Abstract
Aim:
Arterial function is significantly influenced by bupivacaine at both clinically relevant concentrations and toxic concentrations, but the underlying mechanisms are not fully understood. In the present study we investigated the role of α1-adrenoceptors in bupivacaine effects on isolated rat aortas.
Methods:
Isolated aortic rings were prepared from rats and suspended in an organ bath. Phenylephrine (Phe)-induced vasoconstriction and acetylcholine (ACh)-induced vasodilation were recorded through an isometric force transducer connected to a data acquisition system.
Results:
Administration of bupivacaine (30–300 μmol/L) produced mild vasoconstriction, and this response declined with repeated administrations. Treatment of the aortic rings with bupivacaine (3–30 μmol/L) for 20 min enhanced Phe-induced vasoconstriction, while treatment for 40 min suppressed Phe-induced vasoconstriction. Both the short- and long-term bupivacaine treatment suppressed ACh-induced vasodilation. Incubation of the aortic rings with 0.2%–0.6% lipid emulsion (LE) for 100 min significantly increased the pD2 and Emax values of Phe-induced vasoconstriction, and incubation with 0.4% LE for 100 min reversed the inhibition of bupivacaine on vasoconstriction induced by Phe (30 μmol/L). In contrast, incubation with LE suppressed ACh-induced vasodilation, even at a lower concentration and with a 5-min incubation.
Conclusion:
Bupivacaine exerts dual effects on α1-adrenoceptor-mediated vasoconstriction of isolated rat aortic rings: short-term treatment enhances the response, while long-term treatment inhibits it; the inhibition may be reversed via long-term incubation with LE.
Keywords: bupivacaine, aortic rings, α1-adrenoceptors, phenylephrine, vasoconstriction, acetylcholine, vasodilation, lipids, emulsions, local anesthetics
Introduction
Bupivacaine (BUP) is one of the most commonly used local anesthetics in clinical practice. However, unlike other local anesthetics, the therapeutic index of BUP is narrow, with small differences between cardiotoxic and neurotoxic concentrations, and its cardiotoxicity may occur without a neurological prodrome1,2. In cases of unintentional administration by either intra-arterial or intravenous injection, BUP may cause refractory cardiotoxicity and cardiovascular collapse, which are largely resistant to current standard cardiopulmonary resuscitation. Laboratory investigations3,4,5,6,7 and clinical reports8,9,10 have both indicated that lipid emulsion (LE) is effective in treating refractory cardiac arrest and recovering blood pressure in both humans and experimental animals exposed to overdoses of local anesthetics, including BUP, levobupivacaine and ropivacaine.
The effects of BUP on blood vessels are controversial and include both vasodilation and vasoconstriction. Newton et al11 reported that the intradermal injection of BUP exerted biphasic vascular effects, including vasodilatation at clinical concentrations (3.65–21.8 mmol/L) and mild vasoconstriction at subclinical concentrations (233–905 μmol/L), as assessed using laser Doppler imaging to measure the forearm skin flow of 10 healthy adult male volunteers. BUP also induced concentration-dependent vasoconstriction at lower concentrations (15–73 μmol/L) and vasodilatation at higher concentrations (0.365–0.73 mmol/L) in isolated human umbilical arteries12. By contrast, Bariskaner et al13 reported that BUP (1 nmol/L–0.1 mmol/L) had no effect in isolated human umbilical arteries under resting tension. In endothelium-intact and denuded isolated rat aortas, vasoconstrictive responses to both thromboxane A2 receptor agonists and norepinephrine (NA) were inhibited by BUP at 10 μmol/L, which was considered a clinical concentration; however, the same concentration of BUP affected neither carbachol-induced vasoconstriction nor the basal tension of the preparations14. Additionally, BUP at 10 μmol/L inhibited carbachol-induced vasodilation in rat isolated aortas preconstricted with NA14. OK et al15observed that (−)BUP at 10–100 μmol/L produced concentration-dependent vasoconstriction; however, the amplitude of the vasoconstriction was decreased when the concentration of (−)BUP was higher than 100 μmol/L; the decrease was more significant in the rat isolated aortas without endothelia.
Peripheral blood vessels receive a dense sympathetic adrenergic innervation important for blood pressure control. Although BUP itself has direct effects on blood vessels, whether time-dependent regulation of BUP on α1-adrenoreceptor-mediated vasoconstriction occurs is unknown. In the present study, we investigated the time-dependent regulation of BUP on α1-adrenoreceptor-mediated vasoconstriction in isolated rat aortic rings exposed to BUP for both short-term (20 min) and long-term (40 min) treatment. If BUP inhibited the α1-adrenoreceptor-mediated vasoconstriction, we subsequently investigated the reversal effect of LE on the inhibition of vasoconstriction by BUP and the possible mechanism underlying this phenomenon.
Materials and methods
Animals
The present study was approved by the Hebei Medical University Ethics Committee for Animals. Male Wistar rats weighing 300–350 g were provided by the Laboratory Animal Center of Hebei Medical University and were housed at a controlled temperature (23±1 °C) and humidity (50%±5%) with a constant 12-h light/dark cycle (lights on from 08:00 to 20:00) and free access to standard lab chow and tap water. The animals were allowed to habituate to the animal maintenance facilities for a period of at least 3 d before the experiments. All of the animals were handled in accordance with our institute's guidelines for animal care and the NIH's Guide for the Care and Use of Laboratory Animals (2011).
Chemicals
Phenylephrine hydrochloride (Phe), acetylcholine chloride (ACh), bupivacaine hydrochloride (BUP), yohimbine hydrochloride, and propranolol hydrochloride were each obtained from Sigma-Aldrich Chemical Co, USA. The above reagents were dissolved in ultrapure water (Thermo Fisher Scientific, USA) to the required concentration and stored at 4 °C, protected from light. The long-chain lipid emulsion (LE; 20%) was purchased from Sichuan Kelun Pharmaceutical Co Ltd, China. Modified Krebs-Henseleit (K-H) solution was prepared using NaCl, KCl, MgSO4, NaH2PO4, CaCl2, NaHCO3, and glucose; these reagents were each obtained from Sigma-Aldrich. NaCl, KCl, NaH2PO4, and MgSO4 were prepared as high-concentration stock solutions (stored at room temperature). CaCl2, NaHCO3, and glucose were added before the experiment.
