Abstract
In superconductors the zero-resistance current-flow is protected from dissipation at finite temperatures (T) by virtue of the short-circuit condition maintained by the electrons that remain in the condensed state. The recently suggested finite-T insulator and the “superinsulating” phase are different because any residual mechanism of conduction will eventually become dominant as the finite-T insulator sets-in. If the residual conduction is small it may be possible to observe the transition to these intriguing states. We show that the conductivity of the high magnetic-field insulator terminating superconductivity in amorphous indium-oxide exhibits an abrupt drop, and seem to approach a zero conductance at T < 0.04 K. We discuss our results in the light of theories that lead to a finite-T insulator.
In 2005, two theoretical groups1,2 considered a disordered, strongly interacting, many-body system of electrons that is not coupled to an external environment (phonons). They posed the fundamental question of whether thermal excitations, which are essential to the mechanism of charge transport, can equilibrate via the interaction with the electron bath or stay frozen as a consequence of, what they termed, the many-body localization (MBL). Their analyses indicated that in such a system an insulating, zero conductance (σ), state is identified at finite-T up to a well-defined critical T, T*. Numerical calculations3,4 based on the analytical approach of ref.1provide ambiguous results regarding the existence of such a phase at nonzero T’s.
In order to experimentally search for this finite-T insulator, it was later suggested5, one should look in disordered systems in which the electrons decouple, at low T, from the phonons. A clear signature of this decoupling is the appearance of discontinuities in the current-voltage (I-V) characteristics6 that result from bi-stability of the electrons T (Te) under V-bias conditions.
We focus on highly disordered superconductors that, at high magnetic-field (B), undergo a superconductor-insulator transition (SIT)7,8. The SIT is a quantum phase transition9 that can be driven by B10,11,12, disorder13, thickness14, gate voltage15 or other parameters in the Hamiltonian. It is observed in variety of systems10,11,12,14,16 and by various experimental techniques10,17,18.
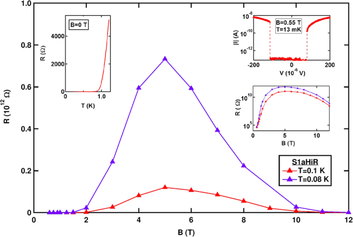
In the B-driven SIT the superconductor goes into an insulating phase at a critical B, BC. In many cases11,17,19,20,21,22 strong insulating behavior is seen only over a narrow range of B to form an “insulating peak” (see Fig. 1). Both theoretical23,24 and experimental20,22,25 studies associate the insulating peak with Cooper-pair localization.
Figure 1. Insulating peak.

R(B) isotherms from B = 0.5 to 12 T, measured at T = 0.1 K (red) and T = 0.08 K (blue). Both show the peak at B = 5 T. The data (triangles) were extrapolated from I-V scans. Data is taken from our main results shown in Fig. 2. [Left inset]: Superconducting phase transition at B = 0 with Tc ≈ 1.1 K. [Top right inset]: I-V characteristic measured at B = 0.55 T and T = 13 mK showing the abrupt jump of more than 4 orders of magnitude in I at a particular threshold V. [Bottom right inset]: The same set of data as in the main figure using log scale for R. In all figures, except for the left inset, the lines are guides to the eye.
To characterize this B-induced insulating peak, we25 studied its I-V characteristics and found that they exhibit a discontinuous jump in I of more than 4 orders of magnitude as a threshold V, Vth, is exceeded (see top right inset of Fig. 1). This finding26,27 was theoretically linked28 to the formation of a ‘superinsulating’ state that in a manner akin, but opposite, to superconductivity is characterized by an abrupt vanishing of σ at low V-bias.
