Abstract
Although negative affect (NA) has been identified as a common trigger for bulimic behaviors, findings regarding NA following such behaviors have been mixed. This study examined reciprocal associations between NA and bulimic behaviors using real-time, naturalistic data. Participants were 133 women with DSM-IV bulimia nervosa (BN) who completed a two-week ecological momentary assessment (EMA) protocol in which they recorded bulimic behaviors and provided multiple daily ratings of NA. A multilevel autoregressive cross-lagged analysis was conducted to examine concurrent, first-order autoregressive, and prospective associations between NA, binge eating, and purging across the day. Results revealed positive concurrent associations between all variables across all time points, as well as numerous autoregressive associations. For prospective associations, higher NA predicted subsequent bulimic symptoms at multiple time points; conversely, binge eating predicted lower NA at multiple time points, and purging predicted higher NA at one time point. Several autoregressive and prospective associations were also found between binge eating and purging. This study used a novel approach to examine NA in relation to bulimic symptoms, contributing to the existing literature by directly examining the magnitude of the associations, examining differences in the associations across the day, and controlling for other associations in testing each effect in the model. These findings may have relevance for understanding the etiology and/or maintenance of bulimic symptoms, as well as potentially informing psychological interventions for BN.
Keywords: eating disorder, mood, affect, emotion, ecological momentary assessment
Negative affect (NA) is a construct of particular relevance to bulimia nervosa (BN) that has received substantial attention in both the theoretical and empirical literature. NA has been emphasized in conceptual models hypothesizing a functional nature of bulimic symptoms (e.g., negative reinforcement via NA reduction; Heatherton & Baumeister, 1991; Pearson, Wonderlich, & Smith, 2015), as well as in various BN treatment models (e.g., Safer, Telch, & Chen, 2009; Wonderlich et al., 2015). Empirical findings further support the role of NA in the development, occurrence, and maintenance of BN symptoms. For instance, NA has been identified as a risk factor for eating pathology and a causal maintenance factor for binge eating (Stice, 2002). Additionally, difficulties with the regulation of negative affective states have been found to be elevated in those with BN versus controls, and are associated with overall symptom severity (Harrison, Sullivan, Tchanturia, & Treasure, 2010; Lavender et al., 2014; Svaldi, Griepenstroh, Tuschen-Caffier, & Ehring, 2012).
Other research has utilized a particular methodology, ecological momentary assessment (EMA; i.e., repeated assessments completed in real-time in an individual's natural environment), to examine the role of NA in BN. Of particular relevance, prior results from the current sample have revealed that (a) the occurrence of bulimic behaviors varies across distinct daily NA patterns (Crosby et al., 2009), (b) increases in NA mediate the association between stressful experiences and subsequent bulimic behaviors (Goldschmidt et al., 2014), and (c) the occurrence of bulimic behaviors varies significantly across hours of the day (Smyth et al., 2009). Findings have also suggested that NA increases prior to and decreases following bulimic behaviors (Smyth et al., 2007). Other studies have similarly reported elevated or increasing levels of NA antecedent to bulimic behaviors, although findings regarding the nature and direction of changes in NA following bulimic behaviors have been mixed (e.g., Engelberg et al., 2007; Hilbert & Tuschen-Caffier, 2007; Smyth et al., 2007; Steiger et al., 2005). Further, meta-analytic evidence suggests that NA increases following binge eating, but decreases after purging (Haedt-Matt & Keel, 2011).
