Abstract
Solid-state thermoelectric technology offers a promising solution for converting waste heat to useful electrical power. Both high operating temperature and high figure of merit zT are desirable for high-efficiency thermoelectric power generation. Here we report a high zT of ∼1.5 at 1,200 K for the p-type FeNbSb heavy-band half-Heusler alloys. High content of heavier Hf dopant simultaneously optimizes the electrical power factor and suppresses thermal conductivity. Both the enhanced point-defect and electron–phonon scatterings contribute to a significant reduction in the lattice thermal conductivity. An eight couple prototype thermoelectric module exhibits a high conversion efficiency of 6.2% and a high power density of 2.2 W cm−2 at a temperature difference of 655 K. These findings highlight the optimization strategy for heavy-band thermoelectric materials and demonstrate a realistic prospect of high-temperature thermoelectric modules based on half-Heusler alloys with low cost, excellent mechanical robustness and stability.
Thermoelectric materials could be used to convert waste heat into useful electricity, but the ideal substance needs to both optimize the electrical power factor and suppress thermal conductivity. Here, the authors report a high figure of merit of 1.5 at 1,200 K in the p-type half-Heusler alloy FeNbSb.
The demand for sustainable energies has sparked significant research into different types of energy conversion technologies in the past decades. Thermoelectric materials, which can directly convert waste heat into usable electricity, have received more and more attention for promising application in energy harvesting1,2. The conversion efficiency η of a thermoelectric device is limited by the Carnot efficiency ηc, and the figure of merit zT of the thermoelectric materials, which is expressed as zT=α2σT/(κe+κL), where α, σ, T, κe and κL are the Seebeck coefficient. respectively, the electrical conductivity, the absolute temperature and the electronic and lattice components of total thermal conductivity κ (ref. 1). Thus, a high ηc and a high zT will result in enhanced conversion efficiency. The thermoelectric parameters α, σ, and κe are intimately interrelated via carrier concentration and it has been a big challenge to decouple the thermal and electrical properties. Two main strategies, therefore, have been individually adopted to improve zT. One is to maximize the power factor α2σ through optimal doping and band engineering1,3,4. The other targets to reduce the lattice thermal conductivity κL by nanostructuring or phonon engineering5,6.
Traditional good thermoelectric materials, such as BixSb2-xTe3 alloys near room temperature, PbTe1−xSex alloys at moderate temperature and Si1−xGex alloys at high temperature, have high carrier mobility μ and reduced κL (refs 7, 8). A common character of these materials is that their band structures near the Fermi levels are dominated by the s or p electronic states, accounting for the low density of states effective mass m* and high μ. These light-band thermoelectric semiconductors with small m* (0.1 me–1.0 me) generally request relatively low-optimal carrier concentration popt (1019–1020 cm−3), as shown in Fig. 1a, a low content of dopants is enough to optimize their power factors.
Figure 1. Comparison of transport character of light-band and heavy-band thermoelectric materials.
(a) The optimal carrier concentration popt versus the density of state effective mass m* for thermoelectric materials15,16,27,31,32,33,36,39,40,41,42,43,44,45. The solid line is a guide for eyes. (b) Carrier concentration dependence of power factor for the typical light-band PbTe15, and the heavy-band system: n-type ZrNiSn33, n-type filled CoSb346 and p-type FeNbSb near 800 K. (c) The schematic drawing shows the effect of band structure character on optimal doping content and hence phonon scattering.
In recent years, some other semiconductors have also been identified as promising high-performance thermoelectric materials, such as tin selenides2, filled skutterudites9 and half-Heusler compounds10,11. Most of them contain transition metal elements, such as Fe, Co, Ni et al., and their localized 3d states make the valence band maximum or conduction band minimum flat and heavy12,13. Typically, the m* of these heavy-band materials are in the range of 2 me–10 me (Fig. 1a). Thus, higher carrier concentrations, which demands for higher contents of dopants, are necessary to optimize the power factors. For example, the popt of heavy-band ZrNiSn alloys is ∼4 × 1020 cm−3, one order of magnitude higher than that of PbTe (∼3 × 1019 cm−3), while the popt of filled CoSb3 and FeNbSb system with larger m* are above 1021 cm−3 (Fig. 1b). Note that even though these heavy-band thermoelectric materials have large m* and hence low μ, their optimal power factors are 2–3 times higher than the state-of-the-art light-band PbTe, which is an important reason making these heavy-band thermoelectrics promising for power generation. An immediate question arises that what is the effective optimization strategy for achieving high zT heavy-band thermoelectric materials?
