Abstract
The selective synthesis of different products from the same starting materials in water, which is the most abundant solvent in nature, is a crucial issue as it maximizes the utilization of materials. Realizing such reactions for ketones is of considerable importance because numerous organic functionalities can be obtained via nucleophilic addition reactions. Herein, we report chemoselective reduction and oxidation reactions of 1,2-diketones in water, which initiates anionic electron transfer from the inorganic electride [Ca24Al28O64]4+·4e−, through controlling the pathway of the electrons to substrates. The generation of different radical species for transient intermediates was the key process required to control the reaction selectivity, which was achieved by reacting the anionic electrons with either diketones or O2, leading to the formation of ketyl dianion and superoxide radicals in the reduction and oxidation reactions, respectively. This methodology that utilizes electrides may provide an alternative to the pulse radiolysis of water in synthetic chemistry.
Water, which is the most versatile substance in nature, has attracted public and scientific interest in diverse fields, such as biology, physics, chemistry and materials science, because of its ecological and economic importance for life1,2,3,4. Following nature’s chemical lead, considerable efforts have focused on using water as a solvent in synthetic organic chemistry for the development of practical reactions5,6,7,8. Although the use of water as the solvent in organic reactions has been restricted by hydrolysis reactions9,10, the discovery of Diels-Alder reactions11 triggered the widespread use of water as an alternative solvent for replacing typical organic solvents, such as THF, toluene and alcohols, and for enhancing the rates and selectivities of reactions12,13,14. The myriad of uses of water in organic chemistry is attributed to the characteristic features of water, including its hydrophobic, hydrogen bonding and polarity effects, which accelerate electron transfer as one of the key processes in water-mediated reactions15,16.
The investigation of electron transfer in aqueous solutions was motivated by the discovery of solvated electrons during the pulse radiolysis of water, which is a well-established technique for the generation of electrons in water17,18. However, the short lifetime of solvated electrons and the generation of highly reactive radical species (e.g., ·OH, ·O2−, ·O2H, etc.) have hindered the widespread use of water in synthetic chemistry due to the degradation of both the reactivity and selectivity of the reactions19. Furthermore, the generation of excess electrons and radicals reduces selective electron transfer to organic substrates or induces over-reaction due to multiple electron transfer20. Thus, in water-mediated organic reactions, control over the electron transfer pathway is crucial for designing reactions with high yields and selectivities.
The development of chemoselective organic transformations is one of the most fundamental tasks in synthetic chemistry because it reduces material consumption, superfluous trimming and re-functionalization steps in reactions21,22. In particular, achieving chemoselectivity in water-mediated reactions by controlling the electron transfer pathway enables a single reactant to be transformed into structurally diverse products with different functionalities. However, the chemoselectivity of fundamental reactions in water, such as oxidation and reduction, has not been previously explored. Herein, we report chemoselective reactions both reduction and oxidation of 1,2-diketones in water by controlling the intermolecular electron transfer pathway with inorganic [Ca24Al28O64]4+∙4e− electrides.
Electrides are ionic crystals with cavity-trapped electrons that act as anions23. The first electride was synthesized in 1983 using crown ethers and solvated electrons in alkali-ammonia solutions to provide precursors for anionic electrons24. Because the organic electrides were chemically and thermally unstable and decomposed in ambient conditions, their applications for synthetic chemistry were limited25. In 2003, the first electride stable at room temperature was synthesized using the inorganic complex oxide 12CaO·7Al2O3 to form [Ca24Al28O64]4+∙2O2−, which has a positively charged [Ca24Al28O64]4+ framework composed of 12 subnanometer-sized cages and two O2− ions as counteranions26. Because of the anionic electrons, the [Ca24Al28O64]4+∙4e− electride exhibited unique properties, such as improved electron transfer performance due to its low work function (~2.4 eV)27 and transformation to a molten state at 1873 K while maintaining the solvated electrons28. This inorganic electride has recently appeared in a new class of reagents that serves as electron generators in aqueous solutions, facilitating the pinacol coupling reaction of aldehydes29. One consequence of the reaction between the [Ca24Al28O64]4+∙4e− electride and water is that when electrides are dissolved in water, the anionic electrons that are loosely trapped in cavities can be released and directly transferred to the reactants, thus facilitating chemical reactions. Applying [Ca24Al28O64]4+∙4e− electrides to water-mediated chemoselective reactions of ketones, which are ubiquitous functional groups, can provide important insights into the fundamental roles of electrons in water-mediated synthetic organic reactions and a broad opportunity for producing diverse functional molecules.