The inconsistent findings regarding NA following bulimic behaviors likely have been due in part to differing methodological and/or statistical approaches (see Engel et al., 2013), More specifically, prior studies have typically relied on one of two approaches: comparing the magnitude of NA assessed at one time point prior to a bulimic behavior and one time point following the behavior, or investigating the trajectory of NA across a certain time frame (e.g., a few hours) prior to and following a bulimic behavior. Both of these approaches are limited in that they do not provide an actual index of the magnitude of the association between NA and bulimic behaviors, nor do they account for the potential for differences in that association based on the timing of the behavior. Given these limitations, this study utilized an approach involving the simultaneous estimation of concurrent, autoregressive, and prospective associations between NA and bulimic symptoms using data collected via EMA. Of note, there are several important ways in which the current study extends previous findings on NA and bulimic behaviors: (a) the current approach allows for a direct estimation of the magnitude and direction of the reciprocal associations between NA and bulimic behaviors, (b) the model allows for an examination of how associations between NA and bulimic behaviors may vary at different times of the day, and (c) the approach is a relatively conservative test of prospective associations, given that the model produces effects that control for the other associations (i.e., concurrent and autoregressive associations). A further advantage was the inclusion of both binge eating and purging within the same model, which in addition to providing estimates of the NA-binge eating and NA-purging associations in one model, allowed for an exploratory aim of examining how the occurrence of a given bulimic behavior may impact the subsequent occurrence of the same (autoregressive) or other (prospective) behavior. It was hypothesized that there would be significant positive concurrent associations between all variables, as well as significant positive autoregressive associations between consecutive NA ratings. Further, it was hypothesized that there would be significant positive prospective associations between NA and subsequent bulimic behaviors, as well as significant negative prospective associations between bulimic behaviors and NA. No specific hypotheses were made regarding the autoregressive and prospective associations between binge eating and purging, given the exploratory nature of this aim.
Method
Participants
Participants were 133 females who met Diagnostic and Statistical Manual of Mental Disorders (4th ed.; APA, 1994). criteria for BN. Inclusion criteria required that participants be female, between the ages of 18 and 55, able to read English, be medically stable, and have a body mass index (BMI) ≥ 18.5 kg/m2. Participants had a mean age of 25.3 ± 7.6 years and a mean BMI of 23.9 ± 5.2 kg/m2. The sample was primarily Caucasian (95.5%), with the majority having completed at least some college (80.5%) and having never been married (63.9%).
Procedure
Participants were recruited through advertisements in clinic, community, and campus settings. Interested participants who met preliminary eligibility based on a phone screen attended an informational session during which written informed consent was obtained and a medical stability screening was conducted. Those that met final criteria were scheduled for two visits to complete baseline assessments and receive training in use of the handheld computer. Each participant completed two practice days of EMA (data not included analyses). Participants then began the two-week EMA protocol, during which they received feedback about compliance during visits with study staff. Participants received $200 for completing the EMA protocol, as well as an additional $50 for a random signal compliance rate of ≥ 85%. The study was approved by the relevant institutional review boards.
Participants were instructed to complete recordings following bulimic behaviors and at the end of each day (end-of-day data not used here). Participants also provided responses when prompted by six semi-random signals that were programmed to occur within 20 minutes of six anchor time points across the waking hours of the day: (1) 8:30 AM, (2) 11:10 AM, (3) 1:50 PM, (4) 4:30 PM, (5) 7:10 PM, and (6) 9:50 PM. Momentary NA was rated at every report. Additionally, at each signal, participants were given the opportunity to report the occurrence of a recent bulimic behavior that had not been previously recorded, along with the length of time since the specified behavior occurred.
Measures
Diagnostic interview
The Structured Clinical Interview for DSM-IV Axis I Disorders, Patient Edition (SCID-I/P; First, Spitzer, Gibbon, & Williams, 1997) was administered by trained assessors to confirm the DSM-IV BN diagnosis. Interrater reliability assessed via 25 randomly selected audiotaped cases rated by a second assessor was 1.0 based on a kappa coefficient.
EMA NA
An abbreviated version of the Positive and Negative Affect Scale – Expanded Version (PANAS - X; Watson & Clark, 1994) was used as a measure of momentary NA. Items were chosen based on high factor loadings and evidence supporting the relevance of particular affective states to BN. The 11 NA items in this study were: afraid, angry with self, ashamed, disgusted, dissatisfied with self, distressed, irritable, jittery, lonely, nervous, and sad (α = .92).
EMA bulimic behaviors
Participants were instructed to initiate an EMA report following the occurrence of bulimic behaviors (i.e., binge eating, vomiting, use of laxatives for weight control; in this investigation, the latter two variables were combined to create a single purging variable). In the EMA training, study staff defined binge eating for participants as consuming “an amount of food that you consider excessive or an amount of food that other people would consider excessive, with an associated loss of control or the feeling of being driven or compelled to keep eating.” Participant were also given examples of excessive amounts of food that were tailored based on binge eating episodes they reported during the baseline assessments.
