Abstract
Study Objectives:
A principal function of sleep may be restoration of brain energy metabolism caused by the energetic demands of wakefulness. Because energetic demands in the brain are greater in gray than white matter, this study used linear mixed-effects models to examine tissue-type specific changes in high-energy phosphates derived using 31P magnetic resonance spectroscopy (MRS) after sleep deprivation and recovery sleep.
Design:
Experimental laboratory study.
Setting:
Outpatient neuroimaging center at a private psychiatric hospital.
Participants:
A total of 32 MRS scans performed in eight healthy individuals (mean age 35 y; range 23-51 y).
Interventions:
Phosphocreatine (PCr) and β-nucleoside triphosphate (NTP) were measured using 31P MRS three dimensional-chemical shift imaging at high field (4 Tesla) after a baseline night of sleep, acute sleep deprivation, and 2 nights of recovery sleep. Novel linear mixed-effects models were constructed using spectral and tissue segmentation data to examine changes in bioenergetics in gray and white matter.
Measurements and Results:
PCr increased in gray matter after 2 nights of recovery sleep relative to sleep deprivation with no significant changes in white matter. Exploratory analyses also demonstrated that increases in PCr were associated with increases in electroencephalographic slow wave activity during recovery sleep. No significant changes in β-NTP were observed.
Conclusions:
These results demonstrate that sleep deprivation and subsequent recovery-induced changes in high-energy phosphates primarily occur in gray matter, and increases in phosphocreatine after recovery sleep may be related to sleep homeostasis.
Citation:
Plante DT, Trksak GH, Jensen JE, Penetar DM, Ravichandran C, Riedner BA, Tartarini WL, Dorsey CM, Renshaw PF, Lukas SE, Harper DG. Gray matter-specific changes in brain bioenergetics after acute sleep deprivation: a 31P magnetic resonance spectroscopy study at 4 Tesla. SLEEP 2014;37(12):1919-1927.
Keywords: magnetic resonance spectroscopy, nucleoside triphosphate, phosphocreatine, sleep deprivation
INTRODUCTION
The energy requirements of the brain are quite high relative to other organs, with the brain accounting for approximately 20% of the body's resting metabolism despite only constituting 2% of body mass.1 Although energy consumption in the brain is used for a myriad of biological processes, the greatest proportion of energy is harnessed for neuronal activity, with excitatory neurotransmission consuming the majority of energy expended.2–4 Decreases in excitatory neurotransmission in multiple cortical regions during nonrapid eye movement (NREM) sleep relative to wakefulness, are suggested by characteristic electroencephalogram (EEG) slowing during sleep, as well as positron emission tomography (PET) and single-photon emission computed tomography (SPECT) studies.5–7 This decrease in metabolic expenditure during sleep relative to wakefulness broadly supports the hypothesis that one of the principal functions of sleep is restoration of brain energy metabolites caused by the energetic demands of wakefulness.8,9
Adenosine triphosphate (ATP), the molecular unit of energy currency in the brain, is the primary source of chemical potential energy used by cells. However, in tissues with high and fluctuating energy requirements, such as the brain, simply adjusting intracellular concentrations of ATP to meet energy storage/utilization requirements would be problematic because levels of ATP and its catabolic products are key regulators of a number of fundamental metabolic processes.10 Thus, phosphocreatine (PCr) serves as a vital, rapidly mobilizable energy reserve to maintain ATP concentration in the brain, as a source of high-energy phosphoryl groups that can be donated to adenosine diphosphate (ADP) to form ATP, a reversible reaction catalyzed by the enzyme creatine kinase.10
The role of ATP and PCr in the brain as related to sleep and wakefulness is an important area of research given the aforementioned theories of sleep in energy restoration and converging lines of evidence suggesting a critical role for adenosine in sleep homeostasis.11 Animal models of sleep deprivation have demonstrated adenosine increases in the basal forebrain and cortex during sleep deprivation and declines during recovery sleep, and that exogenous adenosine applied in the basal forebrain mimics the effects of prolonged wakefulness during recovery sleep (i.e., increased sleep time and slow wave activity).12–15 Because intracellular adenosine is primarily produced from adenosine monophosphate (AMP), a catabolic by-product of ATP hydrolysis, sleep homeostatic mechanisms and brain bioenergetics have been linked, albeit indirectly, through adenosine.16 Using a rat model, Dworak and colleagues provided more direct evidence of the role of sleep in brain energy metabolism by demonstrating that (1) ATP increases above waking levels during sleep, (2) the ATP surge is positively correlated with slow wave activity (a marker of sleep homeostasis), and (3) ATP levels return to baseline by the end of the sleep period. Additionally, ATP remained constant during a sleep deprivation protocol, delaying the sleep related increase in ATP; however, PCr decreased in the basal forebrain, as well as frontal and cingulate cortices, suggesting PCr was depleted to maintain ATP levels during extended wakefulness.17
Although tissue-dependent assays that measure brain high-energy phosphates in response to sleep deprivation in animal models cannot be used in human studies, 31P magnetic resonance spectroscopy (MRS) allows for noninvasive in vivo quantification of bioenergetic compounds including PCr and nucleoside triphosphates (NTP; the majority of which is ATP, given higher levels of adenosine relative to cytidine and guanosine triphosphates18). 31P MRS has been used in prior sleep deprivation studies in healthy subjects, demonstrating no change in brain bioenergetics after sleep deprivation relative to baseline values.19,20 However, after recovery sleep, increases in β-NTP (which is proportional to ATP21), as well as γ-NTP (a nonspecific resonance that includes nucleoside diphosphates and triphosphates), total NTP (a summation of α, β, and γ NTP resonances), and PCr have been described, suggesting part of the recovery process after sleep deprivation includes increases in high-energy phosphates.20,22 Notably, a significant limitation of 31P MRS studies of sleep deprivation is the large brain area over which spectra are collected for adequate signal-to-noise ratio, which results in poor spatial resolution. Although precise localization of bioenergetic changes using MRS is currently not possible, the use of linear mixed effects models that combine magnetic resonance tissue segmentation with spectral data have been successfully used to examine tissue type (i.e., gray matter and white matter) specific changes in brain metabolites in physiologic and pathologic processes.2,23–32 These analytical techniques are particularly pertinent for 31P MRS studies of brain bioenergetics in response to sleep deprivation because the metabolic rate is approximately 25–50% higher in gray than white matter.1,2
Thus, the current study used a novel linear mixed-effects model to examine changes in brain bioenergetics using 31P MRS across a paradigm of total sleep deprivation and recovery sleep. Based on the increased metabolic demand in gray relative to white matter, energetic costs of extended wakefulness, and previous reports of increases in high-energy phosphates after recovery sleep from sleep deprivation, we hypothesized that there would be tissue type-specific alterations in high-energy phosphates with decreases in PCr and β-NTP from baseline after sleep deprivation and subsequent rise beyond baseline in these metabolites after recovery sleep, predominantly occurring in gray matter.
