Abstract
The ribosome is the primary protein synthesis machine in the cell and is a target for treatment of a variety of diseases including bacterial infection and cancer. The ribosomal peptide exit tunnel, the route of egress for the nascent peptide, is an inviting site for drug design. Toward a rational engagement of the nascent peptide components for the design of small molecule inhibitors of ribosome function, we designed and disclosed herein a set of N-10 indole functionalized azithromycin analogs. The indole moiety of these compounds is designed to mimic the translation stalling interaction of SecM W155 side-chain with the prokaryotic (E.coli) ribosome A751 residue. Many of these N-10 functionalized compounds have enhanced translation inhibition activities against E.coli ribosome relative to azithromycin while a subset inhibited the growth of representative susceptible bacteria strains to about the same extent as azithromycin. Moreover, the inclusion of bovine serum in the bacterial growth media enhanced the anti-bacterial potency of the N-10 functionalized azithromycin analogs by as high as 10-fold.
Graphical abstract

Introduction
The ribosome is the primary protein synthesis machine in the cell, and is among the most important and best studied systems in biology. The details of its function are central to our understanding of biology and treatment of a variety of diseases including bacterial infection and cancer.1,2 Translation, ribosome-mediated peptide synthesis, proceeds through a series of highly ordered steps in which messenger RNA (mRNA) is matched with transfer RNA (tRNA) through codon/anticodon pairing. These tRNAs carry with them the matched amino acid on the charged end opposite that of the pairing. Depending on their position in the sequence of events in this assembly-line-like system, tRNAs occupy three distinct locations within the ribosome named the aminoacyl- (A-), peptidyl- (P-), and exit- (E-) sites. The proximity of their charged ends (ester bonds) at the P- and A-sites allows for peptide bond formation. This catalytic step where the nascent peptide is transferred to the A-site bound tRNA occurs within the peptidyl transferase center (PTC). As the protein grows, it extends through the ribosomal nascent peptide exit tunnel, an 80 Å x 20 Å pathway once thought to be passive route of egress for the nascent peptide. However, increasingly more evidence suggests that the exit tunnel may play an active role in translation including preliminary folding and outright translational stalling.2–8
Efforts aimed at elucidating the nascent peptide-tunnel interaction have been hampered by a dearth of customizable molecular probes. Recently, we reported a class of oligopeptide-linked ketolide (peptolides) probes which furnished atomic level information about specific interactions between the ribosomal exit tunnel and models of nascent peptides.9 Earlier studies with translation stalling peptide sequences, including SecM, ErmBL and TnaC, have also provided evidence of direct interaction of the nascent peptide with the components of the exit tunnel.10–12 Inspired by these observations, we sought to rationally target the components of the exit tunnel to enhance the binding affinity of azithromycin, a class of macrolide antibiotics (Fig. 1), for the prokaryotic ribosomes. We showed that derivatization of the N-10 endocyclic amine of azithromycin with moieties which mimicked the SecM W155 side-chain resulted in a sub-set of analogs with enhanced translation inhibition activities against E.coli ribosome. Many of these functionalized azithromycin inhibited the growth of representative susceptible bacteria strains to about the same extent as azithromycin. Moreover, the inclusion of bovine serum in the bacterial growth media enhanced the anti-bacterial potency of the N-10 functionalized azithromycin analogs by as high as 10-fold while only 1.5-fold enhancement was observed for azithromycin.
Figure 1.

Structures of representative examples of clinically useful macrolides
Design and Chemistry
Macrolides (Fig. 1), a class of clinically useful antibiotics, inhibit prokaryotic translation by partially blocking the exit tunnel just before the constriction point where ribosomal large subunit proteins L4 and L22 narrow the tunnel to about 10 Å.13 However the efficacy of macrolides is being hampered by the increase in the prevalence of resistant bacteria.14–16 Previous optimization of the macrolides has furnished ketolides, such as telithromycin, with enhanced potency against some macrolide-resistant bacteria.17,18
Toward an alternative structure-guided optimization of macrolides, we have analyzed the X-ray structures of azithromycin bound to the ribosomes from various prokaryotes19,20 and the simulated structure of SecM bound to E.coli ribosome.10 SecM is a translation stalling peptide. The minimum sequence of SecM required for ribosomal stalling has been identified as 150FXXXXWIXXXXGIRAGP166, and mutational studies have shown that W155A led to the abolishment of translational stalling.21,22 Simulations performed by Gumbart et al.10 suggested that the stacking of W155 with A751 of the 23S rRNA is vital to stalling.10,21,22 Our analyses of the X-ray structures of azithromycin bound to the ribosomes and the simulated structure of SecM suggested that the crucial SecM W155 residue could be incorporated into the azithromycin endocyclic amine (N-10, adopting the azithromycin ring numbering by Hansen et al)19 (Fig. 2), possibly resulting in N-10 functionalized azithromycin analogs with enhanced affinity for the prokaryotic 50S ribosomal subunit. To confirm this deduction, we designed a series of azithromycin analogs modified at the N-10 with indoles. These compounds were designed such that their indole moiety will mimic the 23S A751/SecM W155 stacking. We chose two distinct moieties – alkyl and alkylaryl – as linkers to connect the indole analogs to the azithromycin ring. The alkyl linker is flexible and was inspired by a similar group in the ketolide antibiotic telithromycin. In contrast, the alkylaryl group is more rigid and was designed to test the effect of such constraint on compound ribosome binding affinity. Additionally, the substitutions on the indole ring were chosen to test the reliance of the interaction of the compounds with the ribosome on the A751/W155 π stacking.
Figure 2.

PDB 3OI119 showing the overlay of ribosome-bound azithromycin and modeled SecM. a) Cross section of the exit tunnel. 50S is shown in grey, SecM model in white, azithromycin in yellow. PTC is at the top of the image. b) View atop the exit tunnel where W155 and A751 are shown with 3.5 Å separation. Images generated using PyMOL.23
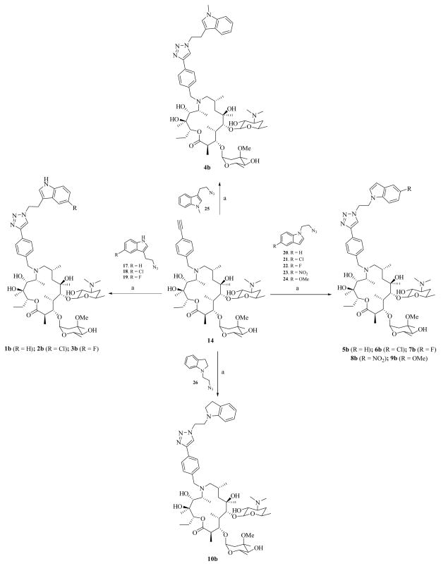
The synthesis of the requisite compounds was facilely accomplished through reductive amination reaction of 5-hexynal 1524 or 4-ethynylbenzaldehyde 1625 with commercially available azathramycin 12 to provide alkynyl derivatives 13 or 14 respectively (Scheme 1).26
Scheme 1.

(a) NaBH3CN, AcOH, DMF, 70 °C, 7 h
Final compounds (1a–10a, and 1b–10b) were obtained through copper catalyzed azide-alkyne cycloaddition reaction27–29 either between 13 (Scheme 2) or 14 (Scheme 3) and a series of azidoethyl indoles (17– 26).30–36
Scheme 2.
(a) CuI, Hünig’s base, THF/DMSO (1:1), 45 °C, 12 h
Scheme 3.
(a) CuI, Hünig’s base, THF/DMSO (1:1), 45 °C, 12 h
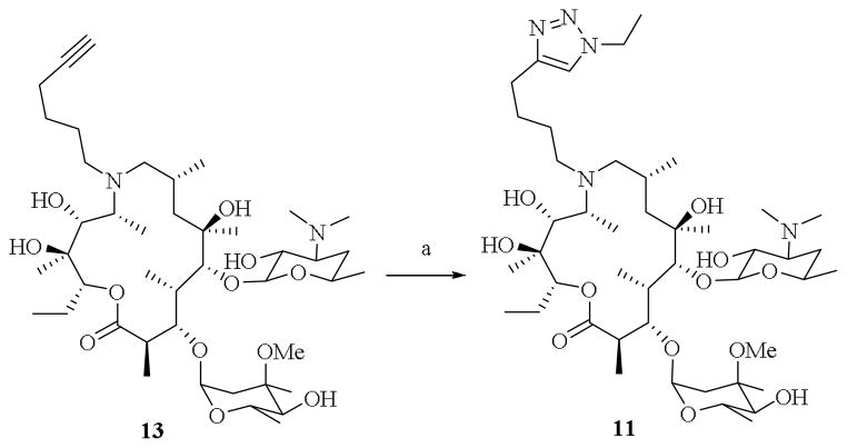
Compound 11 (Scheme 4) was also synthesized through copper catalyzed azide-alkyne cycloaddition reaction but in this case only compound 13 was reacted with excess sodium azide and excess ethyl iodide.
Scheme 4.
(a) EtI, NaN3, CuI, Hünig’s base, EtOH, H2O, 40 °C, 24 h
Results and Discussion
In vitro translation inhibition assays
To characterize the effects of azithromycin N-10 functionalization on ribosome function, we analyzed the ability of the all the synthesized compounds to inhibit prokaryotic and eukaryotic translation. The prokaryotic ribosome functional assay we used is based on the whole cell extract from E. coli, while the eukaryotic assay is derived from rabbit reticulocyte lysate (RRL) extract. Both assays utilize a luciferase based reporter, which measures the amount of luciferase protein produced, to indirectly quantify ribosome function.37,38 We determined the IC50s for all the target compounds in addition to that of azithromycin which we used as a positive (Table 1).
TABLE 1.
IC50 and MIC50 data for compounds 1a–10a and 1b–10b. All indole modifications studied are as shown. S30 = E. coli cell free; RRL = rabbit reticulocyte cell free. SA29213 = S. sureus ATCC 29213 (with serum as indicated). Enhancement is calculated as the ratio of MIC50 without serum over that with serum. ErmMRSA33591 = Erm+ MRSA ATCC 33591. EC27856 = E. coli ATCC 27856. nt = not tested.
| Cmpd ID | IC50 (μM) | MIC50 (μg/mL) | ||||||||
|---|---|---|---|---|---|---|---|---|---|---|
| R= | S30 | RRL | SA29213 | SA29213 w/ serum | Enhancement | ErmMRSA33591 | EC27856 | |||
|
|
1a | H | 0.540 ± 0.056 | >250 | 0.78 | 0.078 | 10 | NI | 16 |
| 2a | Cl | 0.88 ± 0.020 | >250 | 0.78 | 0.16 | 5 | NI | 32 | ||
| 3a | F | 2.6 ± 0.29 | >250 | 0.78 | 0.16 | 5 | NI | 32 | ||
|
4a | 0.227 ± 0.048 | >250 | 1.56 | 0.16 | 10 | NI | 128 | ||
|
5a | H | 0.128 ± 0.032 | >250 | 1.56 | 0.16 | 10 | NI | 64 | |
| 6a | Cl | 0.490 ± 0.070 | >250 | 0.78 | 0.16 | 5 | NI | 64 | ||
| 7a | F | 0.646 ± 0.27 | >250 | 1.56 | 0.31 | 5 | NI | 16 | ||
| 8a | NO2 | 0.811 ± 0.24 | >250 | 1.56 | 0.63 | 2.5 | NI | 16 | ||
| 9a | OMe | 0.238 ± 0.046 | >250 | 1.56 | 0.16 | 10 | NI | 16 | ||
|
10a | 0.147 ± 0.013 | >250 | 1.56 | 0.16 | 10 | NI | 4 | ||
|
|
1b | H | 0.12 ± 0.11 | >250 | 3.13 | 1.56 | 2 | NI | NI |
| 2b | Cl | 0.586 ± 0.065 | >250 | 1.56 | 1.56 | 1 | NI | NI | ||
| 3b | F | 2.03 ± 0.29 | >250 | 3.13 | 1.56 | 2 | NI | NI | ||
|
4b | 0.641 ± 0.19 | >250 | 6.25 | 1.56 | 4 | NI | 128 | ||
|
5b | H | 0.197 ± 0.026 | >250 | 1.56 | 0.63 | 2.5 | NI | 64 | |
| 6b | Cl | 1.25 ± 0.41 | >250 | 3.13 | 1.56 | 2 | NI | NI | ||
| 7b | F | 0.463 ± 0.16 | >250 | 1.56 | 0.78 | 2 | NI | 64 | ||
| 8b | NO2 | 0.442 ± 0.16 | >250 | 1.56 | 0.39 | 4 | NI | 128 | ||
| 9b | OMe | 0.504 ± 0.0051 | >250 | 1.56 | 0.78 | 2 | NI | NI | ||
|
10b | 0.555 ± 0.045 | >250 | 1.56 | 0.78 | 2 | NI | 64 | ||
|
11 | 1.22 ± 0.063 | >250 | 3.13 | 0.31 | 10 | NI | 32 | ||
| Azithromycin | 0.292 ± 0.12 | >250 | 0.78 | 0.13 | 6 | NI | 4 | |||
| Chloramphenicol | nt | nt | nt | nt | nt | 4 | ||||
| Vancomycin | nt | nt | 1.56 | 1.56 | 1 | 4 | nt |
We observed that all N-10 functionalized azithromycin compounds retained the prokaryotic translation inhibition preference of the parent azithromycin skeleton as none inhibits eukaryotic ribosome function up to the maximum tested concentration of 250 μM (Table 1). All compounds potently inhibit the prokaryotic ribosome function with a sub-set having enhanced translation inhibition activities relative to the azithromycin positive control. For the alkyl-linked series, the attachment of the indole moiety through the C-3 (compound 1a) weakens translation inhibition activity by 2-fold relative to azithromycin. Chloro- and fluoro-substitution at C-5 (compound 2a and 3a respectively) further weakens activity with fluorination resulting in the weakest activity (9-fold less than azithromycin). Interestingly, N-1 methylation of the unsubstituted indole ring (compound 4a) restores translation inhibition to a level slightly better than azithromycin. Connection of the indole to the azithromycin ring through the N-1 position further enhanced translation inhibition as the resulting compound 5a is 2.3-fold more potent then azithromycin. Although the subsequent C-5 halogenation compromised translation inhibition, fluorination at this position did not result in a glaring deleterious effect on potency as seen in the C-3 linked series (Table 1, comparing 2a/3a with 6a/7a). Introduction of nitro group into the C-5 position further weakens compound potency while methoxy group in the same position is less deleterious but the resulting compound 9a is about 2-fold less active than the unsubstituted compound 5a. Reduction of the indole group to indoline has only a modest effect on compound translation inhibition activity (Table 1, comparing 5a and 10a). Compound 11, alkyl-linked analog lacking the indole moiety, is about 2- to 10-fold weaker translation inhibitor than the unsubstituted C-3 and N-1 compounds 1a and 5a respectively. This data is suggestive of the essential role the interaction of the indole group with the ribosome components, possibly A751, plays in the potency of these N-10 functionalized azithromycin compounds.
