Abstract
Both the localized resonance and excitation of spoof surface plasmon polaritons are observed in the terahertz transmission spectra of periodic subwavelength hole arrays. Analyzing with the coupled oscillator model, we find that the terahertz transmission is actually facilitated by three successive processes: the incident terahertz field first initiates the localized oscillation around each hole, and then the spoof surface plasmon polaritons are excited by the localized resonance, and finally the two resonances couple and contribute to the transmission. Tailoring the localized resonance by hole size, the coupling strength between spoof surface plasmon polaritons and localized resonances is quantitatively extracted. The hole size dependent transmittance and the coupling mechanism are further confirmed by fitting the measured spectra to a modified multi-order Fano model.
Plasmonic devices fabricated in metal-based surface convert the energy from photons to oscillating electrons, e.g. Surface Plasmon Polaritons (SPPs)1,2,3,4. As SPPs can be excited in artificial materials and tailored by geometric configurations, plasmonic devices are flexibly integrated into an instrument on-chip that is versatile, miniature, and easy to be manufactured. At terahertz (THz) frequencies, although SPPs are weakly bounded to the metal-dielectric interface due to the fact that metals behave as a near perfect electric conductor (PEC), spoof SPPs can be achieved by introducing surface configurations. Pendry and Hibbins et al. have demonstrated that the dispersion of the spoof SPPs could be tailored by both hole size and periodicity on PECs5,6. Two different resonances, i.e., localized resonance depending on the hole size and spoof SPP (abbreviates to SPP hereinafter) resonance arising from the surface periodicity, were considered as contributors to the THz transmission through periodic arrays of subwavelength holes7. THz transmission in random subwavelength hole arrays was also investigated and the resonance frequencies determined only by the hole sizes was observed8. By changing the hole length, the dominant resonant transmission mechanism from localized resonance to excitation of surface waves and vice versa was tuned9. Though the localized resonance and SPP resonance are deemed to be the mechanisms leading to THz transmission through subwavelength hole arrays, their mode nature and quantitative analysis to their relation still remain unexplored.
Characterized by asymmetric line shapes, which is configured by the constructive and destructive interactions between broad continuum state and narrow discrete resonances10,11,12, Fano interferences are commonly found in the ionization of atoms13, quantum transports14 and plasmonic nanostructures15. THz transmission through subwavelength hole arrays also shows asymmetric resonances with Fano profile, which was explained by the interaction between the continuum nonresonant transmission and SPP resonance16 while the contribution from localized resonance was ignored. Lacking of further information on the detailed physical processes behind the THz transmission, especially the excitation mechanism of each mode, the analysis with Fano model is restricted. Alternatively, the coupled oscillator model provides an intuitive and quantitative method to investigate the original nature of Fano coupling between the localized resonance and SPP resonance17,18, and also their interactions with the external electromagnetic waves, which opens a door for the in-depth exploration on the THz transmission through subwavelength hole arrays.
In this study, THz transmission through random and periodic rectangular hole arrays are measured to discriminate and attribute the contributions from localized resonance and SPP resonance, respectively. Based on the analysis of the coupled oscillator model, the physical mechanism behind the THz transmission through subwavelength periodic hole arrays is fundamentally revealed: the localized resonance acts as the dominant role for harvesting the incident THz waves, then excites the SPP resonance and finally the two resonances couple to facilitate the THz transmission. The quantitative analysis manifests that the strong coupling between SPP and localized resonances can be realized by tailoring the hole size to align the two resonances, which is essentially caused by the variation of the localized resonance for different hole sizes. Also, the hole size dependent asymmetry of the Fano coupling is characterized by the modified multi-order Fano model. The consistent quantitative analysis derived from the two models verifies the excitation of the resonance modes and coupling mechanism of the THz transmission through periodic subwavelength hole arrays. The application of the coupled oscillator model in THz domain also can be utilized in other frequency regimes.
Results and Discussion
The random and periodic rectangular hole arrays for our experimental studies are illustrated in Fig. 1. The subwavelength hole arrays are perforated in an aluminum film deposited on a 640 μm-thick silicon substrate. The thickness of the aluminum film is 200 nm which is much thicker than the THz skin depth. The length in the x direction of the holes (Lx) fixes at 100 μm, while the length in the y direction (Ly) varies from 60 μm to 120 μm at an interval of 20 μm. For periodic hole arrays, the x and y direction have the same periodicity P of 240 μm. The corresponding random hole arrays hold an effective period (EP) equaling to P, which maintains the same hole sizes and filling factors as the periodic samples.