Statistical Analyses
Descriptive statistics for all study variables were conducted using IBM SPSS 22.0. Subsequent analyses were conducted using Mplus 6.11 (Muthén & Muthén, 1998-2012). A multilevel autoregressive cross-lagged analysis was used to examine the concurrent and prospective associations between momentary NA, binge eating, and purging over the course of a day. NA ratings and reports of binge eating and purging (present/absent) were obtained from responses to the six semi-random signals. Any report of binge eating or purging that occurred within +/− 30 minutes of a signaled response was counted as present at that time point. Theta parameterization and weighted least square estimation using a diagonal weight matrix with standard errors and mean-adjusted chi-square tests (WLSM) were used due to the binary variables representing binge eating and purging. Study days were clustered within participants to account for multiple observations. Full information maximum likelihood estimation was used to account for missing data.
Model fit was evaluated using the root mean square error of approximation (RMSEA ≤ .06), the comparative fit index (CFI ≥ .95), and the Tucker-Lewis index (TLI ≥ .95). The cross-lagged model evaluated 3 components simultaneously: (1) the concurrent associations between NA, binge eating, and purging at a given time point (e.g., B1 with NA1, B1 with P1, NA1 with P1, B2 with NA2, etc.), (2) the first-order autoregressive associations of NA, binge eating, and purging measured across consecutive assessments (e.g., B1 with B2, B2 with B3, etc.), and (3) the first-order prospective associations between NA, binge eating, and purging measured across consecutive assessments (e.g., B1 with NA2, B1 with P2, NA1 with B2, NA1 with P2, etc.).
Results
EMA Descriptives
Over the course of the two-week EMA protocol, participants provided a total of approximately 13,000 ratings. Overall compliance to the semi-random signals was 86%, and average compliance to signals at the six time points was mostly consistent (Range: 84% to 87.5%). The model estimated in this study included 1956 participant days, during which 719 binge eating episodes and 983 purging episodes were reported.
Overall Model Results
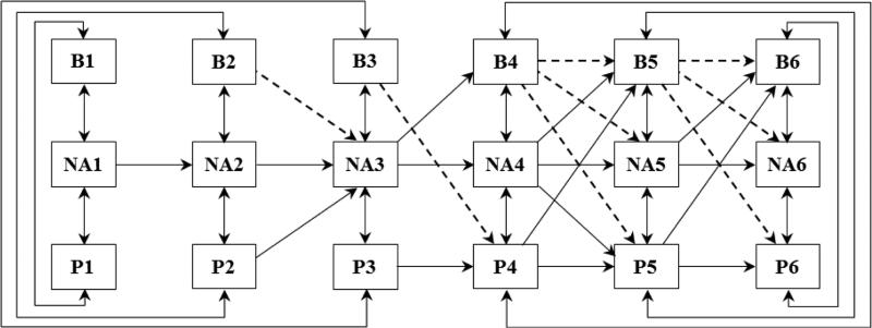
Figure 1 depicts all of the concurrent, first-order autoregressive, and prospective associations that were significant (ps < .05) in the model. The model was found to have good fit: RMSEA = .044 (CI90% = .040-.048); CFI = .987; TLI = .977.
Figure 1.
Multilevel autoregressive cross-lagged analysis model of negative affect (NA), binge eating (B), and purging (P) depicting all significant concurrent, first-order autroregressive, and prospective associations (ps < .05). Solid lines depict positive associations and dashed lines depict negative associations.
Concurrent Associations
NA was concurrently, positively associated with both binge eating and purging at all time points (ps < .01), suggesting a tendency for higher levels of NA concurrent with the occurrence of bulimic behaviors (see Table 1). Similarly, there were positive concurrent associations between binge eating and purging at all time points (ps < .001).
Table 1.
