Abstract
Mechanism of metal-insulator transition (MIT) in strained VO2 thin films is very complicated and incompletely understood despite three scenarios with potential explanations including electronic correlation (Mott mechanism), structural transformation (Peierls theory) and collaborative Mott-Peierls transition. Herein, we have decoupled coactions of structural and electronic phase transitions across the MIT by implementing epitaxial strain on 13-nm-thick (001)-VO2 films in comparison to thicker films. The structural evolution during MIT characterized by temperature-dependent synchrotron radiation high-resolution X-ray diffraction reciprocal space mapping and Raman spectroscopy suggested that the structural phase transition in the temperature range of vicinity of the MIT is suppressed by epitaxial strain. Furthermore, temperature-dependent Ultraviolet Photoelectron Spectroscopy (UPS) revealed the changes in electron occupancy near the Fermi energy EF of V 3d orbital, implying that the electronic transition triggers the MIT in the strained films. Thus the MIT in the bi-axially strained VO2 thin films should be only driven by electronic transition without assistance of structural phase transition. Density functional theoretical calculations further confirmed that the tetragonal phase across the MIT can be both in insulating and metallic states in the strained (001)-VO2/TiO2 thin films. This work offers a better understanding of the mechanism of MIT in the strained VO2 films.
Vanadium dioxide (VO2) is an archetypal correlated material discovered by Morin with excellent metal-insulator transition (MIT) characteristics at the critical temperature (~68 °C in bulk state)1. Due to the optical transmittance changes at the infrared2 and THz regions3,4 and huge resistance jump5,VO2 has become a widely-studied material in fundamental studies and for industrial applications such as metamaterials6,7,8, smart windows9, supercapacitors10, etc. Generally, the MIT of bulk VO2 or nanobeam-like counterparts always accompanies a structural phase transition from a low temperature monoclinic phase to a high temperature tetragonal phase11,12,13. However, this hypothesis does not always hold.
Indeed, there is still a significant debate over whether the mechanism of MIT in VO2 is a Mott transition14,15, Peierls transition16,17, or a combination of the two18,19. As early as 1975, Zylbersztejn and Mott showed that the mechanism of MIT in VO2 was not the simple Mott-Hubbard transition induced only by electron-electron interactions20. In 2004, Cavalleri et al. found evidence for a structure-driven MIT in VO2 by ultrafast spectroscopy and declared that the mechanism of MIT was not the Mott-Hubbard transition11. However, Kim et al. observed that the tetragonal metallic phase did not occur simultaneously with MIT by the ultrafast pump-probe technology—they ascribed the MIT to the Mott mechanism illustrated by photo-assisted hole excitation21. Thus, the mechanism of MIT remains controversial—some researchers22,23 believe that the MIT is induced by the broken symmetry of lattice, namely, the Peierls transition. Concurrently, there are many others who believe that the MIT in VO2 is a Mott transition14,24.
On the other hand, epitaxial strain due to lattice mismatch between thin film VO2 and substrates has revealed a different picture of the MIT22. A tetragonal phase was identified by transmission electron microscopy in the ultrathin VO2 layers just adjacent to the TiO2 substrate in Zou’s work25, and X-ray diffraction reciprocal space mapping (XRD-RSM) suggested that there is no monoclinic phase in ultrathin VO2 films at room temperature25. Furthermore, our recent findings demonstrated an anomalous tetragonal-like to tetragonal structural phase transition but not a conventional monoclinic to tetragonal phase transition in 300-nm-thick VO2/TiO2 films (not shown here). In addition, Jiwei Lu et al. proposed a Mott-like phase transition in VO2 thin films induced by a large bi-axial epitaxial strain based on Raman spectroscopy data26. Laverock et al. observed a crossover from a Mott-Peierls-like transition to a Mott-like transition by large out-of-plane tensile in strained VO2 thin films through various spectroscopic techniques27.
All of these observations have demonstrated that the structural evolution in the strained VO2 thin films was complicated by epitaxial strain, which could lead a misunderstanding of the role of structural phase transition in the MIT. Therefore, epitaxial strain plays a very important part in not only modulating the MIT behaviors but also understanding the underlying mechanism of MIT in the strained VO2 thin films. To date, the mechanism of MIT in strained VO2 thin films has not been completely addressed. Moreover, the low-temperature phase in thin film VO2 under substrate clamping has not yet been fully understood and identified—this is very important for unveiling the MIT mechanism in ultrathin VO2 epitaxial films.
In this study, we investigated the evolutions of crystal structure and electronic states in the ultrathin VO2 films grown on (001)-oriented TiO2 substrates via temperature-dependent XRD-RSM, Raman spectroscopy and Ultraviolet Photoelectron Spectroscopy (UPS). We found that the absence of the structural phase transition across the MIT—and thus the electronic transition—may solely trigger the MIT. Moreover, the insulating tetragonal VO2 at room temperature is stabilized by epitaxial strain, which is further confirmed by density functional theory (DFT) calculations. To the best of our knowledge, this is a systematic report to investigate the structural and electronic transition of VO2 films grown on (001)-oriented TiO2 substrates combining XRD-RSM, Raman spectroscopy, UPS tools and theoretical methods—the findings also have important implications for researchers in the field of optics and electronics.
