Abstract
Multiple sensors are often considered necessary for increased step count accuracy. However, subject adherence to device-wear increases using a minimal number of activity monitors (AMs). The study aims were to determine and compare the validity of using multiple AMs versus a single AM to detect steps by comparison to video using a modification of an algorithm previously developed for a four accelerometer-AM system capable, unlike other algorithms, of accurate step detection for gait velocities as low as 0.1 m/s. Twelve healthy adults wore ankle, thigh, and waist AMs while performing walking/jogging trials at gait velocities from 0.1–4.8 m/s and a simulated free-living dynamic activities protocol. Nineteen older adults wore ankle and waist AMs while walking at velocities from 0.5–2.0 m/s. As little as one AM (thigh or waist) accurately detected steps for velocities >0.5 m/s. A single ankle AM accurately detected steps for velocities ≥0.1 m/s. Only the thigh AM could not accurately detect steps during the dynamic activities. Only the thigh-ankle combination or single waist AM could accurately distinguish between walking and jogging steps. These laboratory-based results suggest that the presented algorithm can accurately detect steps in the free-living environment using only one ankle or waist AM.
Keywords: Accelerometer, movement analysis, step detection, body-worn sensors, sensor location
1. Introduction
Maintaining physical activity (PA) is critical for health and function. Step counting using portable sensors is one of the most widespread methods used to quantitatively measure PA. It is often considered necessary to use multiple sensors for increased step count accuracy, particularly when using these sensors as a rehabilitation tool, a clinical outcome measure after surgery, or for critically-ill patients. However, reducing the number of devices required for free-living assessments is of high importance for subject adherence to wearing the devices (Trost et al., 2005; Atallah et al., 2011). Wearing multiple devices can be cumbersome. Furthermore, individual subjects or patients may have different location preferences for sensor placement and may find some locations uncomfortable (Rodriguez-Martin et al., 2013). Reducing the number of sensors that each subject is required to wear and reducing the location dependency of the sensors could increase willingness to participate in rehabilitation programs and studies. A previous study reported 84% adherence with adults age 60 years and over and just 60–62% adherence for subjects of ages 12 to 39 years in a study involving a hip-located ActiGraph worn for four days (Troiano et al., 2008), which offers room for improvement. In addition to adherence issues, many studies have reported reduced accuracy of many step counting devices at lower gait velocities (Dijkstra et al., 2008; Ryan et al., 2006; Le Masurier and Tudor-Locke, 2003; Greene et al., 2010; Ichinoseki-Sekine et al., 2006). Individuals with reduced physical or cognitive function, who present greater issues with adherence, often walk at slower gait velocities. The need for adherence and accurate activity monitoring for these populations is of critical importance as they are at a higher risk for morbidity and mortality (Hardy et al., 2007).
Many studies have developed step detection algorithms based on specific activity monitor (AM) locations but do not test how algorithm performance would differ if locations were changed. The most common AM placement location in step count studies is on the ankle or thigh (Foster et al., 2005; Crouter et al., 2003; Ryan et al., 2006; Aminian and Hinckson, 2012), while the chest, waist or thigh are more common for movement classification, i.e. postures and activities (Mathie et al., 2004). For step detection, AMs or pedometers located on the waist (Le Masurier and Tudor-Locke, 2003; Esliger et al., 2007; Yang et al., 2011), lower back (Dijkstra et al., 2008), trunk (Zijlstra and Hof, 2003) and wrist (Fortune et al., 2014a) have also been investigated. More accurate estimations might be expected for algorithms designed specifically for particular sensor locations. However, while these algorithms are available they have either not been tested for or do not work for low gait velocities. Furthermore, the use of multiple different algorithms for different individuals in the same study with different wear-site preferences could compromise the internal validity of some research studies. The accuracy of ActiGraph’s GT3X+ activity monitor combined with their new low frequency extension (LFE) algorithm has been investigated with wear-site comparison in a number of studies with the highest accuracy being reported for waist and ankle locations (Tudor-Locke et al., 2015; Korpan et al., 2015). However the testing protocols used in these studies are not comparable to free-living and studies based in the free-living environment have reported over-estimations of step counts (Barreira et al., 2013; Cain et al., 2013; Feito et al., 2015). The StepWatch activity monitor (SAM), which is worn on the ankle, has been shown to detect steps with high accuracy at speeds as low as 0.27 m/s and for shuffling gait (Sandroff et al., 2014; Schmidt et al., 2011). It has also been shown to have superior accuracy to the most accurate waist- and ankle-worn pedometers and ActiGraph (worn at the waist) (Karabulut et al., 2005; Bergman et al., 2008; Feito et al., 2012b; Sandroff et al., 2014; Macko et al., 2002). Although it has only been validated in lab settings, it is often used as a criterion measure in the free-living environment (Feito et al., 2012a; Feito et al., 2015). However, the sensitivity and cadence settings of SAM are not adaptive. This lack of adaptivity means that the settings need to be calibrated per individual and may result in an overestimation of step counts in the free-living environment (Bassett Jr and John, 2010). We have previously developed a step detection algorithm with adaptive thresholds using an AM system consisting of four accelerometers (waist, right thigh, and bilateral ankles) and demonstrated that, unlike other algorithms or devices used in other studies (Dijkstra et al., 2008; Ryan et al., 2006; Le Masurier and Tudor-Locke, 2003; Greene et al., 2010; Ichinoseki-Sekine et al., 2006), it performs with acceptable accuracy at slow gait velocities, even as low as 0.1 m/s, in addition to normal and fast walking speeds, and under simulated free-living conditions without requiring calibration (Fortune et al., 2014a). However, an algorithm which can perform accurately at a number of locations using a minimal number of AMs would be beneficial in cases where subject adherence may be an issue. In addition, the difference in step detection accuracy using a multi-AM system compared to a single AM has not yet been investigated.
The study aims were to determine and compare the validity of using multiple AMs versus a single AM to count steps for both young to middle-aged adults and older adults. The algorithm’s validity to detect steps was evaluated by comparison to video recordings. The algorithm used in this study is built on previous work and data by our research group on postural and activity detection (Lugade et al., 2014; Fortune et al., 2014b), and step count (Fortune et al., 2014a) and is additionally validated for an older adult population.