Results and discussion
Figure 1 describes the strategy for realizing chemoselective oxidation and reduction reactions of ketones in water through controlling both the electron transfer pathway and the formation of different intermediates in each reaction. When the targeted electron acceptor is benzil 1a, which is the model substrate selected for incorporating an electron acceptor (such as a carbonyl moiety), the path of the reaction is primarily dependent on the type of catalysts and reagents being used30,31,32,33,34,35,36,37. In fact, either the oxidation or reduction reaction of benzil 1a can occur by using different reagents that completely alter the formation of intermediates to result in enediol 1aa” in reduction reactions and α-keto peroxide 1ab” in oxidation reactions (Fig. 1a). However, despite extensive research on the reaction of benzil with diverse electron transfer reagents and solvents, there was no success in utilizing both electron transfer pathways with one reagent in a highly selective manner. Furthermore, a selective reaction in the presence of water is difficult to achieve because of the vigorous water splitting reactions that occur between the excess electrons from the reagents and water. Nevertheless, as shown in Fig. 1b, it is hypothesized that the chemoselective reaction of benzil 1a in the presence of water is possible if the electrons are smoothly generated through a moderate cage-opening rate by the robustness of the [Ca24Al28O64]4+∙4e− electride in water, which diminishes the loss of electrons by water splitting. The solvated electrons would then react with different substances, such as benzil or O2, to selectively form the transient radicals (1aa’ or I). To realize our hypothesis, the [Ca24Al28O64]4+∙4e− electride, which is an electron-donating reagent that possesses moderate reactivity in water, was used because of its smooth electron release and the possible solvation of anionic electrons by water molecules.
Figure 1. Strategies for the chemoselective reduction and oxidation of 1,2-diketones using the [Ca24Al28O64]4+∙4e− electride.
(a) Previous reports on reduction and oxidation reactions of benzil via the electron transfer process. (b) Present work on the chemoselective reduction and oxidation of benzil using the [Ca24Al28O64]4+∙4e− electride. (c) Schematic illustration of the chemoselective reduction and oxidation of benzil by controlling the electron transfer pathway to benzil or O2 via the release of electrons from the [Ca24Al28O64]4+∙4e− electride via hydrolysis as well as the possible solvation of electrons by water molecules.
Figure 1c shows the details of our approach of using the [Ca24Al28O64]4+∙4e− electride to realize chemoselective reactions of benzil in water. In water-mediated reactions with the [Ca24Al28O64]4+∙4e− electride, water has two important roles: 1) releasing anionic electrons from the electrides and 2) acting as the medium for transferring the anionic electrons to electron acceptors. The cage structure of the [Ca24Al28O64]4+∙4e− electride slowly decomposes in water and forms a Ca-Al-O-OH gel as aluminous cement, leading to the release of anionic electrons. The released electrons are transferred to the appropriate electron acceptors, most likely through electron solvation by water molecules, which are aptly referred to as solvated electrons. During the reaction, we observed the evolution of hydrogen gas as a result of water splitting by electrons, which indicates that electrons are in proximity to water molecules. Because the formation of transient radicals is critical in determining the course of reactions and producing an intermediate, controlling the electron transfer pathway is the major concern. In the reduction reaction, benzil 1a accepts two electrons and then transforms into the enediol dianion 1aa’. In postulating the oxidation reaction, we intentionally involved oxygen molecules in the reaction to facilitate the formation of the superoxide radicals I.
