Abstract
3,3′,4,4′,5-Pentachlorobiphenyl (PCB126), a dioxin-like polychlorinated biphenyl (PCB) and a potent aryl hydrocarbon receptor (AhR) agonist, is implicated in the disruption of both carbohydrate and lipid metabolism which ultimately leads to wasting disorders, metabolic disease, and nonalcoholic fatty liver disease. However, the mechanisms are unclear. Because liver is the target organ for PCB toxicity and responsible for metabolic homeostasis, we hypothesized that early disruption of glucose and lipid homeostasis contributes to later manifestations such as hepatic steatosis. To test this hypothesis, groups of male Sprague Dawley rats, fed on AIN-93G diet, were injected (intraperitoneal.) with a single bolus of PCB126 (5 µmol/kg) at various time intervals between 9 h and 12 days prior to euthanasia. An early decrease in serum glucose and a gradual decrease in serum triglycerides were observed over time. Liver lipid accumulation was most severe at 6 and 12 days of exposure. Transcript levels of cytosolic phosphoenol-pyruvate carboxykinase (Pepck-c/Pck1) and glucose transporter (Glut2/Slc2a2) involved in gluconeogenesis and hepatic glucose transport were time-dependently downregulated between 9 h and 12 days of PCB126 exposure. Additionally, transcript levels of Pparα, and its targets acyl-CoA oxidase (Acox1) and hydroxy-3-methylglutaryl-CoA synthase 2 (Hmgcs2), were also downregulated, indicating changes in peroxisomal fatty acid oxidation and ketogenesis. In a separate animal study, we found that the measured changes in the transcript levels of Pepck-c, Glut2, Pparα, Acox1, and Hmgcs2 were also dose dependent. Furthermore, PCB126-induced effects on Pepck-c were demonstrated to be AhR dependent in rat H4IIE hepatocytes. These results indicate that PCB126-induced wasting and steatosis are preceded initially by (1) decreased serum glucose caused by decreased hepatic glucose production, followed by (2) decreased peroxisomal fatty acid oxidation.
Keywords: PCB126, gluconeogenesis, peroxisomes, fatty acid oxidation, PPAR, steatosis
Polychlorinated biphenyls (PCBs) are persistent organic pollutants (POPs) that continue to bioaccumulate because of their lipophillicity and resistance to metabolic breakdown. PCBs are known to exert several biological and toxic effects. Emerging evidence that exposure to PCBs and other POPs is strongly associated with metabolic disease poses a great threat to public health (Ruzzin, 2012; Ruzzin et al., 2010; Thayer et al., 2012). The body burden of PCBs is significantly associated with obesity, diabetes, hypertension, and nonalcoholic fatty liver disease (NAFLD) (Cave et al., 2010; Donat-Vargas et al., 2014; Everett et al., 2007, 2011; Gauthier et al., 2014; Silverstone et al., 2012). However, the causal mechanisms are unclear. The toxicity of PCBs varies greatly across the 209 structurally diverse congeners. Further toxicity also arises from the metabolites generated from some of the PCB congeners (Grimm et al., 2015). PCBs are broadly classified as dioxin-like and non–dioxin like congeners based on their similarities in toxicity to 2,3,7,8-tetrachlorodibenzo-p-dioxin (TCDD). Structurally, dioxin-like PCBs are non-ortho or mono-ortho chlorine substituted on the biphenyl ring. There are 12 such dioxin-like congeners, often called as coplanar PCBs, because of the fewer ortho chlorine atoms that allow a more coplanar configuration (Safe, 1993; Safe et al., 1985).
PCB126 (3,3′,4,4′,5-pentachlorobiphenyl) is the most potent dioxin-like toxicant among PCBs. PCBs were recently upgraded to a group 1 human carcinogen by the International Agency for Research on Cancer (Lauby-Secretan et al., 2015). Exposure to PCB126 occurs through food, water, and air (Ampleman et al., 2015; Grimm et al., 2015; Hu et al., 2010). PCB126 and similar structures bind to the aryl hydrocarbon receptor (AhR), a cytosolic ligand-activated nuclear transcription factor that translocates into the nucleus to induce changes in expression of genes and proteins that eventually cause toxicity (Bandiera et al., 1982; Okey, 2007). The most studied genes induced by PCBs are the cytochrome P450s, which respond rapidly to the presence of pollutants (Dalton et al., 2002; Puga et al., 2009; Swanson, 2002). PCB126 also alters the expression of broad range of other genes, which may well lead to endocrine and metabolic disruption (Forgacs et al., 2013; Gadupudi et al., 2015; Lo et al., 2011; NTP, 2006; Safe et al., 1998). The serum levels of PCB126 and other dioxins are positively correlated with altered blood glucose levels and risk of diabetes (Everett et al., 2007, 2011; Henriksen et al., 1997; Uemura et al., 2009).
Apart from detoxification, liver is one of the principal organs involved in glucose and lipid homeostasis during feeding and starvation. Liver responds to complex hormonal stimuli to maintain energy homeostasis. In a fed state, the liver synthesizes glycogen as a reserve for glucose. During brief starvation, the liver produces glucose from glycogen through glycogenolysis. However, during prolonged starvation, the liver generates glucose from other sources such as lactate, a process referred to as gluconeogenesis. Liver is the only organ that can produce glucose and export it in order to meet the energy requirements of other tissues such as brain that cannot synthesize glucose. Thus, liver plays a very important role in maintaining normal blood glucose levels through glucose production. The glucose generated from the liver is also referred to as hepatic glucose output. When the glucose stores are completely exhausted, the liver meets the energy demands by oxidation of fatty acids (Rui, 2014). Toxicant-induced changes in the expression or activities of the enzymes involved in liver metabolism may lead to metabolic disruption and liver disease (Al-Eryani et al., 2015; Wahlang et al., 2013).
Most of the available information on metabolic ramifications caused by dioxin-like chemicals is from studies with dioxin and rodent models. Exposure to dioxin leads to wasting effects, dyslipidemia, hypoglycemia, and hepatic steatosis (Christian et al., 1986; Seefeld and Peterson, 1984; Seefeld et al., 1984a,b). Results from studies with dioxin have indicated disruption in intermediate metabolism and gluconeogenesis (Viluksela et al., 1995; Weber et al., 1991, 1995). Although PCB126 is a dioxin-like chemical, its ability to activate the AhR and its transcriptional targets vary across various animal models (Forgacs et al., 2012, 2013). These differences generate disparate toxicity patterns among different dioxin-like chemicals (Ovando et al., 2010). It is therefore important to understand the specific effects of PCB126, especially because of its prevalence and distribution in the environment (Grimm et al., 2015; Hu et al., 2010). Except for the ability of PCB126 to induce steatosis, very little information exists on its role in the disruption of hepatic metabolism in vivo. Hence, to understand these effects on liver glucose and lipid metabolism, we have analyzed the time-dependent changes in the liver of rats acutely exposed to PCB126.
MATERIALS AND METHODS
Chemicals and reagents
PCB126 prepared by improved Suzuki-coupling method was obtained from the Synthesis Core, University of Iowa Superfund Research Program (Luthe et al., 2009). The final purity of the obtained compound was determined by gas chromatography/mass spectrometry analysis to be >99.8%. The synthesized crude product was purified by aluminum oxide column and flash silica gel column chromatography and recrystallized in methanol. The AhR antagonist, CH223191, and all other chemicals used in the cell culture experiments were obtained from Sigma-Aldrich Chemical Co (St Louis, MO) unless otherwise mentioned. Appropriately calculated amounts of PCB126 were mixed thoroughly in tocopherol-stripped soy oil (vehicle) using a sonication bath. The prepared solutions were stored at room temperature until injection. For cell culture studies, both PCB126 and CH223191 were dissolved in dimethylsulfoxide (DMSO). Equivalent volumes of DMSO (0.1% vol/vol) were used as negative controls.
