Abstract
General laws in ecological parasitology are scarce. Here, we evaluate data on numbers of fish parasites published by over 200 authors to determine whether acquiring parasites via prey is associated with an increase in parasite aggregation. Parasite species were grouped taxonomically to produce 20 or more data points per group as far as possible. Most parasites that remained at one trophic level were less aggregated than those that had passed up a food chain. We use a stochastic model to show that high parasite aggregation in predators can be solely the result of the accumulation of parasites in their prey. The model is further developed to show that a change in the predators feeding behaviour with age may further increase parasite aggregation.
Keywords: Acanthocephala, fish, independent increment process, index of dispersion, Monogenea, Taylor's power law
1. Introduction
One of the few generalizations in ecological parasitology is that the frequency distributions of parasites are usually overdispersed, that is, a parasite population tends to be aggregated within certain host individuals [1]. Most free-living organisms are aggregated in the environment, but parasites are an extreme case, almost always highly aggregated in their host populations. Understanding the processes that produce this heterogeneity in the distribution of macroparasites in their host populations continues to be a central research area in ecological parasitology [2]. Theoretical studies have shown that demographic stochasticity produces aggregated distributions of parasites in infected hosts [3–5]. Experimental studies demonstrate that a range of factors influence the level of aggregation, including spatial aggregation in infective stages [6], host behaviour [7], and host body condition and food availability [8,9]. Empirical studies have linked other factors, such as burrow structure in rabbit fleas [10] and season in fish strigeids [11]. Shaw et al. [12] summarized the proposed biological explanations as (i) a series of random infections with different densities of infectious stages, (ii) host individuals vary in susceptibility to infection and (iii) non-random distribution of infective stages in the habitat, conclusions further distilled by Poulin [13] into heterogeneity in exposure and heterogeneity in susceptibility. That aspects of the life cycle may be significant was suggested by Dobson & Merenlender [14] who found, in unpublished data, that there was a tendency for lower levels of aggregation to be observed in intermediate hosts compared with definitive hosts, and Shaw & Dobson [15] in an analysis of several hundred host/parasite systems noted that those infections where definitive hosts were infected by consuming invertebrate intermediate hosts were associated with relatively high degrees of aggregation. Lester [16] provided evidence from his data on marine fish parasites that moving up from one trophic level to another made a significant contribution to the level of aggregation in the parasite species.
Moving up a food chain is an essential component of the life cycle of many aquatic parasites. Here, we examine aggregation levels for aquatic parasites reported in the literature to see if, indeed, there is a general association between aggregation and the presence or absence of earlier hosts in the life cycle. We then consider the theoretical basis for the result.
2. Methods
2.1. Empirical data
The main measure of variability in the abundance of aquatic parasites reported in the literature is the variance (or standard deviation or standard error). From this, an ‘index of dispersion’ can be calculated by dividing the variance by the mean [17].
Means and variances of parasite counts from teleost fishes were extracted from over 300 papers. The search was designed to include all papers used in Poulin [18], plus those published up to 5 years earlier and 5 years afterwards. Article titles from Parasitology, the Journal of Parasitology and the International Journal for Parasitology from 1995 to July 2015 were read to detect papers likely to contain abundance data on fish parasites. The Journal of Fish Biology (1995–July 2015) was searched using the keyword ‘parasite’ and the Journal of Helminthology (1995–July 2015) using the keyword ‘fish’. Comparative Parasitology was searched using the keyword ‘fish’ only for the years 2000–July 2015; earlier copies of the journal, under the title Journal of the Helminthological Society of Washington, were not available online. Papers identified in this initial search were subsequently examined for data on the abundance of parasites in fish.
The criteria for data from these papers to be included in our study were as follows: (i) the fish were sampled from wild populations. Data from fish that had been removed from their natural environment, such as farmed or caged fish, were excluded, as were data from non-native fish. (ii) The data reported had to be either: (a) the mean and variance (or standard deviation or standard error) of parasite abundance calculated from a sample of 20 or more fish and with a mean abundance greater than one or (b) the mean and variance (or standard deviation or standard error) of parasite intensity (i.e. where zeros were excluded) calculated from a sample of 20 or more fish with a prevalence of 95% reported. Apart from the exceptions below, all data meeting the criteria were included in the database.
Where data were inconsistent with other information in the publication, an email was sent to the author to establish the correct values. To maintain independence of the analysis from an earlier publication that proposed a similar relationship [16], data used there were not incorporated here. In addition, two samples from [19] were excluded. In one, one fish had 100 parasites, and the other 64 fish had zero. In a second, one fish had 580 parasites, and the other 30 fish had a mean of 1. These extremes were far outside the rest of the data and were considered not to represent any trend. The dataset and source references are given in the electronic supplementary material.
The 1000 + mean and variance pairs obtained were subdivided into taxonomic groups, so that there were at least 20 data points in each group as far as possible. In six cases, there were sufficient data for a group to comprise a single genus. In most cases, however, data had to be combined into larger taxa. These provided an overview for a whole group and were not necessarily representative of all individual species in the group.
In parasite populations, the index of dispersion varies with the mean [20,21]. To provide a comparative figure, log10 variances were first plotted against log means (henceforth referred to as the log variance/log mean graph) for each group to reveal their linear relationship [22]. The log variance at a log mean abundance of 1 (i.e. a mean of 10 parasites per fish) was then estimated using Taylor's power law [22] and the index of dispersion derived. This index was first used in [16]. Although it is more common to use the slope from Taylor's law as a measure of dispersion [15,23,24], it is important to include a contribution from the intercept term as this also affects the variance and hence the index of dispersion. The choice to evaluate the index of dispersion at a mean of 10 per host was taken, because it was within the range of the observed counts for the teleost parasites (average of all the sample means was 26, median 5). Had the index been evaluated at a greater, and less biologically meaningful mean parasite burden, the comparison would have been based essentially on the slope.
Equality of the indices was tested against one-sided alternatives for all pairs of teleost parasite groups, with p-values determined by normal theory. To control for the increase in type I errors owing to multiple testing, the Benjamini–Hochberg procedure [25] was applied allowing for general dependence between p-values ([26], theorem 1.3). The Benjamini–Hochberg procedure controls the false discovery rate, that is, the expected proportion of erroneous rejections of the null hypothesis among all rejections.