Table 1 presents the results of the reduction reaction of benzil 1a, which was conducted under an inert argon atmosphere to prevent the incorporation of oxygen molecules in the reactions. Benzil 1a accepts two electrons from the [Ca24Al28O64]4+∙4e− electride and then transforms into the enediol dianion 1aa’. The resulting enediol dianion species may subsequently undergo protonation, affording an α-hydroxy ketone via keto-enol tautomerization. To identify the necessity of a proton source, we initially performed the reaction of benzil 1a with 1.0 equivalent of electride in water alone. However, no reaction occurred, most likely due to the poor solubility of benzil 1a in water (Table 1, entry 1), which prompted the use of co-solvent to improve the solubility of benzil 1a. We observed the reaction progress when deoxygenated THF-H2O (v/v = 1:1) was applied as a co-solvent to the reaction of benzil 1a with 1.0 equivalent of [Ca24Al28O64]4+∙4e− at 60 °C under an inert argon atmosphere. In this reaction, benzil 1a was reduced to benzoin 2a in low yield after 24 h (Table 1, entry 2). The use of an additional equivalent of electride led to a slight improvement in the reaction yield (Table 1, entry 3).
Table 1. Optimization of the chemoselective reduction of 1a using [Ca24Al28O64]4+∙4e− electride a.

A significant enhancement in the yield of 2a was achieved by replacing the THF-H2O co-solvent with MeOH-H2O co-solvent (Table 1, entry 4). This result is attributed to two reasons: 1) the difference in solvent polarity, which facilitates rapid electron transfer38, and 2) the difference in solvent acidity, which accelerates protonation of the products. A more polar solvent is expected to facilitate electron transfer because of the stronger coupling between molecules and the faster solvation response. Although the two solvents, MeOH and H2O, have similar pKa values (pKa of H2O = 15.7 and pKa of MeOH = 15.5), the more acidic MeOH molecule donates a proton and becomes a −OMe ion. Upon acid dissociation, the methoxide ion is stabilized by the solvation of H2O molecules, in which the positively charged H atoms move toward the methoxide ion solutes. This process makes MeOH more acidic than H2O, rendering MeOH a sufficient proton source in the reduction process.
When using alcohols in the co-solvent, the yield of product 2a increased in the following order of acidity and electron transfer rates39 (methanol > ethanol > isopropanol > tert-butanol) (Table 1, entries 4-7). Notably, the reaction time decreased as the MeOH-H2O volume ratio was changed from 1:1 to 1:3 (Table 1, entry 8). It is hypothesized that the increased polarity from the greater amount of water contributed to the acceleration of cage opening and donation of electrons from the electrides. Finally, in contrast to deoxygenated THF-H2O (v/v = 1:1) (Table 1, entry 3), the use of a partially oxygenated THF-H2O co-solvent yielded a small amount of benzoic acid 3a (Table 1, entry 9), which was identified by NMR spectroscopy. This result indicated that the oxidative cleavage reaction of benzil 1a should be investigated by introducing oxygen molecules as electron acceptors into the reaction. To verify the necessity of electrons in the reaction, we examined the reaction using [Ca24Al28O64]4+∙2O2− oxide, which is the precursor of the [Ca24Al28O64]4+∙4e− electride (Table 1, entry 10). No reaction took place, which strongly indicates that the electrons of the electride are essential for the reduction of 1,2-diketones. Furthermore, no reaction occurred in methanol, indicating that water is indispensable media to release and transfer the electrons via hydrolysis of cage structured [Ca24Al28O64]4+∙4e− electride (Table 1, entry 11).
Following the identification of benzoic acid 3a after using the partially oxygenated THF-H2O co-solvent, we changed the reaction atmosphere from inert argon gas to molecular oxygen as a terminal oxidant, which enabled an increase in the amount of oxygen molecules that was dependent upon the different solubilities of oxygen molecules in each solvent system. We initially performed the reaction of benzil 1a with 2.0 equivalents of electride in MeOH-H2O (v/v = 1:3) at 60 °C under an oxygen atmosphere and obtained benzoic acid 3a in 36% yield (Table 2, entry 1). The use of DMF, DMSO and MeCN solvent in water afforded benzoic acid 3a in moderate yields (up to 53%; Table 2, entries 2-4). The reaction was optimized using THF-H2O co-solvent, which provided the best yield (96%; Table 2, entries 5-7).