An alternative view of the discontinuous I-V characteristics was offered by Altshuler et al.29 who analyzed the steady state heat balance in the insulating-peak region under V-bias. They suggested that the I jumps resulted from bi-stability of Te that, at low T, can be very different from the T of the host phonons (Tph). We followed this theoretical work with a systematic study and obtained a good agreement30. We were also able to estimate the T dependence of the e-ph scattering rate, τe−ph, on the high B side of the insulating peak and found a rather strong dependence of τe−ph ∼ T−4, which is in agreement with the modified dirty metal model29,31. The success of this theoretical description provides an essential indication that, in our regime of measurements, the electrons are decoupled from the phonons.
The realization that our samples exhibit a strongly T-dependent insulating behavior with diminishing e-ph coupling motivated us to conduct a systematic study of their Ohmic transport at very low T (T < 0.3 K). In order to achieve that, we had to greatly improve our ability to measure very high sheet resistance (R). While our earlier studies21 were limited to R up to 109 Ω, several improvements (described in the supplementary materials) extended the range of our measurements to 1012 Ω. These improvements enabled the results that follow.
The data presented here are obtained from the sample S1aHiR, a thin film of a:InO, patterned in Hall bar geometry, 0.5 × 0.25 mm2 in size. The sample is superconducting at B = 0 with a Tc ≈ 1.1 K (see left inset of Fig. 1) and undergoes a B-driven SIT. In Fig. 1 we show two isotherms of R in the insulating region, as a function of B from 0.5 to 12 T, at T = 0.08 and 0.1 K. Both show the insulating peak at 5 T. Due to technical reasons we were unable to pinpoint the Bc of our sample but located it to be between 0.16 and 0.4 T. The sample exhibited the thermal bi-stability in the insulating phase as evident by a typical I-V characteristic30, at B = 0.55 T and T = 13 mK, shown in top right inset of Fig. 1.
Our main results are presented in Fig. 2 where we plot the T-dependence of R at various B’s, from 0.5–12 T, spanning the insulating peak. Depending on the R-range, measurements were done using two different techniques. For the moderate-R range (R < 108 Ω) data were obtained by continuous two-terminal measurements (solid lines), whereas for R > 108 Ω each datum (marker) was obtained from a full I-V scan (see methods). The dashed lines joining the markers are guides to the eye.
Figure 2. T dependence of R using Arrhenius mapping.

R (in log scale) vs. 1/T at different B′s ranging from 0.5 to 12 T. The solid lines represent data acquired by two-terminal measurements, while data obtained from I-V scans are shown as markers. The dashed lines joining the markers are guides to the eye. The dashed black line demonstrates how an activated behavior should appear in an Arrhenius plot.
Based on earlier studies which were limited to a much lower R-range, we were anticipating activated behavior21,26 and adopted an Arrhenius form to present our data. However, the broad range of R in this study brings about the observation of clear deviations from activated transport. While the low R (R < 106 Ω) data are still consistent with activated behavior (for reference we added a dashed black straight line, indicating activated behavior in Fig. 2) the high R data, offering several orders of magnitude broader range, clearly are not.
The deviations, seen in all B values of Fig. 2, crucially differ depending on the value of B. At the high B’s, the convex shape of the curve indicates sub-activation behavior. This behavior is illustrated in Fig. 3(a) where R(B = 12 T) is plotted (in red), using a logarithmic scale, vs. T−1/2. The data convincingly follow a straight line over our full T-range indicating,
Figure 3. Mapping T dependence of R and σ.
(a) ES type mapping of T dependence of R. R (in log scale) as a function of T−1/2: At B = 12 T (in red), including ES fit (in dashed black line) and at B = 0.75 T (in blue). The low B data clearly deviates from the ES type, indicating that at lower B’s electronic transport in our system do not follow the ES VRH. (b) Vanishing conductivity at non-zero T. The variation of σ (in log scale) as a function of T at B = 0.75 T. The solid black line is a fit using Arrhenius form. The dashed black curve is the fit to Eq. (2). For reference we add σ(T) taken at B = 12 T (red triangles) where ES dependence holds (red curve). In both (a,b) the solid lines represent data acquired by two-terminal measurements, while data obtained from I-V scans are shown as triangles connected by dashed lines as guide for the eye. [Inset] The variation of T* (left axis) and T0 (right axis) [see Eq. (2)] with B. The values were obtained by fitting of our experimental data described in Fig. 2 with Eq. (2). The shaded region indicates the B values Bc can take.