Concurrent Associations between Negative Affect (NA), Binge Eating (B), and Purging (P)
| Association | Estimate | SE | p |
|---|---|---|---|
| NA1 - B1 | 0.155 | 0.019 | < .001 |
| NA2 - B2 | 0.437 | 0.072 | < .001 |
| NA3 - B3 | 0.537 | 0.079 | < .001 |
| NA4 - B4 | 0.693 | 0.066 | < .001 |
| NA5 - B5 | 0.535 | 0.125 | < .001 |
| NA6 - B6 | 0.449 | 0.010 | < .001 |
| NA1 - P1 | 0.231 | 0.086 | < .001 |
| NA2 - P2 | 0.177 | 0.051 | < .001 |
| NA3 - P3 | 0.558 | 0.068 | < .001 |
| NA4 - P4 | 0.706 | 0.098 | < .001 |
| NA5 - P5 | 0.556 | 0.114 | < .001 |
| NA6 - P6 | 0.266 | 0.044 | < .001 |
| B1 - P1 | 0.519 | 0.113 | < .001 |
| B2 - P2 | 0.922 | 0.020 | < .001 |
| B3 - P3 | 0.925 | 0.018 | < .001 |
| B4 - P4 | 1.005 | 0.031 | < .001 |
| B5 - P5 | 1.005 | 0.005 | < .001 |
| B6 - P6 | 0.809 | 0.045 | < .001 |
First-Order Autoregressive Associations
There were positive autoregressive associations between NA ratings at all time points (ps < .001), revealing a tendency for stability across consecutive NA ratings (see Table 2). For binge eating, there were two negative autoregressive associations corresponding to the later afternoon and evening (ps < .05), indicating a reduced likelihood of repeated binge eating from one time point to the next. For purging, there were three positive autoregressive associations, suggesting an increased likelihood of multiple purging episodes in the late afternoon or evening.
Table 2.
First-Order Autoregressive Associations between Negative Affect (NA), Binge Eating (B), and Purging (P)
| Association | Estimate | SE | p |
|---|---|---|---|
| NA1 - NA2 | 0.807 | 0.015 | < .001 |
| NA2 - NA3 | 0.947 | 0.037 | < .001 |
| NA3 - NA4 | 0.944 | 0.017 | < .001 |
| NA4 - NA5 | 0.961 | 0.008 | < .001 |
| NA5 - NA6 | 0.934 | 0.039 | < .001 |
| B1 - B2 | 0.092 | 0.052 | = .079 |
| B2 - B3 | −0.196 | 0.269 | = .465 |
| B3 - B4 | −0.014 | 0.205 | = .944 |
| B4 - B5 | −0.878 | 0.199 | < .001 |
| B5 - B6 | −1.186 | 0.466 | = .011 |
| P1 - P2 | −0.018 | 0.072 | = .800 |
| P2 - P3 | 0.035 | 0.121 | = .770 |
| P3 - P4 | 1.043 | 0.346 | = .003 |
| P4 - P5 | 1.251 | 0.195 | < .001 |
| P5 - P6 | 2.346 | 0.861 | = .006 |
Prospective Associations
NA predicting binge eating and purging
There were several prospective associations between NA and bulimic symptoms (see Table 3). Specifically, there were positive associations between NA ratings at time points 3, 4, and 5 and the subsequent occurrence of binge eating (ps < .01). Additionally, one positive association was found between NA at time point 4 and purging at the subsequent time point.
Table 3.
