Abstract
The purpose of this study was to determine what dose of quipazine, a serotonergic agonist, facilitates air-stepping and induces postural control and patterns of locomotion in newborn rats. Subjects in both experiments were 1-day-old rat pups. In Experiment 1, pups were restrained and tested for air-stepping in a 35-min test session. Immediately following a 5-min baseline, pups were treated with quipazine (1.0, 3.0, or 10.0 mg/kg) or saline (vehicle control), administered intraperitoneally in a 50 microliter injection. Bilateral alternating stepping occurred most frequently following treatment with 10.0 mg/kg quipazine, however the percentage of alternating steps, interlimb phase, and step period were very similar between the 3.0 and 10.0 mg/kg doses. For interlimb phase, the forelimbs and hindlimbs maintained a near perfect anti-phase pattern of coordination, with step period averaging about 1 second. In Experiment 2, pups were treated with 3.0 or 10.0 mg/kg quipazine or saline, and then were placed on a surface (open field, unrestrained). Both doses of quipazine resulted in developmentally advanced postural control and locomotor patterns, including head elevation, postural stances, pivoting, crawling, and a few instances of quadrupedal walking. The 3.0 mg/kg dose of quipazine was the most effective at evoking sustained locomotion. Between the 2 experiments, behavior exhibited by the rat pup varied based on testing environment, emphasizing the role that environment and sensory cues exert over motor behavior. Overall, quipazine administered at a dose of 3.0 mg/kg was highly effective at promoting alternating limb coordination and inducing locomotor activity in both testing environments.
Keywords: neonatal rat, quipazine, locomotion, posture, stepping, interlimb coordination
1. Introduction
Mature locomotor behavior involves the ability to alternately flex and extend the limbs while maintaining postural stability, as well as the ability to traverse various terrains and make changes in movement direction [1]. The mechanisms supporting locomotion begin developing prenatally in most species, but in altricial animals, such as rats and humans, a large portion of this development continues after birth as well. This is largely due to the fact that the ontogeny of locomotion does not involve a single system, but is dependent upon the development of various systems (i.e., sensory, motor, postural, neurotransmitter, etc.). This is exemplified in the case of the rat [2]. Locomotor-like alternation of the forelimbs and hindlimbs is expressed as early as gestational day 20 (2 days before birth) in the rat [3, 4]. While some of the basic motor coordination mechanisms for locomotion are present prenatally, the newborn must adjust to the demands of a terrestrial environment, such as exhibiting postural control to counteract gravity, to engage in more complex locomotor behavior. During the prenatal period, the fetal rat does not have gravitational constraints placed on limb movement in utero as it does when attempting locomotion in the postnatal environment [5]. This adjustment to locomotion in a gravitational environment, for an animal with relatively weak anti-gravity extensor muscle control [6], may help to explain why neonatal rats and other altricial newborns exhibit little spontaneous locomotion at birth.
Over the first two postnatal weeks, rat pups show limited, but gradual changes in their locomotor behavior. Immediately after birth they maintain a flaccid posture with limbs extended away from the body [7]. Control of the forelimbs and shoulders of the rat begin to mature during the first postnatal week, allowing the animal to support its weight with the front portion of its body. At the end of the first postnatal week, rat pups begin to exhibit pivoting behavior and some crawling. However, it is not until the second week that the hindlimbs begin to catch up to the forelimbs, permitting expression of more mature patterns of locomotion, including more frequent crawling and walking, which gradually become more coordinated and adult-like [7]. Changes in locomotor behavior are accompanied by developmental changes in limb motoneuron response properties [6], muscle activation patterns [8], and descending supraspinal pathways [9].
Given the gradual development of locomotor and postural behavior, researchers have established the air-stepping paradigm to permit the study of early locomotor development in vivo [10, 11, 12]. The air-stepping paradigm is a useful model for studying the early development of locomotion because it alleviates the gravitational and postural constraints of terrestrial locomotion. This procedure involves suspending the immature animal in a sling, so it can exhibit locomotor limb activity without the necessity of counteracting gravity. Previous studies in our lab, as well as others, have shown that sustained periods of air-stepping (defined as the limbs moving in a locomotor-like pattern while the animal is suspended off the floor) can be induced in the neonatal rat by activating the serotonin or dopamine systems [10, 11, 12]. Additionally, air-stepping has been evoked using olfactory stimuli (i.e., bedding material) [13]. When pups are suspended off the ground and presented with bedding material from the nest, they exhibit air-stepping behavior [13]; however, olfactory-induced stepping does not appear to be as sustained as drug-induced stepping.
To evoke air-stepping in rodents with serotonergic stimulation, the serotonin receptor agonist quipazine is often used [4, 11, 14, 15]. The effects of quipazine on stepping are blocked by pre-treatment with a 5-HT2 antagonist, providing evidence that quipazine acts at 5-HT2 receptors [16,17]. Quipazine-induced stepping has been used to study the development [4, 11], sensory regulation [18, 19], and spinal mechanisms [14, 16, 15, 17, 19] of locomotor activity. A dose-response curve conducted in fetal rats in vivo found that 3.0 mg/kg of quipazine evoked significantly more alternating steps (over 15 times more) compared to saline control subjects [4]. However, since most studies utilize postnatal rat pups in the air-stepping paradigm, especially to study mechanisms regulating stepping behavior, it is imperative to examine this issue in postnatal pups. Furthermore, although quipazine evokes stepping behavior, the effect of quipazine dose on interlimb coordination parameters, such as step period and interlimb phase, has not been investigated. Thus, one purpose of the present study was to conduct a dose-response curve for quipazine in postnatal rat pups, to assess effective dosage, step period and interlimb phase during quipazine-induced stepping. This information is important to know for our understanding of how this air-stepping model relates to coordinated locomotion.
While the air-stepping paradigm provides a model to study early development of locomotor behavior, it is important to point out that air-stepping is not locomotion per se. Locomotion requires not only movement of the limbs, but also postural control and the propulsion of the body through space. Neonatal rats that exhibit air-stepping do not move their entire body through space or across an area, but rather only move their limbs while the body remains stationary (i.e., secured to the bar from which they are suspended). Crawling in the immature rat has been induced with olfactory stimuli, such as nest and bedding odor at postnatal day 0 (P0) [13] and amniotic fluid and milk at P1 [20]. But unlike quipazine-induced stepping, locomotor activity induced by olfactory stimulation is usually very brief in duration. Nonetheless, these experiments demonstrate that the newborn rat has the ability to at least show brief bouts of crawling locomotion.
The duration and types of locomotor and postural patterns (i.e., crawling, walking locomotion, quadrupedal stance) that quipazine evokes in the freely moving neonatal rat is the second main focus of the present study. Spear and Ristine [21] demonstrated that quipazine is capable of evoking increased locomotor behavior in P3 rats, at a dose of 10.0 mg/kg. Compared to that study, here we test younger pups, examine locomotion and posture in a larger testing arena, classify several additional locomotor and postural behaviors, and compare the effect of different quipazine doses on such behaviors. Thus the experiments in this study are aimed at assessing how closely the quipazine-induced stepping paradigm relates to actual locomotion and identification of the most effective dose of quipazine for evoking locomotor behavior in neonatal rats.
