Abstract
Polymorphisms in certain inflammatory-related genes have been identified as putative differential risk factors of neurodegenerative diseases with abnormal protein aggregates, such as sporadic Alzheimer’s disease (AD) and sporadic Parkinson’s disease (sPD). Gene expression studies of cytokines and mediators of the immune response have been made in post-mortem human brain samples in AD, sPD, sporadic Creutzfeldt-Jakob disease (sCJD) subtypes MM1 and VV2, Pick’s disease (PiD), progressive supranuclear palsy (PSP) and frontotemporal lobar degeneration linked to mutation P301L in MAPT Frontotemporal lobar degeneration-tau (FTLD-tau). The studies have disclosed variable gene regulation which is: (1) disease-dependent in the frontal cortex area 8 in AD, sPD, sCJD MM1 and VV2, PiD, PSP and FTLD-tau; (2) region-dependent as seen when comparing the entorhinal cortex, orbitofrontal cortex, and frontal cortex area 8 (FC) in AD; the substantia nigra, putamen, FC, and angular gyrus in PD, as well as the FC and cerebellum in sCJD; (3) genotype-dependent as seen considering sCJD MM1 and VV2; and (4) stage-dependent as seen in AD at different stages of disease progression. These observations show that regulation of inflammation is much more complicated and diverse than currently understood, and that new therapeutic approaches must be designed in order to selectively act on specific targets in particular diseases and at different time points of disease progression.
Keywords: inflammation, microglia, cytokines, complement, toll-like receptors, chemokines, Alzheimer’s disease, Parkinson’s disease, Creutzfeldt-Jakob’s disease, tauopathies
1. Introduction
Alzheimer’s disease (AD), Parkinson’s disease (PD), Creutzfeldt-Jakob’s disease (CJD), and tauopathies are neurodegenerative diseases presenting most commonly in aged individuals, and characterized by the accumulation of abnormal protein aggregates in the neuropil, neurons, and, in some conditions, also in glial cells, β-amyloid and hyper-phosphorylated 3R and 4R tau in AD, altered α-synuclein in PD, 3R or 4R hyper-phosphorylated tau in tauopathies, and pathogenic, mostly proteinase resistant, prion protein or prion in CJD. A percentage of cases are familial due to mutations in specific genes such as APP (amyloid beta (A4) precursor protein), PSN1 (presenilin 1), and PSN2 (presenilin 2) in AD; PARK1/SNCA (α-synuclein), PARK2 (parkinson protein 2, E3 ubiquitin ligase, parkin), PARK6 (PINK1: PTEN induced putative kinase 1), PARK7 (DJ1), PARK8/LRRK2 (leucine-rich repeat kinase 2), PARK9/ATP13A2 (ATPase type 13A2), PARK14/(PLA2G6 (phospholipase A2, group 6), PARK15/FBX07 (F-box protein 7), PARK17/VP35 (vacuolar protein sorting 35 homolog), and PANK2 (pantothenate kinase 2) in PD; MAPT (microtubule associated protein tau) in tauopathies; and PRNP (prion protein) in CJD. However, the majority of cases are sporadic, although genetic modulators anticipate or regulate the phenotype of particular diseases, as does APOE (apolipoprotein E) in AD and PRNP codon 129 polymorphism in CJD [1].
Inflammation, as defined by microglial activation, and accompanied by astrocyte responses, together with increased expression of cytokines and mediators of the immune system in the brain and cerebrospinal fluid (CSF), is constant in all these neurodegenerative diseases and has been described in many studies and reviews [2,3,4,5,6,7,8,9,10].
Inflammation has pathogenic implications, either resulting from primary responses geared to reducing tissue damage secondary to toxic protein oligomers, oxidative stress, reticulum stress, and variegated molecules that might hamper neuronal viability, or leading to chronic and aggressive responses which jeopardize neuron survival. Anti-inflammatory therapies at advanced stages of the diseases have yielded poor benefits, but the use of non-steroidal anti-inflammatory drugs (NSAIDs) in younger individuals affected by autoimmune diseases such as rheumatoid arthritis has proved to be protective against AD [11,12,13,14,15,16,17,18,19] and PD [20,21].
The present review up-dates general aspects linked to neuroinflammation in AD, PD, CJD and tauopathies, and summarizes personal work published in the last two years dealing with gene expression profiles of cytokines and mediators of the immune response in a wide range of neurodegenerative diseases including AD, sPD, sCJD subtypes MM1 and VV2 at different stages of disease progression and in specific vulnerable regions. This is followed by a description of unpublished observations in the frontal cortex in tauopathies including Pick’s disease, progressive supranuclear palsy and frontotemporal lobar degeneration linked to the P301L mutation in MAPT. This last set of data was considered appropriate to includea here as it was obtained using the same methods and procedures as in studies noted in previous paragraphs, and it further documents disease specificities in the inflammatory response among neurodegenerative diseases with abnormal protein aggregates.
2. Inflammatory Genes as Risk Factors of Sporadic AD
APOEε4 augments the risk of late-onset Alzheimer’s disease (LOAD) whereas increased APOEε2 protects from AD [22,23,24,25,26,27]. In addition to other functions, APOE facilitates β-amyloid degradation in cooperative action of astrocytes and microglia [28,29,30,31,32,33]. However, the exact role of APOE isoforms as up- or down-regulators of the immune response apparently depends on the settings of experimental studies [34,35,36,37].
Variations in several genes putatively involved in inflammation and immune responses have been suggested as risk factors of LOAD on the basis of a genome-wide association study (GWAS) searching for single nucleotide polymorphisms associated with LOAD, data from the LOAD Consortium, and whole genome sequencing. These include ABCA7 (ATP-binding cassette subfamily A member 7), CD2AP (CD2 associated protein), CD33 (CD3 molecule), CLU (clusterin), CRI (complement component 3b/4b receptor 1), EPHA1 (EPH receptor 1), HLA-DRB5 (major histocompatibility complex, class II DR β5), INPP5D (inositol polyphosphate-5-phosphatase D), PICALM (phosphatidylinositol binding clathrin assembly protein), PLD3 (phospholipase D family, member 3), SORL1 (sortilin-related receptor, L (DLR class) A repeats containing), and TREM2 (triggering receptor expressed on myeloid cells 2) [38,39,40,41,42,43,44,45,46,47,48,49,50,51,52,53,54,55,56,57,58,59,60,61,62,63].
ABCA7, CLU, and CRI are implicated in the complement response; TREM2 regulates cytokine production; HLA-DRB5, like other molecules related to the HLA Class II, is involved in the presentation of immune-peptides; EPHA1 and INPP5D participate in inflammatory responses although their exact mechanism is not known; finally, the role of PICALM, PLD3, and SORL1 in the control of inflammation is poorly understood in AD, but PICALM seems to interact with APOE genotypes [41,64]. In addition to polymorphisms in those genes seen as putative risk factors of AD, IL6, IL1B, IL10, CCL2, CCL3, SELE, ICAM1, MMP3, and MMP9 gene polymorphisms have been linked to sporadic AD [65,66,67,68].
3. Inflammatory Genes as Risk Factors of Sporadic PD
Several studies associate genetic variations in the human leukocyte antigen (HLA) region with sporadic PD [69,70,71,72]. Targeted genetic studies and GWAS also revealed that genes implicated in the regulation of leucocyte and lymphocyte activity and cytokine-mediated signalling might be risk factors of PD [73,74,75,76,77,78,79,80,81]. However, some of these observations must be approached with caution, as they may be restricted to particular populations [82].
4. Inflammatory Genes as Risk Factors of Tauopathies
No inflammatory genes have been reported as risk factors of progressive supranuclear palsy (PSP) to our knowledge [83]. APOEε4 has been associated with frontotemporal lobar degeneration (FTLD) in males but not in females [84]. APOEε2 has been associated with protection [85] and with higher vulnerability [86] to FTLD.
5. Systemic Infections as Risk Factors of AD, PD, and CJD
Recent epidemiological studies have suggested that systemic inflammation and sepsis and certain infections increase the risk of suffering from AD in old age [87,88,89,90]. Periodontal infections are a risk factor of AD [91,92] (Sparks et al., 2012; Kamer et al., 2015). Infectious burden of cytomegalovirus, herpes virus 1, Borrelia burgdorferi, Chlamydophila pneumonia, and Helicobacter pylori is associated with AD [93,94,95,96,97,98].
Similarly, a few studies in PD have suggested that certain viral infections may predispose to PD in susceptible populations [99,100]. Autoimmunity has also been implicated in the pathogenesis of sporadic PD [101,102]; the role of toxoplasmosis and influenza [103,104] requires validation.
A particular scenario focuses on the gut as the putative entry point of pathogens later affecting the nervous system. In favor of this hypothesis is the well-known transmission of several prion diseases—kuru and variant Creutzfeldt-Jabo disease (vCJD) in humans and bovine spongiform encephalopathy—following contaminated food intake. Recent studies have demonstrated the effects of the composition of intestinal microbiota in the development of the immune system and particularly of microglia [105,106,107,108]. Altered microbioma is found in PD, although we do not know at present whether its modified composition is cause or effect of PD [109].
6. General Aspects of Inflammation in Sporadic AD
Hundreds of studies have analysed inflammation in AD including microglial and astrocyte responses, cytokines and mediators of inflammation, and relationships between β-amyloid and different cell actors [110,111,112,113,114,115,116,117,118,119,120].
The majority of studies have been centered on the responses of microglia to β-amyloid due to the overwhelming impact of the β-amyloid cascade hypothesis on the pathogenesis of AD. Little is known, however, about regional and temporal differences of microglial reactions, and the possible relationship of inflammatory responses and hyper-phosphorylated tau deposition in NFTs.
Interestingly, neuropathological studies have stressed that neuroinflammation is an early event in the pathogenesis of AD [121].
7. General Aspects of Inflammation in Sporadic PD
Inflammation including activation of microglia and astrocytes, and increased expression of cytokines and variegated molecules linked to immune responses is well documented in sporadic PD [4,122,123,124,125,126,127,128,129,130,131,132]. This has been tested in vivo using positron emission tomography (PET) with specific ligands, in the CSF and in post-mortem brains [4,122,127,133,134,135,136,137,138]. Inflammatory responses involve the substantia nigra, putamen, and other regions such as the hippocampus [123,134,139,140,141,142,143,144,145]. All these observations point to the activation of innate CNS immune responses in sporadic PD.
In addition, lymphocytes infiltrate the substantia nigra in PD [122,146,147], and CD+4 and CD+8 T cells are recruited to the substantia nigra in PD [148].
8. General Aspects of Inflammation in Sporadic Creutzfeldt-Jakob Disease (sCJD)
Dramatic activation of microglia occurs in sCJD, and microglia play a cardinal role in the pathogenesis of sCJD [149,150,151,152]. The majority of studies have been focused on microglia and different patterns of activation in CJD subtypes [153,154,155,156,157,158,159,160,161,162,163,164].
Increased expression of selected pro- and anti-inflammatory cytokines and immune response mediators has been reported in the CSF and in the brain of sCJD cases [154,156,158,160,165,166,167,168,169].
9. General Aspects of Inflammation in Tauopathies
Only a few studies have been focused on inflammatory changes in the cerebral cortex in tauopathies. Increased numbers of microglia are found in the cerebral cortex and subcortical white matter in vulnerable cortical areas in PiD [170,171]. Microglia activation and increased expression of IL-1β has also been reported in the substantia nigra and striatum in PSP [172]. Microglial activation, as revealed with PET studies using [11C](R)-PK11195 as a marker of microglia, has been reported in vivo in patients with FTLD-tau [173]. Activated microglia, and increased (IL-1β), and cyclooxygenase-2 immunoreactivity has been described in one patient with FTLD linked to the P301L mutation in MAPT [174].
10. A Comparative Inflammatory Transcriptome Study in Neurodegenerative Diseases with Abnormal Protein Aggregates
A few years ago, we began a comprehensive study of gene expression of cytokines and mediators of the immune response in AD, PD, sCJD, and selected tauopathies, in different regions and at different stages of disease progression. mRNA expression levels of selected genes of complement system (C1QL1, C1QTNF7, C3AR1), colony stimulation factors (CSF1R, CSF3R), Toll-like receptors (TLR4, TLR7), IL8, pro-inflammatory cytokines (IL6, IL6ST, IL1B), TNF-α family (TNFRS1A, TNF-α), IL-10 family (IL10, IL10RA, IL10RB), and TGF-β family (TGFB1, TGFB2) were analysed in 20 middle-aged individuals with no neuropathological lesions, 58 age-matched controls, 105 cases of sporadic AD, 56 cases of sporadic PD, 30 cases of sCJD (15 MM1 and 15 VV2), and 18 tauopathies. Cases with associated neurodegenerative processes (i.e., Lewy pathology and argyrophilic grain pathology) and metabolic syndrome were not included in the present series. Importantly, cases with systemic inflammatory (including autoimmune) diseases and infectious diseases were rejected. Special care was also taken not to include cases with prolonged agonal state (patients subjected to intensive care or suffering from hypoxia). Only cases with minor changes consistent with small blood vessel disease were included in the studies [175,176,177].
It is worth stressing that the same methods and the same probes were used in every case to minimize variations related to external conditions; taken together, these studies represent an effort to compare inflammatory transcriptomes along different neurodegenerative diseases. Methods employed are summarized as follows.