Thoracic aorta preparations
The rats were anesthetized via a hypodermic injection of urethane (1.5 g/kg) and were subsequently sacrificed by cutting the femoral artery, resulting in exsanguination. The descending thoracic aorta was dissected, and the surrounding connective tissue and fat were removed carefully using ice-cold K-H solution16 containing 133 mmol/L NaCl, 4.7 mmol/L KCl, 1.35 mmol/L NaH2PO4, 16.3 mmol/L NaHCO3, 0.61 mmol/L MgSO4, 7.8 mmol/L glucose, and 2.52 mmol/L CaCl2 (pH 7.2). Each aorta was cut into 4-mm ring segments and mounted horizontally in a 10-mL organ bath by carefully inserting tungsten wire through the lumen of the aortic ring and anchoring it to a stationary support. Another tungsten wire was similarly inserted and connected to an isometric force transducer (MLT0380/D; AD Instruments Pty Ltd, Australia) for the measurement of tension, which was recorded using a data acquisition system (Powerlab/8SP; AD Instruments Pty Ltd, Australia). The aortic rings were initially stretched to a basal tension of 3.0 g in the organ bath, which was maintained at 37 °C, and aerated continuously with 95% O2 and 5% CO2 to maintain a 7.35–7.45 pH range. The rings were equilibrated for 60 min, and the pre-warmed bath solution was changed every 15 min.
Experimental protocols
The drug concentrations provided referred to the final concentrations in the organ bath. An initial cumulative concentration-response curve to Phe (0.0001–30 μmol/L) was constructed to test the vasoconstrictive responsiveness of the preparation. After the maximal contractile response reached a plateau, a cumulative concentration-response curve to ACh (0.0001–3 μmol/L) was constructed. The endothelium was considered intact when the maximal ACh-induced vasodilation response was >80%. The preparations were subsequently washed thoroughly and equilibrated for 45 min; the following experiments were performed after the tension returned to baseline.
BUP-induced vasoconstriction
The rat thoracic aorta preparations were incubated with BUP and administered either as single concentrations or a cumulative concentration. For the single-concentration experiments, one concentration of BUP (10, 30, 100, 300, 400, or 500 μmol/L) was added to the organ bath, and the maximal vasoconstriction was recorded after 15 min (n=11). The responses of several preparations were analyzed together to form a concentration-response curve. To examine the effects of cumulative administration, BUP was added cumulatively to the organ bath at 10-min intervals, and the maximal vasoconstriction at each concentration was subsequently recorded. A cumulative BUP concentration-response curve was generated for each preparation (n=11). After each experiment, the preparations were washed thoroughly prior to measuring their vasoconstriction in response to 60 mmol/L KCl; this provided a reference value (100%). The vasoconstrictive effects of BUP were then expressed as a percentage of the KCl effect.
Repeat BUP-induced vasoconstriction
The isolated rat thoracic aortic preparations were used to construct a cumulative concentration-response curve to BUP as described above. After washing the preparations thoroughly and equilibrating for 45 min, a second cumulative BUP concentration-response curve was constructed, followed by the construction of a third cumulative BUP concentration-response curve (n=12). All of the preparations were subsequently treated with 60 mmol/L KCl.
The effects of a 20-min BUP pretreatment on the Phe and ACh responses
Six treatment groups (3-, 10-, 30-, 100-, and 300-μmol/L BUP groups and a solvent control group) were studied (n=11). The preparations were incubated with the indicated concentration of BUP for 20 min prior to constructing a cumulative concentration-response curve for Phe (0.0001–30 μmol/L). When the maximal contractile response reached a plateau, the cumulative concentration-response curve for ACh (0.0001–3 μmol/L) was constructed. After washing the preparations thoroughly and equilibrating for 45 min, the Phe-induced concentration-response curves were repeated in the absence of BUP.
The effects of a 40-min BUP pretreatment on the Phe and ACh responses
Five study groups (1-, 3-, 10-, and 300-μmol/L BUP groups and a solvent control group) were investigated (n=12). The aortic preparations were incubated with the indicated BUP concentration for 40 min prior to analyzing the cumulative concentration-response curves for Phe (0.0001–30 μmol/L), followed by ACh (0.0001–3 μmol/L). After washing the preparations thoroughly and equilibrating for 45 min, the Phe-induced concentration-response curves were repeated in the absence of BUP.
The effects of LE on the BUP responses
Four groups of preparations were treated with saline (NS), NS+BUP, LE, or LE+BUP (n=10). For the LE and LE+BUP groups, 0.4% LE was present in the K–H solution 5 min before the generation of an initial cumulative concentration-response curve to Phe to test the vasoconstrictive responsiveness of the preparation during the washing, the equilibrating time and the second Phe and ACh response curves. The other two groups had an equivalent volume of NS added to the K–H solution at the same time-point. Additionally, BUP (300 μmol/L) was added to the organ bath 40 min before the establishment of the second cumulative concentration-response curve to Phe in both the NS+BUP and the LE+BUP groups. An equivalent amount of NS was used in the NS and LE groups. The third Phe-induced concentration-response curve was repeated in all of the preparations of each group after washing the preparations thoroughly to remove the LE and BUP.
The effects of LE on Phe and ACh responses
The preparations were divided into five groups and treated with either LE (0.2%, 0.4%, 0.6%, or 0.8%) or NS (n=12). For the LE groups, the K–H solution always contained the indicated concentration of LE for 5 min prior to the establishment of an initial cumulative concentration-response curve to Phe and throughout the subsequent Phe and ACh response curves. An equivalent volume of saline was added to the K-H solution for the NS group.
The effects of yohimbine and propranolol on the Phe responses
Yohimbine (0.3 μmol/L) and propranolol (1 μmol/L) were added to the organ bath to block the α2-receptors and the β-receptors, respectively, 20 min prior to the establishment of the second Phe concentration-response curve. An equivalent amount of solvent was added to the organ bath as the control group.