2. General Methods
2.1 Subjects
Subjects were Sprague-Dawley rats bred in the Animal Care Facility at Idaho State University. Subjects remained housed in the home cage with the dam until testing. Testing occurred on P1 (24 hours after birth). Animals were examined prior to testing to ensure that they had fed recently as indicated by the presence of a milk band on the abdomen, and were in overall good health (e.g., pink in color). A total of 56 P1 rat pups were used as subjects in the two experiments. In order to avoid litter effects [22], no more than one pup per litter was assigned to each group. Animal care and use were in accordance with NIH Guidelines [23] and the Idaho State University Animal Care and Use Committee.
2.2 Behavioral Testing
On day of testing, pups were individually tested inside an incubator that maintained humidity (~40%) and ambient temperature (at 35°C). They were manually voided for up to 20 seconds or until urination/defecation, by gently stroking the perineum with a small paintbrush. Pups were then placed inside the incubator for 30 min prior to testing to allow for acclimation to testing conditions. Following acclimation, pups received an intraperitoneal (IP) injection of quipazine or saline.
2.3 Pharmacology
Quipazine maleate, a serotonergic receptor agonist (Sigma-Aldrich, St. Louis, MO) was prepared in doses of 1.0 mg/kg, 3.0 mg/kg, or 10.0 mg/kg. Doses administered were based on a previous study in fetal rats [4], as well as previous studies with newborn rats that used 3.0 mg/kg quipazine to evoke alternating stepping [10, 11, 18, 19]. Pups in the control group for both experiments received saline (vehicle control). Drugs were administered through a 0.05 mL IP injection with a 30-gauge needle. The researcher was blind to drug condition during administration.
3. Experiment 1: Effect of Quipazine Dose on Interlimb Coordination and Step Period
Although quipazine is often used to evoke locomotor-like stepping behavior in newborn rats in vivo, step coordination during quipazine-induced stepping has not been characterized. The purpose of this experiment was to examine the step coordination parameters of interlimb phase and step period, in addition to step frequency, at different doses of quipazine administration in 1-day-old rats. In accord with a dose-response curve conducted with fetuses [4], we hypothesized that the 3.0 mg/kg quipazine dose would evoke more alternating steps than saline or other doses of quipazine.
3.1 Methods
3.1.1 Design
A total of 32 P1 rats (16 males, 16 females) were used as subjects in Experiment 1. Subjects were assigned to one of four drug conditions: 1.0 mg/kg, 3.0 mg/kg, or 10.0 mg/kg quipazine, or saline. Following a 30-min acclimation period to incubator conditions, subjects were secured to a soft, rubber-covered horizontal bar in the prone posture, using a harness. The harness allowed the forelimbs and hindlimbs to hang and move freely meanwhile keeping the body secured to the bar [18]. Once the subject was securely suspended from the bar, a 5-min baseline was recorded. Immediately following baseline, pups received an IP injection of quipazine or saline and behavior was recorded for 30 min.
The test session comprised a 5-min baseline and 30-min period post-injection. The length of the test session was determined based on a previous study [18] which found a significant increase in stepping behavior within 5 min following quipazine administration and that lasted for at least 45 min. Several studies have thus utilized only a 30-min test session post-injection [11, 19], as that seems sufficient to capture and analyze sustained stepping behavior. The session was recorded from a microcamera located directly underneath the pup and able to capture all limb movements. The microcamera was connected to a DVR recording unit outside the incubator. SMPTE longitudinal time-code was impressed on video recordings throughout the test session.
3.1.2 Behavioral Scoring
The 35-min test session was recorded and then scored during DVD playback at normal or reduced speed. Behavior was scored in two scoring passes: one for scoring forelimb activity and one for scoring hindlimb activity. Events were entered into an event recorder program (JWatcher Version 1.0) [24], which records the category of behavior and time of entry (+/−0.01s). The experimenter was blind to subject’s group association. Intra- and interrater reliability for scoring were >90%.
3.1.2.1 Step Frequency
An alternating step is an alternating pattern of consecutive flexion and extension of homologous limbs [17]. Thus in this study alternating steps are a bilateral movement pattern, counted only when both limbs (both forelimbs or both hindlimbs) show alternating stepping movements. For this experiment, all other limb activity that did not fall into the “step” category was scored as a non-stepping limb movement. Separate scoring passes were conducted for the forelimbs and hindlimbs, indicating each incidence of alternating stepping and (non-stepping) limb activity. Additionally, the percentage of alternating steps as a function of total limb movements was determined.
3.1.2.2 Interlimb Phase and Step Period
To calculate interlimb phase and step period, the first sequence of 3–5 alternating steps (as defined above) that occurred within 2-sec of each other was selected per 5-min time bin for each subject. Interlimb phase and step period were then determined for each step in each sequence, by using the right limb retraction onset as a reference: this was the point when the right limb began to flex as the left limb began to extend. Interlimb phase provides a measurement of interlimb coordination. When limbs are moving in perfect synchrony, interlimb phase is 1.0; when limbs are moving in a perfect anti-phase or alternating pattern, interlimb coordination is 0.50. Step period is the time that is required for a complete alternating step cycle to occur. This analysis was restricted to the 30-min period post-injection only, as very few alternating steps occurred during baseline.
3.1.3 Statistical Analysis
Analyses were conducted separately for forelimbs and hindlimbs. Behavior was summarized into 5-min time bins across the test session to examine time-dependent changes in quipazine-induced stepping activity, using repeated measures ANOVA (with time as the repeated measure). Independent variables were quipazine dose and time. Dependent variables were alternating step frequency, percentage of alternating steps, interlimb phase, and step period. Tukey’s post-hoc comparisons of means were conducted following significant main effects and/or interactions. IBM SPSS Statistical Software (Version 22) was used for analysis and a 5% significance level was adopted for all tests.
3.2 Results
3.2.1 Forelimb Stepping
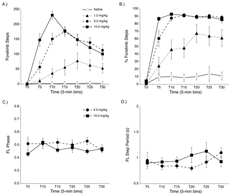
A two-way repeated measures ANOVA (4 doses × 7 time bins) revealed a main effect of dose (F(3,28)=41.64, p<.001), a main effect of time (F(6,168)=37.2, p<.001), and an interaction of the two factors (F(18,168)=10.04, p<.001) on alternating forelimb step frequency. As can be seen in Figure 1A, all 3 doses of quipazine evoked significantly more alternating forelimb steps compared to saline at all time points, except for baseline (T0) and the first 5-min following baseline (T5) for the 1.0 mg/kg dose. Additionally, the 3.0 and 10.0 mg/kg doses of quipazine evoked significantly more forelimb steps than the 1.0 mg/kg dose of quipazine, following injection.