2. Methods
2.1. Experimental Design
Data from young to middle-aged subjects, who participated in previously performed posture, movement and step detection validation experiments, were used (Lugade et al., 2014; Fortune et al., 2014a). In addition, data from older adult subjects, who had not participated in our previous AM calibration studies, were used. Exclusion criteria for the young to middle-aged subjects were a history of musculoskeletal deficits, neurological impairment, or lower extremity surgery. Accelerometer and video data were acquired from 12 healthy adults (3 males, 9 females; median (range) age: 31 (25–55) years; mean (SD) body mass index [BMI]: 24.7 (5.5) kg/m2) as they performed 7 to 10 walking/jogging trials in a straight line over an 8.5 m walkway (with additional room to accelerate and decelerate). For the initial trial, subjects were asked to walk at a self-selected normal gait velocity. Following each trial, subjects were given instructions to walk/jog at a slower/faster speed, until a suitable range of gait velocities (calculated from photocells placed at either walkway end) was obtained. Accelerometer and video data were also acquired as subjects performed an approximately 5 minute protocol of static and dynamic activities involving standing, sitting, lying, walking, stair climbing, and jogging in the laboratory. Additionally, subjects were asked to fidget to simulate activity during selected sitting and standing tasks. All activities were performed at self-selected speeds. To further evaluate algorithm robustness, accelerometer and video data were acquired from 19 older adults (5 males, 14 females; median (range) age: 80 (65–91) years; mean (SD) BMI: 25.5 (4.1) kg/m2) as they performed 10 to 40 walking trials at slow, normal or fast self-selected speeds in a straight line over the 8.5 m walkway. Older adult subjects were recruited from other ongoing active protocols for which the exclusion criteria were unable to walk at least 1 block without a walking aid, a history of musculoskeletal deficits, neurological impairment, or bilateral hip replacement/surgery, or lower extremity joint replacement 1 year prior. The protocols were approved by the Mayo Clinic Institutional Review Board and written informed consent was obtained before participation.
2.2. Data Collection
Accelerometer data were captured from the younger group subjects using custom-built Mayo Clinic AMs, each incorporating a tri-axial MEMS accelerometer (analog, +/−16g, Analog Devices) and onboard data storage of up to 0.5 GB, developed at the Mayo Clinic (Lugade et al., 2014). Subjects in the younger group wore four AMs below the navel on the waist, on the lateral midpoint of the right thigh, and on the bilateral ankles. Accelerometer data were captured from the older group subjects using ActiGraph GT3X+ (ActiGraph LLC, Fort Walton Beach, FL) AMs, which contains a tri-axial accelerometer with an acceleration range of +/−6g, due to hardware issues which occurred after the data collections from the younger group. Older group subjects wore three AMs below the navel on the waist and on the bilateral ankles as some subjects in this group were not willing to wear an AM on the thigh. AMs were secured with straps and were programmed to sample each axis at 100 Hz. Video data were simultaneously acquired at 60 Hz using a handheld camera. Video data were synchronized with the accelerometer data by asking all subjects to perform three vertical jumps before and following the protocol. The accelerometers-based devices were also synchronized with each other after the final jump. Six combinations were investigated for the younger group subjects: 1) waist and thigh, 2) thigh and ankle, 3) waist and ankle, 4) single waist, 5) single thigh, and 6) single ankle. In the older group, the following three combinations were investigated: 1) waist and ankle, 2) single waist, and 3) single ankle. These configurations were compared to the previously validated combination of waist, thigh and ankle AMs (Fortune et al., 2014a).
2.3. Signal Processing
All post processing and analysis of accelerometer data were performed offline using MATLAB (Version 7.11.0, Mathworks, Natick, MA, USA). The raw accelerometer data were calibrated and median filtered, with a window size of 3, to remove any high-frequency noise spikes. The resulting filtered signal was separated into its gravitational component by using a third-order zero phase lag elliptical low pass filter, with a cut-off frequency of 0.25 Hz, 0.01 dB passband ripple and −100 dB stopband ripple. Subtracting the gravitational component from the original median filtered signal provided the bodily motion component (Karantonis et al., 2006).
2.4. Upright Movement Detection
In a study by our research group (Lugade et al., 2014), upright dynamic activity was calculated using the waist and thigh AMs and classified as ‘walking/fidgeting’ or ‘jogging’. Dynamic activity was detected when the signal magnitude area (SMA) of the waist acceleration bodily motion component exceeded 0.135g for epochs of 1 s. For the epochs classified as non-activity, a continuous wavelet transform using a Daubechies 4 Mother Wavelet was applied to the waist acceleration data. Data which was within a range of 0.1 to 2.0 Hz was additionally identified as activity if it exceeded a scaling threshold of 1.5 over each second. Upright activity was identified using the angles estimated from the waist and thigh accelerometers. Upright dynamic activity was classified as ‘walking/fidgeting’ when it was detected using the continuous wavelet transform or the SMA was between 0.135 and 0.8 g and as ‘jogging’ when the SMA exceeded 0.8 g.
Another study by our research group describes how to detect movement and posture using different AM configurations: 1) single waist, 2) single thigh, 3) single ankle, and 4) thigh and ankle AMs (Fortune et al., 2014b). The SMA thresholds for detecting ‘walking/fidgeting’ or ‘jogging’ activity when using the thigh or ankle acceleration data were calculated as ratios of the waist acceleration data and are presented in (Fortune et al., 2014b). When using the single waist or single ankle AMs, angle estimations were used to identify lying down postures from upright postures. When using the single thigh AM, angle estimations were used to identify standing posture from sitting or lying down postures. When using the thigh and ankle AMs, the thigh acceleration data was used to detect and classify dynamic activity and upright activity was identified using the angles estimated from the thigh and ankle accelerometers.
In the current study, we will investigate step detection accuracy in these four AM configurations and in two additional AM configurations: 1) waist and thigh, and 2) waist and ankle AMs. Dynamic activity and posture will be detected and classified using the waist and thigh AMs as described above. The waist acceleration data will be used to detect steps. As reported in Figure 1a, when using the waist and ankle AMs, dynamic activity will be detected and classified using the waist acceleration data and posture will be classified as either lying down or upright using angle estimations from the waist acceleration data. The ankle acceleration data in this configuration will be used only for step detection.
Figure 1.
Decision table demonstrating (a) which AM (s) is to be used for posture and movement detection (See Fortune et al. (2014a)) and step detection for each of the different AM combinations, and flowcharts demonstrating the step detection algorithm ((b) heel-strike detection and (c) search for undetected heel-strike events) for each AM location.