MATERIALS AND METHODS
Participants
Individuals included in this study were eight (five male) healthy adults (mean age 35 y; range 23-51 y) who were previously recruited from the greater Boston, MA area via print, radio, and web-based advertisements as part of a larger study of sleep deprivation in substance dependence.22 Participants were included in the current post hoc analysis if they had intact three-dimensional chemical shift imaging (3D-CSI) MRS scans and sleep recordings (see next paragraphs). After initial telephone screening, individuals participated in an in-person visit during which written informed consent was obtained. This visit included evaluation for psychiatric disorders with the Structured Clinical Interview for Diagnostic and Statistical Manual of Mental Disorders, Fourth Edition (SCID)33 along with detailed medical history and physical examination. Baseline laboratory values included urine drug screen and pregnancy tests for women of reproductive age. In addition, prior to the sleep deprivation paradigm, participants had in-laboratory screening polysomnography to rule out clinically significant sleep disordered breathing (apnea-hypopnea index > 10/h) or periodic limb movements of sleep (periodic limb movement index > 10/h). Individuals were excluded if they had evidence of current Axis I disorder, including drug or alcohol abuse/dependence, any significant medical, sleep, or neurologic illness, or contraindications to magnetic resonance scanning.
The study was approved by the Institutional Review Board of McLean Hospital. All individuals were compensated for their participation in this study.
Sleep Deprivation Protocol
Individuals who met inclusion/exclusion criteria participated in a total sleep deprivation protocol. After completing in-laboratory screening polysomnography, participants were instructed to follow their usual sleep schedules, and to avoid napping and caffeine consumption for the approximately 5-7 days between screening and the sleep deprivation protocol. Participants returned to the laboratory for a baseline night of sleep, followed by 40 h of constant wakefulness confirmed via direct supervision by study staff. Following sleep deprivation, participants had 2 consecutive nights of recovery sleep in the laboratory. Participants were allowed to leave the laboratory facility between their first and second nights of recovery sleep, with instructions to avoid napping. Four separate magnetic resonance scans were performed between 07:00 and 08:00 h following baseline night of sleep (BSL), after sleep deprivation, and following both nights of recovery sleep (REC1 and REC2).
Magnetic Resonance Imaging
Imaging and spectroscopy were performed on a whole body 4-Tesla MR scanner (Varian/UNITYInova, Palo Alto, CA) using a dual tuned proton-phosphorus transverse electromagnetic head coil (Bioengineering Inc., Minneapolis, MN) operating at 170.3 MHz for proton and 68.95 MHz for phosphorus. Manual shimming on the unsuppressed global water signal yielded a typical unsuppressed water line width of 20–30 Hz. A three-plane scout image set initially determined the individual's position within the coil, followed by acquisition of high-contrast, T1-weighted sagittal and axial image sets (echo time/repetition time (TE/TR) = 6.2/11.4 ms, field of view (FOV) = 22 cm × 22 cm, readout-duration = 4 ms, receive bandwidth = ± 32 kHz, in-plane matrix size = 128 × 256 mm (sagittal), 256 × 256 mm (axial), in-plane resolution = 1.90 mm × 0.94 mm (sagittal), 0.94 mm × 0.94 mm (axial), axial-plane matrix size = 32 (sagittal), 64 (axial) axial-plane resolution = 2.5 mm (sagittal and axial), scan time = 2 min, 30 sec (sagittal), 5 minutes (axial)) of the entire brain using a three-dimensional, magnetization-prepared fast low angle shot imaging sequence (3D-mpFLASH).
31P Magnetic Resonance Spectroscopy
31P 3D-CSI used the phosphorus channel of the dual tuned head coil. Acquisition parameters were: TR = 500 ms; tip-angle = 32°; Rx bandwidth = ± 2 kHz; complex points = 1024; readout duration = 256 ms; prepulses = 10; preacquisition delay = 1.905 ms; FOV (x,y,z) = 330 mm; nominal volume = 13.1 cc; maximum phase-encode matrix dimension (x,y,z) 14 × 14 × 14 (zero-filled out to 16 × 16 × 16 prior to reconstruction). The 3D-CSI sequence used a spherically bound, sparse-omission34,35 reduced-phase encoding scheme, with k-space points randomly omitted from the 14 × 14 × 14 matrix in such a way that the degree of k-space point omission gradually increases toward outer k-space. The variable k-space sampling density preserves the sensitivity of the measurement as well as the spatial localization, while greatly reducing scan time, which was approximately 46 min.
The 31P 3D-CSI raw datasets were first zero-padded within a 16 × 16 × 16 matrix and each k-space free-induction decay (FID) digitally corrected in amplitude, accounting for the discrepancy between theoretical and integer-weighted k-space filter functions. Once spatially resolved, the 31P 3D-CSI grid was coregistered with the axial T1-weighted images such that the grid was centered midsagittally inside the brain according to anatomical landmarks in both the sagittal and axial planes. A 4 × 7 × 3 matrix of voxels was centered within the brain as to exclude voxels adjacent to the temporalis muscle, thus minimizing signal contamination from these muscles (Figure 1). Additionally, voxels that were too close to the superior and inferior surfaces of the skull were omitted because of low signal-to-noise ratio and susceptibility artifact. Automated software then zero-order phase-corrected each spectrum using the PCr resonance as a navigator and extracted the spatially resolved spectral FIDs (time-domain) from each voxel in each scan for separate fitting of each spectrum.
Figure 1.

(A) T1-weighted anatomical images depicting placement of 3D-CSI grid. (B) Representative 31P spectrum from a single voxel in the parieto-occipital cortex displayed with (C) modeled fit. Spectrum is shown with 10 Hz exponential filtering for display.
All offline image processing used commercial and custom-written software for the purpose of grid-shifting, partial volume analysis, and tissue segmentation. For 31P 3D-CSI spectral fitting, we used a spectral time-domain fitting program, based on the Marquardt-Levenberg nonlinear, least-squares algorithm, incorporating prior knowledge of spectral peak assignments, chemical shifts and J-coupling constants.35 Our spectral model included 10 phosphorus-containing molecules: γ, α, β-NTP, PEtn, PCho, GPEtn, GPCho, 2,3 diphospho-glyceride (DPG), inorganic phosphate (Pi), membrane-bound phospholipid (MP) and PCr. The model assumes lorentzian lineshape for the singlet PCr and Pi resonances, lorentzian doublets (1:1) for the γ- and α-NTP resonances and a lorentzian-modeled triplet structure (1:2:1) for the β-NTP resonance where the NTP J-coupling constant was fixed to 16 Hz. Our spectral model is described in more detail in elsewhere.35 Phosphorus metabolites are reported relative to total phosphorus signal and multiplied by a factor of 102 for modeling purposes. Intracellular pH was calculated using methods described previously by Petroff and colleagues.36
Tissue Segmentation and Image Post-processing
Image segmentation was performed using a PC running VM-ware for FSL version 4.1. For voxel tissue partial-volume estimation, the high-resolution T1-weighted axial images were first segmented into cortical gray matter (cGM), white matter (WM), subcortical gray matter (scGM) and cerebrospinal fluid (CSF) compartments using FSL 4.1 (FMRIB Software Library; Analysis Group, FMRIB; Oxford, UK). This package allows for optimized and fully automated segmenting of both cortical tissue (“FAST” - FMRIB Software Library; Analysis Group, FMRIB; Oxford, UK) as well as subcortical tissue (“FIRST” - FMRIB Software Library; Analysis Group, FMRIB; Oxford, UK). When segmented, the images were then reformatted for input into an in-house automated voxel coregistration and partial volume analysis program written using C-code. In this process, we convolved the mathematically modeled, three-dimensional point-spread function (3D-PSF) from the sparse k-space sampling scheme, digitally sampled in a 256 × 256 × 64 matrix, with the coregistered binary images (also digital matrices of 256 × 256 × 64) to obtain theoretically correct pixel-counts of the contribution of each tissue type to each voxel based on the 3D-PSF weighted distribution.35 Subsequently, the volumetric tissue contribution for each MRS voxel was determined and volumetric contributions of total gray matter (GM = cGM + scGM), WM, and CSF calculated.