Figure 1.
Microscopic images of the periodic hole arrays with Px = Py = 240 μm, Lx=100 μm, Ly = 60 μm (a), 80 μm (b), 100 μm (c) and 120 μm (d), and the corresponding random hole arrays with the same hole size and filling factors (e–h).
A standard THz time-domain spectroscopy (THz-TDS) system19 is used to measure the transmission spectra at normal incidence under nitrogen environment. The THz radiation is generated by a photoconductive antenna driven by ultrafast laser pulses (70 fs duration, 800 nm central wavelength and 80 MHz repetition rate) and detected by a <110> ZnTe crystal. The transmission spectra of the random hole arrays (dash lines) of varying Ly with different hole orientations, i.e. E//Lx and E//Ly, are displayed in Fig. 2(a,b), respectively. The broad resonances of the random hole arrays can be regarded as the multiple individual hole resonances, i.e., localized resonance related to the hole shape8, which basically reflects the behavior of the localized charge oscillation around a single hole. The central frequency ω0 of the localized resonance and the normalized enhancement factor TN obtained by dividing the maximum transmission by the filling factor FF = LxLy/P2 are illustrated in Fig. 2(c,d). As the size Lyincreases, for E//Lx, ω0 shows significant red-shift but TN remains almost unchanged; for E//Ly, however, ω0 does not shift too much but TN proportionally decreases (the fluctuation in the data may come from the limited numbers of random holes covered by the incident THz beam with a moderate diameter of 4 mm). The dependence of ω0 and TN on hole sizes agrees well with previous reports in refs 8, 20, 21: ω0 is determined by the hole length perpendicular to the E-field, and TN is dependent on the hole length parallel to the E-field. The spectra of the periodic hole arrays overlapping with the corresponding spectra of the random samples are also shown in Fig. 2(a,b). Regardless of hole orientations, several narrow resonances superimposing on the broad spectra of random arrays indicate the feature of multi order SPP modes. The theoretical values of SPP resonance frequencies for the [0, 1] and [1, 1] modes, which are marked by the vertical lines, are always higher than the measured peak frequencies. The sharp resonant peaks also show a stronge asymmetry in the vicinity of ω0. All these observations manifest the Fano coupling between the SPP resonance and broad localized resonance22.
Figure 2.
Measured transmission spectra of the periodic (solid lines) and random (dash lines) hole arrays with Lx = 100 μm and different Ly for E//Lx (a) and E//Ly (b). For clarification, the transmission spectra with different Ly are vertically shifted by 0.2 (80 μm), 0.4 (100 μm) and 0.6 (120 μm). The localized resonance frequency ω0 (c) and normalized enhancement factor TN(d) obtained from the measured spectra of the random hole arrays with different Ly and hole orientations. The theoretical values of the SPP resonance frequencies of the [0, 1] and [1, 1] modes are indicated in (a,b) with vertical solid lines, and in (c) with horizontal dashed lines.
The coupled oscillator model
To reveal further details about the excitation of different modes and the interaction among them, a coupled oscillator model is set up (see Fig. 3(a)). For simplicity, it is assumed that only two SPP modes (with resonance frequency ω1, ω2) closest to the localized resonance frequency (ω0) are taken into account, and no coupling occurs between the SPP modes. The localized resonance mode, SPP [0, 1] and [1, 1] modes are all regarded as classical oscillators and denoted by 0, 1 and 2, respectively. The coupling between the SPP modes and localized resonance is denoted by the coupling coefficients g1 and g2. It is supposed that all the three modes could be excited by accepting energy from the incident THz field directly, and the efficiency is described by a coefficient αn(n = 0, 1, 2). Therefore, the equations of motion can be expressed as follows,
Figure 3.
(a) Schematic of coupled oscillator model. The oscillators correspond to the localized resonance (x0), SPP [0, 1] (x1) and SPP [1, 1] (x2) modes. (b) Fano process with a localized resonance (continuum state), SPP [0, 1] and [1, 1] modes (discrete states), excited by the incident THz field. ω0, ω1 and ω2 are the resonance frequencies, γ0, γ1 and γ2 are the damping rates, α0, α1 and α2 represent the excitation efficiencies, F is the external field, g1 and g2 are the coupling coefficients.