2.5. Step Detection
We previously described a step detection algorithm which used a peak detection method with adaptive acceleration and timing thresholds to detect heel-strikes (Fortune et al., 2014a) from the ankle anteroposterior acceleration signal segments which were classified as movement or jogging from the movement detection algorithm in (Lugade et al., 2014). Figure 1a describes which AMs were used for posture, movement, and step detection in the six AM combinations tested. Timing thresholds (adaptive and non-adaptive) were scaled according to the AM location (table 1, figure 1b). The adaptive timing threshold for walking steps when using the waist AM to detect movement is calculated from
| (1) |
where fs is the sampling frequency and SMA is the signal magnitude area of the waist (Fortune et al., 2014a). When the right thigh or an ankle AM is used to calculate SMA and detect movement, equation (1) is multiplied by a corresponding scaling factor (table 1). These scaling factors were calculated based on the ratio of the mean SMA values during walking across the group for the right thigh or ankle AM to those from the waist AM. The minimum value allowed for t1 was set at 0.5 s and the non-adaptive timing threshold for jogging was set at 0.25 s for the ankle AM as defined in (Fortune et al., 2014a). During walking, the stance phases from both the right and left legs could be captured from waist acceleration data. The anteroposterior acceleration values were considerably lower for the thigh compared to the ankle. As a result, heel-strike acceleration values were less prominent and toe-off points were also detected as steps. As approximately twice as many steps were calculated using thigh or waist acceleration data compared to ankle acceleration data, the corresponding timing thresholds were defined as half the values for ankle acceleration data. Therefore, the minimum value allowed for t1 was set at 0.25 s for the thigh and waist AMs and the timing threshold for jogging was set at 0.125 s for the thigh and waist AMs. The algorithm then checked for missing steps in each data segment by calculating the time difference between each successive detected heel-strike point (figure 1c). All time gap thresholds for identifying missing walking steps using the waist or right thigh AMs were defined to be half of the defined ankle AM value (table 1). All time gap thresholds for identifying missing jogging steps using the waist, right thigh, or right or left ankle AMs were defined as equal. A maximum acceleration value was set at −0.09g for a heel strike to be considered as a valid step when using the ankle AM to detect steps to prevent very small movements of the feet from being falsely identified as steps. Final step counts detected using an ankle AM were doubled to account for the other leg. Any segments with a total of less than four steps detected from the right and left ankles which were preceded and followed by more than 2 s of no activity were not considered as walking or jogging and their steps were categorized as ‘other’ (Fortune et al., 2014a). This characterization was also applied to video observation.
Table 1.
Acceleration and timing thresholds for each monitor location.
| Thresholds | Ankle | Thigh | Waist |
|---|---|---|---|
| Maximum valid step acceleration (g) | −0.09 | - | - |
| Time gap indicating missed steps (walking detected using SMA) (s) | 2.5 | 1.25 | 1.25 |
| Time gap indicating missed steps at either activity segment end (walking detected using SMA) (s) | 2 | 1 | 1 |
| Time gap indicating missed steps (walking detected using wavelet transform) (s) | 8 | 4 | 4 |
| Time gap indicating missed steps at either activity segment end (walking detected using wavelet transform) (s) | 7.5 | 3.75 | 3.75 |
| Time gap indicating missed steps (jogging) (s) | 1.25 | 1.25 | 1.25 |
| Time gap indicating missed steps at either activity segment end (jogging) (s) | 1 | 1 | 1 |
| Scaling factor to multiply adaptive timing threshold for walking by | 1.825 | 1.298 | 1 |
| Minimum value allowed for adaptive timing threshold (walking) (s) | 0.5 | 0.25 | 0.25 |
| Timing threshold for jogging (s) | 0.25 | 0.125 | 0.125 |
2.6. Validity
Video data were imported into Windows Movie Maker (Microsoft, Seattle, WA). Two raters, each with greater than 1 year of gait analysis experience, manually determined the number of walking, jogging, and ‘other’ steps taken for each dynamic activity. Video data were considered as the gold standard for all validation analysis. Mean agreement, as defined in (Fortune et al., 2014a), with video data across all walking and jogging trials was used to assess the accelerometer algorithm’s validity to detect steps for gait velocities ranging from 0.1 to 4.8 m/s. For the simulated free-living dynamic activities protocol, algorithm step counts were validated against the manual step counts from video data. Sensitivity, positive predictive value (PPV), and agreement, as defined in (Fortune et al., 2014a), were used to assess the accelerometers’ ability to accurately detect steps. Sensitivity, PPV and agreement of step counts were classed as ‘acceptable’ or ‘excellent’ if they were greater than or equal to 90% or 97%, respectively (Hatano, 1993). Median values were presented since they may be more representative than mean values due to the small sample size. Mean values are also presented for comparison to the literature. Overall accuracy classifications of the different AM combinations were determined by both median sensitivity and PPV. If either of these values was termed as ‘unacceptable’ then that AM combination’s accuracy was deemed as unacceptable. AM combinations were only considered excellent if both median sensitivity and PPV were excellent. The Bland-Altman method was utilized to compare the total step counts as determined by the AM algorithm and video observation for the walking/jogging trials and the simulated free-living dynamic activities protocol (Bland and Altman, 1999).
3. Results
Data from one younger subject were excluded from all analysis due to video data issues. As the inter-rater reliability of step detection using video observation was >0.98 (Fortune et al., 2014a), all analyses were performed comparing accelerometer identification to a single observer chosen at random.