Statistical analysis
The vasoconstrictive responses to BUP and Phe were exp-ressed as either the maximal changes in tension (g) or as the percentages of the maximal response to KCl (% KCl). The vasodilatory responses to ACh were expressed as the percentages of vasodilation relative to the level of Phe-induced constriction. The values were presented as the means±the standard errors of the means (SEMs). Two-way analysis of variance (ANOVA) was used to evaluate any differences between the concentration-dependent response curves obtained both before and after drug pretreatment. If the F statistic was significant, the individual datum was compared with its respective control value using Bonferroni's test. The BUP-induced responses to both single and cumulative administration were also compared via two-way ANOVA and the Bonferroni's test. The KCl responses in the different groups, the values of Emax and negative lgEC50 of Phe-induced vasoconstriction, as well as the values of maximal vasodilation, were evaluated via one-way ANOVA followed by Dunnett's test. P values less than 0.05 were considered statistically significant. The data were analyzed using GraphPad Prism version 5.00 (San Diego, CA, USA).
Results
Single and cumulative BUP-mediated vasoconstriction in isolated rat thoracic aortas
BUP induced concentration-dependent vasoconstriction over a range of 10–300 μmol/L when administered either as a single concentration or cumulatively. The maximal vasoconstriction was 24.9%±1.73% and 20.7%±1.33% for single and cumulative administration, respectively, with no significant difference between the two administration types (P>0.05; Figure 1A). As the concentrations increased, the extent of BUP-induced vasoconstriction was significantly reduced. This effect was significantly larger during cumulative administration than during the administration of a single concentration; 500 μmol/L BUP induced vasoconstrictive responses of 6.4%±3.12% and 15.0%±1.63%, respectively (P<0.01, Figure 1A). The vasoconstrictive responses (g) induced by KCl (60 mmol/L) in the seven groups treated with the two different types of BUP administration (single and cumulative) were not significantly different from each other (P>0.05). These vasoconstrictive responses were 2.44±0.08 g, 2.31±0.08 g, 2.29±0.16 g, 2.40±0.11 g, 2.33±0.14 g, and 2.62±0.06 g in the single concentration groups and 2.20±0.03 g in the cumulative concentration group.
Figure 1.
(A) Vasoconstrictive responses to bupivacaine elicited via either single concentrations or cumulative concentrations in isolated rat aortas. The data are expressed as the mean±SEM. n=11. cP<0.01 vs single concentration administration. (B) The concentration-response curves for bupivacaine following cumulative administration constructed for three times in isolated rat aortas. The data are expressed as the mean±SEM. n=12. bP<0.05, cP<0.01 vs the first administration. fP<0.01 vs the second administration.
The vasoconstrictive responses to three consecutive cumulative BUP administrations in isolated rat thoracic aortas
When BUP (10, 30, 100, and 300 μmol/L) was administered cumulatively three times, the second and third vasoconstrictive responses were significantly lower than the first vasoconstrictive response (P<0.05, P<0.01, respectively; Figure 1B). The vasoconstrictive responses to 300 μmol/L BUP were 0.35±0.04 g and 0.20±0.04 g during the second and third administrations, respectively, responses significantly lower than the first vasoconstrictive response (0.48±0.05 g; P<0.01). The third cumulative administration also induced a significantly lower vasoconstrictive response than did the second (P<0.01, Figure 1B). The vasoconstrictive response induced by 60 mmol/L KCl was 1.50±0.06 g, which was significantly lower than that observed in the preparations exposed to BUP (the single and cumulative groups) (P<0.01).
The effect of a 20-min BUP pretreatment on Phe-induced vasoconstriction and ACh-induced vasodilation
Prior to analyzing the effects of BUP (3, 10, 30, 100, and 300 μmol/L) on the aortic preparations, we confirmed that the preparations in the five different BUP concentration groups and the solvent control group exhibited no significant differences in either their vasoconstrictive responses to Phe (0.0001–30 μmol/L) or their vasodilatory responses to ACh (0.0001–3 μmol/L) (P>0.05; Figure 2A and 3A). The vasoconstrictive responses to Phe were enhanced after a 20-min pretreatment with BUP (3, 10, and 30 μmol/L) compared with the solvent control group (P<0.01), and the enhancement produced by 30 μmol/L BUP was significantly stronger than that produced by 3 μmol/L BUP (P<0.01; Figure 2B). Compared with the solvent control group, the high concentration of BUP (300 μmol/L) significantly inhibited aortic vasoconstriction in response to Phe (P<0.01; Figure 2B). After washing the preparations pretreated with BUP thoroughly, the vasoconstrictive responses to Phe remained significantly lower than those observed in the control group (P<0.01; Figure 2C). Additionally, all of the groups pretreated with BUP at concentrations of 3, 10, 30, 100, and 300 μmol/L exhibited significantly reduced vasodilatory responses to ACh compared with the solvent group (P<0.01; Figure 3B), and the inhibition induced by 30, 100, and 300 μmol/L BUP was significantly greater than that induced by 3 μmol/L BUP (P<0.01).
Figure 2.
Vasoconstrictive responses to phenylephrine in isolated rat aortas before (A) and after (B) short-term (20 min) treatment with bupivacaine (BUP), and the vasoconstrictive responses to phenylephrine after BUP was washed out (C). The data are expressed as the mean±SEM. n=11. bP<0.05, cP<0.01 vs solvent. eP<0.05 vs BUP (3 μmol/L). Vasoconstrictive responses to phenylephrine in isolated rat aortas before (D) and after (E) long-term (40 min) treatment with bupivacaine (BUP), and the vasoconstrictive responses to phenylephrine after BUP was washed out (F). The data are expressed as the mean±SEM. n=12. cP<0.01 vs solvent.
Figure 3.
Vasodilatory responses to acetylcholine in isolated rat aortas before (A) and after (B) short-term (20 min) treatment with bupivacaine (BUP). The data are expressed as the mean±SEM. n=11. bP<0.05, cP<0.01 vs solvent. eP<0.05, fP<0.01 vs BUP (3 μmol/L). Vasodilatory responses to acetylcholine in isolated rat aortas before (C) and after (D) long-term (40 min) treatment with bupivacaine (BUP). The data are expressed as the mean±SEM. n=12. bP<0.05, cP<0.01 vs solvent. fP<0.01 vs BUP (3 μmol/L).