Animal studies
All the animal experiments were conducted with approval from the Institutional Animal Care and Use Committee of the University of Iowa. Male Sprague Dawley (SD) rats weighing between 75 and 100 g at an age of 4–5 weeks were purchased from Harlan laboratories (Indianapolis, Indiana) and housed in individual wire hanging cages at a controlled environment of 22°C with a 12-h light-dark cycle with free access to feed and water. For the “time-course study,” animals were randomly divided into 7 groups (3 rats per each time point) that received a single i.p. injection of vehicle (tocopherol-stripped soy oil; 5 ml/kg body weight) or PCB126 at 5 µmol/kg body weight (1.63 mg/kg body weight) at various time points before euthanasia. All animals were fed a modified AIN-93 G diet with total fat content of 10% by weight from soy oil. After 3-week acclimatization, the designated animal groups received an injection of PCB126 at the appropriate time points before being euthanized, without fasting. Feed consumption and weights of the animals were determined every 4 days. Six groups of PCB126 exposed animals and one control group (soy oil at 288 h) were euthanized at 288 (12 days), 144 (6 days), 72 (3 days), 36 (1.5 days), 18, and 9 h post injection. The 12-day time period and the dose was chosen based on a previous study in which this time period was shown to be sufficient to elicit liver pathology in PCB126-treated rats (Lai et al., 2010). All the animals were euthanized using carbon dioxide asphyxiation followed by cervical dislocation. Livers and other organs were excised, weighed, and processed for further analysis.
A second animal study was conducted to further investigate dose-dependent effects. In this study, all the animals were also male SD rats weighing 75–100 g and maintained at similar conditions on AIN-93 G diet (7% fat by weight). After acclimatization, animals (6 rats per dose) were given a single i.p. of vehicle (stripped corn oil; 5 ml/kg body weight) or PCB126 in oil at a dose of either 1 µmol/kg body weight (326 µg/kg body weight) or 5 µmol/kg body weight (1.63 mg/kg body weight) 2 weeks before euthanasia (Lai et al., 2012). Flash frozen livers were subject to RNA extraction and included into the analysis where appropriate. Please note that the percentage of soy oil in this diet (7%) was slightly different from that used (10%) in the time course study.
Blood collection and serum analysis
Whole blood samples from the hearts were collected into nonanticoagulant coated tubes after euthanasia. The blood was allowed to clot in the tubes and the serum fractions were separated by centrifugation at 1500 × g for 10 min. The serum samples were aliquoted and frozen at −80°C for further analysis. Serum glucose, triglyceride levels, nonesterified fatty acids, and other predictors for general liver function (total protein, albumin, alkaline phosphatase, alanine amino transferase, gamma-glutamyl transferase, total bilirubin, blood urea nitrogen) were measured by the Veterinary Diagnostic Laboratory at the University of Illinois, Urbana-Champaign.
Histology and special stains
Sections of liver were fixed in 10% neutral buffered formalin, processed, and embedded in paraffin and stained with hematoxylin and eosin (H&E). Additional sections were also stained with period acid-Schiff (PAS) for measuring changes in glycogen (Sheehan and Hrapchak, 1987).
Lipid staining and quantification
Formalin-fixed liver sections were stained for lipid using osmium tetroxide (Luna, 1992). Briefly, liver sections were placed in potassium dichromate (5%)/osmium tetroxide (2%) solution in water overnight. The samples were washed for 2 h in tap water and then routinely processed and embedded in paraffin. Sections were cut at 4-μm thickness and baked in a 60°C oven overnight. Slides were cooled, deparaffinized, and counterstained with nuclear fast red for 5 min. Slides were then dehydrated and coverslipped. Osmium-stained slides were examined (BX51, Olympus) and digital images collected at ×100 magnification.
Hepatocyte culture
Cell culture experiments were performed using rat hepatoma cells (H4IIE cells) with passage numbers less than 30 (Pitot et al., 1964). H4IIE cells were cultured as a monolayer in Dulbecco’s modified Eagle’s medium supplemented with 10% fetal bovine serum, l-glutamine, and penicillin-streptomycin. The cells were uniformly seeded into 6-well plates and allowed to grow until confluence. The cells were treated for 1 day with PCB126 or CH223191 mixed into the medium at various concentrations. Equivalent volumes of DMSO, used to dissolve the test chemicals, were used as controls.
Gene expression analysis
Total RNA of each rat liver sample or cell fraction was extracted using the RNeasy extraction kit from Qiagen Inc (Valencia, California). Briefly, 20–30 mg of liver tissue or cell lysate was homogenized and subjected to RNA extraction as described in the manufacturer’s protocol. Absorbance of the isolated RNA was determined spectrophotometrically at 260 and 280 nm. RNA samples with purity ratios (A260/A280) between 1.8 and 2.0 were used for generating complementary DNA (cDNA) samples with a high-capacity cDNA reverse transcription kit from Applied Biosystems Inc (Foster City, California) as described in their protocol. Consequently, the real-time quantitative PCR analysis was performed at an optimized cDNA template concentration of 50 ng. The reaction was performed using an SYBR Green Master Mix kit supplied by Applied Biosystems Inc. The primers used to measure the transcript levels of various genes are listed in Supplementary Table 1 and were synthesized by Integrated DNA Technologies Inc (Coralville, Iowa). Each sample was analyzed in duplicate. The amplification reaction was performed with an Eppendorf RealPlex2 Mastercycler (Hamburg, Germany) using a program that started at 95° for 10 min followed by 40 cycles of 2 step PCR cycle at 95° for 15 s and 60° for 1 min. Subsequently, a melting curve analysis was also performed. The transcript levels of all the quantified genes were normalized to the transcript levels of the reference gene hypoxanthine-guanine phospho-ribosyl transferase (Hprt1). The expression level of each gene in a given sample was normalized to the mean of the biological control group of each study (oil vehicle 5 ml/kg) or DMSO in cell culture studies. The final transcript levels were quantified relative to the normalized transcript levels of the control group, using the Pfaffl method (Pfaffl, 2001).
Statistics
The differences across the control and various treatment groups were analyzed using a 1-way ANOVA followed by Tukey’s post hoc test. The interaction between CH223191 and PCB126 during cotreatment on H4IIE cells was assessed using 2-way ANOVA. Only results with significant differences (P < .05) were reported. All the error bars represent SE of the mean. All the statistical analyses were performed using GraphPad Prism software (GraphPad Software, Inc, CA).
RESULTS
Effects of PCB126 on Body Weight, Feed Consumption, and Liver Weight
The percentage of weight gain in the rats injected with PCB126 (5 µmol/kg) at various time points and the control animals (vehicle) were recorded over the course of the experiment (Figure 1A). No significant changes in body weights were observed after PCB126 injection. No significant changes were observed in the total feed efficiency (total body weight gain/total feed consumed) or feeding behavior (Figure 1B). Exposure to PCB126 significantly increased both absolute (data not shown) and relative liver weight in a time-dependent manner (Figure 1C). Significant increases in relative liver weight were observed after 144 h (6 days) of injection which further increased at 288 h (12 days) post exposure. PCB126 is a potent AhR agonist and classically induces cytochrome P450, family 1, subfamily A, polypeptide 1 (Cyp1a1) along with other transcriptional targets (Hennig et al., 2002). PCB126 significantly induced the transcript levels of Cyp1a1 (>1000-fold) in the liver as early as 9 h post injection. These effects remained high throughout the remaining time points of the study (Figure 1D).
FIG. 1.
Effects of 3,3′,4,4′,5-pentachlorobiphenyl (PCB126) on body weight gain, feed consumption, and liver weight. Body weight gain percentage (A), total feed efficiency (total body weight gain/total feed consumed) (B), and the relative liver weight % (C) were measured in Sprague Dawley rats (n = 3–4 animals/group) injected with PCB126 (5 µmol/kg). Transcript levels of Cyp1a1 (D) were measured. PCB126-treated groups (grey bar) were compared with oil vehicle–treated (white bar) controls (*P < .05; one-way ANOVA).