![]() |
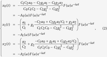
In the equations, xnrepresents the amplitude of the charge oscillation for each mode, which takes harmonic form as
, and A(ω) is the complex amplitude in the frequency domain. F(ω)e-iωt represents the external field exerting on the oscillators time-harmonically. γnstands for the damping rate of each mode. A group of special solutions of the Eq. (1) is obtained straightforward as follows,
![]() |
where
. For the spectral amplitudes A1(ω) and A2(ω), the first term (in brackets) produces a Lorentzian oscillation strongly associated with α1 and α2, and represents the probability excited directly by the incident field; the second term describes the Fano resonance resulted from the coupling between the SPP modes and localized resonance mode. The THz transmission through subwavelength holes is attributed to the reemission of the resonance modes, whose radiating efficiency is proportional to the second derivative of the replacement of the charge
, and the frequency domain counterparts can be expressed by
. F(ω) can be regarded as the frequency spectrum of reference signal measured in THz-TDS experiments. After dividing expressions of Xn(ω) from Eq. (2) by F(ω), like the ordinary treatment made in the THz-TDS analysis, the measured transmission spectra can be fitted by the following equation,
![]() |
In fitting processes, the SPP resonance frequency for each mode is taken from the theoretical calculation: ω1/2π = 0.37 THz, ω2/2π = 0.517 THz; initial values of γ0, ω0 and α0 (listed in supplementary material) are obtained independently by fitting the measured transmission spectra of random hole arrays, while A1(ω) and A2(ω) in Eq. (3) are set to be zero. To get better fitted results, both the values of γ1 and γ2 are set to be 0.067 ± 0.003 THz.
The transmission spectra described by Eq. (3) using fitted coefficients are shown in Fig. 4(a,b), which agree well with the measurements in the vicinity of the resonant frequencies. With the fitted transmission spectra, we first realize the quantitative analysis of the efficiency of each mode excited by the external E-field. The fitted values of α1 and α2 are listed in Table 1 (the fitted values of other parameters are listed in Supplementary Table SI online). For all fitted results from different samples, α1 and α2 are at least two orders of magnitude smaller than α0. It tells that the efficiency of the SPP modes directly excited by the external E-field is much less than that of the localized resonance mode. In fact, the direct excitation of the SPP modes by incident THz waves is virtually prohibited. To further check this issue, we set α1 = α2 = 0, and the transmission is simplified as
Figure 4.

Fitted (solid lines) and measured (open dots) transmission spectra of the periodic hole arrays superimpose the fitted transmission spectra of the random hole arrays (dashed lines) with different Ly for E//Lx (a) and E//Ly (b). For clarification, the transmission spectra with different Ly are vertically shifted by 0.2 (80 μm), 0.4 (100 μm) and 0.6 (120 μm). Extracted coupling coefficient g1, g2 (c) and measured transmission modulation M1, M2 (e) dependent on hole size for E//Lx; g1, g2 (d) and M1, M2 (f) for E//Ly.
Table 1. Extracted parameter αn (n = 0, 1, 2) from the fitted transmission spectra in Fig. 4(a,b).
| α0 | α1 | α2 | ||
|---|---|---|---|---|
| E//Lx | 60 μm | 0.11 | 2.7e-3 | 3.7e-3 |
| 80 μm | 0.193 | 3.1e-3 | 7.3e-4 | |
| 100 μm | 0.192 | 3.0e-3 | 2.5e-4 | |
| 120 μm | 0.201 | 1.6e-3 | 2.2e-14 | |
| E//Ly | 60 μm | 0.118 | 5.0e-14 | 2.0e-14 |
| 80 μm | 0.161 | 2.0e-3 | 3.3e-7 | |
| 100 μm | 0.192 | 3.0e-3 | 2.5e-4 | |
| 120 μm | 0.208 | 5.5e-3 | 4.2e-3 |
![]() |
Comparing to the results using fitted finite values of α1 and α2, we find that the change of fitted transmission spectra described by Eq. (4) is almost indistinguishable (see Supplementary Fig. S1 online), which verifies that the SPP modes are not excited by the external E-field directly. Instead, SPPs have to be excited by the localized resonance through energy transfer process. We also analyze the transmission with varying α1, α2 values comparable to that of α0, and the impact weight of the SPP modes gets stronger with increasing α1 and α2, which manifests the situation in the optical transmission through subwavelength hole arrays (see Supplementary Fig. S2 online).