![]() |
This is consistent with the Efros-Shklovskii (ES) variable range hopping (VRH) mechanism of transport32. TES and RES are the ES temperature (TES = 14.8 K) and pre-factor respectively. This dependence holds, with increasing TES, for B’s down to the peak position (at B = 5 T, TES = 23.6 K).
The picture changes dramatically at lower B’s, approaching the SIT (0.5 < B < 2 T). An attempt, shown in blue in Fig. 3(a), to plot data taken in this B range using the ES form clearly fails. A simple activated form is also inadequate as the data clearly appear concave (see Fig. 2).
The concave curvature evident in the B < 2 T data of Fig. 2 signals an unusual, faster than exponential33, R(T) dependence. The anomaly is clearly seen when we plot, in Fig. 3(b), σ
as a function of T at B = 0.75 T. Focusing on the T < 0.3 K range we see that σ decreases moderately upon cooling until T = 0.1 K and then undergoes a precipitous drop of 6 orders of magnitude to the noise level in our measurement (σ = 10−12 Ω−1). As we stated earlier, our attempts, indicated by the black curve in Fig. 3(b), to fit these data with an Arrhenius form, failed. For reference we add σ(T) taken at B = 12 T where ES dependence holds (shown in red in that figure).
Our inability to fit the data using an exponential or stretched exponential dependence along with the e-ph decoupling we observe in our samples point in the direction of a finite-T insulator5. To test this possibility we fit our data with the following phenomenological form:
![]() |
which describes the vanishing of the conductivity at finite T = T*. The result of our fit is plotted using the black dashed line in Fig. 3(b), from which we obtain T0 = 0.138 K and T* = 0.031 K. The data follow this functional form down to T = 0.042 K and σ = 1.3 × 10−10 Ω−1, where deviation larger than our measurement accuracy develop.
In any real system σ = 0 is not a realistic expectation. This is because when σ becomes very small other, parallel, channels will carry the electronic current and contribute to σ. Each such channel will lead to the measured σ being higher, and can account for the deviations we observe at σ < 1.3 × 10−10 Ω−1. These can be due to physical processes within the sample or, possibly, due to leakage currents elsewhere in the measurement circuit. More recently, a theoretical paper utilizing a mean field description to a system near the MBL transition34 suggested such deviations should be expected.
By using Eq. (2) we do not intend to adhere to a specific theoretical model2. It is merely a phenomenological description intended to highlight the unusual aspect of our data: σ(T) exhibits a dramatic drop at T < 0.1 K and appear to approach σ = 0 at a finite T = T*. The B-dependence of T* and T0 obtained by fitting our data using Eq. (2) are plotted as the inset in Fig. 3(b). The shaded region indicates the approximate location of the SIT in this sample. It is worth noting that both T* and T0 seem to approach zero in this region.
Another way to illustrate the abrupt nature of the conductivity drop near T* is to compare it to the superconductivity transition in one of our disordered a:InO films. In Fig. 4 we plot σ vs. T at B = 0.75 T for this sample, whereas in the inset we plot R vs. T for sample MInOLa4 at B = 0 T. Despite the different T-range their appearance is remarkably similar: both quantities exhibit a sharp drop over a rather narrow T-range.
Figure 4. Comparison of Superconductor and finite-T insulator.

T variation of σ at B = 0.75 T for this (S1aHiR) sample. The solid lines represent data acquired by two-terminal measurements, while data obtained from I-V scans are shown as triangles. [Inset] R at B = 0 for sample MInOLa4.