PCB126 Time Dependently Increases the Lipid Accumulation in the Liver
Histological evaluations of H&E stained liver sections showed a time-dependent increase in vacuolation of hepatocytes, with increased severity at 6 and 12 days after exposure (data not shown). To further evaluate the composition of the vacuoles, an osmium tetroxide staining was performed to check for lipid accumulation (Figure 2). Vacuolar changes consisting of cytoplasmic clearing was first observed in a subset (one-third) of rat livers as early as 9 h post exposure. Mild lipid accumulation was observed at 18 and 36 h with extensive lipid accumulation at 144 (6 days) and 288 h (12 days). Lipid accumulation was localized within periportal hepatocytes at early time points with an increased distribution toward the central vein at later time points. The longer time of exposure (288 h) showed a more diffuse pattern of lipid accumulation (Figure 2). To confirm any changes in glycogen content, random liver sections from each group were stained with a PAS stain. Glycogen was present in all the treatment groups except in the areas of cytoplasmic clearing and areas of lipid vacuolization, indicating that PCB126 treatment did not lower liver glycogen levels (Supplementary Figure 1).
FIG. 2.

3,3′,4,4′,5-pentachlorobiphenyl exposure increased lipid content in the livers. Liver sections were stained with osmium tetroxide stain for lipid (black). The vehicle-treated rats do not show any lipid accumulation in both periportal and centrilobular regions (A, B). Mild periportal accumulation of lipids at 9 h (C, D), increased periportal to mid-zonal accumulation of lipids with PCB126 exposure times of 18 h (E, F), 36 h (G, H) and 72 h (I, J). More diffuse hepatic lipid accumulation was observed at 144 h (K, L) and 244 h (M, N) post exposure. The images were taken at a magnification of 100X.
Effect of PCB126 on the Levels of Glucose and Triglycerides in the Serum
Previous studies in several rodent models have demonstrated changes in blood glucose levels after exposure to dioxin-like chemicals (Baker et al., 2013; Nash et al., 2013; Viluksela et al., 1998). Hence, the serum fractions were prepared and analyzed for unfasted glucose and triglyceride levels. Exposure to PCB126 resulted in a severe drop in the serum glucose levels inducing a hypoglycemia (Figure 3A). A significant drop in serum glucose levels was observed as early as 9 h post exposure. The glucose levels in control animals remained normal (Harlan Laboratories, 2014). PCB126 and other dioxins have been reported to induce steatosis; however, the source and nature of the lipid accumulation is not well understood. Serum triglycerides were analyzed to understand the changes in lipid transport that may lead to steatosis. PCB126 exposure resulted in an immediate increase in the serum triglycerides at early time points (9, 18, and 36 h). However, serum triglyceride levels gradually decreased at later time points in PCB126 exposed animals (Figure 3B). The control animals had normal triglyceride levels.
FIG. 3.
3,3′,4,4′,5-pentachlorobiphenyl (PCB126) decreased serum glucose and triglyceride levels. Significant changes in glucose levels (A) and triglycerides (B) of PCB126-treated (5 µmol/kg) rats (n = 3–4 animals/group) were compared with the vehicle control (n = 3 animals/group) (*P < .05; one-way ANOVA).
Effect of PCB126 on Liver Glucose Metabolism
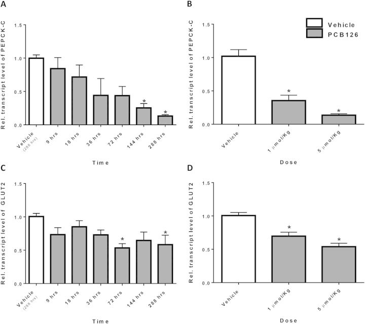
Liver plays a critical role in maintaining homeostatic glucose levels by regulating glucose storage or secretion during fed and starved states. Because there were no changes in feed consumption (Figure 1B), the effects of PCB126 on the transcript levels of the genes involved in gluconeogenesis were analyzed. Early studies using TCDD have reported decreased PEPCK activity in rodent livers over time (Viluksela et al., 1995; Weber et al., 1995). However, physiological effects of other potent dioxin-like chemicals have not been well characterized. Transcript levels of Pepck-c also referred to as Pck1 were measured throughout the time course of PCB126 exposure, and found to be significantly decreased by ∼85% with increased duration of exposure to PCB126 (Figure 4A). The dose-dependent effects were evaluated in the rat livers exposed to 1 and 5 µmol/kg of PCB126. Significant dose-dependent decrease in Pepck-c transcription was also observed with increased PCB126 dose (Figure 4B). To further examine the effects of decreased Pepck-c expression on hepatic glucose output, the transcript levels of the major glucose transporter in the liver (Slc2a2) were measured (Thorens and Mueckler, 2010). Slc2a2, more commonly referred as Glut2, is a bidirectional transporter that is a predictor for glucose output of the liver (Thorens, 1996). We found that the levels of Glut2 were significantly decreased in both a dose- and time-dependent manner after exposure to PCB126 (Figs. 4C and D), possibly resulting from decreased gluconeogenesis.
FIG. 4.
3,3′,4,4′,5-pentachlorobiphenyl (PCB126) causes decrease in the transcript levels of Pepck-c and Glut2 in the liver. Time-dependent (A, C) changes in the mRNA levels of Pepck-c (A) and Glut2 (B) in the rats (n = 3) injected with PCB126 (5 µmol/kg) were compared with the oil vehicle control (n = 3). Dose-dependent (B, D) changes in the mRNA levels of Pepck-c (B) and Glut2 (D) in the rats (n = 6) injected with PCB126 (1 or 5 µmol/kg) were compared with the oil vehicle control (n = 6) (*P < .05; one-way ANOVA).
Effect of PCB126 on Lipid Metabolism in the Liver
Exposure to PCB126 for longer times resulted in increased lipid accumulation in the liver leading to steatosis, thus indicating that PCB126 fundamentally alters liver lipid metabolism (Figure 2). Our laboratory previously reported that liver homogenates from PCB126-treated rats showed diminished β-oxidation of fatty acids in peroxisomes due to decreased activity of Acox1 (fatty acyl-CoA oxidase) ex vivo (Robertson et al., 2007). Peroxisome proliferator activated receptor alpha (PPARα) is a key transcription factor that regulates fatty acid metabolism in peroxisomes and mitochondria. We found that PCB126 diminished the transcript levels of Pparα in a both time- and dose-dependent manner (Figs. 5A and B). Therefore, we measured levels of several transcriptional targets of PPARα involved in metabolic pathways of fatty acid metabolism. PCB126 decreased the transcript levels of Acox1 and 3-hydroxy-3-methylglutaryl-CoA synthase 2 (Hmgcs2), key enzymes involved in peroxisomal β-oxidation and ketogenesis, respectively (Figs. 5C–F). It is noted that time-dependent downregulation of Pparα and its target Hmgcs2 only showed a downward trend that did not reach statistical significance. The lack of significance is attributed to the lower number of animals in each group (n = 3). Surprisingly, despite downregulation of Pparα, there were no detectable changes in the transcript levels of carnitine palmitoyl-transferase Ia (Cpt1a) and cytochrome P450, family 4, subfamily A, polypeptide 2 (Cyp4a2), enzymes involved in mitochondrial β-oxidation and ω-oxidation of fatty acids (data not shown).
FIG. 5.
3,3′,4,4′,5-pentachlorobiphenyl (PCB126) causes decrease in the transcript levels of Pparα and its target genes (Acox1, Hmgcs2). Time-dependent (A, C, E) changes in the mRNA levels of Pparα (A), Acox1 (C), and Hmgcs2 (E) in the rats (n = 3) injected with PCB126 (5 µmol/kg) were compared with the oil vehicle control (n = 3). Dose-dependent (B, D, F) changes in the mRNA levels of Pparα (B), Acox1 (D), and Hmgcs2 (F) in the rats (n = 6) injected with PCB126 (1 or 5 µmol/kg) were compared with the oil vehicle control (n = 6) (*P < .05; one-way ANOVA).