Results and Discussion
Crystal structure evolution across MIT
To evaluate the quality of the VO2 thin film, the XRD θ–2θ patterns of (001)-VO2/TiO2 thin film were acquired (Fig. 1a). As shown in Fig. 1a, only the (002) peaks of the VO2 thin film and TiO2 substrate appear, which suggests that the VO2 thin film is highly oriented along the out-of-plane direction of the TiO2 substrate. According to the small angle X-ray reflection (XRR) in the inset of Fig. 1a, there are clear thickness-interference fringes suggesting that the surface of the VO2 thin film is smooth. Both atomic force microscopy and polarized optical microscopy confirmed the smooth surface (root mean square: ~0.4 nm) and uniformity of VO2 thin films (not shown here). We thus can calculate the thickness (h) with the formula28:
Figure 1.
(a) XRD θ–2θ patterns of ultrathin VO2/TiO2 film, inset: XRR curve. (b) The XRD φ scans of the (101) peaks of VO2 film and TiO2 substrate at room temperature. (c) The schematic crystal structures of ultrathin VO2 film on TiO2 substrate. (d) The R-T curve of the ultrathin VO2/TiO2 film and corresponding differential curve.
![]() |
where m and n are the orders of interference, and θm and θn are the corresponding diffraction angles, respectively. The VO2 thickness is calculated to be ~13 nm, which is thin enough to maintain the epitaxial strain between the VO2 thin film and TiO2 substrate well below the critical thickness (~26.5 nm)26,29.
From the XRD φ scans of (101) peaks of TiO2 substrate at room temperature in Fig. 1b, there are four peaks, each separated by 90o. This originates from the nature of four-fold symmetry of the TiO2 substrate. For the VO2 thin film, the (101) peaks (defined by tetragonal unit cell) from the φ scans have located the same azimuthal angles as those in the TiO2 substrate (Fig. 1b). Therefore, the 13-nm VO2 thin film grows epitaxially on the tetragonal TiO2 substrate and has a similar symmetry as the TiO2 substrate at room temperature. This implies the four-fold symmetry of the VO2 thin film. And thus the epitaxial relationship between the VO2 thin film and TiO2 substrate is
along the out-of-plane direction, and
and
along the in-plane direction. This relationship is shown schematically at Fig. 1c. We can imagine that the ultrathin VO2 film probably suffers tensile strain along the in-plane direction because the in-plane lattice constant a of TiO2 substrate is larger than that of bulk VO2. The compressive strain should be correspondingly developed along the out-of-plane direction with assumption of conservation of volume of the VO2. The strain states in the (001)-VO2 epitaxial film are shown in Fig. 1c.
Importantly, the 13-nm (001)-VO2 epitaxial film is in the tetragonal phase at room temperature as shown by the above symmetry analysis of the diffraction peaks. The Raman data offers additional evidence regarding the low-temperature tetragonal phase in this VO2 thin film, but this contradicts with the previous reports30 in which the monoclinic phase (M1) of the 110 nm-thick VO2 films were studied at room temperature. We conjecture that epitaxial strain should stabilize the tetragonal phase in the thinner (001)-VO2/TiO2 film versus the cases in the literature27,31 at room temperature. However, the relaxation of the epitaxial strain in the thicker VO2 thin film resulted in the formation of the observed M1 phase at room temperature (see Raman spectra below).
Figure 1d shows the R-T curve of the ultrathin (001)-VO2/TiO2 film and corresponding differential curve during the temperature cycling from room temperature to 90 °C and backward. The resistivity shows an abrupt jump at the transition temperature (TMIT) of ~47.6 °C (Fig. 1d inset), which is lower than that of the bulk counterpart. Moreover, the change of resistivity across the MIT is up to three orders of magnitude, which is comparable to previous reports25. These could be closely related to the modulation of the electronic structures by epitaxial strain32,33,34. It is mentionable that the MIT in the present work is a bit higher than the previous reports (~36 °C)26 with the similar film thickness. First, the Ti interdiffusion partially accounts for the increasing the MIT in the VO2/TiO2 epitaxial films. Y. Muraoka et al. found that the high growth temperature can induce the Ti diffusion to the VO2 thin films and dramatically increase the MIT from 28 °C to 67 °C in the 12-nm (001)-VO2/TiO2 films grown by pulse laser deposition technique35. And the interdiffusion region was observed to be restricted to 1.2 nm at the interface between the VO2 film and TiO2 substrate by Quackenbush et al.36. Second, the oxygen pressure for the VO2 film growth may introduce non-stoichiometry and change the MIT obviously. Stuart S. P. Parkin et al.37 found the MIT of the 10-nm (001)- VO2/TiO2 films was changed from 17 °C to 28 °C with increasing the growth oxygen pressure. Junhao Chu et al.38 also observed a dramatic increasing of the MIT from 48 °C to 75 °C in the VO2/Al2O3 epitaxial films. The possible reason for this may be ascribed to the balance of the doping level and acceptor level in the forbidden gap produced by oxygen vacancy and vanadium vacancy in different growth oxygen pressure, respectively38,39. Third, the MIT becomes higher with the larger lattice constant c as reported in refs 26,35,37. The long V4+–V4+ distance relieves the direct overlapping of d orbitals, which decreases the width of the d band and increases the MIT in the tetragonal structure of the (001)-VO2/TiO2 films35. Therefore, the structural studies and electrical measurements both highlight the excellent quality of the sample and these samples demonstrate the apparent MIT in the (001)-VO2/TiO2 epitaxial films, which is as similar as the metal-insulator transition behaviors in the previous studies34,35,36,37,38,39.