The purification of RNA was carried out with RNeasy Lipid Tissue Mini Kit (Qiagen GmbH, Hilden, Germany) following the protocol provided by the manufacturer. Quality of isolated RNA was first measured with Bioanalyzer Assay (Agilent, Santa Clara, CA, USA). The concentration of each sample was obtained from A260 measurements with Nanodrop 1000 (Thermo Scientific, Wilmington, DE, USA). RNA integrity was tested using the Agilent 2100 BioAnalyzer (Agilent Technologies, Palo Alto, CA, USA). The retro-transcriptase reaction was carried out using a High-Capacity cDNA Archive kit (Applied Biosystems, Foster City, CA, USA) following the protocol provided by the supplier. Parallel reactions for a RNA sample were run in the absence of MultiScribe Reverse Transcriptase to assess the degree of contaminating genomic DNA. TaqMan qRT-PCR assays for each gene were performed in duplicate on cDNA samples in 384-well optical plates using an ABI Prism 7900 Sequence Detection system (Applied Biosystems). For each 10 µL TaqMan reaction, 4.5 µL cDNA was mixed with 0.5 µL 20× TaqMan Gene Expression Assays and 5 µL of 2× TaqMan Universal PCR Master Mix (Applied Biosystems). Parallel assays for each sample were carried out using probes for hypoxanthine-guanine phosphoribosyltranferase (HPRT), alanyl-tRNA synthase (Aars), X-prolyl aminopeptidase (aminopeptidase P) 1 (XPNPEP1), and β-glucuronidase (β-Gus) used as housekeeping genes for normalization. The reactions were carried out using the following parameters: 50 °C for 2 min, 95 °C for 10 min, and 40 cycles of 95 °C for 15 s and 60 °C for 1 min. Finally, all TaqMan PCR data were captured using the Sequence Detection Software (SDS version 1.9, Applied Biosystems). Samples were analyzed with the double-delta cycle threshold (∆∆Ct) method. ∆Ct values represent normalized target gene levels with respect to the internal control. ∆∆Ct values were calculated as the ∆Ct of each test sample minus the mean ∆Ct of the calibrator samples (WT aged 3 months or human controls) for each target gene. The fold change was determined using the equation 2(−∆∆Ct). Results were analysed with one-way ANOVA followed by Student’s t-test when required and checked with the Tukey method. Differences between mean values were considered statistically significant * p < 0.05; ** p <0.01; *** p <0.001.
The nomenclature of the probes used is found in Abbreviations at the end of the main text. The following paragraphs summarize the main observations of these studies.
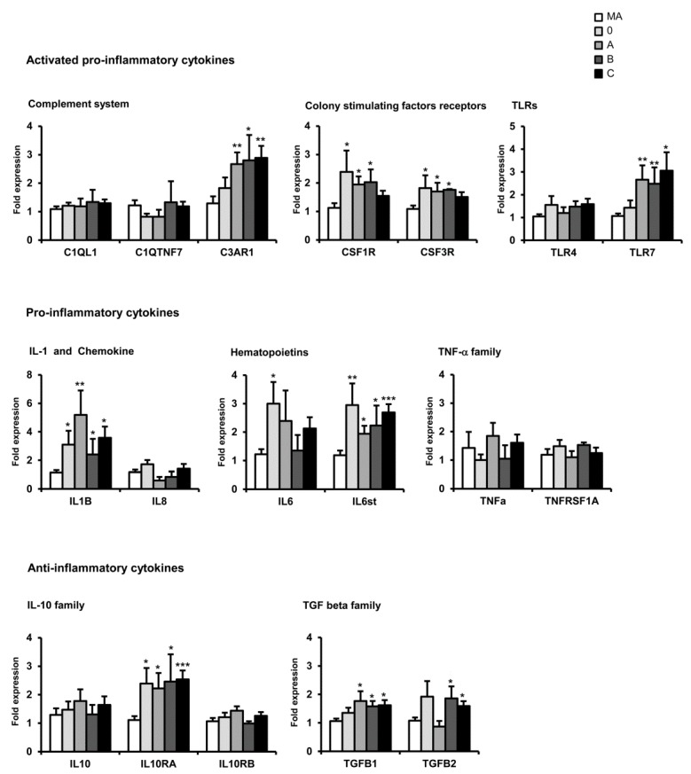
11. mRNA Expression of Selected Immune- and Inflammatory-Related Genes sAD: Regional Differences and Disease Progression
This is a summary based on observations of López-González et al., 2015 [177].
Cases and regions examined are summarized as follows: frontal cortex area 8: 11 AD stages I–II/0–A (average 74 ± 2.8 years), nine AD stages III–IV/A–B (average 79 ± 3.0 years), 20 AD stages V–VI/B–C (average 81 ± 1.6 years) and 15 middle-aged (MA) cases (average 63 ± 3 years); orbitofrontal cortex: 10 AD stages I–II/0–A (average 75 ± 3.2 years), 15 AD stages III–IV/A–B (average 80 ± 1.9 years), 6 AD stages V–VI/B–C (average 77 ± 5.0 years) and 11 middle-aged cases (average 53 ± 3.7 years); entorhinal cortex area 28: 11 AD stages I–II (average 77 ± 3.1 years), 13 AD stages III–IV (average 79 ± 1.7 years), 15 AD stages V–VI (average 81 ± 2.8 years) and seven control cases (average 53 ± 2.7 years). Middle-aged (MA) individuals had not suffered from neurologic and mental diseases and had no lesions on the post-mortem neuropathological examination. Cases with AD had no concomitant pathology (including Lewy bodies, TDP43 inclusions) excepting mild small blood vessel disease. Different groups were categorized according to the CERAD (Consortium to Establish a Registry for Alzheimer’s disease) stages of β-amyloid deposition 0, A, B and C. RIN (RNA integrity number) values ranged from 5.9 to 8.7. However, RIN values were similar among group in every particular region examined.
C3AR1, CSF3R, TLR7, IL1β, IL6, and IL10 mRNAs were increased in the entorhinal cortex at the first stages of AD when compared with middle-aged individuals. The expression of C1QTN7, C3AR1, TLR4, TLR7, and IL8 mRNAs significantly increased with disease progression. However, the expression of IL1β, IL6, and IL10 was reduced at advanced stages when compared with early stages of AD (Figure 1).
Figure 1.
mRNA expression of selected cytokines and mediators of the immune response in the entorhinal cortex in AD cases at stages 0, A, B, and C according to the CERAD semi-quantitative assessment of neuritic plaques. Data are represented as the mean ± SEM * p < 0.05, ** p < 001, *** p < 0.001 (see Ref. [177] for details).
Up-regulation of C3AR1, TLR7, IL1β, and IL6 mRNAs was also observed in the orbitofrontal cortex at the first stages of AD when compared with MA individuals. In addition, IL10, IL8, and C1QTNF7 mRNAs were up-regulated at the first stages. Increased expression of C3AR1, CSF1R, TLR7, IL10RA, TGFβ1, and TGFβ2 mRNAs occurred with disease progression. However, C1QTNF7, C3AR1, CSF1R, TLR7, IL8, IL1β, and IL6 were down-regulated at advanced stages of the disease when compared with middle stages (Figure 2).
Figure 2.
mRNA expression of selected cytokines and mediators of the immune response in the orbitofrontal cortex in AD cases at stages 0, A, B, and C according to the CERAD semi-quantitative assessment of neuritic plaques. Data are represented as the mean ± SEM * p < 0.05, ** p < 001, *** p < 0.001 (see Ref. [177] for details).
Significant increases in the expression levels of C3AR1, CSF1R, CSF3R, IL6, IL6ST, TGFβ1, and IL10RA were observed in the frontal cortex area 8 at the first stages of AD. mRNA expression of all these mediators increased with disease progression, as did TGFβ2. However, IL6, IL1, and CSF1R mRNA expression was reduced at advanced stages of AD (Figure 3).
Figure 3.
mRNA expression of selected cytokines and mediators of the immune response in the frontal cortex area 8 in AD cases at stages 0, A, B, and C according to the CERAD semi-quantitative assessment of neuritic plaques. Data are represented as the mean ± SEM * p < 0.05, ** p < 001, *** p < 0.001 (see Ref. [177] for details).
The study of the mRNA expression of cytokines and mediators of the immune response in AD revealed marked regional differences among the entorhinal cortex, orbitofrontal cortex, and frontal cortex area 8 in sporadic AD. In addition, differences in the expression of such markers were also observed with disease progression; most genes were up-regulated but some of them were differentially down-regulated at advanced stages of AD.
Whether the decrease in the expression of certain mediators is related to senescence of microglia is an exciting possibility that requires further study [178,179].
12. mRNA Expression of Selected Immune- and Inflammatory-Related Genes in sPD: Regional Differences
This is a summary based on observations of Garcia-Esparcia et al., 2014 [175].
The categorization of cases was done according to the standard classification of Braak into six stages. The total number of cases was 43 controls and 56 cases with PD-related pathology. The substantia nigra was studied in 14 PD cases stages 1–2 (n = 4), 3 (n = 1), 4 (n = 3) and 5 (n = 6), and 12 controls; the putamen in seven PD cases stages 3 (n = 1), 4 (n = 4) and 5 (n = 2), and eight controls; the frontal cortex (area 8) in 26 PD cases stages 3 (n = 1), 4 (n = 14), 5 (n = 10) and 6 (n = 1), and 21 controls; and the angular gyrus (area 39) in 13 PD cases stages 3 (n = 1), 4 (n = 8) and 5 (n = 4), and nine controls. Representation of genders was as follows: controls: 27 males and 16 females; PD cases: 40 males and 16 females [175]. PD cases had not any associated pathology excepting small blood vessel disease. RIN values were from 6.6 to 8.8.
Decreased expression of C1QL1, C1QTNF7, C3AR1, TLR7, IL1B, IL6, IL6ST, TNF-α, IL10, IL10RB, and TGFB2 mRNAs was observed in the substantia nigra at Braak stages 3-6. Decreased expression of C3AR1, TLR7, and TNFα, and increased expression of C1QTNF7 and IL10RA mRNAs, was observed in the putamen; down-regulation of CSF3R and TLR4, and up-regulation of IL10RA, were seen in the frontal cortex (area 8); and up-regulation of C3AR1, CSF3R, IL10RA, and TGB2 mRNAs was observed in the angular cortex (area 39) in the same series of PD cases.
The results of the study of the mRNA expression profile of cytokines and mediators of the immune response in sporadic PD showed marked regional variations, with expression levels of most genes markedly reduced in the substantia nigra pars compacta, small numbers down-regulated or up-regulated in the putamen and frontal cortex area 8, and a few up-regulated genes in the angular gyrus in the same series of cases.
13. mRNA Expression of Selected Immune- and Inflammatory-Related Genes in CJD: Regional Differences Depending on the Genotype
This is a summary based on observations of Llorens et al., 2014 [176].
Gene expression of selected cytokines and mediators of the immune response was analyzed in the frontal cortex area 8 and cerebellum of Creutzfeldt-Jakob disease (CJD) cases subtypes MM1 (n = 15) and VV2 (n = 15), and age-matched controls (n = 15).
Fourteen of eighteen mRNAs of the complement system, colony stimulating factors, toll-like receptors, and pro-inflammatory and anti-inflammatory cytokines were up-regulated in the frontal cortex area 8 in sCJD MM1. However, only six mRNAs of the fourteen increased in sCJD MM1 (ILRB, TNFRSF1A, C3AR1, CSF1R and CSF3R) and were up-regulated in the frontal cortex in sCJD VV2.
Regarding the cerebellum, 16 of eighteen mRNAs were up-regulated in the cerebellum in the same sCJD VV2 series of cases, whereas only eleven were up-regulated in the cerebellum in sCJD MM1. In addition, values were higher for sCJD VV2 when compared with sCJD MM1. Curiously IL8 and TLR4 were up-regulated in the cerebellum in sCJD MM1 but not in sCJD VV2.
These observations show regional gene regulation differences in sCJD which depend on the genotype being higher in the frontal cortex in sCJD MM1 and in the cerebellum in sCJD VV2.
14. mRNA Expression of Selected Immune- and Inflammatory-Related Genes in Tauopathies: Disease Differences
Post-mortem samples of the frontal cortex area 8 of five cases with Pick’s disease, eight cases with progressive supranuclear palsy typical form, and five cases with frontotemporal lobar degeneration linked to mutations in MAPT (FTLD-tau P301L) were analyzed in parallel with frontal cortex area 8 of age-matched controls. Pathological cases were pure forms with no associated pathologies. Methods were the same as those described in previous paragraphs and utilized in the study of AD, sPD and sCJD.
Gene expression of cytokines and inflammatory-related molecules was not homogeneous among the three conditions. Major changes were seen in PiD; C1QL1, C1QTNF7, TLR4, IL8, TNFRSF1A, and TGFB2 mRNA levels were significantly increased. Not a single mRNA of the eighteen examined was de-regulated in PSP. However, C1QL1, IL1B, IL8, IL6, IL6ST, TNF, TNFRSF1A, IL10, and TGFB2 were down-regulated, and CSF3R, TLR7, and ILRA10 were up-regulated in five FTLD-tau cases bearing the P301L mutation (Figure 4).
Figure 4.
mRNA expression of selected cytokines and mediators of the immune response in the frontal cortex in Pick’s disease (PiD, n = 5), progressive supranuclear palsy (PSP, n = 8), frontotemporal lobar degeneration-tau P301L (FTLD-tau; n = 5), and age-matched controls (C, n = 18). Data are represented as the mean ± SEM * p < 0.05, ** p < 001.