Figure 1.
Alternating forelimb air-stepping following treatment with quipazine. A) Frequency of alternating forelimb steps. T0 represents the baseline period, while T5 represents the first time bin following drug injection. B) Percentage of alternating forelimb steps as a function of all forelimb movements. C) Forelimb interlimb phase at the 3.0 and 10.0 mg/kg doses of quipazine. D) Forelimb step period at the 3.0 and 10.0 mg/kg doses of quipazine. Note: For interlimb phase and step period, analyses only conducted following baseline. Points indicate means; vertical lines depict SEM.
For percentage of alternating forelimb steps, a two-way repeated measures ANOVA (4 doses × 7 time bins) revealed a main effect of dose (F(3,28)=49.12, p <.001), a main effect of time (F(6,168)=67.68, p <.001), and an interaction between dose and time (F(18,168)=7.84, p <.001). As shown in Figure 1B, all doses of quipazine evoked a significantly higher percentage of alternating forelimb steps compared to saline at all time points, except at T0 and at T5 for the 1.0 mg/kg dose.
Because the 3.0 and 10.0 mg/kg doses of quipazine evoked the highest frequency and most consistent forelimb stepping, we examined interlimb phase and step period at these doses. Analyses were conducted during the 30-min period following injection. A two-way repeated measures ANOVA (2 doses × 6 time bins) revealed no significant difference between 3.0 and 10.0 mg/kg doses of quipazine for forelimb interlimb phase, with limbs averaging a phase relationship of 0.48 +/− 0.09 (Figure 1C). This indicates that the forelimbs were in near perfect alternation. For step period, there was no significant difference across quipazine doses for forelimb step period. Additionally, forelimb step period remained relatively constant across the test session (Figure 1D), with an average forelimb step period of 0.92 +/− 0.28 s.
3.2.2 Hindlimb Stepping
For frequency of alternating hindlimb steps, a two-way repeated measures ANOVA revealed a main effect of dose (F(3,28)=30.23, p <.001), a main effect of time (F(6,168)=43.16, p <.001), and an interaction between dose and time (F(18,168)=10.31, p <.001). As shown in Figure 2A, all doses of quipazine significantly increased the frequency of alternating hindlimb steps compared to saline. As with the forelimbs, the 3.0 and 10.0 mg/kg doses of quipazine evoked the most steps. For percentage of alternating hindlimb steps, a two-way repeated measures ANOVA revealed a main effect of dose (F(3,28)=23.18, p <.001), a main effect of time (F(6,168)=65.04, p <.001), and an interaction between these two factors (F(18,168)=6.04, p <.001). All doses of quipazine evoked significantly higher percentages of hindlimb steps compared to saline (Figure 2B).
Figure 2.
Alternating hindlimb air-stepping following treatment with quipazine. A) Frequency of alternating hindlimb steps. B) Percentage of alternating hindlimb steps as a function of all hindlimb movements. C) Hindlimb interlimb phase at the 3.0 and 10.0 mg/kg doses of quipazine. D) Hindlimb step period at the 3.0 and 10.0 mg/kg doses of quipazine. Points indicate means; vertical lines depict SEM.
For hindlimb interlimb phase and step period, analyses were restricted to the 3.0 mg/kg and 10.0 mg/kg doses of quipazine. A two-way repeated measures ANOVA revealed no significant difference between the two doses of quipazine in regards to interlimb phase. As can be seen in Figure 2C, interlimb phase remained fairly consistent across the test session with a mean of 0.51 +/− 0.08. There also was not a significant difference between doses of quipazine on hindlimb step period. However, a two-way repeated measures ANOVA did indicate time-dependent changes in hindlimb step period (F(5,60)=3.45, p <.05). As shown in Figure 2D, hindlimb step period initially started just below 1 s (at T5), but then increased to over 1 s consistently from T15-T30.
The results from Experiment 1 indicate that quipazine evokes high frequencies of alternating stepping in both the forelimbs and hindlimbs. Additionally, quipazine induces highly coordinated bilateral stepping behavior in both limb pairs, as the limbs maintained a pattern of anti-phase interlimb coordination throughout the test period following treatment with quipazine. Previous studies have utilized a 3.0 mg/kg dose of quipazine to evoke alternating limb activity in fetal and postnatal rats [4, 11]. However, it was unclear if 3.0 mg/kg dose of quipazine was the most effective dose of quipazine to evoke highly anti-phase coordination in P1 rat pups. Findings from this experiment indicate that a dose of 3.0 or 10.0 mg/kg quipazine is effective at evoking highly coordinated alternating stepping behavior in newborn rats.
4. Experiment 2: Quipazine Administration Promotes Advanced Locomotion and Posture
To determine if quipazine facilitates posture and locomotion in P1 rats, subjects were treated with the most effective quipazine doses (3.0 or 10.0 mg/kg) from the first experiment and placed in an open-field (unrestrained) where their postural stability and locomotor patterns were measured. Whether or not quipazine facilitates locomotor behavior in the freely moving rat is important to know, as it would help to validate the use of quipazine-induced stepping as a model of locomotion in the perinatal rat and determine if postural control, in addition to limb activity, is promoted by serotonergic stimulation as well. We hypothesized that the 3.0 and 10.0 mg/kg doses of quipazine would evoke comparable rates of locomotor and postural behavior given their similar effects on air-stepping, but more locomotor and postural behavior compared to saline-treated subjects. Because unrestrained locomotor behavior following quipazine administration has not been examined previously, the test session was lengthened to 45-min. This was in case patterns of locomotion take longer to activate compared to air-stepping (i.e., perhaps due to having to maintain postural control in order to express locomotion).
4.1 Methods
4.1.2 Design
A total of 24 P1 rats (12 male, 12 female) were used as subjects in this experiment. On the day of testing, pups were marked on the ventrum using a non-toxic black marker for tracking purposes. Following a 30-min acclimation period, pups received an IP injection of 3.0 or 10.0 mg/kg quipazine, or saline. After injection, pups were placed unrestrained on a 10 in × 12 in clear, Plexiglas surface marked with gridlines. A mirror was placed at a 45° angle underneath the Plexiglas surface and a Sanyo Xacti FH1 video camera (model no. VPC-FH1, 60 fps) was positioned outside the incubator, which captured both a lateral and ventral view of the subject. Test sessions began immediately following drug injection and continued for a period of 45 min. The test session was recorded onto an internal SD card and then copied to DVD at a later time.
4.1.2 Behavioral Scoring
The 45-min test session was scored during video playback at normal or reduced speed. Locomotor behavior was classified into 3 categories (walking, crawling, and pivoting), using the classification of Altman and Sudarshan [7]. Walking was defined as a propulsive movement that involved all four limbs with the belly off the surface. Crawling was a propulsive movement, which actively involved the forelimbs with the belly on the surface. Pivoting was a propulsive movement where the pelvis remained on the surface while the forelimbs propelled the pup in a circular path. Pivoting typically is first expressed spontaneously at P4-5, crawling is shown as early as P8, and walking emerges at P12-13 in rats [7].