2.2. Stochastic model of parasite acquisition
We consider a simple ecosystem consisting of parasites, prey fish and predator fish. To facilitate the development of the model, the ecosystem is assumed to be in equilibrium, so the population sizes and age structures remain constant. This may be generally applicable though the long-term changes that occur in fish populations [27] may affect samples taken in different years and which have been combined. A second assumption is that fish do not acquire immunity to the parasites. Many studies have shown that fish develop immune responses to parasites, but few have demonstrated the development of protective immunity to metazoans, exceptions being the strong response to gyrodactylids [28] and the weak response to Diplostomum spp. [29]. The accumulation of juvenile nematodes [30] and metacestodes [31,32] in teleosts as they age suggests little protective immunity against such parasites. A third assumption is that there is no parasite-associated host mortality. Evidence for such mortality in wild fish has been difficult to obtain. In most teleosts, parasites seem to have little effect on the host mortality rate, and apart from some notable exceptions [33], the concept that parasites tend to evolve to minimize host mortality is widely held [34]. A final assumption is that there is no parasite mortality. A few of the parasites considered are thought to have lifespans less than that of the host, such as adult acanthocephalans [35], gyrodactylids [36] and some adult Digenea [37]. Many of the others such as larval trypanorhynchs and juvenile anisakids are thought to survive in fish for years [31] suggesting parasite mortality in these groups may be minimal. Should there be a discrepancy between the model behaviour and empirical data, it could be due to a violation of one or more of these assumptions. The effects of host and parasite mortality on parasite distributions have been investigated by others [38–40] and may affect the empirical distributions but nevertheless are not incorporated into the model here.
With these assumptions, the model is formulated as follows. The parasite burden of a prey aged t is denoted by Xt. The prey are born free of parasites so X0 = 0. As parasites are assumed to survive for the lifetime of the host, Xt is a non-decreasing integer-valued stochastic process. The simplest example is of a prey that takes infective particles at random, that is following a Poisson process, though the model is not restricted to this case and covers very general models of parasite accumulation, including mixed Poisson processes [41] and the negative binomial Lévy process [42].
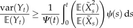
The parasite burden of a predator aged t is denoted by Yt. The predators are also born free of parasites, so Y0 = 0. To allow for changes owing to season and life cycle, the predator is assumed to encounter a random member of the prey population at times following a non-homogeneous Poisson process with intensity function
. This implies that prey selection is independent of parasite load. Although there may be cases where the parasite affects the host's susceptibility to predation by a teleost, none were found by the authors. Furthermore, this assumption also excludes environmental heterogeneity, which may arise, for example, through the aggregation of the prey in the environment, from being a contributing factor in parasite aggregation. Although other processes describing the encounters of predator and prey may be more realistic, we impose the Poisson assumption to avoid confounding the sources of aggregation. It is expected that incorporating environmental heterogeneity would further increase the index of dispersion in the predator.
Not all encountered prey are consumed, rather encountered prey are consumed with a probability that depends on the age of the prey and possibly the age of the predator, because, in many predator species, the prey size changes as the predator ages [43–46]. Suppose that prey age in the population has a probability density function, which is denoted by fA. When a predator aged t encounters a prey aged u, the probability that the predator consumes the prey is given by the function p(u, t). The times at which the predator consumes a prey therefore follow a Poisson process with intensity function
. The parasite burden of a prey consumed by a predator aged t is denoted
. When a prey is consumed, then the predator is assumed to acquire all parasites that are present in the prey. Using standard conditioning arguments, the mean and variance of the predator's parasite burden are given by
| 2.1 |
| 2.2 |
![]() |
2.3 |
When the distribution of
does not depend on t, equation (2.2) reduces to the law of total variance.
To analyse this model, stochastic ordering properties and in particular the likelihood ratio ordering of random variables are used. Let U and V both be either continuous or discrete random variables with pU and pV denoting their respective probability densities, if they are continuous, or probability mass functions, if they are discrete. The random variable U is said to be smaller than V in the likelihood ratio ordering, denoted
, if
is an increasing function of w over the union of the supports of U and V ([47], §1.C.1). To make the model more suited to exploiting the properties of stochastic ordering, we impose the following assumptions.
(A) For any s ≤ t,
.
(B) For any s < t, the ratio
| 2.4 |
is a non-decreasing function of u.
Assumption (A) is a technical assumption. It is satisfied by the Poisson process model for a prey's parasite burden as well as a number of other non-decreasing integer-valued stochastic processes such as certain mixed Poisson processes [41] and the negative binomial Lévy process [42]. Assumption (B) may be interpreted as follows: suppose a prey were consumed by one of two predators and that both predators were equally likely to encounter the prey. Then, the older predator becomes more likely to have consumed the prey as the age of the prey increases. Assumption (B) implies that older predators tend to consume older prey than younger predators in the sense that, if Ãt denotes the age of a prey consumed by a predator aged t, then s ≤ t implies
for all a ≥ 0 ([47], theorem 1.C.1).
3. Results
3.1. Empirical data
Data were taken from publications by over 200 different authors. Most groups generally followed Taylor's power law and displayed a strong linear relationship between the log variance and log mean of parasite counts per host, especially for individual genera or closely related groups. For example, data on cystacanths of Corynosoma spp. from eight senior authors and 41 fish samples showed good agreement (R2 = 0.90, figure 1). The relationship was the weakest for disparate groups such as ‘other larval Acanthocephala’ (R2 = 0.58) and ‘other metacestodes' (R2 = 0.38).
Figure 1.

Plot of the means and variances of Corynosoma cystacanths in 41 fish samples from 14 publications. The line of best fit plotted is
.
Indices of dispersion for 28 parasite groups from teleosts are given in table 1. Five of the six lowest scores are monogeneans and copepods, groups that have not moved up a food chain. Most of the remaining 22 groups are thought to have arrived in the host through being eaten in a prey item, though the exact number of intermediate hosts is not known for most of the species.
Table 1.
Index of dispersion at a mean of 10 parasites per host (I10) for 28 parasite groups, from teleosts. Values for slope and intercept taken from log variance/log mean graph.
