Abstract
Background:
Angelica shikokiana is a Japanese medicinal herb that is included among food and drug preparations protecting against cancer; however, there is no previous report about the cytotoxicity of A. shikokiana or its bioactive compounds.
Objective:
This study was designed to investigate the cytotoxic activities of A. shikokiana methanol extract (AME) and its isolated compounds and to identify the molecular mechanisms of the cytotoxicity.
Materials and Methods:
Cytotoxicity and selectivity was investigated by measuring the IC50 values on five cancer cell lines; human hepatocellular carcinoma, rhabdomyosarcoma (RD), colorectal carcinoma, human epithelioma and human breast adenocarcinoma and one normal cell line; human lung fibroblasts. The effects on tubulin polymerization and histone deacetylase 8 (HDAC8), were examined to determine the mechanism of cytotoxicity. Docking study was designed to examine the binding affinity to the target molecules.
Results:
Methanol extract and some of its isolated coumarins and flavonoids showed potent, selective cytotoxicity against cancer cell lines. AME and all isolated compounds inhibited tubulin polymerization. Angelicin and kaempferol-3-O-rutinoside were the most active compounds. Phenolic compounds and furanocoumarins showed binding affinity to colchicine binding site rather than the vinblastine binding site of tubulin microtubules. On the other side, quercetin, kaempferol, luteolin, chlorogenic acid, and methyl chlorogenate exhibited the strongest activity against HDAC8 and the highest affinity to trichostatin A binding site.
Conclusion:
These findings provide the first scientific evidence of the cytotoxicity of AME through inhibition of tubulin polymerization and HDAC8 activity through its coumarin and flavonoid content.
SUMMARY
The present study provides for the first time a clue for the cytotoxic activities of the AME. Our results indicate that the cytotoxic activities are partially related to the ability of AME to inhibit tubulin polymerization and HDAC8 activity. Isolated compounds; Angelicin and kaempferol-3-O-rutinoside showed the strongest inhibition of tubulin polymerization through binding to colchicine binding domain of tubulin microtubules. Phenolic compounds; quercetin, luteolin, kaempferol, chlorogenic acid and methyl chlorogenate exhibited a strong inhibition of HDAC8 through binding to TSA binding site. This, however, further detailed pharmacological and in vivo studies should be the next step in evaluating the cytotoxic activities of AME and its active compounds that are currently ongoing.

Abbreviations used: AME: Methanol extract of the aerial part of A. shikokiana, HDACs: Histone deacetylases,HDAC8: Histone deacetylase 8
Keywords: Angelica shikokiana, cytotoxicity, histone deacetylase 8, tubulin polymerization
INTRODUCTION
Cancer as a one of the leading causes of death worldwide, being the main reason for searching for anti-neoplastic agents, especially from natural origin, which has become an important research aspect.[1] Tubulin microtubules destabilization and histone deacetylases (HDACs) inhibition are two of the most promising strategies for cancer treatment.[2] Microtubules polymerization is a highly dynamic process and is crucial to mitosis and cell division.[3] Chemotherapeutic agents targeting microtubules destabilization bind to one of the three binding sites; paclitaxel, vinca domain or the colchicine domain.[4] On the other hand, HDACs have been shown to regulate the acetylation of the histones and nonhistone proteins that regulate the expression and activity of numerous proteins involved in both cancer initiation and cancer progression.[5] Inhibition of HDACs leads to changes in the expression of genes involved in the regulation of apoptosis, proliferation, and the cell cycle.[6] Histone deacetylase inhibitors (HDACis) are an emerging class of epigenetic anticancer drugs that possess selective cytotoxicity to cancer cells. HDACis was evidenced to inhibit tumor cell growth and induce their apoptosis.[7] Several studies suggested that the cytotoxicity of HDACis may be due primarily to the inhibition of Class I HDACs (HDACs 1–3 and HDAC8) which are overexpressed in various tumors.[8] HDAC8 is one of the most resistant isoforms of HDACs and has been implicated in the pathogenesis of several types of cancers such as neuroblastoma, acute myeloid leukemia, and T-cell lymphomas.[9]