It is important to discuss one alternative to Eq. (2) that, on first sight, appears to agree with our results. At least some of the lower B data of Fig. 2 can be described, at T < 0.05 K, by an Arrhenius form indicating activated transport, which results from a mobility gap in the spectrum. A quantitative analysis clearly renders this view inadequate for the following reason. Fitting the B = 0.75 T data using an Arrhenius form leads to an activation T of 0.91 K. If a mobility gap of such magnitude existed in our system we would expect a much sharper increase in R at 0.91 > T > 0.05 K, as seen in the fit presented in the supplementary material. This drop is clearly missing in our data rendering an activated interpretation highly unlikely unless the 0.91 K gap only opens at T < 0.1 K. We are not aware of a theoretical work predicting such a possibility.
While the new results presented here appear to be in contradiction with earlier findings21,26 of activated transport in the peak region, this is not the case: the activation behavior is seen at T’s higher than 0.2 K, below which deviations from activation are seen (see Fig. 2). For these higher T’s, where activation is seen, the maximum value of the activation energy is close to TC(B = 0), confirming earlier observations.
The data we are showing here is consistent with transition into a finite-T insulating state. It is tempting to associate this state with the MBL state suggested theoretically1,2,3,4. Some of the ingredients are certainly present: our system is highly disordered, strongly interacting and, at the relevant T, the electrons decouple from the phonons.
There are other tests that are needed to fully establish the link between our observations and the MBL state chief among which is showing that our electrons are ineffective in reaching equilibrium1,2. This is usually indicated by the presence of long relaxation times in transport. So far, in our experiments, we have not seen such effects but Ovadyahu’s group, who study similar materials in a different regime, reported such slow relaxation phenomena35,36.
On the other hand, we recall that the systems in which we observe the transition to the finite-T insulating state are superconductors at low B and only becomes insulating as B is increased beyond the SIT. Furthermore Cooper-pairing is still dominant in transport even within the insulating regime. While the possible role of Cooper-pairs in forming the finite-T insulator was not considered within the framework of the MBL theories, it was explicitly considered by Vinokur28 et al., in accordance with the suggested duality37 nature of the ‘superinsulating’ state and, more recently, by Feigel’man et al.38 who considered the fractal nature of the electronic wave function near a mobility edge and suggested that, if an attractive interaction near the SIT is considered, a finite-T insulator become feasible. More detailed experiments are needed to test the relevance of these theories.
In summary, we have been able to observe an abrupt drop in σ by several orders of magnitude occurring at T < 0.1 K in a:InO thin film near B induced SIT. This has been found to occur at T and B where the electrons decouple from the host lattice phonons. The measured data cannot be explained using ES model but fit well with the finite-T electron localization down to a certain conductivity.
Additional Information
How to cite this article: Ovadia, M. et al. Evidence for a Finite-Temperature Insulator. Sci. Rep. 5, 13503; doi: 10.1038/srep13503 (2015).
Supplementary Material
Acknowledgments
We are grateful to B. Altshuler, I. Aleiner, E. Altman, D. M. Basko, M. Feigelman, V. Kravtsov, M. Müller, Y. Oreg, Z. Ovadyahu, S. Sondhi and V. M. Vinokur for fruitful discussions. This work was supported by the Israeli Science Foundation and the Minerva Foundation with funding from the Federal German Ministry for Education and Research.
Footnotes
Author Contributions M.O., D.K. and B.S. prepared the samples and carried out the experiment. M.O., D.K, B.S. and D.S. analyzed the data. B.S. and D.S. initiated this work. I.T., B.S., S.M. and D.S. wrote the paper. All the authors discussed the results and commented on the manuscript.