PCB126-Induced Effects on Pepck Are Mediated by AhR
To further investigate whether the observed effects of PCB126 in the rat liver are AhR mediated, we used a well-established and available rat H4IIE liver cell line (Benedict et al., 1973; Bradlaw and Casterline, 1979). Cells were exposed to PCB126 at concentrations that ranged between 3 pM and 300 nM and analyzed for the classic AhR-mediated induction of Cyp1a1. A dose-dependent increase in the induction of Cyp1a1 with maximal induction at concentrations over 3 nM of PCB126 was observed (Supplementary Figure 2). As previously described in other studies, no significant cytotoxicity or changes in doubling time were found on H4IIE cells when treated with PCB126 at doses as high as 5 µM (Knutson and Poland, 1980). To determine whether the effects of PCB126 on Pepck-c levels were dependent on AhR activation, we performed studies with the AhR antagonist CH223191. The minimum concentration of PCB126 (3 nM) that achieved maximal Cyp1a1 induction was chosen to coincubate with CH223191 (Choi et al., 2012). The increase in transcript levels of Cyp1a1 by PCB126 was effectively inhibited by CH223191, verifying its antagonistic effects (Figure 6A). Similar to the decreased expression of Pepck-c in rat livers, decreased expression of Pepck-c in the presence of PCB126 at concentrations as low as 3 nM was observed in these cells. The diminished expression of Pepck-c was mitigated by the AhR antagonist CH223191, indicating that Pepck-c downregulation is mediated by AhR activation (Figure 6B).
FIG. 6.
Aryl hydrocarbon receptor antagonist CH223191 mitigates the inhibitory effects of 3,3′,4,4′,5-pentachlorobiphenyl (PCB126) on Pepck-c. Rat hepatocytes (H4IIE cells) were exposed to PCB126 (10 µM), dimethylsulfoxide (DMSO), CH223191, or co-incubated with PCB126 and CH223191 and the relative transcript levels of Cyp1a1 (A) and Pepck-c (B) were normalized to DMSO control (*P < .05; one-way ANOVA).
DISCUSSION
This study was performed to understand the early time course of metabolic disruption caused by the dioxin-like PCB, PCB126. PCB126 caused significant alterations in glucose and lipid metabolism that lead to hypoglycemia followed by hepatic steatosis. Previous studies with dioxins have reported wasting disorders that lead to weight and appetite loss after long-term exposure in rats and other animal models (Hsia and Kreamer, 1985; Viluksela et al., 1995, 1999; Weber et al., 1991). The doses and the length of time tested in this study for PCB126 toxicity did not elicit any observable wasting, but caused significantly altered transcript levels of the genes important for hepatic glucose production during gluconeogenesis and fatty acid oxidation. Importantly, these observed early effects suggest that the precedent metabolic disruption caused by PCB126 then leads onto overt toxicity that includes classic wasting and appetite loss.
This study demonstrates that the transcript levels of Pepck-c, the rate limiting enzyme in the gluconeogenesis, are sensitive to dose- and time-dependent exposure of PCB126. The AhR-dependent downregulation of Pepck-c provides further understanding on the mechanistic role of AhR in regulating the transcription of Pepck-c and gluconeogenesis. Similar AhR-dependent effects on PEPCK-C and gluconeogenesis were also previously shown in primary mouse hepatocytes in vitro (Zhang et al., 2012); however, the role of AhR in vivo is not understood. Although the time-dependent effects of PCB126 on PEPCK-C have not been reported previously, other dioxin-like chemicals show effects on PEPCK activity (Nash et al., 2013; Viluksela et al., 1995, 1999). The concomitant decrease in Glut2 transcript levels along with a decrease in Pepck-c emphasizes the underlying role of reduced gluconeogenesis in decreasing the hepatic glucose output thereby leading to hypoglycemia in rats.
Besides glucose production through gluconeogenesis, PEPCK-C is also important for glyceroneogenesis in adipose, skeletal muscle, and liver tissues (Hanson and Reshef, 2003). Glyceroneogenesis is the de novo synthesis of glycerol-3-phosphate (G-3-P) from precursors other than glucose and glycerol (Martins-Santos et al., 2007). The G-3-P generated is used in the estertification/resterification of fatty acids during triglyceride synthesis (Martins-Santos et al., 2007; Nye et al., 2008; Reshef et al., 2003). Reduced levels or activity of PEPCK-C in the liver caused by toxicant exposure may thus lead to reduced esterification of free fatty acids. The loss of esterification could impair the assembly of triglycerides into lipoproteins, thereby obstructing the lipid transport out of the liver and increase the accumulation of fatty acids. The glyceroneogenesis pathway is physiologically important and well conserved across mice, rats, and humans (Brito et al., 1992; Gorin et al., 1969; Kalhan et al., 2001). In light of current findings with PCB126, future studies aimed to understand its effects on PEPCK and glyceroneogenesis will be important for elucidating the mechanisms by which PCBs cause metabolic disruption. The expression of Pepck-c is controlled by the differential hormonal activation of nuclear receptors present in various tissues, especially by the PPARs. Ablation of the PPAR-dependent expression of PEPCK-C in adipose and liver of mice has been reported to cause lipodystrophy and decreased hepatic glucose production, respectively (Olswang et al., 2002; Xu et al., 2002).
Initial disruption of gluconeogenesis observed in this study was followed by increased accumulation of lipid in the liver. Liver-specific knockout mice of Pepck-c were previously reported to develop steatosis due to impaired lipid metabolism (She et al., 2000). Additional studies showed that these mice develop steatosis due to impaired β-oxidation caused by disruption in hepatic tricarboxylic acid (TCA) cycle (Burgess et al., 2004). Previous studies with PCB126 and other dioxin-like PCBs demonstrated decreased activity of peroxisomal β-oxidation on long chain fatty acids in rats; however, the role of PEPCK-C in peroxisomal β-oxidation was not examined (Robertson et al., 2007). Peroxisomes are the sites for oxidation of branched and long chain fatty acids and can be subject to increased biogenesis or altered activity of their enzymes upon exposure to xenobiotics (Borges et al., 1993; Espandiari et al., 1995; Glauert et al., 1990; Glauert et al., 2008; Hennig et al., 1990). The genes encoding the enzymes involved in the peroxisomal β-oxidation pathway are transcriptionally regulated by PPARα (Reddy and Hashimoto, 2001). However, the regulatory role of PPARα is not restricted to peroxisomes. PPARα has a pan regulatory effect in controlling the transcription of enzymes involved in other metabolic processes which include mitochondrial and microsomal fatty acid oxidation, lipogenesis, and ketogenesis (Kersten, 2014; Mandard et al., 2004). In our study, time- and dose-dependent decreases in the transcript levels of Pparα and its targets Acox1 and Hmgcs2 were observed. Acox1 is the initial and rate limiting enzyme involved in peroxisomal β-oxidation of long chain fatty acids. Our results showing decreased transcript levels of Acox1 support our previous studies that indicate suppression of peroxisomal activities and a decrease in the protein levels of Acox1 in the rat liver extracts (Robertson et al., 2007). Surprisingly, we did not detect any changes in the messenger-RNA (mRNA) levels of CPT1a or CYP4A2, enzymes involved in mitochondrial and microsomal fatty acid oxidation. This could be due to compensatory mechanisms that may occur within the times used in this study. We and others have previously reported that TCDD and PCB126 decrease the expression of CD36 in rat livers, a fatty acid transporter involved in lipid transport into the liver (Forgacs et al., 2012; Lai et al., 2012). Despite the decrease of Pparα and its targets in vivo, no significant changes in Pparα transcript levels were found in the H4IIE cells exposed to PCB126 in vitro. This disparity could be due to the complexity of feeding and starvation cycles that are required for the activation of Pparα in vivo. Regardless, the constitutive expression of AhR in transgenic mouse liver was associated with a decrease in the expression of Pparα and fatty acid oxidation, providing further support for AhR-mediated downregulation of Pparα in the liver (Lee et al., 2010).