Angelica shikokiana (Apiaceae) is a Japanese traditional herb known as Inutoki, and it is widely marketed as a dietary food supplement as a health tea for treating digestive and circulatory systems diseases.[10] Previous studies incorporated the methanol extract of A. shikokiana among food and drink additives preparations used for tumor inhibition.[11,12] Our previous study confirmed that the alcoholic extract of the leaves and stems had strong antioxidant, anti-inflammatory activities.[13] A following-up study included the isolation of bioactive compounds of the aerial part[14] resulted in isolation of 19 compounds; two triterpenes; α-glutinol and β-amyrin, five flavonoids; kaempferol, luteolin, quercetin, kaempferol-3-O-glucoside and kaempferol-3-O-rutinoside, two phenolic acids; methyl chlorogenate and chlorogenic acid, seven coumarins; hyuganin E, hyuganin C, isoepoxypteryxin, isopteryxin, angelicin, bergapten and psoralen and other compounds; 5-(hydroxymethyl)-2-furaldehyde, β-sitosterol-3-O-glucoside and adenosine. To the best of our knowledge, there is no previous report about the bioactive compounds contributed to the cytotoxic activity of A. shikokiana. Hence, the present study investigated the in vitro cytotoxicity of the methanol extract of the aerial part as well as the isolated compounds against different cancer and normal cell lines. Additionally, the molecular mechanisms of cytotoxicity were examined by testing the effect of the extract, as well as the isolated compounds on tubulin polymerization and HDAC8. Molecular docking study illustrated the binding affinity of the active compounds to the active site of tubulin protein and HDAC8.
MATERIALS AND METHODS
Plant material
The dried powder of the aerial part of A. shikokiana (voucher specimen No. Y-1) was obtained from Joy Plus (Kurume, Japan). Twenty grams of the dried powder of the aerial part of A. shikokiana was extracted with methanol (150 ml × 3) at room temperature (25°C) to prepare A. shikokiana methanol extract (AME). Isolation of active compounds was done as previously described[14] and as shown in Flowchart 1 in supplementry material.
Flow Chart 1.

Scheme of isolation of active compounds of the methanol extract of the aerial part of Angelica shikokiana
Cell lines
Human hepatocellular carcinoma (HepG2), rhabdomyosarcoma (RD) and colorectal carcinoma (HCT116) cells were cultured in Dulbecco's Modified Eagle's medium (DMEM) (Wako Pure Chemical Industries, Osaka, Japan) supplemented with 10% fetal bovine serum, 100 U/ml penicillin, and 100 U/ml streptomycin (Gibco BRL, Tokyo, Japan). Human epithelioma (Hep2), human breast adenocarcinoma (MCF7), and human lung fibroblasts (WI-38) were cultured in Eagle's Minimum Essential Medium (Nissui Pharmaceutical, Tokyo, Japan) under the same conditions as with DMEM medium. All cell lines were obtained from Riken Bioresource Center of Japan (Ibaraki, Japan).
General experimental procedures
A tubulin polymerization assay kit was purchased from Cytoskeleton (Denver, CO, USA). HDAC8 Deacetylase Fluorometric kit was obtained from CycLex (Nagano, Japan). Vinblastine, paclitaxel, and 5-fluorouracil (5-FU) were purchased from Sigma (St. Louis, MO, USA). WST-1 was purchased from Wako Pure Chemical Industries (Osaka, Japan). All other chemicals were purchased from Sigma (St. Louis, MO, USA).