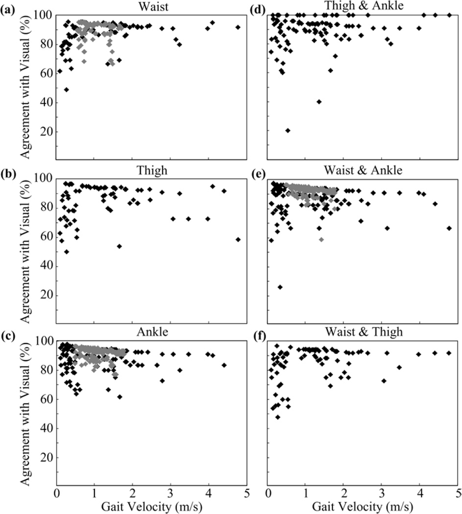
The older group’s mean (SD) gait velocities ranged from 0.5 (0.02) to 1.1 (0.07) m/s, 0.7 (0.04) to 1.4 (0.12) m/s, and 0.8 (0.02) to 1.7 (0.06) m/s for slow, normal and fast self-selected speeds. The algorithm demonstrated overall mean (SD) agreements of between 88 (12) % and 92 (8) % with manual step counts as gait velocities ranged from 0.1 m/s to 4.8 m/s for the younger group (table 2, figure 2). Overall mean (SD) step count agreements of between 96 (4) % and 98 (5) % were observed as gait velocities ranged from 0.5 m/s to 2.0 m/s for the older group (table 2, figure 2). The algorithm mean agreements were ‘unacceptable’ for AM combinations not including an ankle AM when gait velocity was lower than 0.5 m/s which was due to significantly lower amplitude acceleration signals, compared to ankle AM placement, reducing the sensitivity of peak detection. Steps taken ranged from 10 to 92 per trial, increasing as gait velocity decreased. At higher gait velocities, peak acceleration amplitudes increased in magnitude and decreased in variability, resulting in increased step detection accuracy. All 10 other agreement values were either acceptable or within 1% – 3% from acceptable agreement. The mean number of missed steps was less than 3 steps for all six AM combinations in the younger group, with a mean number of 0.3 missed steps for the three AM combinations tested in the older group.
Table 2.
Mean (SD) agreement of step counts using all monitor combinations and the original four AM system (Fortune et al., 2014a) compared with visual step counts, mean number of steps per trial, and number of trials for different gait velocity ranges.
| Gait Velocity Range (m/s): | <0.5 | 0.5–1.0 | 1.0–1.5 | 1.5–2.0 | >2.0 | 0.1–4.8 |
|---|---|---|---|---|---|---|
| Young Adult Group (n=11) | ||||||
| Waist (%) | 80 (12) | 93 (5)a | 94 (7)a | 92 (7)a | 94 (6)a | 90 (10)a |
| Thigh (%) | 82 (14) | 92 (12)a | 94 (6)a | 92 (11)a | 89 (11) | 89 (12) |
| Ankle (%): | 90 (9)a | 94 (9)a | 92 (7)a | 90 (9)a | 93 (7)a | 92 (8)a |
| Thigh & Ankle (%): | 87 (12) | 88 (18) | 89 (12) | 89 (10) | 92 (7)a | 89 (12) |
| Waist & Ankle (%) | 88 (13) | 91 (7)a | 88 (8) | 90 (7)a | 90 (10)a | 89 (10) |
| Waist & Thigh (%) | 79 (15) | 92 (13)a | 94 (4)a | 89 (9) | 91 (8)a | 88 (12) |
| Waist & Thigh & Ankles (%) | 95 (6)a | 90 (6)a | 89 (7) | 89 (7) | 92 (11)a | 92 (8)a |
| Mean Number of Steps per Trial | 37 (18) | 20 (2) | 17 (1) | 15 (2) | 13 (2) | 21 (13) |
| Number of Trials | 26 | 18 | 22 | 18 | 21 | 105 |
| Older Adult Group (n=19) | ||||||
| Waist (%) | - | 98 (5)a | 98 (6) a | 99 (3) a | - | 98 (5) a |
| Ankle (%): | - | 96 (4) a | 97 (4) a | 95 (5) a | - | 96 (4) a |
| Waist & Ankle (%) | - | 96 (3) a | 97 (5) a | 95 (4) a | - | 96 (4) a |
| Mean Number of Steps per Trial | - | 18 (3) | 15 (2) | 12 (1) | - | 16 (3) |
| Number of Trials | - | 208 | 241 | 68 | - | 518 |
Values in bold indicate agreement which is classified as ‘acceptable’ (≥ 90% (Hatano et al., 1993)).
Figure 2.
Step count agreement with visual observations for each trial as gait velocity ranges from 0.1 m/s to 4.8 m/s for six different monitor combinations: (a) single waist, (b) single thigh, (c) single ankle, (d) thigh and ankle, (e) waist and ankle, and (f) waist and thigh AMs. Each black asterisk denotes the step count agreement from one walking or jogging trial performed by a younger group subject. Each grey asterisk in (a), (c), and (e) denotes the step count agreement from one walking trial performed by an older group subject.
The sensitivity values were acceptable for all AM combinations in identifying walking steps except for the waist and thigh combination and the single thigh AM (figure 3a). The high numbers of false negatives when using the single thigh AM and the waist and thigh combination were due to the low amplitude of the anteroposterior signal resulting in some undetected heel-strikes. The PPVs were acceptable for all AM combinations in identifying walking steps except for the waist and ankle combination, the single thigh, and the single ankle AMs (figure 3d). The sensitivity values were acceptable for all AM combinations in identifying jogging steps except for the waist and thigh combination, single thigh, and single ankle AMs (figure 3b). The PPVs were acceptable or excellent for all AM combinations in identifying jogging steps (figure 3e). The sensitivity values were acceptable for all AM combinations in identifying all steps except for the waist and thigh combination and the single thigh AMs (figure 3c). The PPVs were acceptable or excellent for all AM combinations in identifying all steps (figure 3f). For combinations involving a AM located at the ankle (single ankle, thigh and ankle combination, and waist and ankle combination), every segment with an odd number of steps taken would yield one false positive step as the number of heel-strikes calculated from one leg is doubled to estimate the step count. This resulted in some false positive step detection. The waist, thigh, and ankles combination, thigh and ankle combination, and single waist AM were classed as acceptable for identifying walking, jogging, and all steps (figure 3). The waist and thigh combination and the single ankle AM gave acceptably accurate results when detecting steps but not when identifying walking steps or jogging steps specifically. The waist and ankle combination was acceptably accurate in detecting steps and identifying jogging but not walking steps, while the single thigh AM produced unacceptable results identifying walking, jogging, and all steps.
Figure 3.
Step detection sensitivity when identifying (a) walking steps, (b) jogging steps, and (c) the total number of steps, and positive predictive value (PPV) when identifying all (d) walking steps, (e) jogging steps, and (f) the total number of steps compared to video identification for all AM combinations for the simulated free-living dynamic activities protocol. The central line in each box represents the median, the edges of the box are the 25th and 75th percentiles, and the whiskers extend to 1.5 times the interquartile range. Outliers beyond this range are labeled as +. For the PPV of jogging using the waist, thigh and ankles combination, the median value is equal to 100%. For the PPV of jogging using the waist and thigh combination, the median value, the 25th and 75th percentiles are equal to 100%. The grey line in each graph marks 90% (the cut-off for determining accurate sensitivity and PPV values (Hatano, 1993)). (g) shows the accuracy rankings determined for each AM combination from the corresponding sensitivity and PPV (both greater than or equal to 90%).