Our findings of PCB126-induced hypoglycemia and decreased expression of hepatic Pepck-c are consistent with previous studies using TCDD and other dioxins (Viluksela et al., 1997, 1998, 1999; Weber et al., 1991, 1995). Reduced liver gluconeogenic activities were also noted in the livers of various other animal models such as chicken and fish (rainbow trout and arctic char) when administered in the PCB mixture Aroclor 1254 (Srebocan et al., 1977; Vijayan et al., 2006). This observed effect could be due to the AhR activity caused by the dioxin-like PCBs present in Aroclor 1254 (Silkworth et al., 2008). In contrast to our studies, exposure to DE-71, a commercial polybrominated diphenyl ether, did not lower blood glucose of Wistar rats despite a decrease in the PEPCK-C activity (Nash et al., 2013). Similar observations with decreased PEPCK-C activity with no changes in blood glucose levels were found in female SD rats exposed to TCDD and 1,2,3,4,7,8-hexachlorodibenzo-p-dioxin (Croutch et al., 2005). These differences in altered blood glucose levels may be attributed to the differences in the potency of dioxin-like chemicals on PEPCK during fed and fasted states, dosage and treatment regimens, age, and gender of the models used.
Our findings on altered metabolic homeostasis of the liver after PCB126 exposure have been illustrated in a schematic (Figure 7). The disruption in liver metabolism is principally through reduced hepatic glucose production caused by an AhR-dependent decrease in the expression of Pepck-c, which results in reduced gluconeogenesis. During glucose deprivation, Pepck-c catalyzes a critical step that involves conversion of TCA cycle intermediate oxaloacetate into phosphoenolpyruvate that is later converted into glucose by a series of enzymes in the gluconeogenic pathway. The produced glucose is exported by glucose transporters (Glut2) into the blood to meet the energy requirements of other organs. Furthermore, reduced glucose availability results in Pparα-mediated induction of fatty acid β-oxidation and ketogenesis to meet energy requirements. After immediate effects on gluconeogenesis, PCB126 also decreases the transcription of Pparα and its targets involved in peroxisomal β-oxidation (Acox1) and ketogenesis (Hmgcs2). The role of AhR on Pparα and its targets however need to be further clarified. The decrease in Pparα and its targets especially during glucose-deprived conditions appears to increase lipid accumulation and further exacerbate metabolic disruption in the liver and its energy production.
FIG. 7.
3,3′,4,4′,5-pentachlorobiphenyl (PCB126) induces metabolic disruption in a hepatocyte. The scheme depicts the effects of PCB126 on the transcript levels of various enzymes in the liver. PCB126 exposure results in the decrease of glucose output from the liver due to aryl hydrocarbon receptor–dependent decrease in the transcription of Pepck-c. Decreased glucose output is accompanied by a decrease in the transcription of hepatic glucose transporter Glut2. PCB126 decreases β-oxidation in the peroxisomes and the transcript levels of Pparα, Acox1, and Hmgcs2. Decreases in the peroxisomal β-oxidation may lead to lipid accumulation in hepatocytes. The general pathways of gluconeogenesis and fatty acid oxidation are outlined.
Recently, Cave et al. (2010) reported a dose-dependent association with PCBs and unexplained incidence of NAFLD in U.S. populations. The effects of PCBs on gluconeogenesis, glyceroneogenesis, and fatty acid metabolism warrant further exploration in order to understand their potential role in metabolic disorders, such as diabetes and NAFLD. Exposure or accumulation of such PCBs in humans may impair hepatic functions during glucose handling, especially during fasting and starvation. Additionally, chronic exposures to PCB126 and other dioxin-like PCB-induced effects may interfere with the efficacy of the medications used to treat metabolic disease or even predispose individuals to liver disease according to their dietary composition and habits.
In summary, the results of these studies indicate that PCB126-induced wasting and NAFLD are preceded by reduced hepatic glucose output and decreased fatty acid oxidation in peroxisomes. The time course of metabolic disruption involved decreased gluconeogenesis followed by decrease in peroxisomal fatty acid oxidation. The gene expression studies show that reduced glucose production in the liver is caused by AhR-dependent decrease in the transcript levels of Pepck-c. In the event of reduced gluconeogenesis, it is likely that liver metabolism shifts to fatty acid oxidation controlled by the Pparα. PCB126 also decreases the transcription of Pparα and its targets involved in fatty acid metabolism, especially peroxisomal β-oxidation. Based on these observations, one may conclude that PCB126-induced metabolic disruption results from the liver’s inability to meet physiological energy demand by reducing glucose production and fatty acid oxidation.
FUNDING
National Institute of Environmental Health Sciences (ES 013661) awarded to L.W.R. G.S.G. and W.D.K. recognize the Iowa Superfund Training Core for training and financial support. The opinions expressed are solely those of the authors.
Supplementary Material
ACKNOWLEDGMENTS
We thank Dr Gregor Luthe for the synthesis of PCB126, Ms Suzanne Flor and members of laboratory for help with the animal studies, Dr Hans Joachim-Lehmler of the University of Iowa Superfund Synthesis Core for supplying PCB126, and Dr Kai Wang for reviewing the statistics.
SUPPLEMENTARY DATA
Supplementary data are available online at http://toxsci.oxfordjournals.org/
REFERENCES
- Al-Eryani L., Wahlang B., Falkner K. C., Guardiola J. J., Clair H. B., Prough R. A., Cave M. (2015). Identification of environmental chemicals associated with the development of toxicant-associated fatty liver disease in rodents. Toxicol. Pathol. 43, 482–497. [DOI] [PMC free article] [PubMed] [Google Scholar]
- Ampleman M. D., Martinez A., DeWall J., Rawn D. F., Hornbuckle K. C., Thorne P. S. (2015). Inhalation and dietary exposure to PCBs in urban and rural cohorts via congener-specific measurements. Environ. Sci. Technol. 49, 1156–1164. [DOI] [PMC free article] [PubMed] [Google Scholar]
- Baker N. A., Karounos M., English V., Fang J., Wei Y., Stromberg A., Sunkara M., Morris A. J., Swanson H. I., Cassis L. A. (2013). Coplanar polychlorinated biphenyls impair glucose homeostasis in lean C57BL/6 mice and mitigate beneficial effects of weight loss on glucose homeostasis in obese mice. Environ. Health Perspect. 121, 105–110. [DOI] [PMC free article] [PubMed] [Google Scholar]
- Bandiera S., Safe S., Okey A. B. (1982). Binding of polychlorinated biphenyls classified as either phenobarbitone-, 3-methylcholanthrene- or mixed-type inducers to cytosolic Ah receptor. Chem. Biol. Interact. 39, 259–277. [DOI] [PubMed] [Google Scholar]