Alloying (substitution or doping) creates point-defect scattering for phonons due to mass fluctuation and strain field fluctuation between the host atoms and alloying atoms14, and results in reduced κL. In thermoelectric materials, dopants not only supply carriers to optimize the power factor, but deduce point-defect scattering of phonons to suppress κL. For light-band thermoelectric semiconductors, the popt is relatively low and a slight content of dopants are enough to optimize the power factor15,16, and the dopants usually contribute less to the κL reduction. By contrast, in heavy-band semiconductors, higher contents of dopants are demanded for optimizing the carrier concentration to reach the same Femi level (Fig. 1c). For example, ∼20% Sn was doped to optimize the power factor of heavy-band ZrCoSb compounds17. Such a high content of dopant will also definitely create strong point-defect phonon scattering to reduce κL. Furthermore, stronger point-defect phonon scattering may occur if the doping atoms have larger mass and strain field fluctuations compared with the host atoms (Fig. 1c), which could be an effective strategy for simultaneously optimizing electrical power factor and reducing thermal conductivity in heavy-band thermoelectric materials.
A high Carnot limit, ηc=(TH−TC)/TH, needs a large temperature difference between the temperature of hot side, TH, and temperature of cold side, TC, of the thermoelectric device. Therefore, high temperature thermoelectric materials with superior properties are highly desirable for power generation operating above 1,000 K. Half-Heusler compounds have attracted more and more attention due to their good electrical and mechanical properties and thermal stability at high temperatures11,17,18,19,20,21,22,23,24,25,26. The highest zTs of ∼1.0 have been reported for n-type ZrNiSn-based half-Heusler alloys18,20,21,24. But developing high-performance p-type Zr-based half-Heusler compounds is still a big challenge17,24. Recently, we found that p-type Fe(V,Nb)Sb-based heavy-band half-Heusler compounds show great potential as high-temperature thermoelectric materials and a high zT of 1.1 has been reached at 1,100 K in FeNb1−xTixSb with high Ti content up to 20%19,27. Although the κL of Ti-doped FeNbSb is remarkably reduced due to the enhanced point-defect scattering, it is still ∼3 times as high as the calculated minimum κL (∼1 W m−1 K−1)19. To achieve higher zT in p-type FeNbSb, it is imperative to further suppress its κL. Based on the above consideration and Fig. 1c, selecting the high contents of doping atoms having larger mass and radius differences with the host atoms may lead to further κL reduction at optimal carrier concentration and hence enhanced zT.
Here we indeed demonstrate that the thermoelectric properties of p-type FeNbSb half-Heusler compound can be significantly enhanced through heavier Hf doping. A record-high zT of up to 1.5 at 1,200 K has been obtained in the heavy-band FeNb1−xHfxSb alloys. High contents of Hf and Zr dopants result in enhanced point-defect scattering of phonons, and the Hf doping at Nb site leads to the stronger phonon scattering. Interestingly, the electron–phonon scattering is found to also strongly contribute to the reduced κL at high dopant contents. An eight n–p couples prototype half-Heusler thermoelectric module, based on our high-performance n-type ZrNiSn (ref. 18) and p-type FeNbSb compounds, is successfully assembled for the first time in this work. A maximum conversion efficiency of 6.2% and a power density of 2.2 W cm−2 under a temperature difference of 655 K are achieved, exhibiting the great potential of low-cost p-type FeNbSb half-Heusler compounds for high temperature power generation.
Results
zT enhancement and prototype half-Heusler module
High-quality FeNb1−xHfxSb and FeNb1−yZrySb (x, y=0–0.16) samples were fabricated by levitation melting and spark plasma sintering. X-ray diffraction (XRD) patterns show that the single phase products were obtained (Supplementary Fig. 1). Figure 2a shows the zT values of these samples. A peak zT of ∼1.5 is reached at 1,200 K for FeNb0.88Hf0.12Sb and FeNb0.86Hf0.14Sb, ∼40% higher than that of Ti-doped FeNbSb19, and the zTs are remarkably higher than other well-known state-of-the-art p-type high-temperature thermoelectric materials over the whole temperature range. As known, the average zTavg is more important than the peak zT for thermoelectric device application. The zTavg of FeNb0.88Hf0.12Sb sample is calculated to be ∼0.8 and ∼1.0 in the temperature range of 300–1,200 and 500–1,200 K, respectively, even exceeding the industry benchmark set by conventional p-type SiGe alloys (peak zT=0.6)17.