Postural behavior was classified into 3 categories: head elevation, walking stance, and crawling stance. These postural behaviors were scored when they happened independently of locomotor behavior. Head elevation was any elevation of the head independent of all other behavior. Walking stance was a postural stance with both of the forelimbs and hindlimbs extended and the belly off the floor, without any propulsive movement. Crawling stance was a postural stance with forelimbs extended without any propulsive movement.
Non-locomotor activity was classified into 3 categories: supination, pronation, and limb activity. Supination was used to indicate when pups were in the supine position, i.e., rolling, and alternatively, pronation was used when the animals were in a prone position, i.e., righting. Limb activity was defined as any limb movement that was not accompanied by a forward or backward progression. Behavioral events were scored using JWatcher. The scorer was blind to drug condition during behavioral scoring. Intrarater reliability was >90%.
4.1.3 Crawling Distance Measurement
We examined the total distance and mean distance travelled during each bout of crawling. Using the mark on the ventrum of the pup, crawling paths were traced and then measured to determine distance travelled. Path tracing was conducted on a computer screen, with the gridlines on the bottom of the Plexiglas surface providing measurement scaling. This analysis could not be conducted for pivoting: due to the nature of the pivoting movement, pivoting paths could not be reliably measured using the forelimbs or head as a tracking point. Since the forelimbs are moved to push the animal in a circular movement, the paws are not a consistent and reliable tracking point, nor does the head move in a consistent manner with the body. This analysis was not conducted for walking, as only very few bouts of walking were shown. Therefore, these analyses were limited to crawling.
4.1.4 Data Analysis
A one-way ANOVA was conducted for each category of locomotion, posture and non-locomotor activity for frequency and total duration of behavior over the entire 45-min test session. Tukey’s post-hoc tests were used to compare group differences. Statistical tests were performed using IBM SPSS Statistical Software (Version 22), and a 5% significance level was adopted for all tests.
4.2 Results
4.2.1 Frequency of Locomotor and Postural Behavior
One-way ANOVAs revealed an effect of quipazine dose on pivoting frequency (F(2,21)=12.30, p <.001) and crawling frequency (F(2,21)=19.08, p <.001). Subjects treated with 3.0 or 10.0 mg/kg quipazine showed significantly more pivoting and crawling compared to saline controls (see Figure 3A). There was no difference in pivoting frequency between subjects treated with 3.0 or 10.0 mg/kg quipazine; however the 10.0 mg/kg dose induced significantly more instances of crawling than the 3.0 mg/kg dose or saline, and the 3.0 mg/kg dose induced significantly more instances of crawling than saline. There was no effect of dose on walking, as walking very seldom occurred (Figure 3A). Note that walking was not exhibited by saline-treated subjects, but only occurred a few times in quipazine-treated subjects.
Figure 3.
Frequency of locomotor, postural and non-locomotor behaviors during the 45-min test period following administration of quipazine, in the open field. A) Frequencies of pivoting, crawling, and walking locomotion. B) Frequencies of crawling stance, walking stance, and head elevation. C) Frequencies of supination, pronation, and limb activity. Bars show means; vertical lines depict SEM.
One-way ANOVAs indicated no effect of dose on the frequency of crawling stance or head elevation, but there was an effect of dose on walking stance frequency (F(2,21)=3.87, p <.05). As shown in Figure 3B, subjects treated with 3.0 mg/kg quipazine showed significantly higher frequencies of walking stance than saline-treated subjects. There was no difference between 3.0 and 10.0 mg/kg of quipazine or saline and 10.0 mg/kg quipazine.
There was an effect of dose on frequency of supination (F(2,21)=19.76, p <.001), pronation (F(2,21)=19.2, p <.001), and limb activity (F(2,21)=8.78, p <.05). As shown in Figure 3C, subjects treated with 10.0 mg/kg quipazine showed significantly more instances of supination and pronation than subjects in other groups. There was no difference between saline and 3.0 mg/kg quipazine. Additionally, subjects treated with 3.0 or 10.0 mg/kg quipazine showed significantly more limb activity than saline-treated subjects. There was no difference between 3.0 and 10.0 mg/kg quipazine (Figure 3C).
4.2.2 Duration of Locomotor and Postural Behavior
One-way ANOVAs indicated an effect of dose on duration of pivoting (F(2,21)=16.13, p <.001) and crawling (F(2,21)=10.90, p <.001), but not on walking (walking very rarely occurred). Subjects treated with the 3.0 mg/kg dose of quipazine showed significantly longer durations of pivoting than subjects treated with the 10.0 mg/kg dose or saline; also, subjects treated with the 10.0 mg/kg dose showed significantly longer durations of pivoting compared to saline controls (Figure 4A). For crawling duration, subjects treated with 3.0 or 10.0 mg/kg quipazine showed significantly longer durations of crawling compared to saline controls (Figure 4A).
Figure 4.
Total duration of locomotor and postural behavior during the 45-min test period following administration of quipazine, in the open field. A.) Total duration of pivoting, crawling, and walking locomotion. B) Total duration of crawling stance, walking stance, and head elevation. Bars show means; vertical lines depict SEM.
A series of one-way ANOVAs revealed no effect of dose on durations of crawling or walking stance; however, there was effect of dose on head elevation duration (F(2,21)=4.12, p <.05; Figure 4B). Subjects treated with 3.0 mg/kg quipazine demonstrated significantly longer durations of head elevation than saline controls or subjects treated with 10.0 mg/kg quipazine. There was no difference between subjects treated with 10.0 mg/kg quipazine and saline controls.
4.2.3 Locomotor patterns over time for quipazine-treated pups
In addition to total duration, we also looked at the expression of locomotor patterns over time for quipazine-treated pups. For this analysis, durations of different locomotor behaviors were summarized into 3-min time bins across the 45-min test session (for a total of 15 3-min time bins). Because we found such high frequencies and total durations of pivoting and crawling in pups treated with quipazine, we examined here if developmentally earlier locomotor patterns (pivoting) would occur earlier during the test session than a developmentally more mature locomotor pattern (crawling) that also requires more postural control. Saline-treated controls did not show enough pivoting and crawling to warrant such an analysis.