15. Comparative Aspects of Inflammatory Gene Regulation in the Frontal Cortex in Neurodegenerative Diseases with Abnormal Protein Aggregates
Inflammatory gene regulation differs greatly from one condition to another not only along disease progression (as seen in AD) but also at terminal stages. The most dramatic changes, manifested as up-regulation of the vast majority of genes assessed, occur in sCJD, and these are even greater in sCJD when compared with sCJD VV2 (although the opposite occurs in the cerebellum in the same cases). Gene up-regulation in AD follows in intensity, although up-regulation is higher at early and middle stages than advanced stages of the disease. PiD shows moderate inflammatory gene up-regulation. The cerebral cortex in PD, including a few cases with dementia, exhibits limited de-regulation of cytokines and inflammatory genes. Curiously, mRNA expression levels of assessed genes in PSP did not differ from those seen in age-matched controls. Finally, FTLD-tau P301L shows down-regulation of several inflammation-related genes and increased mRNA expression of only two.
It can be argued that regional differences in the regulation of genes involved in neuroinflammation can be expected in the same brain based on the different regional neuronal vulnerability. The present observations prove that this intuitive thinking is true but also, and more importantly, that certain genes can be up-regulated in certain regions whilst down-regulated in others in the same individual.
Similarly, it can be argued that inflammatory responses can differ in distinct diseases. Again the present review proves that available data support the concept that this is true even when considering a particular brain region. Inflammatory gene regulation in the frontal cortex in the different diseases and different stages of AD is summarized in Table 1. This table clearly shows that, in a given region, inflammatory responses are disease-dependent and stage-dependent. Moreover, the patterns of gene regulation characterize inflammatory changes in particular diseases which are independent of the degree of neuronal loss. For example marked neuronal loss is observed in the frontal cortex in Pick’s disease, FTLD-tau, AD and CJD but only diseases with extracellular deposits of abnormal proteins as β-amyloid and PrPSc in AD and CJD, respectively, are accompanied by marked inflammatory responses. In contrast, tauopathies are not.
Table 1.
Summary of gene regulation in the frontal cortex are 8 in Alzheimer’s disease (AD) at stages A.; B and C.; Parkinson’s disease (PD); Creutzfeldt-Jakob disease (CJD) subtypes MM1 and VV2.; Pick’s disease (PiD).; progressive supranuclear palsy (PSP).; and frontotemporal lobar degeneration linked to mutation P301L in MAPT (FTLD-tau).
| Family | Frontal Cortex Area 8 | |||||||||
|---|---|---|---|---|---|---|---|---|---|---|
| AD A | AD B | AD C | PD | CJD MM1 | CJD VV2 | PiD | PSP | FTLD-tau | ||
| Complement system | C1QL1 | = | = | = | = | = | = | ↑ | = | ↓ |
| C1QTNF7 | = | = | = | = | = | = | = | = | = | |
| C3AR1 | ↑ | ↑ | ↑ | = | ↑ | ↑ | = | = | = | |
| Colony stimulating factors | CSF1R | ↑ | ↑ | = | = | ↑ | ↑ | = | = | = |
| CSF3R | ↑ | ↑ | = | ↓ | ↑ | ↑ | ↑ | = | ↑ | |
| Toll-like receptors | TLR4 | = | = | = | ↓ | ↑ | = | = | = | |
| TLR7 | ↑ | ↑ | ↑ | = | ↑ | = | = | = | ↑ | |
| Cytokines | IL8 | = | = | = | = | = | = | ↑ | = | ↓ |
| IL1B | ↑ | ↑ | ↑ | = | = | ↑ | = | = | ↓ | |
| IL6 | ↑ | = | = | = | ↑ | = | = | = | ↓ | |
| IL6ST | ↑ | ↑ | ↑ | = | ↑ | = | = | = | ↓ | |
| TNF family | TNFα | = | = | = | = | ↑ | ↑ | = | = | ↓ |
| TNFRS1A | = | = | = | = | ↑ | ↑ | ↑ | = | ↓ | |
| IL10 family | IL10 | = | = | = | = | ↑ | = | = | = | ↓ |
| L10RA | ↑ | ↑ | ↑ | ↑ | ↑ | = | = | = | ↑ | |
| L10RB | = | = | = | = | = | = | = | = | = | |
| TGF-β | - | ↑ | ↑ | ↑ | = | ↑ | = | = | ↑ | ↑ |
| - | = | ↑ | ↑ | = | ↑ | = | ↑ | = | ↓ | |
16. Increased Expression of Inflammatory Markers in Blood and Serum in AD and PD
Several studies have shown inconsistent alterations of cytokines and mediators of the immune response in patients with mild cognitive impairment and AD [180,181,182,183,184,185,186]. Increased serum TNFR1 levels have been interpreted as a risk factor for converting mild cognitive impairment into dementia [187]. Acute systemic inflammatory disease seems to be accompanied by an increase in serum TNF-α levels and by a two-fold increase in cognitive decline in AD [88]. Whether these changes are a cause or a consequence of the disease is not known [188].
Interestingly, increased protein levels of IL-13, TNF-α, and G-CSF have been found in serum of patients with rapid AD compared to AD patients with common long progression [169].
Several studies have examined peripheral blood lymphocytes in PD [189]. Peripheral lymphocytes in PD show increased expression of cytokines compared to lymphocytes in controls when exposed to lipopolysaccharide (LPS) [190]. Examination of peripheral blood lymphocytes has shown altered percentages of T and B cells [191]; and increased CD45RO+ and FAS+ CD4+ T cells, along with decreased CD31+ and α4β7+ CD4+ T [192]. In addition, increased numbers of monocytes and elevated levels of certain cytokines such as IL-1β, IL-2, IL-4, IL-6, IL-8, IL-10, IL-12, NT-pro-2′,3′-cyclic nucleotide 3′ phosphodiesterase (NT-proCNP), tumour necrosis factor (TNF-α), soluble tumour necrosis factor α receptor-1 (TNFR1), and chemokine (C-C motif) ligand 5 (RANTES) have been reported in PD [190,193,194,195,196,197,198,199,200,201]. TNF-α expression levels in blood correlate with altered cognition, depression, and sleep disturbances in PD [201]. Other studies using microarrays have shown a limited repertoire of altered cytokines in patients with Parkinsonism [202].
17. Conclusions
The present observations indicate that inflammatory genes are not homogeneous risk factors in neurodegenerative diseases with abnormal protein aggregates. Available information indicates that systemic infections might be implicated in the pathogenesis of certain neurodegenerative diseases and that the peripheral immune system seems to be variably involved in the pathological processes, as revealed by subtle changes in certain cell components of blood and serum.
More importantly in the present context is the fact that regulation of genes encoding cytokines and mediators of the immune response differ from one disease to another. Regarding a particular region, the frontal cortex area 8, dramatic changes occur in sCJD subtypes MM1 and VV2, followed by sporadic AD and PiD. Gene expression alterations in the frontal cortex in sporadic PD are moderate, whereas practically no modifications are found in PSP. Interestingly, in contrast with other entities, down-regulation of several genes instead of up-regulation occurs in the frontal cortex area 8 in FTLD-tau P301L.
Another important conclusion is that regional differences occur in the same individuals. For example, the majority of assessed inflammation-related genes are down-regulated in the substantia nigra in sporadic PD whereas only a few of them are down-regulated in the putamen; down- and up-regulated genes are found in the fontal cortex area 8 while only up-regulated genes are found in the angular gyrus. Regional differences also apply in sCJD where gene expression markedly differs in the frontal cortex area 8 when compared with the cerebellum. Moreover, differences also exist between subtypes sCJD MM1 and sCJD VV2.
Finally, gene expression of cytokines and mediators of the immune response vary with disease progression, as seen at different stages of sporadic AD. Major down-regulation occurs at the first and middle stages of the disease, only to decrease at advanced stages of AD.
The present study has not looked for the possible causes of such differences, although some insights link inflammatory responses with extracellular abnormal proteins such as β-amyloid and PrPSc in AD and CJD, but rather has sought to describe neuroinflammation, inflammation, and inflammatory response in neurodegenerative diseases.
The major practical implication is that we are starting to learn that neuroinflammation is a very wide and ambiguous term when applied to neurodegenerative diseases as it covers many different responses. Neuroinflammatory responses are disparate among neurodegenerative diseases and they also differ in different regions in the same individual, and at different stages of disease progression. Knowledge of these descriptive data is necessary in order to understand the very complex scenario caused by neuroinflammation in the context of neurodegenerative diseases. A better understanding of these aspects will help to identify targets at the appropriate stages of particular diseases for new selective therapeutic interventions.
Acknowledgments
The studies described in the present review were funded by the Seventh Framework Programme of the European Commission, grant agreement 278486: DEVELAGE; Ministerio de Ciencia e Innovación, Instituto de Salud Carlos III—Fondos FEDER, a way to build Europe FIS PIE14/00034 and PI14/00757; and CIBERNED: Rapid Dementias. We wish to thank Tom Yohannan for editorial assistance.
Abbreviations
| C1QL1 | complement component 1, q subcomponent-like 1 |
| C1QTNF7 | C1q and tumor necrosis factor related protein 7 |
| C3AR1 | complement component 3a receptor 1 |
| CLEC7A | C-type lectin domain family 7, member A |
| CSF1R | colony stimulating factor 1 receptor |
| CSF3R | colony stimulating factor 3 receptor |
| IL1B | interleukin 1β |
| IL6 | interleukin 6 |
| IL6ST | interleukin 6 signal transducer |
| IL8 | interleukin 8 |
| IL10 | interleukin 10 |
| IL10RA | interleukin 10 receptor α |
| IL10RB | inerkeukin 10 receptor β |
| NFκB | nuclear factor of kappa light polypeptide gene enhancer in B-cells |
| TGFB1 | transforming growth factor β1 |
| TGFB2 | transforming growth factor β2 |
| TLR4 | toll-like receptor 4 |
| TLR7 | toll-like receptor 7 |
| TNF, TNFα | tumor necrosis factor α |
| TNFRSF1A | tumor necrosis factor receptor superfamily, member 1A |
Author Contributions
Irene Lopez Goinzalez carried out the study of inflammation in Alzheimer’s disease (AD) and tauopathies and contributed to the study of Creutzfeldt-Jakob disease (CJD); Paula Garcia-Esparcia performed the study in Parkinson’s disease (PD) and contributed to the study of AD; Franc Llorens studied inflammation in Creutzfeldt-Jakob disease and contributed to the study of AD and PD; Isidro Ferrer designed the study, selected the cases, supervised the results, and wrote the manuscript.
Conflicts of Interest
The authors declare no conflict of interest.