Prospective Associations between Negative Affect (NA), Binge Eating (B), and Purging (P)
| Association | Estimate | SE | p |
|---|---|---|---|
| NA1 - B2 | 0.074 | 0.047 | = .110 |
| NA2 - B3 | 0.078 | 0.047 | = .094 |
| NA3 - B4 | 0.083 | 0.027 | = .002 |
| NA4 - B5 | 0.248 | 0.040 | < .001 |
| NA5 - B6 | 0.202 | 0.067 | = .003 |
| NA1 - P2 | 0.157 | 0.096 | = .103 |
| NA2 - P3 | 0.093 | 0.060 | = .120 |
| NA3 - P4 | −0.001 | 0.029 | = .973 |
| NA4 - P5 | 0.204 | 0.028 | < .001 |
| NA5 - P6 | 0.258 | 0.176 | = .143 |
| B1 - NA2 | 0.007 | 0.021 | = .753 |
| B2 - NA3 | −0.652 | 0.121 | < .001 |
| B3 - NA4 | −0.075 | 0.163 | = .644 |
| B4 - NA5 | −0.203 | 0.058 | = .001 |
| B5 - NA6 | −0.475 | 0.190 | = .012 |
| B1 - P2 | 0.043 | 0.035 | = .228 |
| B2 - P3 | 0.132 | 0.098 | = .177 |
| B3 - P4 | −0.866 | 0.313 | = .006 |
| B4 - P5 | −1.266 | 0.219 | < .001 |
| B5 - P6 | −2.372 | 0.891 | = .008 |
| P1 - NA2 | 0.044 | 0.042 | = .289 |
| P2 - NA3 | 0.600 | 0.131 | < .001 |
| P3 - NA4 | −0.087 | 0.163 | = .594 |
| P4 - NA5 | 0.012 | 0.051 | = .821 |
| P5 - NA6 | 0.354 | 0.185 | = .056 |
| P1 - B2 | 0.055 | 0.083 | = .506 |
| P2 - B3 | 0.231 | 0.254 | = .363 |
| P3 - B4 | 0.009 | 0.211 | = .966 |
| P4 - B5 | 0.823 | 0.177 | < .001 |
| P5 - B6 | 1.243 | 0.487 | = .011 |
Binge eating predicting NA and purging
There were also several prospective associations between binge eating and NA. Specifically, binge eating at time points 2, 4, and 5 was negatively associated with subsequent NA ratings (ps < .05), reflecting decreases in NA during the period of time following an episode of binge eating. Prospective negative associations between binge eating and purging were also found (ps < .01), with binge eating at time points 3, 4, and 5 associated with a decreased likelihood of purging at the subsequent time points.
Purging predicting NA and binge eating
There was only one prospective association between purging and NA, with purging at time point 2 positively associated with subsequent NA (p < .001), suggesting an increase in NA following the purging episode. There were two prospective associations between purging and binge eating, with purging at time points 4 and 5 positively associated with subsequent binge eating.
Discussion
In considering the current findings in the context of previously reported results on NA in relation to bulimic symptoms, it should be noted that the nature of the approach in this investigation provided a particularly conservative estimate of the various effects that were examined by controlling for the other relevant effects within the model. This approach allowed for the direct estimation of effects representing the magnitude and direction of the association between NA and the occurrence of binge eating and purging. In contrast, past findings from EMA studies of this topic have traditionally focused on examining the trajectory or magnitude of NA prior to and following specific bulimic behaviors, providing information on how NA varies around the time of such a behavior, but not a direct measure of the association. Consistent with existing evidence that elevated and/or increasing NA is a common antecedent of bulimic behaviors, there were multiple positive prospective associations between NA and subsequent binge eating. Although a similar explanation may account for the one positive prospective association between NA and purging, the ability to make firm conclusions is limited given that it was present at only one time point. Similarly, there were multiple prospective associations between binge eating and subsequent NA, although these associations were negative, which is consistent with prior evidence suggesting decreases in NA following binge eating (Smyth et al., 2007),. The one prospective association between purging and NA was positive and reflected increased NA at the time point subsequent to a purging episode, contrasting with past findings of decreased NA following purging (Haedt-Matt & Keel, 2011; Smyth et al., 2007), although the presence of this association at only one time point limits the interpretability of this finding. Taken together, it is notable that, despite the different approach taken in this investigation, the findings are generally consistent with previous results suggesting increases in NA prior to and decreases in NA following binge eating, although the same was not found for purging.