The mean error was less than 4% for the single waist AM, the thigh and ankle combination, and the waist and ankle combination (figure 4a, d, and e). The waist and thigh combination had the largest mean error out of all combinations, underestimating steps by a mean of 8% when using the Bland-Altman method (figure 4f). The thigh and ankle combination had the smallest 95% limits of agreement ranging from 2% to −9% for step detection (figure 4d). The single thigh AM had the largest 95% limits of agreement ranging from 22% to −33% (figure 4b). One outlier occurred with the single thigh AM, the single ankle AM, and the thigh and ankle combination (figure 4b, c, and d). Two outliers occurred with the waist and ankle combination (figure 4e). While a single thigh AM produced the least accurate results for step detection (figure 4b), it yielded the most accurate results for detecting time spent walking and jogging as found in a parallel study by the authors using the same data recordings (Fortune et al., 2014b). The mean overestimation of step counts of less than 3% using the single waist AM (figure 4a) was due to false positives steps at the ends of segments as the duration of upright movement detection was overestimated (Fortune et al., 2014b).
Figure 4.
Bland-Altman plots demonstrating percentage accuracy for step detection during the simulated static and dynamic activities protocol when using accelerometer compared to video identifications for (a) the waist and thigh combination, (b) the ankle and thigh combination, (c) the waist and ankle combination, (d) the single waist, (e) the single thigh, and (f) the single ankle. The dashed line represents the average, while the solid lines represent the lower and upper 95% limits of agreement (−/+1.96 SD).
4. Discussion
We have previously discussed the need for and lack of step detection algorithms which are capable of detecting steps at lower gait velocities (without performing in-laboratory calibration for each subject prior to use) in addition to normal and fast gait velocities (Fortune et al., 2014a). However, the algorithm which we previously developed to address this issue requires the use of four AMs which could affect subject adherence in some populations. Subject adherence is one of the most important aspects to consider when investigating the use of wearable sensors to assess free-living PA. Reducing the AM number required for PA assessments in free-living environments and care settings is known to be very important for subject adherence (Hagstromer et al., 2007; Matthews et al., 2012), particularly with individuals suffering from physical or cognitive impairments (White et al., 2004). As further evidence of subject adherence issues related to both AM number and location, during recruitment for the present study’s older group, subjects agreed to participate only if the thigh AM was excluded. Therefore, the study aims were to determine and compare the accuracy of a previously developed step detection algorithm with modifications while using multiple AMs versus a single AM.
Many studies have investigated the effect of AM placement on energy expenditure measurements (Bouten et al., 1997; Altini et al., 2014), activity classification (Atallah et al., 2011; Maurer et al., 2006; Preece et al., 2009), and posture detection (Gjoreski et al., 2011). Some studies have examined the step count agreement of commercial pedometers attached to different locations (Fortune et al., 2014a; Silcott et al., 2011), or compared different devices which have different manufacturer recommended locations (Storti et al., 2008; Karabulut et al., 2005). ActiGraph is the only research-grade AM which uses a step detection algorithm based on just one device that can be worn on multiple locations (wrist, waist, thigh, or ankle). However, while high accuracy has been reported for waist and ankle-worn ActiGraphs with the LFE algorithm (Korpan et al., 2015; Tudor-Locke et al., 2015), overestimations with free-living environment-use have been reported (Barreira et al., 2013; Cain et al., 2013; Feito et al., 2015). To the best of our knowledge, there exists no non-proprietary step detection algorithm which can be used with acceleration data from only one device on either the trunk or proximal or distal lower body. Many step counters have been developed for use at the ankle or at the thigh (Foster et al., 2005; Crouter et al., 2003; Ryan et al., 2006; Aminian and Hinckson, 2012). While more accurate estimations might be expected for algorithms designed specifically for particular sensor locations, many of these algorithms have either not been tested for or do not work for low gait velocities. The ankle-worn SAM has demonstrated high step detection accuracy for speeds as low as 0.27 m/s (Sandroff et al., 2014). However, the non-adaptive threshold settings require individual calibrations per subject and may result in overestimations in the free-living environment (Bassett Jr and John, 2010).
Similar to previous studies, longer duration trials in the current study demonstrated greater agreement as missed steps usually occur at activity segment ends (Dijkstra et al., 2008). With longer duration tasks, greater accuracy can be achieved, as misclassification commonly occurs during the second at a task beginning or end. However, shorter duration activity segments at slower gait velocities are more representative of activity in a natural free-living environment, with sixty percent of all walk bouts lasting 30 seconds or less (Orendurff et al., 2008). The higher step count agreement values observed in this study with the older group compared to the younger group may be due to the younger subjects being instructed to sometimes walk at speeds which were slower or faster than their natural self-selected speeds. This could lead to less natural gait acceleration signals and an increase in the gait acceleration pattern variability resulting in false negatives. In addition, the older subjects often did not follow instructions to remain still in between trials, which resulted in less missed activity and step detection at the trial ends.