Table 2. Optimization of the oxidative cleavage of benzil 1a using the [Ca24Al28O64]4+∙4e− electride a .

Increasing the amount of THF in the co-solvent significantly improved the yield of benzoic acid 3a (Table 2, entries 5-7), albeit with longer reaction times (20 h). This improvement may be explained by the following two reasons: i) due to the higher solubility of O2 in THF (2.1 mM) compared to water (0.26 mM), the reaction is accomplished through an enhanced formation of superoxide radicals, or ii) decreasing the ratio of water in the co-solvent causes a reduction in polarity, which retards cage decomposition and electron release into the solvent. The slow generation of electrons and the reduced rate of molecular oxygen permeating into the co-solvent may minimize the probability of electron loss by reaction with O2 rather than water.
Based on the chemoselective reactions established above, we expanded the reaction scope to the diverse set of 1,2-diketone molecules listed in Table 3. In the reactions of the unsubstituted aromatic 1,2-diketones, both the reduction and oxidation reactions afforded the corresponding products in high yields (Table 3, entries 1 and 2). Additionally, both the reduction and oxidation reactions proceeded not only for the 1,2-diketones bearing electron-withdrawing substituents on the aryl ring (Table 3, entries 3 and 4) but also for other substrates bearing strong electron-donating substituents, such as -Me or -OMe groups (Table 3, entries 5, 6 and 7). This result indicates that this electride, which possesses a low work function, has great potential for use as a powerful reducing agent in chemical reactions.
Table 3. Reaction scopes of both the chemoselective reduction and oxidation reactions of 1,2-diketones using the [Ca24Al28O64]4+∙4e− electride a .

We also examined the feasibility of large-scale reactions using the [Ca24Al28O64]4+∙4e− electride in water to address the potential limitations of utilizing the [Ca24Al28O64]4+∙4e− electride in organic synthesis. For both the reduction and oxidation reactions, benzil 1a was used as shown in Fig. 2 on a 2.5 mmol scale (525 mg of benzil), which was 12.5 times greater than the amount used for the optimization. Notably, benzoin 2a and benzoic acid 3a were obtained in yields of 84% and 98%, respectively.
Figure 2.

Large-scale production of 2a and 3a using the [Ca24Al28O64]4+∙4e− electride.
Based on the experimental results, we propose mechanisms associated with electron transfer from the electrides in aqueous solutions. For the mechanism of the reduction process, two electrons from the [Ca24Al28O64]4+∙4e− electride are transferred to 1,2-diketone 1a. Consequently, two ketyl radical anions of 1,2-diketone are generated and quickly converted to enediol dianion 1aa’ via radical dimerization40. The use of a protic solvent allowed the enediol dianion to be protonated, thereby forming enediol intermediate 1aa” which undergoes tautomerization to form α-hydroxy ketone 2a.
In contrast to reduction, the oxidation reaction was a rather complex process. The oxidative cleavage reaction occurs in a two-step process. In contrast to the reduction reaction that occurs via direct electron transfer to benzil 1a, in the oxidation reaction, the electrons are firstly transferred to the oxygen molecule, generating superoxide radicals I41. These radical anions then react with benzil 1a, leading to the formation of α-peroxy ketone intermediate 1ab”.