Two-way repeated measures ANOVAs (2 doses × 15 time bins) were conducted separately for pivoting and crawling. There was no effect of time on pivoting, nor an interaction between dose and time. There was a main effect of time on crawling (F(14,196)=4.47, p <.001) and an interaction between time and dose (F(14, 196)=3.73, p <.001). As can be seen in Figure 5A, crawling duration was initially higher for subjects treated with 10.0 mg/kg quipazine. Next, dependent t-tests compared durations of pivoting and crawling at each 3-min time bin. This was done separately for the two doses of quipazine. For subjects treated with 3.0 mg/kg quipazine, significantly more crawling than pivoting occurred during the first three minutes of the test session, t(7) = −2.90, p < .02 (Figure 5B). However, there were no effects found in the other time bins. As shown in Figure 5C, subjects treated with 10.0 mg/kg quipazine demonstrated higher durations of crawling, not pivoting, earlier in the test session (see T6-T24 on Figure 5C). Taken together, these analyses show there was no strong evidence for pivoting or crawling happening earlier or later during the test session for pups treated with 3.0 or 10.0 mg/kg quipazine.
Figure 5.
Locomotor patterns across time for quipazine-treated pups in the open field. A) Crawling duration for pups treated with 3.0 or 10.0 mg/kg quipazine. Time is expressed in 3-min bins on the x-axis. B) Expression of pivoting and crawling for pups treated with 3.0 mg/kg quipazine. C) Expression of pivoting and crawling for pups treated with 10.0 mg/kg quipazine. Points show means; vertical lines depict SEM.
4.2.4 Crawling Distance
This analysis was limited to subjects treated with 3.0 mg/kg quipazine or saline. We found that subjects treated with 10.0 mg/kg quipazine did not exhibit sustained crawling paths that could be traced using the present methodology. While subjects treated with the 10.0 mg/kg dose showed increased crawling over the 45-min test session, we did not find that they showed longer durations of crawling compared to the 3.0 mg/kg dose; additionally, we found that their individual crawling bouts were frequently interrupted with supination and pronation behavior (i.e., rolling). Thus the most sustained crawling was observed in subjects treated with 3.0 mg/kg quipazine, and thus crawling distance was measured in these subjects to examine quipazine-induced crawling.
As shown in Figure 6A, quipazine-treated pups covered a significantly greater total distance by crawling compared to saline-treated subjects, t(14) = −3.83, p <.01. However, as shown in Figure 6B, there was not a significant effect of drug on mean distance per bout of crawling. Figures 6C and 6D show sample crawling paths for two individual pups treated with 3.0 mg/kg quipazine. Often times pups would show a brief bout of crawling, roll (alternate between supination and pronation) for a second or two, and then begin showing another locomotor behavior. Taken together with the above results, this suggests that quipazine mainly increased the frequency of crawling bouts, but not the length/distance covered by each individual crawling bout.
Figure 6.
Crawling distance and trajectories for pups treated with 3.0 mg/kg quipazine, in the open field. A) Total distance travelled by crawling for quipazine- and saline-treated subjects. B.) Mean distance per bout of crawling exhibited by quipazine- and saline-treated subjects. Bars indicate means; vertical lines depict SEM. D) & E) Crawling paths for two quipazine-treated subjects. Starting point is indicated by a solid black dot; arrow indicates stop point. Subjects exhibited a number of other behaviors (supination, pronation, pivoting, etc.) that account for breaks between crawling paths. Number 1 indicates first bout of crawling, number 2 indicates second bout of crawling, and so on.
5. Discussion
The serotonergic agonist quipazine evoked highly coordinated alternating stepping in P1 rats at the 3.0 and 10.0 mg/kg doses. At each of theses doses, quipazine-treated subjects demonstrated high frequencies of alternating steps, highly consistent anti-phase interlimb coordination, as well as maintained a fairly constant step period, for both the forelimbs and hindlimbs. Though it is interesting to point out that the forelimbs maintained a nearly constant step period across the test session, whereas the hindlimbs showed a slight increase (longer duration) of step period. This may be due to weaker hindlimb muscles [25] being unable to sustain such a rapid step period, regardless of quipazine administration. However, this increase in step period did not affect the stepping coordination (interlimb phase). Overall, we found that while subjects treated with 10.0 mg/kg quipazine demonstrated slightly elevated frequencies of alternating stepping, that there was not a concomitant increase in other stepping parameters. There were no differences between the 3.0 and 10.0 mg/kg doses of quipazine for percentage of alternating steps, interlimb phase, or step period. Both doses effectively evoked highly coordinated, alternating stepping behavior. Given this, we suggest that 3.0 mg/kg quipazine is an effective means of evoking air-stepping behavior.
Quipazine also facilitated locomotion and postural stability in the freely moving newborn rat. Quipazine-treated subjects demonstrated developmentally advanced locomotor patterns, including pivoting (typically seen at P4) and crawling (typically seen at P8) [7]. Additionally, quipazine evoked increased postural behavior, such as walking stance and head elevation. Although crawling stance alone did not increase following quipazine administration, this posture is involved in supporting crawling behavior and therefore also increased in this manner. Non-locomotor behavior, including supination (rolling), pronation (righting), and limb activity, also increased following quipazine administration. Thus, quipazine increased the frequency and duration of locomotor and postural behavior 1–2 weeks earlier than usual, and did so over a relatively sustained course of the 45-min test session (see Figure 5). To our knowledge, this is the earliest demonstration of sustained locomotion (not just alternating stepping activity) in the newborn rat. These findings build upon the Spear and Ristine [21] paper that found an increase in forward locomotion following quipazine administration in three-day-old rats.
Our finding that activation of the serotonin system facilitates posture and locomotion in newborn rats is logically consistent with studies that have examined serotonin depletion during early development. Administration of p-chlorophenylalaine (PCPA) blocks serotonin synthesis, and when administered during the early postnatal period has been shown to significantly retard locomotor and postural development in rats. Following PCPA treatment during the first two postnatal weeks, rat pups exhibited a lack of postural stability and control [26]. Rat pups also showed decreased coordination of forelimb and hindlimb movements [27]. In the current study, activation of the serotonin system with quipazine facilitated a variety of locomotor and postural behaviors. However, postural stability was largely seen in the context of locomotor behavior than as independent postural stances. In fact, we found that quipazine-treated subjects did not cover greater distances in individual crawling bouts compared to saline-treated controls, but rather showed an increase in the total distance covered as a function of increased crawling bouts. This suggests that pups may still lack the muscle strength necessary to exhibit continued or sustained postural stability. Previous research has shown that high frequency firing in the extensor muscles, typical of adult locomotion, is not shown until P15 [8]. Thus, relatively weak muscles are likely to contribute to difficulty in exhibiting sustained locomotor behavior prior to P15. It is also interesting to note that serotonergic receptors might differentially affect motor mechanisms, possibly contributing the findings reported here. It has been suggested that 5-HT2 agonists influence extensor activity, while 5-HT7 and 5-HT1A receptor agonists influence hindlimb-walking alternation [28]. Thus, it could also be possible that a lack of sustained locomotor behavior exhibited by quipazine-treated subjects is a result of promoted extensor activity, but not left-right alternation as suggested by Slawinska and colleagues [28].