The overall mean step agreements of all AM combinations (88–99%) in the current study were similar or greater than the agreement of many devices tested in other studies (69–99%) (Dijkstra et al., 2008; Storti et al., 2008; Schneider et al., 2004; Schneider et al., 2003; Crouter et al., 2003; Sandroff et al., 2014; Korpan et al., 2015). A small number of studies have produced slightly higher agreement values (99–100%), however they involved activity segments which were isolated and much longer in length and within the range of healthy gait velocities (Ryan et al., 2006; Foster et al., 2005). In addition, many of these studies use more than one AM or do not incorporate posture detection. The agreement of the algorithm used in this study with video identification has also been observed to increase with longer duration activity segments (38 to 65 s) at healthy self-selected walking speeds using the AM system consisting of four accelerometers (waist, right thigh, and bilateral ankles) (Fortune et al., 2014a). Previous studies demonstrated that the most accurate pedometers are accurate to within ±3% (Hatano, 1993). However, they do not take false negatives or false positives into account. As long as the number of false negatives is similar to the number of false positives, an agreement which appears highly accurate can be obtained. For this reason, we based our accuracy validation on sensitivities and PPVs for the simulated free-living dynamic activities protocol. Furthermore, these criteria were based on long, isolated segments of continuous activity and do not distinguish between walking, jogging, or fidgeting steps (3 steps or less). Based on the agreement values from the walking/jogging trials and the sensitivity, PPV, and Bland- Altman results from the protocol of simulated free-living dynamic activities, all AM combinations in the current study except for the single thigh AM would be capable of producing acceptably accurate results for step counts for gait velocities greater than 0.5 m/s. While the single thigh AM was considered to yield unacceptable results, it would be classified as acceptable if agreement alone was used as a measure of accuracy. For acceptable accuracy for a gait velocity range including 0.1 to 0.5 m/s, a single ankle AM or a combination of AMs including an ankle AM is needed when using the current study’s algorithm. However, if more information than the step count is needed (i.e. distinguishing walking from jogging steps) only the waist, thigh and ankles combination, thigh and ankle combination, and single waist AM could provide sufficient accuracy. While a single waist AM yielded slightly greater accuracy in the older group than a single ankle AM or waist and ankle AM combination due to the waist AM’s ability to capture the acceleration pattern of steps from both legs rather than just one leg, all three investigated AM combinations detected steps with greater than 96% agreement. A priori knowledge of the AM location(s) is needed for the current study. For commercial AMs, for which manufacturers recommend more than one wear-location, a priori knowledge is not needed. However, wear-location has been shown to cause large accuracy differences (Fortune et al., 2014a; Korpan et al., 2015). A limitation of this study is that the validation is performed on the same calibration sample of young to middle-aged subjects. However, high step detection accuracy was also obtained with the older adult subjects, none of whom had participated in our previous calibration studies.
The method used in this study has been shown to be robust enough for use on a wide range of gait velocities in healthy young-, middle-, and older-aged subjects with as little as one AM. Therefore, this methodology could potentially be applied to a wide range of subject populations in the free-living environment, which remains to be tested. The potential to use a minimal number of AMs for PA assessments for subjects with very slow gait velocities in the free-living environment could have important implications, contributing to subject adherence increases.
5. Conclusion
The data suggest that researchers should carefully choose AM numbers and their locations depending on the information required while considering subject or patient preferences. Only the thigh-ankle combination or single waist AM could accurately distinguish between walking and jogging steps. As the older subjects objected to thigh AM-wear and only the single thigh AM could not accurately detect steps during the performance of the dynamic activities by the younger subjects, this study demonstrates the potential value of only using a single waist or single ankle AM for the presented step detection algorithm. While this study involves a simulated protocol conducted in a laboratory environment, the results from this study suggest that a single waist AM can be used with the algorithm presented to accurately detect steps in a free living environment for gait velocities as low as 0.5 m/s and that a single ankle AM can accurately detect steps for gait velocities as low as 0.1 m/s.
Acknowledgments
Study funds were provided by DOD DM090896, NIH T32 HD07447, and NIH R01 AR027065. Kathie Bernhardt and Diana Hansen assisted with data collection and processing. Christine Huyber and Louise McCready recruited the older adult subjects and assisted with study coordination. The body-worn motion detection and recording units were provided by Dr. Barry Gilbert, James Bublitz, Kevin Buchs, Charles Burfield, Christopher Felton, Dr. Clifton Haider, Michael Lorsung, Shaun Schreiber, Steven Schuster, and Daniel Schwab from the Special Purpose Processor Development Group at Mayo Clinic.
The information or content and conclusions do not necessarily represent the official position of, nor should any official endorsement be inferred by the National Institutes of Health, the United States Navy, the Department of Defense, or the U.S. Government.
Footnotes
Conflict of Interest Statement
The authors report no conflict of interest.
References