After clarifying the mechanism of THz transmission through subwavelength hole arrays, we can find more evidence via quantitative analyzing the coupling between the SPP resonance and localized resonance. Since the SPP mode is excited from the localized resonance mode, it is natural that when the two modes get closer, more energy of the localized resonance mode can be transferred to the SPP mode, and more likely the coupling will occur. Therefore, the change of the localized resonance with different hole sizes should essentially lead to the varying feature of the coupling in the periodic hole arrays. To verify our inference, we first extract the coupling coefficient gn(n = 1, 2 for gn) from the fitted transmission spectra, which is shown in Fig. 4(c,d) with error bar. Here gn is taken as the mean value of different fittings with varying initial values, including the fittings with Eqs (3) and (4), and the error bar indicates the standard deviation. Except the scattered values of g1 for Ly = 60 μm and E//Lx, due to the weak coupling, the fluctuation of gn is quite small, which means our fittings are reliable and robust, and the simplification of Eq. (4) is also verified. With increasing Ly, g1 and g2 both increase monotonically for E//Lx but keep less changed for E//Ly. Associated with the spectra of the localized resonance, it is obvious that the variation of the coupling strength is greatly influenced by the variation of the localized resonance. This fact coincides with the coupling mechanism. For E//Lx, as Ly increases, the localized resonance frequency ω0 undergoes red-shift and approaches resonant frequencies of the SPP modes, which results in the stronger excitation of the SPP resonance and then the stronger coupling between the SPP and localized resonance modes. Also, since the SPP [0, 1] mode holds the same resonant direction with E-field of localized resonance mode, the coupling strength of the SPP [0, 1] mode is stronger than SPP [1, 1] mode intrinsically. Accordingly, g1 exceeds g2 with Ly = 120 μm, E//Lx, as the localized resonance frequency ω0 sits between ω1 and ω2. On the other hand, the modulation of the transmission enhancement and suppression, which induced by constructive and destructive interference between SPP modes and localized resonance, also correlates to the coupling strength. We measure the modulation range Mn (the difference between the maximum and minimum values, and n = 1, 2 for Mn) around each SPP mode from the transmission difference spectrum of the periodic and random hole arrays (See Fig. S3). As shown in Fig. 4(e,f), the variation of Mn dependent on hole size is consistent with that of the coupling coefficient gn, which is another support verifying the mechanism we mentioned. Now it is confirmed that the coupling strength is mainly affected by the localized resonance frequency shift tuned by the hole size. By optimizing the hole size, the SPP and localized resonance modes can be coincided to produce stronger coupling.
The Fano model
As the Fano coupling plays a pivotal role in the THz transmission, to reconfirm our conclusions initiated from the coupled oscillator model, we analyze the THz transmittance through subwavelength hole arrays with the Fano model10. The narrow SPP modes and the broad localized resonance mode act as discrete states and continuum state, respectively (see Fig. 3(b)). As the Fano model describes the energy relation, the modified multi-order Fano model as follows has been applied to fit the transmittance spectra of the periodic hole arrays (see the details in the Method section):
![]() |
where tris the background transmittance from the random hole arrays,
(n = 1, 2 in Fano model), ωn and Γn denote the resonance frequency and linewidth for each SPP mode, respectively. The weighting factor cn represents the contribution to the THz transmission from each coupled SPP mode. The asymmetry parameter qn represents the ratio of the transition probabilities to the SPP resonance and localized resonance. The asymmetry of spectra around the SPP modes is determined by qn and cn together: the former depicts the line shape and the latter adjusts the magnitude.
The experimental transmittance spectra of the periodic hole arrays in the vicinity of SPP resonance frequencies of the [0, 1] and [1, 1] modes are fitted by Eq. (5). Since the spectral features of different hole sizes under E//Ly are similar, we focus on the characters of the transmittance under E//Lx. As shown in Fig. 5(a), the Fano model fitted results (solid lines) agree well with the measurements data (open dots), and the spectrum asymmetry around SPP modes shows more and more distinct with increasing Ly. The cn extracted from the Fano model fitted results is shown in Fig. 5(b). As Ly increases, c1 increases monotonically while c2 increases slowly and even stops down when Ly reaches 120 μm. The increasing cn manifests that more coupled SPP mode contributes to the THz transmission with increasing Ly, which coincides with the change rules of coupling coefficient gn as we concluded. In addition, the asymmetry parameter |q| in Fano model are extracted. As shown in Fig. 5(c), as Ly increases, both |q1| and |q2| increase, which means that the ratio of the transition probabilities to the SPP resonance and localized resonance rises. Note that due to the non-uniform background from the localized resonance in our complex system, it is unlikely to obtain the absolute transition probability to the SPP resonance. Joint with the Fano model, the availability of the coupled oscillator model and the conclusions we discussed are evidenced.