To illustrate the correlations between the mechanism of MIT and structural phase transition in the strained (001)-VO2/TiO2 epitaxial film, the structure evolution across MIT was studied by in situ temperature-dependent high resolution XRD with reciprocal space mapping (RSM) technique. The evolution of RSMs around (002) and (112) diffractions of VO2/TiO2 are presented in Fig. 2. There are two Bragg spots in each RSM—the lower one belongs to TiO2 substrate and the upper one belongs to the VO2 film. The RSMs were plotted in reciprocal lattice units (r.l.u.) of the TiO2 substrate (1 r.l.u. = 2π/2.9592 Å−1). The (002) and (112) peaks of the VO2 film in the RSMs (Fig. 2) didn’t move across all the entire heating and cooling process. This strongly indicates that there is no structural phase transition occurring during the MIT. In other words, this behaviour is not consistent with the previous reports in the refs.11, 12, 13, in which the electronic transition is always accompanied with a structural phase transition. However, Jiwei Lu et al.26 recently reported a Mott-like phase transition in VO2 films induced by a large epitaxial bi-axial strain using Raman spectroscopy. This suggests that the structural phase transition did not always appear during the MIT. Our findings in the strained (001)-VO2/TiO2 films agree well with the Lu’s results. Moreover, this study offers direct evidence of a microscopic crystal structure for the suppression of structural phase transition by epitaxial strain. Therefore, we believe that MIT in this ultrathin (001)-VO2/TiO2 film may be driven solely by electronic transition.
Figure 2.

Temperature-dependent RSMs of (a) (002) and (b) (112) diffraction spots for ultrathin (001)-VO2/TiO2 thin film.The red dotted and dashed lines represent the positions of the TiO2 substrate and VO2 film, respectively.
From the RSMs of (002) and (112) peaks of the ultrathin (001)-VO2/TiO2 film, the lattice constants c and a allow calculation of strain:
![]() |
where df and db are the lattice constants of the VO2 thin film and its bulk counterpart, respectively. The corresponding strains were calculated to be −0.58% along the out-of-plane direction and +0.86% along the in-plane direction without relaxation of the in-plane strain—this is consistent with the previous report40. Thus, the ultrathin (001)-VO2/TiO2 films suffer the bi-axial strains, suppressing the structural phase transition across the MIT.
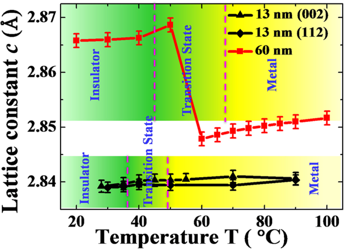
To directly see the changes in the lattice constant across the MIT, we calculated the out-of-plane lattice constants based on the temperature-dependent RSMs in Fig. 2 and plotted them in Fig. 3. For comparison, we prepared a thicker (001)-VO2/TiO2 film (~60 nm) and the corresponding out-of-plane lattice constants c is shown in the upper part of Fig. 3. The thicker film presented an obvious abrupt jump in the lattice constant c, which clearly suggests a structural phase transition during MIT. Moreover, the lattice constant c is about 2.854 Å in the high-temperature tetragonal phase (above 65 °C), which is nearly as same as the bulk one (~2.8557 Å). Therefore, the epitaxial strain should be also relaxed along the in-plane directions in the thicker films. The temperature-dependent XRD θ–2θ fine scans to determine lattice constant c are shown in Supporting Information (Figs S1 and S2). However, the lattice constants c of the 13-nm-thick VO2/TiO2 epitaxial film were nearly constant regardless of calculation via the (002) or (112) diffraction spots. The slight increase in the lattice c may be due to the thermal expansion of the VO236. This result directly shows that there is no structural phase transition during MIT for the strained (001)-VO2/TiO2 epitaxial film.
Figure 3. The lattice constant c as a function of temperature for 13-nm and 60-nm VO2 films.

The red square line represents the c of 60-nm VO2 thin film. The triangle and diamond lines represent the c of the 13-nm VO2 thin film calculated from (002) and (112) diffraction spots in the RSMs, respectively. The mixed regions of yellow and green shadows highlight the transition temperature ranges of the 13-nm and 60-nm films that were divided by dashed lines.
Raman analysis for the microstructure across the MIT
To further confirm the lack of structural phase transition in the ultrathin VO2 thin film, Raman scattering spectroscopy was used to study the lattice vibrations of VO2 across the MIT41,42,43,44,45,46. It is well known that the monoclinic and tetragonal phases of VO2 thin films have the distinctly different Raman features: the former displays several sharp Raman peaks, while the latter is characterized by a broadband peak41. Hence we performed temperature-dependent Raman spectroscopy measurements for both thick and thin VO2 films as shown in Fig. 4.
Figure 4.
Raman spectrum of 60 nm (001)-VO2/TiO2 thin film at (a) 30 °C and (b) 100 °C of the 13-nm (001)-VO2/TiO2 thin film at (c) 30 °C and (d) 100 °C. The blue triangles, yellow stars, and green squares and corresponding dotted lines label the Raman peaks in the TiO2 substrate, the monoclinic phase VO2, and the tetragonal phase VO2, respectively. (e) Temperature-dependent Raman spectroscopy of ultrathin (001)-VO2/TiO2 thin film. (f) The Raman peaks belong to the tetragonal phase VO2 and are a function of temperature.