Figure 2. Thermoelectric performance for p-type FeNbSb-based HH compounds and prototype module.
(a) zT comparison for Hf or Zr doped FeNbSb and other typical high temperature p-type thermoelectric materials17,18,19,40,47. (b) Maximum power output and conversion efficiency as a function of hot side temperature TH for the thermoelectric device made from our best n-type ZrNiSn-based alloys and p-type FeNbSb HH compounds. The dash line represents the theoretical conversion efficiency of the module with a maximum value of 11.3%, assuming no electrical and thermal contact resistances.
To corroborate the present results, the prototype high-temperature thermoelectric modules with eight n–p half-Heusler couples were assembled (Fig. 2b) for the first time based on the best n-type ZrNiSn-based alloys (thermoelectric properties are shown in Supplementary Fig. 2) and p-type FeNbSb compounds. The dimensions of the thermoelectric module made from the half-Heusler legs are 20 mm by 20 mm by 10 mm thick. Under conditions of hot/cold-side temperatures of 991 K/336 K, the half-Heusler module exhibited a maximum power output of 8.9 W and 6.2% conversion efficiency, which is significantly higher than the conversion efficiency of 4.5% for the commercial half-Heusler modules based on n-type ZrNiSn and p-type ZrCoSb-based half-Heusler alloys. Extrapolated values indicate that 8.1% is achievable when the hot-side temperature is up to 1,200 K. The calculated total area power density for this half-Heusler module is about 2.2 W cm−2, which is significantly higher than other thermoelectric modules28,29,30 (Supplementary Table 1). The theoretical conversion efficiency is also calculated for comparison (dash line in Fig. 2b), which is higher than the experimental value. The discrepancy could be due to the matching between n-type and p-type legs, the insufficient contacting and the large radiation and convection losses and insufficient accuracy of measurement. Especially, the contact resistance contributes to about 3.2% efficiency loss (Supplementary Discussion). More work is needed to improve the contacting electrical and thermal resistance and use thermal isolation between the half-Heusler legs.
Decoupling of electrical and thermal properties
Why do the p-type heavy-band FeNb1−xHfxSb alloys have so high zTs? The thermoelectric properties of FeNb1−xHfxSb and FeNb1−yZrySb compounds are presented in Fig. 3, and analysed by using the single parabolic band (SPB) model31,32. The samples are heavily doped and the hole concentration is almost independent of temperature before intrinsic excitation (Supplementary Fig. 3). The electrical conductivity σ of the FeNb1−xHfxSb and FeNb1−yZrySb samples shows a metal-like behaviour and follows a temperature dependence of T−1.5 (Fig. 3a), implying an acoustic phonon-scattering-dominated charge transport. The Seebeck coefficient α decreases with increasing carrier concentration (Fig. 3b). The calculated α by the SPB model agrees well with the experimental data before the intrinsic excitation. The m* was estimated to be ∼6.9 me and almost unchanged at 300 and 800 K, as shown in the Pisarenko plot of Fig. 3c, indicating that the valence band structure has weak dependence on temperature and the dopant type of Hf, Zr and Ti.
Figure 3. Thermoelectric properties for FeNb1−xHfxSb and FeNb1−yZrySb samples.
(a) Electrical conductivity σ. (b) Seebeck coefficient α. The α (c) and power factor α2σ and thermal conductivity (d) of Hf- and Zr-doped FeNbSb as a function of carrier concentration, together with the data for Ti-doped FeNbSb19. The solid lines in b–d were calculated by the SPB model.
The carrier concentration dependence of power factor for Hf- and Zr-doped FeNbSb samples at 800 K is shown in Fig. 3d, together with Ti doping data19. The optimal power factor ranges from 4.3 to 5.5 × 10−3 W m−1 K−2 at popt of ∼2 × 1021 cm−3, which are relatively high values among established thermoelectric materials and comparable to the optimized n-type ZrNiSn-based half-Heusler compounds33. Figure 3d also indicates that the power factors of Hf-doped FeNbSb are higher than that of Zr- or Ti-doped samples. Further analysis shows that the Hf dopant is more efficient in supplying carriers than Zr and Ti (Supplementary Fig. 4). Thus at the carrier concentration of ∼2 × 1021 cm−3 for p-type FeNbSb, the doping content of Hf, Zr and Ti is about 12, 14 and 16%, respectively (Supplementary Fig. 4a). The corresponding room temperature carrier mobility for these samples are 18.4, 15.0 and 13.8 cm2 V−1 s−1, indicating that the less doping content for Hf-doped FeNbSb is beneficial for relatively higher carrier mobility due to the reduced alloy scattering of carriers. Therefore, at the same carrier concentration, the Hf-doped FeNbSb has higher power factors than Zr- and Ti-doped samples (Supplementary Fig. 4b). It is noteworthy that the different dopants also generate different effects on the thermal conductivity (Fig. 3d). The heavier Hf dopant leads to the ∼30% lower thermal conductivity compared with the Zr dopant, consistent with the discussion relevant to Fig. 1c.