Polysomnography and EEG Spectral Analysis
During sleep episodes, participants were monitored with electrophysiologic monitoring including EEG, electrooculogram (EOG), and electromyogram (EMG) using Alice Sleepware (Philips Respironics, Murrysville, PA) according to standard procedures.37 Because scoring standards have changed since the initial recordings, a registered polysomnographic technologist rescored sleep stages in 30-sec epochs in accordance with current staging criteria for analysis.38 EEG data from C3-A2 was used for spectral analysis. Spectral analysis was performed in MATLAB (Mathworks, Natick, MA) in consecutive 6-sec epochs (Welch's averaged modified periodogram with a Hamming window) for all epochs of NREM sleep, consistent with prior studies.39,40 Automated artifact rejection was conducted to remove individual 6-sec epochs with high-frequency noise or interrupted contact with the scalp. Specifically, individual epochs were excluded if the high frequency power between 20–30 Hz was in the top 0.05% of power in that range for all NREM epochs for a given polysomnographic recording. Slow wave activity (SWA) was defined as the power density in the 1–4.5 Hz range.
Statistics
The primary energetic metabolites of interest in this study were β-NTP and PCr. Other variables related to brain bioenergetics that were examined on an exploratory basis included the metabolites γ-NTP and unbound Pi, the ratios of Pi to β-NTP (Pi/β-NTP),41 Pi to PCr (Pi/PCr),42 and pH. Linear mixed effects models were constructed for each of the 31P metabolites of interest in this study.28,29,43 A minimal model, using subjects as a random effect and total phosphorus signal as a fixed effect, was used to identify peaks that were questionable because of contamination by muscle or other artifact, with voxels rejected if the studentized residual from the minimal model was > 3 or ≤ 3.
The full model used for analysis included random effects of subject and individual subject scan nested within subject. Additionally, fixed effects included total phosphorous signal – metabolite of interest, condition (BSL, sleep deprivation, REC1, REC2), partial volume (GM + WM) and tissue type (GM – WM) with age and sex included as covariates of no interest. Because an effect of position in the MRS slab (i.e., dorsal to ventral position and inclusion of the basal ganglia) was observed in preliminary analyses, voxel region (superior, medial, inferior, or basal ganglia) was also included as a covariate of no interest in the model. Interaction terms were added for partial volume by condition and tissue type by condition because we hypothesized metabolite differences between tissue types (i.e., gray and white matter) across the sleep deprivation paradigm.
A two-way (time × tissue type) interaction, multiple degrees of freedom test was performed for each variable to examine tissue-type changes across the experimental condition. Significant interactions were then examined to determine if significant changes occurred in gray and/or white matter. Post hoc tests that used the gray and white matter contribution from voxels of mixed composition were then used to compare differences between time points. If no significant tissue type interaction was found for a given metabolite, effects of total tissue (50% GM; 50% WM) were evaluated, in case there were metabolic changes across the paradigm that were not related to tissue type. We applied Bonferroni multiple testing corrections to primary and exploratory metabolite results separately and thus all reported P values for primary metabolites are multiplied by a factor of 2; P values for exploratory metabolites are multiplied by a factor of 5. Alpha was fixed at 0.05 for significance. All metabolite levels are reported as least squares mean ± standard error of the mean. Linear mixed effects models were fitted with the restricted maximum likelihood method implemented by JMP Pro Version 10 (SAS Institute, Cary, NC).
We also explored associations between SWA and tissue-specific levels of metabolites of primary interest for which we observed differences across sleep deprivation and recovery, to examine whether changes observed were related to sleep homeostasis. For associations between deprivation and recovery 1 scans, SWA was parameterized as a percent change from the baseline night of sleep to first night of recovery sleep. For associations between deprivation and REC2 scans (which had 2 nights of recovery sleep between scans), SWA was parameterized as the percent change in SWA from baseline to the first night of recovery sleep plus the percent change from baseline to the second night of recovery sleep.
RESULTS
Primary Metabolites
Changes in PCr across experimental conditions differed significantly by tissue type (F3,2475 = 4.54; P = 0.007) (Figure 2A). Substantial changes across conditions were observed in GM (F3,219 = 4.38; P = 0.010) but not WM (F3,62 = 0.76; P = 1.0). Changes in GM during the protocol were characterized by a nonsignificant reduction in PCr of 3.9% from BSL to sleep deprivation (t2,284 = -1.19; P = 0.47) followed by increases in GM PCr from sleep deprivation to REC1 and REC2 of 7.3% (t2,247 = 2.25; P = 0.051) and 10.1% (t2,158 = 3.51; P = 0.001), respectively.
Figure 2.

Model-derived least-squares means of (A) phosphocreatine (PCr) and (B) β-nucleoside triphosphate (β-NTP) area under the curve (error bars represent standard error). We estimated metabolite contributions of gray matter and white matter in voxels of mixed composition to aid in the interpretations of interactions. (A) PCr showed a significant difference in association with condition between gray and white matter, in accordance with our hypothesis (F3,2475 = 4.54; P = 0.007). Post hoc analyses revealed a trend toward increases in PCr from sleep deprivation to REC1 (t2,247 = 2.25; P = 0.051) and significant increases in PCr from sleep deprivation to REC2 (t2,158 = 3.51; P = 0.001) in GM. (B) β-NTP did not demonstrate a significant difference in association with condition between gray and white matter. * P ≈ 0.05; *** Significant difference corresponding to P ≤ 0.001. The dashed line is total tissue (50% gray matter; 50% white matter), and is depicted for comparison purposes. BSL, baseline night of sleep; REC1, recovery sleep night 1; REC2, recovery sleep night 2.
Changes across experimental conditions did not differ significantly by tissue type for β-NTP (F3,2477 = 1.37; P = 0.50), nor was there a significant change in β-NTP across experimental conditions in total tissue (50% gray matter/50% white matter) (F3,30 = 1.41; P = 0.52) (Figure 2B).