The data in Fig. 4a shows the Raman spectrum of the 60 nm-thick VO2/TiO2 thin film at 30 °C with four sharp peaks at 196 cm−1, 225 cm−1, 313 cm−1, and 390 cm−1. These peaks are the representative Ag vibration modes of the monoclinic VO237,38,39,40. However, these four characteristic Raman peaks disappears at 100 °C (Fig. 4b). This indicates that the 60-nm-thick VO2/TiO2 film undergoes a structural phase transition from low-temperature monoclinic phase to high temperature tetragonal phase during the MIT. On the other hand, the above four Raman peaks belonging to monoclinic phase VO2 do not exist in the Raman spectrum of the 13-nm-thick VO2 thin film at 30 °C or 100 °C (see Fig. 4c,d). Hence, there are no monoclinic components of the VO2 in the strained (001)-VO2/TiO2 thin film at low temperature or high temperature. Furthermore, the Raman spectrum of the ultrathin VO2 thin film at 30 °C and 100 °C both have the two broad Raman peaks at about 358 cm−1 and 413 cm−1, which resembles the Raman spectrum of the thicker VO2 thin film at 100 °C in Fig. 4b, where the VO2 is exactly right in the tetragonal symmetry. Therefore, it is suspected that the above two broad Raman peaks belong to the tetragonal phase VO2 based on the conclusion that 60-nm-thick VO2 films experience a MIT from low temperature monoclinic phase to high temperature tetragonal phase. Interestingly, the two peaks did not move across the MIT for the case of the ultrathin (001)-VO2/TiO2 thin film in Fig. 4c,d, suggesting that the tetragonal phase in the ultrathin (001)-VO2/TiO2 film is stabilized by epitaxial strain regardless of low or high temperature.
In order to clearly show the microstructure evolution of the ultrathin (001)-VO2/TiO2 film across the MIT, we preformed the fine temperature-dependent Raman spectroscopy measurements as shown in Fig. 4e (Supporting Information Fig. S3). There are no sharp Raman peaks belonging to the monoclinic phase during the MIT indicating the absence of monoclinic phase in the strained (001)-VO2 thin films. In addition to the Raman peaks of the TiO2 substrate (140 cm−1, 242 cm−1, 446 cm−1, and 609 cm−1; blue triangles in Fig. 4d, Supporting Information Fig. S4)45, there are only two Raman peaks (358 cm−1 and 413 cm−1)—these belong to the tetragonal phase VO2. For clarity, we plotted the two peak positions as a function of temperature in Fig. 4f. The two peaks showed no clear shift during MIT, implying that there is no structural phase transition across the MIT for the strained (001)-VO2/TiO2 thin films.
Based on these XRD studies and Raman spectroscopy analysis, we concluded that the tetragonal phase is stabilized by epitaxial strain—there is no monoclinic VO2 at room temperature, but instead of the tetragonal phase. Consequently, the structural phase transition is not a necessary condition for the MIT in strained (001)-VO2/TiO2 thin films.
Studies on electron occupancy near Fermi level by temperature-dependent UPS
We next mainly studied the electronic transition of the ultrathin (001)-VO2/TiO2 thin film across the MIT by temperature-dependent UPS47,48,49,50,51,52 because the structural phase transition was suppressed in the vicinity of the MIT temperature in such strained films. Figure 5a shows the UPS of ultrathin (001)-VO2/TiO2 thin film from 30 °C to 80 °C to track the change of the V 3d electronic states from low temperature insulating state to high temperature metallic states. For clarity, the UPS spectrum at 30 °C and 80 °C were selected to zoom in near the Fermi level (Fig. 5b). At 30 °C, there are fewer electrons occupying the Fermi Energy EF, and the occupancy rises as a function of temperature up to 80 °C (Supporting Information Fig. S5). On the basis of crystal-field theory53,54, the chemical bonds are associated with the p-d hybridization between the O 2p and V 3d orbitals, and thus formed the d‖ and dπ orbitals (Fig. 5c). During the MIT, the lowering of the crystal symmetry from rutile to monoclinic lifts the orbital degeneracy. The formation of the V-V dimers along the rutile c axis splits the nonbonding d‖ states into occupied and unoccupied d‖* states. Meanwhile the zigzagging of the V-V pairs shifts the dπ state to higher energies, which opens the band gap in the insulating phase54. The occupancy in the metallic state is higher than that in insulating state near the Fermi energy EF. This demonstrates that the electronic transition occurred during MIT for ultrathin VO2 films.
Figure 5.
(a) The V 3d orbital electronic states near Fermi energy EF with varying temperature from 30 to 80 °C. (b) The selected and expanded V 3d electronic states at 30 °C and 80 °C. (c) The band occupancies of V 3d electrons near Fermi energy EF both at insulating and metallic states.
DFT Calculations
We used density functional theory (DFT+U) calculations to verify the suppression of structural phase transition and modulation of the electron occupancy. The DFT+U method has well described the phase transition in VO2 system55,56, where U is the Hubbard electron−electron correlation parameter. Figure 6a shows the chosen super cell of VO2 for DFT calculations with different U. The experimental lattice constants under strained condition from our XRD results were used for calculations. For the tetragonal unit cell, the lattice constants are aT = bT = 4.584 Å, c = 2.831 Å, αT = βT = γT = 90°, and the lattice constants of super cell are as = 5.661 Å, bs = 4.584 Å, cs = 5.387 Å, αS = γS = 90°, βS = 121.7°, which are transformed from the tetragonal unit cell with the formula:
Figure 6.