| parasite group | no. papers | no. data points | slope | intercept | R2 | eaten in prey | I10 |
|---|---|---|---|---|---|---|---|
| other larval Acanthocephalaa | 5 | 20 | 2.40 | 0.58 | 0.58 | yes | 96.6 |
| digenean adults excl. hemiurids | 43 | 150 | 2.01 | 0.60 | 0.86 | yes | 40.6 |
| Contracaecum juveniles | 17 | 30 | 1.89 | 0.70 | 0.82 | yes | 38.8 |
| Gyrodactylus spp. (adults) | 4 | 26 | 2.08 | 0.50 | 0.82 | 37.3 | |
| Eoacanthocephala adults | 12 | 30 | 1.85 | 0.68 | 0.91 | yes | 34.2 |
| diplectanids (adults) | 5 | 29 | 1.82 | 0.64 | 0.79 | 28.8 | |
| non-diplostome metacercariae | 27 | 84 | 1.68 | 0.76 | 0.87 | 27.4 | |
| anisakid adults | 6 | 12 | 1.78 | 0.65 | 0.82 | yes | 27.0 |
| Acanthocephalus spp. adults | 14 | 43 | 1.71 | 0.71 | 0.87 | yes | 26.4 |
| Hysterothylacium juveniles | 14 | 28 | 2.02 | 0.39 | 0.93 | yes | 25.4 |
| ‘spirurid’ adults | 18 | 33 | 1.45 | 0.95 | 0.61 | yes | 25.1 |
| Grillotia metacestodes | 13 | 37 | 1.66 | 0.71 | 0.95 | yes | 23.4 |
| hemiurid adults | 19 | 57 | 1.72 | 0.65 | 0.81 | yes | 23.2 |
| tetraphyllidean metacestodes | 9 | 17 | 1.43 | 0.91 | 0.75 | yes | 21.5 |
| cestode adults | 25 | 66 | 1.64 | 0.69 | 0.82 | yes | 21.2 |
| Corynosoma cystacanths | 14 | 41 | 1.74 | 0.56 | 0.90 | yes | 20.1 |
| ancyrocephalid/tetraonchids (adults) | 13 | 47 | 1.63 | 0.67 | 0.88 | 19.9 | |
| diphyllobothriid metacestodes | 8 | 28 | 1.58 | 0.70 | 0.81 | yes | 19.1 |
| diplostome metacercariae | 23 | 109 | 1.71 | 0.55 | 0.76 | 18.4 | |
| other metacestodesb | 13 | 25 | 1.26 | 0.99 | 0.38 | yes | 17.9 |
| other juvenile anisakidsc | 14 | 23 | 1.78 | 0.46 | 0.73 | yes | 17.3 |
| other Echinorhynchidad adults | 20 | 43 | 1.68 | 0.55 | 0.91 | yes | 16.9 |
| non-caligoid copepods (adults) | 15 | 56 | 1.72 | 0.45 | 0.92 | 14.7 | |
| capsalids/monocotylids (adults) | 4 | 11 | 1.67 | 0.44 | 0.96 | 13.1 | |
| caligoids (adults) | 12 | 46 | 1.64 | 0.46 | 0.75 | 12.9 | |
| cucullanid adults | 10 | 16 | 1.84 | 0.27 | 0.83 | yese | 12.8 |
| polyopisthocotyleans (adults) | 12 | 41 | 1.47 | 0.59 | 0.87 | 11.4 | |
| dactylogyrids (adults) | 14 | 61 | 1.60 | 0.35 | 0.92 | 8.9 | |
| total | 398 | 1215 |
aExcluding Corynosoma spp.
bExcluding Grillotia, Tetraphyllidea and Diphyllobothriidae.
cExcluding Contracaecum and Hysterothylacium.
dExcluding Acanthocephalus.
eSome.
The result of the Benjamini–Hochberg procedure testing equality of the indices for each pair of teleost parasite groups against one-sided alternatives (figure 2) shows that the low scores of some parasite groups are unlikely to be owing to chance sampling variation. In figure 2, the alternative hypothesis is that the group listed on the vertical axis has a higher index than the group listed on the horizontal axis. Hypotheses that were rejected at the 0.05 false discovery rate are indicated in black.
Figure 2.
Rejected hypotheses.
The analysis reveals a number of significant differences in the degree of dispersion of counts from the parasite groups. The greatest number of significant differences was found with ‘digenean adults excluding hemiurids'. The counts from this group were found to be significantly more dispersed than counts from five heteroxenous parasite groups (cestode adults, Corynosoma cystacanths, diplostome metacercariae, other Echinorhynchida and cucullanid adults) as well as six monoxenous parasite groups (ancyrocephalid/tetraonchids, non-caligoid copepods, capsalids and monocotylids, polyopisthocotyleans, dactylogyrids and caligoids). In all other significant differences found, the group with less dispersed counts was one of the five groups of monoxenous parasites with the lowest indices of dispersion. Furthermore, in the majority of cases where a significant difference was found, the group with more dispersed counts was a group of heteroxenous parasites. There are some remarkable exceptions, notably the monogeneans diplectanids, ancyrocephalids and tetraonchids, which had high indices of dispersion in table 1 and were not significantly different from the heteroxenous parasites in figure 2.
3.2. Stochastic model of parasite acquisition
The proofs for claims made in this section are given in appendix.
3.2.1. Distribution in the predator when prey selection is independent of predator age
When the predator's selection of prey remains constant throughout its life, so the ratio (2.4) does not depend on u, the log variance/log mean graph is a straight line with a slope of one and an intercept that depends only on the parasite burden of the consumed prey. The intercept is given by
, where
denotes the parasite burden of the consumed prey, and is typically positive. For example, if Xt is a mixed Poisson process or if
then the intercept is positive.
Now, suppose there is a second predator in the ecosystem that consumes the original predator. Assuming both predators do not change their prey selection during their life, the parasites become more aggregated as the trophic level increases. As was the case for the original predator, the log variance/log mean graph of the second predator's parasite burden is a straight line with a slope of one. However, the intercept for the second predator will be larger than the intercept for the first predator. If the prey accumulates parasites following a (mixed) Poisson process, and the predators do not change their prey selection as they age, then the parasite burden becomes more overdispersed as the parasite passes up a food chain (figure 3).
Figure 3.

Plot of log variance against log mean of the parasite burden with prey selection independent of predator age. The parasite burden of prey (dotted line) follows a Poisson process. The first predator (dashed line) consumes the prey, and second predator (solid line) consumes the first predator.
3.2.2. Distribution when prey selection depends on predator age
As noted previously, prey selection has been observed to change with the age of the predator. Furthermore, a slope of one in the log variance/log mean graph is inconsistent with empirical data (table 1). Therefore, we consider the effects of prey selection on the aggregation of parasites. The following results show that a change in prey selection is sufficient to generate a log variance/log mean graph whose slope is greater than one. The slope will be equal to one only if the distribution of the parasite intensity in the prey remains constant throughout the predator's life. When the prey accumulates parasites following a Poisson process, this is only possible if the prey selection is fixed. Hence, even if the change in prey selection is restricted to a small part of the predator's life, then the slope of the log variance/log mean graph will still be greater than one.
Theorem 3.1. —
Suppose assumptions (A) and (B) hold. Then
3.1 with equality if and only if for all
,
for all m ≥ 1.
Corollary 3.2. —
Suppose assumption (B) holds, and Xt is a Poisson process. Then, equality holds in (3.1) if and only if the ratio, (2.4) is constant in u for all
.
The following example illustrates the effect of prey selection on the log variance/log mean graph. Suppose that parasites accumulate in the prey according to a mixed Poisson process [41] satisfying assumption (A) with rate λ so
and
. The age distribution of the prey is taken to be gamma with shape and rate parameters (α, β). If the function p(a, t) is proportional to
, γ, δ > 0, then the ratio p(a, t)/p(a, s) is proportional to
, which is non-decreasing in a for s < t. In figure 4, the log variance/log mean graph is given for a range of values of α and δ with
and ψ(t) = 1 for all t ≥ 0. As the mean increases, the slope of the graph appears to be independent of the parameter values chosen. Standard calculations show that the slope of the log variance/log mean graph approaches 3/2 when the mean is large.
Figure 4.
Change in variance when prey selection depends on predator age: (a) plot of log10(σ2) against log10(μ) for δ = 1 and α = (0.1, 2, 5, 10). The curves increase with α, but become less steep over this range of μ. (b) Plot of log10(σ2) against log(μ) for α = 0.1 and δ = (0.01, 0.05, 0.25, 1.25). The curves increase with δ. For both plots, the dotted line corresponds to log10(σ2) = log10(μ).