- Benedict W. F., Gielen J. E., Owens I. S., Niwa A., Bebert D. W. (1973). Aryl hydrocarbon hydroxylase induction in mammalian liver cell culture. IV. Stimulation of the enzyme activity in established cell lines derived from rat or mouse hepatoma and from normal rat liver. Biochem. Pharmacol. 22, 2766–2769. [DOI] [PubMed] [Google Scholar]
- Borges T., Glauert H. P., Robertson L. W. (1993). Perfluorodecanoic acid noncompetitively inhibits the peroxisomal enzymes enoyl-CoA hydratase and 3-hydroxyacyl-CoA dehydrogenase. Toxicol. Appl. Pharmacol. 118, 8–15. [DOI] [PubMed] [Google Scholar]
- Bradlaw J. A., Casterline J. L., Jr (1979). Induction of enzyme activity in cell culture: A rapid screen for detection of planar polychlorinated organic compounds. J. Assoc. Off. Anal. Chem. 62, 904–916. [PubMed] [Google Scholar]
- Brito M. N., Brito N. A., Migliorini R. H. (1992). Thermogenic capacity of brown adipose tissue is reduced in rats fed a high protein, carbohydrate-free diet. J. Nutr. 122, 2081–2086. [DOI] [PubMed] [Google Scholar]
- Burgess S. C., Hausler N., Merritt M., Jeffrey F. M., Storey C., Milde A., Koshy S., Lindner J., Magnuson M. A., Malloy C. R., et al. (2004). Impaired tricarboxylic acid cycle activity in mouse livers lacking cytosolic phosphoenolpyruvate carboxykinase. J. Biol. Chem. 279, 48941–48949. [DOI] [PubMed] [Google Scholar]
- Cave M., Appana S., Patel M., Falkner K. C., McClain C. J., Brock G. (2010). Polychlorinated biphenyls, lead, and mercury are associated with liver disease in American adults: NHANES 2003-2004. Environ. Health Perspect. 118, 1735–1742. [DOI] [PMC free article] [PubMed] [Google Scholar]
- Choi E. Y., Lee H., Dingle R. W., Kim K. B., Swanson H. I. (2012). Development of novel CH223191-based antagonists of the aryl hydrocarbon receptor. Mol. Pharmacol. 81, 3–11. [DOI] [PMC free article] [PubMed] [Google Scholar]
- Christian B. J., Menahan L. A., Peterson R. E. (1986). Intermediary metabolism of the mature rat following 2,3,7,8-tetrachlorodibenzo-p-dioxin treatment. Toxicol. Appl. Pharmacol. 83, 360–378. [DOI] [PubMed] [Google Scholar]
- Croutch C. R., Lebofsky M., Schramm K. W., Terranova P. F., Rozman K. K. (2005). 2,3,7,8-Tetrachlorodibenzo-p-dioxin (TCDD) and 1,2,3,4,7,8-hexachlorodibenzo-p-dioxin (HxCDD) alter body weight by decreasing insulin-like growth factor I (IGF-I) signaling. Toxicol. Sci. 85, 560–571. [DOI] [PubMed] [Google Scholar]
- Dalton T. P., Puga A., Shertzer H. G. (2002). Induction of cellular oxidative stress by aryl hydrocarbon receptor activation. Chem. Biol. Interact. 141, 77–95. [DOI] [PubMed] [Google Scholar]
- Donat-Vargas C., Gea A., Sayon-Orea C., Carlos S., Martinez-Gonzalez M. A., Bes-Rastrollo M. (2014). Association between dietary intakes of PCBs and the risk of obesity: The SUN project. J. Epidemiol. Community Health 68, 834–841. [DOI] [PubMed] [Google Scholar]
- Espandiari P., Thomas V. A., Glauert H. P., O'Brien M., Noonan D., Robertson L. W. (1995). The herbicide dicamba (2-methoxy-3,6-dichlorobenzoic acid) is a peroxisome proliferator in rats. Fundam. Appl. Toxicol. 26, 85–90. [DOI] [PubMed] [Google Scholar]
- Everett C. J., Frithsen I., Player M. (2011). Relationship of polychlorinated biphenyls with type 2 diabetes and hypertension. J. Environ. Monit. 13, 241–251. [DOI] [PubMed] [Google Scholar]
- Everett C. J., Frithsen I. L., Diaz V. A., Koopman R. J., Simpson W. M., Jr, Mainous A. G., 3rd (2007). Association of a polychlorinated dibenzo-p-dioxin, a polychlorinated biphenyl, and DDT with diabetes in the 1999-2002 National Health and Nutrition Examination Survey. Environ. Res. 103, 413–418. [DOI] [PubMed] [Google Scholar]
- Forgacs A. L., Dere E., Angrish M. M., Zacharewski T. R. (2013). Comparative analysis of temporal and dose-dependent TCDD-elicited gene expression in human, mouse, and rat primary hepatocytes. Toxicol. Sci. 133, 54–66. [DOI] [PMC free article] [PubMed] [Google Scholar]
- Forgacs A. L., Kent M. N., Makley M. K., Mets B., DelRaso N., Jahns G. L., Burgoon L. D., Zacharewski T. R., Reo N. V. (2012). Comparative metabolomic and genomic analyses of TCDD-elicited metabolic disruption in mouse and rat liver. Toxicol. Sci. 125, 41–55. [DOI] [PMC free article] [PubMed] [Google Scholar]
- Gadupudi G., Gourronc F. A., Ludewig G., Robertson L. W., Klingelhutz A. J. (2015). PCB126 inhibits adipogenesis of human preadipocytes. Toxicol. in vitro 29, 132–141. [DOI] [PMC free article] [PubMed] [Google Scholar]
- Gauthier M. S., Rabasa-Lhoret R., Prud'homme D., Karelis A. D., Geng D., van Bavel B., Ruzzin J. (2014). The metabolically healthy but obese phenotype is associated with lower plasma levels of persistent organic pollutants as compared to the metabolically abnormal obese phenotype. J. Clin. Endocrinol. Metab. 99, E1061–E1066. [DOI] [PubMed] [Google Scholar]
- Glauert H. P., Hennig B., Chow H. S. (1990). Induction of peroxisomal enzymes in cultured porcine endothelial cells by the hypolipidemic drug ciprofibrate. J. Biochem. Toxicol. 5, 115–118. [DOI] [PubMed] [Google Scholar]
- Glauert H. P., Tharappel J. C., Lu Z., Stemm D., Banerjee S., Chan L. S., Lee E. Y., Lehmler H. J., Robertson L. W., Spear B. T. (2008). Role of oxidative stress in the promoting activities of PCBs. Environ. Toxicol. Pharmacol. 25, 247–250. [DOI] [PMC free article] [PubMed] [Google Scholar]
- Gorin E., Tal-Or Z., Shafrir E. (1969). Glyceroneogenesis in adipose tissue of fasted, diabetic and triamcinolone treated rats. Eur. J. Biochem. 8, 370–375. [DOI] [PubMed] [Google Scholar]
- Grimm F. A., Hu D., Kania-Korwel I., Lehmler H. J., Ludewig G., Hornbuckle K. C., Duffel M. W., Bergman A., Robertson L. W. (2015). Metabolism and metabolites of polychlorinated biphenyls. Crit. Rev. Toxicol. 45, 245–272. [DOI] [PMC free article] [PubMed] [Google Scholar]
- Hanson R. W., Reshef L. (2003). Glyceroneogenesis revisited. Biochimie 85, 1199–1205. [DOI] [PubMed] [Google Scholar]
- Harlan Laboratories. (2014). Outbred Rats—Sprague Dawley® Outbred Rat. Available at: http://www.harlan.com/resources/data-sheets/sprague-dawley-6-8-wk-males-cbc.pdf. Accessed October 10, 2015. [Google Scholar]
- Hennig B., Boissonneault G. A., Chow C. K., Wang Y., Matulionis D. H., Glauert H. P. (1990). Effect of vitamin E on linoleic acid-mediated induction of peroxisomal enzymes in cultured porcine endothelial cells. J. Nutr. 120, 331–337. [DOI] [PubMed] [Google Scholar]
- Hennig B., Hammock B. D., Slim R., Toborek M., Saraswathi V., Robertson L. W. (2002). PCB-induced oxidative stress in endothelial cells: Modulation by nutrients. Int. J. Hyg. Environ. Health 205, 95–102. [DOI] [PubMed] [Google Scholar]
- Henriksen G. L., Ketchum N. S., Michalek J. E., Swaby J. A. (1997). Serum dioxin and diabetes mellitus in veterans of Operation Ranch Hand. Epidemiology 8, 252–258. [DOI] [PubMed] [Google Scholar]