(a) The chosen super cell of VO2 for calculation. The green lines show the super cell of VO2 for DFT calculations. The calculated PDOS spectra of V with (b) U = 0.0 eV and (c) U = 4.5 eV.
![]() |
The calculated projected density of states (PDOS) for the metallic state is shown in Fig. 6(b) with Hubbard electron-electron correlation energy U = 0.0 eV. The PDOS for the insulating state with the chosen Hubbard electron-electron correlation energy U = 4.5 eV based on previous studies55,57,58 is plotted in Fig. 6c. (Please see the details of DFT calculations in Supporting Information Fig. S6)55,59. It is well understood that the high-temperature tetragonal phase of VO2 was metallic due to the electron occupancy at Fermi energy EF57—this is seen in Fig. 6b. However, the VO2 was an insulating state at low temperature because of the appearance of band gap Eg near the Fermi energy EF57, which may be induced by the electron-electron correlations. It is noted that the crystal structure used in calculations is locked whatever for the U = 0.0 eV and U = 4.5 eV. Therefore, we concluded that the ultrathin strained VO2 film changed from insulating to metallic states without the assistance of structural phase transition. The tetragonal insulating phase can survive with the help of epitaxial strain even at room temperature58. The electronic transition should be the only driving force for the MIT in this strained (001)-VO2/TiO2 epitaxial films.
Thickness effect on the structural phase transition of strained VO2 films
Based on the above results and discussion, we can conclude that the structural phase transition during MIT for the ultrathin and nanoscale-strained (001)-VO2/TiO2 film is suppressed. The electronic transition and structural phase transition is separated in the highly strained (001)-VO2/TiO2 epitaxial films26. The electronic transition is the unique driving force that triggers the MIT. Therefore, the MIT of ultrathin VO2 films should be a pure Mott transition. This behavior can be ascribed to the interfacial epitaxial strain between the VO2 thin film and the TiO2 substrate25,26,27.
In terms of hetero-epitaxial systems29, the (001) oriented VO2 film is very easy to grow epitaxially along the lattice of tetragonal (001)-TiO2 substrate because of the tiny in-plane lattice mismatch (~−0.86%) between them29. Thus, the VO2 film is stabilized in the tetragonal structure at the initial interface under substrate constraint as described in the 13-nm-thick (001)-VO2/TiO2 epitaxial films. We also performed structural studies on the 24-nm-thick case. The results also evidenced the absence of the structural phase transition across the MIT (see Supporting Information Figs S7 and S8). Therefore, the entire ultrathin VO2 film may maintain tetragonal phase even at room temperature as long as the bi-axial strain in the (001)-VO2 thin film does not relax with the film-thickness below the critical thickness (~26.5 nm) in the hetero-epitaxial system.
According to the above discussion, the structural phase transition and electronic transition appeared simultaneously in the thicker VO2 films due to the relaxation of the strain. However, for the ultrathin strained VO2 films, the structural phase transition can be suppressed by the interfacial epitaxial strain in the vicinity of the MIT temperature. We conjecture that the structural phase transition may be finished at much lower temperature due to the strain effect, which will be studied in the future research.
Conclusions
The (001)-VO2 films with various thicknesses were fabricated via RF magnetron sputtering, and the structural and electronic transitions were studied by temperature-dependent XRD-RSM, Raman spectroscopy, and UPS. The XRD-RSM results show that there is no structural phase transition during MIT, and the Raman spectra further confirms that the ultrathin VO2 film is tetragonal in both insulating and metallic states by epitaxial strain. The UPS confirmed that the MIT is induced solely by the electronic transition, which demonstrates that the MIT could be a pure Mott transition in the strained (001)-VO2/TiO2 epitaxial films. Furthermore, the absence of a structural phase transition is confirmed by DFT calculations. The electron-electron interactions should be the driving force for the MIT in the strained VO2 film. Our systematic study not only provide a better understanding of the MIT mechanism for strained (001)-VO2/TiO2 thin films, but also show some clues to modulate the MIT via strain engineering. Furthermore, a series thickness of (001)-VO2/TiO2 around the critical thickness (~26.5 nm) should be prepared for further confirmation the strain-controlled behaviors of the MIT. Moreover, much more experimental and theoretical studies for the MIT mechanism of strained or relaxed VO2 films on the other oriented TiO2 ((011) or (111)) substrates are desired in future, which will be helpful to understand the MIT mechanism of the strained VO2/TiO2thin films comprehensively.
Methods
Sample fabrication
The ultrathin VO2/TiO2 films were fabricated on (001)-oriented TiO2 substrates purchased from Hefei Kejing Materials Technology Corporation using reactive radio frequency (RF) magnetron sputtering. A 99.99%-purity vanadium metal target was sputtered at 60 W RF power at a sputtering pressure of 0.43 Pa. The growth temperature was set to 400 °C and the Ar:O2 flow ratio was 60:0.560.
X-ray diffraction characterization
To characterize the growth quality and structure of the VO2 films, both conventional XRD scans and synchrotron radiation reciprocal space mapping (RSM) were performed. The XRD θ–2θ and φ scans were performed on a four-circle diffractometer with a Ge (220) × 2 incident-beam monochromator (Rigaku SmartLab Film Version, Cu-Kα radiation). The RSMs were collected at beamline BL14B1 on the Shanghai Synchrotron Radiation Facility (SSRF, λ = 0.124 nm). The results were plotted in the reciprocal lattice units (r.l.u.) of TiO2.