References
- 1.Love S., Budka H., Ironside J.W., Perry A. Greenfield’s Neuropathology. 9th ed. CRC Press, Taylor & Francis Group; Boca Raton, FL, USA: 2015. [Google Scholar]
- 2.Streit W.J., Greber M.B., Kreutzberg G.W. Functional plasticity of microglia: A review. Glia. 1988;1:301–307. doi: 10.1002/glia.440010502. [DOI] [PubMed] [Google Scholar]
- 3.Kreutzberg G.W. Microglia: A sensor for pathological events in the CNS. Trends Neurosci. 1996;19:312–318. doi: 10.1016/0166-2236(96)10049-7. [DOI] [PubMed] [Google Scholar]
- 4.McGeer P.L., McGeer E.G. Inflammation and neurodegeneration in Parkinson’s disease. Parkinsonism Relat. Disord. 2004;10(Suppl. 1):S3–S7. doi: 10.1016/j.parkreldis.2004.01.005. [DOI] [PubMed] [Google Scholar]
- 5.Streit W.J. Microglia and neuroprotection: Implications for Alzheimer’s disease. Brain Res. Rev. 2005;48:234–239. doi: 10.1016/j.brainresrev.2004.12.013. [DOI] [PubMed] [Google Scholar]
- 6.Graeber M.B. Chanching face of microglia. Science. 2010;330:783–788. doi: 10.1126/science.1190929. [DOI] [PubMed] [Google Scholar]
- 7.Graeber M.B., Streit W.J. Microglia: Biology and pathology. Acta Neuropathol. 2010;119:89–105. doi: 10.1007/s00401-009-0622-0. [DOI] [PubMed] [Google Scholar]
- 8.McGeer P.L., McGeer E.G. History of innate immunity in neurodegenerative disorders. Front. Pharmacol. 2011;2:77. doi: 10.3389/fphar.2011.00077. [DOI] [PMC free article] [PubMed] [Google Scholar]
- 9.Graeber M.B., Li W., Michael L., Rodríguez M.L. Role of microglia in CNS inflammation. FEBS Lett. 2011;585:3798–3805. doi: 10.1016/j.febslet.2011.08.033. [DOI] [PubMed] [Google Scholar]
- 10.Heneka M.T., Kummer M.P., Latz E. Innate immune activation in neurodegenerative disease. Nat. Rev. Immunol. 2014;14:463–477. doi: 10.1038/nri3705. [DOI] [PubMed] [Google Scholar]
- 11.Mackenzie I.R., Muñoz D.G. Non-steroidal anti-inflammatory drug use and Alzheimer-type pathology in aging. Neurology. 1998;50:986–990. doi: 10.1212/WNL.50.4.986. [DOI] [PubMed] [Google Scholar]
- 12.Jenkinson M.L., Bliss M.R., Brain A.T., Scott D.L. Rheumatoid arthritis and senile dementia of the Alzheimer’s type. Br. J. Rheumatol. 1989;28:86–88. doi: 10.1093/rheumatology/28.1.86-b. [DOI] [PubMed] [Google Scholar]
- 13.McGeer P.L., McGeer E., Rogers J., Sibley J. Anti-inflammatory drugs and Alzheimer disease. Lancet. 1990;335:1037. doi: 10.1016/0140-6736(90)91101-F. [DOI] [PubMed] [Google Scholar]
- 14.Myllykangas-Luosujarvi R., Isomaki H. Alzheimer’s disease and rheumatoid arthritis. Rheumatology. 1994;33:501–502. doi: 10.1093/rheumatology/33.5.501. [DOI] [PubMed] [Google Scholar]
- 15.Breitner J.C., Welsh K.A., Helms M.J., Gaskell P.C., Gau B.A., Roses A.D., Pericak-Vance M.A., Saunders A.M. Delayed onset of Alzheimer’s disease with non-steroidal anti-inflammatory and histamine H2 blocking drugs. Neurobiol. Aging. 1995;16:523–530. doi: 10.1016/0197-4580(95)00049-K. [DOI] [PubMed] [Google Scholar]
- 16.Stewart W.F., Kawas C., Corrada M., Metter E.J. Risk of Alzheimer’s disease and duration of NSAID use. Neurology. 1997;48:626–632. doi: 10.1212/WNL.48.3.626. [DOI] [PubMed] [Google Scholar]
- 17.Vlad S.C., Miller D.R., Kowall N.W., Felson D.T. Protective effects of NSAIDs on the development of Alzheimer disease. Neurology. 2008;70:1672–1677. doi: 10.1212/01.wnl.0000311269.57716.63. [DOI] [PMC free article] [PubMed] [Google Scholar]
- 18.Schwab C., McGeer P.L. Inflammatory aspects of Alzheimer disease and other neurodegenerative disorders. J. Alzheimers Dis. 2008;13:359–369. doi: 10.3233/jad-2008-13402. [DOI] [PubMed] [Google Scholar]
- 19.Zandi P.P., Anthony J.C., Hayden K.M., Mehta K., Mayer L., Breitner J.C. Cache County Study Investigator. Reduced incidence of AD with NSAID but not H2 receptor antagonists: The Cache County Study. Neurology. 2002;59:880–886. doi: 10.1212/WNL.59.6.880. [DOI] [PubMed] [Google Scholar]
- 20.Chen H., Zhang S.M., Hernan M.A., Schwarzschild M.A., Willett W.C., Colditz G.A., Speizer F.E., Ascherio A. Nonsteroidal anti-inflammatory drugs and the risk of Parkinson disease. Arch. Neurol. 2003;60:1059–1064. doi: 10.1001/archneur.60.8.1059. [DOI] [PubMed] [Google Scholar]
- 21.Samii A., Etminan M., Wiens M.O., Jafari S. NSAID use and the risk of Parkinson’s disease: Systematic review and meta-analysis of observational studies. Drugs Aging. 2009;26:769–779. doi: 10.2165/11316780-000000000-00000. [DOI] [PubMed] [Google Scholar]
- 22.Rao V.S., Cupples A., van Duijn C.M., Kurz A., Green R.C., Chui H., Duara R., Auerbach S.A., Volicer L., Wells J., et al. Evidence for major gene inheritance of Alzheimer disease in families of patients with and without apolipoprotein E epsilon 4. Am. J. Hum. Genet. 1996;59:664–675. [PMC free article] [PubMed] [Google Scholar]
- 23.Farrer L.A., Cupples L.A., Haines J.L., Hyman B., Kukull W.A., Mayeux R., Myers R.H., Pericak-Vance M.A., Risch N., van Duijn C.M. Effects of age, sex, and ethnicity on the association between apolipoprotein E genotype and Alzheimer disease. A meta-analysis. APOE and Alzheimer Disease Meta Analysis Consortium. JAMA. 1997;278:1349–1356. doi: 10.1001/jama.1997.03550160069041. [DOI] [PubMed] [Google Scholar]
- 24.Kim K.W., Jhoo J.H., Lee K.U., Lee D.Y., Lee J.H., Youn J.Y., Lee B.J., Han S.H., Woo J.I. Association between apolipoprotein E polymorphism and Alzheimer’s disease in Koreans. Neurosci. Lett. 1999;277:145–148. doi: 10.1016/S0304-3940(99)00867-8. [DOI] [PubMed] [Google Scholar]
- 25.Bertram L., McQueen M.B., Mullin K., Blacker D., Tanzi R.E. Systematic meta-analyses of Alzheimer disease genetic association studies, the AlzGene database. Nat. Genet. 2007;39:17–23. doi: 10.1038/ng1934. [DOI] [PubMed] [Google Scholar]
- 26.Coon K.D., Myers A.J., Craig D.W., Webster J.A., Pearson J.V., Lince D.H., Zismann V.L., Beach T.G., Leung D., Bryden L., et al. A high-density whole-genome association study reveals that APOE is the major susceptibility gene for sporadic late-onset Alzheimer’s disease. J. Clin. Psychiatry. 2007;68:613–618. doi: 10.4088/JCP.v68n0419. [DOI] [PubMed] [Google Scholar]
- 27.Chouraki V., Seshadri S. Genetics of Alzheimer’s disease. Adv. Genet. 2014;87:245–294. doi: 10.1016/B978-0-12-800149-3.00005-6. [DOI] [PubMed] [Google Scholar]
- 28.Koistinaho M., Lin S., Wu X., Esterman M., Koger D., Hanson J., Higgs R., Liu F., Malkani S., Bales K.R., Paul S.M. Apolipoprotein E promotes astrocyte colocalization and degradation of deposited amyloid-beta peptides. Nat. Med. 2004;10:719–726. doi: 10.1038/nm1058. [DOI] [PubMed] [Google Scholar]
- 29.Maezawa I., Maeda N., Montine T.J., Montine K.S. Apolipoprotein E-specific innate immune response in astrocytes from targeted replacement mice. J. Neuroinflamm. 2006;3:10. doi: 10.1186/1742-2094-3-10. [DOI] [PMC free article] [PubMed] [Google Scholar]
- 30.Maezawa I., Nivison M., Montine K.S., Maeda N., Montine T.J. Neurotoxicity from innate immune response is greatest with targeted replacement of E4 allele of apolipoprotein E gene and is mediated by microglial p38MAPK. FASEB J. 2006;20:797–799. doi: 10.1096/fj.05-5423fje. [DOI] [PubMed] [Google Scholar]
- 31.Jiang Q., Lee C.Y., Mandrekar S., Wilkinson B., Cramer P., Zelcer N., Mann K., Lamb B., Willson T.M., Collins J.L., et al. ApoE promotes the proteolytic degradation of Abeta. Neuron. 2008;58:681–693. doi: 10.1016/j.neuron.2008.04.010. [DOI] [PMC free article] [PubMed] [Google Scholar]
- 32.Zhao L., Lin S., Bales K.R., Gelfanova V., Koger D., Delong C., Hale J., Liu F., Hunter J.M., Paul S.M. Macrophage-mediated degradation of beta-amyloid via an apolipoprotein E isoform-dependent mechanism. J. Neurosci. 2009;29:3603–3612. doi: 10.1523/JNEUROSCI.5302-08.2009. [DOI] [PMC free article] [PubMed] [Google Scholar]
- 33.Terwel D., Steffensen K.R., Verghese P.B., Kummer M.P., Gustafsson J.Å., Holtzman D.M., Heneka M.T. Critical role of astroglial apolipoprotein E and liver X receptor-α expression for microglial Aβ phagocytosis. J. Neurosci. 2011;31:7049–7059. doi: 10.1523/JNEUROSCI.6546-10.2011. [DOI] [PMC free article] [PubMed] [Google Scholar]
- 34.Guo L., LaDu M.J., van Eldik L.J. A dual role for apolipoprotein E in neuroinflammation: Anti- and pro-inflammatory activity. J. Mol. Neurosci. 2004;23:205–212. doi: 10.1385/JMN:23:3:205. [DOI] [PubMed] [Google Scholar]
- 35.Licastro F., Porcellini E., Caruso C., Lio D., Corder E.H. Genetic risk profiles for Alzheimer’s disease: Integration of APOE genotype and variants that up-regulate inflammation. Neurobiol Aging. 2007;28:1637–1643. doi: 10.1016/j.neurobiolaging.2006.07.007. [DOI] [PubMed] [Google Scholar]
- 36.Dorey E., Chang N., Liu Q.Y., Yang Z., Zhang W. Apolipoprotein E, amyloid-beta, and neuroinflammation in Alzheimer’s disease. Neurosci. Bull. 2014;30:317–330. doi: 10.1007/s12264-013-1422-z. [DOI] [PMC free article] [PubMed] [Google Scholar]
- 37.Tai L.M., Ghura S., Koster K.P., Liakaite V., Maienschein-Cline M., Kanabar P., Collins N., Ben-Aissa M., Lei A.Z., Bahroos N., et al. APOE-modulated Aβ-induced neuroinflammation in Alzheimer’s disease, current landscape, novel data, and future perspective. J. Neurochem. 2015;133:465–488. doi: 10.1111/jnc.13072. [DOI] [PMC free article] [PubMed] [Google Scholar]
- 38.Rogaeva E., Meng Y., Lee J.H., Gu Y., Kawarai T., Zou F., Katayama T., Baldwin C.T., Cheng R., Hasegawa H., et al. The neuronal sortilin-related receptor SORL1 is genetically associated with Alzheimer disease. Nat. Genet. 2007;39:168–177. doi: 10.1038/ng1943. [DOI] [PMC free article] [PubMed] [Google Scholar]
- 39.Li Y., Rowland C., Catanese J., Morris J., Lovestone S., O’Donovan M.C., Goate A., Owen M., Williams J., Grupe A. SORL1 variants and risk of late-onset Alzheimer’s disease. Neurobiol. Dis. 2008;29:293–296. doi: 10.1016/j.nbd.2007.09.001. [DOI] [PMC free article] [PubMed] [Google Scholar]
- 40.Harold D., Abraham R., Hollingworth P., Sims R., Gerrish A., Hamshere M.L., Pahwa J.S., Moskvina V., Dowzell K., Williams A., et al. Genome-wide association study identifies variants at CLU and PICALM associated with Alzheimer’s disease. Nat. Genet. 2009;41:1088–1093. doi: 10.1038/ng.440. [DOI] [PMC free article] [PubMed] [Google Scholar]
- 41.Jun G., Naj A.C., Beecham G.W., Wang L.S., Buros J., Gallins P.J., Buxbaum J.D., Ertekin-Taner N., Fallin M.D., Friedland R., et al. Meta-analysis confirms CR1, CLU, and PICALM as Alzheimer disease risk loci and reveals interactions with APOE genotypes. Arch. Neurol. 2010;67:1473–1484. doi: 10.1001/archneurol.2010.201. [DOI] [PMC free article] [PubMed] [Google Scholar]
- 42.Seshadri S., Fitzpatrick A.L., Ikram M.A., DeStefano A.L., Gudnason V., Boada M., Bis J.C., Smith A.V., Carassquillo M.M., Lambert J.C., et al. Genome-wide analysis of genetic loci associated with Alzheimer disease. JAMA. 2010;303:1832–1840. doi: 10.1001/jama.2010.574. [DOI] [PMC free article] [PubMed] [Google Scholar]