The effect of a 40-min BUP pretreatment on Phe-induced vasoconstriction and ACh-induced vasodilation
Prior to analyzing the effects of BUP (1, 3, 10, and 300 μmol/L) on the aortic preparations, we confirmed that the four BUP concentration groups and the solvent control group preparations exhibited no significant differences in either their vasoconstrictive responses to Phe (0.0001–30 μmol/L) or their vasodilatory responses to ACh (0.0001–3 μmol/L) (P>0.05; Figure 2D and 3C). The vasoconstrictive responses to Phe were significantly reduced by a 40-min pretreatment with BUP (10–300 μmol/L) compared with the solvent control group; this effect was concentration-dependent (P<0.01; Figure 2E). This inhibition persisted and was enhanced after 10 or 300 μmol/L BUP was washed thoroughly (Figure 2F). Additionally, the groups pretreated with 3, 10, and 300 μmol/L BUP exhibited significantly reduced vasodilatory responses to ACh compared with the control group (P<0.01; Figure 3D), and the inhibitory effects of 10 and 300 μmol/L BUP were significantly stronger than those observed with 3 μmol/L BUP (P<0.01).
The LE-mediated reversal of BUP-induced vascular toxicity
There were no significant differences in the first vasoconstrictive concentration-response curves to Phe (0.0001–30 μmol/L) in the preparations prior to treatment with NS+BUP, LE, and LE+BUP compared with NS (P>0.05; Figure 4A). The vasoconstrictive responses to the second exposure to Phe in these four groups are depicted in Figure 4B. The group treated with LE exhibited significantly greater vasoconstriction than did the NS group. Phe-induced vasoconstriction was increased by 23% at a concentration of 30 μmol/L (P<0.01; Figure 4B). The vasoconstrictive response in the NS+BUP group was significantly lower than that of the NS group; vasoconstriction was decreased by 21% in response to 30 μmol/L Phe (P<0.01; Figure 4B). LE pretreatment (LE+BUP) was associated with the restoration of the vasoconstrictive response to Phe (30 μmol/L) to the level recorded in the NS group (P>0.05; Figure 4B). This LE-mediated enhancement of Phe-induced vasoconstriction was reduced after the preparations were washed repeatedly (Figure 4C).
Figure 4.
Vasoconstrictive responses to phenylephrine in isolated rat aortas pre-incubated with K-H solution containing either 0.4% lipid emulsion (LE) or the same volume of normal saline (NS) for 5 min (A) and 100 min (B). Bupivacaine (BUP 300 μmol/L) was added to the organ bath 40 min before the 2nd construction of the concentration-response curves for phenylephrine (B), and the third concentration-response curves for phenylephrine were constructed after BUP and LE were washed out (C). The data are expressed as the mean±SEM. n=10. cP<0.01 vs NS. eP<0.05, fP<0.01 vs LE+BUP.
The first vasodilatory concentration-response curve to ACh (0.0001–3 μmol/L) did not differ significantly between the groups prior to NS and NS+BUP treatment (P>0.05); however, ACh-induced vasodilation was weaker in the LE and LE+BUP groups compared with the NS group (P<0.01), and no difference was observed between the LE and LE+BUP groups (Figure 5A). The vasodilatory responses to the second ACh exposure in the 4 groups are depicted in Figure 5B. The vasodilatory responses in the preparations exposed to LE and NS+BUP were significantly decreased compared with the NS group (P<0.01), and the inhibition induced by NS+BUP was stronger than that observed in the LE group (P<0.05). The vasodilatory response to ACh was significantly lower in the LE+BUP group compared with the NS+BUP group (P<0.01; Figure 5B).
Figure 5.
Vasodilatory responses to acetylcholine in isolated rat aortas pre-incubated with K-H solution containing either lipid emulsion (LE) or the same volume of normal saline (NS) for 5 min (A) and 100 min (B). Bupivacaine (BUP 300 μmol/L) was added to the organ bath 40 min before the second construction of the concentration-response curves for acetylcholine (B). The data are expressed as the mean±SEM. n=10. cP<0.01 vs NS. eP<0.05, fP<0.01 vs LE. iP<0.01 vs NS+BUP.
The effect of different LE concentrations on Phe-induced vasoconstriction and ACh-induced vasodilation
The vasoconstrictive response to Phe was not significantly altered following exposure to LE (0.2%–0.6%) for 5 min compared with the NS group (P>0.05; Figure 6A). The negative lgEC50 of Phe-induced vasoconstriction increased from 7.315±0.05 in the NS group to 7.737±0.07 in the 0.8% LE group (P<0.01); however, the Emax was not significantly altered (P>0.05; Figure 6A). The vasoconstrictive responses to the second Phe exposure in the 5 groups are depicted in Figure 6B. LE (0.2%–0.8%) not only increased the Emax of Phe-induced vasoconstriction significantly (P<0.01; Table 1) but also increased the negative lgEC50 (P<0.01; Table 1). LE (0.6% and 0.8%) significantly increased the negative lgEC50 of Phe-induced vasoconstriction compared with 0.2% LE (P<0.05 and P<0.01, respectively; Table 1).
Figure 6.
Vasoconstrictive responses to phenylephrine in isolated rat aortas pre-incubated with K–H solution containing either lipid emulsion (LE) or the same volume of normal saline (NS) for 5 min (A) and 100 min (B). The data are expressed as the mean±SEM. n=12. cP<0.01 vs LE (0.2%–0.8%). Vasodilatory responses to acetylcholine in isolated rat aortas pre-incubated with K–H solution containing either lipid emulsion (LE) or the same volume of normal saline (NS) for 5 min (C) and 100 min (D). The data are expressed as the mean±SEM. n=12. cP<0.01 vs NS. fP<0.01 vs LE (0.2%).