Raman spectroscopy
In situ temperature-controlled Raman spectroscopy with acquisition time of 20 s was acquired using the XploRATM Raman spectrometer (HORIBA Scientific, Ltd). A 532 nm laser of 0.25 mW was used as the excitation source with a 100× microscope objective. To perform temperature-dependent measurements, a home-made, actively-controlled heating stage was equipped on the sample with an accuracy of 0.5 °C. Each Raman spectrum was acquired three times after the temperature was stable.
Ultraviolet Photoelectron Spectroscopy
Ultraviolet Photoelectron Spectroscopy (UPS) was used to study the V 3d electronic states near the Fermi energy EF. These experiments were performed at the Catalysis and Surface Physics Endstation with the BL11U beamline on the National Synchrotron Radiation Laboratory (NSRL) in Hefei, China. The temperature-dependent valence-band spectra were measured with a VG Scienta R4000 analyzer with photon energy of 21.2 eV as the excitation source—this was calibrated with the Fermi level determined by the Au sample. In addition, the heating controller (temperature control range: 90–1400 K) offers a stable and precise temperature with 0.1 °C accuracy. Prior to UPS measurements, the films were subjected to argon ion sputtering to expose a clean surface of the film to UV light.
Theoretical calculations
The density functional theory (DFT) calculations were carried out with DFT+U where U is the Hubbard electron-electron correlation parameter. We used the Materials Studio calculation package equipped on Supercomputing Center of the University of Science and Technology of China. We adopted the Perdew-Burke-Ernzerhof functional under generalized gradient approximation (GGA) for the exchange correlation along with double-ζ-double polarized basis set for the electron wave function.
Additional Information
How to cite this article: Yang, M. et al. Suppression of Structural Phase Transition in VO2 by Epitaxial Strain in Vicinity of Metal-insulator Transition. Sci. Rep. 6, 23119; doi: 10.1038/srep23119 (2016).
Supplementary Material
Acknowledgments
This work was supported by the National Basic Research Program of China (2012CB922004, 2014CB848900), the National Natural Science Foundation of China (11374010, 11179008 and 51402281), and Natural Science Foundation of Anhui Province (1508085QA06). The authors are particularly grateful to the 14B of Shanghai Synchrotron Radiation Facility for the X-ray diffraction beamtime and the BL11U beamline in National Synchrotron Radiation Laboratory for the temperature-dependent UPS measurements. The authors also acknowledge the partial funding from the Fundamental Research Funds for the Central Universities (WK2310000043, WK2310000035, and WK2310000049), Scientific Research Grant of Hefei Science Centre of CAS (2015SRG-HSC028), and China Postdoctoral Science Foundation (2013M540523 and 2014T70597).
Footnotes
Author Contributions Both authors, M.Y. and Y.Y. contributed equally to the research and to the preparation of the manuscript. Y.Y. conceived this work. C.G. and Z.L. designed the whole study. M.Y. and L.W. fabricated the samples. M.Y. and Y.Y. performed all the experiments. M.Y. wrote the paper. B.H., Y.Y. and M.Y. performed the DFT calculations. K.H., J.Z. and H.H. performed normal XRD studies. H.C. and L.S. measured the Raman spectra. J.B. and X.L. analyzed the data and discussed the results and reviewed the manuscript. Y.D., Y.G., T.Y. and X.G. performed in situ temperature-dependent high-resolution XRD on synchrotron radiation. H.X. analyzed the XRD results and prepared the figures. H.J. and J.Z. performed the XPS experiments and analyzed the XPS data. All authors reviewed and revised the manuscript.
References
- Morin F. J. Oxides which show a metal-to-insulator transition at the Neel temperature. Phys. Rev. Lett. 3, 34–36 (1959). [Google Scholar]
- Liu M. et al. Phase transition in bulk single crystals and thin films of VO2 by nanoscale infrared spectroscopy and imaging. Phys. Rev. B 91, 245155 (2015). [Google Scholar]
- Nakajima M., Takubo N., Hiroi Z., Ueda Y. & Suemoto T. Photoinduced metallic state in VO2 proved by the terahertz pump-probe spectroscopy. Appl. Phys. Lett. 92, 011907 (2008). [Google Scholar]
- Mandal P., Speck A., Ko C. & Ramanathan S. Terahertz spectroscopy studies on epitaxial vanadium dioxide thin films across the metal-insulator transition. Opt. Lett. 36, 1927–1929 (2011). [DOI] [PubMed] [Google Scholar]
- Sim J. S., Zhou Y. & Ramanathan S. Suspended sub-50 nm vanadium dioxide membrane transistors: fabrication and ionic liquid gating studies. Nanoscale 4, 7056–7062 (2012). [DOI] [PubMed] [Google Scholar]
- Driscoll T. et al. Memory metamaterials. Science 325, 1518–1521 (2009). [DOI] [PubMed] [Google Scholar]