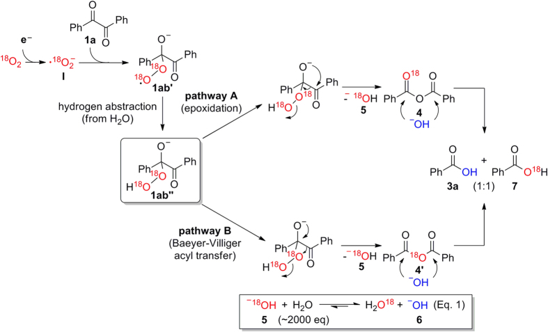
To obtain insight into the reaction mechanism for oxidation, we conducted 18O isotopic labeling experiments using 18O2 gas, which provides an integral part of the electron transfer pathway for the formation of carboxylic acids, as shown in Fig. 3. The superoxide radicals I was initially generated by the reaction between 18O2 and a single electron from the electride and then most likely transferred to 1a, affording α-keto peroxy radical anion 1ab’. Then, hydrogen abstraction from water occurred almost simultaneously to form α-keto peroxide 1ab”. Subsequently, two different 18O-labeled anhydrides, 4 and 4’, were formed via either epoxidation (pathway A) or the Baeyer-Villiger reaction with acyl group migration from α-keto peroxide 1ab”, with simultaneous release of 18O-labeled hydroxide ion 5 (pathway B). Presumably, the 18OH− ions rapidly exchanged protons with an extremely large amount of water to produce hydroxide ion (OH−) 6 according to Le Chatelier’s principle (Eq. 1). The nucleophilic attack of a hydroxide ion on the carbonyl carbon of 18O-labeled anhydrides 4 and 4’ produced 18O-labeled benzoic acid 7 and 16O-incorporated benzoic acid 3a in equal quantities.
Figure 3.
Proposed mechanism for the oxidative cleavage of 1,2-diketone utilizing using the [Ca24Al28O64]4+∙4e− electride via 18O isotopic labeling experiments.
To support the proposed mechanism, the resulting products (3a and 7) were subjected to gas chromatography-mass spectrometry (GC-MS) for isotopic analysis. The 16O and 18O compositions of the individual carboxylic acids were determined based on the relative abundances of mass peaks at m/z = 122 for 16O and m/z = 124 for 18O. As shown in Fig. 4, it is clear that the relative abundances of the isotopic masses for each product are identical to those of the isotopic masses. This result strongly suggests that oxygen molecules are incorporated into 1,2-diketone, producing carboxylic acids, which is initiated by the formation of superoxide radicals I.
Figure 4.
18O isotopic labeling results of the oxidative cleavage reaction of 1,2-diketone.
To expand the synthetic application of this selective fashion, we then investigated the regioselectivity in the reaction of unsymmetrical 1,2-diketone 1h with the electride (Fig. 5). The most favourable reduction site was the carbonyl adjacent to the electron-withdrawing substituted aromatic ring, showing the specific regioselectivity of the products in a >99: 1 ratio of 2h : 2h′.
Figure 5.

Regiospecific reduction of unsymmetrical 1,2-diketone.
Summary
The use of the [Ca24Al28O64]4+∙4e− electride, an exceptional electron source, allowed the first demonstration of chemoselective oxidation and reduction reactions with ketones in water. Transient radical formation was integral to the chemoselective success of the reactions, and the formed radical was dependent on either the presence of a proton source or an oxygen molecule in each electron transfer process. This proposed mechanism explains why the electron transfer process in water, which is omnipresent but often goes unnoticed, should be regarded as a critical mechanistic step for the formation of intermediate substances in chemical reactions. Additionally, this new methodology using the [Ca24Al28O64]4+∙4e− electride as a solid-state reducing agent in water may provide an alternative to the high-energy pulse radiolysis of water, in which it is not possible to realize these selective chemical reactions. Finally, the solvated electrons, which are extremely potent reducing agents, can be used for oxidation reactions when the electron pathway is controlled to form the proper transient intermediates according to the desired reaction conditions.
Methods
Typical procedure for reduction of benzil using C12A7:e −
In 20 mL vial, C12A7:e− (362 mg, 0.5 mmol) was added to solution of benzil (42 mg, 0.2 mmol) in 8 mL of EtOH:H2O (v/v = 1:3) co-solvent at room temperature. The reaction was vigorously stirred for 2 h, then quenched with 5% HCl solution, and extracted with EtOAc (3 × 2 mL). The combined organic layers were dried over MgSO4. The residue was purified by flash column chromatography on silica gel (hexanes/ethyl acetate = 4:1 to 2:1) to give benzoin (38 mg, 91% yield).