Secondary Metabolites
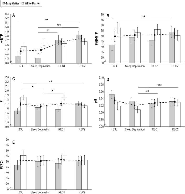
Similar to PCr, changes in both γ-NTP and Pi/β-NTP prominently occurred in gray matter. Changes in γ-NTP across experimental conditions differed significantly by tissue type (F3,2489 = 4.71; P = 0.014) (Figure 3A). Substantial changes were observed in GM (F3,224 = 8.24; P < 0.001), but not WM (F3,63 = 0.55; P = 1.0). In GM, though there was no substantial change from BSL to sleep deprivation (t2,293 = -0.33; P = 1.0), after recovery nights 1 and 2 of sleep, γ-NTP rebounded to values 9.2% and 11.8% greater than sleep deprivation (sleep deprivation to REC1: t2,254 = 2.96; P = 0.017; sleep deprivation to REC2: t2,161 = 4.29; P < 0.001). Overall, there was a significant net enhancement of γ-NTP in GM of 10.6% after 2 nights of recovery sleep relative to baseline levels (t2,233 = 3.55; P = 0.002).
Figure 3.
Model-derived least-squares means of (A) γ-NTP, (B) Pi/β-NTP, (C) Pi, (D) pH, and (E) Pi/PCr area under the curve (error bars represent standard error). We estimated metabolite contributions of gray matter and white matter in voxels of mixed composition to aid in the interpretations of interactions. (A) γ-NTP showed a significant difference in association with condition between gray and white matter (F3,2489 = 4.71; P = 0.014). Significant increases from sleep deprivation to REC1 (t2,254 = 2.96; P = 0.017) and REC2 (t = 4.29; t2,161 = 4.29; P < 0.001) with overall increases from BSL to REC2 (t2,233 = 3.55; P = 0.002) were observed in GM. (B) Pi/β-NTP showed a significant difference in association with condition between gray and white matter (F3,2445 = 8.02; P < 0.001). Significant increase from BSL to REC2 (t2,190 = 3.35; P = 0.005) was observed in GM. (C) Pi showed a significant difference in association with condition between gray and white matter (F3,2485 = 8.21; P < 0.001). Significant decrease from BSL to sleep deprivation (t2,57 = -3.00; P = 0.020) and significant increase from sleep deprivation to REC1 (t2,49 = 2.91; P = 0.027) were observed in WM, with an overall decline of Pi in WM from BSL to REC2 (t2,50 = -3.33; P = 0.008). (D) pH showed a significant difference in association with condition between GM and WM (F3,2482 = 4.13;P = 0.031). pH in WM increased from sleep deprivation to REC1 (t2,100 = 3.63; P = 0.002) and REC2 (t2,78 = 3.83; P = 0.001), respectively. (E) Pi/PCr did not demonstrate a significant difference in association with condition between GM and WM. The dashed line is total tissue (50% gray matter; 50% white matter), and is depicted for comparison purposes. * Significant difference corresponding to P ≤ 0.05. ** Significant difference corresponding to P ≤ 0.01. *** Significant difference corresponding to P ≤ 0.001. BSL, baseline night of sleep; GM, gray matter; NTP, nucleoside triphosphate; PCr, phosphocreatine; Pi, inorganic phosphate; REC1, recovery sleep night 1; REC2, recovery sleep night 2; WM, white matter.
Changes in Pi/β-NTP across experimental conditions also differed significantly by tissue type (F3,2445 = 8.02; P < 0.001) (Figure 3B). Substantial changes across conditions were observed in GM (F3,183 = 4.19; P = 0.034) but not WM (F3,56 = 3.15; P = 0.16). Changes in GM during the protocol were characterized increases in GM Pi/β-NTP from BSL to REC2 (t2,190 = 3.35; P = 0.005), without other significant changes in GM across sleep deprivation and recovery.
Pi and pH demonstrated changes that predominantly occurred in white matter. Changes in Pi across conditions differed significantly by tissue type (Pi; F3,2485 = 8.21; P < 0.001) with substantial changes observed in WM (F3,49 = 6.58; P = 0.004), but not GM (F3,146 = 2.19; P = 0.46) (Figure 3C). There was a significant 9.4% decrease in WM from BSL to sleep deprivation (t2,57 = -3.00; P = 0.020). Levels of Pi then rebounded significantly from sleep deprivation to REC1 (t2,49 = 2.91; P = 0.027) back to near-baseline levels. Additionally, a significant 10.1% decrease of Pi in WM from BSL to REC2 was observed (t2,50 = -3.33; P = 0.008).
Changes in pH across experimental conditions differed significantly by tissue type (F3,2482 = 4.13; P = 0.031), with significant changes observed in WM (F3,96 = 6.30; P = 0.003), but not GM (F3,392 = 2.57; P = 0.27) (Figure 3D). pH in WM increased from sleep deprivation to REC1 (t2,100 = 3.63; P = 0.002) and REC2 (t2,78 = 3.83; P = 0.001), respectively.
Changes across the experimental condition did not differ significantly by tissue type for Pi/PCr (F3,2457 = 3.55; P = 0.070), nor was there a significant change in Pi/PCr across experimental conditions for total tissue (F3,30 = 0.28; P = 1.0) (Figure 3E).
Associations of High-Energy phosphates and SWA
Changes in PCr in GM from sleep deprivation to REC1 were significantly associated with SWA (t = 2.65; P = 0.009), such that increased SWA was associated with increases in PCr. However, changes in PCr in GM from sleep deprivation to REC2 were not significantly associated with SWA (t = 1.36; P = 0.19). Associations between SWA and β-NTP were not explored because there were no significant differences for this metabolite observed across sleep deprivation and recovery.
DISCUSSION
This study confirms our hypothesis that high-energy phosphates increase in gray matter during recovery sleep after sleep deprivation. Specifically, our data indicate that PCr in gray matter increases after the initial night of recovery sleep following acute sleep deprivation. Moreover, these increases in PCr in GM are associated with increases in SWA during the initial night of recovery sleep, suggesting changes in PCr in GM resulting from recovery sleep are related to sleep homeostasis. Notably, PCr continues to rise in gray matter after a second night of recovery sleep, suggesting this increase in PCr begins during the first night after recovery from acute sleep deprivation and continues during subsequent nights of recovery. Contrary to our hypothesis, we did not find significant increases in β-NTP across the sleep deprivation protocol, suggesting ATP levels remain constant in gray matter during sleep deprivation and recovery.