- Wang D. et al. Switchable ultrathin quarter-wave plate in terahertz using active phase-change metasurface. Sci. Rep. 5, 15020 (2015). [DOI] [PMC free article] [PubMed] [Google Scholar]
- Seo M. et al. Active terahertz nanoantennas based on VO2 phase transition. Nano Lett. 10, 2064 (2010). [DOI] [PubMed] [Google Scholar]
- Zhou J. et al. VO2 thermochromic smart window for energy savings and generation. Sci. Rep. 3, 3029 (2013). [DOI] [PMC free article] [PubMed] [Google Scholar]
- Hu C. et al. VO2/TiO2 nanosponges as binder-free electrodes for high-performance supercapacitors. Sci. Rep. 5, 16012 (2015). [DOI] [PMC free article] [PubMed] [Google Scholar]
- Wu J. et al. Strain-induced self organization of metal-insulator domains in single-crystalline VO2 nanobeams. Nano Lett. 6, 2313–2317 (2006). [DOI] [PubMed] [Google Scholar]
- Kumar S. et al. Sequential electronic and structural transitions in VO2 observed using x-ray absorption spectromicroscopy. Adv. Mater. 26, 7505–7509 (2014). [DOI] [PubMed] [Google Scholar]
- Hada M., Okimura K. & Matsuo J. Characterization of structural dynamics of VO2 thin film on c-Al2O3 using in-air time-resolved x-ray diffraction. Phys. Rev. B 82, 153401 (2010). [Google Scholar]
- Qazilbash M. M. et al. Mott transition in VO2 revealed by infrared spectroscopy and nano-imaging. Science 318, 1750–1753 (2007). [DOI] [PubMed] [Google Scholar]
- Kim H. T. et al. Mechanism and observation of Mott transition in VO2-based two- and three- terminal devices. New J. Phys. 6, 52 (2004). [Google Scholar]
- Booth J. M. & Casey P. S. Anisotropic structure deformation in the VO2 metal-insulator transition. Phys. Rev. Lett. 103, 086402 (2009). [DOI] [PubMed] [Google Scholar]
- Kim S., Kim K., Kang C. J. & Min B. I. Correlation-assisted phonon softening and the orbital-selective Peierls transition in VO2. Phys. Rev. B 87, 195106 (2013). [Google Scholar]
- Yao T. et al. Understanding the nature of the kinetic process in a VO2 metal-insulator transition. Phys. Rev. Lett. 105, 226405 (2010). [DOI] [PubMed] [Google Scholar]
- Cocker T. L. et al. Phase diagram of the ultrafast photoinduced insulator-metal transition in vanadium dioxide. Phys. Rev. B 85, 155120 (2012). [Google Scholar]
- Zylbersztejn A. & Mott N. F. Metal-insulator transition in vanadium dioxide. Phys. Rev. B 11, 4383 (1975). [Google Scholar]
- Kim H. T. et al. Monoclinic and correlated metal phase in VO2 as evidence of the Mott transition: coherent phonon analysis. Phys. Rev. Lett. 97, 266401 (2006). [DOI] [PubMed] [Google Scholar]
- Tselev A. et al. Symmetry relationship and strain-induced transitions between insulating M1 and M2 and metallic R phase of vanadium dioxide. Nano Lett. 10, 4409–4416 (2010). [DOI] [PubMed] [Google Scholar]
- Morrison V. R. et al. A photoinduced metal-like phase of monoclinic VO2 revealed by ultrafast electron diffraction. Science 346, 445 (2014). [DOI] [PubMed] [Google Scholar]
- Kim B. J. et al. Micrometer x-ray diffraction study of VO2 films: separation between metal-insulator transition and structural phase transition. Phys. Rev. B 77, 235401 (2008). [Google Scholar]
- Fan L. L. et al. Strain dynamics of ultrathin VO2 film grown on TiO2 (001) and the associated phase transition modulation. Nano Lett. 14, 4036–4043 (2014). [DOI] [PubMed] [Google Scholar]
- Kittiwatanakul S., Wolf S. A. & Lu J. Large epitaxial bi-axial strain induced a Mott-like phase transition in VO2. Appl. Phys. Lett. 105, 261908 (2014). [Google Scholar]
- Laverock J. et al. Photoemission evidence for crossover from Peierls-like to Mott-like transition in highly strained VO2. Phys. Rev. B 86, 195124 (2012). [Google Scholar]
- Yang Y. J. et al. Anomalous thickness-dependent strain states and strain-tunable magnetization in Zn-doped ferrite epitaxial films. J. Appl. Phys. 115, 173505 (2014). [Google Scholar]
- Liu L., Zhang Y. & Zhang T. Strain relaxation in heteroepitaxial films by misfit twinning. I. critical thickness. J. Appl. Phys. 101, 063501 (2007). [Google Scholar]
- Laverock J. et al. Direct observation of decoupled structural and electronic transitions and an ambient pressure monocliniclike metallic phase of VO2. Phys. Rev. Lett. 113, 216402 (2014). [DOI] [PubMed] [Google Scholar]
- Matthews J. W. & Blakeslee A. E. Defects in epitaxial multilayers: I. misfit dislocations. J. Cryst. Growth 27, 118 (1974). [Google Scholar]
- Nagashima K., Yanagida T., Tanaka H. & Kawai T. Interface effect on metal-insulator transition of strained vanadium dioxide ultrathin films. J. Appl. Phys. 101, 026103 (2007). [Google Scholar]
- Yang M. M. et al. Surface-growth-mode-induced strain effects on the metal-insulator transition in epitaxial vanadium dioxide thin films. RSC Adv. 5, 80122 (2015). [Google Scholar]
- Liu M. K. et al. Anisotropic electronic state via spontaneous phase separation in strained vanadium dioxide films. Phys. Rev. Lett. 111, 096602 (2013). [DOI] [PubMed] [Google Scholar]