Typical procedure for oxidative cleavage reaction of benzil using C12A7:e −
In 20 mL vial, C12A7:e− (362 mg, 0.5 mmol) was added to solution of benzil (42 mg, 0.2 mmol) in 8 mL of THF:H2O (v/v = 1:1) co-solvent at room temperature. The reaction was vigorously stirred for 12 h, then quenched with 5% HCl solution, and extracted with EtOAc (3 × 2 mL). The combined organic layers were dried over MgSO4. The residue was purified by flash column chromatography on silica gel (hexanes/ethyl acetate = 4:1 to 1:1) to give benzoic acid (46 mg, 96% yield).
18 O-labelling experiments by GC/MS
The ratios of 16O16O, 16O18O and 18O18O were determined based on the intensities of mass peaks at m/z = 122, 124 and 126, analysed by a Varian GC-MS 4000 gas chromatograph equipped with mass spectrometer at room temperature.
Additional Information
How to cite this article: Kim, S. M. et al. Chemoselective reduction and oxidation of ketones in water through control of the electron transfer pathway. Sci. Rep. 5, 10366; doi: 10.1038/srep10366 (2015).
Acknowledgments
This work was supported by IBS-R011-D1, the National Research Foundation of Korea (NRF-2013R1A1A1008025 and NRF-2012M3A7B4049652), the Human Resources Development program (No. 20124010203270) of the Korea Institute of Energy Technology Evaluation and Planning (KETEP) grant funded by the Korea government Ministry of Trade, Industry and Energy, and by the Japan Science and Technology Agency ACCEL program.
Footnotes
Author Contributions S.W.K. and J.W.Y. organized the research. S.M.K. and H.S.Y. carried out the experiments. All the authors contributed to the design of the experiments, the analysis of the data and editing of the manuscript.
References
- Brownstein K. R. & Tarr C. Importance of classical diffusion in NMR studies of water in biological cells. Phys. Rev. A 19, 2446 (1979). [Google Scholar]
- Chaplin M. Do we underestimate the importance of water in cell biology? Nat. Rev. Mol. Cell Biol. 7, 861–866 (2006). [DOI] [PubMed] [Google Scholar]
- Conti Nibali V. & Havenith M. New Insights into the Role of Water in Biological Function: Studying Solvated Biomolecules Using Terahertz Absorption Spectroscopy in Conjunction with Molecular Dynamics Simulations. J. Am. Chem. Soc. 136, 12800–12807 (2014). [DOI] [PubMed] [Google Scholar]
- Sun T., Lin F.-H., Campbell R. L., Allingham J. S. & Davies P. L. An Antifreeze Protein Folds with an Interior Network of More Than 400 Semi-Clathrate Waters. Science 343, 795–798 (2014). [DOI] [PubMed] [Google Scholar]
- Chanda A. & Fokin V. V. Organic synthesis “on water”. Chem. Rev. 109, 725–748 (2009). [DOI] [PMC free article] [PubMed] [Google Scholar]
- Li C.-J. & Chen L. Organic chemistry in water. Chem. Soc. Rev. 35, 68–82 (2006). [DOI] [PubMed] [Google Scholar]
- Butler R. N. & Coyne A. G. Water: Nature’s Reaction Enforcer—Comparative Effects for Organic Synthesis “In-Water” and “On-Water”. Chem. Rev. 110, 6302–6337 (2010). [DOI] [PubMed] [Google Scholar]
- Simon M.-O. & Li C.-J. Green chemistry oriented organic synthesis in water. Chem. Soc. Rev. 41, 1415–1427 (2012). [DOI] [PubMed] [Google Scholar]