Table 1. Effects of lipid emulsion on phenylephrine-induced vasoconstrictive responses of rat aortic vessels. Mean±SEM. n=12. cP<0.01 vs NS. eP<0.05, fP<0.01 vs LE 0.2%.
| Group | Phenylephrine |
|
|---|---|---|
| Emax (g) | −lg EC50 (mol/L) | |
| NS | 2.385±0.043 | 6.849±0.040 |
| LE 0.2% | 2.921±0.051c | 7.204±0.047c |
| LE 0.4% | 2.991±0.061c | 7.135±0.051c |
| LE 0.6% | 2.957±0.043c | 7.329±0.039ce |
| LE 0.8% | 2.993±0.048c | 7.440±0.046cf |
The vasodilatory response to ACh (0.0001–3 μmol/L) was decreased significantly following the exposure of the aorta preparations to LE (0.2%–0.8%) for 5 min compared with exposure to NS (P<0.01). LE (0.8%) produced a significantly stronger reduction in ACh-induced vasodilation than did 0.2% LE (P<0.01; Figure 6C). The LE-induced inhibition of the ACh-induced vasodilatory response was exacerbated by the persistence of LE. The maximal vasodilations observed following exposure to 0.2%, 0.4%, and 0.6% LE for 5 min were 70.57%±6.22%, 62.70%±6.82%, and 67.38%±7.27%, respectively; these values were decreased to 51.99%±6.10%, 44.57%±6.30%, and 45.47%±4.70% for 100 min, respectively (Figure 6D).
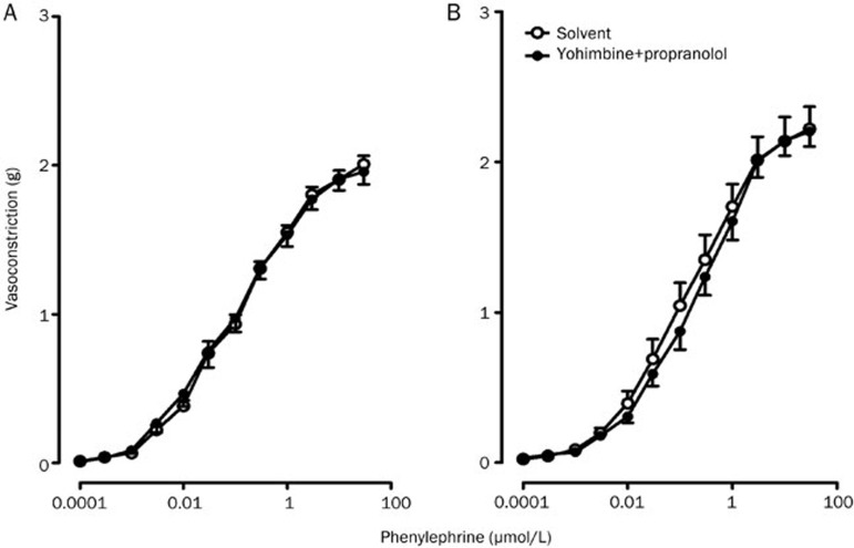
The effects of yohimbine and propranolol on Phe-induced vasoconstriction
There were no significant differences in Phe-induced vasoconstriction in the two groups of preparations prior to the administration of yohimbine (0.3 μmol/L) and propranolol (1 μmol/L) (P>0.05; Figure 7A). The blockade of the α2- and β-adrenoceptors by yohimbine and propranolol, respectively, produced no significant differences in the vasoconstrictive response to Phe compared with that of the solvent group (P>0.05, Figure 7B).
Figure 7.
Vasoconstrictive responses to phenylephrine in isolated rat aortas before (A) and after (B) treatment with a combination of yohimbine (0.3 μmol/L) and propranolol (1 μmol/L) for 20 min. The data are expressed as the mean±SEM. n=9.
Discussion
Previous clinical investigations have determined that the maximum plasma concentration of BUP is approximately 4.13 μmol/L in patients undergoing epidural anesthesia with BUP for Cesarean section and that 90% of the patients require an intravenous infusion of ephedrine (an α- and β-adrenoceptor agonist) to correct their hypotension17. A simple calculation has demonstrated that the unintentional intravascular injection of BUP (150 mg) results in a peak blood concentration of approximately 100 μmol/L. In the present study, BUP at a concentration of 1 μmol/L did not affect either the basal tension or the vasoconstrictive responses to a selective α1-adrenoceptor agonist of Phe, or ACh-induced vasodilation, in isolated rat aortic rings. However, we observed that 3 μmol/L BUP exerted opposing effects on α1-adrenoceptor-mediated vasoconstriction. Pretreatment with 3 μmol/L BUP for 20 min (short-term exposure) significantly increased the vasoconstriction induced by the α1-adrenoceptor agonist of Phe, but a 40-min pretreatment (long-term exposure) significantly decreased the vasoconstriction in the isolated rat aortic rings. When the concentration of BUP was gradually increased (3–300 μmol/L), BUP-related enhancement was either weakened or inhibited completely (Figure 2B). Additionally, ACh-induced vasodilation was significantly inhibited via pretreatment with 3 μmol/L BUP for either 20 min or 40 min. The time-independent inhibition of ACh-induced vasodilation and the long-term exposure-induced inhibition in the preparation treated with BUP could not be removed following the washout of BUP. These results suggested that a clinical plasma concentration (3 μmol/L) in patients undergoing epidural anesthesia with BUP may result in dysfunction of the vasodilation mediated by NO (endothelium) and the vasoconstriction mediated by α1-adrenoceptors (sympathetic nerve transmitter), causing an anesthesia-induced hypotensive response in affected patients.
Systemic toxicity from local anesthetics is a rare but potentially fatal complication of regional anesthesia18. LE is effective in treating the toxicity induced by local anesthetics, including cardiovascular toxicity and central nervous system toxicity19. The mechanism underlying the use of LE for the reversal of local anesthetic-induced toxicity remains incompletely understood. In addition to the lipid sink theory9,10, possible mechanisms associated with LE treatment include the improvement of fatty acid metabolism20, an inotropic effect21 and the promotion of NO production19,22. Further investigations of these phenomena are warranted.