The trend of translation inhibition activities among the more rigid alkylaryl-linked compounds 1b–10b is somewhat different from the trend within the flexible alkyl-linked compounds 1a–10a. Specifically, the alkylaryl-linked compounds are more tolerant of the points of linkage of the indole to the azithromycin as the translation inhibition activities of the C-3 and N-1 linked compounds 1b and 5b are virtually indistinguishable. Similar to the alkyl-linked compounds, halogenation at C-5 proved not to be beneficial. Nevertheless, we noticed an interesting switch of preference for either fluoro or chloro-substitution within the N-1 and C-3 linked compounds (Table 1, comparing 2b/3b vs 6b/7b). In contrast to what we observed in the alkyl-linked compounds, N-1 methylation of the unsubstituted indole ring worsens translation inhibition by more than 5-fold (Table 1, comparing 1b and 4b). Introduction of nitro (8b) or methoxy (9b) group into the C-5 position of the N-1 linked analogs has no added benefit to potency while reduction of the indole group to indoline surprisingly weakens compound potency by about 3-fold (Table 1, comparing 5b and 10b). Collectively, this translation inhibition study revealed that N-1 linked compounds 5a and 10a, C-3 linked compounds 1b and 5b are more potent prokaryotic translation inhibitors than azithromycin.
Antibacterial Activity
To test if these N-10 functionalized azithromycin compounds possess bacterial growth inhibition activity, we challenged them with a wild type, macrolide susceptible S. aureus (ATCC 29213), macrolide resistant S. aureus (ErmMRSA, ATCC33591) and gram negative (E. coli EC27856) bacterial strains. Neither azithromycin nor any of the N-10 modified compounds are active against S. aureus with constitutively active ermA (Erm+MRSA, ATCC33591), a macrolide resistant mechanism which targets the desosamine sugar common to this class of macrolides. Against E. coli, most of these N-10 functionalized compounds are weakly active with only 10a performing at a comparative level as azithromycin. Against macrolide susceptible S. aureus, we observed that despite their enhanced cell-free activities, compounds 1b, 5a, 5b and 10a are no better than azithromycin (Table 1). This discrepancy may be due to impairment of cell penetration of the N-10 functionalized compounds. However, the compounds within the alkyl-linked series (1a–10a) are slightly more potent than their alkylaryl-linked counterparts (1b–10b). Relative to 11, the antibacterial activities of compounds 1a and 5a are 4- and 2-fold enhanced, respectively. This data further support the role of the indole moiety in the interaction of these azithromycin analogs with the ribosome.
Interestingly, inclusion of 50% bovine serum into the culture media resulted in varying degrees of enhancement of the antibacterial activities of these N-10 functionalized azithromycin compounds, with 10-fold enhancement for 1a, 4a, 5a, 9a, and 10a, while 6b and 7b showed moderate enhancement. In comparison, azithromycin displayed a 6-fold potency enhancement in 50% bovine serum media. Serum-induced potency enhancement has been observed with azithromycin and other macrolides. The precise mechanism(s) for macrolide-serum synergy is not completely understood. Various factors, including the extent of macrolide protein binding, serum-induced pH variation, serum alpha-2-globulin and serum antibacterial peptides, have been suggested to contribute to the serum enhancement of antibiotic activity of macrolides and other antibiotics.36
Conclusion
The ribosomal peptide exit tunnel is an inviting site for drug design. We disclosed herein a set of functionalized azithromycin analogs incorporating indole moiety at the N-10 position of the macrocylic lactone ring. The indole moiety of these compounds is designed to mimic the translation stalling π-stacking interaction of SecM W155 side-chain with the prokaryotic ribosome A751 residue. A751 is a potential small molecule binding site as it is in close proximity to A752:U2609, the base pair in T. thermophilus and E. coli known to be targeted by the flexible alkyl-aryl arm of ketolide telithomycin.39 Our data revealed that many of these N-10 functionalized compounds have enhanced translation inhibition activities against E.coli ribosome relative to azithromycin, possibly due to proper presentation of the indole moiety for stacking interaction with A751. However, despite their enhanced cell-free activities, a subset of these compounds inhibited the growth of representative susceptible bacteria strains to about the same extent as azithromycin. Additionally, none of these compounds was able to overcome ermA-mediated macrolide resistance. This suggests that the extra indole-A751 π-stacking isn’t sufficient to overcome resistance. Efforts are ongoing to conclusively determine the ribosome binding pocket of these N-10 functionalized azithromycin compounds.
Experimental
General
All commercially available starting materials were used without further purification. Reaction solvents were either high performance liquid chromatography (HPLC) grade or American Chemical Society (ACS) grade and used without further purification. Analtech silica gel plates (60 F254) were used for analytical TLC, and Analtech preparative TLC plates (UV 254, 2000 μm) were used for purification. UV light, and anisaldehyde and iodine stains were used to visualize the spots. 100–200 Mesh silica gel was used in column chromatography. Azidoethyl indoles 17–26 were synthesized following literature protocols.30–36 Nuclear magnetic resonance (NMR) spectra were recorded on a Varian-Gemini 400 MHz or Bruker 500 MHz magnetic resonance spectrometer. 1H NMR spectra were recorded in parts per million (ppm) relative to the residual peaks of CHCl3 (7.24 ppm) in CDCl3 or CHD2OD (4.78 ppm) in CD3OD or DMSO-d5 (2.49 ppm) in DMSO-d6. Original “fid” files were processed using MestReNova LITE (version5.2.5-5780) program. High-resolution mass spectra were recorded at the Georgia Institute of Technology mass spectrometry facility in Atlanta.
Synthesis of N-10 functionalized Azithromycin Analogs
N10-(5-Hexyn-10-yl)azithromycin (13)
Azathramycin 12 (4.3 g, 5.85 mmol) and 5-hexyn-1-al 15 (2.30 g, 23.93 mmol) were dissolved in DMF (80 mL) under argon. Acetic acid (3.35 mL, 58.5 mmol) and NaBH3CN (735 mg, 11.7 mmol) were added and the resulting reaction mixture was stirred at 70 °C for 7 h. The reaction mixture was cooled to room temperature and was neutralized with saturated aqueous NaHCO3 solution (50 mL) and then the reaction mixture was extracted with dichloromethane (200 mL), washed with water (2 x 100 mL), brine (100 mL), dried over anhydrous Na2SO4, filtered and concentrated in vacuo. The crude was purified by column chromatography (eluent: 5:1:0.2 ethyl acetate (EA)/hexane/triethylamine (TEA)) to give the product 13 as white solid (1.43 g, 30%). 1H NMR (500 MHz, CDCl3) δ (ppm) 4.93 (d, J = 4.5 Hz, 1H), 4.64 (dd, J = 9.8, 2.2 Hz, 1H), 4.44 – 4.34 (m, 1H), 4.16 (dd, J = 6.1, 2.6 Hz, 1H), 4.01 (dq, J = 9.0, 6.2 Hz, 1H), 3.71 (s, 1H), 3.69 – 3.54 (m, 2H), 3.51 – 3.39 (m, 2H), 3.29 (s, 1H), 3.29 – 3.22 (m, 3H), 3.22 – 3.14 (m, 1H), 2.96 (t, J = 9.7 Hz, 1H), 2.91 – 2.81 (m, 1H), 2.79 – 2.67 (m, 2H), 2.63 (dt, J = 13.0, 6.5 Hz, 1H), 2.56 – 2.45 (m, 1H), 2.44 – 2.34 (m, 2H), 2.28 (d, J = 15.1 Hz, 1H), 2.22 (s, 6H), 2.20 – 2.07 (m, 4H), 2.07 – 1.96 (m, 2H), 1.90 (ddd, J = 13.2, 8.2, 5.3 Hz, 2H), 1.85 – 1.74 (m, 2H), 1.72 – 1.56 (m, 4H), 1.57 – 1.35 (m, 6H), 1.28 – 1.21 (m, 6H), 1.21 – 1.10 (m, 10H), 1.09 – 0.97 (m, 8H), 0.92 – 0.74 (m, 8H). HRMS (ESI) m/z Calcd. for C43H79O12N2 [M+H+]: 815.5628, found 815.5603.
3-(2-(4-(4-(Azithromycin-10-yl)butyl)-1H-1,2,3-triazol-1-yl)ethyl)-1H-indole (1a)
In a flame-dried round bottomed flask charged with magnetic stirring bar, compound 13 (173.0 mg, 0.213 mmol) and compound 17 (59.5 mg, 0.320 mmol) were added. Then, 2 mL of degassed 1:1 mixture THF and DMSO was added under argon followed by CuI (6.0 mg, 0.032 mmol) and Hünig’s base (0.02 mL, 0.14 mmol). The reaction mixture was stirred under argon at 45 °C for 12 h. The reaction mixture was cooled to room temperature and extracted with ethyl acetate (50 mL). The organic layer was washed with 4:1 mixture of satd. NH4Cl-NH4OH solution (2 x 10 mL), water (15 mL), brine (10 mL), dried over anhydrous Na2SO4, filtered, and concentrated in vacuo. The crude was purified by preparative chromatography (eluent: 15% MeOH in CHCl3 containing 4% triethylamine) to yield required product 1a as white solid (117 mg, 55%). 1H NMR (500 MHz, CDCl3) δ (ppm) 9.02 (d, J = 15.3 Hz, 1H), 7.48 (d, J = 7.7 Hz, 1H), 7.37 (dd, J = 16.6, 8.2 Hz, 1H), 7.12 (t, J = 7.5 Hz, 1H), 7.05 (t, J = 7.2 Hz, 1H), 6.74 (d, J = 18.9 Hz, 2H), 4.79 (d, J = 3.6 Hz, 1H), 4.70 (d, J = 9.7 Hz, 1H), 4.60 – 4.48 (m, 3H), 4.39 (dd, J = 18.3, 7.1 Hz, 2H), 4.06 (d, J = 6.1 Hz, 2H), 4.01 – 3.92 (m, 2H), 3.77 (s, 2H), 3.69 – 3.50 (m, 3H), 3.50 – 3.38 (m, 2H), 3.27 (s, 3H), 3.25 – 3.15 (m, 5H), 3.10 (s, 1H), 2.87 (dd, J = 20.3, 12.8 Hz, 3H), 2.81 – 2.72 (m, 2H), 2.66 (d, J = 12.2 Hz, 1H), 2.63 – 2.46 (m, 4H), 2.46 – 2.34 (m, 1H), 2.28 (s, 7H), 2.21 (d, J = 15.1 Hz, 1H), 2.18 – 2.08 (m, 1H), 2.02 – 1.91 (m, 5H), 1.90 (s, 1H), 1.88 – 1.77 (m, 1H), 1.66 (dd, J = 33.1, 13.2 Hz, 3H), 1.50 – 1.34 (m, 7H), 1.31 (d, J = 12.6 Hz, 3H), 1.25 – 1.04 (m, 18H), 1.02 (s, 6H), 0.95 – 0.72 (m, 6H). 13C NMR (126 MHz, CDCl3) δ (ppm) 178.0, 147.3, 136.6, 126.9, 123.7, 121.9, 121.9, 119.4, 118.2, 111.9, 110.7, 103.2, 95.8, 79.5, 78.0, 77.9, 74.9, 74.7, 73.5, 73.0, 71.0, 68.7, 66.0, 65.6, 50.7, 49.6, 45.3, 45.2, 41.1, 40.3, 35.1, 34.7, 29.5, 28.4, 27.8, 27.4, 26.8, 26.0, 24.9, 23.5, 23.0, 22.8, 21.7, 21.6, 21.5, 18.4, 16.7, 15.4, 15.0, 11.3, 9.6, 8.9, 8.9. HRMS (ESI) m/z Calcd. for C53H89O12N6 [M+H+]: 1001.6533, found 1001.6531.