Cytotoxicity to cancer and normal cell lines
HepG2, Hep2, MCF7, RD, HCT116 and WI-38 were cultured in 96-well plates at densities of 1 × 104, 0.5 × 104, 2.5 × 104, 3 × 104, 3.5 × 104 and 2 × 104 cells/well, respectively, in a humid atmosphere of 5% (v/v) CO2 and 95% (v/v) air at 37°C. After 24 h, the cells were treated with five different concentrations of the methanol extract (6.25, 12.5, 25, 50, and 100 μg/ml, dissolved in DMSO) and the isolated compounds (6.25, 12.5, 25, 50, and 100 μM, dissolved in DMSO). 5-FU was used as a positive control.[15] After 48 h, cell viability was determined using WST-1 reagent as follows: 10 μL of WST-1 reagent was added to each well, followed by 4 h incubation at 37°C, after which the absorbance was measured at 450 nm using a Microplate Reader (Biotek, Winooski, VT, USA).
Tubulin polymerization assay
The abilities of the methanol extract (25 and 50 μg/ml) and isolated compounds at a concentration of 10 μM to either inhibit or enhance tubulin polymerization were tested according to the manufacturer's protocols. Briefly, the reaction mixture in a final volume of 10 μL in PEM buffer (80 mM PIPES, 0.5 mM EGTA, 2 mM MgCl2, pH 6.9) contained 2 mg/ml bovine brain tubulin, 10 μM fluorescent reporter, and 1 mM GTP was mixed in 96 well-plate at 37°C with test compounds, vinblastine or paclitaxel (3 μM) as positive controls[16] for the inhibition or enhancement, of tubulin polymerization, respectively. Tubulin polymerization was determined by measuring the fluorescence emission at λ = 420 nm (excitation λ = 360 nm) for 1 h at 1 min. Intervals using flexstation 3 Microplate Reader (Molecular Devices, LLC, Sunnyvale, CA, USA), and data were managed by SoftMax Pro® 5.4.1 software (Molecular Devices, LLC, Sunnyvale, CA, USA).
Histone deacetylase 8 inhibitory assay
The inhibitory effects of the methanol extract (30 μg/ml), isolated compounds (10 μM) and trichostatin A (TSA) (5 μM) as a positive control[17] on HDAC8 were examined according to the manufacturer's protocols. Briefly, 35 μL of the assay buffer (5 μl, (20 mM Tris-HCl, pH 8.0, 125 mM NaCl, 1% glycerol) was mixed with 1 μL of 1 mM fluoro-substrate peptide, 2.5 μL lysyl endpeptidase (5 mAU/ml), 26.5 μL distilled water with or without 5 μL of samples or TSA. The reaction is initiated by addition of 10 μL of X5 diluted recombinant HDAC8. HDAC8 activity was measured by monitoring the fluorescence emission at λ = 440 nm (excitation λ = 340 nm) for 1 h at 1 min intervals at 37°C using flexstation 3 Microplate Reader.
Molecular docking
Docking experiment was used to investigate the binding affinity of the active compounds to the binding residues of the active site of tubulin protein (at the inhibitory binding domains sites; colchicine and vinblastine) and HDAC8. The crystal structures of tubulin protein complexed with colchicine or vinblastine (code: 4O2B and 4EB6, respectively) and HDAC8 complexed with TSA (code: 3F0R) were downloaded from protein data bank and imported into the workplace of Molegro Virtual Docker (MVD 6.0, Molegro, Aarhus, Denmark) software. Chain D of 4O2B and chain C of 4EB6 were used as a template for docking experiments at the binding sites of colchicine and vinblastine, respectively. All other ligands and cofactors were removed from the protein structure prior to perform the docking simulation. Docking parameters were adjusted as following: Mmaximum iterations of 1500, a maximum population size of 100, neighbor distance factor of 1, grid resolution of 0.7 Å and 100 runs). Chain B805 of 3F0R protein was used for docking experiment at the binding site of the ligand TSA B-805. Docking parameters were the same as that of the docking with tubulin microtubules. Rank scores were used as an indicative for the binding affinity of isolated compounds to the active site of tubulin microtubules and HDAC8.[18] The three-dimensional structures of ligands were drawn using Chemsketch 12.0 software (Cambridge Soft Corporation, Cambridge, MA, USA) and saved as mol2 formats. Steps of docking experiment were done as previously described.[19] The binding residues were determined using LigPlot+ V.1.4 program.