Evoking locomotor and postural behavior in immature animals highlights the importance of testing environment and sensory regulation of motor behavior during early development. For example, it has been shown that facial wiping in rat pups [29] and stepping in human infants [30] is facilitated or hindered by the testing environment. In the current study, we found that pups differentially respond to quipazine based on the testing environment. When suspended in the air, quipazine-treated pups showed alternating stepping behavior without drastic differences in coordination and frequency across the 3.0 and 10.0 mg/kg doses of quipazine. However, when placed on a Plexiglas surface, pups demonstrated pivoting and crawling, as well as other postural stances and non-locomotor behavior, and importantly, we find differences in behavior exhibited between the doses of quipazine. Subjects treated with 10.0 mg/kg quipazine demonstrated increased frequency, but not duration, of crawling. Rolling and righting behavior interrupted these bouts of crawling, whereas subjects treated with 3.0 mg/kg quipazine demonstrated crawling that was not interrupted as frequently by supination and pronation, thus, resulting in longer individual bouts of crawling behavior.
Based on this, we conclude that the most effective dose at evoking alternating stepping, locomotion, and postural control for newborn rats is 3.0 mg/kg quipazine. Furthermore, we have confidence that the air-stepping paradigm is a valid methodological approach for examining the development and function of locomotor circuitry in newborn rats. While quipazine induces actual locomotor and postural behavior, these behaviors are not expressed at a consistent rate as found with air-stepping. Therefore, the air-stepping paradigm provides a model to examine sustained locomotor activity that is limited on a flat surface or in the freely moving animal.
Pups tested on the Plexiglas surface had access to cutaneous stimulation from the testing surface and also likely experienced gravitational limb loading and differential vestibular and proprioceptive stimulation during ongoing movement. While previous research has found that pups exposed to a stiff (Plexiglas) substrate modulated their stepping behavior to apparently avoid contact with the substrate [18], it seems unlikely that the difference seen in behavior across quipazine doses stems from exposure to the Plexiglas surface, given that all subjects were exposed to the same substrate. In fact, research has found that limb loading and weight-bearing postural stances against resistance surfaces increases extensor muscle activity [31, 32]. It has been suggested that quipazine activates the output stage of locomotor circuitry by directly activating motoneurons and interneurons of central pattern generators, thus leading to improved extensor activity [28]. Given that postural stances require limb extension, we might expect to see that quipazine increases postural stance and sustained crawling. While it is unclear exactly what is causing the differences across doses of quipazine, observations seem to indicate that the 10.0 mg/kg dose does produce elevated levels of activity. Although these levels are not noticeable in the air-stepping paradigm, significant differences do emerge in a testing environment that introduces cutaneous sensory stimulation. Interestingly, Ichiyama and colleagues [33] found quipazine dose-dependent changes in coordination in adult spinal rats. Higher doses of quipazine resulted in a decrease in coordinated movement, as well as the number of plantar steps. These animals displayed overly extended and flexed hindlimbs that impeded stepping behavior [33]. It seems likely that higher doses of quipazine overly excite the motor system creating interference with the animal’s ability to correctly adjust limb posture, thus preventing the coordinated movement and plantar stepping necessary to sustain locomotor and postural behavior. Indeed, these findings would appear to map closely to quipazine effects in spinal adult animals, in that higher doses of quipazine can result in detrimental effects on locomotor behavior [34]. Furtermore, it has been suggested that afferent feedback plays a significant role in the effects of quipazine on stepping behavior, given that step quality following quipazine treatment is dependent upon testing posture (e.g., upright or horizontal posture) [34].
It is important to note that spinal adult rodents often respond to lower doses of quipazine compared to the doses utilized with postnatal rat pups. We argue that this is largely due to developmental differences in 5-HT’s effects on neural populations involved in locomotion. Specifically, it has been demonstrated that there are important age-dependent differences in spinal V2a interneurons that contribute to locomotor behavior [35]. Husch and colleagues [35] demonstrated that compared to younger animals, adult mice display increased excitation of V2a interneurons, resulting in changes in input resistance, as well as shifts in action potentials (narrower APs in adult mice) and increased 5-HT bistability, which is critical for producing rhythmic activity within the locomotor CPG [35]. The culmination of these differences suggests that as the animal ages, a lower threshold of activation is required for CPG involvement. Thus it would seem to suggest that the application of quipazine would differentially affect these interneurons, resulting in a decrease in the dose needed to evoke coordinated locomotor behavior in adult animals compared to neonates. Another important component of the 5-HT system is that 5-HT2A seems to facilitate chloride homeostasis following spinal cord injury [36]. Following spinal injury, there is a disruption in chloride homeostasis, resulting in decreased inhibition. Thus, less stimulation is needed to result in activity within neural populations. It has been demonstrated that application of a 5-HT2A agonist will result in a shift back to pre-injury levels of inhibition [36], which suggests that dose differences among ages do not necessarily arise from disruption in chloride homeostasis. Additionally, following spinal injury there is an up-regulation of 5-HT receptors in the spinal cord [37, 38]. Perhaps up-regulation of 5-HT receptors and restoration of chloride homeostasis interact and result in increased sensitivity to serotonergic activation in spinal adult animals, thus contributing to differences in doses across age groups and preparations.
Finally, the findings and paradigm used here recognize the importance of examining the plasticity of the motor system from a developmental perspective. Establishing a rodent model to study early motor development allows researchers to, in a controlled environment, manipulate individual components of developing motor systems, such as neurotransmitter systems, neural pathways, and even environmental context (i.e., gravitational constraints, sensory stimuli) through systematic and targeted experimental designs. This approach then has implications for the development of therapeutic interventions for non-typical developing infants, in that it advances our understanding and knowledge of what developmental processes are occurring and how those processes can be influenced by physiology, sensory feedback, and environmental experiences. For example, Teulier and colleagues [39] demonstrated that contextual manipulation, primarily through sensory experiences, influences human infants’ motor behavior. When infants are given practice with weight-supported treadmill stepping, there is improvement in later outcomes [39]. The research of Thelen and colleagues [30] demonstrated that the disappearing newborn stepping reflex could be evoked when infants were submerged in water, emphasizing the critical role that environment and gravity exert on locomotor behavior, closely resembling differences between the air-stepping and open field paradigm used here to examine locomotor behavior. However, Barbu-Roth and colleagues [40] found that gravitational constraints are not the only influence on newborn stepping in human infants, but in fact, this response could be influenced and manipulated by visual field stimuli. Overall, utilizing basic research, as well as evidence-based pediatric research, allows us to examine and manipulate systems involved with coordination and locomotion [10], influencing approaches to interventions in pediatric populations [39].