5-Chloro-3-(2-(4-(4-(azithromycin-10-yl)butyl)-1H-1,2,3-triazol-1-yl)ethyl)-1H-indole (2a)
Following the same synthetic procedure and purification conditions described for 1a, the reaction between compound 13 (102 mg, 0.215 mmol), and compound 18 (50 mg, 0.23 mmol) in the presence of CuI (3.5 mg, 0.018 mmol) and Hünig’s base (0.01 mL, 0.08 mmol) in 2 mL of degassed 1:1 mixture THF and DMSO, gave the required product 2a (45 mg, 35%) as white solid. 1H NMR (500 MHz, MeOH-d4) δ (ppm) 7.43 (s, 1H), 7.20 (d, J = 8.5 Hz, 2H), 6.95 (dd, J = 18.0, 9.2 Hz, 2H), 4.86 (t, J = 7.8 Hz, 1H), 4.85 – 4.81 (m, 1H), 4.57 – 4.47 (m, 3H), 4.04 (tt, J = 15.0, 7.4 Hz, 1H), 3.89 (dd, J = 14.5, 6.4 Hz, 1H), 3.77 – 3.66 (m, 1H), 3.60 (s, 1H), 3.51 (ddt, J = 14.6, 9.6, 4.6 Hz, 3H), 3.39 (t, J = 6.6 Hz, 1H), 3.24 (s, 5H), 3.21 (t, J = 5.6 Hz, 8H), 3.10 (dq, J = 14.5, 7.3 Hz, 2H), 2.97 (dt, J = 16.5, 8.3 Hz, 5H), 2.90 (d, J = 13.1 Hz, 1H), 2.85 – 2.76 (m, 1H), 2.67 (d, J = 28.0 Hz, 1H), 2.58 (t, J = 6.8 Hz, 2H), 2.50 (s, 6H), 2.32 (dd, J = 15.1, 8.4 Hz, 1H), 2.05 – 1.91 (m, 2H), 1.86 – 1.73 (m, 7H), 1.66 (d, J = 13.9 Hz, 1H), 1.58 (dd, J = 12.6, 5.3 Hz, 1H), 1.55 – 1.41 (m, 6H), 1.28 (d, J = 16.0 Hz, 4H), 1.25 – 1.14 (m, 6H), 1.11 (t, J = 7.1 Hz, 3H), 1.03 (s, 3H), 1.02 – 0.96 (m, 3H), 0.90 (t, J = 9.9 Hz, 3H), 0.87 – 0.75 (m, 6H). 13C NMR (126 MHz, MeOH-d4) δ (ppm) 179.2, 148.5, 136.5, 129.8, 126.0, 125.8, 123.9, 122.8, 118.6, 113.7, 111.8, 103.6, 97.6, 80.8, 79.2, 78.6, 76.3, 75.9, 74.5, 71.8, 68.7, 66.9, 66.3, 52.5, 50.1, 47.7, 46.6, 40.3, 36.2, 35.4, 31.6, 28.3, 27.5, 25.7, 24.2, 22.9, 22.7, 22.5, 21.9, 21.7, 19.2, 17.9, 16.2, 14.9, 11.6, 10.3, 9.6. HRMS (ESI) m/z Calcd. for C53H88O12N6Cl [M+H+]: 1035.6143, found 1035.6147.
5-Fluoro-3-(2-(4-(4-(azithromycin-10-yl)butyl)-1H-1,2,3-triazol-1-yl)ethyl)-1H-indole (3a)
Following the same synthetic procedure and purification conditions described for 1a, the reaction between compound 13 (74 mg, 0.055 mmol), and compound 19 (16.8 mg, 0.083 mmol) in the presence of CuI (1.6 mg, 0.008 mmol) and Hünig’s base (0.01 mL, 0.036 mmol) in 2 mL of degassed 1:1 mixture THF and DMSO, gave the required product 3a (20 mg, 36%) as white solid. 1H NMR (500 MHz, MeOH-d4) δ (ppm) 7.44 (s, 1H), 7.18 (dt, J = 17.2, 8.6 Hz, 1H), 7.05 – 6.88 (m, 3H), 6.75 (tt, J = 14.8, 7.4 Hz, 1H), 4.93 – 4.83 (m, 2H), 4.52 (dd, J = 13.4, 6.5 Hz, 3H), 4.08 – 3.97 (m, 1H), 3.88 (t, J = 9.3 Hz, 1H), 3.79 – 3.65 (m, 1H), 3.59 (d, J = 9.9 Hz, 1H), 3.54 (ddd, J = 6.8, 5.3, 3.2 Hz, 2H), 3.52 – 3.43 (m, 1H), 3.42 – 3.34 (m, 1H), 3.34 – 3.23 (m, 6H), 3.23 – 3.17 (m, 8H), 3.13 – 3.05 (m, 1H), 3.01 (dd, J = 14.6, 7.3 Hz, 2H), 2.98 – 2.90 (m, 2H), 2.86 – 2.78 (m, 1H), 2.78 – 2.67 (m, 1H), 2.57 (dd, J = 12.5, 5.5 Hz, 3H), 2.53 (s, 7H), 2.33 (dd, J = 15.1, 7.8 Hz, 1H), 2.12 – 1.98 (m, 2H), 1.98 – 1.90 (m, 1H), 1.86 – 1.73 (m, 7H), 1.73 – 1.58 (m, 3H), 1.59 – 1.43 (m, 8H), 1.32 – 1.25 (m, 6H), 1.25 – 1.17 (m, 6H), 1.17 – 1.05 (m, 6H), 1.06 – 1.01 (m, 4H), 0.99 (dd, J = 7.3, 5.3 Hz, 4H), 0.94 – 0.86 (m, 4H), 0.87 – 0.75 (m, 6H). 13C NMR (126 MHz, MeOH-d4) δ (ppm) 179.2, 160.1, 148.38, 134.7, 128.9, 126.3, 123.9, 115.7, 113.4, 113.3, 112.0, 110.8, 110.6, 103.9, 103.7, 97.6, 80.9, 79.1, 78.6, 76.4, 75.8, 74.5, 73.8, 71.6, 68.7, 67.0, 66.4, 62.4, 52.4, 50.1, 47.8, 46.6, 40.2, 36.2, 35.4, 31.5, 28.9, 28.2, 27.7, 25.7, 22.9, 22.7, 22.0, 21.7, 19.2, 17.9, 16.3, 14.9, 11.5, 10.3, 9.6. HRMS (ESI) m/z Calcd. for C53H88O12N6F [M+H+]: 1019.6439, found 1019.6437.
1-Methyl-3-(2-(4-(4-(azithromycin-10-yl)butyl)-1H-1,2,3-triazol-1-yl)ethyl)-1H-indole (4a)
Sodium azide (550 mg, 8.46 mmol) was dissolved in water (2 mL) and to the solution was added dichloromethane (3 mL). The heterogeneous mixture was cooled to 0 °C and triflic anhydride (0.28 mL, 1.69 mmol) was added. The resulting heterogeneous mixture was stirred vigorously at the same temperature for 2 h and then the organic layer was separated. The aqueous layer was extracted with dichloromethane (2 x 2 mL) and the combined organic layers were washed with saturate aqueous NaHCO3 solution, dried over anhydrous Na2SO4 and filtered. The filtrate was added to a solution containing 3-(2-aminoethyl)-1-methyindole dihydrochloride (209 mg, 1.85 mmol), water (5 mL), methanol (30 mL), potassium carbonate (383 mg, 2.77 mmol), and CuSO4·5H20 (4.6 mg, 0.018 mmol) and the resultant solution was stirred at room temperature for another 12 h. Excess methanol was evaporated off and to the concentrate was added ethyl acetate (100 mL) and the mixture was washed with NH4OH solution (10 mL), water (10 mL), brine (10 mL), dried over anhydrous Na2SO4, filtered. The filtrate was concentrated in vacuo and the crude product 3-2-(azidoethyl)-1-methyl-1H-indole 25 was used without further purification.
Following the same synthetic procedure as described for 1a, the reaction between compound 13 (78.0 mg, 0.096 mmol), and compound 25 (27.0 mg, 0.134 mmol) in the presence of CuI (2.7 mg, 0.014 mmol) and Hünig’s base (0.01 mL, 0.063 mmol) in 2 mL of degassed 1:1 mixture THF and DMSO, followed by chromatographic purification (eluent: 5:1:1 ethyl acetate-hexane-triethylamine), gave the required product 4a (70 mg, 72%) as white solid. 1H NMR (500 MHz, MeOH-d4) δ (ppm) 7.43 (s, 1H), 7.33 (d, J = 7.9 Hz, 1H), 7.23 (d, J = 8.2 Hz, 1H), 7.07 (t, J = 7.6 Hz, 1H), 6.93 (t, J = 7.5 Hz, 1H), 6.82 (s, 1H), 4.85 (dd, J = 14.2, 3.7 Hz, 2H), 4.54 (t, J = 7.2 Hz, 2H), 4.49 – 4.39 (m, 1H), 4.15 – 4.06 (m, 1H), 4.01 (t, J = 11.7 Hz, 1H), 3.70 – 3.61 (m, 4H), 3.60 – 3.54 (m, 2H), 3.25 – 3.20 (m, 6H), 3.16 (dt, J = 21.1, 10.5 Hz, 1H), 2.90 (d, J = 9.4 Hz, 2H), 2.81 – 2.72 (m, 2H), 2.73 – 2.72 (m, 1H), 2.64 (td, J = 12.0, 3.8 Hz, 2H), 2.56 (t, J = 7.1 Hz, 2H), 2.50 (s, 1H), 2.35 – 2.23 (m, 7H), 2.09 (dd, J = 18.7, 11.4 Hz, 1H), 1.97 (dd, J = 13.7, 7.2 Hz, 1H), 1.89 (s, 1H), 1.83 – 1.73 (m, 1H), 1.70 – 1.61 (m, 1H), 1.63 – 1.48 (m, 2H), 1.49 – 1.33 (m, 6H), 1.28 – 1.19 (m, 4H), 1.17 (t, J = 7.1 Hz, 3H), 1.14 (s, 3H), 1.09 (dd, J = 15.1, 6.7 Hz, 8H), 1.06 – 1.02 (m, 3H), 1.01 (s, 3H), 0.99 (d, J = 7.5 Hz, 3H), 0.82 (dd, J = 15.5, 7.8 Hz, 6H). 13C NMR (126 MHz, MeOH-d4) δ (ppm) 179.2, 148.8, 138.7, 129.1, 128.6, 123.8, 122.8, 120.1, 119.5, 111.2, 110.4, 104.0, 97.1, 79.5, 78.7, 76.2, 75.9, 74.5, 72.9, 69.2, 66.8, 65.6, 52.4, 50.1, 49.8, 46.5, 42.6, 40.8, 36.2, 32.9, 32.0, 29.6, 28.8, 27.6, 26.1, 22.9, 22.8, 22.1, 21.8, 19.3, 15.9, 11.7, 10.5, 9.8. HRMS (ESI) m+2/2z Calcd. for C54H92O12N6 [M+2H+]: 508.3381, found 508.3377.