A further contribution of the current investigation to the existing literature is the estimation of the associations of interest at different times across the course of the day. Results revealed positive concurrent associations between all variables at all time points, supporting the extensive body of cross-sectional research indicating a link between NA and bulimic symptoms. These findings suggest that this link between NA and bulimic behaviors is present both over broader time frames (i.e., as captured via traditional retrospective assessments), as well as in the moment (i.e., as captured via EMA). Similarly, the positive autoregressive associations for NA across the day suggests an overall pattern of relative stability, consistent with prior research reporting stable NA as the most common daily NA pattern in BN (Crosby et al., 2009). In contrast, the reciprocal associations between NA and bulimic symptoms were typically found in the later hours of the day. There are several possible explanations for this finding. First, NA may have a stronger role in prompting binge eating later in the day, perhaps due to prolonged restriction during the day (i.e., resulting in greater vulnerability for a binge eating episode), situational factors (i.e., being at home versus school/work), or a cumulative effect of NA (i.e., reaching a “tipping point” in which the individual is unable to further tolerate the NA). Given evidence that binge eating frequency is higher in the evenings versus mornings (Smyth et al., 2009), however, it should also be noted that this finding may also be an artefact of greater power in testing the effects at the later time points.
An exploratory aim of this investigation was to examine the autoregressive and prospective associations for binge eating and purging. The autoregressive associations were found to be highly variable. Earlier in the day, the occurrence of a given behavior was not associated with the subsequent occurrence of that behavior, whereas later in the day, the occurrence of binge eating was associated with a reduced likelihood of a subsequent episode, and the occurrence of purging was associated with an increased likelihood of a subsequent episode. This pattern is consistent with a common finding in EMA studies, including this investigation, that purging is more frequent than binge eating. Further, the decreased likelihood of subsequent binge eating is consistent with the idea that binge eating may regulate NA, at least in the short term (i.e., if NA triggers binge eating, it would be less likely to occur following a previous episode that resulted in decreased NA). The opposite finding for purging, an increased likelihood of subsequent purging, may be explained by the one prospective association suggesting increased NA following this behavior, which may promote a vicious cycle of repeated purging episodes. Finally, although there were strong concurrent associations between binge eating and purging behaviors, suggesting that they often co-occur in close temporal proximity, there were also multiple prospective associations between the behaviors. Notably, the three prospective associations between binge eating and purging were negative, suggesting that purging is less likely to occur at the subsequent time point after binge eating. From an affect perspective, a potential explanation for this finding may be that binge eating temporarily reduces NA, thus decreasing the likelihood of subsequent purging in response to NA. In contrast, the two prospective associations between purging and binge eating were positive, a finding that potentially may be explained by an increase in NA following purging that prompts subsequent binge eating. However, given the exploratory nature of this aim and the limited number of significant effects, these possible explanations for the pattern of autoregressive and prospective associations must be considered hypothetical and should be investigated in further research.
There were several limitations in the current study. First, although the nature of the data and the analysis conducted provided for temporal ordering of the variables investigated, the findings do not allow for a determination of the causal nature of the associations. Second, within each of the six time points included in the analysis, the timing of the specific behavioral or affective reports could vary somewhat. Given that the impact of a bulimic behavior on affect or vice versa may vary over even these shorter periods of time, it is possible that findings were influenced by this variability in timing. Third, we did not systematically record the current treatment status of participants in the study, precluding the ability to look at potential effects of treatment on these findings. Fourth, although participants were trained in the definition of binge eating, which included personally tailored examples, some episodes reported as binge eating may not have involved the consumption of an objectively large quantity of food. Fifth, other eating disorder behaviors not included in the current analyses (e.g., non-purging compensatory behaviors such as fasting) may also be concurrently and/or prospectively associated with negative affective experiences, which should be examined in future research. Lastly, although the focus of this study was on associations between bulimic behaviors and NA, future studies may also want to examine concurrent and prospective associations between bulimic behaviors and positive affect.
Despite these limitations, there are several possible clinical implications of the present findings. Most basically, the current findings provide support for the salience of NA to bulimic behaviors in BN, and thus lend support to clinical interventions that target the experience and/or regulation of NA. More specifically, the finding that higher NA is associated with a greater likelihood of subsequent binge eating (and perhaps purging) supports the use of momentary strategies for coping with aversive emotional experiences as they occur. Further, the potentially stronger link between NA and bulimic behaviors in the later hours of the day suggest the utility of considering the possibility for elevated risk during that time period. Finally, the preliminary findings regarding the autoregressive and prospective associations for binge eating and purging suggest the potential utility of exploring with patients how the occurrence of such behaviors may increase or decrease the likelihood of subsequent bulimic behaviors.