- Hsia M. T., Kreamer B. L. (1985). Delayed wasting syndrome and alterations of liver gluconeogenic enzymes in rats exposed to the TCDD congener 3,3′, 4,4′-tetrachloroazoxybenzene. Toxicol. Lett. 25, 247–258. [DOI] [PubMed] [Google Scholar]
- Hu D., Lehmler H. J., Martinez A., Wang K., Hornbuckle K. C. (2010). Atmospheric PCB congeners across Chicago. Atmos. Environ. (1994) 44, 1550–1557. [DOI] [PMC free article] [PubMed] [Google Scholar]
- Kalhan S. C., Mahajan S., Burkett E., Reshef L., Hanson R. W. (2001). Glyceroneogenesis and the source of glycerol for hepatic triacylglycerol synthesis in humans. J. Biol. Chem. 276, 12928–12931. [DOI] [PubMed] [Google Scholar]
- Kersten S. (2014). Integrated physiology and systems biology of PPARα. Mol. Metab. 3, 354–371. [DOI] [PMC free article] [PubMed] [Google Scholar]
- Knutson J. C., Poland A. (1980). 2,3,7,8-Tetrachlorodibenzo-p-dioxin: Failure to demonstrate toxicity in twenty-three cultured cell types. Toxicol. Appl. Pharmacol. 54, 377–383. [DOI] [PubMed] [Google Scholar]
- Lai I., Chai Y., Simmons D., Luthe G., Coleman M. C., Spitz D., Haschek W. M., Ludewig G., Robertson L. W. (2010). Acute toxicity of 3,3′,4,4′,5-pentachlorobiphenyl (PCB 126) in male Sprague-Dawley rats: Effects on hepatic oxidative stress, glutathione and metals status. Environ. Int. 36, 918–923. [DOI] [PMC free article] [PubMed] [Google Scholar]
- Lai I. K., Dhakal K., Gadupudi G. S., Li M., Ludewig G., Robertson L. W., Olivier A. K. (2012). N-acetylcysteine (NAC) diminishes the severity of PCB 126-induced fatty liver in male rodents. Toxicology 302, 25–33. [DOI] [PMC free article] [PubMed] [Google Scholar]
- Lauby-Secretan B., Loomis D., Baan R., El Ghissassi F., Bouvard V., Benbrahim-Tallaa L., Guha N., Grosse Y., Straif K. (2015). Use of mechanistic data in the IARC evaluations of the carcinogenicity of polychlorinated biphenyls and related compounds. Environ. Sci. Pollut. Res doi: 10.1007/s11356-015-4829-4, 1–10. [DOI] [PubMed] [Google Scholar]
- Lee J. H., Wada T., Febbraio M., He J., Matsubara T., Lee M. J., Gonzalez F. J., Xie W. (2010). A novel role for the dioxin receptor in fatty acid metabolism and hepatic steatosis. Gastroenterology 139, 653–663. [DOI] [PMC free article] [PubMed] [Google Scholar]
- Lo R., Celius T., Forgacs A. L., Dere E., MacPherson L., Harper P., Zacharewski T., Matthews J. (2011). Identification of aryl hydrocarbon receptor binding targets in mouse hepatic tissue treated with 2,3,7,8-tetrachlorodibenzo-p-dioxin. Toxicol. Appl. Pharmacol. 257, 38–47. [DOI] [PubMed] [Google Scholar]
- Luna L. G. (1992). Histopathologic Methods and Color Atlas of Special Stains and Tissue Artifacts. American Histolabs, Gaithersburg, MD. [Google Scholar]
- Luthe G. M., Schut B. G., Aaseng J. E. (2009). Monofluorinated analogues of polychlorinated biphenyls (F-PCBs): Synthesis using the Suzuki-coupling, characterization, specific properties and intended use. Chemosphere 77, 1242–1248. [DOI] [PubMed] [Google Scholar]
- Mandard S., Muller M., Kersten S. (2004). Peroxisome proliferator-activated receptor alpha target genes. Cell. Mol. Life Sci. 61, 393–416. [DOI] [PMC free article] [PubMed] [Google Scholar]
- Martins-Santos M. E., Chaves V. E., Frasson D., Boschini R. P., Garofalo M. A., Kettelhut Ido C., Migliorini R. H. (2007). Glyceroneogenesis and the supply of glycerol-3-phosphate for glyceride-glycerol synthesis in liver slices of fasted and diabetic rats. Am. J. Physiol. Endocrinol. Metab. 293, E1352–E1357. [DOI] [PubMed] [Google Scholar]
- Nash J. T., Szabo D. T., Carey G. B. (2013). Polybrominated diphenyl ethers alter hepatic phosphoenolpyruvate carboxykinase enzyme kinetics in male Wistar rats: Implications for lipid and glucose metabolism. J. Toxicol. Environ. Health A 76, 142–156. [DOI] [PubMed] [Google Scholar]
- National Toxicology Program (NTP). (2006). NTP toxicology and carcinogenesis studies of 3,3′,4,4′,5-pentachlorobiphenyl (PCB 126) (CAS No. 57465-28-8) in female Harlan Sprague-Dawley rats (Gavage Studies). Natl. Toxicol. Program. Tech. Rep. Ser. 4–246. [PubMed] [Google Scholar]
- Nye C. K., Hanson R. W., Kalhan S. C. (2008). Glyceroneogenesis is the dominant pathway for triglyceride glycerol synthesis in vivo in the rat. J. Biol. Chem. 283, 27565–27574. [DOI] [PMC free article] [PubMed] [Google Scholar]
- Okey A. B. (2007). An aryl hydrocarbon receptor odyssey to the shores of toxicology: The Deichmann Lecture, International Congress of Toxicology-XI. Toxicol. Sci. 98, 5–38. [DOI] [PubMed] [Google Scholar]
- Olswang Y., Cohen H., Papo O., Cassuto H., Croniger C. M., Hakimi P., Tilghman S. M., Hanson R. W., Reshef L. (2002). A mutation in the peroxisome proliferator-activated receptor gamma-binding site in the gene for the cytosolic form of phosphoenolpyruvate carboxykinase reduces adipose tissue size and fat content in mice. Proc. Natl. Acad. Sci. U.S.A. 99, 625–630. [DOI] [PMC free article] [PubMed] [Google Scholar]
- Ovando B. J., Ellison C. A., Vezina C. M., Olson J. R. (2010). Toxicogenomic analysis of exposure to TCDD, PCB126 and PCB153: Identification of genomic biomarkers of exposure to AhR ligands. BMC Genomics 11, 583. [DOI] [PMC free article] [PubMed] [Google Scholar]
- Pfaffl M. W. (2001). A new mathematical model for relative quantification in real-time RT-PCR. Nucleic Acids Res. 29, e45. [DOI] [PMC free article] [PubMed] [Google Scholar]
- Pitot H. C., Peraino C., Morse P. A., Jr, Potter V. R. (1964). Hepatomas in tissue culture compared with adapting liver in vivo. Natl. Cancer Inst. Monogr. 13, 229–245. [PubMed] [Google Scholar]
- Puga A., Ma C., Marlowe J. L. (2009). The aryl hydrocarbon receptor cross-talks with multiple signal transduction pathways. Biochem. Pharmacol. 77, 713–722. [DOI] [PMC free article] [PubMed] [Google Scholar]
- Reddy J. K., Hashimoto T. (2001). Peroxisomal beta-oxidation and peroxisome proliferator-activated receptor alpha: An adaptive metabolic system. Annu. Rev. Nutr. 21, 193–230. [DOI] [PubMed] [Google Scholar]
- Reshef L., Olswang Y., Cassuto H., Blum B., Croniger C. M., Kalhan S. C., Tilghman S. M., Hanson R. W. (2003). Glyceroneogenesis and the triglyceride/fatty acid cycle. J. Biol. Chem. 278, 30413–30416. [DOI] [PubMed] [Google Scholar]
- Robertson L. W., Berberian I., Borges T., Chen L. C., Chow C. K., Glauert H. P., Filser J. G., Thomas H. (2007). Suppression of peroxisomal enzyme activities and cytochrome P450 4A isozyme expression by congeneric polybrominated and polychlorinated biphenyls. PPAR Res. 2007, 15481. [DOI] [PMC free article] [PubMed] [Google Scholar]
- Rui L. (2014). Energy metabolism in the liver. Compr. Physiol. 4, 177–197. [DOI] [PMC free article] [PubMed] [Google Scholar]
- Ruzzin J. (2012). Public health concern behind the exposure to persistent organic pollutants and the risk of metabolic diseases. BMC Public Health 12, 298. [DOI] [PMC free article] [PubMed] [Google Scholar]