Neurons have high and fluctuating energy requirements, and as such, may increase hydrolysis of ATP significantly within short periods of time to compensate for increases in metabolic demand.44 However, many prior studies have demonstrated that ATP levels remain relatively constant in cells with similar energy demands, such as skeletal and cardiac muscle, a phenomenon that has been termed the stability paradox.45 That ATP levels remain constant despite increased hydrolysis is thought to be permitted, in part, by efficient phosphoryl transfer networks, such as the PCr/creatine (Cr) kinase system, which bridges energy consumption with production and secure energetic homeostasis under stress.46 The PCr/Cr kinase system thus plays a key role in cellular energy buffering upon cell activation or sudden stress conditions, preventing rapid declines in ATP through the catabolism of PCr to form ATP, as well as transport of high-energy phosphoryls from the mitochondria to cytosolic sites of high ATP demand.44 Notably, even under conditions of high ATP turnover, concentrations of PCr change at proportions significantly below the rate of ATP hydrolysis in skeletal muscle, suggesting that small perturbations of the overall PCr pool measured with MRS may reflect larger changes in ATP turnover.47
In this context, it is not surprising that we found changes in PCr in gray matter, which has higher mitochondrial creatine kinase activity than white matter,48 but not β-NTP, across the sleep deprivation paradigm. However, it is certainly possible that this study was not adequately powered to detect subtle differences in β-NTP in gray matter, especially because prior 31P MRS studies that have not used linear mixed effects models to examine tissue type-specific changes, have reported increases in β-NTP after recovery sleep.20,22 Additionally, it is noteworthy that the non-specific γ-NTP resonance, which includes both ATP and ADP, increased in GM after REC1 and REC2. Measures of β-NTP, although highly specific for ATP, may be less accurate than measures of γ-NTP because of the triplet structure of β-NTP and its correspondingly lower signal-to-noise ratio than γ- and α-NTP. Thus, although statistically significant changes in γ-NTP were observed, it is not possible to determine if changes in γ-NTP reflect changes in ATP and/or ADP given inherent limitations of 31P MRS methodology of this study. However, the changes in γ-NTP do suggest that changes in high-energy diphosphates and triphosphates are occurring over the course of sleep deprivation and recovery, and that these changes, like PCr, are isolated to gray matter.
Consistent with other 31P MRS studies,19,20,22 we found no significant differences in brain high-energy phosphates after sleep deprivation when compared to baseline. This finding is also consistent with animal studies that have examined whole brain changes in high-energy phosphates, as PCr, ADP, and ATP have been reported to remain constant relative to waking baseline during sleep deprivation.49 However, it is certainly possible that this study was not adequately powered or that the duration of sleep deprivation was not sufficient to detect changes from BSL to sleep deprivation in high-energy phosphates. Although speculative, the fact that there were similar patterns of nonsignificant decrease in GM from BSL to sleep deprivation among all high-energy phosphates examined (PCr, β-NTP, γ-NTP) suggests that further testing using adequately powered designs may demonstrate significant decreases of these metabolites from BSL to sleep deprivation. Additionally, the timing of the sleep deprivation MRS scan occurred 24 h after BSL, and thus, it is possible that changes in high-energy phosphates relative to sleep deprivation may have been more robust if the sleep deprivation scan had been obtained after the full course of sleep deprivation (i.e., just prior to the first night of recovery sleep). Also, the finding that increases in PCr, γ-NTP, and Pi/β-NTP (which reflects mitochondrial phosphorylation potential50) after sleep deprivation occur after 2 nights of recovery sleep is consistent with PET studies that demonstrate metabolic changes induced by sleep deprivation do not fully normalize after one night of recovery sleep.51
It is important to note that 31P MRS was performed during wakefulness, and thus our results cannot be directly applied to the ongoing debate regarding changes in brain high-energy phosphates that may occur during the sleep period.17,52 Furthermore, the methodology used in this study did not measure ATP or PCr turnover, as 31P MRS used in this study can only quantify the relative concentration of a metabolite during a fixed period of time. To more adequately study metabolic rates and/or the dynamics of the creatine kinase system in sleep deprivation with 31P MRS would require techniques such as magnetization transfer, which is emerging as a novel and powerful imaging protocol.53
Although speculative, the net effect of an increase in PCr in GM after recovery sleep may be an adaptive response to the metabolic stress of sleep deprivation. As such, increases in PCr would raise the energetic buffering capacity in GM to protect against the metabolic stress of subsequent sleep loss. An indirect support of this hypothesis comes from demonstrations that oral creatine supplementation mitigates the detrimental effects of sleep deprivation on executive tasks54,55 and increases PCr in the brain.56 An alternative interpretation is that increases in PCr represent a phenomenon that is not adaptive but related to prolonged renormalization of brain bioenergetics after sleep deprivation that could be secondary to shifting of the equilibrium constant of the creatine kinase reaction, increased oxidative phosphorylation, or some other unspecified mechanism.
Our results of alterations in pH and Pi occurring in white (rather than gray) matter are intriguing. Although pH, which influences the equilibrium constant of the creatine kinase reaction,57 and Pi, which is an important signaling molecule in oxidative phosphorylation,58,59 play important roles in brain bioenergetics, it is possible that alterations in these factors during sleep deprivation and recovery reflect other processes such as glial maintenance of myelin that are indirectly linked to brain bioenergetics. The overall energy expenditure of white matter is significantly less than gray matter, with the majority of energy used for housekeeping rather than neuronal signaling.60 Notably, the chemical reactions required for cholesterol and phospholipid synthesis results in significant increases in inorganic phosphate through the consumption of ATP.60 Moreover, recent evidence suggests that proteolipid protein, which plays a key role in stability of the myelin sheath, may also regulate extracellular pH and ATP.61 Given the results of this study, future research that examines changes in membrane regulation in white matter induced by sleep deprivation and recovery are indicated.
Our results must be interpreted carefully in light of important technical and statistical limitations of the study design, which may affect generalizability of the results. First, the 3D-CSI slab encompassed a relatively large region (6 cm × 8 cm × 14 cm), which included cortical (cingulate gyrus, as well as portions of the frontal, temporal, parietal, and occipital lobes) and subcortical structures. However, the sampling region did not encompass the entire brain and excluded some regions frequently examined in single-voxel MRS, such as the hippocampus. Second, slab placement was biased toward the center of the brain, resulting in an oversampling of white relative to gray matter. As a result, changes in GM are less precise than changes in WM and differences in statistical significance between tissue types should not be equated with differences in the magnitude of change within the different tissue compartments. Third, the modest number of participants limits the representativeness of our sample and renders our results more sensitive to the small-sample behavior of our statistical methods. Fourth, GM and WM voxels are mathematical extensions of the tissue-type regression that examine the gray and white matter contribution of voxels of mixed composition and do not represent actual voxels observed in the dataset. Therefore, these calculated voxels are meant to quantify relative contributions of tissue types across the entire region sampled. Additionally, this study used a within-subjects design and did not use a comparison group to verify that changes in 31P MRS metabolites were not caused by some other factor in addition to sleep deprivation and recovery (e.g., accommodation to multiple scans). However, it is unlikely that repeated scans are responsible for our results because previous 31P MRS studies conducted in our laboratory have demonstrated stability of 31P MRS metabolites on test-retest protocols.62 Finally, our analysis divides brain tissue into two tissue types, gray and white matter, and is not able to discern metabolic differences that may occur in specific nuclei or areas within the brain over the course of sleep deprivation and recovery. Thus future studies that use advances in MRS technology (e.g., ultra-high field 7 Tesla magnetic resonance scanners) and/or the use of regression modeling to examine metabolic changes in specific brain regions may be fruitful areas of further investigation. However, in lieu of the development and dissemination of such technologies, adapting the modeling techniques used in this study to widely available magnetic resonance scanners (e.g., 3 Tesla) may be a more pragmatic means of translating these findings to the study of brain bioenergetics in healthy and pathologic conditions.