- Altini M, Penders J, Vullers R, Amft O. Estimating Energy Expenditure Using Body-Worn Accelerometers: a Comparison of Methods, Sensors Number and Positioning. IEEE J. Biomed. Health Inform. 2014 doi: 10.1109/JBHI.2014.2313039. Epub ahead of print. [DOI] [PubMed] [Google Scholar]
- Aminian S, Hinckson EA. Examining the validity of the ActivPAL monitor in measuring posture and ambulatory movement in children. Int. J. Behav. Nutr. Phys. Act. 2012;9:119. doi: 10.1186/1479-5868-9-119. [DOI] [PMC free article] [PubMed] [Google Scholar]
- Atallah L, Lo B, King R, Guang-Zhong Y. Sensor positioning for activity recognition using wearable accelerometers. IEEE Trans. Biomed. Circuits Syst. 2011;5:320–329. doi: 10.1109/TBCAS.2011.2160540. [DOI] [PubMed] [Google Scholar]
- Barreira TV, Brouillette RM, Foil HC, Keller JN, Tudor-Locke C. Comparison of older adults' steps per day using NL-1000 pedometer and two GT3X+ accelerometer filters. J Aging Phys Act. 2013;21:402–416. doi: 10.1123/japa.21.4.402. [DOI] [PubMed] [Google Scholar]
- Bassett DR, Jr, John D. Use of pedometers and accelerometers in clinical populations: validity and reliability issues. Physical therapy reviews. 2010;15:135–142. [Google Scholar]
- Bergman RJ, Bassett DR, Jr, Muthukrishnan S, Klein DA. Validity of 2 devices for measuring steps taken by older adults in assisted-living facilities. J Phys Act Health. 2008;5(Suppl 1):S166–S175. doi: 10.1123/jpah.5.s1.s166. [DOI] [PubMed] [Google Scholar]
- Bland JM, Altman DG. Measuring agreement in method comparison studies. Stat. Methods Med. Res. 1999;8:135–160. doi: 10.1177/096228029900800204. [DOI] [PubMed] [Google Scholar]
- Bouten CV, Sauren AA, Verduin M, Janssen JD. Effects of placement and orientation of body-fixed accelerometers on the assessment of energy expenditure during walking. Med. Biol. Eng. Comput. 1997;35:50–56. doi: 10.1007/BF02510392. [DOI] [PubMed] [Google Scholar]
- Cain KL, Conway TL, Adams MA, Husak LE, Sallis JF. Comparison of older and newer generations of ActiGraph accelerometers with the normal filter and the low frequency extension. Int J Behav Nutr Phys Act. 2013;10:51. doi: 10.1186/1479-5868-10-51. [DOI] [PMC free article] [PubMed] [Google Scholar]
- Crouter SE, Schneider PL, Karabulut M, Bassett DR., Jr Validity of 10 electronic pedometers for measuring steps, distance, and energy cost. Med. Sci. Sports Exerc. 2003;35:1455–1460. doi: 10.1249/01.MSS.0000078932.61440.A2. [DOI] [PubMed] [Google Scholar]
- Dijkstra B, Zijlstra W, Scherder E, Kamsma Y. Detection of walking periods and number of steps in older adults and patients with Parkinson's disease: accuracy of a pedometer and an accelerometry-based method. Age Ageing. 2008;37:436–441. doi: 10.1093/ageing/afn097. [DOI] [PubMed] [Google Scholar]
- Esliger DW, Probert A, Gorber SC, Bryan S, Laviolette M, Tremblay MS. Validity of the Actical accelerometer step-count function. Med. Sci. Sport Exerc. 2007;39:1200–1204. doi: 10.1249/mss.0b013e3804ec4e9. [DOI] [PubMed] [Google Scholar]
- Feito Y, Bassett DR, Thompson DL. Evaluation of activity monitors in controlled and free-living environments. Med Sci Sports Exerc. 2012a;44:733–741. doi: 10.1249/MSS.0b013e3182351913. [DOI] [PubMed] [Google Scholar]
- Feito Y, Bassett DR, Thompson DL, Tyo BM. Effects of body mass index on step count accuracy of physical activity monitors. J Phys Act Health. 2012b;9:594–600. doi: 10.1123/jpah.9.4.594. [DOI] [PubMed] [Google Scholar]
- Feito Y, Garner HR, Bassett DR. Evaluation of ActiGraph's low-frequency filter in laboratory and free-living environments. Med Sci Sports Exerc. 2015;47:211–217. doi: 10.1249/MSS.0000000000000395. [DOI] [PubMed] [Google Scholar]
- Fortune E, Lugade V, Morrow M, Kaufman K. Validity of using tri-axial accelerometers to measure human movement - Part II: Step counts at a wide range of gait velocities. Med. Eng. Phys. 2014a;36:659–669. doi: 10.1016/j.medengphy.2014.02.006. [DOI] [PMC free article] [PubMed] [Google Scholar]
- Fortune E, Lugade VA, Kaufman KR. Posture and movement classification: the comparison of tri-axial accelerometer numbers and anatomical placement. J. Biomech. Eng. 2014b;136:051003. doi: 10.1115/1.4026230. [DOI] [PMC free article] [PubMed] [Google Scholar]
- Foster RC, Lanningham-Foster LM, Manohar C, McCrady SK, Nysse LJ, Kaufman KR, Padgett DJ, Levine JA. Precision and accuracy of an ankle-worn accelerometer-based pedometer in step counting and energy expenditure. Prev. Med. 2005;41:778–783. doi: 10.1016/j.ypmed.2005.07.006. [DOI] [PubMed] [Google Scholar]
- Gjoreski H, Lustrek M, Gams M. 7th Int. Conf. on Intelligent Environments (IE) IEEE; 2011. Accelerometer placement for posture recognition and fall detection; pp. 47–54. [Google Scholar]
- Greene BR, McGrath D, O'Neill R, O'Donovan KJ, Burns A, Caulfield B. An adaptive gyroscope-based algorithm for temporal gait analysis. Med. Biol. Eng. Comput. 2010;48:1251–1260. doi: 10.1007/s11517-010-0692-0. [DOI] [PubMed] [Google Scholar]
- Hagstromer M, Oja P, Sjostrom M. Physical activity and inactivity in an adult population assessed by accelerometry. Med. Sci. Sport Exerc. 2007;39:1502–1508. doi: 10.1249/mss.0b013e3180a76de5. [DOI] [PubMed] [Google Scholar]
- Hardy SE, Perera S, Roumani YF, Chandler JM, Studenski SA. Improvement in usual gait speed predicts better survival in older adults. J. Am. Geriatr. Soc. 2007;55:1727–1734. doi: 10.1111/j.1532-5415.2007.01413.x. [DOI] [PubMed] [Google Scholar]
- Hatano Y. Use of the pedometer for promoting daily walking exercise. ICHPER J. 1993;29:4–28. [Google Scholar]
- Ichinoseki-Sekine N, Kuwae Y, Higashi Y, Fujimoto T, Sekine M, Tamura T. Improving the Accuracy of Pedometer Used by the Elderly with the FFT Algorithm. Med. Sci. Sports. Exerc. 2006;38:1674–1681. doi: 10.1249/01.mss.0000227641.68360.c2. [DOI] [PubMed] [Google Scholar]
- Karabulut M, Crouter SE, Bassett DR., Jr Comparison of two waist-mounted and two ankle-mounted electronic pedometers. Eur J Appl Physiol. 2005;95:335–343. doi: 10.1007/s00421-005-0018-3. [DOI] [PubMed] [Google Scholar]