1-(2-(4-(4-(Azithromycin-10-yl)-butyl)-1H-1,2,3-triazol-1-yl)ethyl)-1H-indole (5a)
Following the same synthetic procedure as described for 1a, reaction between compound 13 (80.0 mg, 0.098 mmol), and compound 20 (27.0 mg, 0.147 mmol) in the presence of CuI (2.8 mg, 0.015 mmol) and Hünig’s base (0.01 mL, 0.063 mmol) in 2 mL of degassed 1:1 mixture THF and DMSO, followed by chromatographic purification (eluent: 15% MeOH in CH2Cl2 containing 2% aqueous NH4OH soln.), gave the required product 5a (60 mg, 61%) as white solid. 1H NMR (500 MHz, MeOH-d4) δ (ppm) 7.43 (d, J = 7.8 Hz, 1H), 7.08 (d, J = 8.2 Hz, 1H), 7.05 – 6.96 (m, 2H), 6.93 (t, J = 7.4 Hz, 1H), 6.88 (d, J = 3.1 Hz, 1H), 6.33 (d, J = 3.1 Hz, 1H), 4.86 (dd, J = 14.0, 3.6 Hz, 2H), 4.68 (t, J = 5.7 Hz, 2H), 4.61 – 4.52 (m, 2H), 4.48 (t, J = 9.6 Hz, 1H), 4.09 (dq, J = 12.4, 6.1 Hz, 1H), 4.01 (s, 1H), 3.67 (dd, J = 9.0, 6.0 Hz, 1H), 3.59 (s, 1H), 3.56 (d, J = 6.4 Hz, 1H), 3.26 (s, 3H), 3.19 (dd, J = 10.3, 7.4 Hz, 1H), 2.93 (d, J = 9.4 Hz, 1H), 2.83 – 2.67 (m, 3H), 2.45 (t, J = 7.2 Hz, 2H), 2.31 (d, J = 6.8 Hz, 7H), 1.97 (dd, J = 13.1, 6.6 Hz, 1H), 1.91 (s, 1H), 1.79 (dtd, J = 15.0, 7.5, 5.1 Hz, 1H), 1.69 (d, J = 12.3 Hz, 1H), 1.62 (d, J = 27.7 Hz, 1H), 1.42 (ddd, J = 32.7, 15.3, 6.6 Hz, 5H), 1.31 (d, J = 7.1 Hz, 3H), 1.23 (s, 3H), 1.19 (d, J = 6.1 Hz, 4H), 1.16 (s, 3H), 1.14 (s, 2H), 1.12 (d, J = 4.4 Hz, 3H), 1.10 (s, 2H), 1.03 (s, 3H), 0.99 (d, J = 7.5 Hz, 3H), 0.91 – 0.79 (m, 6H). 13C NMR (126 MHz, MeOH-d4) δ (ppm) 179.1, 137.6, 130.2, 128.9, 124.2, 122.8, 121.9, 120.7, 110.0, 103.9, 103.1, 79.4, 78.6, 76.2, 74.5, 72.6, 69.2, 66.8, 65.7, 51.4, 50.1, 47.2, 46.5, 40.7, 36.2, 31.9, 25.8, 22.9, 22.1, 21.8, 19.2, 16.0, 11.7, 10.4. HRMS (ESI) m+2/2z Calcd. for C53H90O12 N6 [M+2H+]: 501.3303, found 501.3294.
5-Chloro-1-(2-(4-(4-(azithromycin-10-yl)-butyl)-1H-1,2,3-triazol-1-yl)ethyl)-1H-indole (6a)
Following the same synthetic procedure as described for 1a, reaction between compound 13 (80.0 mg, 0.098 mmol), and compound 21 (54.0 mg, 0.245 mmol) in the presence of CuI (2.8 mg, 0.015 mmol) and Hünig’s base (0.01 mL, 0.060 mmol) in 2 mL of degassed 1:1 mixture THF and DMSO, followed by chromatographic purification (eluent: 10% MeOH in CH2Cl2 containing 0.5% aqueous NH4OH soln.), gave the required product 6a (43 mg, 43%) as white solid. 1H NMR (500 MHz, MeOH-d4) δ (ppm) 7.40 (d, J = 1.8 Hz, 1H), 7.06 (s, 1H), 6.97 (ddd, J = 16.8, 10.6, 5.3 Hz, 3H), 6.32 (d, J = 3.1 Hz, 1H), 4.93 – 4.82 (m, 2H), 4.68 (t, J = 5.7 Hz, 2H), 4.63 – 4.51 (m, 2H), 4.46 (t, J = 10.1 Hz, 1H), 4.16 – 3.99 (m, 2H), 3.65 (dd, J = 9.4, 5.9 Hz, 1H), 3.56 (dd, J = 17.8, 11.3 Hz, 2H), 3.26 (s, 3H), 3.17 (dd, J = 10.2, 7.4 Hz, 1H), 2.92 (d, J = 9.4 Hz, 2H), 2.77 (dd, J = 16.6, 10.0 Hz, 2H), 2.69 – 2.59 (m, 2H), 2.46 (t, J = 7.2 Hz, 3H), 2.31 (d, J = 15.2 Hz, 1H), 2.27 (s, 6H), 2.08 (dd, J = 31.9, 25.3 Hz, 1H), 1.97 (dd, J = 14.0, 7.7 Hz, 1H), 1.89 (s, 1H), 1.78 (dtd, J = 15.0, 7.5, 5.0 Hz, 1H), 1.71 – 1.62 (m, 1H), 1.58 (d, J = 13.7 Hz, 1H), 1.51 – 1.38 (m, 4H), 1.30 (q, J = 17.3 Hz, 4H), 1.24 (d, J = 20.5 Hz, 3H), 1.17 (d, J = 4.9 Hz, 3H), 1.11 (dd, J = 13.3, 6.7 Hz, 5H), 1.08 – 1.01 (m, 3H), 0.99 (d, J = 7.5 Hz, 3H), 0.89 – 0.78 (m, 6H). 13C NMR (126 MHz, MeOH-d4) δ (ppm) 179.1, 149.1, 136.13, 131.2, 130.5, 126.4, 124.2, 122.9, 121.1, 111.4, 104.0, 102.9, 97.1, 79.5, 76.2, 75.9, 74.5, 72.9, 69.2, 66.8, 65.6, 51.5, 50.1, 47.4, 46.5, 40.9, 36.3, 32.0, 28.8, 25.8, 22.9, 22.8, 22.1, 21.8, 19.2, 15.9, 11.7, 10.5. HRMS (ESI) m+2/2z Calcd. for C53H89O12N6Cl [M+2H+]: 518.3108, found 518.3102.
5-Fluoro-1-(2-(4-(4-(azithromycin-10-yl)-butyl)-1H-1,2,3-triazol-1-yl)ethyl)-1H-indole (7a)
Following the same synthetic procedure as described for 1a, reaction between compound 13 (75.0 mg, 0.092 mmol), and compound 22 (25.0 mg, 0.122 mmol) in the presence of CuI (2.6 mg, 0.014 mmol) and Hünig’s base (0.01 mL, 0.060 mmol) in 2 mL of degassed 1:1 mixture THF and DMSO, followed by chromatographic purification (eluent: 15% MeOH in CH2Cl2 containing 1% aqueous NH4OH soln.), gave the required product 7a (13 mg, 14%) as white solid. 1H NMR (500 MHz, MeOH-d4) δ (ppm) 7.07 (ddd, J = 13.1, 9.3, 3.3 Hz, 3H), 6.96 (d, J = 3.1 Hz, 1H), 6.76 (td, J = 9.1, 2.4 Hz, 1H), 6.31 (d, J = 3.0 Hz, 1H), 4.87 (dd, J = 12.2, 3.3 Hz, 2H), 4.68 (t, J = 5.7 Hz, 2H), 4.58 (t, J = 5.7 Hz, 2H), 4.49 (t, J = 8.9 Hz, 1H), 4.08 (td, J = 12.2, 6.0 Hz, 1H), 3.99 (s, 1H), 3.68 (dd, J = 9.6, 5.5 Hz, 1H), 3.62 – 3.52 (m, 3H), 3.29 (d, J = 19.5 Hz, 3H), 2.94 (d, J = 9.5 Hz, 1H), 2.86 – 2.67 (m, 3H), 2.48 (t, J = 7.2 Hz, 2H), 2.33 (d, J = 13.9 Hz, 7H), 1.93 (t, J = 30.4 Hz, 3H), 1.84 – 1.74 (m, 1H), 1.70 (d, J = 12.1 Hz, 1H), 1.60 (s, 1H), 1.56 – 1.30 (m, 9H), 1.29 – 1.05 (m, 18H), 1.05 – 0.96 (m, 6H), 0.91 – 0.75 (m, 6H). 13C NMR (126 MHz, MeOH-d4) δ (ppm) 179.2, 160.3, 134.3, 130.8, 130.5, 124.3, 111.0, 110.9, 110.8, 106.5, 106.3, 103.9, 103.1, 79.4, 78.6, 74.5, 72.5, 69.1, 66.9, 51.5, 50.1, 49.8, 47.5, 46.5, 40.7, 36.3, 31.8, 30.9, 25.8, 22.9, 22.1, 21.8, 19.2, 11.6, 10.4. HRMS (ESI) m+2/2z Calcd. for C53H89O12N6F [M+2H+]: 510.3256, found 510.3247.
5-Nitro-1-(2-(4-(4-(azithromycin-1-yl)-butyl)-1H-1,2,3-triazol-1-yl)ethyl)-1H-indole (8a)
Following the same synthetic procedure as described for 1a, reaction between compound 13 (94.0 mg, 0.12 mmol), and compound 23 (53.0 mg, 0.23 mmol) in the presence of CuI (3.4 mg, 0.018 mmol) and Hünig’s base (0.01 mL, 0.079 mmol) in 2 mL of degassed 1:1 mixture THF and DMSO, followed by chromatographic purification (eluent: 15% MeOH in CH2Cl2 containing 1% aqueous NH4OH soln.), gave the required product 8a (15 mg, 12%) as yellow solid. 1H NMR (500 MHz, MeOH-d4) δ (ppm) 8.44 (t, J = 10.5 Hz, 1H), 7.88 (dd, J = 9.1, 2.1 Hz, 1H), 7.28 – 7.12 (m, 3H), 6.66 – 6.58 (m, 1H), 4.87 (ddd, J = 10.2, 9.7, 4.7 Hz, 2H), 4.77 – 4.71 (m, 3H), 4.71 – 4.61 (m, 3H), 4.48 (t, J = 9.7 Hz, 2H), 4.18 – 4.03 (m, 2H), 3.95 (d, J = 37.2 Hz, 2H), 3.74 – 3.63 (m, 2H), 3.63 – 3.53 (m, 3H), 3.27 (d, J = 6.3 Hz, 4H), 3.00 – 2.89 (m, 2H), 2.85 – 2.70 (m, 4H), 2.64 – 2.53 (m, 3H), 2.45 (t, J = 7.3 Hz, 3H), 2.41 – 2.26 (m, 9H), 2.02 – 1.85 (m, 3H), 1.84 – 1.73 (m, 2H), 1.69 (d, J = 12.3 Hz, 2H), 1.59 (s, 2H), 1.56 – 1.32 (m, 9H), 1.32 – 1.18 (m, 12H), 1.19 – 1.05 (m, 12H), 1.05 – 0.94 (m, 4H), 0.92 – 0.76 (m, 6H). 13C NMR (126 MHz, MeOH-d4) δ (ppm) 179.1, 143.2, 140.7, 132.7, 131.3, 129.3, 129.1, 124.3, 118.8, 118.1, 110.5, 105.9, 79.4, 74.5, 66.9, 65.8, 51.5, 50.1, 49.8, 47.7, 46.5, 40.6, 36.3, 31.9, 25.7, 22.9, 22.1, 21.8, 19.2, 11.6, 10.5. HRMS (ESI) m+2/2z Calcd. for C53H89O14N7 [M+2H+]: 523.8228, found 523.8212.
5-Methoxy-1-(2-(4-(4-(azithromycin-10-yl)-butyl)-1H-1,2,3-triazol-1-yl)ethyl)-1H-indole (9a)
Following the same synthetic procedure as described for 1a, reaction between compound 13 (80.0 mg, 0.098 mmol), and compound 24 (53.0 mg, 0.245 mmol) in the presence of CuI (2.8 mg, 0.014 mmol) and Hünig’s base (0.01 mL, 0.064 mmol) in 2 mL of degassed 1:1 mixture THF and DMSO, followed by chromatographic purification (eluent: 5:1:1 ethyl acetate-hexane-triethylamine), gave the required product 9a (71 mg, 70%) as white solid. 1H NMR (500 MHz, MeOH-d4) δ (ppm) 7.00 (s, 1H), 6.96 (d, J = 8.9 Hz, 1H), 6.93 (d, J = 2.3 Hz, 1H), 6.84 (d, J = 3.1 Hz, 1H), 6.65 (dd, J = 8.9, 2.4 Hz, 1H), 6.24 (dd, J = 3.1, 0.5 Hz, 1H), 4.86 (ddd, J = 13.7, 11.9, 4.8 Hz, 2H), 4.64 (t, J = 5.8 Hz, 2H), 4.55 – 4.48 (m, 2H), 4.45 (t, J = 6.7 Hz, 1H), 4.14 – 4.06 (m, 1H), 4.03 (d, J = 3.9 Hz, 1H), 3.70 (s, 3H), 3.69 – 3.61 (m, 1H), 3.61 – 3.54 (m, 2H), 3.23 (dt, J = 3.3, 1.6 Hz, 2H), 3.17 (dd, J = 10.3, 7.3 Hz, 1H), 2.93 (dd, J = 18.2, 9.5 Hz, 2H), 2.80 – 2.71 (m, 2H), 2.68 – 2.56 (m, 2H), 2.46 (t, J = 7.1 Hz, 3H), 2.38 – 2.28 (m, 1H), 2.26 (s, 7H), 2.09 (d, J = 27.5 Hz, 1H), 2.02 – 1.93 (m, 1H), 1.91 (d, J = 24.8 Hz, 1H), 1.84 – 1.73 (m, 1H), 1.70 – 1.53 (m, 2H), 1.53 – 1.37 (m, 5H), 1.38 – 1.27 (m, 4H), 1.24 – 1.19 (m, 3H), 1.20 – 1.16 (m, 3H), 1.15 (s, 3H), 1.13 (s, 2H), 1.12 – 1.07 (m, 6H), 1.02 (q, J = 6.9 Hz, 6H), 0.99 (d, J = 7.5 Hz, 3H), 0.82 (dd, J = 15.0, 7.4 Hz, 6H). 13C NMR (126 MHz, MeOH-d4) δ (ppm) 179.1, 155.6, 149.0, 132.9, 130.6, 129.4, 124.2, 113.0, 110.8, 104.0, 103.8, 102.8, 97.1, 79.4, 76.2, 75.8, 74.5, 72.8, 69.2, 66.8, 65.6, 56.4, 51.5, 50.1, 47.4, 46.5, 40.9, 36.2, 32.0, 29.6, 28.8, 25.9, 22.9, 22.8, 22.1, 21.8, 19.2, 15.9, 11.7, 10.5, 9.9. HRMS (ESI) m+2/2z Calcd. for C54H92O13N6 [M+2H+]: 516.3356, found 516.3350.