- Ruzzin J., Petersen R., Meugnier E., Madsen L., Lock E. J., Lillefosse H., Ma T., Pesenti S., Sonne S. B., Marstrand T. T., et al. (2010). Persistent organic pollutant exposure leads to insulin resistance syndrome. Environ. Health Perspect. 118, 465–471. [DOI] [PMC free article] [PubMed] [Google Scholar]
- Safe S. (1993). Toxicology, structure-function relationship, and human and environmental health impacts of polychlorinated biphenyls: Progress and problems. Environ. Health Perspect. 100, 259–268. [DOI] [PMC free article] [PubMed] [Google Scholar]
- Safe S., Bandiera S., Sawyer T., Robertson L., Safe L., Parkinson A., Thomas P. E., Ryan D. E., Reik L. M., Levin W., et al. (1985). PCBs: Structure–function relationships and mechanism of action. Environ. Health Perspect. 60, 47–56. [DOI] [PMC free article] [PubMed] [Google Scholar]
- Safe S., Wang F., Porter W., Duan R., McDougal A. (1998). Ah receptor agonists as endocrine disruptors: Antiestrogenic activity and mechanisms. Toxicol. Lett. 102–103, 343–347. [DOI] [PubMed] [Google Scholar]
- Seefeld M. D., Corbett S. W., Keesey R. E., Peterson R. E. (1984a). Characterization of the wasting syndrome in rats treated with 2,3,7,8-tetrachlorodibenzo-p-dioxin. Toxicol. Appl. Pharmacol. 73, 311–322. [DOI] [PubMed] [Google Scholar]
- Seefeld M. D., Keesey R. E., Peterson R. E. (1984b). Body weight regulation in rats treated with 2,3,7,8-tetrachlorodibenzo-p-dioxin. Toxicol. Appl. Pharmacol. 76, 526–536. [DOI] [PubMed] [Google Scholar]
- Seefeld M. D., Peterson R. E. (1984). Digestible energy and efficiency of feed utilization in rats treated with 2,3,7,8-tetrachlorodibenzo-p-dioxin. Toxicol. Appl. Pharmacol. 74, 214–222. [DOI] [PubMed] [Google Scholar]
- She P., Shiota M., Shelton K. D., Chalkley R., Postic C., Magnuson M. A. (2000). Phosphoenolpyruvate carboxykinase is necessary for the integration of hepatic energy metabolism. Mol. Cell. Biol. 20, 6508–6517. [DOI] [PMC free article] [PubMed] [Google Scholar]
- Sheehan D. C., Hrapchak B. B. (1987). Theory and Practice of Histotechnology, 2nd ed. Battelle Press, Columbus, OH. [Google Scholar]
- Silkworth J. B., Carlson E. A., McCulloch C., Illouz K., Goodwin S., Sutter T. R. (2008). Toxicogenomic analysis of gender, chemical, and dose effects in livers of TCDD- or aroclor 1254-exposed rats using a multifactor linear model. Toxicol. Sci. 102, 291–309. [DOI] [PubMed] [Google Scholar]
- Silverstone A. E., Rosenbaum P. F., Weinstock R. S., Bartell S. M., Foushee H. R., Shelton C., Pavuk M. (2012). Polychlorinated biphenyl (PCB) exposure and diabetes: Results from the Anniston Community Health Survey. Environ. Health Perspect. 120, 727–732. [DOI] [PMC free article] [PubMed] [Google Scholar]
- Srebocan V., Pompe-Gotal J., Brmalj V., Plazonic M. (1977). Effect of polychlorinated biphenyls (Aroclor 1254) on liver gluconeogenic enzyme activities in embryonic and growing chickens. Poult. Sci. 56, 732–735. [DOI] [PubMed] [Google Scholar]
- Swanson H. I. (2002). DNA binding and protein interactions of the AHR/ARNT heterodimer that facilitate gene activation. Chem. Biol. Interact. 141, 63–76. [DOI] [PubMed] [Google Scholar]
- Thayer K. A., Heindel J. J., Bucher J. R., Gallo M. A. (2012). Role of environmental chemicals in diabetes and obesity: A National Toxicology Program workshop review. Environ. Health Perspect. 120, 779–789. [DOI] [PMC free article] [PubMed] [Google Scholar]
- Thorens B. (1996). Glucose transporters in the regulation of intestinal, renal, and liver glucose fluxes. Am. J. Physiol. 270, G541–G553. [DOI] [PubMed] [Google Scholar]
- Thorens B., Mueckler M. (2010). Glucose transporters in the 21st Century. Am. J. Physiol. Endocrinol. Metab. 298, E141–E145. [DOI] [PMC free article] [PubMed] [Google Scholar]
- Uemura H., Arisawa K., Hiyoshi M., Kitayama A., Takami H., Sawachika F., Dakeshita S., Nii K., Satoh H., Sumiyoshi Y., et al. (2009). Prevalence of metabolic syndrome associated with body burden levels of dioxin and related compounds among Japan’s general population. Environ. Health Perspect. 117, 568–573. [DOI] [PMC free article] [PubMed] [Google Scholar]
- Vijayan M. M., Aluru N., Maule A. G., Jorgensen E. H. (2006). Fasting augments PCB impact on liver metabolism in anadromous arctic char. Toxicol. Sci. 91, 431–439. [DOI] [PubMed] [Google Scholar]
- Viluksela M., Stahl B. U., Birnbaum L. S., Rozman K. K. (1997). Subchronic/chronic toxicity of 1,2,3,4,6,7,8-heptachlorodibenzo-p-dioxin (HpCDD) in rats. Part II. Biochemical effects. Toxicol. Appl. Pharmacol. 146, 217–226. [DOI] [PubMed] [Google Scholar]
- Viluksela M., Stahl B. U., Birnbaum L. S., Rozman K. K. (1998). Subchronic/chronic toxicity of a mixture of four chlorinated dibenzo-p-dioxins in rats. II. Biochemical effects. Toxicol. Appl. Pharmacol. 151, 70–78. [DOI] [PubMed] [Google Scholar]
- Viluksela M., Stahl B. U., Rozman K. K. (1995). Tissue-specific effects of 2,3,7,8-tetrachlorodibenzo-p-dioxin (TCDD) on the activity of phosphoenolpyruvate carboxykinase (PEPCK) in rats. Toxicol. Appl. Pharmacol. 135, 308–315. [DOI] [PubMed] [Google Scholar]
- Viluksela M., Unkila M., Pohjanvirta R., Tuomisto J. T., Stahl B. U., Rozman K. K., Tuomisto J. (1999). Effects of 2,3,7,8-tetrachlorodibenzo-p-dioxin (TCDD) on liver phosphoenolpyruvate carboxykinase (PEPCK) activity, glucose homeostasis and plasma amino acid concentrations in the most TCDD-susceptible and the most TCDD-resistant rat strains. Arch. Toxicol. 73, 323–336. [DOI] [PubMed] [Google Scholar]
- Wahlang B., Beier J. I., Clair H. B., Bellis-Jones H. J., Falkner K. C., McClain C. J., Cave M. C. (2013). Toxicant-associated steatohepatitis. Toxicol. Pathol. 41, 343–360. [DOI] [PMC free article] [PubMed] [Google Scholar]
- Weber L. W., Lebofsky M., Stahl B. U., Gorski J. R., Muzi G., Rozman K. (1991). Reduced activities of key enzymes of gluconeogenesis as possible cause of acute toxicity of 2,3,7,8-tetrachlorodibenzo-p-dioxin (TCDD) in rats. Toxicology 66, 133–144. [DOI] [PubMed] [Google Scholar]
- Weber L. W., Lebofsky M., Stahl B. U., Smith S., Rozman K. K. (1995). Correlation between toxicity and effects on intermediary metabolism in 2,3,7,8-tetrachlorodibenzo-p-dioxin-treated male C57BL/6J and DBA/2J mice. Toxicol. Appl. Pharmacol. 131, 155–162. [DOI] [PubMed] [Google Scholar]
- Xu J., Xiao G., Trujillo C., Chang V., Blanco L., Joseph S. B., Bassilian S., Saad M. F., Tontonoz P., Lee W. N. P., Kurland I. J. (2002). Peroxisome proliferator-activated receptor α (PPARα) influences substrate utilization for hepatic glucose production. J. Biol. Chem. 277, 50237–50244. [DOI] [PubMed] [Google Scholar]
- Zhang W., Sargis R. M., Volden P. A., Carmean C. M., Sun X. J., Brady M. J. (2012). PCB 126 and other dioxin-like PCBs specifically suppress hepatic PEPCK expression via the aryl hydrocarbon receptor. PLoS One 7, e37103. [DOI] [PMC free article] [PubMed] [Google Scholar]
Associated Data
This section collects any data citations, data availability statements, or supplementary materials included in this article.