Data analysis
IC50 (concentration resulting in 50% cytotoxicity) values were calculated using Probit Analysis (Version 16.0 for Windows; SPSS, Chicago, IL, USA) for five different concentrations in three independent experiments. Data are expressed as means ± standard deviations. Fluorescence readings for tubulin polymerization and HDAC8 assays are expressed in relative fluorescence units (RFU). From the mean values, percentage inhibition was calculated using the following equation:

RESULTS AND DISCUSSION
Cytotoxicity and selectivity
Cytotoxic activities of the methanol extract and isolated compounds [Supplementary Material Figure 1 (1.2MB, tif) ] were evaluated on five different cancer cell lines [Table 1]. Selectivity was evaluated by measuring the cytotoxicity against a normal cell line (WI-38) and expressed in selectivity index (SI) [IC50 of WI-38/IC50 of each cancer cell line, Table 1]. The methanol extract of A. shikokiana exhibited strong cytotoxicity against tested cancer cell lines with IC50 values <60 μg/ml. It had SI values >3 for all tested cancer cell lines except RD cells (SI = 2.1). The results of cytotoxicities and selectivities of isolated compounds confirmed that the activity of the methanol extract is due to its coumarin and flavonoid contents. Among isolated furanocoumarins; angelicin exhibited the strongest cytotoxicity (IC50 < 20 μM) against cancer cell lines and the highest selectivity (SI >7). On the other hand, among the isolated pyranocoumarins; hyuganin E exhibited the strongest cytotoxicity against most tested cancer cell lines (Hep2, HCT116, and MCF7) with IC50 values <25 μM and good selectivity (SI >3). Luteolin and quercetin showed the strong cytotoxicity (IC50 <20 μM) and high selectivity (SI > 5.9) except for the cytotoxicity and selectivity of quercetin against RD cells. Kaempferol showed lower cytotoxicity and selectivity while O-glycosylation at C-3 with 6-O-α-L-rhamnosyl-D-glucose (rutinose) sugar showed a marked improve in both selectivity and cytotoxicity. Chlorogenic acid and methyl chlorogenate showed specific cytotoxicity against certain types of tested cancer cell lines such as Hep2 and MCF7. Other compounds showed lower cytotoxicity and selectivity against all tested cancer cell lines.
Table 1.
Cytotoxicity and selectivity of AME and its isolated compounds

Structures of isolated compounds from the aerial parts of Angelica shikokiana
Effect on tubulin polymerization
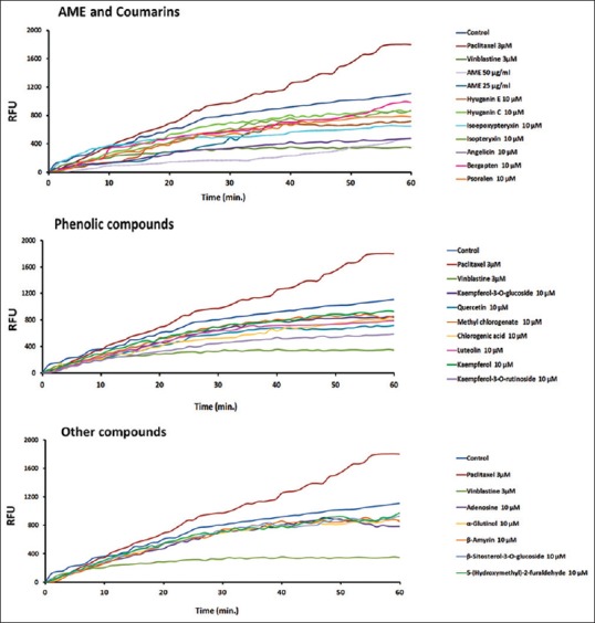
To gain some insights into the molecular mechanisms of the cytotoxicity, the activity of the AME and its isolated compounds were evaluated for their effect on the tubulin polymerization [Figure 1] and HDAC8 [Figure 2] activity as two targets of cytotoxic activity. AME and its isolated compounds inhibited tubulin polymerization in a different degree of inhibition [Table 2]. AME had a concentration-dependent inhibition of tubulin polymerization at the tested concentrations; 25 and 50 μg/ml. Angelicin showed the strongest inhibition (57.1 ± 6.3%) among the isolated compounds at the tested concentration of 10 μM. Other coumarins showed weak (15–30% inhibition, e.g. isopteryxin, hyuganin C and bergapten) to moderate