- 43.Hollingworth P., Harold D., Sims R., Gerrish A., Lambert J.C., Carrasquillo M.M., Abraham R., Hamshere M.L., Pahwa J.S., Moskvina V., et al. Common variants at ABCA7, MS4A6A/MS4A4E, EPHA1, CD33 and CD2AP are associated with Alzheimer’s disease. Nat. Genet. 2011;43:429–435. doi: 10.1038/ng.803. [DOI] [PMC free article] [PubMed] [Google Scholar]
- 44.Naj A.C., Jun G., Beecham G.W., Wang L.S., Vardarajan B.N., Buros J., Gallins P.J., Buxbaum J.D., Jarvik G.P., Crane P.K., et al. Common variants at MS4A4/MS4A6E, CD2AP, CD33 and EPHA1 are associated with late-onset Alzheimer’s disease. Nat. Genet. 2011;43:436–441. doi: 10.1038/ng.801. [DOI] [PMC free article] [PubMed] [Google Scholar]
- 45.Reitz C., Cheng R., Rogaeva E., Lee J.H., Tokuhiro S., Zou F., Bettens K., Sleegers K., Tan E.K., Kimura R., et al. Meta-analysis of the association between variants in SORL1 and Alzheimer disease. Arch. Neurol. 2011;68:99–106. doi: 10.1001/archneurol.2010.346. [DOI] [PMC free article] [PubMed] [Google Scholar]
- 46.Brouwers N., van Cauwenberghe C., Engelborghs S., Lambert J.C., Bettens K., Le Bastard N., Pasquier F., Montoya A.G., Peeters K., Mattheijssens M., et al. Alzheimer risk associated with a copy number variation in the complement receptor 1 increasing C3b/C4b binding sites. Mol. Psychiatry. 2012;17:223–233. doi: 10.1038/mp.2011.24. [DOI] [PMC free article] [PubMed] [Google Scholar]
- 47.Jonsson T., Stefansson H., Steinberg S., Jonsdottir I., Jonsson P.V., Snaedal J., Bjornsson S., Huttenlocher J., Levey A.I., Lah J.J., et al. Variant of TREM2 associated with the risk of Alzheimer’s disease. N. Engl. J. Med. 2013;368:107–116. doi: 10.1056/NEJMoa1211103. [DOI] [PMC free article] [PubMed] [Google Scholar]
- 48.Jin C., Liu X., Zhang F., Wu Y., Yuan J., Zhu J., Zhang F., Wang G., Cheng Z. An updated meta-analysis of the association between SORL1 variants and the risk for sporadic Alzheimer’s disease. J. Alzheimers Dis. 2013;37:429–437. doi: 10.3233/JAD-130533. [DOI] [PubMed] [Google Scholar]
- 49.Rajagopalan P., Hibar D.P., Thompson P.M. TREM2 and neurodegenerative disease. N. Engl. J. Med. 2013;369:1565–1567. doi: 10.1056/NEJMc1306509#SA3. [DOI] [PMC free article] [PubMed] [Google Scholar]
- 50.Guerreiro R., Wojtas A., Bras J., Carrasquillo M., Rogaeva E., Majounie E., Cruchaga C., Sassi C., Kauwe J.S., Younkin S., et al. TREM2 variants in Alzheimer’s disease. N. Engl. J. Med. 2013;368:117–127. doi: 10.1056/NEJMoa1211851. [DOI] [PMC free article] [PubMed] [Google Scholar]
- 51.Malik M., Simpson J.F., Parikh I., Wilfred B.R., Fardo D.W., Nelson P.T., Estus S. CD33 Alzheimer’s risk-altering polymorphism, CD33 expression, and exon 2 splicing. J. Neurosci. 2013;33:13320–13325. doi: 10.1523/JNEUROSCI.1224-13.2013. [DOI] [PMC free article] [PubMed] [Google Scholar]
- 52.Lambert J.C., Ibrahim-Verbaas C.A., Harold D., Naj A.C., Sims R., Bellenguez C., DeStafano A.L., Bis J.C., Beecham G.W., Grenier-Boley B., et al. Meta-analysis of 74,046 individuals identifies 11 new susceptibility loci for Alzheimer’s disease. Nat. Genet. 2013;45:1452–1458. doi: 10.1038/ng.2802. [DOI] [PMC free article] [PubMed] [Google Scholar]
- 53.Miyashita A., Koike A., Jun G., Wang L.S., Takahashi S., Matsubara E., Kawarabayashi T., Shoj M., Tomita N., Arai H., et al. SORL1 is genetically associated with late-onset Alzheimer’s disease in Japanese, Koreans and Caucasians. PLoS ONE. 2013;8:206. doi: 10.1371/journal.pone.0058618. [DOI] [PMC free article] [PubMed] [Google Scholar]
- 54.Karch C.M., Cruchaga C., Goate A.M. Alzheimer’s disease genetics: From the bench to the clinic. Neuron. 2014;83:11–26. doi: 10.1016/j.neuron.2014.05.041. [DOI] [PMC free article] [PubMed] [Google Scholar]
- 55.Ruiz A., Dols-Icardo O., Bullido M.J., Pastor P., Rodríguez-Rodríguez E., López de Munain A., de Pancorbo M.M., Pérez-Tur J., Alvarez V., Antonell A., et al. Assessing the role of the TREM2 p.R47H variant as a risk factor for Alzheimer’s disease and frontotemporal dementia. Neurobiol. Aging. 2014;35:444–e1. doi: 10.1016/j.neurobiolaging.2013.08.011. [DOI] [PubMed] [Google Scholar]
- 56.Naj A.C., Jun G., Reitz C., Kunkle B.W., Perry W., Park Y.S., Beecham G.W., Rajbhandary R.A., Hamilton-Nelson K.L., Wang L.S., et al. Effects of multiple genetic loci on age at onset in late-onset Alzheimer disease: A genome-wide association study. JAMA Neurol. 2014;71:1394–1404. doi: 10.1001/jamaneurol.2014.1491. [DOI] [PMC free article] [PubMed] [Google Scholar]
- 57.Jiang T., Yu J.T., Hu N., Tan M.S., Zhu X.C., Tan L. CD33 in Alzheimer’s disease. Mol. Neurobiol. 2014;49:529–535. doi: 10.1007/s12035-013-8536-1. [DOI] [PubMed] [Google Scholar]
- 58.Cruchaga C., Karch C.M., Jin S.C., Benitez B.A., Cai Y., Guerreiro R., Harari O., Norton J., Budde J., Bertelsen S., et al. Rare coding variants in the phospholipase D3 gene confer risk for Alzheimer’s disease. Nature. 2014;505:550–554. doi: 10.1038/nature12825. [DOI] [PMC free article] [PubMed] [Google Scholar]
- 59.Reitz C. Genetic loci associated with Alzheimer’s disease. Future Neurol. 2014;9:119–122. doi: 10.2217/fnl.14.1. [DOI] [PMC free article] [PubMed] [Google Scholar]
- 60.Jin S.C., Benitez B.A., Karch C.M., Cooper B., Skorupa T., Carrell D., Norton J.B., Hsu S., Harari O., Cai Y., et al. Coding variants in TREM2 increase risk for Alzheimer’s disease. Hum. Mol. Genet. 2014;23:5838–5846. doi: 10.1093/hmg/ddu277. [DOI] [PMC free article] [PubMed] [Google Scholar]
- 61.International Genomics of Alzheimer’s Disease Consortium (IGAP) Convergent genetic and expression data implicate immunity in Alzheimer’s disease. Alzheimers Dement. 2015;11:658–671. doi: 10.1016/j.jalz.2014.05.1757. [DOI] [PMC free article] [PubMed] [Google Scholar]
- 62.Zhu X.C., Yu J.T., Jiang T., Wang P., Cao L., Tan L. CR1 in Alzheimer’s disease. Mol. Neurobiol. 2015;51:753–765. doi: 10.1007/s12035-014-8723-8. [DOI] [PubMed] [Google Scholar]
- 63.Lu Y., Liu W., Wang X. TREM2 variants and risk of Alzheimer’s disease: A meta-analysis. Neurol. Sci. 2015 doi: 10.1007/s10072-015-2274-2. [DOI] [PubMed] [Google Scholar]
- 64.Xiao Q., Gil S.C., Yan P., Wang Y., Han S., Gonzales E., Perez R., Cirrito J.R., Lee J.M. Role of phosphatidylinositol clathrin assembly lymphoid-myeloid leukemia (PICALM) in intracellular amyloid precursor protein (APP) processing and amyloid plaque pathogenesis. J. Biol. Chem. 2012;287:21279–21289. doi: 10.1074/jbc.M111.338376. [DOI] [PMC free article] [PubMed] [Google Scholar]
- 65.Lio D., Licastro F., Scola L., Chiappelli M., Grimaldi L.M., Crivello A., Colonna-Romano G., Candore G., Franceschi C., Caruso C. Interleukin-10 promoter polymorphism in sporadic Alzheimer’s disease. Genes Immun. 2003;4:234–238. doi: 10.1038/sj.gene.6363964. [DOI] [PubMed] [Google Scholar]
- 66.Ma S.L., Tang N.L., Lam L.C., Chiu H.F. The association between promoter polymorphism of the interleukin-10 gene and Alzheimer’s disease. Neurobiol. Aging. 2005;26:1005–1010. doi: 10.1016/j.neurobiolaging.2004.08.010. [DOI] [PubMed] [Google Scholar]
- 67.Sardi F., Fassina L., Venturini L., Inguscio M., Guerriero F., Rolfo E., Ricevuti G. Alzheimer’s disease, autoimmunity and inflammation. The good, the bad and the ugly. Autoimmun. Rev. 2011;11:149–153. doi: 10.1016/j.autrev.2011.09.005. [DOI] [PubMed] [Google Scholar]
- 68.Flex A., Giovannini S., Biscetti F., Liperoti R., Spalletta G., Straface G., Landi F., Angelini F., Caltagirone C., Ghirlanda G., et al. Effect of proinflammatory gene polymorphisms on the risk of Alzheimer’s disease. Neurodegener. Dis. 2014;13:230–236. doi: 10.1159/000353395. [DOI] [PubMed] [Google Scholar]
- 69.Hamza T.H., Zabetian C.P., Tenesa A., Laederach A., Montimurro J., Yearout D., Kay D.M., Doheny K.F., Paschall J., Pugh E., et al. Common genetic variation in the HLA region is associated with late-onset sporadic Parkinson’s disease. Nat. Genet. 2010;42:781–785. doi: 10.1038/ng.642. [DOI] [PMC free article] [PubMed] [Google Scholar]
- 70.Saiki M., Baker A., Williams-Gray C.H., Foltynie T., Goodman R.S., Taylor C.J., Compston D.A., Barker R.A., Sawcer S.J., Goris A. Association of the human leucocyte antigen region with susceptibility to Parkinson’s disease. J. Neurol. Neurosurg. Psychiatry. 2010;81:890–891. doi: 10.1136/jnnp.2008.162883. [DOI] [PubMed] [Google Scholar]
- 71.Hill-Burns E.M., Factor S.A., Zabetian C.P., Thomson G., Payami H. Evidence for more than one Parkinson’s disease-associated variant within the HLA region. PLoS ONE. 2011;6:206. doi: 10.1371/journal.pone.0027109. [DOI] [PMC free article] [PubMed] [Google Scholar]
- 72.Wissemann W.T., Hill-Burns E.M., Zabetian C.P., Factor S.A., Patsopoulos N., Hoglund B., Holcomb C., Donahue R.J., Thomson G., Erlich H., et al. Association of Parkinson disease with structural and regulatory variants in the HLA region. Am. J. Hum. Genet. 2013;93:984–993. doi: 10.1016/j.ajhg.2013.10.009. [DOI] [PMC free article] [PubMed] [Google Scholar]
- 73.Krügler R., Hardt C., Tschentscher F., Jäckel S., Kuhn W., Müller T., Werner J., Woitalla D., Berg D., Kühnl N., et al. Genetic analysis of immunomodulating factors in sporadic Parkinson’s disease. J. Neural Transm. 2000;107:553–562. doi: 10.1007/s007020070078. [DOI] [PubMed] [Google Scholar]
- 74.McGeer P.L., Yasojima K., McGeer E.G. Association of interleukin-1 beta polymorphisms with idiopathic Parkinson’s disease. Neurosci. Lett. 2002;326:67–69. doi: 10.1016/S0304-3940(02)00300-2. [DOI] [PubMed] [Google Scholar]
- 75.Mattila K.M., Rinne J.O., Lehtimäki T., Röyttä M., Ahonen J.P., Hurme M. Association of an interleukin 1B gene polymorphism (-511) with Parkinson’s disease in Finnish patients. J. Med. Genet. 2002;39:400–402. doi: 10.1136/jmg.39.6.400. [DOI] [PMC free article] [PubMed] [Google Scholar]
- 76.Hakansson A., Westberg L., Nilsson S., Buervenich S., Carmine A., Holmberg B., Sydow O., Olson L., Johnels B., Eriksson E., et al. Interaction of polymorphisms in the genes encoding interleukin-6 and estrogen receptor beta on the susceptibility to Parkinson’s disease. Am. J. Med. Genet. B Neuropsychiatr. Genet. 2005;133B:88–92. doi: 10.1002/ajmg.b.30136. [DOI] [PubMed] [Google Scholar]
- 77.Wahner A.D., Sinsheimer J.S., Bronstein J.M., Ritz B. Inflammatory cytokine gene polymorphisms and increased risk of Parkinson disease. Arch. Neurol. 2007;64:836–840. doi: 10.1001/archneur.64.6.836. [DOI] [PubMed] [Google Scholar]
- 78.Bialecka M., Klodowska-Duda G., Kurzawski M., Slawek J., Gorzkowska A., Opala G., Bialecki P., Sagan L., Droździk M. Interleukin-10 (IL10) and tumor necrosis factor alpha (TNF) gene polymorphisms in Parkinson’s disease patients. Parkinsonism Relat. Disord. 2008;14:636–640. doi: 10.1016/j.parkreldis.2008.02.001. [DOI] [PubMed] [Google Scholar]
- 79.Xu X., Li D., He Q., Gao J., Chen B., Xie A. Interleukin-18 promoter polymorphisms and risk of Parkinson’s disease in a Han Chinese population. Brain Res. 2011;1381:90–94. doi: 10.1016/j.brainres.2011.01.025. [DOI] [PubMed] [Google Scholar]