When the predator's selection of prey changes during its life, the role of trophic level in the aggregation of parasites becomes more complex. However, it is possible to provide some basic inequalities relating the indices of dispersion of the parasite burdens of the predator and prey. An upper bound on the index of dispersion of a predator aged t can given in terms of the parasite burden of prey consumed at aged t. The lower bound on the index of dispersion of a predator aged t is based on the sum of index of dispersion of the prey and the expected parasite burden of prey ‘averaged’ over the consumed prey by the predator. These inequalities are stated more precisely below.
Theorem 3.3. —
Suppose assumptions (A) and (B) hold. Let
. Then
3.2 and
3.3
3.4 where
is the probability density function of
, the age of prey consumed by a predator aged t.
Inequality (3.2) implies that an increase in the index of dispersion with trophic level may not be observed in the empirical data if the data are collected from prey that is older than that which the predator typically consumes. The quantity
appearing in inequality (3.4) is the probability density of the age of a random selected prey that was consumed by a predator during the period [0, t]. Equality holds in (3.2) and (3.3) if, for all s and t, the ratio (2.4) does not depend on u, that is, if the distribution of the consumed prey's age does not depend on the age of the predator.
3.2.3. Role of target prey size
When the predator selects its prey in the same manner, regardless of age, the feeding rate of the predator has no effect on the aggregation of parasites. However, when the predator's prey selection depends on the age of the predator, the feeding rate of the predator can have a considerable impact on the aggregation of parasites. Our analysis shows that parasites will be more aggregated in predators that consume a few large prey fish than in predators that consume many small prey fish.
To make this precise, suppose there are two predator species. Quantities relating to the two predators are distinguished through subscripts. The two predators are assumed to consume, on average, the same amount of biomass, but their feeding patterns differ; the first species tends to consume many smaller, hence younger, prey fish, whereas the second species consumes few larger, hence older, prey fish. Although fish growth typically slows with age there is generally a strong relationship between size and age [48]. Assuming the prey accumulates parasites at a constant rate, the expected biomass of prey aged t is proportional to its expected parasite burden.
Theorem 3.4. —
Suppose that assumptions (A) and (B) hold and that
for all t ≥ 0. Assume also that, for all t ≥ 0,
and
3.5 Then,
and
for all t ≥ 0.
To illustrate this result, we use the same scenario as used in figure 4 except that the function p(a, t) is now proportional to
, where δ(t) is an increasing function and γ > 0. In figure 5,
and α = 0.1 for both predators. For the first predator, we set δ1(t) = t and ψ1(t) = 1 for all t ≥ 0, and for the second predator δ1(t) = t + t2 and
. As the mean parasite burden increases, the slope of the log variance/log mean graph for the second predator approaches 2, whereas for the first predator, the slope approaches 3/2.
Figure 5.

Effect of feeding rate on parasite aggregation: plot of log10(σ2) against log10(μ) with
and α = 0.1 for both predators. For the first predator (dashed line) δ1(t) = 1 and ψ1(t) = 1, and for the second predator (solid line)
and
. The dotted line corresponds to log10(σ2) = log10(μ).
4. Discussion
In the empirical data, all parasite distributions had an index of dispersion greater than 1 indicating that the parasites were aggregated, even those with only a single host in the life cycle. This is presumably because they all incorporate other major sources of variability such as heterogeneity in exposure or heterogeneity in susceptibility or both. The model shows that any aggregation of parasites at lower levels of the food chain is magnified when moving up the food chain and thus provides a possible explanation why the heteroxenous groups generally have higher indices than the monoxenous groups.
Table 1 shows that the monogenean groups, capsalids, dactylogyrids, polyopisthocotyleans and the copepod groups, caligoids and non-caligoids, all have lower indices of dispersion than almost all the multihost parasite groups. The statistical test confirms that they are significantly less aggregated than ‘digenean adults excluding hemiurids', ‘Contracaecum juveniles' and ‘Eoacanthocephala’ (figure 2). Furthermore, the dactylogyrid group had a lower index of dispersion than the majority of multihost parasite groups.
There are some notable exceptions, however. Gyrodactylids, diplectanids and ancyrocephalids, which also have one-host life cycles, were not differentiated from the multihost groups (figure 2). The high aggregation of gyrodactylids may be the result of heterogeneity in susceptibility, which is widespread in hosts of gyrodactylids [49]. There is also potential heterogeneity in exposure as gyrodactylids reproduce by viviparity on the fish, which makes infected fish much more likely to have high numbers than if it were infected at random. Heterogeneity in susceptibility has not yet been demonstrated for ancyrocephalids or diplectanids though heterogeneity in exposure may occur. Eggs of the diplectanid Allomurraytrema robustum become entangled among adults on the gills, and the diplectanid Lamellodiscus acanthopagri actually attaches its eggs to the gills. Larvae that hatch from such eggs may attach to adjacent filaments thus increasing the chances of infected fish obtaining subsequent infections. In contrast, the polyopisthocotylean Polylabroides multispinosus sheds its eggs into the water column. None of its eggs are attached to the host [50], so the infective stages are more widely dispersed and infection a more random process.
Heterogeneity in exposure may also explain the high index of dispersion of the diplostome and non-diplostome metacercariae. Although metacercariae have already passed through one host, usually a mollusc, fish are not normally infected by consuming the mollusc, so the model does not explain the high level of aggregation in this instance. The most likely explanation is that cercariae of many species are released in waves [51], causing heterogeneity in exposure for potential hosts.
The indices of a number of heteroxenous groups were not significantly different from the indices of the monoxenous groups. For some of these groups, this may be due to the limited data available (anisakid adults) or the poor fit of Taylor's power law (‘spirurid’ adults, other metacestodes) resulting in hypothesis tests with limited power. The somewhat surprising low level of aggregation observed in cucullanid adults may have a different cause. While most life cycles of these tiny intestinal worms are unknown, they do include both direct and indirect life cycles [52,53].
For many of the heteroxenous parasites listed in table 1, such as the anisakid nematodes, hemiurid digeneans and tetraphyllideans, the trophic level or the number of steps from the first host, is unknown because of the widespread occurrence of paratenic hosts. Insufficient data were found to determine the degree of overdispersion for one parasite species at different stages of its life cycle. For comparative purposes, data from [1,54–63] on related parasites in non-teleost hosts are provided in table 2. Given the limited data, the hypothesis tests have little power to detect differences in the indices; however, trends can be discerned that are consistent with the modelling. The index for cystacanths in gammarids was estimated to be 2.7 and those for Corynosoma cystacanths in fish and adults in seals were much higher (20.1 and 23.8). Similarly, hemiurids in planktonic invertebrates had an index of 2.6 and adult hemiurids in fish an index of 23.2. Metacercariae in fish showed a high level of aggregation (18.4 diplostome and 29.7 non-diplostome), but an even higher level was observed in digeneans in birds and mammals acquired through eating infected fish (39.7). Cestode adults in fish-eating elasmobranchs appear highly aggregated (65.1) from the few data available.