To our knowledge, this is the first study to apply linear mixed-effects modeling in 31P MRS in a sleep deprivation and recovery paradigm in humans. The finding of increased PCr in gray matter after two nights of recovery sleep suggests brain bioenergetics are modified by sleep in specific tissue types differentially during recovery after sleep deprivation. These findings and the novel modeling techniques used in this research may ultimately be further leveraged to enhance the study of sleep function in healthy individuals, as well as examine the connections between sleep homeostasis and brain bioenergetics in patients with neuropsychiatric disorders.
DISCLOSURE STATEMENT
This was not an industry supported study. This work was supported by an American Sleep Medicine Foundation Physician Scientist Training Award (DTP), the National Institute on Drug Abuse (DA016542 to CMD, DA00343 to SEL, K01DA025125 to GHT, and DA09448 to PFR), and the National Institute of Mental Health (MH58681 to PFR). No funding source played a role in the study design, data collection, analysis, and interpretation of the data, and the decision to submit the paper for publication. Dr. Plante has received unrelated honoraria from Cambridge University Press, the American Academy of Sleep Medicine, and Oakstone Medical Publishing. Dr. Renshaw is a consultant to Kyowa Hakko Kirin and Ridge Diagnostics. Dr. Ravichandran contributed to manuscript development while affiliated with Harvard Medical School and the Laboratory for Psychiatric Biostatistics at McLean Hospital. She has received prior direct or indirect funding support through NIH, the Rogers Family Foundation, and NARSAD. Dr. Riedner is financially supported in part by a grant from Philips Respironics and is involved in several patent applications resulting from research supported by Philips Respironics. The other authors have indicated no financial conflicts of interest.
Footnotes
A commentary on this article appears in this issue on page 1881.
REFERENCES
- 1.Rolfe DF, Brown GC. Cellular energy utilization and molecular origin of standard metabolic rate in mammals. Physiol Rev. 1997;77:731–58. doi: 10.1152/physrev.1997.77.3.731. [DOI] [PubMed] [Google Scholar]
- 2.Attwell D, Laughlin SB. An energy budget for signaling in the grey matter of the brain. J Cereb Blood Flow Metab. 2001;21:1133–45. doi: 10.1097/00004647-200110000-00001. [DOI] [PubMed] [Google Scholar]
- 3.Dhar SS, Wong-Riley MT. Coupling of energy metabolism and synaptic transmission at the transcriptional level: role of nuclear respiratory factor 1 in regulating both cytochrome c oxidase and NMDA glutamate receptor subunit genes. J Neurosci. 2009;29:483–92. doi: 10.1523/JNEUROSCI.3704-08.2009. [DOI] [PMC free article] [PubMed] [Google Scholar]
- 4.Alle H, Roth A, Geiger JR. Energy-efficient action potentials in hippocampal mossy fibers. Science. 2009;325:1405–8. doi: 10.1126/science.1174331. [DOI] [PubMed] [Google Scholar]
- 5.Braun AR, Balkin TJ, Wesenten NJ, et al. Regional cerebral blood flow throughout the sleep-wake cycle. An H2(15)O PET study. Brain. 1997;120:1173–97. doi: 10.1093/brain/120.7.1173. [DOI] [PubMed] [Google Scholar]
- 6.Maquet P, Dive D, Salmon E, et al. Cerebral glucose utilization during sleep-wake cycle in man determined by positron emission tomography and [18F]2-fluoro-2-deoxy-D-glucose method. Brain Res. 1990;513:136–43. doi: 10.1016/0006-8993(90)91099-3. [DOI] [PubMed] [Google Scholar]
- 7.Madsen PL, Schmidt JF, Wildschiødtz G, et al. Cerebral O2 metabolism and cerebral blood flow in humans during deep and rapid-eye-movement sleep. J Appl Physiol. 1991;70:2597–601. doi: 10.1152/jappl.1991.70.6.2597. [DOI] [PubMed] [Google Scholar]
- 8.Benington JH, Heller HC. Restoration of brain energy metabolism as the function of sleep. Prog Neurobiol. 1995;45:347–60. doi: 10.1016/0301-0082(94)00057-o. [DOI] [PubMed] [Google Scholar]
- 9.Scharf MT, Naidoo N, Zimmerman JE, Pack AI. The energy hypothesis of sleep revisited. Prog Neurobiol. 2008;86:264–80. doi: 10.1016/j.pneurobio.2008.08.003. [DOI] [PMC free article] [PubMed] [Google Scholar]
- 10.Wallimann T, Wyss M, Brdiczka D, Nicolay K, Eppenberger HM. Intracellular compartmentation, structure and function of creatine kinase isoenzymes in tissues with high and fluctuating energy demands: the ‘phosphocreatine circuit’ for cellular energy homeostasis. Biochem J. 1992;281:21–40. doi: 10.1042/bj2810021. [DOI] [PMC free article] [PubMed] [Google Scholar]
- 11.Landolt HP. Sleep homeostasis: a role for adenosine in humans? Biochem Pharmacol. 2008;75:2070–9. doi: 10.1016/j.bcp.2008.02.024. [DOI] [PubMed] [Google Scholar]
- 12.Basheer R, Porkka-Heiskanen T, Stenberg D, McCarley RW. Adenosine and behavioral state control: adenosine increases c-Fos protein and AP1 binding in basal forebrain of rats. Brain Res Mol Brain Res. 1999;73:1–10. doi: 10.1016/s0169-328x(99)00219-3. [DOI] [PubMed] [Google Scholar]
- 13.Porkka-Heiskanen T, Strecker RE, Thakkar M, Bjorkum AA, Greene RW, McCarley RW. Adenosine: a mediator of the sleep-inducing effects of prolonged wakefulness. Science. 1997;276:1265–8. doi: 10.1126/science.276.5316.1265. [DOI] [PMC free article] [PubMed] [Google Scholar]
- 14.McKenna JT, Dauphin LJ, Mulkern KJ, Stronge AM, McCarley RE, Strecker RE. Nocturnal elevation of extracellular adenosine in the rat basal forebrain. Sleep Res Online. 2003;5:155–60. [Google Scholar]
- 15.Basheer R, Strecker RE, Thakkar MM, McCarley RW. Adenosine and sleep-wake regulation. Prog Neurobiol. 2004;73:379–96. doi: 10.1016/j.pneurobio.2004.06.004. [DOI] [PubMed] [Google Scholar]
- 16.Porkka-Heiskanen T, Kalinchuk AV. Adenosine, energy metabolism and sleep homeostasis. Sleep Med Rev. 2011;15:123–35. doi: 10.1016/j.smrv.2010.06.005. [DOI] [PubMed] [Google Scholar]