The most important finding of our study was that the inhibition of α1-adrenoceptor-mediated vasoconstriction by BUP was reversed by long-term treatment with LE, which significantly increased the pD2 and Emax values of the vasoconstrictive responses to an α1-adrenoceptor agonist in the isolated rat aortic rings. As the inhibitory effect of BUP on Phe-induced vasoconstriction was not removed via a complete washout, and the reversal effect of LE was easily washed out (Figure 4C); we speculated that the reversal effect of LE was not a result of the interaction between LE and BUP. However, it may have been the result of the enhancement of both the affinity and the efficacy of the α1-adrenoceptor agonist by LE. Additionally, the enhancement effect of LE on the α1-adrenoceptor agonist was time-dependent and concentration-independent, as the effect required the long-term exposure of the arterial preparation to LE, and there was no significant difference in the vasoconstrictive responses to Phe in the preparation pretreated with 0.2%–0.6% LE.
Recently, Lee et al23 reported that the concentration-contraction response curve for NA was significantly shifted to the right, without a change in the Emax value, in the isolated rat aortas pretreated with LE (0.3% or 0.49%) for 5 and 20 min. NA is a neurotransmitter released from sympathetic nerve endings that activate α1-adrenoceptors on the cell membrane of vascular smooth muscle to produce vasoconstriction, and activates β2-adrenoceptors to produce vasodilation. In in vitro experiments, both the neuronal uptake and the nonneuronal uptake of NA also significantly affected NA-induced vasoconstriction16,24,25,26. Whether LE affected the neuronal uptake and nonneuronal uptake of NA is unknown, and the activation of α2-adrenoceptors and β2-adrenoceptors by NA was not ruled out in the study by Lee et al23. In our experiments, however, we used an artificially synthesized α-adrenoceptor agonist of Phe influenced by neither neuronal uptake nor nonneuronal uptake in in vitro experiments27,28. Furthermore, the vasoconstrictive responses to Phe were not affected by the combination of the β-adrenoceptor antagonist propranolol and α2-adrenoceptor antagonist yohimbine in our experimental system, indicating that only α1-adrenoceptors are involved in the vasoconstrictive responses to Phe (Figure 7).
In 2014, Said et al29 reported that pretreatment for 30 min with medium-chain LE, but not long-chain LE, significantly inhibited 5-HT-induced endothelium-dependent relaxation in isolated porcine coronary arterial rings. By contrast, in the present study, we provided new evidence that long-chain LE significantly inhibited ACh-induced endothelium-dependent relaxation in isolated rat aortic rings and that this type of inhibition by long-chain LE occurred quickly (5 min pretreatment) and in a concentration dependent manner (0.2%–0.8%). Meanwhile, we were curious whether this type of inhibition by LE was involved in the direct enhancement effect of LE on both the affinity and the efficacy of α1-adrenoceptor agonists. In the present study, although pretreatment for 5 min with 0.2%–0.6% LE did not change the vasoconstrictive responses to Phe, ACh-induced endothelium-dependent relaxation was inhibited significantly (Figure 6A and 6C). In particular, the inhibitory effect on ACh-induced relaxation following long term exposure of 0.8% LE was significantly stronger than that of 0.2% LE, but there was no significant difference in the enhanced Emax values of Phe (Table 1). Therefore, we hypothesized that the enhancement effect of LE on both the affinity and the efficacy of the α1-adrenoceptor agonists was not related to its inhibitory effect on ACh-induced relaxation in the present experiments. However, the inhibitory effect of LE on endothelium-dependent vasodilation warrants clinical attention.
Long-acting local anesthetics (BUP, levobupivacaine and ropivacaine) are easier to combine with LE. The ability of long-chain LE combined with local anesthetics was 2.5 times greater than that of medium/long-chain LE30. Li et al31 investigated the protective and restorative effects of several emulsions with different fat compositions on BUP-induced rat cardiac arrest and determined that long-chain LE was superior to medium/long-chain LE. The effects of medium/long-chain LE on the vasoconstriction mediated by the α1-adrenoceptors and the receptor subtype that primarily contributed to the effects of long-chain LE remain unknown.
BUP administered cumulatively at a high concentration (30–300 μmol/L) produced a mild vasoconstrictive response, which peaked at 300 μmol/L in the isolated rat aortic rings. When the BUP concentration was increased to 500 μmol/L, however, the vasoconstrictive response significantly decreased. In a previous publication, the decreased vasoconstrictive response was attributed to the vasodilatory effects of BUP15. Moreover, we observed that the vasodilation cumulatively produced by 500 μmol/L BUP was much greater than that produced in a non-cumulative manner. Additionally, the vasoconstrictive responses to the third cumulative administration of BUP (30–300 μmol/L) were much smaller than those observed in response to the first administration. Therefore, BUP may contain two active components, one responsible for vasoconstriction and another responsible for vasodilation; the vasodilation component became much stronger following prolonged exposure to a higher concentration of BUP in the isolated rat aortic rings32. Burmester et al33 reported that (±)BUP and (+)BUP induce the relaxation of guinea pig coronary arteries, whereas (−) BUP induces vasoconstriction in isolated hearts. Iida et al34 observed the same phenomena in the cerebral pial arterioles of pentobarbital-anesthetized dogs. Furthermore, BUP cumulatively administered 3 times inhibited the high K+-induced vasoconstriction observed in the present experiments. Clinically, BUP achieves high local tissue concentrations as a local anesthetic. BUP-induced vasoconstriction may be beneficial for sustaining anesthesia during the earlier stages, and BUP-induced vasodilation during the later stages may promote both the metabolism and the excretion of the drug itself.
Bariskaner et al13 reported that BUP produced a concentration-dependent relaxation in the human umbilical artery strip preconstricted with 10-6 mol/L 5-HT, indicating that BUP inhibits 5-HT-induced vasoconstriction. In the present study, however, although 5-HT produced reproducible concentration-related vasoconstriction in isolated rat aortas at 0.1–300 μmol/L, pretreatment with 10 μmol/L BUP did not significantly affect the vasoconstrictor responses to 5-HT (n=10, unpublished data). Therefore, we excluded the possible influence of the 5-HT receptors from our experiments.