6. Conclusions
The findings reported here show that quipazine induces highly coordinated motor coordination in the perinatal rat, including advanced locomotor and postural patterns of behavior at a much earlier developmental age than seen during typical development. Quipazine-treated subjects demonstrated high frequencies of alternating steps, highly consistent anti-phase interlimb coordination, as well as maintained a fairly constant step period, in both the forelimbs and hindlimbs. The behavior exhibited by the rat pup varied based on testing environment (restrained and suspended during air-stepping, or freely moving on a Plexiglas surface), highlighting the role that environment and sensory cues exert over motor behavior. Overall, quipazine administered at a dose of 3.0 mg/kg was highly effective at inducing locomotor activity in both testing environments. The findings here lay important groundwork for future studies manipulating serotonergic and locomotor mechanisms and help with our understanding of the coordination of quipazine-induced locomotor behavior, including alternating stepping. Future studies could involve combining different methodological approaches for studying locomotor behavior such as examining how activation or blockade of the serotonergic system influences olfactory-induced locomotion, or how coordination parameters are altered following spinal injury and pharmacological stimulation.
Highlights.
Quipazine induced air-stepping, locomotion, and posture in P1 rats.
During air-stepping, steps maintained highly anti-phase coordination.
Forms of locomotion included pivoting, crawling, and some walking.
Advanced posture such as head elevation and locomotor stances were shown.
Acknowledgments
This study was supported by NIH grant 1R15HD062980-01 to MRB, NIH grant P20GM103408 as part of the INBRE program, and HSSRC grant HR11-6 from Idaho State University to HES.
Footnotes
Publisher's Disclaimer: This is a PDF file of an unedited manuscript that has been accepted for publication. As a service to our customers we are providing this early version of the manuscript. The manuscript will undergo copyediting, typesetting, and review of the resulting proof before it is published in its final citable form. Please note that during the production process errors may be discovered which could affect the content, and all legal disclaimers that apply to the journal pertain.
References
- 1.Muir GD. Early ontogeny of locomotor behaviour: A comparison between altricial and precocial animals. Brain Research Bulletin. 2000;53(5):719–726. doi: 10.1016/s0361-9230(00)00404-4. [DOI] [PubMed] [Google Scholar]
- 2.Westerga J, Gramsbergen A. The development of locomotion in the rat. Developmental Brain Research. 1990;57(2):163–174. doi: 10.1016/0165-3806(90)90042-w. [DOI] [PubMed] [Google Scholar]
- 3.Bekoff A, Lau B. Interlimb coordination in 20-day-old rat fetuses. Journal of Experimental Zoology. 1980;214(2):173–175. doi: 10.1002/jez.1402140207. [DOI] [PubMed] [Google Scholar]
- 4.Brumley MR, Robinson SR. The serotonergic agonists quipazine, CGS-120066A, and alpha-methylserotonin alter motor activity and induce hindlimb stepping in the intact and spinal rat fetus. Behavioral Neuroscience. 2005;119(3):821. doi: 10.1037/0735-7044.119.3.821. [DOI] [PubMed] [Google Scholar]
- 5.Clarac F, Vinay L, Cazalets JR, Fady JC, Jamon M. Role of gravity in the development of posture and locomotion in the neonatal rat. Brain Research Reviews. 1998;28:35–43. doi: 10.1016/s0165-0173(98)00024-1. [DOI] [PubMed] [Google Scholar]
- 6.Vinay L, Brocard F, Clarac F. Differential maturation of motoneurons innervating ankle flexor and extensor muscles in the neonatal rat. European Journal of Neuroscience. 2000;12(12):4562–4566. doi: 10.1046/j.0953-816x.2000.01321.x. [DOI] [PubMed] [Google Scholar]
- 7.Altman J, Sudarshan K. Postnatal development of locomotion in the laboratory rat. Animal Behaviour. 1975;23:896–920. doi: 10.1016/0003-3472(75)90114-1. [DOI] [PubMed] [Google Scholar]
- 8.Westerga J, Gramsbergen A. Changes in the electromyogram of two major hindlimb muscles during locomotor development in the rat. Experimental Brain Research. 1993;92(3):479–488. doi: 10.1007/BF00229036. [DOI] [PubMed] [Google Scholar]
- 9.Vinay L, Brocard F, Clarac F, Norreel JC, Pearlstein E, Pflieger JF. Development of posture and locomotion: an interplay of endogenously generated activities and neurotrophic actions by descending pathways. Brain Research Reviews. 2002;40(1):118–129. doi: 10.1016/s0165-0173(02)00195-9. [DOI] [PubMed] [Google Scholar]
- 10.Brumley MR, Kauer SD, Swann HE. Developmental plasticity of coordinated action patterns in the perinatal rat. Developmental Psychobiology. 2015;57(4):409–420. doi: 10.1002/dev.21280. [DOI] [PMC free article] [PubMed] [Google Scholar]
- 11.Strain MM, Brumley MR. Range of motion (ROM) restriction influences quipazine-induced stepping behavior in postnatal day one and day ten rats. Behavioural Brain Research. 2014;274:365–381. doi: 10.1016/j.bbr.2014.08.028. [DOI] [PMC free article] [PubMed] [Google Scholar]
- 12.Van Hartesveldt C, Sickles AE, Porter JD, Stehouwer DJ. L-DOPA-induced air-stepping in developing rats. Developmental Brain Research. 1991;58(2):251–255. doi: 10.1016/0165-3806(91)90012-8. [DOI] [PubMed] [Google Scholar]
- 13.Fady JC, Jamon M, Clarac F. Early Olfactory-Induced Rhythmic Limb Activity in the Newborn Rat. Developmental Brain Research. 1998;108(1):111–123. doi: 10.1016/s0165-3806(98)00040-6. [DOI] [PubMed] [Google Scholar]
- 14.Guertin PA. Synergistic activation of the central pattern generator for locomotion by lbeta-3, 4-dihydroxyphenylalanine and quipazine in adult paraplegic mice. Neuroscience Letters. 2004;358(2):71–74. doi: 10.1016/j.neulet.2003.12.120. [DOI] [PubMed] [Google Scholar]
- 15.McEwen ML, Van Hartesveldt C, Stehouwer DJ. L-DOPA and quipazine elicit air-stepping in neonatal rats with spinal cord transections. Behavioral Neuroscience. 1997;111(4):825. doi: 10.1037//0735-7044.111.4.825. [DOI] [PubMed] [Google Scholar]