Figure 5.
Fitted (solid lines) and measured (open dots) transmittance spectra of periodic hole arrays with different Ly for E//Lx(a). Extracted weighting factor cn (b) and asymmetry parameter qn (c) from the fitted results.
In summary, by comparing the THz transmission through random and periodic rectangular hole arrays, the contributions from localized resonance and SPP resonance are discriminated. With the coupled oscillator model, the physical mechanism of SPPs in THz transmission is revealed that the SPP resonance is excited by the localized resonance, and induces the THz transmission via coupling with the localized resonance. With quantitatively analysis, the stronger coupling can be achieved by tailoring the hole size to coincide the SPP and localized resonance modes. The applicability of the coupled oscillator model is also verified by the multi-order Fano model. This study will provide a theoretical guidance to the SPPs tailored by subwavelength structures and pave the way to developing plasmonic devices, for instance, sensors, absorbers and filters in the THz regime. Moreover, the analytical methods can also be extended to study the transmission enhancement in other wavelength regions.
Methods
Modified multi-order Fano model
As shown in ref. [14], the typical Fano curve can be represented by the function f(q; ε) as follows,
![]() |
where
, Esand Γs represent the energy and the spectra width of the discrete state, respectively; dimensionless q is the asymmetry parameter; |q| indicates the ratio of the transition probabilities to the discrete state and to the continuum state. Notice that the baseline of the Fano curve is normalized—it approaches 1 in the region away from the resonance center of the discrete state—if Γs is less than E and the values of |q| is not too large.
In our system, the discrete states, i.e. the SPP modes, are excited by the continuum state, i.e. the localized resonance mode. Since the Fano model describes the energy relation, the transmittance spectra are utilized in the fitting. By substituting
in Eq. (6), with the assistant background transmittance tr from the random hole arrays, the transmittance of the periodic hole arrays can be expressed by the multi-order Fano model as follows:
![]() |
where
, ωn is the resonance frequency, Γn is the linewidth, qn is the asymmetry parameter and cn is the weighting factor for each SPP mode. Here, cn will not only modify the magnitude of f(qn; εn), but also shift the baseline from 1 to cn. As a result, the term of the sum in Eq. (7) will shift the baseline away from tr(ω) with an additional value of
, which is unexpected and needs to be corrected. By subtracting the additional value, we finally derive the modified multi-order Fano model [Eq. (5) in the main body] as follows:
![]() |
This model is also valid for the situation that more than two discrete states couple to a continuum state, as long as the background profile from the continuum state is provided.
Additional Information
How to cite this article: Yin, S. et al. Spoof surface plasmon polaritons in terahertz transmission through subwavelength hole arrays analyzed by coupled oscillator model. Sci. Rep. 5, 16440; doi: 10.1038/srep16440 (2015).
Supplementary Material
Acknowledgments
This work is supported by the National Basic Research Program of China under Grant No. 2014CB339800, the National Natural Science Foundation of China (Grant Nos. 11374358, 61205098, 61302014, 61404171, 61404162, 11374240), and the Scientific Research Equipment Project of Chinese Academy of Sciences under Grant No. YZ201447.
Footnotes
Author Contributions S.Y. performed the measurements and data processing, conceived the theoretical analysis, and drafted the initial manuscript; X.L. initializes the idea, designed the samples, conceived the experiments and contributed to the manuscript preparation; N.X. and W.Z. contributed to sample fabrication; Y.E. and X.P. contributed to the measurements; X.L., S.W., X.X. and L.W. provided the funding support; H.L. and L.C. discussed the results; L.W. supervised the whole work and contributed to the manuscript preparation. All authors discussed the results and accomplished the paper together.