- Karantonis DM, Narayanan MR, Mathie M, Lovell NH, Celler BG. Implementation of a real-time human movement classifier using a triaxial accelerometer for ambulatory monitoring. IEEE Trans. Inf. Technol. Biomed. 2006;10:156–167. doi: 10.1109/titb.2005.856864. [DOI] [PubMed] [Google Scholar]
- Korpan SM, Schafer JL, Wilson KC, Webber SC. Effect of ActiGraph GT3X+ Position and Algorithm Choice on Step Count Accuracy in Older Adults. J Aging Phys Act. 2015;23:377–382. doi: 10.1123/japa.2014-0033. [DOI] [PubMed] [Google Scholar]
- Le Masurier G, Tudor-Locke C. Comparison of pedometer and accelerometer accuracy under controlled conditions. Med. Sci. Sport Exerc. 2003;35:867–871. doi: 10.1249/01.MSS.0000064996.63632.10. [DOI] [PubMed] [Google Scholar]
- Lugade V, Fortune E, Morrow M, Kaufman K. Validity of using tri-axial accelerometers to measure human movement - Part I: Posture and movement detection. Med. Eng. Phys. 2014;36:169–176. doi: 10.1016/j.medengphy.2013.06.005. [DOI] [PMC free article] [PubMed] [Google Scholar]
- Macko RF, Haeuber E, Shaughnessy M, Coleman KL, Boone DA, Smith GV, Silver KH. Microprocessor-based ambulatory activity monitoring in stroke patients. Med Sci Sports Exerc. 2002;34:394–399. doi: 10.1097/00005768-200203000-00002. [DOI] [PubMed] [Google Scholar]
- Mathie MJ, Coster AC, Lovell NH, Celler BG. Accelerometry: providing an integrated, practical method for long-term, ambulatory monitoring of human movement. Physiol Meas. 2004;25:R1–R20. doi: 10.1088/0967-3334/25/2/r01. [DOI] [PubMed] [Google Scholar]
- Matthews CE, Hagströmer M, Pober DM, Bowles HR. Best practices for using physical activity monitors in population-based research. Med. Sci. Sport Exerc. 2012;44:S68–S76. doi: 10.1249/MSS.0b013e3182399e5b. [DOI] [PMC free article] [PubMed] [Google Scholar]
- Maurer U, Smailagic A, Siewiorek DP, Deisher M. BSN Int. Workshop on Wearable and Implantable Body Sensor Networks. IEEE; 2006. Activity recognition and monitoring using multiple sensors on different body positions; pp. 4–116. [Google Scholar]
- Orendurff MS, Schoen JA, Bernatz GC, Segal AD, Klute GK. How humans walk: bout duration, steps per bout, and rest duration. J. Rehabil. Res. Dev. 2008;45:1077–1089. doi: 10.1682/jrrd.2007.11.0197. [DOI] [PubMed] [Google Scholar]
- Preece SJ, Goulermas JY, Kenney LP, Howard D. A comparison of feature extraction methods for the classification of dynamic activities from accelerometer data. IEEE Trans. Biomed. Eng. 2009;56:871–879. doi: 10.1109/TBME.2008.2006190. [DOI] [PubMed] [Google Scholar]
- Rodriguez-Martin D, Samà A, Perez-Lopez C, Català A, Cabestany J, Rodriguez-Molinero A. SVM-based posture identification with a single waist-located triaxial accelerometer. Expert Syst. Appl. 2013;40:7203–7211. [Google Scholar]
- Ryan CG, Grant PM, Tigbe WW, Granat MH. The validity and reliability of a novel activity monitor as a measure of walking. Br. J. Sports Med. 2006;40:779–784. doi: 10.1136/bjsm.2006.027276. [DOI] [PMC free article] [PubMed] [Google Scholar]
- Sandroff BM, Motl RW, Pilutti LA, Learmonth YC, Ensari I, Dlugonski D, Klaren RE, Balantrapu S, Riskin BJ. Accuracy of StepWatch and ActiGraph accelerometers for measuring steps taken among persons with multiple sclerosis. PLoS One. 2014;9:e93511. doi: 10.1371/journal.pone.0093511. [DOI] [PMC free article] [PubMed] [Google Scholar]
- Schmidt AL, Pennypacker ML, Thrush AH, Leiper CI, Craik RL. Validity of the StepWatch Step Activity Monitor: preliminary findings for use in persons with Parkinson disease and multiple sclerosis. J Geriatr Phys Ther. 2011;34:41–45. doi: 10.1519/JPT.0b013e31820aa921. [DOI] [PubMed] [Google Scholar]
- Schneider PL, Crouter SE, Bassett DR. Pedometer measures of free-living physical activity: comparison of 13 models. Med. Sci. Sport Exerc. 2004;36:331–335. doi: 10.1249/01.MSS.0000113486.60548.E9. [DOI] [PubMed] [Google Scholar]
- Schneider PL, Crouter SE, Lukajic O, Bassett DR., Jr Accuracy and reliability of 10.pedometers for measuring steps over a 400-m walk. Med. Sci. Sport Exerc. 2003;35:1779–1784. doi: 10.1249/01.MSS.0000089342.96098.C4. [DOI] [PubMed] [Google Scholar]
- Silcott NA, Bassett DR, Jr, Thompson DL, Fitzhugh EC, Steeves JA. Evaluation of the Omron HJ-720ITC pedometer under free-living conditions. Med. Sci. Sports Exerc. 2011;43:1791–1797. doi: 10.1249/MSS.0b013e318212888c. [DOI] [PubMed] [Google Scholar]
- Storti KL, Pettee KK, Brach JS, Talkowski JB, Richardson CR, Kriska AM. Gait speed and step-count monitor accuracy in community-dwelling older adults. Med. Sci. Sport Exerc. 2008;40:59–64. doi: 10.1249/mss.0b013e318158b504. [DOI] [PubMed] [Google Scholar]
- Troiano RP, Berrigan D, Dodd KW, Mâsse LC, Tilert T, McDowell M. Physical activity in the United States measured by accelerometer. Med. Sci. Sport Exerc. 2008;40:181–188. doi: 10.1249/mss.0b013e31815a51b3. [DOI] [PubMed] [Google Scholar]
- Trost SG, McIver KL, Pate RR. Conducting accelerometer-based activity assessments in field-based research. Med. Sci. Sport Exerc. 2005;37:S531–S43. doi: 10.1249/01.mss.0000185657.86065.98. [DOI] [PubMed] [Google Scholar]
- Tudor-Locke C, Barreira TV, Schuna JM., Jr Comparison of step outputs for waist and wrist accelerometer attachment sites. Med Sci Sports Exerc. 2015;47:839–842. doi: 10.1249/MSS.0000000000000476. [DOI] [PubMed] [Google Scholar]
- White HK, McConnell ES, Bales CW, Kuchibhatla M. A 6-month observational study of the relationship between weight loss and behavioral symptoms in institutionalized Alzheimer's disease subjects. J. Am. Med. Dir. Assoc. 2004;5:89–97. doi: 10.1097/01.JAM.0000110646.48753.EF. [DOI] [PubMed] [Google Scholar]
- Yang CC, Hsu YL, Shih KS, Lu JM. Real-time gait cycle parameter recognition using a wearable accelerometry system. Sensors (Basel) 2011;11:7314–7326. doi: 10.3390/s110807314. [DOI] [PMC free article] [PubMed] [Google Scholar]
- Zijlstra W, Hof AL. Assessment of spatio-temporal gait parameters from trunk accelerations during human walking. Gait Posture. 2003;18:1–10. doi: 10.1016/s0966-6362(02)00190-x. [DOI] [PubMed] [Google Scholar]