1-(2-(4-(4-(Azithromycin-10-yl)-butyl)-1H-1,2,3-triazol-1-yl)ethyl)indoline (10a)
Following the same synthetic procedure as described for 25, 3-(2-azidoethyl)indoline 26 was prepared from 2-(2,3-dihydro-1H-indol-1-yl)ethamine dihydrochloride and was used without further purification.
Following the same synthetic procedure as described for 1a, reaction between compound 13 (72.0 mg, 0.088 mmol), and compound 26 (25.0 mg, 0.132 mmol) in the presence of CuI (2.5 mg, 0.013 mmol) and Hünig’s base (0.01 mL, 0.057 mmol) in 2 mL of degassed 1:1 mixture THF and DMSO, followed by chromatographic purification (eluent: 5:1:1 ethyl acetate-hexane-triethylamine), gave the required product 10a (30 mg, 34%) as white solid. 1H NMR (500 MHz, MeOH-d4) δ (ppm) 7.70 (s, 1H), 6.92 (d, J = 7.2 Hz, 1H), 6.89 – 6.79 (m, 1H), 6.49 (dd, J = 15.6, 8.1 Hz, 1H), 6.23 (d, J = 7.8 Hz, 1H), 4.89 (d, J = 4.8 Hz, 1H), 4.85 (dd, J = 10.1, 2.4 Hz, 1H), 4.52 (t, J = 6.1 Hz, 2H), 4.46 (d, J = 7.3 Hz, 1H), 4.15 – 4.07 (m, 1H), 4.04 (d, J = 3.6 Hz, 1H), 3.65 (dd, J = 9.1, 5.9 Hz, 1H), 3.58 (d, J = 5.3 Hz, 2H), 3.47 (t, J = 6.1 Hz, 2H), 3.30 – 3.25 (m, 4H), 3.17 (dt, J = 14.0, 7.0 Hz, 1H), 2.94 (d, J = 9.5 Hz, 1H), 2.83 (t, J = 8.3 Hz, 2H), 2.79 – 2.70 (m, 2H), 2.63 (dt, J = 14.1, 5.4 Hz, 5H), 2.52 (d, J = 10.6 Hz, 1H), 2.37 – 2.30 (m, 1H), 2.27 (d, J = 8.6 Hz, 7H), 2.18 (dd, J = 15.1, 7.6 Hz, 1H), 2.04 (ddd, J = 20.1, 18.1, 8.6 Hz, 3H), 1.88 (s, 1H), 1.78 (ddt, J = 12.6, 7.6, 3.9 Hz, 1H), 1.65 (dd, J = 10.6, 1.9 Hz, 1H), 1.62 – 1.44 (m, 7H), 1.44 – 1.33 (m, 4H), 1.25 – 1.18 (m, 8H), 1.16 (s, 4H), 1.13 (d, J = 7.3 Hz, 4H), 1.10 (d, J = 6.0 Hz, 5H), 1.01 (dd, J = 14.8, 8.8 Hz, 10H), 0.86 – 0.77 (m, 9H). 13C NMR (126 MHz, MeOH-d4) δ (ppm) 197.1, 179.2, 153.2, 149.1, 132.5, 130.9, 130.1, 128.4, 125.5, 124.2, 119.2, 107.8, 104.1, 97.1, 84.7, 80.4, 79.5, 78.7, 76.3, 75.9, 74.5, 72.9, 69.2, 66.8, 65.6, 54.6, 51.1, 50.2, 49.8, 46.5, 42.6, 40.9, 40.3, 36.31, 32.2, 31.9, 31.8, 30.3, 29.7, 29.6, 28.9, 27.7, 26.1, 25.1, 24.2, 23.1, 22.9, 22.1, 21.8, 19.3, 18.2, 15.9, 14.6, 14.3, 13.9, 11.7, 11.6, 10.5, 9.9. HRMS (ESI) m+2/2z Calcd. for C53H92O12N6 [M+2H+]: 502.3381, found 502.3374.
N10-(4-Ethynylbenzyl-10-yl)azithromycin (14)
Azathramycin 12 (2.72 g, 3.55 mmol) and 4-ethynylbenzaldehyde 16 (2.31 g, 17.75 mmol) were dissolved in anhydrous DMF (40 mL). Acetic acid (2.0 mL, 35.50 mmol) was added and the solution was stirred for 30 min. Sodium cyanoborohydride (465 mg, 7.10 mmol) was added to the reaction mixture and the mixture was stirred for at 70 °C for 7 h. after which it was cooled to room temperature. The pH of the mixture was raised to 8 by adding saturated aqueous NaHCO3 soln. (50 mL), and CH2Cl2 (200 mL) was added. The two layers were separated, the organic layer was washed water (2 x 100 mL), dried over anhydrous Na2SO4, filtered, and the filtrate concentrated in vacuo. The crude was purified by column chromatography (eluent: 5:1:1 ethyl acetate-hexane-triethylamine) to afford the title compound 14 as white solid (603 mg, 20%). 1H NMR (500 MHz, MeOH-d4) δ (ppm) 7.41 (s, 4H), 5.01 (m, 2H), 4.60 (d, J = 6.8 Hz, 1H), 4.20 (ddd, J = 24.8, 13.7, 6.6 Hz, 2H), 3.92 (d, J = 10.9 Hz, 1H), 3.73 (ddd, J = 37.9, 14.5, and 5.8 Hz, 4H), 3.45 (m, 1H), 3.38 (d, J = 11.2 Hz, 3H), 3.32 (m, 1H), 3.07 (dd, J = 11.5, and 7.2 HZ, 1H), 2.99 (m, 1H), 2.88 (dd, J = 14.7, and 8.4 Hz, 2H), 2.79 (m, 1H), 2.47 (d, J = 15.1 Hz, 1H), 2.40 (s, 6H), 2.19 (m, 1H), 2.11 (m, 1H), 1.96 (d, J = 21.6 Hz, 1H), 1.74 (m, 4H), 1.62 (m, 2H), 1.43 (m, 1H), 1.32 (m, 4H), 1.27 (m, 11H), 1.22 (m, 4H), 1.18 (d, J = 7.4 Hz, 3H), 1.14 (dd, J = 8.0, and 4.1 Hz, 3H), 0.94 (m, 3H), 0.89 (t, J = 7.3 Hz, 3H). 13C (125 MHz, MeOH-d4) δ (ppm) 178.7, 132.9, 130.74, 104.2, 97.6, 80.7, 79.4, 78.4, 76.9, 76.5, 74.5, 72.7, 69.4, 67.1, 65.6, 50.1, 46.6, 40.8, 36.3, 31.9, 23.2, 22.3, 21.9, 21.8, 19.1, 11.8, 10.8. HRMS (ESI) m+2/2z Calcd. for C46 H78 O12 N2 [M+ 2H+]: 425.2772, found 425.2762.
3-(2-(4-(4-(Azithromycin-10-ylmethyl)phenyl)-1H-1,2,3-triazol-1-yl)ethyl)-1H-indole (1b)
Following the same synthetic procedure as described for 1a, reaction between compound 14 (71.0 mg, 0.084 mmol), and compound 17 (23.5 mg, 0.126 mmol) in the presence of CuI (2.4 mg, 0.013 mmol) and Hünig’s base (0.01 mL, 0.055 mmol) in 2 mL of degassed 1:1 mixture THF and DMSO, followed by chromatographic purification (eluent: 10:1:0.1 dichloromethane-methanol-NH4OH), gave the required product 1b (20 mg, 24%) as white solid. 1H NMR (500 MHz, CDCl3) δ (ppm) 8.55 (s, 1H), 7.64 (t, J = 8.1 Hz, 2H), 7.60 (d, J = 7.8 Hz, 1H), 7.46 – 7.30 (m, 2H), 7.22 (dd, J = 11.2, 4.0 Hz, 2H), 7.18 – 7.09 (m, 2H), 6.83 (s, 1H), 4.95 (d, J = 21.8 Hz, 2H), 4.78 (d, J = 9.4 Hz, 1H), 4.69 (qt, J = 13.7, 6.9 Hz, 3H), 4.46 (dd, J = 18.3, 7.2 Hz, 2H), 4.21 (tdd, J = 14.8, 6.8, 3.6 Hz, 3H), 4.11 (dt, J = 15.2, 5.9 Hz, 3H), 3.81 (dd, J = 34.1, 14.5 Hz, 3H), 3.74 – 3.66 (m, 2H), 3.64 – 3.50 (m, 6H), 3.47 (dd, J = 13.9, 7.1 Hz, 1H), 3.42 – 3.35 (m, 3H), 3.38 – 3.23 (m, 8H), 3.08 – 2.96 (m, 5H), 2.95 – 2.83 (m, 3H), 2.83 – 2.73 (m, 2H), 2.73 – 2.63 (m, 2H), 2.44 – 2.29 (m, 11H), 2.29 – 2.18 (m, 3H), 2.09 – 1.98 (m, 4H), 1.97 (s, 2H), 1.84 – 1.65 (m, 6H), 1.58 (ddd, J = 10.9, 9.6, 7.4 Hz, 5H), 1.34 – 1.16 (m, 6H), 1.16 – 1.02 (m, 16H), 1.01 – 0.76 (m, 6H). 13C NMR (126 MHz, MeOH-d4) δ (ppm) 178.6, 146.6, 146.5, 145.2, 131.4, 130.3, 126.9, 121.3, 117.1, 117.0, 116.6, 116.6, 78.9, 76.6, 74.6, 70.9, 67.1, 66.7, 54.0, 53.4, 50.1, 47.9, 37.2, 36.2, 35.8, 31.2, 30.9, 22.7, 21.8, 21.7, 19.2, 11.6, 10.4, 9.4. HRMS (ESI) m+2/2z Calcd. for C56H88O12N6 [M+2H+]: 518.3225, found 518.3220.
5-Chloro-3-(2-(4-(4-(azithromycin-10-ylmethyl)phenyl)-1H-1,2,3-triazol-1-yl)ethyl)-1H-indole (2b)
Following the same synthetic procedure as described for 1a, reaction between compound 14 (72.0 mg, 0.086 mmol), and compound 18 (37.9 mg, 0.170 mmol) in the presence of CuI (2.4 mg, 0.013 mmol) and Hünig’s base (0.01 mL, 0.055 mmol) in 2 mL of degassed 1:1 mixture THF and DMSO, followed by chromatographic purification (eluent: 5:1:1 ethyl acetate-hexane-triethylamine), gave the required product 2b (47 mg, 51%) as white solid. 1H NMR (500 MHz, MeOH-d4) δ (ppm) 7.97 (s, 1H), 7.59 (d, J = 7.9 Hz, 2H), 7.36 (d, J = 7.9 Hz, 2H), 7.32 (s, 1H), 7.18 (t, J = 11.5 Hz, 1H), 6.98 – 6.91 (m, 2H), 4.92 (d, J = 9.9 Hz, 1H), 4.87 (d, J = 4.5 Hz, 1H), 4.60 (t, J = 6.9 Hz, 2H), 4.53 (d, J = 6.9 Hz, 1H), 4.14 – 4.04 (m, 2H), 3.73 – 3.60 (m, 3H), 3.55 (dt, J = 13.4, 6.4 Hz, 2H), 3.51 – 3.45 (m, 1H), 3.40 (dd, J = 13.2, 6.5 Hz, 1H), 3.32 – 3.26 (m, 5H), 3.22 (d, J = 1.2 Hz, 5H), 3.10 (dt, J = 21.7, 7.4 Hz, 1H), 2.98 (d, J = 9.4 Hz, 1H), 2.90 (d, J = 14.5 Hz, 1H), 2.88 – 2.75 (m, 4H), 2.38 (s, 6H), 2.32 (d, J = 16.6 Hz, 1H), 2.19 – 2.08 (m, 1H), 2.03 (t, J = 19.5 Hz, 1H), 1.89 (dd, J = 25.6, 15.8 Hz, 1H), 1.82 (d, J = 7.8 Hz, 2H), 1.71 (d, J = 11.2 Hz, 2H), 1.66 (s, 1H), 1.49 (ddd, J = 25.9, 14.9, 5.7 Hz, 2H), 1.39 – 1.26 (m, 3H), 1.26 – 1.19 (m, 6H), 1.19 – 1.13 (m, 6H), 1.11 (d, J = 5.9 Hz, 4H), 1.08 (d, J = 8.0 Hz, 6H), 1.02 (t, J = 7.3 Hz, 1H), 0.87 – 0.72 (m, 6H). 13C NMR (126 MHz, MeOH-d4) δ (ppm) 178.7, 148.7, 136.5, 131.6, 129.8, 127.0, 126.3, 122.8, 118.6, 113.7, 111.8, 104.0, 97.7, 97.5, 79.3, 76.5, 74.6, 72.3, 69.1, 67.1, 65.8, 52.9, 50.1, 47.6, 40.5, 36.4, 31.9, 27.5, 21.8, 19.2, 12.0, 11.0, 10.1. HRMS (ESI) m/z Calcd. for C56H86O12N6Cl [M+H+]: 1069.5987, found 1069.5985.