inhibition (30–50% inhibition, e.g. hyuganin E, psoralen, and isoepoxytpteryxin). From those results, some features of structure-activity relationship could be concluded. Angular furanocoumarin (angelicin) is more active than the linear ones (bergapten and psoralen). Epoxide ring at C-2’” and C-3’” in the side chain at C-3’ substituted ester of pyranocoumarin ring (isoepoxypteryxin) showed similar activities as the presence of vicinal diol (hyuganin E) and higher activity than double bond (isopteryxin) at the same carbon atoms. In addition, changing the position of acetoxy group from C-4’ to C-3’ along with the presence of more nonpolar side chain ester at the C-4’ (hyuganin C) showed a marked decrease in the activity. On the other side, among the phenolic compounds; kaempferol-3-O-rutinoside showed the strongest inhibition of tubulin polymerization (45.93 ± 2.1%). Quercetin and chlorogenic acid showed moderate inhibition while other phenolic compounds showed weak activities. Docking experiment was performed to identify the putative binding sites of isolated compounds on tubulin microtubules at the inhibitory domain binding sites; colchicine and vinblastine. The results [Table 3] showed that angelicin and kaempferol-3-O-rutinoside had the highest rank scores of the docking experiment and higher affinity to bind to colchicine not to vinblastine binding site [Figure 3]. Both compounds showed a high percentage of matching with colchicine binding residues on tubulin microtubules. Further, the results showed that other phenolic compounds and furanocoumarins had more affinity to colchicine binding site. Oppositely, pyranocoumarins, isopteryxin, isoepoxypteryxin, hyuganin E and hyuanin C had the higher rank scores at vinblastine binding site indicating their affinity to bind at vinblastine, not colchicine binding sites. The results of quercetin matches with previously reported studies about its ability to inhibit polymerization of tubulin microtubules[20,21] through promoting its disassembly through binding to colchicine (not vinblastine) binding site at tubulin microtubules.[21] The results of this assay indicate that the presence of a dihydroxy group at C-3’and C-4’ along with oxygen atom at C-3 of the flavonoid ring is essential for the activity. Further, it could be noticed that methylation of chlorogenic acid resulted in nearly 50% decrease in the activity. To the best of our knowledge, this the first report about the activity of AME, its isolated coumarins and kaempferol-3-O-rutinoside on tubulin polymerization.
Figure 1.

Effects of the methanol extract of Angelica shikokiana and its isolated compounds on tubulin polymerization. Fluorescence signal was monitored at Ex/Em = 360/420 nm at 37°C every minimum for 60 min
Figure 2.

Effects of the methanol extract of Angelica shikokiana and its isolated compounds on HDAC8 activity. Fluorescence signal was monitored at Ex/Em = 340/440 nm at 37°C every minimum for 60 min
Table 2.
Inhibition of tubulin polymerization and HDAC8 activity at 10 μM concentration

Table 3.
Rank scores of the docking experiment of the isolated compounds at vinblastine or colchicine binding sites of tubulin microtubules

Figure 3.