- 80.Holmans P., Moskvina V., Jones L., Sharma M., International Parkinson’s Disease Genomics Consortium. Vedernikov A., Buchel F., Saad M., Bras J.M., Bettella F., et al. A pathway-based analysis provides additional support for an immune-related genetic susceptibility to Parkinson’s disease. Hum. Mol. Genet. 2013;22:1039–1049. doi: 10.1093/hmg/dds492. [DOI] [PMC free article] [PubMed] [Google Scholar]
- 81.Nie K., Zhang Y., Gan R., Wang L., Zhao J., Huang Z., Tang H., Wang L. Polymorphisms in immune/inflammatory cytokine genes are related to Parkinson’s disease with cognitive impairment in the Han Chinese population. Neurosci. Lett. 2013;541:111–115. doi: 10.1016/j.neulet.2013.02.024. [DOI] [PubMed] [Google Scholar]
- 82.Infante J., García-Gorostiaga I., Sánchez-Juan P., Sánchez-Quintana C., Gurpegui J.L., Rodríguez-Rodríguez E., Mateo I., Berciano J., Combarros O. Inflammation-related genes and the risk of Parkinson’s disease: A multilocus approach. Eur. J. Neurol. 2008;15:431–433. doi: 10.1111/j.1468-1331.2008.02092.x. [DOI] [PubMed] [Google Scholar]
- 83.Im S.Y., Kim Y.E., Kim Y.J. Genetics of progressive supranuclear palsy. J. Mov. Disord. 2015;8:122–129. doi: 10.14802/jmd.15033. [DOI] [PMC free article] [PubMed] [Google Scholar]
- 84.Srinivasan R., Davidson Y., Gibbons L., Payton A., Richardson A.M., Varma A., Julien C., Stopford C., Thompson J., Horan M.A., et al. The apolipoprotein E epsilon4 allele selectively increases the risk of frontotemporal lobar degeneration in males. J. Neurol. Neurosurg. Psychiatry. 2006;77:154–158. doi: 10.1136/jnnp.2005.063966. [DOI] [PMC free article] [PubMed] [Google Scholar]
- 85.Bernardi L., Maletta R.G., Tomaino C., Gallo M., Geracitano S., Costanzo A., Colao R., Puccio G., Frangipane F., Curcio S.A., et al. The effects of APOE and tau gene variability on risk of frontotemporal dementia. Neurobiol. Aging. 2006;27:702–709. doi: 10.1016/j.neurobiolaging.2005.03.008. [DOI] [PubMed] [Google Scholar]
- 86.Verpillat P., Camuzat A., Hannequin D., ThomasAnterion C., Puel M., Belliard S., Dubois B., Didic M., Lacomblez L., Moreaud O., et al. Apolipoprotein E gene in frontotemporal dementia: An association study and meta-analysis. Eur. J. Hum. Genet. 2002;10:399–405. doi: 10.1038/sj.ejhg.5200820. [DOI] [PubMed] [Google Scholar]
- 87.Perry V.H., Cunningham C., Holmes C. Systemic infections and inflammation affect chronic neurodegeneration. Nat. Rev. Immunol. 2007;7:161–167. doi: 10.1038/nri2015. [DOI] [PubMed] [Google Scholar]
- 88.Holmes C., Cunningham C., Zotova E., Woolford J., Dean C., Kerr S., Culliford D., Perry V.H. Systemic inflammation and disease progression in Alzheimer disease. Neurology. 2009;73:768–774. doi: 10.1212/WNL.0b013e3181b6bb95. [DOI] [PMC free article] [PubMed] [Google Scholar]
- 89.Miklossy J. Emerging roles of pathogens in Alzheimer disease. Expert Rev. Mol. Med. 2011;13:206. doi: 10.1017/S1462399411002006. [DOI] [PubMed] [Google Scholar]
- 90.Widman C.N., Heneka M.T. Long-term cerebral consequences of sepsis. Lancet Neurol. 2014;13:630–636. doi: 10.1016/S1474-4422(14)70017-1. [DOI] [PubMed] [Google Scholar]
- 91.Sparks Stein P., Steffen M.J., Smith C., Jicha G., Ebersole J.L., Abner E., Dawson D. Serum antibodies to periodontal pathogens are a risk factor for Alzheimer’s disease. Alzheimers Dement. 2012;8:196–203. doi: 10.1016/j.jalz.2011.04.006. [DOI] [PMC free article] [PubMed] [Google Scholar]
- 92.Kamer A.R., Pirraglia E., Tsui W., Rusinek H., Vallabhajosula S., Mosconi L., Yi L., McHugh P., Craig R.G., Svetcov S., et al. Periodontal disease associates with higher brain amyloid load in normal elderly. Neurobiol. Aging. 2015;36:627–633. doi: 10.1016/j.neurobiolaging.2014.10.038. [DOI] [PMC free article] [PubMed] [Google Scholar]
- 93.Itzhaki R.F., Wozniak M.A. Herpes simplex virus type 1 in Alzheimer’s disease: The enemy within. J. Alzheimers Dis. 2008;13:393–340. doi: 10.1002/ana.10852. [DOI] [PubMed] [Google Scholar]
- 94.Honjo K., van Reekum R., Verhoeff N.P. Alzheimer’s disease and infection: Do infectious agents contribute to progression of Alzheimer’s disease? Alzheimers Dement. 2009;5:348–360. doi: 10.1016/j.jalz.2008.12.001. [DOI] [PubMed] [Google Scholar]
- 95.Bu X.L., Yao X.Q., Jiao S.S., Zeng F., Liu Y.H., Xiang Y., Liang C.R., Wang Q.H., Wang X., Cao H.Y., et al. A study on the association between infectious burden and Alzheimer’s disease. Eur. J. Neurol. 2014 doi: 10.1111/ene.12477. [DOI] [PubMed] [Google Scholar]
- 96.Carbone I., Lazzarotto T., Ianni M., Porcellini E., Forti P., Masliah E., Gabrielli L., Licastro F. Herpes virus in Alzheimer’s disease: Relation to progression of the disease. Neurobiol. Aging. 2014;35:122–129. doi: 10.1016/j.neurobiolaging.2013.06.024. [DOI] [PubMed] [Google Scholar]
- 97.Lövheim H., Gilthorpe J., Johansson A., Eriksson S., Hallmans G., Elgh F. Herpes simplex infection and the risk of Alzheimer’s disease: A nested case-control study. Alzheimers Dement. 2015;11:587–592. doi: 10.1016/j.jalz.2014.07.157. [DOI] [PubMed] [Google Scholar]
- 98.Barnes L.L., Capuano A.W., Aiello A.E., Turner A.D., Yolken R.H., Torrey E.F., Bennett D.A. Cytomegalovirus infection and risk of Alzheimer disease in older black and white individuals. J. Infect. Dis. 2015;211:230–237. doi: 10.1093/infdis/jiu437. [DOI] [PMC free article] [PubMed] [Google Scholar]
- 99.Jang H., Boltz D.A., Webster R.G., Smeyne R.J. Viral parkinsonism. Biochim. Biophys. Acta. 2009;1792:714–721. doi: 10.1016/j.bbadis.2008.08.001. [DOI] [PMC free article] [PubMed] [Google Scholar]
- 100.Vlajinac H., Dzoljic E., Maksimovic J., Marinkovic J., Sipetic S., Kostic V. Infections as a risk factor for Parkinson’s disease: A case-control study. Int. J. Neurosci. 2013;123:329–332. doi: 10.3109/00207454.2012.760560. [DOI] [PubMed] [Google Scholar]
- 101.Rugbjerg K., Friis S., Ritz B., Schernhammer E.S., Korbo L., Olsen J.H. Autoimmune disease and risk for Parkinson disease: A population-based case-control study. Neurology. 2009;73:1462–1468. doi: 10.1212/WNL.0b013e3181c06635. [DOI] [PMC free article] [PubMed] [Google Scholar]
- 102.Li X., Sundquist J., Sundquist K. Subsequent risks of Parkinson disease in patients with autoimmune and related disorders: A nationwide epidemiological study from Sweden. Neurodgener. Dis. 2012;10:277–284. doi: 10.1159/000333222. [DOI] [PubMed] [Google Scholar]
- 103.Ravenholt R.T., Foege W.H. 1918 influenza, encephalitis lethargica, parkinsonism. Lancet. 1982;2:860–864. doi: 10.1016/S0140-6736(82)90820-0. [DOI] [PubMed] [Google Scholar]
- 104.Miman O., Kusbeci O.Y., Aktepe O.C., Cetinkaya Z. The probable relation between Toxoplasma gondii and Parkinson’s disease. Neurosci. Lett. 2010;475:129–131. doi: 10.1016/j.neulet.2010.03.057. [DOI] [PubMed] [Google Scholar]
- 105.Mosher K.I., Wyss-Coray T. Go with your gut: Microbiota meet microglia. Nat. Neurosci. 2015;18:930–931. doi: 10.1038/nn.4051. [DOI] [PMC free article] [PubMed] [Google Scholar]
- 106.Hooper L.V., Littman D.R., Macpherson A.J. Interactions between the microbiota and the immune system. Science. 2012;336:1268–1273. doi: 10.1126/science.1223490. [DOI] [PMC free article] [PubMed] [Google Scholar]
- 107.Erny D., Hrabě de Angelis A.L., Jaitin D., Wieghofer P., Staszewski O., David E., Keren-Shaul H., Mahlakoiv T., Jakobshagen K., Buch T., et al. Host microbiota constantly control maturation and function of microglia in the CNS. Nat. Neurosci. 2015;18:965–977. doi: 10.1038/nn.4030. [DOI] [PMC free article] [PubMed] [Google Scholar]
- 108.Stappenbeck T.S., Hsieh C.S. Peripheral education of the immune system by colonic commensal microbiota. Nature. 2011;478:250–254. doi: 10.1038/nature10434. [DOI] [PMC free article] [PubMed] [Google Scholar]
- 109.Scheperjans F., Aho V., Pereira P.A., Koskinen K., Paulin L., Pekkonen E., Haapaniemi E., Kaakkola S., Eerola-Rautio J., Pohja M., et al. Gut microbiota are related to Parkinson’s disease and clinical phenotype. Mov. Disord. 2015;30:350–358. doi: 10.1002/mds.26069. [DOI] [PubMed] [Google Scholar]
- 110.Griffin W.S., Sheng J.G., Royston M.C., Gentleman S.M., McKenzie J.E., Graham D.I., Roberts G.W., Mrak R.E. Glial-neuronal interactions in Alzheimer’s disease: The potential role of a “cytokine cycle” in disease progression. Brain Pathol. 1998;8:65–72. doi: 10.1111/j.1750-3639.1998.tb00136.x. [DOI] [PMC free article] [PubMed] [Google Scholar]
- 111.McGeer P.L., McGeer E.G. Inflammation: Autotoxicity and Alzheimer disease. Neurobiol. Aging. 2001;22:799–809. doi: 10.1016/S0197-4580(01)00289-5. [DOI] [PubMed] [Google Scholar]
- 112.Streit W.J., Conde J.R., Harrison J.K. Chemokines and Alzheimer’s disease. Neurobiol. Aging. 2001;22:909–913. doi: 10.1016/S0197-4580(01)00290-1. [DOI] [PubMed] [Google Scholar]
- 113.Akiyama H., Barger S., Barnum S., Bradt B., Bauer J., Cole G.M., Cooper N.R., Eikelenboom P., Emmerling M., Fiebich B.L., et al. Inflammation and Alzheimer’s disease. Neurobiol. Aging. 2000;21:383–421. doi: 10.1016/S0197-4580(00)00124-X. [DOI] [PMC free article] [PubMed] [Google Scholar]
- 114.Lee Y.J., Han S.B., Nam S.Y., Oh K.W., Hong J.T. Inflammation and Alzheimer’s disease. Arch. Pharm. Res. 2010;33:1539–1556. doi: 10.1007/s12272-010-1006-7. [DOI] [PubMed] [Google Scholar]
- 115.Rubio-Perez J.M., Morillas-Ruiz J.M. A review: Inflammatory process in Alzheimer’s disease, role of cytokines. Sci. World J. 2012 doi: 10.1100/2012/756357. [DOI] [PMC free article] [PubMed] [Google Scholar]
- 116.Leung E., Guo L., Bu J., Maloof M., El Khoury J., Geula C. Microglia activation mediates fibrillar amyloid-beta toxicity in the aged primate cortex. Neurobiol. Aging. 2011;32:387–397. doi: 10.1016/j.neurobiolaging.2009.02.025. [DOI] [PMC free article] [PubMed] [Google Scholar]
- 117.Morimoto K., Horio J., Satoh H., Sue L., Beach T., Arita S., Tooyama I., Konishi Y. Expression profiles of cytokines in the brains of Alzheimer’s disease (AD) patients, compared to the brains of non-demented patients with and without increasing AD pathology. J. Alzheimer Dis. 2011;25:59–76. doi: 10.3233/JAD-2011-101815. [DOI] [PMC free article] [PubMed] [Google Scholar]
- 118.McGeer P.L., McGeer E.G. The amyloid cascade-inflammatory hypothesis of Alzheimer disease: Implications for therapy. Acta Neuropathol. 2013;126:479–497. doi: 10.1007/s00401-013-1177-7. [DOI] [PubMed] [Google Scholar]
- 119.Prokop S., Miller K.R., Heppner F.L. Microglia actions in Alzheimer’s disease. Acta Neuropathol. 2013;126:461–477. doi: 10.1007/s00401-013-1182-x. [DOI] [PubMed] [Google Scholar]
- 120.Heppner F.L., Ransohoff R.M., Becher B. Immune attack: The role of inflammation in Alzheimer disease. Nature. 2015;16:358–372. doi: 10.1038/nrn3880. [DOI] [PubMed] [Google Scholar]
- 121.Eikelenboom P., van Exel E., Hoozemans J.J., Veerhuis R., Rozemuller A.J., van Gool W.A. Neuroinflammation—An early event in both the history and pathogenesis of Alzheimer’s disease. Neurodegener. Dis. 2010;7:38–44. doi: 10.1159/000283480. [DOI] [PubMed] [Google Scholar]
- 122.McGeer P.L., Itagaki S., Boyes B.E., McGeer E.G. Reactive microglia are positive for HLA-DR in the substantia nigra of Parkinson’s and Alzheimer’s disease brains. Neurology. 1988;38:1285–1291. doi: 10.1212/WNL.38.8.1285. [DOI] [PubMed] [Google Scholar]