Reduced lattice thermal conductivity and mechanisms
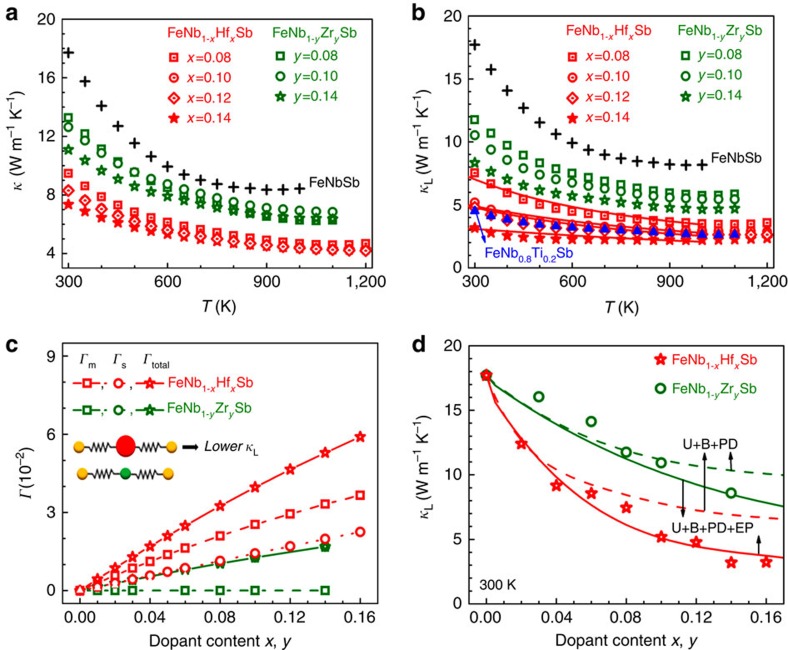
The temperature dependences of κ and κL of FeNb1−xHfxSb and FeNb1−yZrySb compounds are presented in Fig. 4. The κL was obtained by subtracting the electronic component κe from the total thermal conductivity κ. κe was calculated via Wiedemann–Franz relationship κe=LσT, where L is the Lorenz number determined under the SPB approximation32. Figure 4a shows the κ of Hf- and Zr-doped FeNbSb compounds are lower than that of FeNbSb. The decrease in κ mainly results from the greatly suppressed κL. As shown in Fig. 4b, with the same doping content, the κL of Hf-doped FeNbSb is lower than that of Zr- and Ti-doped samples, and the high-temperature κL of FeNb0.8Ti0.2Sb is only close to that of FeNb0.9Hf0.1Sb, suggesting that Hf dopant leads to significantly reduced κL in FeNbSb even at a low content. The κL of FeNb1−xHfxSb decreases greatly with increasing Hf content. Especially, at 300 and 1,000 K the κL of FeNb0.86Hf0.14Sb has ∼80% and ∼70% reduction respectively, compared with that of FeNbSb, which is a key to the high zT in this composition.
Figure 4. Thermal conductivity for FeNb1−xHfxSb and FeNb1−yZrySb samples.
(a) Total thermal conductivity κ. (b) Lattice thermal conductivity κL. The solid curves in b are calculated using the Callaway model36,37. For comparison, κL of Ti-doped FeNbSb is also shown19. (c) The calculated disorder parameter Γ for the samples, where Γm (square) and Γs (circle) are mass and strain field fluctuation disorder parameters, respectively.14,34 Γtotal=Γm+Γs. (d) Comparison of experimental and calculated κL for the samples at 300 K. The dash and solid curves are calculated without and with electron-phonon scattering, respectively. U, B, PD and EP denote the phonon-phonon Umklapp process, boundary, point-defect and electron-phonon scattering, respectively.