Binding residues of colchicine, kaempferol-3-O-rutinoside and angelicin on tubulin microtubules using LigPlot+ v. 1.4 program
Inhibitory activity on histone deacetylase 8
AME inhibited HDAC8 at both tested concentrations; 25 and 50 μg/ml with IC50 value of 17.31 ± 5.8 μg/ml. All phenolic compounds except kaempferol-3-O-glucoside and kaempferol-3-O-rutinoside inhibited HDAC8 strongly with IC50 values <10 μM. Coumarins and triterpenes showed moderate inhibition (% inhibition of HDAC8 activity from 30% to 50% at the tested concentration of 10 μM). Other compounds showed either weak inhibition (<30% inhibition, e.g., 5-hydroxymethyl-2-furaldehyde) or stimulated HDAC8 activity, e.g., adenosine and β-sitosterol-3-O-glucoside. Docking experiment showed that phenolic compounds; chlorogenic acid, methyl chlorogenate, quercetin, luteolin, and kaempferol had the highest rank scores of the docking experiment at TSA binding site of HDAC8 [Table 4] and high matching with the same binding residues of TSA [Figure 4]. Some features of structure-activity relationship could be extracted from those results. First, changing the double bond from Δ5,6 (a-glutinol) to Δ12,13 (β-amyrin) in oleanane type triterpenes resulted in 10 ± 5.1% decrease in the inhibitory activity. Second, pyranocoumarins (isoepoxypteryxin, isopteryxin, and hyganin E) were more active than furanocoumarins (psoralen, bergapten, and angelicin). Finally, similar to tubulin polymerization assay, changing the position of acetoxy group from C-4’ to C-3’ together with more nonpolar side chain ester at the C-4’ in pyranocoumarins (hyuganin C) showed about 10 ± 2.2% decrease in the inhibitory activity. Some studies reported the HDACis activity of dietary flavonoids; luteolin,[22] quercetin,[23] kaempferol[24] and chlorogenic acid;[25,26] however to the best of our knowledge, this study is the first to report the effect of AME, isolated coumarins and kaempferol-3-O-rutinoside on HDAC8 activity.
Table 4.
Rank scores of the docking experiment of the isolated compounds at TSA binding site of HDAC8

Figure 4.

Binding residues of trichostatin A and the active compounds in HDAC8 inhibitory assay and with high docking scores using LigPlot+ v. 1.4 program
Financial support and sponsorship
Nil.
Conflicts of interest
There are no conflicts of interest.
ABOUT AUTHORS

Kuniyoshi Shimizu
Dr. Kuniyoshi Shimizu is an Associate Professor at the Department of Agro-environmental Sciences, Systematic Forest and Forest Products Science Faculty of Agriculture, Kyushu University, Japan. His research interest is in the area of searching for bioactive compounds from medicinal plants and mushrooms.

Amira Mira
Amira Mira is PhD-student at the Department of Agro-environmental Sciences, Systematic Forest and Forest Products Science Faculty of Agriculture, Kyushu University, Japan. She is working as an assistant lecturer at the Department of Pharmacognosy, Faculty of Pharmacy, Mansoura University, Japan. Her research interest is in the area for searching for new bioactive compounds from natural resources.
Acknowledgments
We would like to thank Joy Plus (Y. Tateyama), of Fukouka, Japan, for providing the plant powder.