General Scientific Summary.
Negative affect and bulimic behaviors (e.g., binge eating and purging) are associated. This study suggests that elevated negative affect predicts subsequent binge eating, and possibly purging, in women with bulimia nervosa. Negative affect subsequent to binge eating appears to decrease, whereas it may increase subsequent to purging.
Acknowledgments
This research was supported by R01 MH059674, K23 MH101342, and T32 MH082761 from NIMH.
Contributor Information
Jason M. Lavender, Neuropsychiatric Research Institute, Fargo, North Dakota and University of North Dakota School of Medicine and Health Sciences
Linsey M. Utzinger, Neuropsychiatric Research Institute, Fargo, North Dakota and University of North Dakota School of Medicine and Health Sciences
Li Cao, Neuropsychiatric Research Institute, Fargo, North Dakota.
Stephen A. Wonderlich, Neuropsychiatric Research Institute, Fargo, North Dakota and University of North Dakota School of Medicine and Health Sciences
Scott G. Engel, Neuropsychiatric Research Institute, Fargo, North Dakota and University of North Dakota School of Medicine and Health Sciences
James E. Mitchell, Neuropsychiatric Research Institute, Fargo, North Dakota and University of North Dakota School of Medicine and Health Sciences
Ross D. Crosby, Neuropsychiatric Research Institute, Fargo, North Dakota and University of North Dakota School of Medicine and Health Sciences
References
- American Psychiatric Association . Diagnostic and statistical manual of mental disorders. 4th ed. Author; Washington, DC: 1994. [Google Scholar]
- Crosby RD, Wonderlich SA, Engel SG, Simonich H, Smyth J, Mitchell JE. Daily mood patterns and bulimic behaviors in the natural environment. Behaviour Research and Therapy. 2009;47:181–188. doi: 10.1016/j.brat.2008.11.006. doi:10.1016/j.brat.2008.11.006. [DOI] [PMC free article] [PubMed] [Google Scholar]
- Engel SG, Wonderlich SA, Crosby RD, Mitchell JE, Crow SJ, Peterson CB, Gordon KH. The role of affect in the maintenance of anorexia nervosa: Evidence from a naturalistic assessment of momentary behaviors and emotion. Journal of Abnormal Psychology. 2013;122:709–719. doi: 10.1037/a0034010. doi:10.1037/a0034010. [DOI] [PMC free article] [PubMed] [Google Scholar]
- Engelberg MJ, Steiger H, Gauvin L, Wonderlich SA. Binge antecedents in bulimic syndromes: An examination of dissociation and negative affect. International Journal of Eating Disorders. 2007;40:531–536. doi: 10.1002/eat.20399. doi:10.1002/eat.20399. [DOI] [PubMed] [Google Scholar]
- First MB, Spitzer RL, Gibbon M, Williams JBW. Structured Clinical Interview for DSM–IV Axis I Disorders: Research version. Biometrics Research Department, New York State Psychiatric Institute; New York, NY: 1997. [Google Scholar]
- Goldschmidt AB, Wonderlich SA, Crosby RD, Engel SG, Lavender JM, Peterson CB, Mitchell JE. Ecological momentary assessment of stressful events and negative affect in bulimia nervosa. Journal of Consulting and Clinical Psychology. 2014;82:30–39. doi: 10.1037/a0034974. doi: 10.1037/a0034974. [DOI] [PMC free article] [PubMed] [Google Scholar]
- Haedt-Matt AA, Keel PK. Revisiting the affect regulation model of binge eating: A meta-analysis of studies using ecological momentary assessment. Psychological Bulletin. 2011;137:660–681. doi: 10.1037/a0023660. doi: 10.1037/a0023660. [DOI] [PMC free article] [PubMed] [Google Scholar]