Why is Hf dopant more efficient in suppressing κL of FeNbSb despite of lower optimal content? As aforementioned, high content of dopants will create strong point-defect scattering of phonons, leading to the suppressed κL. Hf doping at Nb sites will deduce more remarkable point-defect scattering than Zr and Ti because of the larger mass and radius differences between Hf and Nb. For comparison, Fig. 4c presents the calculated disorder parameter Γ (larger Γ indicates stronger point-defect scattering of phonons14,34,35) for Hf and Zr at Nb sites, which obviously shows that the Hf creates stronger mass and strain field fluctuations, leading to lower κL in FeNb1−xHfxSb.
The κL of the samples was further calculated by the Callaway model19,36,37. Phonon–phonon Umklapp process, grain boundary and point-defect scattering of phonons were firstly considered in the modelling. At low doping content, the calculated κL has a good agreement with the experimental results (Fig. 4d). However, at high doping contents, the calculated κL significantly deviates from the experimentally values, suggesting that some other scattering sources should also contribute to the reduced κL at high Hf or Zr contents. With increasing dopant content, the carrier concentration largely increases up to 1021 cm−3. The electron–phonon interaction, an important part to scatter phonons in narrow semiconductors38, may exist in the p-type FeNbSb heavy-band system. With the electron–phonon scattering evolved, a good agreement between the experimental data and the calculated curves is reached (Fig. 4d). To corroborate this result, temperature dependence of κL was calculated for FeNb1−xHfxSb samples, and there is a good consistency with the experimental κL (Fig. 4b), indicating the enhanced electron–phonon scattering of phonons also contributes to the reduced κL for FeNb1−xHfxSb and FeNb1−yZrySb, especially at high doping contents. The similar phenomenon is also found in other thermoelectric materials36. Thus the simultaneously enhanced point-defect and electron–phonon scattering of phonons concurrently contribute to the reduced κL in the heavy-band FeNb1−xHfxSb system.
Discussion
In summary, by rationally selecting the heavier dopants at high contents, the interrelated thermoelectric parameters can be decoupled and the simultaneous optimization of electrical power factor and significant reduction in thermal conductivity can be achieved in heavy-band thermoelectric materials. Record-high zT of 1.5 in p-type FeNb1−xHfxSb heavy-band half-Heusler compounds demonstrates the effective optimization strategy for achieving high thermoelectric performance. A prototype thermoelectric module made of n-type ZrNiSn-based alloys and p-type FeNbSb compounds exhibits a high conversion efficiency of 6.2% and a high power density of 2.2 W cm−2 at a temperature difference of 655 K. These findings highlight the realistic prospect of high-temperature thermoelectric modules based on half-Heusler alloys with low cost, excellent mechanical properties and stability.
Methods
Synthesis
The ingots with nominal composition FeNb1−xHfxSb and FeNb1−yZrySb (x, y=0–0.16) were prepared by levitation melting of stoichiometric amount of Fe (piece, 99.97%), Nb (foil, 99.8%), Hf (piece, 99.99%), Zr (foil, 99.99%) and Sb (block, 99.999%) under an argon atmosphere for several minutes. The ingots were remelted for four times to ensure homogeneity. The obtained ingots were mechanically milled (Mixer Mill MM200, Retsch) for 4 h under argon protection. The obtained powders were loaded into the graphite die and compacted by spark plasma sintering (SPS-1050, Sumitomo Coal Mining Co.) at 1,123 K for 10 min under 65 MPa in vacuum. The as-sintered samples, of which the relative densities were found to be ∼95%, were annealed at 1,073 K for 3 days.
Characterization
Phase structures of the samples were investigated by XRD on a RigakuD/MAX-2550PC diffractometer using Cu Kα radiation (λ0=1.5406 Å). The XRD patterns of FeNb1−xHfxSb and FeNb1−yZrySb show a single phase that can be indexed to the half-Heusler phase with a cubic MgAgAs-type crystal structure (space group, F43m) as shown in Supplementary Fig. 1. The lattice parameter of the samples increases with increasing dopant content as shown in Supplementary Fig. 5. The chemical compositions were checked by electron probe microanalysis (EPMA, JEOL and JXA-8100), which show that the actual compositions are close to the nominal ones (Supplementary Table 1). Scanning electron microscope and energy dispersive X-ray spectroscopy mapping were used to characterize the phase and compositional homogeneity (Supplementary Fig. 6). The average grain size of the sample was determined to be ∼0.8 μm from the transmission electron microscope (FEI, Tecnai G2 F30 S-Twin) image (Supplementary Fig. 6).