REFERENCES
- 1.Mukherjee AK, Basu S, Sarkar N, Ghosh AC. Advances in cancer therapy with plant based natural products. Curr Med Chem. 2001;8:1467–86. doi: 10.2174/0929867013372094. [DOI] [PubMed] [Google Scholar]
- 2.Haggarty SJ, Koeller KM, Wong JC, Grozinger CM, Schreiber SL. Domain-selective small-molecule inhibitor of histone deacetylase 6 (HDAC6)-mediated tubulin deacetylation. Proc Natl Acad Sci U S A. 2003;100:4389–94. doi: 10.1073/pnas.0430973100. [DOI] [PMC free article] [PubMed] [Google Scholar]
- 3.Desai A, Mitchison TJ. Microtubule polymerization dynamics. Annu Rev Cell Dev Biol. 1997;13:83–117. doi: 10.1146/annurev.cellbio.13.1.83. [DOI] [PubMed] [Google Scholar]
- 4.Jordan MA, Wilson L. Microtubules as a target for anticancer drugs. Nat Rev Cancer. 2004;4:253–65. doi: 10.1038/nrc1317. [DOI] [PubMed] [Google Scholar]
- 5.Glozak MA, Seto E. Histone deacetylases and cancer. Oncogene. 2007;26:5420–32. doi: 10.1038/sj.onc.1210610. [DOI] [PubMed] [Google Scholar]
- 6.Spange S, Wagner T, Heinzel T, Krämer OH. Acetylation of non-histone proteins modulates cellular signalling at multiple levels. Int J Biochem Cell Biol. 2009;41:185–98. doi: 10.1016/j.biocel.2008.08.027. [DOI] [PubMed] [Google Scholar]
- 7.Minucci S, Pelicci PG. Histone deacetylase inhibitors and the promise of epigenetic (and more) treatments for cancer. Nat Rev Cancer. 2006;6:38–51. doi: 10.1038/nrc1779. [DOI] [PubMed] [Google Scholar]
- 8.Carew JS, Giles FJ, Nawrocki ST. Histone deacetylase inhibitors: Mechanisms of cell death and promise in combination cancer therapy. Cancer Lett. 2008;269:7–17. doi: 10.1016/j.canlet.2008.03.037. [DOI] [PubMed] [Google Scholar]
- 9.Xu WS, Parmigiani RB, Marks PA. Histone deacetylase inhibitors: Molecular mechanisms of action. Oncogene. 2007;26:5541–52. doi: 10.1038/sj.onc.1210620. [DOI] [PubMed] [Google Scholar]
- 10.Okuda H. Pharmaceutical composition comprises extract of Angelica shikokiana Makiao belonging to Umbelliferae. JP 60260520 A, 23 December. 1985 [Google Scholar]
- 11.Manabu N. A health food containing extract of plant in Angelica of Umbelliferae and extract of plant in Calanthe of Orchidaceae. From PCT Int. Appl. 2000 WO 2000027224 A1 20000518. [Google Scholar]
- 12.Toshimitsu K, KenjiT, Shuichi M, Harukuni T, Hoyoku N. Tumor promotion inhibitor and food and drink/Tumor promotion inhibitor comprising fruit body extract of mushroom, and food and drink containing the same. From Jpn. KokaiTokkyoKoho. 2000 JP 2000038347 A 20000208. [Google Scholar]
- 13.Mira A, Tanaka A, Tateyama Y, Kondo R, Shimizu K. Comparative biological study of roots, stems, leaves, and seeds of Angelica shikokiana Makino. J Ethnopharmacol. 2013;148:980–7. doi: 10.1016/j.jep.2013.06.008. [DOI] [PubMed] [Google Scholar]
- 14.Mira A, Yamashita S, Katakura Y, Shimizu K. In vitro neuroprotective activities of compounds from Angelica shikokiana Makino. Molecules. 2015;20:4813–32. doi: 10.3390/molecules20034813. [DOI] [PMC free article] [PubMed] [Google Scholar]
- 15.André T, Boni C, Mounedji-Boudiaf L, Navarro M, Tabernero J, Hickish T, et al. Oxaliplatin, fluorouracil, and leucovorin as adjuvant treatment for colon cancer. N Engl J Med. 2004;350:2343–51. doi: 10.1056/NEJMoa032709. [DOI] [PubMed] [Google Scholar]