- Harrison A, Sullivan K, Tchanturia K, Treasure J. Emotional functioning in eating disorders: Attentional bias, emotion recognition and emotion regulation. Psychological Medicine. 2010;40:1887–1897. doi: 10.1017/S0033291710000036. doi:10.1017/S0033291710000036. [DOI] [PubMed] [Google Scholar]
- Heatherton TF, Baumeister RF. Binge eating as escape from self-awareness. Psychological Bulletin. 1991;110:86–108. doi: 10.1037/0033-2909.110.1.86. doi:10.1037/0033-2909.110.1.86. [DOI] [PubMed] [Google Scholar]
- Hilbert A, Tuschen-Caffier B. Maintenance of binge eating through negative mood: A naturalistic comparison of binge eating disorder and bulimia nervosa. International Journal of Eating Disorders. 2007;40:521–530. doi: 10.1002/eat.20401. doi:10.1002/eat.20401. [DOI] [PubMed] [Google Scholar]
- Lavender JM, Wonderlich SA, Peterson CB, Crosby RD, Engel SG, Mitchell JE, Crow SJ, Berg K. Dimensions of emotion dysregulation in bulimia nervosa. European Eating Disorders Review. 2014;22:212–216. doi: 10.1002/erv.2288. doi: 10.1002/erv.2288. [DOI] [PMC free article] [PubMed] [Google Scholar]
- Muthén LK, Muthén BO. Mplus user's guide. 7th ed. Muthén & Muthén; Los Angeles, CA: 1998-2012. [Google Scholar]
- Pearson CM, Wonderlich SA, Smith GT. A risk and maintenance model for bulimia nervosa: From impulsive action to compulsive behavior. Psychological Review. 2015;122:516–535. doi: 10.1037/a0039268. doi: 10.1037/a0039268. [DOI] [PMC free article] [PubMed] [Google Scholar]
- Safer D, Telch C, Chen E. Dialectical behavior therapy for binge eating and bulimia. Guilford Press; New York, NY: 2009. [Google Scholar]
- Smyth JM, Wonderlich SA, Heron KE, Sliwinski MJ, Crosby RD, Mitchell JE, Engel SG. Daily and momentary mood and stress are associated with binge eating and vomiting in bulimia nervosa patients in the natural environment. Journal of Consulting and Clinical Psychology. 2007;75:629–638. doi: 10.1037/0022-006X.75.4.629. doi:10.1037/0022-006X.75.4.629. [DOI] [PubMed] [Google Scholar]
- Smyth JM, Wonderlich SA, Sliwinski MJ, Crosby RD, Engel SG, Mitchell JE, Calogero RM. Ecological momentary assessment of affect, stress, and binge-purge behaviors: day of week and time of day effects in the natural environment. International Journal of Eating Disorders. 2009;42:429–436. doi: 10.1002/eat.20623. doi: 10.1002/eat.20623. [DOI] [PMC free article] [PubMed] [Google Scholar]
- Steiger H, Gauvin L, Engelberg MJ, Ying Kin NM, Israel M, Wonderlich SA, Richardson J. Mood- and restraint-based antecedents to binge episodes in bulimia nervosa: Possible influences of the serotonin system. Psychological Medicine. 2005;35:1553–1562. doi: 10.1017/S0033291705005817. doi: 10.1017/S0033291705005817. [DOI] [PubMed] [Google Scholar]
- Stice E. Risk and maintenance factors for eating pathology: A meta-analytic review. Psychological Bulletin. 2002;128:825–848. doi: 10.1037/0033-2909.128.5.825. doi: 10.1037/0033-2909.128.5.825. [DOI] [PubMed] [Google Scholar]
- Svaldi J, Griepenstroh J, Tuschen-Caffier B, Ehring T. Emotion regulation deficits in eating disorders: A marker of eating pathology or general psychopathology? Psychiatry Research. 2012;197:103–111. doi: 10.1016/j.psychres.2011.11.009. doi: 10.1016/j.psychres.2011.11.009. [DOI] [PubMed] [Google Scholar]
- Watson D, Clark LA. The PANAS-X: Manual for the Positive and Negative Affect Schedule-Expanded Form. The University of Iowa; Iowa City: 1994. [Google Scholar]
- Wonderlich SA, Peterson CB, Smith TL, Klein MH, Mitchell JE, Crow SJ. Integrative Cognitive-Affective Therapy for Bulimia Nervosa: A Treatment Manual. Guilford Press; New York: 2015. [DOI] [PMC free article] [PubMed] [Google Scholar]

