Foundation grants AST-1313045 and AST-1412999. The simulations in this paper used the Complexity HPC cluster at the University of Leicester, which is part of the DiRAC2 national facility, jointly funded by STFC and the Large Facilities Capital Fund of BIS.
Footnotes
Author contributions U.U. performed and analysed all the simulations described in this paper. M.G.W. calculated the velocity dispersion and mean velocity profiles on the basis of his latest observed data on the Carina dSph. M.I.W. and J.I.R. assisted with technical aspects of the numerical simulations and provided input on the cosmological implications of the work. All authors contributed to the writing of the paper.
References
- Planck Collaboration. Ade P. A. R., et al. Planck 2013 results, XVI. Cosmological parameters.. Astron. Astrophys. 571, 16–82 (2013). [Google Scholar]
- Coc A., Vangioni-Flam E., Descouvemont P., Adachour A. & Angoulo C. Updated Big Bang nucleosynthesis compared with wilkinson microwave anisotropy probe observations and the abundance of light elements. Astrophys. J. 600, 544–552 (2004). [Google Scholar]
- Seljak U., Makarov A. & McDonald P. Cosmological parameter analysis including SDSS Lyα forest and galaxy bias: Constraints on the primordial spectrum of fluctuations, neutrino mass, and dark energy. Phys. Rev. D71, 103515. [Google Scholar]
- Moore B. et al. Dark matter substructure within galactic halos. Astrophys. J. Lett. 524, 19–22 (1999). [Google Scholar]
- Klypin A., Kravtsov A., Valenzuela O. & Prada F. Where are the missing galactic satellites? Astrophys. J. 522, 82–92 (1999). [Google Scholar]
- Read J. I., Wilkinson M. I., Evans N. W., Gilmore G. & Kleyna J. T. The importance of tides for the Local Group dwarf spheroidals.. Mon. Not. R Astron. Soc. 367, 387–399 (2006). [Google Scholar]
- Boylan-Kolchin, M. Bullock J. S. & Kaplinghat M. Too big to fail?. The puzzling darkness of massive Milky Way subhaloes.. Mon. Not. R Astron. Soc. 415, 40–44 (2011). [Google Scholar]
- Boylan-Kolchin, M. Bullock J. S. & Kaplinghat M. The Milky Way's bright satellites as an apparent failure of ΛCDM. Mon. Not. R Astron. Soc. 422, 1203–1218 (2012). [Google Scholar]
- Wang J., Carlos S. F., Navarro J. F., Gao L. & Sawala T. The missing satellites of the Milky Way. Mon. Not. R Astron. Soc 424, 2715–2721 (2012). [Google Scholar]
- Vera-Ciro C. A., Helmi A., Starkenburg E. & Breddels M. A. Not too big, not too small: the dark haloes of the dwarf spheroidals in the Milky Way. Mon. Not. R. Astron. Soc 428, 1696–1703 (2013). [Google Scholar]
- Brooks A. M., Kuhlen M., Zolotov A. & Hooper D. A baryonic solution to the missing satellites problem. Astrophys. J. 765, 22–29 (2013). [Google Scholar]
- Munoz R. R. et al. Exploring halo substructure with giant stars. XI. The tidal tails of the Carina dwarf spheroidal galaxy and the discovery of magellanic cloud stars in the Carina foreground. Astrophys. J. 649, 201–223 (2006). [Google Scholar]
- Munoz R. R., Majewski S. R. & Johnston K. V. Modeling the structure and dynamics of dwarf spheroidal galaxies with dark matter and tides. Astrophys. J. 679, 346–372 (2008). [Google Scholar]
- Walker M. ,G. & Penarrubia J. A method for measuring (slopes of ) mass profiles of dwarf spheroidal galaxies. Astrophys. J. 742, 20–38 (2011). [Google Scholar]
- McMonigal B., Bate N. F. & Lewis G. F. Sailing under the magellanic clouds: A DECam view of Carina dwarf. Mon. Not. R Astron. Soc. 444, 3139–3149 (2014). [Google Scholar]
- Sawala T. et al. Bent by baryons: the low mass galaxy-halo relation. Mon. Not. R. Astron. Soc. 448, 2941–2947 (2015). [Google Scholar]
- Kuhlen Michael, Madau Piero, Krumholz & Mark R. Dwarf galaxy formation with H2-regulated Star Formation. II. Gas-rich Dark Galaxies at Redshift 2.5. Astrophys. J. 776, 34–42 (2013). [Google Scholar]
- Wilkinson M. I. & Evans N. W. The present and future mass of the Milky Way halo. Mon. Not. R Astron. Soc. 310, 645–662 (1999). [Google Scholar]
- Metropolos N., Rosenbluth A. W., Teller A. H. & Teller E. Equations of state calculations by fast computing machines. J. Chem. Phys. 21, (): 1087–1092 (1953). [Google Scholar]
- Howley K. M., Geha M. & Guhathakurta P. Darwin tames an andromeda dwarf: unraveling the orbit of NGC 205 using a genetic algorithm. Astrophys. J. 683, 722–749 (2008). [Google Scholar]
- Walker M. G., Mateo M. & Olszewski E. W. Stellar velocities in the Carina, Fornax, Sculptor, and Sextans dSph Galaxies: data From the Magellan/MMFS survey. Astron. J. 137, 3100–3138 (2009). [Google Scholar]
- Piatek S., Pryor C. & Olsewski E. W. 2004, Proper motions of dwarf spheroidal galaxies from hubble space telescope imaging. II. measurement for Carina. Astron. J. 126, 2346–2361 (2003). [Google Scholar]
- Dehnen W. A Hierarchical O (N) force calculation algorithm. J. Comp. Phys. 179, 27–42 (2002). [Google Scholar]
- Dehnen W. & Binney J. Mass models of the Milky Way. Mon. Not. R. Astron. Soc. 294, 429–438 (1998). [Google Scholar]
- Lux H., Read J. I. & Lake G. Determining orbits for the Milky Way's dwarfs. Mon. Not. R. Astron. Soc. 406, 2312–2324 (2010). [Google Scholar]
- Stadel J. Cosmological N-body Simulations and their Analysis. PhD Thesis, Univ. Washington, Source DAI-B 62/08, p. 3657 (2002).
- Teuben P. J. The Stellar Dynamics Toolbox NEMO. in Astronomical Data Analysis Software and Systems IV (eds R. Shaw, H. E. Payne & J. J. E. Haye) PASP Conference Series 77, 398–401 (1995).
- Behroozi P. S., Conroy C. & Wechsler R. H. A comprehensive analysis of uncertainties affecting the stellar mass-halo mass relation for 0<z<4. Astrophys. J. 717, 379–403 (2010). [Google Scholar]
- Moster B. P., Sommerville R. S. & Maulbetsch C. Constraints on the relationship between stellar mass and halo mass at low and high redshift. Astrophys. J. 710, 903–923 (2010). [Google Scholar]
- Brook C. B. et al. The stellar-to-halo mass relation for local group galaxies. Astrophys. J. 784, 14–18 (2014). [Google Scholar]
Associated Data
This section collects any data citations, data availability statements, or supplementary materials included in this article.
Supplementary Materials
Supplementary Figures 1-8 and Supplementary Tables 1-2