Measurements
The Seebeck coefficient and electrical conductivity from 300 to 1,200 K were measured on a commercial Linseis LSR-3 system using a differential voltage/temperature technique and a d.c. four-probe method. The accuracy is ±5% and ±3%, respectively. The thermal conductivity κ was calculated by using κ=DρCp, where ρ is the sample density estimated by the Archimedes method. The thermal diffusivity D and specific heat Cp were measured by a laser flash method on Netzsch LFA457 instrument with a Pyroceram standard (Supplementary Fig. 7). The accuracy is ±3% and ±5%, respectively. The low-temperature Hall coefficients from 20 to 300 K were measured using a Mini Cryogen Free Measurement System (Cryogenic Limited, UK). The carrier concentration pH was calculated by pH=1/(eRH), where e is the unit charge and RH is the Hall coefficient. The estimated error of Hall coefficient is within ±10%. The carriers mobility μH was calculated by μH=σRH. The samples with highest zT were repeatedly measured in Zhejiang University and Shanghai Institute of Ceramics, Chinese Academy of Science, and the results show good consistency (Supplementary Fig. 8). The high-temperature thermal stability of the sample was checked through the thermogravimetric analysis (Supplementary Fig. 9) and the accuracy is 5%.
Thermoelectric module
For the eight n–p couple prototype module assembly, the cylindrical half-Heusler pucks were diced into legs of square 4 mm by 4 mm. Then the n-type and p-type half-Heusler legs were connected to metallic interconnects using high-temperature braze. The modules contain a total of 16 legs joined into 8 n–p couples, all connected electrically in series and thermally in parallel. The power output, internal resistance and energy conversion efficiency of the half-Heusler prototype modules were evaluated in vacuum by using PEM-2 testing system (ULVAC-RIKO, Inc.). The electrodes coexist stably with p/n half-Heusler alloys in the module's working temperature range from 300 to 1,000 K. The accuracy of measurement for output power and conversion efficiency is about 10–15%.
Additional information
How to cite this article: Fu, C. et al. Realizing high figure of merit in heavy-band p-type half-Heusler thermoelectric materials. Nat. Commun. 6:8144 doi: 10.1038/ncomms9144 (2015).
Supplementary Material
Supplementary Figures 1-12, Supplementary Tables 1-2, Supplementary Discussion and Supplementary References
Acknowledgments
We would like to thank Professor Xun Shi and Mr Dudi Ren from Shanghai Institute of Ceramics for the repeated measurement of thermoelectric properties and device simulation, respectively. This work was supported by the National Basic Research Program of China (2013CB632500), the Nature Science Foundation of China (51171171), the Program for New Century Excellent Talents in University (NCET-12-0495) and the Key Research Program of Chinese Academy of Sciences (KGZD-EW-T06).
Footnotes
Author contributions C.F. and T.Z. designed the experiment. C.F. and Y.L. prepared the samples and carried out thermoelectric property measurements. C.F. and T.Z. analysed the experimental data and established the thermoelectric transport model. S.B., Y.T. and L.C. fabricated the prototype thermoelectric module and measured its conversion efficiency. C.F., S.B., L.C., X.Z. and T.Z. wrote the manuscript.