References
- Basko D. M., Aleiner I. L. & Altshuler B. L. Metal - insulator transition in a weakly interacting many-electron system with localized single-particle states. Annals of Phys. 321, 1126 (2006). [Google Scholar]
- Gornyi I. V., Mirlin A. D. & Polyakov D. G. Interacting electrons in disordered wires: Anderson localization and low-t transport. Phys. Rev. Lett. 95, 206603 (2005). [DOI] [PubMed] [Google Scholar]
- Oganesyan V. & Huse D. A. Localization of interacting fermions at high temperature. Phys. Rev. B 75, 155111 (2007). [Google Scholar]
- Iyer S., Oganesyan V., Refael G. & Huse D. A. Many-body localization in a quasiperiodic system. Phys. Rev. B 87, 134202 (2013). [Google Scholar]
- Basko D. M., Aleiner I. L. & Altshuler B. L. Possible experimental manifestations of the many-body localization. Phys. Rev. B 76, 052203 (2007). [Google Scholar]
- Ladieu F., Sanquer M. & Bouchaud J. P. Depinning transition in mott-anderson insulators. Phys. Rev. B 53, 973 (1996). [DOI] [PubMed] [Google Scholar]
- Goldman A. M. & Markovic N. Superconductor-insulator transitions in the two-dimensional limit. Phys. Today 51, 39 (1998). [Google Scholar]
- Gantmakher V. F. & Dolgopolov V. T. Superconductor-insulator quantum phase transition. Phys.-Usp. 53, 1 (2010). [Google Scholar]
- Sondhi S. L., Girvin S. M., Carini J. P. & Shahar D. Continuous quantum phase transitions. Rev. Mod. Phys. 69, 315 (1997). [Google Scholar]
- Hebard A. F. & Paalanen M. A. Magnetic-field-tuned superconductor- insulator transition in two-dimensional films. Phys. Rev. Lett. 65, 927 (1990). [DOI] [PubMed] [Google Scholar]
- Yazdani A. & Kapitulnik A. Superconducting-insulating transition in two-dimensional amoge thin films. Phys. Rev. Lett. 74, 3037 (1995). [DOI] [PubMed] [Google Scholar]
- Baturina T. I. et al. Superconductivity on the localization threshold and magnetic-field-tuned superconductor-insulator transition in tin films. JETP Lett. 79, 416 (2004). [Google Scholar]
- Shahar D. & Ovadyahu Z. Superconductivity near the mobility edge. Phys. Rev. B 46, 10917 (1992). [DOI] [PubMed] [Google Scholar]
- Haviland D. B., Liu Y. & Goldman A. M. Onset of superconductivity in the two-dimensional limit. Phys. Rev. Lett. 62, 2180 (1989). [DOI] [PubMed] [Google Scholar]
- Parendo K. A. et al. Electrostatic tuning of the superconductor-insulator transition in two dimensions. Phys. Rev. Lett. 94, 197004 (2005). [DOI] [PubMed] [Google Scholar]
- Allain A., Han Z. & Bouchiat V. Electrical control of the superconducting-to-insulating transition in graphenemetal hybrids. Nat. Mater. 11, 590 (2012). [DOI] [PubMed] [Google Scholar]
- Sacépé B. et al. Disorder-induced inhomogeneities of the superconducting state close to the superconductor-insulator transition. Phys. Rev. Lett. 101, 157006 (2008). [DOI] [PubMed] [Google Scholar]
- Crane R. W. et al. Fluctuations, dissipation, and nonuniversal superfluid jumps in twodimensional superconductors. Phys. Rev. B 75, 094506 (2007). [Google Scholar]
- Paalanen M. A., Hebard A. F. & Ruel R. R. Low-temperature insulating phases of uniformly disordered two-dimensional superconductors. Phys. Rev. Lett. 69, 1604 (1992). [DOI] [PubMed] [Google Scholar]
- Gantmakher V. F., Golubkov M. V., Lok J. G. S. & Geim A. K. Giant negative magnetoresistance of semi - insulating amorphous indium oxide films in strong magnetic fields. JETP 82, 951 (1996). [Google Scholar]