- Muraoka Y. & Hiroi Z. Metal-insulator transition of VO2 thin films grown on TiO2 (001) and (110) substrates. Appl. Phys. Lett. 80, 583 (2002). [Google Scholar]
- Quackenbush N. F. et al. Nature of the metal insulator transition in ultrathin epitaxial vanadium dioxide. Nano Lett. 13, 4857–4861 (2013). [DOI] [PubMed] [Google Scholar]
- Jeong J. et al. Suppression of metal-insulator transition in VO2 by electric field-induced oxygen vacancy formation. Science 339, 1402–1405 (2013). [DOI] [PubMed] [Google Scholar]
- Zhang P. et al. Manipulations from oxygen partial pressure on the higher energy electronic transition and dielectric function of VO2 films during a metal-insulator transition process. J. Mater. Chem. C 3, 5033 (2015). [Google Scholar]
- Ruzmetov D., Senanayake S. D., Narayanamurti V. & Ramanathan S. Correlation between metal-insulator transition characteristics and electronic structure changes in vanadium oxide thin films. Phys. Rev. B 77, 195442 (2008). [Google Scholar]
- Abreu E. et al. THz spectroscopy of VO2 epitaxial films: controlling the anisotropic properties through strain engineering. New J. Phys. 14, 083026 (2012). [Google Scholar]
- Radue E. et al. Effect of a substrate-induced microstructure on the optical properties of the insulator-metal transition temperature in VO2 thin films. J. Appl. Phys. 113, 233104 (2013). [Google Scholar]
- Chang S. J. et al. In situ probing of doping- and stress-mediated phase transitions in a single-crystalline VO2 nanobeam by spatially resolved Raman spectroscopy. Nanoscale 6, 8068–8074 (2014). [DOI] [PubMed] [Google Scholar]
- Chen X. B. Assignment of the Raman modes of VO2 in the monoclinic insulating phase. Journal of the Korean Physical Society 58, 100 (2011). [Google Scholar]
- Schilbe P. Raman scattering in VO2. Physica B 316, 600–602 (2002). [Google Scholar]
- Sun C., Yan L., Yue B., Liu H. & Gao Y. The modulation of metal-insulator transition temperature of vanadium dioxide: a density functional theory study. J. Mater. Chem. C 2, 9283–9293 (2014). [Google Scholar]
- Kim H. T. et al. Raman study of electric-field-induced first-order metal-insulator transition in VO2-based devices. Appl. Phys. Lett. 86, 242101 (2005). [Google Scholar]
- Saeki K. et al. Band dispersion near the Fermi level for VO2 thin films grown on TiO2 (001) substrates. Phys. Rev. B 80, 125406 (2009). [Google Scholar]
- Koethe T. C. et al. Transfer of spectral weight and symmetry across the metal-insulator transition in VO2. Phys. Rev. Lett. 97, 116402 (2006). [DOI] [PubMed] [Google Scholar]
- Eguchi R. et al. Photoemission evidence for a Mott-Hubbard metal-insulator transition in VO2. Phys. Rev. B 78, 075115 (2008). [Google Scholar]
- Okazaki K. et al. Photoemission study of the metal-insulator transition in VO2/TiO2(001): evidence for strong electron-electron and electron-phonon interaction. Phys. Rev. B 69, 165104 (2004). [Google Scholar]
- Okimura K. et al. Temperature-dependent Raman and ultraviolet photoelectron spectroscopy studies on phase transition behavior of VO2 films with M1 and M2 phases. J. Appl. Phys. 115, 153501 (2014). [Google Scholar]
- Karel J. et al. Distinct electronic structure of the electrolyte gate-induced conducting phase in vanadium dioxide revealed by high-energy photoelectron spectroscopy. ACS Nano 8, 5784–5789 (2014). [DOI] [PubMed] [Google Scholar]
- Goodenough J. B. The two components of the crystallographic transition in VO2. J. Solid State. Chem. 3, 490–500 (1971). [Google Scholar]
- Aetukuri N. B. et al. Control of the metal-insulator transition in vanadium dioxide by modifying orbital occupancy. Nat. Phys. 9, 661–666 (2013). [Google Scholar]
- Huefner M. et al. Hubbard gap modulation in vanadium dioxide nanoscale tunnel junctions. Nano Lett. 14, 6115–6120 (2014). [DOI] [PubMed] [Google Scholar]
- Wu Y. et al. Decoupling the lattice distortion and charge doping effects on the phase transition behaviourof VO2 by titanium (Ti4+) doping. Sci. Rep. 5, 9328 (2015). [DOI] [PMC free article] [PubMed] [Google Scholar]
- Wegkamp D. et al. Instantaneous band gap collapse in photoexcited monoclinic VO2 due to photocarrier doping. Phys. Rev. Lett. 113, 216401 (2014). [DOI] [PubMed] [Google Scholar]
- Lazarovits B., Kim K., Haule K. & Kotliar G. Effects of strain on the electronic structure of VO2. Phys. Rev. B 81, 115117 (2010). [Google Scholar]
- Weber C. et al. Vanadium dioxide: a Peierls-Mott insulator stable against disorder. Phys. Rev. Lett. 108, 256402 (2012). [DOI] [PubMed] [Google Scholar]
- Yang M. M. et al. Resistance switching of epitaxial VO2/Al2O3 heterostructure at room temperature induced by organic liquids. AIP Adv. 5, 037114 (2015). [Google Scholar]
Associated Data
This section collects any data citations, data availability statements, or supplementary materials included in this article.