References
- Snyder G. J. & Toberer E. S. Complex thermoelectric materials. Nat. Mater. 7, 105–114 (2008). [DOI] [PubMed] [Google Scholar]
- Zhao L. D. et al. Ultralow thermal conductivity and high thermoelectric figure of merit in SnSe crystals. Nature 508, 373–377 (2014). [DOI] [PubMed] [Google Scholar]
- Pei Y. Z. et al. Convergence of electronic bands for high performance bulk thermoelectrics. Nature 473, 66–69 (2011). [DOI] [PubMed] [Google Scholar]
- Heremans J. P. et al. Enhancement of thermoelectric efficiency in PbTe by distortion of the electronic density of states. Science 321, 554–557 (2008). [DOI] [PubMed] [Google Scholar]
- Biswas K. et al. High-performance bulk thermoelectrics with all-scale hierarchical architectures. Nature 489, 414–418 (2012). [DOI] [PubMed] [Google Scholar]
- Toberer E. S., Zevalkink A. & Snyder G. J. Phonon engineering through crystal chemistry. J. Mater. Chem. 21, 15843–15852 (2011). [Google Scholar]
- Ioffe A. F. Semiconductor Thermoelements and Thermoelectric Cooling Infosearch (1957). [Google Scholar]
- Goldsmid H. J. Introduction to Thermoelectricity Springer (2010). [Google Scholar]
- Sales B. C., Mandrus D. & Williams R. K. Filled skutterudite antimonides: a new class of thermoelectric materials. Science 272, 1325–1328 (1996). [DOI] [PubMed] [Google Scholar]
- Tritt T. M. Holey and unholey semiconductors. Science 283, 804–805 (1999). [Google Scholar]
- Xie H. H. et al. Beneficial contribution of alloy disorder to electron and phonon transport in half-Heusler thermoelectric materials. Adv. Funct. Mater. 23, 5123–5130 (2013). [Google Scholar]
- Yang J. et al. Trends in electrical transport of p-type skutterudites RFe4Sb12 (R=Na, K, Ca, Sr, Ba, La, Ce, Pr, Yb) from first-principles calculations and Boltzmann transport theory. Phys. Rev. B 84, 235205 (2011). [Google Scholar]
- Yang J. et al. Evaluation of half-Heusler compounds as thermoelectric materials based on the calculation electrical transport properties. Adv. Funct. Mater. 18, 2880–2888 (2008). [Google Scholar]
- Yang J., Meisner G. P. & Chen L. Strain field fluctuation effects on lattice thermal conductivity of ZrNiSn-based thermoelectric compounds. Appl. Phys. Lett. 85, 1140–1142 (2004). [Google Scholar]
- Pei Y. Z. et al. Optimum carrier concentration in n-type PbTe thermoelectrics. Adv. Energy Mater. 4, 1400486 (2014). [Google Scholar]
- Wang H., Pei Y. Z., LaLonde A. D. & Snyder G. J. Weak electron-phonon coupling contributing to high thermoelectric performance in n-type PbSe. Proc. Natl Acad. Sci. USA 109, 9705–9709 (2012). [DOI] [PMC free article] [PubMed] [Google Scholar]
- Culp S. R. et al. Zr,Hf)Co(Sb,Sn) half-Heusler phases as high-temperature (>700°C) p-type thermoelectric materials. Appl. Phys. Lett. 93, 022105 (2008). [Google Scholar]
- Yu C. et al. High performance half-Heusler thermoelectric materials Hf1-xZrxNiSn1-ySby prepared by levitation melting and spark plasma sintering. Acta Mater. 57, 2757–2764 (2009). [Google Scholar]
- Fu C. G., Zhu T. J., Liu Y. T., Xie H. H. & Zhao X. B. Band engineering of high performance p-type FeNbSb based half-Heusler thermoelectric materials for figure of merit zT>1. Energy Environ. Sci. 8, 216–220 (2015). [Google Scholar]
- Schwall M. & Balke B. Phase separation as a key to a thermoelectric high efficiency. Phys. Chem. Chem. Phys. 15, 1868–1872 (2013). [DOI] [PubMed] [Google Scholar]
- Chen S. et al. Effect of Hf concentration on thermoelectric properties of nanostructured N-type half-Heusler materials HfxZr1-xNiSn0.99Sb0.01. Adv. Energy Mater. 3, 1210–1214 (2013). [Google Scholar]
- Graf T., Felser C. & Parkin S. S. P. Simple rules for the understanding of Heusler compounds. Prog. Solid State Chem. 39, 1–50 (2011). [Google Scholar]
- Chen S. & Ren Z. Recent progress of half-Heusler for moderate temperature thermoelectric applications. Mater. Today 16, 387–395 (2013). [Google Scholar]
- Xie W. et al. Recent advances in nanostructured thermoelectric half-Heusler compounds. Nanomaterials 2, 379–412 (2012). [DOI] [PMC free article] [PubMed] [Google Scholar]
- Schmitt J., Gibbs Z. M., Snyder G. J. & Felser C. Resolving the true band gap of ZrNiSn half-Heusler thermoelectric materials. Mater. Horiz. 2, 68–75 (2015). [Google Scholar]