- Sambandamurthy G., Engel L. W., Johansson A. & Shahar D. Superconductivity-related insulating behavior. Phys. Rev. Lett. 92, 107005 (2004). [DOI] [PubMed] [Google Scholar]
- Nguyen H. Q. et al. Observation of giant positive magnetoresistance in a cooper pair insulator. Phys. Rev. Lett. 103, 157001 (2009). [DOI] [PubMed] [Google Scholar]
- Feigel’man M., Ioffe L., Kravtsov V. & Cuevas E. Fractal superconductivity near localization threshold. Annals of Phys. 325, 1390 (2010). [Google Scholar]
- Dubi Y., Meir Y. & Avishai Y. Nature of the superconductorinsulator transition in disordered superconductors. Nature 449, 876 (2007). [DOI] [PubMed] [Google Scholar]
- Sambandamurthy G., Engel L. W., Johansson A., Peled E. & Shahar D. Experimental evidence for a collective insulating state in two-dimensional superconductors. Phys. Rev. Lett. 94, 017003 (2005). [DOI] [PubMed] [Google Scholar]
- Baturina T. I., Mironov A. Y., Vinokur V. M., Baklanov M. R. & Strunk C. Localized superconductivity in the quantum-critical region of the disorder-driven superconductor-insulator transition in tin thin films. Phys. Rev. Lett. 99, 257003 (2007). [DOI] [PubMed] [Google Scholar]
- Kalok D. et al. Non-linear conduction in the critical region of the superconductor-insulator transition in tin thin films. J. Phys.:Conference Series 400, 022042 (2012). [Google Scholar]
- Vinokur V. M. et al. Superinsulator and quantum synchronization. Nature 452, 613 (2008). [DOI] [PubMed] [Google Scholar]
- Altshuler B. L., Kravtsov V. E., Lerner I. V. & Aleiner I. L. Jumps in current-voltage characteristics in disordered films. Phys. Rev. Lett. 102, 176803 (2009). [DOI] [PubMed] [Google Scholar]
- Ovadia M., Sacepe B. & Shahar D. Electron-phonon decoupling in disordered insulators. Phys. Rev. Lett. 102, 176802 (2009). [DOI] [PubMed] [Google Scholar]
- Shtyk A. V., Feigel’man M. V. & Kravtsov V. E. Magnetic field-induced giant enhancement of electron-phonon energy transfer in strongly disordered conductors. Phys. Rev. Lett. 111, 166603 (2013). [DOI] [PubMed] [Google Scholar]
- Efros A. L. & Shklovskii B. I. Coulomb gap and low temperature conductivity of disordered systems. J. Phys. C 8, L49 (1975). [Google Scholar]
- Baturina T. I., Mironov A. Y., Vinokur V. M., Baklanov M. R. & Strunk C. Hyperactivated resistance in tin films on the insulating side of the disorder-driven superconductor-insulator transition. JETP Lett. 88, 752 (2008). [Google Scholar]
- Gopalakrishnan S. & Nandkishore R. Mean-field theory of nearly many-body localized metals. Phys. Rev. B 90, 224203 (2014). [Google Scholar]
- Ben-Chorin M., Ovadyahu Z. & Pollak M. Nonequilibrium transport and slow relaxation in hopping conductivity. Phys. Rev. B 48, 15025 (1993). [DOI] [PubMed] [Google Scholar]
- Ovadyahu Z. Suppression of inelastic electron-electron scattering in anderson insulators. Phys. Rev. Lett. 108, 156602 (2012). [DOI] [PubMed] [Google Scholar]
- Ovadia M., Kalok D., Sacepe B. & Shahar D. Duality symmetry and its breakdown in the vicinity of the superconductor-insulator transition. Nat. Phys 9, 415 (2013). [Google Scholar]
- Feigel’man M. V., Ioffe L. B. & Mézard M. Superconductor-insulator transition and energy localization. Phys. Rev. B 82, 184534 (2010). [Google Scholar]
Associated Data
This section collects any data citations, data availability statements, or supplementary materials included in this article.