- 123.Nagatsu T., Mogi M., Ichinose H., Togari A. Changes in cytokines and neurotrophins in Parkinson’s disease. J. Neural Transm. Suppl. 2000;60:277–290. doi: 10.1007/978-3-7091-6301-6_19. [DOI] [PubMed] [Google Scholar]
- 124.Hirsch E.C., Hunot S., Damier P., Faucheux B. Glial cells and inflammation in Parkinson’s disease: A role in neurodegeneration? Ann. Neurol. 1998;44:S115–S120. doi: 10.1002/ana.410440717. [DOI] [PubMed] [Google Scholar]
- 125.Hirsch E.C., Hunot S., Damier P., Brugg B., Faucheux B.A., Michel P.P., Ruberg M., Muriel M.P., Mouatt-Prigent A., Agid Y. Glial cell participation in the degeneration of dopaminergic neurons in Parkinson’s disease. Adv. Neurol. 1999;80:9–18. [PubMed] [Google Scholar]
- 126.Hirsch E.C., Breidert T., Rousselet E., Hunot S., Hartmann A., Michel P.P. The role of glial reaction and inflammation in Parkinson’s disease. Ann. N. Y. Acad. Sci. 2003;991:214–228. doi: 10.1111/j.1749-6632.2003.tb07478.x. [DOI] [PubMed] [Google Scholar]
- 127.Sawada M., Imamura K., Nagatsu T. Role of cytokines in inflammatory process in Parkinson’s disease. J. Neural Transm. Suppl. 2006;70:373–381. doi: 10.1007/978-3-211-45295-0_57. [DOI] [PubMed] [Google Scholar]
- 128.Whitton P.S. Inflammation as a causative factor in the aetiology of Parkinson’s disease. Br. J. Pharmacol. 2007;150:963–976. doi: 10.1038/sj.bjp.0707167. [DOI] [PMC free article] [PubMed] [Google Scholar]
- 129.Long-Smith C.M., Sullivan A.M., Nolan Y.M. The influence of microglia on the pathogenesis of Parkinson’s disease. Prog. Neurobiol. 2009;89:277–287. doi: 10.1016/j.pneurobio.2009.08.001. [DOI] [PubMed] [Google Scholar]
- 130.Tansey M.G., Goldberg M.S. Neuroinflammation in Parkinson’s disease: Its role in neuronal death and implications for therapeutic intervention. Neurobiol. Dis. 2010;37:510–518. doi: 10.1016/j.nbd.2009.11.004. [DOI] [PMC free article] [PubMed] [Google Scholar]
- 131.Tufekci K.U., Meuwissen R., Genc S., Genc K. Inflammation in Parkinson’s disease. Adv. Protein Chem. Struct. Biol. 2012;88:69–132. doi: 10.1016/B978-0-12-398314-5.00004-0. [DOI] [PubMed] [Google Scholar]
- 132.Hirsch E.C., Vyas S., Hunot S. Neuroinflammation in Parkinson’s disease. Parkinsonism Relat. Disord. 2012;18(Suppl. 1):S210–S212. doi: 10.1016/S1353-8020(11)70065-7. [DOI] [PubMed] [Google Scholar]
- 133.Imamura K., Hishikawa N., Sawada M., Nagatsu T., Yoshida M., Hashizume Y. Distribution of MHC class II-positive microglia and cytokine profile of Parkinson’s disease v brains. Acta Neuropathol. 2003;106:518–526. doi: 10.1007/s00401-003-0766-2. [DOI] [PubMed] [Google Scholar]
- 134.Imamura K., Hishikawa N., Ono K., Suzuki H., Sawada M., Nagatsu T., Yoshida M., Hashizume Y. Cytokine production of activated microglia and decrease in neurotrophic factors of neurons in the hippocampus of Lewy body disease brains. Acta Neuropathol. 2005;109:141–150. doi: 10.1007/s00401-004-0919-y. [DOI] [PubMed] [Google Scholar]
- 135.Ouchi Y., Yoshikawa E., Sekine Y., Futatsubashi M., Kanno T., Ogusu T., Torizuka T. Microglial activation and dopamine terminal loss in early Parkinson’s disease. Ann. Neurol. 2005;57:168–175. doi: 10.1002/ana.20338. [DOI] [PubMed] [Google Scholar]
- 136.Gerhard A., Pavese N., Hotton G., Turkheimer F., Es M., Hammers A., Eggert K., Oertel W., Banati R.B., Brooks D.J. In vivo imaging of microglial activation with [11C] (R)-PK11195 PET in idiopathic Parkinson’s disease. Neurobiol. Dis. 2006;21:404–412. doi: 10.1016/j.nbd.2005.08.002. [DOI] [PubMed] [Google Scholar]
- 137.Ouchi Y., Yagi S., Yokokura M., Sakamoto M. Neuroinflammation in the living brain of Parkinson’s disease. Parkinsonism Relat. Disord. 2009;15(Suppl. 3):S200–S204. doi: 10.1016/S1353-8020(09)70814-4. [DOI] [PubMed] [Google Scholar]
- 138.Brooks D.J. Imaging approaches to Parkinson disease. J. Nucl. Med. 2010;51:596–609. doi: 10.2967/jnumed.108.059998. [DOI] [PubMed] [Google Scholar]
- 139.Mogi M., Harada M., Kondo T., Riederer P., Inagaki H., Minami M., Nagatsu T. Interleukin-1 beta, interleukin-6, epidermal growth factor and transforming growth factor-alpha are elevated in the brain from parkinsonian patients. Neurosci. Lett. 1994;180:147–150. doi: 10.1016/0304-3940(94)90508-8. [DOI] [PubMed] [Google Scholar]
- 140.Blum-Degen D., Muller T., Kuhn W., Gerlach M., Przuntek H., Riederer P. Interleukin-1 beta and interleukin-6 are elevated in the cerebrospinal fluid of Alzheimer’s and de novo Parkinson’s disease patients. Neurosci. Lett. 1995;202:17–20. doi: 10.1016/0304-3940(95)12192-7. [DOI] [PubMed] [Google Scholar]
- 141.Mogi M., Harada M., Kondo T., Riedered P., Nagatsu T. Interleukin-2 but not basic fibroblast growth factor is elevated in parkinsonian brain. J. Neural Transm. 1996;103:1077–1081. doi: 10.1007/BF01291792. [DOI] [PubMed] [Google Scholar]
- 142.Hunot S., Brugg B., Ricard D., Michel P.P., Muriel M.P., Ruberg M., Faucheux B.A., Agid Y., Hirsch E.C. Nuclear translocation of NF-kappaB is increased in dopaminergic neurons of patients with Parkinson disease. Proc. Natl. Acad. Sci. USA. 1997;94:7531–7536. doi: 10.1073/pnas.94.14.7531. [DOI] [PMC free article] [PubMed] [Google Scholar]
- 143.Nagatsu T., Sawada M. Inflammatory process in Parkinson’s disease: Role for cytokines. Curr. Pharm. Des. 2005;11:999–1016. doi: 10.2174/1381612053381620. [DOI] [PubMed] [Google Scholar]
- 144.Duke D.C., Moran L.B., Pearce R.K., Graeber M.B. The medial and lateral substantia nigra in Parkinson’s disease: mRNA profiles associated with higher brain tissue vulnerability. Neurogenetics. 2007;8:83–94. doi: 10.1007/s10048-006-0077-6. [DOI] [PubMed] [Google Scholar]
- 145.Nagatsu T., Sawada M. Biochemistry of post-mortem brains in Parkinson’s disease: Historical overview and future prospects. J. Neural Transm. Suppl. 2007;72:113–120. doi: 10.1007/978-3-211-73574-9_14. [DOI] [PubMed] [Google Scholar]
- 146.Miklossy J., Doudet D.D., Schwab C., Yu S., McGeer E.G., McGeer P.L. Role of ICAM-1 in persisting inflammation in Parkinson disease and MPTP monkeys. Exp. Neurol. 2006;197:275–283. doi: 10.1016/j.expneurol.2005.10.034. [DOI] [PubMed] [Google Scholar]
- 147.Phani S., Loike J.D., Przedborski S. Neurodegeneration and inflammation in Parkinson’s disease. Parkinsonism Relat. Disord. 2012;18:S207–S209. doi: 10.1016/S1353-8020(11)70064-5. [DOI] [PubMed] [Google Scholar]
- 148.Brochard V., Combadière B., Prigent A., Laouar Y., Perrin A., Beray-Berthat V., Bonduelle O., Alvarez-Fischer D., Callebert J., Launay J.M., et al. Infiltration of CD4+ lymphocytes into the brain contributes to neurodegeneration in a mouse model of Parkinson disease. J. Clin. Investig. 2009;119:182–192. doi: 10.1172/JCI36470. [DOI] [PMC free article] [PubMed] [Google Scholar]
- 149.Guiroy DC., Wakayama I., Liberski P.P., Gajdusek D.C. Relationship of microglia and scrapie amyloid-immunoreactive plaques in kuru, Creutzfeldt-Jakob disease and Gerstmann-Straussler syndrome. Acta Neuropathol. 1994;87:526–530. doi: 10.1007/BF00294180. [DOI] [PubMed] [Google Scholar]
- 150.Giese A., Brown D.R., Groschup M.H., Feldmann C., Haist I., Kretzschmar H.A. Role of microglia in neuronal cell death in prion disease. Brain Pathol. 1998;8:449–457. doi: 10.1111/j.1750-3639.1998.tb00167.x. [DOI] [PMC free article] [PubMed] [Google Scholar]
- 151.Aguzzi A., Barres B.A., Bennett M.L. Microglia: Scapegoat, saboteur, or something else? Science. 2013;339:156–161. doi: 10.1126/science.1227901. [DOI] [PMC free article] [PubMed] [Google Scholar]
- 152.Aguzzi A., Nuvolone M., Zhu C. The immunobiology of prion diseases. Nat. Rev. Immunol. 2013;13:888–902. doi: 10.1038/nri3553. [DOI] [PubMed] [Google Scholar]
- 153.Aoki T., Kobayashi K., Isaki K. Microglial and astrocytic change in brains of Creutzfeldt-Jakob disease: An immunocytochemical and quantitative study. Clin. Neuropathol. 1999;18:51–60. [PubMed] [Google Scholar]
- 154.Muhleisen H., Gehrmann J., Meyermann R. Reactive microglia in Creutzfeldt-Jakob disease. Neuropathol. Appl. Neurobiol. 1995;21:505–517. doi: 10.1111/j.1365-2990.1995.tb01097.x. [DOI] [PubMed] [Google Scholar]
- 155.Brown D.R., Schmidt B., Kretzschmar H.A. Role of microglia and host prion protein in neurotoxicity of a prion protein fragment. Nature. 1996;380:345–347. doi: 10.1038/380345a0. [DOI] [PubMed] [Google Scholar]
- 156.Eitzen U., Egensperger R., Kosel S., Grasbon-Frodl E.M., Imai Y., Bise K., Kohsaka S., Mehraein P., Graeber M.B. Microglia and the development of spongiform change in Creutzfeldt-Jakob disease. J. Neuropathol. Exp. Neurol. 1998;57:246–256. doi: 10.1097/00005072-199803000-00006. [DOI] [PubMed] [Google Scholar]
- 157.Baker C.A., Lu Z.Y., Zaitsev I., Manuelidis L. Microglial activation varies in different models of Creutzfeldt-Jakob disease. J. Virol. 1999;73:5089–5097. doi: 10.1128/jvi.73.6.5089-5097.1999. [DOI] [PMC free article] [PubMed] [Google Scholar]
- 158.Rezaie P., Lantos P.L. Microglia and the pathogenesis of spongiform encephalopathies. Brain Res. Brain Res. Rev. 2001;35:55–72. doi: 10.1016/S0165-0173(01)00042-X. [DOI] [PubMed] [Google Scholar]
- 159.Van Everbroeck B., Dewulf E., Pals P., Lübke U., Martin J.J., Cras P. The role of cytokines, astrocytes, microglia and apoptosis in Creutzfeldt-Jakob disease. Neurobiol. Aging. 2002;23:59–64. doi: 10.1016/S0197-4580(01)00236-6. [DOI] [PubMed] [Google Scholar]
- 160.Baker C.A., Manuelidis L. Unique inflammatory RNA profiles of microglia in Creutzfeldt-Jakob disease. Proc. Natl. Acad. Sci. USA. 2003;100:675–679. doi: 10.1073/pnas.0237313100. [DOI] [PMC free article] [PubMed] [Google Scholar]
- 161.Puoti G., Giaccone G., Mangieri M., Limido L., Fociani P., Zerbi P., Suardi S., Rossi G., Iussich S., Capobianco R., et al. Sporadic Creutzfeldt-Jakob disease: The extent of microglia activation is dependent on the biochemical type of PrPSc. J. Neuropathol. Exp. Neurol. 2005;64:902–909. doi: 10.1097/01.jnen.0000183346.19447.55. [DOI] [PubMed] [Google Scholar]
- 162.Szpak G.M., Lewandowska E., Lechowicz W., Wierzba-Bobrowicz T., Kulczycki J., Bertrand E., Pasennik E., Dymecki J. The brain immune response in human prion diseases. Microglial activation and microglial disease. I. Sporadic Creutzfeldt-Jakob disease. Folia Neuropathol. 2006;44:202–213. [PubMed] [Google Scholar]
- 163.Wojtera M., Sobów T., Kłoszewska I., Liberski P.P., Brown D.R., Sikorska B. Expression of immunohistochemical markers on microglia in Creutzfeldt-Jakob disease and Alzheimer’s disease: Morphometric study and review of the literature. Folia Neuropathol. 2012;50:74–84. [PubMed] [Google Scholar]
- 164.Shi Q., Xie W.L., Zhang B., Chen L.N., Xu Y., Wang K., Ren K., Zhang X.M., Chen C., Zhang J., et al. Brain microglia were activated in sporadic CJD but almost unchanged in fatal familial insomnia and G114V genetic CJD. Virol. J. 2013;10:216. doi: 10.1186/1743-422X-10-216. [DOI] [PMC free article] [PubMed] [Google Scholar]