- Joshi G. et al. NbFeSb-based p-type half-Heuslers for power generation applications. Energy Environ. Sci. 7, 4070–4076 (2014). [Google Scholar]
- Fu C. G. et al. High band degeneracy contributing to high thermoelectric performance in p-type half-Heusler compounds. Adv. Energy Mater. 4, 1400600 (2014). [Google Scholar]
- Bartholomé K. et al. Thermoelectric modules based on half-Heusler materials produced in large quantities. J. Electron. Mater. 43, 1775–1781 (2014). [Google Scholar]
- Mikami M., Kobayashi K. & Tanaka S. Power generation performance of thermoelectric module consisting of Sb-doped Heusler Fe2VAl sintered alloy. Mater. Trans. 52, 1546–1548 (2011). [Google Scholar]
- Salvador J. R. et al. Conversion efficiency of skutterudite-based thermoelectric modules. Phys. Chem. Chem. Phys. 16, 12510–12520 (2014). [DOI] [PubMed] [Google Scholar]
- Liu X. H. et al. Low electron scattering potentials in high performance Mg2Si0.45Sn0.55 based thermoelectric solid solutions with band convergence. Adv. Energy Mater. 3, 1238–1244 (2013). [Google Scholar]
- May A. F., Toberer E. S., Saramat A. & Snyder G. J. Characterization and analysis of thermoelectric transport in n-type Ba8Ga16−xGe30+x. Phys. Rev. B 80, 125205 (2009). [Google Scholar]
- Xie H. H. et al. The intrinsic disorder related alloy scattering in ZrNiSn half-Heusler thermoelectric materials. Sci. Rep. 4, 6888 (2014). [DOI] [PMC free article] [PubMed] [Google Scholar]
- Wang H., LaLonde A. D., Pei Y. Z. & Snyder G. J. The criteria for beneficial disorder in thermoelectric solid solutions. Adv. Funct. Mater. 23, 1586–1596 (2013). [Google Scholar]
- Abeles B. Lattice thermal conductivity of disordered semiconductor alloys at high temperatures. Phys. Rev. 131, 1906–1911 (1963). [Google Scholar]
- Shi X. Y., Pei Y. Z., Snyder G. J. & Chen L. Optimized thermoelectric properties of Mo3Sb7-xTex with significant phonon scattering by electrons. Energy Environ. Sci. 4, 4086–4095 (2011). [Google Scholar]
- Callaway J. Model for lattice thermal conductivity at low temperatures. Phys. Rev. 113, 1046–1051 (1959). [Google Scholar]
- Delaire O. et al. Phonon softening and metallization of a narrow-gap semiconductor by thermal disorder. Proc. Natl Acad. Sci. USA 108, 4725–4730 (2011). [Google Scholar]
- Wang H., Schechtel E., Pei Y. Z. & Snyder G. J. High thermoelectric efficiency of n-type PbS. Adv. Energy Mater. 3, 488–495 (2013). [Google Scholar]
- Vining C. B., Laskow W., Hanson J. O., Vanderbeck R. R. & Gorsuch P. D. Thermoelectric properties of pressure-sintered Si0.8Ge0.2 thermoelectric alloys. J. Appl. Phys. 69, 4333–4340 (1991). [Google Scholar]
- Fu C. G. et al. Electron and phonon transport in Co-doped FeV0.6Nb0.4Sb half-Heusler thermoelectric materials. J. Appl. Phys. 114, 134905 (2013). [Google Scholar]
- Pei Y. Z. et al. Improving thermoelectric performance of caged compounds through light-element filling. Appl. Phys. Lett. 95, 042101 (2009). [Google Scholar]
- Bux S. K. et al. Glass-like lattice thermal conductivity and high thermoelectric efficiency in Yb9Mn4.2Sb9. J. Mater. Chem. A 2, 215–220 (2014). [Google Scholar]
- He Y. et al. High thermoelectric performance in non-toxic earth abundant copper sulfide. Adv. Mater. 26, 3974–3978 (2014). [DOI] [PubMed] [Google Scholar]
- Zhu T. J., Gao H., Chen Y. & Zhao X. B. Ioffe–Regel limit and lattice thermal conductivity reduction of high performance (AgSbTe2)15(GeTe)85 thermoelectric materials. J. Mater. Chem. A 2, 3251–3256 (2014). [Google Scholar]
- Shi X. et al. Multiple-filled skutterudites: High thermoelectric figure of merit through separately optimizing electrical and thermal transports. J. Am. Chem. Soc. 133, 7837–7846 (2011). [DOI] [PubMed] [Google Scholar]
- Brown S. R., Kauzlarich S. M., Gascoin F. & Snyder G. J. Yb14MnSb11: New high efficiency thermoelectric material for power generation. Chem. Mater. 18, 1873–1877 (2006). [Google Scholar]
Associated Data
This section collects any data citations, data availability statements, or supplementary materials included in this article.
Supplementary Materials
Supplementary Figures 1-12, Supplementary Tables 1-2, Supplementary Discussion and Supplementary References