- 17.Dworak M, McCarley RW, Kim T, Kalinchuk AV, Basheer R. Sleep and brain energy levels: ATP changes during sleep. J Neurosci. 2010;30:9007–16. doi: 10.1523/JNEUROSCI.1423-10.2010. [DOI] [PMC free article] [PubMed] [Google Scholar]
- 18.Pissarek M, Garcia de Arriba S, Schäfer M, Sieler D, Nieber K, Illes P. Changes by short-term hypoxia in the membrane properties of pyramidal cells and the levels of purine and pyrimidine nucleotides in slices of rat neocortex; effects of agonists and antagonists of ATP-dependent potassium channels. Naunyn Schmiedebergs Arch Pharmacol. 1998;358:430–9. doi: 10.1007/pl00005275. [DOI] [PubMed] [Google Scholar]
- 19.Murashita J, Yamada N, Kato T, Tazaki M, Kato N. Effects of sleep deprivation: the phosphorus metabolism in the human brain measured by 31P-magnetic resonance spectroscopy. Psychiatry Clin Neurosci. 1999;53:199–201. doi: 10.1046/j.1440-1819.1999.00487.x. [DOI] [PubMed] [Google Scholar]
- 20.Dorsey CM, Lukas SE, Moore CM, et al. Phosphorous31 magnetic resonance spectroscopy after total sleep deprivation in healthy adult men. Sleep. 2003;26:573–7. doi: 10.1093/sleep/26.5.573. [DOI] [PubMed] [Google Scholar]
- 21.Trksak GH, Jensen JE, Renshaw PF, Lukas SE. Brain phosphorus magnetic resonance spectroscopy imaging of sleep homeostasis and restoration in drug dependence. ScientificWorldJournal. 2007;7:217–22. doi: 10.1100/tsw.2007.233. [DOI] [PMC free article] [PubMed] [Google Scholar]
- 22.Trksak GH, Jensen JE, Plante DT, et al. Effects of sleep deprivation on sleep homeostasis and restoration during methadone-maintenance: a [31]P MRS brain imaging study. Drug and alcohol dependence. 2010;106:79–91. doi: 10.1016/j.drugalcdep.2009.07.022. [DOI] [PMC free article] [PubMed] [Google Scholar]
- 23.Doyle TJ, Bedell BJ, Narayana PA. Relative concentrations of proton MR visible neurochemicals in gray and white matter in human brain. Magn Reson Med. 1995;33:755–9. doi: 10.1002/mrm.1910330603. [DOI] [PubMed] [Google Scholar]
- 24.Pfefferbaum A, Adalsteinsson E, Spielman D, Sullivan EV, Lim KO. In vivo spectroscopic quantification of the N-acetyl moiety, creatine, and choline from large volumes of brain gray and white matter: effects of normal aging. Magn Reson Med. 1999;41:276–84. doi: 10.1002/(sici)1522-2594(199902)41:2<276::aid-mrm10>3.0.co;2-8. [DOI] [PubMed] [Google Scholar]
- 25.Mason GF, Chu WJ, Vaughan JT, et al. Evaluation of 31P metabolite differences in human cerebral gray and white matter. Magn Reson Med. 1998;39:346–53. doi: 10.1002/mrm.1910390303. [DOI] [PubMed] [Google Scholar]
- 26.Hetherington HP, Spencer DD, Vaughan JT, Pan JW. Quantitative (31)P spectroscopic imaging of human brain at 4 Tesla: assessment of gray and white matter differences of phosphocreatine and ATP. Magn Reson Med. 2001;45:46–52. doi: 10.1002/1522-2594(200101)45:1<46::aid-mrm1008>3.0.co;2-n. [DOI] [PubMed] [Google Scholar]
- 27.Friedman SD, Shaw DW, Artru AA, Dawson G, Petropoulos H, Dager SR. Gray and white matter brain chemistry in young children with autism. Arch Gen Psychiatry. 2006;63:786–94. doi: 10.1001/archpsyc.63.7.786. [DOI] [PubMed] [Google Scholar]
- 28.Forester BP, Harper DG, Jensen JE, et al. 31Phosphorus magnetic resonance spectroscopy study of tissue specific changes in high energy phosphates before and after sertraline treatment of geriatric depression. Int J Geriatr Psychiatry. 2009;24:788–97. doi: 10.1002/gps.2230. [DOI] [PubMed] [Google Scholar]
- 29.Forester BP, Berlow YA, Harper DG, et al. Age-related changes in brain energetics and phospholipid metabolism. NMR Biomed. 2010;23:242–50. doi: 10.1002/nbm.1444. [DOI] [PubMed] [Google Scholar]
- 30.Harper DG, Plante DT, Jensen JE, et al. Energetic and cell membrane metabolic products in patients with primary insomnia: a 31-phosphorus magnetic resonance spectroscopy study at 4 tesla. Sleep. 2013;36:493–500. doi: 10.5665/sleep.2530. [DOI] [PMC free article] [PubMed] [Google Scholar]
- 31.Harper DG, Jensen JE, Ravichandran C, et al. Tissue-specific differences in brain phosphodiesters in late-life major depression. Am J Geriatr Psychiatry. 2014;22:499–509. doi: 10.1016/j.jagp.2012.08.005. [DOI] [PMC free article] [PubMed] [Google Scholar]
- 32.Jensen JE, Miller J, Williamson PC, et al. Grey and white matter differences in brain energy metabolism in first episode schizophrenia: 31P-MRS chemical shift imaging at 4 Tesla. Psychiatry Res. 2006;146:127–35. doi: 10.1016/j.pscychresns.2005.11.004. [DOI] [PubMed] [Google Scholar]
- 33.First M, Spitzer R, Gibbon M, Williams J. New York: Biometrics Research, New York State Psychiatric Institute; 2002. Structured clinical interview for DSM-IV-TR axis I disorders, research version, non-patient edition (SCID-I/NP) [Google Scholar]
- 34.Ponder SL, Twieg DB. A novel sampling method for 31P spectroscopic imaging with improved sensitivity, resolution, and sidelobe suppression. J Magn Reson B. 1994;104:85–8. doi: 10.1006/jmrb.1994.1058. [DOI] [PubMed] [Google Scholar]
- 35.Jensen JE, Drost DJ, Menon RS, Williamson PC. In vivo brain (31) P-MRS: measuring the phospholipid resonances at 4 Tesla from small voxels. NMR Biomed. 2002;15:338–47. doi: 10.1002/nbm.776. [DOI] [PubMed] [Google Scholar]
- 36.Petroff OA, Prichard JW, Behar KL, Alger JR, den Hollander JA, Shulman RG. Cerebral intracellular pH by 31P nuclear magnetic resonance spectroscopy. Neurology. 1985;35:781–8. doi: 10.1212/wnl.35.6.781. [DOI] [PubMed] [Google Scholar]
- 37.Rechtschaffen A, Kales A. A manual of standardized terminology techniques and scoring system for sleep states of human subjects. University fo California at Los Angeles, Brain information Service/Brain Research institute. 1968 [Google Scholar]