5-Fluoro-3-(2-(4-(4-(azithromycin-10-ylmethyl)phenyl)-1H-1,2,3-triazol-1-yl)ethyl)-1H-indole (3b)
Following the same synthetic procedure as described for 1a, reaction between compound 14 (52.0 mg, 0.061 mmol), and compound 19 (18.7 mg, 0.092 mmol) in the presence of CuI (1.7 mg, 0.009 mmol) and Hünig’s base (0.01 mL, 0.040 mmol) in 2 mL of degassed 1:1 mixture THF and DMSO, followed by chromatographic purification (eluent: 10:1:0.1 dichloromethane-methanol-NH4OH), gave the required product 3b (27 mg, 42%) as white solid. 1H NMR (500 MHz, MeOH-d4) δ (ppm) 8.18 – 8.01 (m, 1H), 7.79 (dd, J = 32.3, 25.3 Hz, 1H), 7.67 – 7.43 (m, 2H), 7.27 – 7.13 (m, 1H), 7.11 – 6.99 (m, 1H), 6.98 – 6.91 (m, 1H), 6.85 – 6.64 (m, 2H), 4.95 (d, J = 21.8 Hz, 2H), 4.78 (d, J = 9.4 Hz, 1H), 4.69 (qt, J = 13.7, 6.9 Hz, 3H), 4.46 (dd, J = 18.3, 7.2 Hz, 2H), 4.21 (tdd, J = 14.8, 6.8, 3.6 Hz, 3H), 4.11 (dt, J = 15.2, 5.9 Hz, 3H), 3.81 (dd, J = 34.1, 14.5 Hz, 3H), 3.74 – 3.66 (m, 2H), 3.64 – 3.50 (m, 6H), 3.47 (dd, J = 13.9, 7.1 Hz, 1H), 3.42 – 3.35 (m, 3H), 3.38 – 3.23 (m, 8H), 3.08 – 2.96 (m, 5H), 2.95 – 2.83 (m, 3H), 2.83 – 2.73 (m, 2H), 2.73 – 2.63 (m, 2H), 2.44 – 2.29 (m, 11H), 2.29 – 2.18 (m, 3H), 2.09 – 1.98 (m, 4H), 1.97 (s, 2H), 1.84 – 1.65 (m, 6H), 1.58 (ddd, J = 10.9, 9.6, 7.4 Hz, 5H), 1.34 – 1.16 (m, 43H), 1.16 – 1.02 (m, 15H), 1.01 – 0.79 (m, 6H). 13C NMR (126 MHz, MeOH-d4) δ (ppm) 179.1, 146.6, 145.4, 130.2, 123.8, 121.1, 117.0, 116.6, 103.9, 97.2, 80.5, 79.4, 78.6, 76.2, 75.9, 74.5, 72.7, 69.1, 66.8, 65.7, 53.1, 50.1, 49.7, 49.5, 49.3, 49.2, 48.9, 48.8, 48.6, 46.5, 42.4, 40.8, 37.3, 36.2, 31.9, 29.5, 28.7, 27.6, 26.0, 22.9, 22.8, 22.1, 21.8, 19.2, 18.1, 15.9, 11.7, 10.5, 9.8. HRMS (ESI) m+2/2z Calcd. for C56H87O12N6F [M+2H+]: 527.3178, found 527.3170.
1-Methyl-3-(2-(4-(4-(azithromycin-10-ylmethyl)phenyl)-1H-1,2,3-triazol-1-yl)ethyl)-1H-indole (4b)
Following the same synthetic procedure as described for 1a, reaction between compound 14 (82.0 mg, 0.096 mmol), and compound 19 (26.0 mg, 0.129 mmol) in the presence of CuI (2.74 mg, 0.014 mmol) and Hünig’s base (0.01 mL, 0.063 mmol) in 2 mL of degassed 1:1 mixture THF and DMSO, followed by chromatographic purification (eluent: 5:1:1 ethyl acetate-hexane-triethylamine), gave the required product 4b (65 mg, 65%) as white solid. 1H NMR (500 MHz, MeOH-d4) δ (ppm) 7.96 – 7.89 (m, 1H), 7.62 – 7.53 (m, 2H), 7.37 (t, J = 7.3 Hz, 3H), 7.21 (d, J = 8.2 Hz, 1H), 7.11 – 7.03 (m, 1H), 6.97 – 6.89 (m, 1H), 6.81 (s, 1H), 4.95 – 4.84 (m, 2H), 4.68 – 4.56 (m, 2H), 4.51 (t, J = 8.9 Hz, 1H), 4.16 – 4.05 (m, 2H), 3.71 – 3.52 (m, 7H), 3.35 – 3.26 (m, 5H), 3.26 – 3.16 (m, 5H), 2.97 (dd, J = 9.4, 4.7 Hz, 1H), 2.94 – 2.64 (m, 4H), 2.37 (dd, J = 24.5, 14.2 Hz, 1H), 2.28 (s, 6H), 2.19 – 1.98 (m, 2H), 1.98 – 1.80 (m, 1H), 1.76 – 1.58 (m, 3H), 1.56 – 1.47 (m, 1H), 1.21 (q, J = 7.0 Hz, 5H), 1.15 (dd, J = 11.2, 8.7 Hz, 10H), 1.09 (t, J = 6.7 Hz, 6H), 1.05 (d, J = 6.9 Hz, 3H), 0.86 – 0.73 (m, 6H). 13C NMR (126 MHz, MeOH-d4) δ (ppm) 178.6, 148.7, 138.7, 131.3, 129.1, 128.7, 126.6, 122.8, 122.6, 120.1, 119.4, 111.1, 110.4, 97.6, 79.4, 76.5, 74.5, 72.7, 67.1, 65.6, 52.6, 50.2, 49.8, 49.7, 40.8, 36.3, 32.8, 31.9, 27.6, 21.9, 21.8, 19.1, 11.8, 10.8. HRMS (ESI) m+2/2z Calcd. for C57H90O12N6 [M+2H+]: 525.3303, found 525.3300.
1-(2-(4-(4-(Azithromycin-10-ylmethyl)phenyl)-1H-1,2,3-triazol-1-yl)ethyl)-1H-indole (5b)
Following the same synthetic procedure as described for 1a, reaction between compound 14 (106.0 mg, 0.125 mmol), and compound 20 (35.0 mg, 0.19 mmol) in the presence of CuI (3.58 mg, 0.018 mmol) and Hünig’s base (0.01 mL, 0.081 mmol) in 2 mL of degassed 1:1 mixture THF and DMSO, followed by chromatographic purification (eluent: 15% MeOH in CH2Cl2 containing 1% NH4OH soln.), gave the required product 5b (115 mg, 89%) as white solid. 1H NMR (500 MHz, MeOH-d4) δ (ppm) 7.45 (dd, J = 19.8, 10.3 Hz, 4H), 7.33 (d, J = 7.6 Hz, 2H), 7.13 (d, J = 8.2 Hz, 1H), 6.97 (t, J = 7.6 Hz, 1H), 6.94 – 6.83 (m, 2H), 6.32 (dd, J = 3.2, 0.6 Hz, 1H), 4.96 – 4.85 (m, 2H), 4.76 – 4.71 (m, 3H), 4.63 (t, J = 5.7 Hz, 2H), 4.53 (d, J = 6.9 Hz, 1H), 4.15 – 4.04 (m, 2H), 3.74 – 3.51 (m, 5H), 3.28 (d, J = 6.7 Hz, 4H), 3.25 – 3.19 (m, 5H), 2.99 (t, J = 7.4 Hz, 1H), 2.83 (dd, J = 42.5, 16.8 Hz, 5H), 2.44 – 2.31 (m, 9H), 2.07 (s, 1H), 2.02 (s, 1H), 1.76 – 1.58 (m, 4H), 1.52 (dd, J = 15.2, 4.9 Hz, 2H), 1.23 (t, J = 7.3 Hz, 6H), 1.20 – 1.15 (m, 3H), 1.15 – 1.10 (m, 3H), 1.11 – 1.01 (m, 6H), 0.98 (dd, J = 18.3, 7.3 Hz, 2H), 0.87 – 0.68 (m, 6H). 13C NMR (126 MHz, MeOH-d4) δ (ppm) 178.6, 137.6, 130.2, 128.9, 126.7, 122.9, 121.9, 120.8, 110.1, 103.9, 103.2, 97.6, 79.3, 76.5, 74.5, 72.3, 69.1, 67.1, 65.9, 51.6, 50.1, 47.2, 46.6, 40.6, 36.3, 31.7, 30.8, 21.9, 21.8, 19.2, 11.8, 10.7. HRMS (ESI) m/z Calcd. for C56H87O12N6 [M+H+]: 1035.6376, found 1035.6373.
5-Chloro-1-(2-(4-(4-(azithromycin-10-ylmethyl)phenyl)-1H-1,2,3-triazol-1-yl)ethyl)-1H-indole (6b)
Following the same synthetic procedure as described for the synthesis of 1a, reaction between compound 14 (102.0 mg, 0.12 mmol), and compound 21 (48.0 mg, 0.216 mmol) in presence of CuI (3.4 mg, 0.018 mmol) and Hünig’s base (0.01 mL, 0.079 mmol) in 2 mL of degassed 1:1 mixture THF and DMSO, followed by chromatographic purification (eluent: 10% MeOH in CH2Cl2 containing 1% NH4OH soln.), gave the required product 6b (25 mg, 20%) as white solid. 1H NMR (500 MHz, MeOH-d4) δ (ppm) 7.62 (d, J = 8.0 Hz, 1H), 7.57 (d, J = 4.1 Hz, 1H), 7.50 – 7.43 (m, 3H), 7.41 (t, J = 3.7 Hz, 1H), 7.34 (d, J = 8.0 Hz, 2H), 7.12 (dd, J = 8.3, 5.0 Hz, 1H), 6.94 (dd, J = 10.3, 2.5 Hz, 2H), 6.29 (d, J = 3.0 Hz, 1H), 4.97 – 4.84 (m, 2H), 4.77 – 4.69 (m, 3H), 4.67 – 4.58 (m, 3H), 4.51 (d, J = 7.0 Hz, 1H), 4.40 (t, J = 4.6 Hz, 1H), 4.18 – 4.05 (m, 3H), 3.73 – 3.61 (m, 3H), 3.60 – 3.52 (m, 2H), 3.33 – 3.25 (m, 4H), 2.98 (t, J = 7.3 Hz, 1H), 2.94 – 2.68 (m, 5H), 2.41 – 2.23 (m, 9H), 2.18 – 2.06 (m, 2H), 2.03 (d, J = 14.7 Hz, 1H), 1.91 (d, J = 22.1 Hz, 1H), 1.68 (d, J = 12.6 Hz, 4H), 1.52 (dd, J = 15.1, 4.9 Hz, 2H), 1.24 (dd, J = 21.9, 14.1 Hz, 3H), 1.19 – 1.13 (m, 6H), 1.13 – 0.99 (m, 3H), 0.76 (t, J = 7.0 Hz, 3H). 13C NMR (126 MHz, MeOH-d4) δ (ppm) 178.7, 136.1, 131.3, 130.7, 128.9, 126.7, 126.6, 123.0, 121.2, 111.4, 102.9, 97.6, 79.4, 76.5, 74.5, 72.6, 69.4, 67.1, 65.7, 51.6, 50.2, 47.5, 40.8, 36.4, 31.9, 22.0, 21.8, 19.2, 11.9, 10.9. HRMS (ESI) m+2/2z Calcd. for C56H87O12N6Cl [M+2H+]: 535.3030, found 535.3015.