Table 2.
Index of dispersion at a mean of 10 parasites per host (I10) for related parasites in hosts other than teleosts. Values for slope and intercept taken from log variance/log mean graph.
| parasite group | no. papers | no. data points | slope | intercept | R2 | eaten in prey | I10 |
|---|---|---|---|---|---|---|---|
| cestode adults in elasmobranchs | 1 | 7 | 2.4 | 0.41 | 0.89 | yes | 65.1 |
| digenean adults via fisha | 7 | 30 | 1.47 | 1.13 | 0.75 | yes | 39.7 |
| Corynosoma adults in seals | 1 | 5 | 2.03 | 0.35 | 0.94 | yes | 23.8 |
| cystacanths in inverts (extrapolated) | 1 | 6 | 1.15 | 0.28 | 0.92 | 2.7 | |
| hemiurids in inverts (extrapolated) | 3 | 11 | 1.14 | 0.27 | 0.85 | 2.6 |
aDigenean adults from birds and otters acquired via fish.
It is unlikely that the results here are the consequence of larger hosts being able to house more parasites than smaller hosts. Although the low indices of dispersion in the invertebrates in table 2 may reflect the absence of very heavy infections in small hosts which, in turn, tends reduce the degree of overdispersion; the data in table 1 and figure 2 refer only to teleosts. In teleosts, host size does not generally appear to be a limiting factor. Rohde [64] points out that parasite niches in teleosts not only are not saturated but they are very far from saturation. Lester [16] found numerous examples of metacestodes such as Otobothrium cysticum with much higher indices of dispersion than monogeneans such as Gotocoyla secunda and copepods such as Caligus spp. taken from the same individual fish.
The degree of aggregation of individual species may vary within the parasite groups used here. Although no species could be analysed individually due of the paucity of data available, several groups consisted of a single genus at the same life stage. As species within a genus share many characteristics, they may display a similar level of aggregation. In the analysis, each of these single genus groups displayed at least one, and often more, significant differences in the degree of aggregation compared with the five least aggregated monoxenous groups. This would suggest that even if the degree of aggregation of individual species/genera varies within the broad monoxenous groups, there must be some species/genera which are considerably less aggregated.
The conclusions here concur with the findings of Shaw and Dobson, who concluded that the process by which the parasite entered the host was important in determining the level of aggregation, and Dobson & Merenlender [14] who suggested that there was a tendency for aggregation to be greater in definitive hosts compared with intermediate hosts. Poulin [18], apparently using a similar but smaller database than the one used here, failed to detect any differences in overdispersion between monoxenous and heteroxenous parasites, possibly because he incorporated the data from samples with as few as six hosts per sample and used taxonomic groups that were more ecologically diverse.
The empirical data demonstrate a strong association between the level of aggregation of aquatic parasites and the occurrence of an ingested intermediate host in the life cycle. There is good support for such a link from mathematical theory. The effect may be more notable in fish parasites because of the large numbers of parasite species in fish and the wide biodiversity of the hosts. Whether extremes of aggregation occur more frequently in fish parasites compared with other groups is not yet clear. The significance of aggregation in parasites is discussed by Poulin [13] and others.
To confirm the association, better data are needed. Pooling parasite counts from fish of different ages and caught in different locations to calculate means and variances can inflate the estimated index of dispersion. Future data collection should attempt to limit confounding by stratifying at least on age and location. Furthermore, confirmation of the role of trophic level in parasite aggregation will require parasite counts not just from the predator species, but also parasite counts from a representative sample of its prey. Ideally, this would be done for several different predator age groups. Data of this quality would allow the model to be fitted and validated. Aspects of the model could be verified without performing a complete model fitting by comparing the estimated index of dispersion with inequalities (3.2) and (3.3). Failure of inequality (3.2) would suggest the presence of additional sources of variation, most likely in the encounters between predator and prey. Although more difficult to verify, inequality (3.3) could be used to constrain the rate of consumption which could be checked against other information.
In broader terms, the process by which predators accumulate parasites from prey has some similarities to the transport of contaminants between two trophic levels. Trophic transfer of various toxic chemicals in aquatic ecosystems is well documented [65], and recent research has demonstrated the possible trophic transfer of microplastics [66]. If the analogy with parasite accumulation holds, with an increase in trophic level we might expect a similar increase in the variance of ingested objects or concentration of toxic chemicals.
Supplementary Material
Acknowledgements
We thank Dr Derek Zelmer, University of South Carolina, for early discussions. We also thank the three referees whose constructive comments helped improve this paper.
Appendix A
A.1. Proof of claims from §3.2.1
When the ratio (2.4) does not depend on u, the distribution of
does not depend on t. Let
denote the parasite burden of the consumed prey. From equations (2.1) and (2.3),
![]() |
A 1 |
From equation (A 1), it follows that the log variance/log mean graph is a straight line with a slope of one and intercepts
. A similar expression holds for the second predator that consumes the first predator. Let
denote the parasite burden of the first predator given it has been consumed by the second predator. The log variance/log mean graph of the second predator will have a larger intercept term than that of the first predator if
![]() |
A 2 |
Let
denote the probability density function of the age of the first predator at the time it has been consumed by the second predator. Then
![]() |
A lower bound on this ratio of integrals is determined using a continuous version of the Chebyshev sum inequality. This inequality states that for any non-decreasing functions g and h on
and any probability measure μ on
| A 3 |
From equation (2.1),
is increasing, and because the ratio
is constant by equation (A 1),
is also increasing. Applying inequality (A 3) gives
![]() |
A 4 |
Inequality (A 2) follows by substituting the expression for var(Yt) in equation (A 1) into inequality (A 4).
A.2. Proof of theorem 3.1
To prove theorem 3.1, we first give the following basic result.
Lemma A.1. —
Assume that
and
![]()
. Assume also that f is a non-decreasing function. Define
Then σ2 may be expressed as a function of μ and
A 5 where G−1 is the function such that G−1(μt) = t. Furthermore,
A 6 with equality if and only if for all
,
.
Proof. As μt is strictly increasing in t, there exists a function
such that G−1(μt) = t. Hence, we may write
. Equation (A 5) follows from the chain rule. From the mean value theorem, there exists an
such that
. Inequality (A 6) now follows as f is non-decreasing. For the equality in (A 6) to hold, we must have
![]()
. As f is assumed to be non-decreasing, this is only possible if f is constant on
. ▪
We now verify the conditions of lemma A1 hold for our model. The random variable Ãt represents the age of a prey conditional on being consumed by a predator aged t. The probability density function of Ãt is
| A 7 |
An immediate consequence of assumption (B) is that
for all s ≤ t. From assumption (A) and ([47], theorem 1.C.17),
implies that
. Therefore,
is a non-decreasing function of t, and by ([47], theorem 1.C.20) so is
. Let
and
. Inequality (3.1) now follows from lemma A 1.