References
- Liu J. S. Q., Pala R. A., Afshinmanesh F., Cai W. & Brongersma M. L. A submicron plasmonic dichroic splitter. Nat. Commun. 2, 525 (2011). [DOI] [PubMed] [Google Scholar]
- Zhao Y. & Alù A. Tailoring the dispersion of plasmonic nanorods to realize broadband optical meta-waveplates. Nano Lett. 13, 1086–1091 (2013). [DOI] [PubMed] [Google Scholar]
- Gao N., Li H., Zhu X., Hua Y. & Xie C. Quasi-periodic gratings: diffraction orders accelerate along curves. Opt. Lett. 38, 2829–2831 (2013). [DOI] [PubMed] [Google Scholar]
- Yang A. et al. Real-time tunable lasing from plasmonic nanocavity arrays. Nat. Commun. 6, 6939 (2015). [DOI] [PMC free article] [PubMed] [Google Scholar]
- Pendry J. B., Martin-Moreno L. & Garcia-Vidal F. J. Mimicking surface plasmons with structured surfaces. Science 305, 847–848 (2004). [DOI] [PubMed] [Google Scholar]
- Hibbins A. P., Evans B. R. & Sambles J. R. Experimental verification of designer surface plasmons. Science 308, 670–672 (2005). [DOI] [PubMed] [Google Scholar]
- Ruan Z. & Qiu M. Enhanced Transmission through Periodic Arrays of Subwavelength Holes: The Role of Localized Waveguide Resonances. Phys. Rev. Lett. 96, 233901 (2006). [DOI] [PubMed] [Google Scholar]
- Lee J. et al. Terahertz Electromagnetic Wave Transmission through Random Arrays of Single Rectangular Holes and Slits in Thin Metallic Sheets. Phys. Rev. Lett. 99, 137401 (2007). [DOI] [PubMed] [Google Scholar]
- Miyamaru F. & Takeda M. Coupling between localized resonance and excitation of surface waves in metal hole arrays. Phys. Rev. B 79, 153405 (2009). [Google Scholar]
- Fano U. Effects of Configuration Interaction on Intensities and Phase Shifts. Phys. Rev. 124, 1866–1878 (1961). [Google Scholar]
- Miroshnichenko A. E., Flach S. & Kivshar Y. S. Fano resonances in nanoscale structures. Rev. Mod. Phys. 82, 2257–2298 (2010). [Google Scholar]
- Rahmani M., Luk’yanchuk B. & Hong M. Fano resonance in novel plasmonic nanostructures. Laser Photonics Rev. 7, 329–349 (2013). [Google Scholar]
- Fano U. On the absorption spectrum of noble gases at the arc spectrum limit. Nuovo Cimento 12, 154–161 (1935). [DOI] [PMC free article] [PubMed] [Google Scholar]
- Kohler S., Lehmann J. & Hänggi P. Driven quantum transport on the nanoscale. Phys. Rep. 406, 379–443 (2005). [Google Scholar]
- Giannini V., Francescato Y., Amrania H., Phillips C. C. & Maier S. A. Fano resonances in nanoscale plasmonic systems: a parameter-free modeling approach. Nano Lett. 11, 2835–2840 (2011). [DOI] [PubMed] [Google Scholar]
- Han J., Azad A. K., Gong M., Lu X. & Zhang W. Coupling between surface plasmons and nonresonant transmission in subwavelength holes at terahertz frequencies. Appl. Phys. Lett. 91, 071122 (2007). [Google Scholar]
- Lovera A., Gallinet B., Nordlander P. & Martin O. J. F. Mechanisms of Fano Resonances in Coupled Plasmonic Systems. ACS Nano 7, 4527–4536 (2013). [DOI] [PubMed] [Google Scholar]
- Kim K.-H., Kim S.-H. & Bae M.-C. Fano resonance by dipole–hexapole coupling in a χ-shaped plasmonic nanostructure. Appl. Opt. 54, 2710–2714 (2015). [DOI] [PubMed] [Google Scholar]
- Shi Y. et al. Ultrafast carrier dynamics in Au∕GaAs interfaces studied by terahertz emission spectroscopy. Appl. Phys. Lett. 88, 161109 (2006). [Google Scholar]
- Degiron A., Lezec H. J., Yamamoto N. & Ebbesen T. W. Optical transmission properties of a single subwavelength aperture in a real metal. Opt. Commun. 239, 61–66 (2004). [Google Scholar]
- García-Vidal F. J., Moreno E., Porto J. A. & Martín-Moreno L. Transmission of Light through a Single Rectangular Hole. Phys. Rev. Lett. 95, 103901 (2005). [DOI] [PubMed] [Google Scholar]
- Genet C., van Exter M. P. & Woerdman J. P. Fano-type interpretation of red shifts and red tails in hole array transmission spectra. Opt. Commun. 225, 331–336 (2003). [Google Scholar]
Associated Data
This section collects any data citations, data availability statements, or supplementary materials included in this article.