5-Fluoro-1-(2-(4-(4-(azithromycin-10-ylmethyl)phenyl)-1H-1,2,3-triazol-1-yl)ethyl)-1H-indole (7b)
Following the same synthetic procedure as described for 1a, reaction between compound 14 (70.0 mg, 0.08 mmol), and compound 22 (34.0 mg, 0.16 mmol) in the presence of CuI (2.4 mg, 0.012 mmol) and Hünig’s base (0.01 mL, 0.05 mmol) in 2 mL of degassed 1:1 mixture THF and DMSO, followed by chromatographic purification (eluent: 15% MeOH in CH2Cl2 containing 1% NH4OH soln.), gave the required product 7b (18 mg, 21%) as white solid. 1H NMR (500 MHz, MeOH-d4) δ (ppm) 7.57 (d, J = 18.3 Hz, 1H), 7.46 (d, J = 8.0 Hz, 2H), 7.34 (d, J = 7.9 Hz, 2H), 7.17 – 7.04 (m, 2H), 6.95 (d, J = 3.1 Hz, 1H), 6.75 (td, J = 9.1, 2.4 Hz, 1H), 6.30 (d, J = 3.1 Hz, 1H), 4.95 – 4.84 (m, 2H), 4.76 – 4.70 (m, 2H), 4.63 (t, J = 5.6 Hz, 2H), 4.52 (d, J = 7.1 Hz, 1H), 4.18 – 4.04 (m, 2H), 3.73 – 3.52 (m, 4H), 3.28 (d, J = 12.2 Hz, 3H), 2.98 (dd, J = 9.3, 5.5 Hz, 1H), 2.83 (t, J = 37.8 Hz, 4H), 2.45 – 2.27 (m, 6H), 2.18 – 1.99 (m, 2H), 1.69 (d, J = 12.5 Hz, 3H), 1.52 (dt, J = 18.2, 9.2 Hz, 2H), 1.38 – 0.99 (m, 12H), 0.81 (ddd, J = 31.4, 17.9, 7.3 Hz, 6H). 13C NMR (126 MHz, MeOH-d4) δ (ppm) 178.6, 134.2, 130.8, 126.6, 123.0, 111.1, 110.8, 106.5, 106.3, 103.1, 97.6, 79.4, 76.5, 74.5, 51.6, 50.2, 47.5, 40.7, 36.3, 31.88, 21.97, 21.78, 19.15, 11.82. HRMS (ESI) m+2/2z Calcd. for C56H87O12N6F [M+2H+]: 527.3178, found 527.3160.
5-Nitro-1-(2-(4-(4-(azithromycin-10-ylmethyl)phenyl)-1H-1,2,3-triazol-1-yl)ethyl)-1H-indole (8b)
Following the same synthetic procedure as described for 1a, reaction between compound 14 (70.0 mg, 0.082 mmol), and compound 23 (34.0 mg, 0.15 mmol) in the presence of CuI (2.3 mg, 0.012 mmol) and Hünig’s base (0.01 mL, 0.05 mmol) in 2 mL of degassed 1:1 mixture THF and DMSO, followed by chromatographic purification (eluent: 15% MeOH in CH2Cl2 containing 2% NH4OH soln.), gave the required product 8b (72 mg, 81%) as yellow solid. 1H NMR (500 MHz, MeOH-d4) δ (ppm) 8.40 (d, J = 2.1 Hz, 1H), 7.91 – 7.82 (m, 1H), 7.78 – 7.68 (m, 1H), 7.46 (d, J = 8.0 Hz, 2H), 7.37 – 7.28 (m, 2H), 7.23 (t, J = 7.8 Hz, 1H), 7.18 (d, J = 3.3 Hz, 1H), 6.59 (d, J = 3.2 Hz, 1H), 4.93 – 4.84 (m, 2H), 4.73 (t, J = 5.3 Hz, 2H), 4.51 (d, J = 7.0 Hz, 1H), 4.16 – 4.04 (m, 2H), 3.71 – 3.51 (m, 5H), 3.27 (d, J = 13.8 Hz, 4H), 2.97 (dd, J = 9.4, 4.7 Hz, 1H), 2.77 (dd, J = 12.8, 7.7 Hz, 5H), 2.41 – 2.34 (m, 2H), 2.30 (d, J = 11.0 Hz, 7H), 2.02 (dd, J = 39.1, 21.1 Hz, 3H), 1.68 (d, J = 10.9 Hz, 3H), 1.51 (dd, J = 15.1, 4.9 Hz, 2H), 1.21 (t, J = 6.2 Hz, 6H), 1.16 (d, J = 8.0 Hz, 10H), 1.11 (t, J = 6.4 Hz, 6H), 1.07 (d, J = 7.4 Hz, 4H), 1.04 (s, 3H), 0.86 – 0.79 (m, 4H), 0.75 (t, J = 7.1 Hz, 6H). 13C NMR (126 MHz, MeOH-d4) δ (ppm) 178.6, 149.1, 143.1, 140.6, 132.7, 131.3, 129.4, 126.6, 122.9, 118.8, 118.2, 110.44, 105.8, 104.0, 97.6, 79.3, 76.5, 74.5, 72.6, 69.3, 67.1, 65.7, 51.5, 50.2, 47.7, 46.5, 40.7, 36.3, 31.9, 22.4, 21.9, 21.8, 19.1, 11.8, 10.8. HRMS (ESI) m+2/2z Calcd. for C56H87O14N7 [M+2H+]: 540.8150, found 540.8136.
5-Methoxy-1-(2-(4-(4-(azithromycin-10-ylmethyl)phenyl)-1H-1,2,3-triazol-1-yl)ethyl)-1H-indole (9b)
Following the same synthetic procedure as described for 1a, reaction between compound 14 (94.0 mg, 0.111 mmol), and compound 24 (48.0 mg, 0.222 mmol) in the presence of CuI (3.2 mg, 0.016 mmol) and Hünig’s base (0.01 mL, 0.073 mmol) in 2 mL of degassed 1:1 mixture THF and DMSO, followed by chromatographic purification (eluent: 5:1:1 ethyl acetate-hexane-triethylamine), gave the required product 9b (59 mg, 50%) as white solid. 1H NMR (500 MHz, MeOH-d4) δ (ppm) 7.50 – 7.41 (m, 3H), 7.31 (t, J = 12.6 Hz, 2H), 7.04 (d, J = 8.9 Hz, 1H), 6.94 (d, J = 2.3 Hz, 1H), 6.82 (d, J = 3.0 Hz, 1H), 6.65 (dd, J = 8.9, 2.3 Hz, 1H), 6.23 (d, J = 2.9 Hz, 1H), 4.97 – 4.83 (m, 2H), 4.70 (t, J = 5.6 Hz, 2H), 4.60 – 4.53 (m, 2H), 4.50 (d, J = 6.9 Hz, 1H), 4.17 – 4.04 (m, 2H), 3.67 (s, 4H), 3.65 – 3.49 (m, 4H), 3.25 – 3.15 (m, 4H), 2.97 (dd, J = 9.3, 5.2 Hz, 1H), 2.93 – 2.64 (m, 5H), 2.41 – 2.32 (m, 1H), 2.28 (s, 7H), 2.18 – 1.98 (m, 3H), 1.86 (dt, J = 19.5, 8.3 Hz, 1H), 1.80 – 1.56 (m, 4H), 1.49 (dt, J = 19.5, 9.8 Hz, 2H), 1.36 – 0.99 (m, 12H), 0.87 – 0.69 (m, 6H). 13C NMR (126 MHz, MeOH-d4) δ (ppm) 178.6, 155.7, 148.9, 132.8, 131.2, 130.7, 129.6, 126.6, 123.0, 113.1, 110.8, 103.9, 102.8, 97.6, 79.4, 76.5, 74.5, 72.7, 69.4, 67.0, 65.6, 56.4, 51.6, 50.2, 47.4, 40.8, 36.3, 31.9, 22.4, 21.9, 21.8, 19.1, 11.9, 10.8. HRMS (ESI) m+2/2z Calcd. for C57H90O13N6 [M+2H+]: 533.3277, found 533.3267.
1-(2-(4-(4-(Azithromycin-10-ylmethyl)phenyl)-1H-1,2,3-triazol-1-yl)ethyl)indoline (10b)
Following the same synthetic procedure as described for 1a, reaction between compound 14 (70.0 mg, 0.082 mmol), and compound 24 (31.0 mg, 0.164 mmol) in the presence of CuI (2.3 mg, 0.012 mmol) and Hünig’s base (0.01 mL, 0.053 mmol) in 2 mL of degassed 1:1 mixture THF and DMSO, followed by chromatographic purification (eluent: 5:1:1 ethyl acetate-hexane-triethylamine), gave the required product 9b (60 mg, 70%) as white solid. 1H NMR (500 MHz, MeOH-d4) δ (ppm) 8.23 (s, 1H), 7.63 (d, J = 8.1 Hz, 2H), 7.39 (t, J = 11.8 Hz, 2H), 6.92 (d, J = 7.2 Hz, 1H), 6.85 (t, J = 7.7 Hz, 1H), 6.55 – 6.43 (m, 1H), 6.30 (t, J = 10.5 Hz, 1H), 4.95 – 4.83 (m, 2H), 4.66 – 4.55 (m, 2H), 4.50 (d, J = 7.0 Hz, 1H), 4.20 – 4.04 (m, 3H), 3.85 (s, 1H), 3.71 – 3.46 (m, 7H), 3.29 (s, 4H), 3.25 (d, J = 8.2 Hz, 2H), 3.21 – 3.16 (m, 1H), 3.01 – 2.93 (m, 1H), 2.83 (t, J = 8.3 Hz, 4H), 2.81 – 2.72 (m, 2H), 2.71 – 2.61 (m, 1H), 2.36 (d, J = 15.1 Hz, 1H), 2.26 (s, 7H), 2.11 (d, J = 9.2 Hz, 1H), 2.01 (d, J = 12.0 Hz, 1H), 1.92 (dd, J = 19.0, 7.0 Hz, 1H), 1.82 – 1.70 (m, 1H), 1.63 (dd, J = 21.5, 8.6 Hz, 3H), 1.56 – 1.45 (m, 2H), 1.38 – 1.24 (m, 4H), 1.22 (t, J = 6.2 Hz, 5H), 1.17 (d, J = 8.9 Hz, 12H), 1.13 – 1.07 (m, 8H), 1.03 (dd, J = 14.8, 8.4 Hz, 5H), 0.91 (t, J = 7.4 Hz, 1H), 0.84 (dt, J = 15.5, 7.2 Hz, 5H), 0.76 (t, J = 7.2 Hz, 7H). 13C NMR (126 MHz, MeOH-d4) δ (ppm) 178.6, 153.2, 149.0, 131.2, 130.9, 128.4, 126.7, 125.5, 122.9, 119.3, 107.8, 104.2, 97.6, 79.4, 76.9, 76.5, 74.5, 72.8, 69.4, 67.1, 65.5, 54.6, 51.0, 50.2, 49.9, 49.8, 49.7, 46.6, 40.9, 36.4, 32.0, 30.3, 29.7, 23.3, 22.4, 21.9, 21.8, 19.1, 11.8, 10.9. HRMS (ESI) m+2/2z Calcd. for C56H90O12N6 [M+2H+]: 519.3303, found 519.3294.
N10-(4-(1-Ethyl-1H-1,2,3-triazol-4-yl)butyl)azithromycin (11)
Compound 13 (81 mg, 0.10 mmol) and sodium azide (65 mg, 1mmol) were dissolved in ethanol (2 mL) and water (0.2 ml). To the mixture was added sequentially iodomethane (0.08 mL, 1 mmol), CuI (2.8 mg, 0.015 mmol) and Hünig’s base (0.17 mL, 1 mmol). The resulting mixture was heated at 40 °C for 24 h and after which the reaction mixture was cooled to room temperature. Following the same work-up procedure and purification described for 1a, compound 11 (53 mg, 60%) was obtained as white solid. 1H NMR (500 MHz, MeOH-d4) δ (ppm) 7.74 – 7.63 (m, 1H), 4.88 (dd, J = 26.6, 6.6 Hz, 2H), 4.48 (d, J = 7.1 Hz, 1H), 4.37 – 4.27 (m, 2H), 4.16 – 3.94 (m, 3H), 3.67 (dt, J = 23.3, 11.7 Hz, 1H), 3.63 – 3.53 (m, 3H), 3.25 – 3.15 (m, 7H), 2.95 (t, J = 13.1 Hz, 2H), 2.76 (d, J = 8.2 Hz, 4H), 2.69 – 2.57 (m, 4H), 2.45 – 2.28 (m, 11H), 2.17 (d, J = 35.6 Hz, 1H), 2.08 – 1.86 (m, 4H), 1.78 (dd, J = 12.3, 7.4 Hz, 1H), 1.75 – 1.68 (m, 2H), 1.69 – 1.48 (m, 6H), 1.41 (dd, J = 27.3, 20.0 Hz, 6H), 1.31 – 1.06 (m, 6H), 1.05 – 0.93 (m, 6H), 0.98 – 0.75 (m, 6H). 13C NMR (126 MHz, MeOH-d4) δ (ppm) 179.2, 122.9, 103.9, 84.7, 80.5, 79.4, 78.6, 76.1, 74.5, 72.5, 69.2, 66.9, 65.8, 50.1, 49.8, 46.5, 41.9, 40.7, 36.3, 31.9, 26.1, 25.1, 22.9, 22.1, 21.8, 19.2, 18.1, 16.0, 11.7, 10.4, 9.8. HRMS (ESI) m/z Calcd. for C45H84O12N5 [M+H+]: 886.6111, found 886.6109.