- Kolb H. C., VanNieuwenhze M. S. & Sharpless K. B. Catalytic Asymmetric Dihydroxylation. Chem. Rev. 94, 2483–2547 (1994). [Google Scholar]
- Tokunaga M., Larrow J. F., Kakiuchi F. & Jacobsen E. N. Asymmetric catalysis with water: efficient kinetic resolution of terminal epoxides by means of catalytic hydrolysis. Science 277, 936–938 (1997). [DOI] [PubMed] [Google Scholar]
- Breslow R., Maitra U. & Rideout D. Selective diels-alder reactions in aqueous solutions and suspensions. Tetrahedron Lett. 24, 1901–1904 (1983). [Google Scholar]
- Chen G. M., Ramachandran P. V. & Brown H. C. The Critical Importance of Water in the Asymmetric Allylboration of N‐Trimethylsilylbenzaldimines with B‐Allyldiisopinocampheylborane. Angew. Chem. Int. Ed. 38, 825–826 (1999). [DOI] [PubMed] [Google Scholar]
- Wu X. et al. On Water and in Air: Fast and Highly Chemoselective Transfer Hydrogenation of Aldehydes with Iridium Catalysts. Angew. Chem. Int. Ed. 45, 6718–6722 (2006). [DOI] [PubMed] [Google Scholar]
- Verma A. K. et al. On Water: Silver-Catalyzed Domino Approach for the Synthesis of Benzoxazine/Oxazine-Fused Isoquinolines and Naphthyridines from o-Alkynyl Aldehydes. J. Org. Chem. 78, 6657–6669 (2013). [DOI] [PubMed] [Google Scholar]
- Gray H. B. & Winkler J. R. Electron flow through proteins. Chem. Phys. Lett. 483, 1–9 (2009). [DOI] [PMC free article] [PubMed] [Google Scholar]
- Tezcan F. A., Crane B. R., Winkler J. R. & Gray H. B. Electron tunneling in protein crystals. Proc. Natl. Acad. Sci. U. S. A. 98, 5002–5006 (2001). [DOI] [PMC free article] [PubMed] [Google Scholar]
- Garrett B. C. et al. Role of water in electron-initiated processes and radical chemistry: Issues and scientific advances. Chem. Rev. 105, 355–390 (2005). [DOI] [PubMed] [Google Scholar]
- Bielski B. H., Cabelli D. E., Arudi R. L. & Ross A. B. Reactivity of HO2/O2− radicals in aqueous solution. J. Phys. Chem. Ref. Data 14, 1041–1100 (1985). [Google Scholar]
- Garrison W. M. Reaction mechanisms in the radiolysis of peptides, polypeptides, and proteins. Chem. Rev. 87, 381–398 (1987). [Google Scholar]
- Land E. J., Mukherjee T., Swallow A. J. & Bruce J. M. Reduction of the naphthazarin molecule as studied by pulse radiolysis. Part 1.-Addition of a single electron. J. Chem. Soc., Faraday Trans. 1 79, 391–404 (1983). [Google Scholar]
- Shenvi R. A., O’Malley D. P. & Baran P. S. Chemoselectivity: The Mother of Invention in Total Synthesis. Acc. Chem. Res. 42, 530–541 (2009). [DOI] [PMC free article] [PubMed] [Google Scholar]
- Szostak M., Spain M. & Procter D. J. Recent advances in the chemoselective reduction of functional groups mediated by samarium(ii) iodide: a single electron transfer approach. Chem. Soc. Rev. 42, 9155–9183 (2013). [DOI] [PubMed] [Google Scholar]
- Dye J. L. Electrides: Early Examples of Quantum Confinement. Acc. Chem. Res. 42, 1564–1572 (2009). [DOI] [PubMed] [Google Scholar]
- Ellaboudy A., Dye J. L. & Smith P. B. Cesium 18-crown-6 compounds. A crystalline ceside and a crystalline electride. J. Am. Chem. Soc. 105, 6490–6491 (1983). [Google Scholar]