In conclusion, BUP exerts the following opposing effects on α1-adrenoceptor-mediated vasoconstriction when exposed to isolated rat aortic rings: short-term exposure-related enhancement and long-term exposure-related inhibition; the inhibition may be reversed via long term exposure to LE, which significantly enhances both the affinity and the efficacy of α1-adrenoceptor agonists in vasoconstriction.
Author contribution
Lei-ming REN designed and supervised the research; Hao GUO performed the research and analyzed the data; He-fei ZHANG, Wen-qi XU, and Qian DU assisted with the research, and Jing ZHAO, Hao GUO, and Lei-ming REN wrote the manuscript.
Acknowledgments
This study was supported by the National Program on Key Basic Research Project of China (Program 973, No 2012CB518601).
References
- Simonetti MPB, Ferreira FMC.Does the disomer of bupivacaine contribute to the improvement of efficacy in neural block Reg Anesth Pain Med 199924 (3/suppl)439952094 [Google Scholar]
- Carstens AM, Tambara EM, Matias JE, Brioschi ML, Colman D, Carstens MG. Vasomotor effect after acute intoxication with bupivacaine and levobupivacaine in rats via intraperitoneal route analyzed via digital infrared imaging. Rev Bras Anestesiol. 2011;61:188–201. doi: 10.1016/S0034-7094(11)70023-X. [DOI] [PubMed] [Google Scholar]
- Shah S, Gopalakrishnan S, Apuya J, Shah S, Martin T. Use of intralipid in an infant with impending cardiovascular collapse due to local anesthetic toxicity. J Anesth. 2009;23:439–41. doi: 10.1007/s00540-009-0754-3. [DOI] [PubMed] [Google Scholar]
- Smith HM, Jacob AK, Segura LG, Dilger JA, Torsher LC. Simulation education in anesthesia training: a case report of successful resuscitation of bupivacaine-induced cardiac arrest linked to recent simulation training. Anesth Analg. 2008;106:1581–4. doi: 10.1213/ane.0b013e31816b9478. [DOI] [PubMed] [Google Scholar]
- Warren JA, Thoma RB, Georgescu A, Shah SJ. Intravenous lipid infusion in the successful resuscitation of local anesthetic-induced cardiovascular collapse after supraclavicular brachial plexus block. Anesth Analg. 2008;106:1578–80. doi: 10.1213/01.ane.0000281434.80883.88. [DOI] [PubMed] [Google Scholar]
- Marwick PC, Levin AI, Coetzee AR. Recurrence of cardiotoxicity after lipid rescue from bupivacaine-induced cardiac arrest. Anesth Analg. 2009;108:1344–6. doi: 10.1213/ane.0b013e3181979e17. [DOI] [PubMed] [Google Scholar]
- Rosenblatt MA, Abel M, Fischer GW, Itzkovich CJ, Eisenkraft JB. Successful use of a 20% lipid emulsion to resuscitate a patient after a presumed bupivacaine-related cardiac arrest. Anesthesiology. 2006;105:217–8. doi: 10.1097/00000542-200607000-00033. [DOI] [PubMed] [Google Scholar]
- Chen Y, Xia Y, Liu L, Shi T, Shi K, Wang Q, et al. Lipid emulsion reverses bupivacaine-induced asystole in isolated rat hearts. Anesthesiology. 2010;113:1320–5. doi: 10.1097/ALN.0b013e3181fc63ed. [DOI] [PubMed] [Google Scholar]
- Weinberg GL, Ripper R, Murphy P, Edelman LB, Hoffman W, Strichartz G, et al. Lipid emulsion accelerates removal of bupivacaine and recovery from bupivacaine toxicity in the isolated rat heart. Reg Anesth Pain Med. 2006;31:296–303. doi: 10.1016/j.rapm.2005.02.011. [DOI] [PubMed] [Google Scholar]
- Weinberg GL, Vadeboncour T, Ramaraju GA, Garcia AM, Cwik MJ. Pretreatment or resuscitation with a lipid infusion shifts the dose-response to bupivacaine-induced asystole in rats. Anesthesiology. 1998;88:1071–5. doi: 10.1097/00000542-199804000-00028. [DOI] [PubMed] [Google Scholar]
- Newton DJ, Mcleod GA, Khan F, Belch JJ. Vasoactive characteristics of bupivacaine and levobupivacaine with and without adjuvant epinephrine in peripheral human skin. Br J Anaesth. 2005;94:662–7. doi: 10.1093/bja/aei095. [DOI] [PubMed] [Google Scholar]
- Tuvemo T, Willdecklund G. Smooth muscle effects of lidocaine, prilocaine, bupivacaine and etidocaine on the human umbilical artery. Acta Anaesth Scand. 1982;26:104–7. doi: 10.1111/j.1399-6576.1982.tb01734.x. [DOI] [PubMed] [Google Scholar]
- Bariskaner H, Tuncer S, Taner A, Dogan N. Effects of bupivacaine and ropivacaine on the isolated human umbilical artery. Int J Obstet Anesth. 2003;12:261–5. doi: 10.1016/S0959-289X(03)00072-4. [DOI] [PubMed] [Google Scholar]
- Hahnenkamp K, Nollet J, Strumper D, Halene T, Rathman P, Mortier E, et al. Bupivacaine inhibits thromboxane A2-induced vasoconstriction in rat thoracic aorta. Anesth Analg. 2004;99:97–102. doi: 10.1213/01.ANE.0000118107.62304.25. [DOI] [PubMed] [Google Scholar]
- Ok SH, Sohn JT, Baik JS, Kim JG, Park SS, Sung HJ, et al. Lipid emulsion reverse levobupivacaine-induced responses in isolated rat aortic vessels. Anesthesiology. 2011;114:293–301. doi: 10.1097/ALN.0b013e3182054d22. [DOI] [PubMed] [Google Scholar]
- Ren LM, Burnstock G. Prominent sympathetic purinergic vasoconstriction in the rabbit splenic artery: potentiation by 2,2′-pyridylisatogen tosylate. Br J Pharmacol. 1997;120:530–6. doi: 10.1038/sj.bjp.0700933. [DOI] [PMC free article] [PubMed] [Google Scholar]