- 165.Sharief M.K., Green A., Dick J.P., Gawler J., Thompson E.J. Heightened intrathecal release of proinflammatory cytokines in Creutzfeldt-Jakob disease. Neurology. 1999;52:1289–1291. doi: 10.1212/WNL.52.6.1289. [DOI] [PubMed] [Google Scholar]
- 166.Baker C.A., Martin D., Manuelidis L. Microglia from Creutzfeldt-Jakob disease-infected brains are infectious and show specific mRNA activation profiles. J. Virol. 2002;76:10905–10913. doi: 10.1128/JVI.76.21.10905-10913.2002. [DOI] [PMC free article] [PubMed] [Google Scholar]
- 167.Lukiw W.J., Dua P., Pogue A.I., Eicken C., Hill J.M. Upregulation of micro RNA-146a (miRNA-146a), a marker for inflammatory neurodegeneration, in sporadic Creutzfeldt-Jakob disease (sCJD) and Gerstmann-Straussler-Scheinker (GSS) syndrome. J. Toxicol. Environ. Health A. 2011;74:1460–1468. doi: 10.1080/15287394.2011.618973. [DOI] [PMC free article] [PubMed] [Google Scholar]
- 168.Stoeck K., Bodemer M., Zerr I. Pro- and anti-inflammatory cytokines in the CSF of patients with Creutzfeldt-Jakob disease. J. Neuroimmunol. 2006;172:175–181. doi: 10.1016/j.jneuroim.2005.10.008. [DOI] [PubMed] [Google Scholar]
- 169.Stoec K., Schmitz M., Ebert E., Schmidt C., Zerr I. Immune responses in rapidly progressive dementia: A comparative study of neuroinflammatory markers in Creutzfeldt-Jakob disease, Alzheimer’s disease and multiple sclerosis. J. Neuroinflamm. 2014;11:170. doi: 10.1186/s12974-014-0170-y. [DOI] [PMC free article] [PubMed] [Google Scholar]
- 170.Paulus W., Bancher C., Jellinger K. Microglial reaction in Pick’s disease. Neurosci. Lett. 1993;161:89–92. doi: 10.1016/0304-3940(93)90147-D. [DOI] [PubMed] [Google Scholar]
- 171.Schofield E., Kersaitis C., Shepherd C.E., Kril J.J., Halliday G.M. Severity of gliosis in Pick’s disease and frontotemporal lobar degeneration: Tau-positive glia differentiate these disorders. Brain. 2003;126:827–840. doi: 10.1093/brain/awg085. [DOI] [PubMed] [Google Scholar]
- 172.Fernández-Botrán R., Ahmed Z., Crespo F.A., Gatenbee C., Gonzalez J., Dickson D.W., Litvan I. Cytokine expression and microglial activation in progressive supranuclear palsy. Parkinsonism Relat. Disord. 2011;17:683–688. doi: 10.1016/j.parkreldis.2011.06.007. [DOI] [PMC free article] [PubMed] [Google Scholar]
- 173.Lant S.B., Robinson A.C., Thompson J.C., Rollinson S., Pickering-Brown S., Snowden J.S., Davidson Y.S., Gerhard A., Mann D.M. Patterns of microglial cell activation in frontotemporal lobar degeneration. Neuropathol. Appl. Neurobiol. 2014;40:686–696. doi: 10.1111/nan.12092. [DOI] [PubMed] [Google Scholar]
- 174.Bellucci A., Bugiani O., Ghetti B., Spillantini M.G. Presence of reactive microglia and neuroinflammatory mediators in a case of frontotemporal dementia with P301S mutation. Neurodegener. Dis. 2011;8:221–229. doi: 10.1159/000322228. [DOI] [PMC free article] [PubMed] [Google Scholar]
- 175.Garcia-Esparcia P., Llorens F., Carmona M., Ferrer I. Complex deregulation and expression of cytokines and mediators of the immune response in Parkinson’s disease brain is region dependent. Brain Pathol. 2014;24:584–598. doi: 10.1111/bpa.12137. [DOI] [PMC free article] [PubMed] [Google Scholar]
- 176.Llorens F., López-González I., Thüne K., Carmona M., Zafar S., Andréoletti O., Zerr I., Ferrer I. Subtype and regional-specific neuroinflammation in sporadic Creutzfeldt-Jakob disease. Front. Aging Neurosci. 2014;6:198. doi: 10.3389/fnagi.2014.00198. [DOI] [PMC free article] [PubMed] [Google Scholar]
- 177.López-González I., Schlüter A., Aso E., Garcia-Esparcia P., Ansoleaga B., LLorens F., Carmona M., Moreno J., Fuso A., Portero-Otin M., et al. Neuroinflammatory signals in Alzheimer disease and APP/PS1 transgenic mice: Correlations with plaques, tangles, and oligomeric species. J. Neuropathol. Exp. Neurol. 2015;74:319–344. doi: 10.1097/NEN.0000000000000176. [DOI] [PubMed] [Google Scholar]
- 178.Streit W.J., Samkons N.W., Kuhns A.J., Sparks D.L. Dystrophic microglia in the aging human brain. Glia. 2004;45:208–212. doi: 10.1002/glia.10319. [DOI] [PubMed] [Google Scholar]
- 179.Streit W.J., Braak H., Xue Q.S., Bechmann I. Dystrophic (senescent) rather than activated microglial cells are associated with tau pathology and likely precede neurodegeneration in Alzheimer’s disease. Acta Neuropathol. 2009;118:475–485. doi: 10.1007/s00401-009-0556-6. [DOI] [PMC free article] [PubMed] [Google Scholar]
- 180.Schuitemaker A., Dik M.G., Veerhuis R., Scheltens P., Schoonenboom N.S., Hack C.E., Blankenstein M.A., Jonker C. Inflammatory markers in AD and MCI patients with different biomarker profiles. Neurobiol. Aging. 2009;30:1885–1889. doi: 10.1016/j.neurobiolaging.2008.01.014. [DOI] [PubMed] [Google Scholar]
- 181.Lee K.S., Chung J.H., Choi T.K., Suh S.Y., Oh B.H., Hong C.H. Peripheral cytokines and chemokines in Alzheimer’s disease. Dement. Geriatr. Cogn. Disord. 2009;28:281–287. doi: 10.1159/000245156. [DOI] [PubMed] [Google Scholar]
- 182.Forlenza O.V., Diniz B.S., Talib L.L., Mendonça V.A., Ojopi E.B., Gattaz W.F., Teixeira A.L. Increased serum IL-1beta level in Alzheimer’s disease and mild cognitive impairment. Dement. Geriatr. Cogn. Disord. 2009;28:507–512. doi: 10.1159/000255051. [DOI] [PubMed] [Google Scholar]
- 183.Fiala M., Veerhuis R. Biomarkers of inflammation and amyloid-beta phagocytosis in patients at risk of Alzheimer disease. Exp. Gerontol. 2010;45:57–63. doi: 10.1016/j.exger.2009.08.003. [DOI] [PMC free article] [PubMed] [Google Scholar]
- 184.Chen R., Yin Y., Zhao Z., Huang L., Huang S., Zhuang J., Wu H., Peng H., Li P. Elevation of serum TNF-α levels in mild and moderate Alzheimer patients with daytime sleepiness. J. Neuroimmunol. 2012;244:97–102. doi: 10.1016/j.jneuroim.2011.12.015. [DOI] [PubMed] [Google Scholar]
- 185.Sudduth T.L., Schmitt F.A., Nelson P.T., Wilcock D.M. Neuroinflammatory phenotype in early Alzheimer’s disease. Neurobiol. Aging. 2013;34:1051–1059. doi: 10.1016/j.neurobiolaging.2012.09.012. [DOI] [PMC free article] [PubMed] [Google Scholar]
- 186.Dursun E., Gezen-Ak D., Hanağası H., Bilgiç B., Lohmann E., Ertan S., Atasoy İ.L., Alaylıoğlu M., Araz Ö.S., Önal B., et al. The interleukin 1 alpha, interleukin 1 beta, interleukin 6 and alpha-2-macroglobulin serum levels in patients with early or late onset Alzheimer’s disease, mild cognitive impairment or Parkinson’s disease. J. Neuroimmunol. 2015;283:50–57. doi: 10.1016/j.jneuroim.2015.04.014. [DOI] [PubMed] [Google Scholar]
- 187.Diniz B.S., Teixeira A.L., Ojopi E.B., Talib L.L., Mendonça V.A., Gattaz W.F., Forlenza O.V. Higher serum sTNFR1 level predicts conversion from mild cognitive impairment to Alzheimer’s disease. J. Alzheimers Dis. 2010;22:1305–1311. doi: 10.3233/JAD-2010-100921. [DOI] [PubMed] [Google Scholar]
- 188.Holmes C., Cunningham C., Zotova E., Culliford D., Perry V.H. Pro-inflammatory cytokines, sickness behavior, and Alzheimer disease. Neurology. 2011;77:212–218. doi: 10.1212/WNL.0b013e318225ae07. [DOI] [PMC free article] [PubMed] [Google Scholar]
- 189.Kannarkat G.T., Boss J.M., Tansey M.G. The role of innate and adaptive immunity in Parkinson’s disease. J. Parkinsons Dis. 2013;3:493–514. doi: 10.3233/JPD-130250. [DOI] [PMC free article] [PubMed] [Google Scholar]
- 190.Reale M., Iarlori C., Thomas A., Gambi D., Pefetti B., Di Nicola M., Onofrj M. Peripheral cytokines profile in Parkinson’s disease. Brain Behav. Immun. 2009;23:55–63. doi: 10.1016/j.bbi.2008.07.003. [DOI] [PubMed] [Google Scholar]
- 191.Stevens C.H., Rowe D., Morel-Kopp M.C., Orr C., Russell T., Ranola M., Ward C., Halliday G.M. Reduced T helper and B lymphocytes in Parkinson’s disease. J. Neuroimmunol. 2012;252:95–99. doi: 10.1016/j.jneuroim.2012.07.015. [DOI] [PubMed] [Google Scholar]
- 192.Saunders J.A., Estes K.A., Kosloski L.M., Allen H.E., Dempsey K.M., Torres-Russotto D.R., Meza J.L., Santamaria P.M., Bertoni J.M., Murman D.L., et al. CD4+ regulatory and effector/memory T cell subsets profile motor dysfunction in Parkinson’s disease. J. Neuroimmune Pharmacol. 2012;7:927–938. doi: 10.1007/s11481-012-9402-z. [DOI] [PMC free article] [PubMed] [Google Scholar]
- 193.Bessler H., Djaldetti R., Salman H., Bergman M., Djaldetti M. IL-1 beta, IL-2, IL-6 and TNF-alpha production by peripheral blood mononuclear cells from patients with Parkinson’s disease. Biomed. Pharmacother. 1999;53:141–145. doi: 10.1016/S0753-3322(99)80079-1. [DOI] [PubMed] [Google Scholar]
- 194.Chen H., O’Reilly E.J., Schwarzchild M.A., Adscherio A. Peripheral inflammatory biomarkers and risk of Parkinson’s disease. Am. J. Epidemiol. 2008;167:90–95. doi: 10.1093/aje/kwm260. [DOI] [PubMed] [Google Scholar]
- 195.Dufek M., Hamanová M., Lokaj J., Goldemund D., Rektorová I., Michálková Z., Sheardová K., Rektor I. Serum inflammatory biomarkers in Parkinson’s disease. Parkinsonism Relat. Disord. 2009;15:318–320. doi: 10.1016/j.parkreldis.2008.05.014. [DOI] [PubMed] [Google Scholar]
- 196.Rentzos M., Nikolaou C., Andreadou E., Paraskevas G.P., Rombos A., Zoga M., Tsoutsou A., Boufidou F., Kapaki E., Vassilopoulos D. Circulating interleukin-15 and RANTES chemokine in Parkinson’s disease. Acta Neurol. Scand. 2007;116:374–379. doi: 10.1111/j.1600-0404.2007.00894.x. [DOI] [PubMed] [Google Scholar]
- 197.Rentzos M., Nikolaou C., Andreadou E., Paraskevas G.P., Rombos A., Zoga M., Tsoutsou A., Boufidou F., Kapaki E., Vassilopoulos D. Circulating interleukin-10 and interleukin-12 in Parkinson’s disease. Acta Neurol. Scand. 2009;119:332–337. doi: 10.1111/j.1600-0404.2008.01103.x. [DOI] [PubMed] [Google Scholar]
- 198.Brodacki B., Staszewski J., Toczyłowska B., Kozłowska E., Drela N., Chalimoniuk M., Stepien A. Serum interleukin (IL-2, IL-10, IL-6, IL-4), TNFalpha, and INFgamma concentrations are elevated in patients with atypical and idiopathic parkinsonism. Neurosci. Lett. 2008;441:158–162. doi: 10.1016/j.neulet.2008.06.040. [DOI] [PubMed] [Google Scholar]
- 199.Scalzo P., Kümmer A., Cardoso F., Teixeira A.L. Increased serum levels of soluble tumor necrosis factor-alpha receptor-1 in patients with Parkinson’s disease. J. Neuroimmunol. 2009;216:122–125. doi: 10.1016/j.jneuroim.2009.08.001. [DOI] [PubMed] [Google Scholar]
- 200.Koziorowski D., Tomasiuk R., Szlufik S., Friedman A. Inflammatory cytokines and NT-proCNP in Parkinson’s disease patients. Cytokine. 2012;60:762–766. doi: 10.1016/j.cyto.2012.07.030. [DOI] [PubMed] [Google Scholar]
- 201.Menza M., Dobkin R.D., Marin H., Mark M.H., Gara M., Bienfait K., Dicke A., Kusnekov A. The role of inflammatory cytokines in cognition and other non-motor symptoms of Parkinson’s disease. Psychosomatics. 2010;51:474–479. doi: 10.1176/appi.psy.51.6.474. [DOI] [PMC free article] [PubMed] [Google Scholar]
- 202.Mahlknecht P., Stemberger S., Sprenger F., Rainer J., Hametner E., Kirchmair R., Grabmer C., Scherfler C., Wenning G.K., Seppi K., et al. An antibody microarray analysis of serum cytokines in neurodegenerative Parkinsonian syndromes. Proteome Sci. 2012;10:71. doi: 10.1186/1477-5956-10-71. [DOI] [PMC free article] [PubMed] [Google Scholar]