- 16.Jordan MA. Mechanism of action of antitumor drugs that interact with microtubules and tubulin. Curr Med Chem Anticancer Agents. 2002;2:1–17. doi: 10.2174/1568011023354290. [DOI] [PubMed] [Google Scholar]
- 17.Vannini A, Volpari C, Filocamo G, Casavola EC, Brunetti M, Renzoni D, et al. Crystal structure of a eukaryotic zinc-dependent histone deacetylase, human HDAC8, complexed with a hydroxamic acid inhibitor. Proc Natl Acad Sci U S A. 2004;101:15064–9. doi: 10.1073/pnas.0404603101. [DOI] [PMC free article] [PubMed] [Google Scholar]
- 18.Kitchen DB, Decornez H, Furr JR, Bajorath J. Docking and scoring in virtual screening for drug discovery: Methods and applications. Nat Rev Drug Discov. 2004;3:935–49. doi: 10.1038/nrd1549. [DOI] [PubMed] [Google Scholar]
- 19.Ratnavali G, Devi N, Sri K, Raju J, Sirisha B, Kavitha R. An attempt to screen top colorectal cancer drugs by using Molegro Virtual Docker. Ann Biol Res. 2011;2:114–26. [Google Scholar]
- 20.Gupta K, Panda D. Perturbation of microtubule polymerization by quercetin through tubulin binding: A novel mechanism of its antiproliferative activity. Biochemistry. 2002;41:13029–38. doi: 10.1021/bi025952r. [DOI] [PubMed] [Google Scholar]
- 21.Takagi T, Takekoshi S, Okabe T, Nagata H, Honma T, Watanabe K. Quercetin, a flavonol, promotes disassembly of microtubules in prostate cancer cells: Possible mechanism of its antitumor activity. Acta Histochem Cytochem. 1998;31:435–46. [Google Scholar]
- 22.Attoub S, Hassan AH, Vanhoecke B, Iratni R, Takahashi T, Gaben AM, et al. Inhibition of cell survival, invasion, tumor growth and histone deacetylase activity by the dietary flavonoid luteolin in human epithelioid cancer cells. Eur J Pharmacol. 2011;651:18–25. doi: 10.1016/j.ejphar.2010.10.063. [DOI] [PubMed] [Google Scholar]
- 23.Kim YH, Lee DH, Jeong JH, Guo ZS, Lee YJ. Quercetin augments TRAIL-induced apoptotic death: Involvement of the ERK signal transduction pathway. Biochem Pharmacol. 2008;75:1946–58. doi: 10.1016/j.bcp.2008.02.016. [DOI] [PMC free article] [PubMed] [Google Scholar]
- 24.Berger A, Venturelli S, Kallnischkies M, Böcker A, Busch C, Weiland T, et al. Kaempferol, a new nutrition-derived pan-inhibitor of human histone deacetylases. J Nutr Biochem. 2013;24:977–85. doi: 10.1016/j.jnutbio.2012.07.001. [DOI] [PubMed] [Google Scholar]
- 25.Bora-Tatar G, Dayangaç-Erden D, Demir AS, Dalkara S, Yelekçi K, Erdem-Yurter H. Molecular modifications on carboxylic acid derivatives as potent histone deacetylase inhibitors: Activity and docking studies. Bioorg Med Chem. 2009;17:5219–28. doi: 10.1016/j.bmc.2009.05.042. [DOI] [PubMed] [Google Scholar]
- 26.Dayangac-Erden D, Bora-Tatar G, Dalkara S, Demir AS, Erdem-Yurter H. Carboxylic acid derivatives of histone deacetylase inhibitors induce full length SMN2 transcripts: A promising target for spinal muscular atrophy therapeutics. Arch Med Sci. 2011;7:230–4. doi: 10.5114/aoms.2011.22072. [DOI] [PMC free article] [PubMed] [Google Scholar]
Associated Data
This section collects any data citations, data availability statements, or supplementary materials included in this article.
Supplementary Materials
Structures of isolated compounds from the aerial parts of Angelica shikokiana