- Kuchenmeister M. E. & Dye J. L. Synthesis and structures of two thermally stable sodides with the macrocyclic complexant hexamethyl hexacyclen. J. Am. Chem. Soc. 111, 935–938 (1989). [Google Scholar]
- Matsuishi S. et al. High-Density Electron Anions in a Nanoporous Single Crystal: [Ca24Al28O64]4+(4e−). Science 301, 626–629 (2003). [DOI] [PubMed] [Google Scholar]
- Toda Y. et al. Work Function of a Room-Temperature, Stable Electride [Ca24Al28O64]4+(e–)4. Adv. Mater. 19, 3564–3569 (2007). [Google Scholar]
- Kim S. W., Shimoyama T. & Hosono H. Solvated Electrons in High-Temperature Melts and Glasses of the Room-Temperature Stable Electride [Ca24Al28O64]4+⋅4e−. Science 333, 71–74 (2011). [DOI] [PubMed] [Google Scholar]
- Buchammagari, et al. Room Temperature-Stable Electride as a Synthetic Organic Reagent: Application to Pinacol Coupling Reaction in Aqueous Media. Org. Lett. 9, 4287–4289 (2007). [DOI] [PubMed] [Google Scholar]
- Langer R., Leitus G., Ben-David Y. & Milstein D. Efficient Hydrogenation of Ketones Catalyzed by an Iron Pincer Complex. Angew. Chem. Int. Ed. 50, 2120–2124 (2011). [DOI] [PubMed] [Google Scholar]
- Yıldız T., Çanta N. & Yusufoğlu A. Synthesis of new chiral keto alcohols by baker’s yeast. Tetrahedron: Asymmetry 25, 340–347 (2014). [Google Scholar]
- Casadei Maria A. Reactivity of the Electrogenerated O2−/CO2 System Towards Alcohols. Eur. J. Org. Chem. 2001, 1689–1693 (2001). [Google Scholar]
- Sawyer D. T., Stamp J. J. & Menton K. A. Reactivity of superoxide ion with ethyl pyruvate, .alpha.-diketones, and benzil in dimethylformamide. J. Org. Chem. 48, 3733–3736 (1983). [Google Scholar]
- Tachikawa Y., et al. Aerobic photooxidative cleavage of 1,3-diketones to carboxylic acids using 2-chloroanthraquinone. Tetrahedron Lett. 54, 6218–6221 (2013). [Google Scholar]
- Bao W., Zhang Y. & Qi S. SmI2-Induced Asymmetric Reduction of Benzil in the Presence of Chiral Surfactant. Synth. Commun. 24, 2437–2440 (1994). [Google Scholar]
- Khurana J. M., Bansal G., Kukreja G. & Pandey R. R. Pinacol Formation and Reduction of Aromatic Carbonyls with Magnesium–Methanol at Ambient Temperature. Monatsh. Chem./ Chem. Mon. 134, 1365–1371 (2003). [Google Scholar]
- Lin W. et al. Selective reduction of carbonyl groups in the presence of low-valent titanium reagents. Tetrahedron Lett. 55, 2238–2242 (2014). [Google Scholar]
- Maroncelli M., Macinnis J. & Fleming G. R. Polar Solvent Dynamics and Electron-Transfer Reactions. Science 243, 1674–1681 (1989). [DOI] [PubMed] [Google Scholar]
- Bietti M., Baciocchi E. & Engberts J. B. F. N. Rate-determining electron-transfer reactions in highly aqueous alcohol-water mixtures. A quantitative analysis of solvent effects on the oxidation of 4-methoxyphenylacetate by potassium 12-tungstocobaltate(III). Chem. Commun. 1307–1308 (1996). [Google Scholar]
- Meunier-Prest R., Laviron E., Gaspard C. & Raveau S. The reduction mechanism of the CO group.: Part 3. The electrochemical reduction of benzil in aqueous medium. Electrochim. Acta 46, 1847–1861 (2001). [Google Scholar]
- Saito I., Matsuura T. & Inoue K. Formation of superoxide ion via one-electron transfer from electron donors to singlet oxygen. J. Am. Chem. Soc. 105, 3200–3206 (1983). [Google Scholar]