- 38.Iber C, Ancoli-Israel S, Chesson AL, Quan SF. The AASM manual for the scoring of sleep and associated events: rules, terminology, and technical specifications. 1st ed. Westchester, IL: American Academy of Sleep Medicine; 2007. [Google Scholar]
- 39.Goldstein MR, Plante DT, Hulse BK, et al. Overnight changes in waking auditory evoked potential amplitude reflect altered sleep homeostasis in major depression. Acta Psychiatr Scand. 2012;125:468–77. doi: 10.1111/j.1600-0447.2011.01796.x. [DOI] [PMC free article] [PubMed] [Google Scholar]
- 40.Plante DT, Landsness EC, Peterson MJ, et al. Sex-related differences in sleep slow wave activity in major depressive disorder: a high-density EEG investigation. BMC Psychiatry. 2012;12:146. doi: 10.1186/1471-244X-12-146. [DOI] [PMC free article] [PubMed] [Google Scholar]
- 41.Jacobs DO, Matsuda T. Energetics. In: Souba WW, Wilmore DW, editors. Surgical research. London, UK: Academic Press; 2001. pp. 813–23. [Google Scholar]
- 42.Chance B, Leigh JS, Kent J, et al. Multiple controls of oxidative metabolism in living tissues as studied by phosphorus magnetic resonance. Proc Natl Acad Sci U S A. 1986;83:9458–62. doi: 10.1073/pnas.83.24.9458. [DOI] [PMC free article] [PubMed] [Google Scholar]
- 43.Venables WN, Ripley BD. Modern applied statistics with S. 4th ed. New York: Springer; 2002. [Google Scholar]
- 44.Andres RH, Ducray AD, Schlattner U, Wallimann T, Widmer HR. Functions and effects of creatine in the central nervous system. Brain Res Bull. 2008;76:329–43. doi: 10.1016/j.brainresbull.2008.02.035. [DOI] [PubMed] [Google Scholar]
- 45.Hochachka PW. The metabolic implications of intracellular circulation. Proc Natl Acad Sci U S A. 1999;96:12233–9. doi: 10.1073/pnas.96.22.12233. [DOI] [PMC free article] [PubMed] [Google Scholar]
- 46.Dzeja PP, Terzic A. Phosphotransfer networks and cellular energetics. J Exp Biol. 2003;206:2039–47. doi: 10.1242/jeb.00426. [DOI] [PubMed] [Google Scholar]
- 47.Allen PS, Matheson GO, Zhu G, et al. Simultaneous 31P MRS of the soleus and gastrocnemius in Sherpas during graded calf muscle exercise. Am J Physiol. 1997;273:R999–1007. doi: 10.1152/ajpregu.1997.273.3.R999. [DOI] [PubMed] [Google Scholar]
- 48.Holtzman D, Tsuji M, Wallimann T, Hemmer W. Functional maturation of creatine kinase in rat brain. Dev Neurosci. 1993;15:261–70. doi: 10.1159/000111343. [DOI] [PubMed] [Google Scholar]
- 49.Dworak M, Diel P, Voss S, Hollmann W, Strüder HK. Intense exercise increases adenosine concentrations in rat brain: implications for a homeostatic sleep drive. Neuroscience. 2007;150:789–95. doi: 10.1016/j.neuroscience.2007.09.062. [DOI] [PubMed] [Google Scholar]
- 50.Masuda T, Dobson GP, Veech RL. The Gibbs-Donnan near-equilibrium system of heart. J Biol Chem. 1990;265:20321–34. [PubMed] [Google Scholar]
- 51.Wu JC, Gillin JC, Buchsbaum MS, et al. Frontal lobe metabolic decreases with sleep deprivation not totally reversed by recovery sleep. Neuropsychopharmacology. 2006;31:2783–92. doi: 10.1038/sj.npp.1301166. [DOI] [PubMed] [Google Scholar]
- 52.Dworak M, McCarley RW, Kim T, Kalinchuk AV, Basheer R. Replies to commentaries on ATP changes during sleep. Sleep. 2011;34:841–3. doi: 10.5665/SLEEP.1110. [DOI] [PMC free article] [PubMed] [Google Scholar]
- 53.Leibfritz D, Dreher W. Magnetization transfer MRS. NMR Biomed. 2001;14:65–76. doi: 10.1002/nbm.681. [DOI] [PubMed] [Google Scholar]
- 54.McMorris T, Harris RC, Swain J, et al. Effect of creatine supplementation and sleep deprivation, with mild exercise, on cognitive and psychomotor performance, mood state, and plasma concentrations of catecholamines and cortisol. Psychopharmacology (Berl) 2006;185:93–103. doi: 10.1007/s00213-005-0269-z. [DOI] [PubMed] [Google Scholar]
- 55.McMorris T, Harris RC, Howard AN, et al. Creatine supplementation, sleep deprivation, cortisol, melatonin and behavior. Physiol Behav. 2007;90:21–8. doi: 10.1016/j.physbeh.2006.08.024. [DOI] [PubMed] [Google Scholar]
- 56.Lyoo IK, Kong SW, Sung SM, et al. Multinuclear magnetic resonance spectroscopy of high-energy phosphate metabolites in human brain following oral supplementation of creatine-monohydrate. Psychiatry Res. 2003;123:87–100. doi: 10.1016/s0925-4927(03)00046-5. [DOI] [PubMed] [Google Scholar]
- 57.Noda L, Kuby SA, Lardy HA. Adenosinetriphosphate-creatine transphosphorylase. IV. Equilibrium studies. J Biol Chem. 1954;210:83–95. [PubMed] [Google Scholar]
- 58.Bose S, French S, Evans FJ, Joubert F, Balaban RS. Metabolic network control of oxidative phosphorylation: multiple roles of inorganic phosphate. J Biol Chem. 2003;278:39155–65. doi: 10.1074/jbc.M306409200. [DOI] [PubMed] [Google Scholar]
- 59.Schmitz JP, Jeneson JA, van Oorschot JW, et al. Prediction of muscle energy states at low metabolic rates requires feedback control of mitochondrial respiratory chain activity by inorganic phosphate. PLoS One. 2012;7:e34118. doi: 10.1371/journal.pone.0034118. [DOI] [PMC free article] [PubMed] [Google Scholar]
- 60.Harris JJ, Attwell D. The energetics of CNS white matter. J Neurosci. 2012;32:356–71. doi: 10.1523/JNEUROSCI.3430-11.2012. [DOI] [PMC free article] [PubMed] [Google Scholar]
- 61.Appikatla S, Bessert D, Lee I, et al. Insertion of proteolipid protein into oligodendrocyte mitochondria regulates extracellular pH and adenosine triphosphate. Glia. 2014;62:356–73. doi: 10.1002/glia.22591. [DOI] [PMC free article] [PubMed] [Google Scholar]
- 62.Silveri MM, Dikan J, Ross AJ, et al. Citicoline enhances frontal lobe bioenergetics as measured by phosphorus magnetic resonance spectroscopy. NMR Biomed. 2008;21:1066–75. doi: 10.1002/nbm.1281. [DOI] [PubMed] [Google Scholar]