Also from lemma A1, we see that equality in (3.1) holds if and only if
for all
. This is only possible if
for all
where
and
are independent ([47], theorem 1.C.20). Let m be a square-free positive integer. Then
As
,
![]() |
A 8 |
for all square-free integers m ≥ 1 in the union of the supports of
and
. Because
, equation (A 8) must hold for all m ≥ 1 in the union of the supports of
and
. From equation (A 8),
![]() |
Therefore,
for all m ≥ 1.
A.3. Proof of corollary 3.2
As Xt is a Poisson process,
has a mixed Poisson distribution. Let Pt(z) be the probability generating function of
. From equation (A 8), there exists a
such that
| A 9 |
for all z. It is known that the mixing distribution of a mixed Poisson distribution is uniquely identifiable [67]. Therefore, equation (A 9) implies that
, where Z is an independent Bernoulli random variable with
. From equation (A 7), this is only possible if cs,t = 1. Hence, the ratio (2.4) is constant.
A.4. Proof of theorem 3.3
From the proof of theorem 3.1,
and
are non-decreasing functions of t. Inequality (3.2) now follows as
![]() |
A 10 |
Inequality (3.3) is obtained by applying inequality (A 3) to equation (A 10). To prove inequality (3.4), again apply inequality (A 3) to the ratio
![]() |
A 11 |
This is possible, because
for all s ≤ t by assumption (A), and this implies that
and
are both non-decreasing functions of t ([47], theorem 1.C.20). Therefore,
![]() |
A 12 |
Substituting the lower bound (A 12) into inequality (3.3), we obtain
Finally, interchanging the order of integration yields inequality (3.4).
A.5. Proof of theorem 3.4
As
. Hence, equation (3.5) implies
. As
for all t ≥ 0 and i = 1,2, equations (2.1) and (3.5) imply
for all t ≥ 0, that is, the expected parasite burden of the two predators are equal for all ages. As
for all t ≥ 0 [47, theorem 1.C.17]. It follows from [47, theorem 1.C.20] that
![]() |
for all t ≥ 0. From equation (2.3), the variance of the parasite burden of the second predator will be greater than that of the first, and, as the expected parasite burdens are equal, the parasite burden of the second predator will also have a greater index of dispersion.
Authors' contributions
R.J.G.L. initiated the study, collected the data and drafted the manuscript. R.M. developed and analysed the model, and helped draft the manuscript. Both authors gave final approval for publication.
Competing interests
We declare we have no competing interests.
Funding
R.M. is supported by the Australian Research Council (Centre of Excellence for Mathematical and Statistical Frontiers, CE140100049).
References
- 1.Crofton HD. 1971. A quantitative approach to parasitism. Parasitology 62, 179–193. ( 10.1017/S0031182000071420) [DOI] [Google Scholar]
- 2.Wilson K, et al. 2002. Heterogeneities in macroparasite infections: patterns and processes. In The ecology of wildlife diseases (eds Hudson PJ, Rizzoli A, Grenfell BT, Heesterbeek H, Dobson AP), pp. 6–44. Oxford, UK: Oxford University Press. [Google Scholar]
- 3.Anderson RM, Gordon DM, Crawley MJ, Hassell MP. 1982. Variability in the abundance of animal and plant species. Nature 296, 245–248. ( 10.1038/296245a0) [DOI] [Google Scholar]
- 4.Galvani AP. 2003. Immunity, antigenic heterogeneity, and aggregation of helminth parasites. J. Parasitol. 89, 232–241. ( 10.1645/0022-3395(2003)0890232:IAHAAO%5D2.0.CO;2) [DOI] [PubMed] [Google Scholar]
- 5.Morrill A, Forbes MR. 2012. Random parasite encounters coupled with condition-linked immunity of hosts generate parasite aggregation. Int. J. Parasitol. 42, 701–706. ( 10.1016/j.ijpara.2012.05.002) [DOI] [PubMed] [Google Scholar]
- 6.Keymer AE, Anderson RM. 1979. The dynamics of infection of Tribolium confusum by Hymenolepis diminuta: the influence of infective-stage density and spatial distribution. Parasitology 79, 195–207. ( 10.1017/S0031182000053282) [DOI] [PubMed] [Google Scholar]
- 7.Johnson PTJ, Hoverman JT. 2014. Heterogeneous hosts: how variation in host size, behaviour and immunity affects parasite aggregation. J. Anim. Ecol. 83, 1103–1112. ( 10.1111/1365-2656.12215) [DOI] [PubMed] [Google Scholar]
- 8.Tadiri CP, Dargent F, Scott ME. 2013. Relative host body condition and food availability influence epidemic dynamics: a Poecilia reticulata–Gyrodactylus turnbulli host–parasite model. Parasitology 140, 343–351. ( 10.1017/S0031182012001667) [DOI] [PubMed] [Google Scholar]
- 9.Luong LT, Grear DA, Hudson PJ. 2014. Manipulation of host-resource dynamics impacts transmission of trophic parasites. Int. J. Parasitol. 44, 737–742. ( 10.1016/j.ijpara.2014.05.004) [DOI] [PubMed] [Google Scholar]
- 10.Krasnov BR, Stanko M, Khokhlova IS, Mosansky L, Shenbrot GI, Hawlena H, Morand S. 2006. Aggregation and species coexistence in fleas parasitic on small mammals. Ecography 29, 159–168. ( 10.1111/j.2005.0906-7590.04353.x) [DOI] [Google Scholar]
- 11.Janovy J Jr, Kutish GW. 1988. A model of encounters between host and parasite populations. J. Theor. Biol. 134, 391–401. ( 10.1016/S0022-5193(88)80069-9) [DOI] [PubMed] [Google Scholar]
- 12.Shaw DJ, Grenfell BT, Dobson AP. 1998. Patterns of macroparasite aggregation in wildlife host populations. Parasitology 117, 597–610. ( 10.1017/S0031182098003448) [DOI] [PubMed] [Google Scholar]
- 13.Poulin R. 2007. Evolutionary ecology of parasites, 2nd edn Princeton, NJ: Princeton University Press. [Google Scholar]
- 14.Dobson AP, Merenlender A. 1991. Coevolution of macroparasites and their hosts. In Parasitism: coexistence or conflict? (eds Toft CA, Sihilmann AE), pp. 83–101. Oxford, UK: Oxford University Press. [Google Scholar]