Cell free translation assays
Working solutions were made of each compound using BioReagent grade DMSO (Sigma, D8418) by serially diluting to final dose range of 15.0 μM to 10 nM for prokaryotic systems and 250.0 μM to 100.0 μM for eukaryotic systems. Escherichia coli (E. coli S30 Extract System for Circular DNA, Promega, L1020) and rabbit reticulocyte (RRL system, nuclease treated, Promega, L4960) assays were performed as recommended by manufacturer.37,38 Briefly, varying concentrations of the compounds of interest were allowed to incubate in a solution of cellular extract and all amino acids for 20 min at room temperature. Following brief centrifugation, 0.40 μL luciferase control template (Promega) was added to each tube. After gentle mixing and spin down, tubes were incubated at 37°C for 60 min (30 °C for 90 min for eukaryotic samples). Translation was terminated by inactivating on ice for 5 min. Upon returning to ambient temperature, 5 μL per tube (2.5 μL for eukaryotic samples) was delivered to a LUMITRAC™ 200 96-well plate. Luminescence was immediately read following the addition of the luciferin solution using a Molecular Devices SpectraMax M2. IC50 values were determined by nonlinear fit using GraphPad Prism 6. All compounds were done in triplicate and standardized against an internal vehicle control.
MIC analysis
Minimum inhibitory concentrations (MIC50) of all compounds was determined using liquid microdilution methods.40 Briefly, E. coli (ATCC 27856, LB liquid medium), S. aureus (ATCC 29213, TSB broth), and methicillin-resistant S. aureus (ATCC 33591, Nutrient broth) were grown overnight at 37 °C. These cultures were diluted 1:1000 with their respective growth media prior to plating onto TPP 96-well tissue culture plates (Sigma, TPP 92096). Positive controls were as follows: chloramphenicol for E. coli, whereas vancomycin for S. aureus and MRSA. Cell growth was determined by a comparison of OD600 values using a Molecular Devices SpectraMax M2 both before and after incubation (18 hrs, 37 °C). All compounds were done in triplicate and standardized against an internal vehicle control.
Bovine serum (Life Technologies, 16170-086) trials with S. aureus ATCC29213 were prepared and analyzed in a similar manner with the only variation being that the 1:1000 dilution was done with 50% of serum and broth.
Supplementary Material
Acknowledgments
We are grateful to Professor W. Kelly for giving us E. coli ATCC 27856. We are also indebted to Professor A. Mankin and D. Klepacki for their generous gift of S. aureus ATCC 29213 and 33591. This work was financially supported in part by NASA Astrobiology Institute [NNA09DA78A] and by NIH RO1 grant R01CA131217 (A.K.O.). A.Z.W is a thankful recipient of the GAANN predoctoral fellowship from the Georgia Tech School of Chemistry and Biochemistry.
Footnotes
Publisher's Disclaimer: This is a PDF file of an unedited manuscript that has been accepted for publication. As a service to our customers we are providing this early version of the manuscript. The manuscript will undergo copyediting, typesetting, and review of the resulting proof before it is published in its final citable form. Please note that during the production process errors may be discovered which could affect the content, and all legal disclaimers that apply to the journal pertain.
References
- 1.Wilson DN. Nature Rev Microb. 2014;12:35–48. doi: 10.1038/nrmicro3155. [DOI] [PubMed] [Google Scholar]
- 2.Kantarjian HM, O’Brien S, Cortes J. Clin Lymph Meyl And Leuk. 2013;13:530–533. doi: 10.1016/j.clml.2013.03.017. [DOI] [PMC free article] [PubMed] [Google Scholar]
- 3.Woolhead CA, McCormink PJ, Johnson AE. Cell. 2004;116:725–736. doi: 10.1016/s0092-8674(04)00169-2. [DOI] [PubMed] [Google Scholar]
- 4.Lu J, Deutsch C. Nat Struct Mol Biol. 2005;12:1123–1129. doi: 10.1038/nsmb1021. [DOI] [PubMed] [Google Scholar]
- 5.Lu J, Deutsch C. Biochemistry. 2005;44:8230–8243. doi: 10.1021/bi050372q. [DOI] [PubMed] [Google Scholar]
- 6.Tu LW, Deutsch C. J Mol Biol. 2010;396:1346–1360. doi: 10.1016/j.jmb.2009.12.059. [DOI] [PMC free article] [PubMed] [Google Scholar]
- 7.Bhushan S, Meyer H, Starosta AL, Becker T, Mielke T, Berninghausen O, Sattler M, Wilson DN, Beckmann R. Mol Cell. 2010;40:138–146. doi: 10.1016/j.molcel.2010.09.009. [DOI] [PubMed] [Google Scholar]
- 8.Bhushan S, Gartmann M, Halic M, Armache J-P, Jarasch A, Mielke T, Berninghausen O, Wilson DN, Beckmann R. Nat Struct Mol Biol. 2010;17:313–317. doi: 10.1038/nsmb.1756. [DOI] [PubMed] [Google Scholar]
- 9.Washington AZ, Benicewicz DB, Canzoneri JC, Fagan CF, Mwakwari SC, Maehigashi T, Dunham CM, Oyelere AK. ACS Chem Biol. 2014;9:2621–2631. doi: 10.1021/cb5003224. [DOI] [PMC free article] [PubMed] [Google Scholar]
- 10.Gumbart J, Schreiner E, Wilson DN, Beckmann R, Schulten K. Biophys J. 2012;103:331–341. doi: 10.1016/j.bpj.2012.06.005. [DOI] [PMC free article] [PubMed] [Google Scholar]
- 11.Seidelt B, Innis CA, Wilson DN, Gartmann M, Armache JP, Villa E, Trabuco LG, Becker T, Mielke T, Schulten K, Steitz TA, Beckmann R. Science. 2009;326:1412–1415. doi: 10.1126/science.1177662. [DOI] [PMC free article] [PubMed] [Google Scholar]
- 12.Arenz S, Ramu H, Gupta P, Berninghausen O, Beckmann R, Vasquez-Laslop N, Mankin AS, Wilson DN. Nature Comm. 2014;5:3501. doi: 10.138/ncomms4501. [DOI] [PMC free article] [PubMed] [Google Scholar]
- 13.Mankin AS. Curr Opin Microbiol. 2008;11:414–421. doi: 10.1016/j.mib.2008.08.003. [DOI] [PMC free article] [PubMed] [Google Scholar]
- 14.Centers for Disease Control and Prevention. [Accessed Jan 27, 2015];2013 National and State Healthcare-Associated Infections Progress Report. Published Jan 14, 2015. www.cdc.gov/hai/progress-report/index.html.
- 15.Beam JW, Buckley B. J Athl Train. 2006;41:337–340. [PMC free article] [PubMed] [Google Scholar]
- 16.Stryjewski ME, Chambers HF. Clin Infec Diseases. 2008;46:S368–S377. doi: 10.1086/533593. [DOI] [PubMed] [Google Scholar]
- 17.Vazifeh D, Preira A, Bryskier A, Labro MT. Antimic Agents and Chemo. 1998;42:1944–1951. doi: 10.1128/aac.42.8.1944. [DOI] [PMC free article] [PubMed] [Google Scholar]
- 18.Berisio R, Harms J, Schluenzen F, Zarivach R, Hansen HAS, Fucini P, Yonath A. J Bacteriol. 2003;185:4276–4279. doi: 10.1128/JB.185.14.4276-4279.2003. [DOI] [PMC free article] [PubMed] [Google Scholar]
- 19.Hansen JF, Ippolito JA, Ban N, Nissen P, Moore PB, Steitz TA. Mol Cell. 2002;10:117–128. doi: 10.1016/s1097-2765(02)00570-1. [DOI] [PubMed] [Google Scholar]
- 20.Bulkley D, Innis CA, Blaha G, Steitz TA. Proc Natl Acad USA. 2010;107:17158–17163. doi: 10.1073/pnas.1008685107. [DOI] [PMC free article] [PubMed] [Google Scholar]
- 21.Nakatogawa H, Ito K. Cell. 2002;108:629–636. doi: 10.1016/s0092-8674(02)00649-9. [DOI] [PubMed] [Google Scholar]
- 22.Muto H, Nakatogawa H, Ito K. Mol Cell. 2006;22:545–552. doi: 10.1016/j.molcel.2006.03.033. [DOI] [PubMed] [Google Scholar]
- 23.The PyMOL Molecular Graphics System, Ver. 1.5.0.4. Schrödinger, LLC; New York: [Google Scholar]
- 24.Kocsis LS, Benedetti E, Brummond KM. Org Lett. 2012;14:4430. doi: 10.1021/ol301938z. [DOI] [PMC free article] [PubMed] [Google Scholar]
- 25.Klyatskaya SV. Russian Chemical Bulletin. 2002;51:128–134. [Google Scholar]
- 26.Lee Y, Choi JY, Fu H, Harvey C, Ravindran S, Roush WR, Boothroyd JC, Khosla C. J Med Chem. 2011;54:2792–2804. doi: 10.1021/jm101593u. [DOI] [PMC free article] [PubMed] [Google Scholar]
- 27.Chen PC, Patil V, Guerrant W, Green P, Oyelere AK. Bioorg Med Chem. 2008;16:4839–4853. doi: 10.1016/j.bmc.2008.03.050. [DOI] [PubMed] [Google Scholar]
- 28.Oyelere AK, Chen PC, Guerrant W, Mwakwari SC, Hood R, Zhang Y, Fan Y. J Med Chem. 2009;52:456–468. doi: 10.1021/jm801128g. [DOI] [PMC free article] [PubMed] [Google Scholar]
- 29.Mwakwari SC, Guerrant W, Patil V, Khan S, Tekwani B, Gurard-Levin ZA, Mrksich M, Oyelere AK. J Med Chem. 2010;53:6100–6011. doi: 10.1021/jm100507q. [DOI] [PMC free article] [PubMed] [Google Scholar]
- 30.Yan RB, Yang F, Wu Y, Zhang LH, Ye XS. Tet Lett. 2005;46:8993–8995. [Google Scholar]
- 31.Zhang H, Hong L, Kang H, Wang R. J Am Chem Soc. 2013;135:14098–14101. doi: 10.1021/ja408336v. [DOI] [PubMed] [Google Scholar]
- 32.Soubhye J, Prevost M, Van Antwerpen P, Boudjeltia KZ, Rousseau A, Furtmuller Paul G, Obinger C, Vanhaeverbeek M, Ducobu J, Neve J, Gelbcke M, Dufrasne F. J Med Chem. 2010;53:8747–8759. doi: 10.1021/jm1009988. [DOI] [PubMed] [Google Scholar]
- 33.Chen PC, Wharton RE, Patel PA, Oyelere AK. Bioorg Med Chem. 2007;15:7288–7300. doi: 10.1016/j.bmc.2007.08.035. [DOI] [PMC free article] [PubMed] [Google Scholar]
- 34.Gigant N, Claveau E, Bouyssou P, Gillaizeau I. Org Lett. 2012;14:844–847. doi: 10.1021/ol203364b. [DOI] [PubMed] [Google Scholar]
- 35.Egger J, Weckerle C, Cutting B, Schwardt O, Rabbani S, Lemme K, Ernst B. J Am Chem Soc. 2013;135:9820–9828. doi: 10.1021/ja4029582. [DOI] [PubMed] [Google Scholar]
- 36.Pruul H, McDonald PJ. Antimic Agents and Chemo. 1992;36:10–16. doi: 10.1128/aac.36.1.10. [DOI] [PMC free article] [PubMed] [Google Scholar]
- 37.Pratt SD, David CA, Black-Schaefer C, Dandliker PJ, Xuei X, Warrior U, Burns DJ, Zhong P, Cao Z, Saiki AY, Lerner CG, Chovan LE, Soni NB, Nilius AM, Wagenaar FL, Merta PJ, Traphagen LM, Beutel BA. J Biomol Scr. 2004;9:3–11. doi: 10.1177/1087057103260876. [DOI] [PubMed] [Google Scholar]
- 38.Thorne CA, Lafleur B, Lewis M, Hanson AJ, Jernigan KK, Weaver DC, Huppert KA, Chen TW, Wichaidit C, Cselenyi CS, Tahinci E, Meyers KC, Waskow E, Orton D, Salic A, Lee LA, Robbins DJ, Huppert SS, Lee E. J Biomol Scr. 2011;16:995–1006. doi: 10.1177/1087057111416657. [DOI] [PMC free article] [PubMed] [Google Scholar]
- 39.Dunkle JA, Xiong L, Mankin AS, Cate JH. Proc Natl Acad USA. 2010;107:17152–17157. doi: 10.1073/pnas.1007988107. [DOI] [PMC free article] [PubMed] [Google Scholar]
- 40.CLSI. CLSI document M07-A9. 2. Vol. 32. Wayne, PA: Clinical and Laboratory Standards Institute; 2012. Methods for Dilution Antimicrobial Susceptibility Tests for Bacteria That Grow Aerobically; Approved Standard—Ninth Edition; pp. 18–19. [Google Scholar]
Associated Data
This section collects any data citations, data availability statements, or supplementary materials included in this article.