- 16.Landry ES, Guertin PA. Differential effects of 5-HT1 and 5-HT2 receptor agonists on hindlimb movements in paraplegic mice. Progress in Neuro-Psychopharmacology and Biological Psychiatry. 2004;28(6):1053–1060. doi: 10.1016/j.pnpbp.2004.05.001. [DOI] [PubMed] [Google Scholar]
- 17.Ung RV, Landry ES, Rouleau P, Lapointe NP, Rouillard C, Guertin PA. Role of spinal 5-HT2 receptor subtypes in quipazine-induced hindlimb movements after a low-thoracic spinal cord transection. European Journal of Neuroscience. 2008;28(11):2231–2242. doi: 10.1111/j.1460-9568.2008.06508.x. [DOI] [PubMed] [Google Scholar]
- 18.Brumley MR, Roberto ME, Strain MM. Sensory feedback modulates quipazine-induced stepping behavior in the newborn rat. Behavioural Brain Research. 2012;229(1):257–264. doi: 10.1016/j.bbr.2012.01.006. [DOI] [PMC free article] [PubMed] [Google Scholar]
- 19.Strain MM, Kauer SD, Kao T, Brumley MR. Inter-and intralimb adaptations to a sensory perturbation during activation of the serotonin system after a low spinal cord transection in neonatal rats. Frontiers in neural circuits. 2014;8:80. doi: 10.3389/fncir.2014.00080. [DOI] [PMC free article] [PubMed] [Google Scholar]
- 20.Mendez-Gallardo V, Robinson SR. Odor-induced crawling locomotion in the newborn rat: Effects of amniotic fluid and milk. Developmental Psychobiology. 2014;56(3):327–339. doi: 10.1002/dev.21102. [DOI] [PMC free article] [PubMed] [Google Scholar]
- 21.Spear LP, Ristine LA. Quipazine-induced behavior in neonatal rat pups. Pharmacology Biochemistry and Behavior. 1981;14(6):831–834. doi: 10.1016/0091-3057(81)90369-5. [DOI] [PubMed] [Google Scholar]
- 22.Zorrilla EP. Multiparous species present problems (and possibilities) to developmentalists. Developmental Psychobiology. 1997;30(2):141–150. doi: 10.1002/(sici)1098-2302(199703)30:2<141::aid-dev5>3.0.co;2-q. [DOI] [PubMed] [Google Scholar]
- 23.National Research Council Committee for the Update of the Guide for the Care and Use of Laboratory Animals. Guide for the care and use of laboratory animals. 8 2011. [Google Scholar]
- 24.Blumstein DT, Daniel JC, Evans CS. JWatcher (Version 1.0) 2006 http://www.jwatcher.ucla.edu/
- 25.Jamon M, Clarac F. Early walking in the neonatal rat: a kinematic study. Behavioral Neuroscience. 1998;112(5):1218–1228. doi: 10.1037//0735-7044.112.5.1218. [DOI] [PubMed] [Google Scholar]
- 26.Pflieger JF, Clarac F, Vinay L. Postural modifications and neuronal excitability changes induced by a short-term serotonin depletion during neonatal development in the rat. The Journal of Neuroscience. 2002;22(12):5108–5117. doi: 10.1523/JNEUROSCI.22-12-05108.2002. [DOI] [PMC free article] [PubMed] [Google Scholar]
- 27.Myoga H, Nonaka S, Matsuyama K, Mori S. Postnatal development of locomotor movements in normal and para-chlorophenylalanine-treated newborn rats. Neuroscience Research. 1995;21(3):211–221. doi: 10.1016/0168-0102(94)00857-c. [DOI] [PubMed] [Google Scholar]
- 28.Sławińska U, Miazga K, Jordan LM. 5-HT2 and 5-HT7 receptor agonists facilitate plantar stepping in chronic spinal rats through actions on different populations of spinal neurons. Frontiers in Neural Circuits. 2014;8 doi: 10.3389/fncir.2014.00095. [DOI] [PMC free article] [PubMed] [Google Scholar]
- 29.Smotherman WP, Robinson SR. Cryptopsychobiology: The appearance, disappearance and reappearance of a species-typical action pattern during early development. Behavioral Neuroscience. 1989;103(2):246–253. doi: 10.1037//0735-7044.103.2.246. [DOI] [PubMed] [Google Scholar]
- 30.Thelen E, Fisher DM, Ridley-Johnson R. The relationship between physical growth and a newborn reflex. Infant Behavior and Development. 1984;7(4):479–493. [Google Scholar]
- 31.Pearson KG, Misiaszek JE, Fouad K. Enhancement and Resetting of Locomotor Activity by Muscle Afferents. Annals of the New York Academy of Sciences. 1998;860(1):203–215. doi: 10.1111/j.1749-6632.1998.tb09050.x. [DOI] [PubMed] [Google Scholar]
- 32.Rossignol S, Dubuc R, Gossard JP. Dynamic sensorimotor interactions in locomotion. Physiological Reviews. 2006;86(1):89–154. doi: 10.1152/physrev.00028.2005. [DOI] [PubMed] [Google Scholar]
- 33.Ichiyama RM, Gerasimenko Y, Jindrich DL, Zhong H, Roy RR, Edgerton VR. Dose dependence of the 5-HT agonist quipazine in facilitating spinal stepping in the rat with epidural stimulation. Neuroscience Letters. 2008;438(3):281–285. doi: 10.1016/j.neulet.2008.04.080. [DOI] [PMC free article] [PubMed] [Google Scholar]
- 34.Sławińska U, Majczyński H, Dai Y, Jordan LM. The upright posture improves plantar stepping and alters responses to serotonergic drugs in spinal rats. The Journal of Physiology. 2012;590(7):1721–1736. doi: 10.1113/jphysiol.2011.224931. [DOI] [PMC free article] [PubMed] [Google Scholar]
- 35.Husch A, Dietz SB, Hong DN, Harris-Warrick RM. Adult spinal V2a interneurons show increased excitability and serotonin-dependent bistability. Journal of Neurophysiology. 2015;113(4):1124–1134. doi: 10.1152/jn.00741.2014. [DOI] [PMC free article] [PubMed] [Google Scholar]
- 36.Gackière F, Vinay L. Serotonergic modulation of post-synaptic inhibition and locomotor alternating pattern in the spinal cord. Frontiers in Neural Circuits. 2014;8 doi: 10.3389/fncir.2014.00102. [DOI] [PMC free article] [PubMed] [Google Scholar]
- 37.Fuller DD, Baker-Herman TL, Golder FJ, Doperalski NJ, Watters JJ, Mitchell GS. Cervical spinal cord injury upregulates ventral spinal 5-HT2A receptors. Journal of Neurotrauma. 2005;22(2):203–213. doi: 10.1089/neu.2005.22.203. [DOI] [PubMed] [Google Scholar]
- 38.Navarrett S, Collier L, Cardozo C, Dracheva S. Alterations of serotonin 2C and 2A receptors in response to T10 spinal cord transection in rats. Neuroscience Letters. 2012;506(1):74–78. doi: 10.1016/j.neulet.2011.10.052. [DOI] [PubMed] [Google Scholar]
- 39.Teulier C, Lee DK, Ulrich BD. Early gait development in human infants: Plasticity and clinical applications. Developmental Psychobiology. 2015;57(4):447–458. doi: 10.1002/dev.21291. [DOI] [PubMed] [Google Scholar]
- 40.Barbu-Roth M, Anderson DI, Desprès A, Streeter RJ, Cabrol D, Trujillo M, Campos JJ, Provasi J. Air stepping in response to optic flows that move Toward and Away from the neonate. Developmental Psychobiology. 2014;56(5):1142–1149. doi: 10.1002/dev.21174. [DOI] [PubMed] [Google Scholar]