- 15.Shaw DJ, Dobson AP. 1995. Patterns of macroparasite abundance and aggregation in wildlife populations: a quantitative review. Parasitology 111, S111–S133. ( 10.1017/S0031182000075855) [DOI] [PubMed] [Google Scholar]
- 16.Lester RJG. 2012. Overdispersion in marine fish parasites. J. Parasitol. 98, 718–721. ( 10.1645/GE-3017.1) [DOI] [PubMed] [Google Scholar]
- 17.Cox DR, Lewis PAW. 1966. The statistical analysis of series of events. London, UK: Methuen. [Google Scholar]
- 18.Poulin R. 2013. Explaining variability in parasite aggregation levels among host samples. Parasitology 140, 541–546. ( 10.1017/S0031182012002053) [DOI] [PubMed] [Google Scholar]
- 19.Rohde K, Hayward C, Heap M. 1995. Aspects of the ecology of metazoan ectoparasites of marine fishes. Int. J. Parasitol. 25, 945–970. ( 10.1016/0020-7519(95)00015-T) [DOI] [PubMed] [Google Scholar]
- 20.Scott ME. 1987. Temporal changes in aggregation: a laboratory study. Parasitology 94, 583–595. ( 10.1017/S0031182000055918) [DOI] [PubMed] [Google Scholar]
- 21.Poulin R. 1993. The disparity between observed and uniform distributions: a new look at parasite aggregation. Int. J. Parasitol. 23, 937–944. ( 10.1016/0020-7519(93)90060-C) [DOI] [PubMed] [Google Scholar]
- 22.Taylor LR. 1961. Aggregation, variance and the mean. Nature 189, 732–735. ( 10.1038/189732a0) [DOI] [Google Scholar]
- 23.Morand S, Krasnov B. 2008. Why apply ecological laws to epidemiology? Trends Parasitol. 24, 304–309. ( 10.1016/j.pt.2008.04.003) [DOI] [PubMed] [Google Scholar]
- 24.Pérez-del Olmo A, Morand S, Raga JA, Kostadinova A. 2011. Abundance–variance and abundance–occupancy relationships in a marine host–parasite system: the importance of taxonomy and ecology of transmission. Int. J. Parasitol. 41, 1361–1370. ( 10.1016/j.ijpara.2011.09.003) [DOI] [PubMed] [Google Scholar]
- 25.Benjamini Y, Hochberg Y. 1995. Controlling the false discovery rate: a practical and powerful approach to multiple testing. J. Roy. Stat. Soc. B 57, 289–300. [Google Scholar]
- 26.Benjamini Y, Yekutieli D. 2001. The control of the false discovery rate in multiple testing under dependency. Ann. Stat. 29, 1165–1188. ( 10.1214/aos/1013699998) [DOI] [Google Scholar]
- 27.Tremblay-Boyer L, Gascuel D, Watson R, Christensen V, Pauly D. 2011. Modelling the effects of fishing on the biomass of the world's oceans from 1950 to 2006. Mar. Ecol. Prog. Ser. 442, 169–185. ( 10.3354/meps09375) [DOI] [Google Scholar]
- 28.Dargent F, Scott ME, Hendry AP, Fussmann GF. 2013. Experimental elimination of parasites in nature leads to the evolution of increased resistance in hosts. Proc. R. Soc. B 280, 20132371 ( 10.1098/rspb.2013.2371) [DOI] [PMC free article] [PubMed] [Google Scholar]
- 29.Haase D, Rieger JK, Witten A, Stoll M, Bornberg-Bauer E, Kalbe M, Reusch TBH. 2016. Immunity comes first: the effect of parasite genotypes on adaptive immunity and immunization in three-spined sticklebacks. Dev. Comp. Immunol. 54, 137–144. ( 10.1016/j.dci.2015.09.008) [DOI] [PubMed] [Google Scholar]
- 30.Bishop YM, Margolis L. 1955. A statistical examination of Anisakis larvae (Nematoda) in herring (Clupea pallasi) of the British Columbia coast. J. Fish Res. Board Can. 12, 571–592. ( 10.1139/f55-030) [DOI] [Google Scholar]
- 31.Lester RJG, Barnes A, Habib G. 1985. Parasites of skipjack tuna Katsuwonus pelamis: fishery implications. Fishery Bull. 83, 343–356. [Google Scholar]
- 32.Williams RE, Lester RJG. 2006. Stock structure of Spanish mackerel Scomberomorus commerson along the Australian east coast deduced from parasite data. J. Fish Biol. 68, 1707–1712. ( 10.1111/j.1095-8649.2006.01026.x) [DOI] [Google Scholar]
- 33.Ferguson JA, Koketsu W, Ninomiya I, Rossignol PA, Jacobson KC, Kent ML. 2011. Mortality of coho salmon (Oncorhynchus kisutch) associated with burdens of multiple parasite species. Int. J. Parasitol. 41, 1197–1205. ( 10.1016/j.ijpara.2011.07.005) [DOI] [PubMed] [Google Scholar]
- 34.Lenski RE, May RM. 1994. The evolution of virulence in parasites and pathogens: reconciliation between two competing hypotheses. J. Theor. Biol. 169, 253–265. ( 10.1006/jtbi.1994.1146) [DOI] [PubMed] [Google Scholar]
- 35.Moller H. 1976. Reduction of the intestinal parasite fauna of marine fishes in captivity. J. Mar. Biol. Assoc. UK 56, 781–785. ( 10.1017/S0025315400020798) [DOI] [Google Scholar]
- 36.Scott ME, Nokes DJ. 1984. Temperature-dependent reproduction and survival of Gyrodactylus bullatarudis (Monogenea) on guppies (Poecilia reticulata). Parasitology 89, 221–227. ( 10.1017/S0031182000001256) [DOI] [Google Scholar]
- 37.Margolis L, Boyce NP. 1969. Life span, maturation, and growth of two hemiurid trematodes, Tubulovesicula lindbergi and Lecithaster gibbosus, in Pacific salmon (genus Oncorhynchus). J. Fish Res. Board Can. 26, 893–907. ( 10.1139/f69-087) [DOI] [Google Scholar]
- 38.Anderson RM, May RM. 1978. Regulation and stability of host–parasite population interactions I. Regulatory processes. J. Anim. Ecol. 47, 219–247. ( 10.2307/3933) [DOI] [Google Scholar]
- 39.Isham V. 1995. Stochastic models of host–macroparasite interaction. Ann. Appl. Probab. 5, 720–740. ( 10.1214/aoap/1177004702) [DOI] [Google Scholar]
- 40.Barbour AD, Pugliese A. 2000. On the variance-to-mean ratio in models of parasite distributions. Adv. Appl. Probab. 32, 701–719. ( 10.1239/aap/1013540240) [DOI] [Google Scholar]
- 41.Grandell J. 1997. Mixed Poisson processes. London, UK: Chapman & Hall. [Google Scholar]
- 42.Kozubowski T, Podgorski K. 2009. Distributional properties of the negative binomial Lévy process. Probab. Math. Stat. 29, 43–71. [Google Scholar]
- 43.Shoji J, Tanaka M. 2005. Daily ration and prey size of juvenile piscivore Japanese Spanish mackerel. J. Fish Biol. 67, 1107–1118. ( 10.1111/j.0022-1112.2005.00813.x) [DOI] [Google Scholar]