- Datta S, Camann W, Bader A, VanderBurgh L. Clinical effects and maternal and fetal plasma concentration of epidural ropivacaine versus bupivacaine for cesarean section. Anesthesiology. 1995;82:1346–52. doi: 10.1097/00000542-199506000-00004. [DOI] [PubMed] [Google Scholar]
- Corcoran W, Butterworth J, Weller RS, Beck JC, Gerancher JC, Houle TT, et al. Local anesthetic-induced cardiac toxicity: a survey of contemporary practice strategies among academic anesthesiology departments. Anesth Analg. 2006;103:1322–6. doi: 10.1213/01.ane.0000242515.03653.bb. [DOI] [PubMed] [Google Scholar]
- Stehr SN, Ziegeler JC, Pexa A, Oertel R, Deussen A, Koch T, et al. The effects of lipid infusion on myocardial function and bioenergetics in L-bupivacaine toxicity in the isolated rat heart. Anesth Analg. 2007;104:186–92. doi: 10.1213/01.ane.0000248220.01320.58. [DOI] [PubMed] [Google Scholar]
- Litz RJ, Roessel T, Heller AR, Stehr SN. Reversal of central nervous system and cardiac toxicity after local anesthetic intoxication by lipid emulsion injection. Anesth Analg. 2008;106:1575–7. doi: 10.1213/ane.0b013e3181683dd7. [DOI] [PubMed] [Google Scholar]
- Van de Velde M, DeWolff M, Leather HA, Wouters PF. Effects of lipids on the functional and metabolic recovery from global myocardial stunning in isolated rabbit hearts. Cardiovasc Res. 2000;48:129–37. doi: 10.1016/s0008-6363(00)00151-6. [DOI] [PubMed] [Google Scholar]
- Heavner JE, Shi B, Pitkanen M. Nitric oxide synthesis inhibition enhances bupivacaine cardiotoxivity. Reg Anesth. 1996;21:243–8. [PubMed] [Google Scholar]
- Lee SH, Sung HJ, Ok SH, Yu J, Choi MJ, Lim JS, et al. Lipid emulsions enhance the norepinephrine-mediated reversal of local anesthetic-induced vasodilation at toxic doses. Yonsei Med J. 2013;54:1524–32. doi: 10.3349/ymj.2013.54.6.1524. [DOI] [PMC free article] [PubMed] [Google Scholar]
- Zhao D, Ren LM. Non-adrenergic inhibition at prejunctional sites by agmatine of purinergic vasoconstriction in rabbit saphenous artery. Neuropharmacology. 2005;48:597–606. doi: 10.1016/j.neuropharm.2004.12.004. [DOI] [PubMed] [Google Scholar]
- Li L, Jia ZH, Chen C, Wei C, Han JK, Wu YL, et al. Physiological significance of P2X receptor-mediated vasoconstriction in five different types of arteries in rats. Purinergic Signal. 2011;7:221–9. doi: 10.1007/s11302-011-9226-y. [DOI] [PMC free article] [PubMed] [Google Scholar]
- Zhao J, Kong DZ, Li Q, Zhen YQ, Wang M, Zhao Y, et al. (−)Doxazosin is a necessary component for the hypotensive effect of (±)doxazosin during long-term administration in conscious rats. Acta Pharmacol Sin. 2014;35:48–57. doi: 10.1038/aps.2013.154. [DOI] [PMC free article] [PubMed] [Google Scholar]
- Zhao D, Ren LM. Electrophysiologic effect of moxonidine on action potential in rabbit sinoatrial node pacemaker cells. Chin J Pharmacol Toxicol. 2002;16:250–4. [Google Scholar]
- Ren LM, Zhuo YJ, Hao ZS, He HM, Lu HG, Zhao D. Berberine improves neurogenic contractile response of bladder detrusor muscle in streptozotocin-induced diabetic rats. J Ethnopharmacol. 2013;150:1128–36. doi: 10.1016/j.jep.2013.10.039. [DOI] [PubMed] [Google Scholar]
- Said A, Boisramé-Helms J, Burban M, Rashid S, Auger C, Toti F, et al. Lipid emulsions used in parenteral nutrition induce endothelial dysfunction in porcine coronary artery rings: role of oxidative stress and cyclooxygenase-derived vasoconstrictors. Arch Cardiovasc Dis. 2014;(6 Suppl):16. [Google Scholar]
- Mazoit JX, Le Guen R, Beloeil H, Benhamou D. Binding of long-lasting local anesthetics to lipid emulsions. Anesthesiology. 2009;110:380–6. doi: 10.1097/ALN.0b013e318194b252. [DOI] [PubMed] [Google Scholar]
- Li Z, Xia Y, Dong X, Chen H, Xia F, Wang X, et al. Lipid resuscitation of bupivacaine toxicity: long-chain triglyceride emulsion provides benefits over long- and medium-chain triglyceride emulsion. Anesthesiology. 2011;115:1219–28. doi: 10.1097/ALN.0b013e318238be73. [DOI] [PubMed] [Google Scholar]
- Mukozawa M, Takakura K, Mizogami M. Direct vasocontractile activities of bupivacaine enantiomers on the isolated rat thoracic aorta. Anesthesiol Res Pract. 2010;2010:820186. doi: 10.1155/2010/820186. [DOI] [PMC free article] [PubMed] [Google Scholar]
- Burmester MD, Schluter KD, Daut J, Hanley PJ. Enantioselective actions of bupivacaine and ropivacaine on coronary vascular resistance at cardiotoxic concentrations. Anesth Analg. 2005;100:707–12. doi: 10.1213/01.ANE.0000146511.79069.01. [DOI] [PubMed] [Google Scholar]
- Iida H, Ohata H, Iida M, Nagase K, Uchida M, Dohi S. The differential effects of stereoisomers of ropivacaine and bupivacaine on cerebral pial arterioles in dogs. Anesth Analg. 2001;93:1552–6. doi: 10.1097/00000539-200112000-00046. [DOI] [PubMed] [Google Scholar]