- 44.Griffiths SP, Kuhnert PM, Fry GF, Manson FJ. 2009. Temporal and size-related variation in the diet, consumption rate, and daily ration of mackerel tuna (Euthynnus affinis) in neritic waters of eastern Australia. ICES J. Mar. Sci. 66, 720–733. ( 10.1093/icesjms/fsp065) [DOI] [Google Scholar]
- 45.Stevens DA, Dunn MR, Pinkerton MH, Forman JS. 2014. Diet of Antarctic toothfish (Dissostichus mawsoni) from the continental slope and oceanic features of the Ross Sea region, Antarctica. Antarct. Sci. 26, 502–512. ( 10.1017/S095410201300093X) [DOI] [Google Scholar]
- 46.Logan JM, Golet WJ, Lutcavage ME. 2015. Diet and condition of Atlantic bluefin tuna (Thunnus thynnus) in the Gulf of Maine, 2004–2008. Environ. Biol. Fish. 98, 1411–1430. ( 10.1007/s10641-014-0368-y) [DOI] [Google Scholar]
- 47.Shaked M, Shanthikumar JG. 2007. Stochastic orders. Berlin, Germany: Springer. [Google Scholar]
- 48.Sale PF (ed.). 2002. Coral reef fishes: dynamics and diversity in a complex ecosystem. San Diego, CA: Academic Press. [Google Scholar]
- 49.Bakke TA, Cable J, Harris PD. 2007. The biology of gyrodactylid monogeneans: the ‘Russian-doll killers’. In Advances in parasitology, vol. 64 (eds Baker JR, Muller R, Rollinson D), pp. 161–376. Cambridge, MA: Academic Press. [DOI] [PubMed] [Google Scholar]
- 50.Roubal FR. 1995. Changes in monogenean and copepod infestation on captive Acanthopagrus australis (Sparidae). J. Fish Biol. 46, 423–431. ( 10.1111/j.1095-8649.1995.tb05982.x) [DOI] [Google Scholar]
- 51.Theron A. 2015. Chronobiology of trematode cercarial emergence: from data recovery to epidemiological, ecological and evolutionary implications. In Advances in parasitology, vol. 88 (eds Rollinson D, Stothard JR), pp. 123–164. Cambridge, MA: Academic Press. [DOI] [PubMed] [Google Scholar]
- 52.Moravec F. 1979. Observations on the development of Cucullanus (Truttaedacnitis) truttae (Fabricius, 1794) (Nematoda: Cucullanidae). Folia Parasitol. 26, 295–307. [PubMed] [Google Scholar]
- 53.Anderson RC. 1992. Nematode parasites of vertebrates: their development and transmission. Wallingford, UK: CAB International. [Google Scholar]
- 54.Weinstein M. 1972. Studies on the relationship between Sagitta elegans Verrill and its endoparasites in the Southwestern Gulf of St. Lawrence. Montreal, Canada: Marine Sciences Centre, McGill University. [Google Scholar]
- 55.Pearre SJ. 1976. Gigantism and partial parasitic castration of chaetognatha infected with larval trematodes. J. Mar. Biol. Assoc. UK 56, 503–513. ( 10.1017/S0025315400019019) [DOI] [Google Scholar]
- 56.Jarling C, Kapp H. 1985. Infestation of Atlantic chaetognaths with helminths and ciliates. Dis. Aquat. Org. 1, 23–28. ( 10.3354/dao001023) [DOI] [Google Scholar]
- 57.Kollars TMJ, Lizotte REJ, Wilhelmt WE. 1997. Gastrointestinal helminths in the river otter (Lutra canadensis) in Tennessee. J. Parasitol. 83, 158–160. ( 10.2307/3284338) [DOI] [PubMed] [Google Scholar]
- 58.Roca V, Lafuente M, Carbonell E. 1999. Helminth communities in Audouin's gulls, Larus audouinii from Chafarinas Islands (Western Mediterranean). J. Parasitol. 85, 984–986. ( 10.2307/3285845) [DOI] [PubMed] [Google Scholar]
- 59.Simkova A, Sitko J, Okulewicz J, Morand S. 2003. Occurrence of intermediate hosts and structure of digenean communities of the black-headed gull, Larus ridibundus (L.). Parasitology 126, 69–78. ( 10.1017/S0031182002002615) [DOI] [PubMed] [Google Scholar]
- 60.Violante-González J, Monks S, Gil-Guerrero S, Rojas-Herrera A, Flores-Garza R, Larumbe-Morán E. 2011. Parasite communities of the neotropical cormorant Phalacrocorax brasilianus (Gmelin) (Aves, Phalacrocoracidae) from two coastal lagoons in Guerrero state, Mexico. Parasitol. Res. 109, 1303–1309. ( 10.1007/s00436-011-2377-5) [DOI] [PubMed] [Google Scholar]
- 61.Monteiro CM, Amato JFR, Amato SB. 2011. Helminth parasitism in the neotropical cormorant, Phalacrocorax brasilianus, in southern Brazil: effect of host size, weight, sex, and maturity state. Parasitol. Res. 109, 849–855. ( 10.1007/s00436-011-2311-x) [DOI] [PubMed] [Google Scholar]
- 62.Rzad I, Sitko J, Kavetska K, Kalisinska E, Panicz R. 2013. Digenean communities in the tufted duck [Aythya fuligula (L., 1758)] and greater scaup [A. marila (L., 1761)] wintering in the north-west of Poland. J. Helminthol. 87, 230–239. ( 10.1017/S0022149X12000284) [DOI] [PubMed] [Google Scholar]
- 63.Sherrard-Smith E, Perkins SE, Chadwick EA, Cable J. 2015. Spatial and seasonal factors are key determinants in the aggregation of helminths in their definitive hosts: Pseudamphistomum truncatum in otters (Lutra lutra). Int. J. Parasitol. 45, 75–83. ( 10.1016/j.ijpara.2014.09.004) [DOI] [PubMed] [Google Scholar]
- 64.Rohde K. 2005. Parasite populations and communities as non-equilibrium systems. In Marine parasitology (ed. Rohde K.), pp. 315–320. Collingwood, Australia: CSIRO Publishing. [Google Scholar]
- 65.Suedel BC, Boraczek JA, Peddicord RK, Clifford PA, Dillon TM. 1994. Trophic transfer and biomagnification potential of contaminants in aquatic ecosystems. Rev. Environ. Contam. Toxicol. vol. 136 (ed. GW Ware), pp. 21–89. [DOI] [PubMed]
- 66.Lusher A. 2015. Microplastics in the marine environment: distribution, interactions and effects. In Marine anthropogenic litter (eds Bergmann M, Gutow L, Klages M), pp. 245–307. Cham, Switzerland: Springer. [Google Scholar]
- 67.Feller W. 1943. On a general class of ‘contagious’ distributions. Ann. Math. Stat. 14, 389–400. ( 10.1214/aoms/1177731359) [DOI] [Google Scholar]
Associated Data
This section collects any data citations, data availability statements, or supplementary materials included in this article.




































