Abstract
Virtually all organosulfur compounds react with Fe(0) carbonyls to give the title complexes. These reactions are reviewed in light of major advances over the past few decades, spurred by interest in Fe2(μ-SR)2(CO)x centers at the active sites of the [FeFe]-hydrogenase enzymes. The most useful synthetic route to Fe2(μ-SR)2(CO)6 involves the reaction of thiols with Fe2(CO)9 and Fe3(CO)12. Such reactions can proceed via mono-, di-, and triiron intermediates. The reactivity of Fe(0) carbonyls toward thiols is highly chemoselective, and the resulting dithiolato complexes are fairly rugged. Thus, many complexes tolerate further synthetic elaboration directed at the organic substituents. A second major route involves alkylation of Fe2(μ-S2)(CO)6, Fe2(μ-SH)2(CO)6, and Li2Fe2(μ-S)2(CO)6. This approach is especially useful for azadithiolates Fe2[(μ-SCH2)2NR](CO)6. Elaborate complexes arise via addition of the FeSH group to electrophilic alkenes, alkynes, and carbonyls. Although the first example of Fe2(μ-SR)2(CO)6 was prepared from ferrous reagents, ferrous compounds are infrequently used, although the Fe(II)(SR)2 + Fe(0) condensation reaction is promising. Almost invariably low-yielding, the reaction of Fe3(CO)12, S8, and a variety of unsaturated substrates results in C–H activation, affording otherwise inaccessible derivatives. Thiones and related C═S-containing reagents are highly reactive toward Fe(0), often giving complexes derived from substituted methanedithiolates and C–H activation.
Graphical abstract

1. INTRODUCTION
1.1. Scope of Review
This Review summarizes the syntheses of compounds of the type Fe2(μ-SR)2(CO)6. Such compounds have come under intense scrutiny because of their structural similarity to the active site of [FeFe]-hydrogenases, which are some of the fastest catalysts for oxidation and production of H2 (Figure 1, right).1 Crystallographic analyses of the [FeFe]-hydrogenase enzymes were reported in 1998–1999,2,3 and the biosynthesis of the diiron dithiolate active site has been partially elucidated in the past few years.4,5
Figure 1.
Structure of Fe2(μ-SR)2(CO)6 and the H-cluster.
The chemistry of synthetic high-spin Fe–S clusters has been reviewed extensively, e.g., by Holm and co-workers.6,7 In contrast, low-spin species rich derivatives exhibit acid (μ-SR)2(CO)6–xLx have not been reviewed, although they have been the subject of hundreds of publications.8 Because the literature is so scattered and in view of the intensity of work on these compounds, a review is timely. These complexes are chemically versatile for many reasons. First, these complexes are so easy to make that they are almost unavoidable in organoiron chemistry. A huge number of thiolates can be installed (see Supporting Information). The hexacarbonyl complexes readily undergo stepwise substitution by many ligands, thus multiplying the range of possible complexes well into the thousands. The resulting electron-rich derivatives exhibit acid–base and redox properties, forming hydrides and many oxidized derivatives both by chemical and electrochemical means.9
Reviews on the preparation of models for the [FeFe]-hydrogenases have been published,10–12 but the basic organometallic chemistry behind these models has never been emphasized. The chemistry of iron carbonyls with chalcogen ligands has an extensive history,13–15 as do the reactions of organosulfur compounds with iron and other metal carbonyls.16
1.2. Physical Properties of Diiron(I) Dithiolato Carbonyls
The diiron dithiolato hexacarbonyls are bright red–brown diamagnetic solids (Figure 2).17 They are stable in air and often sublimable, and some even survive steam distillation.18 Thermogravimetric analysis19 shows that, in the presence of atmospheric oxygen, Fe2(μ-SEt)2(CO)6 decomposes around 100 °C with loss of CO and formation of FeS and Fe.18 In an early report, Fe2(μ-SEt)2(CO)6 and Fe2(μ-SPh)2(CO)6 were purified by boiling for 1 h in dilute aqueous NaOH.20 Further illustrating the robustness of these compounds, Fe2(μ-SMe)2(CO)6 is prepared at 120–30 °C and 65 atm of CO (see Section 2.2.1). Most derivatives are soluble in organic solvents, although water solubility can be achieved21 through the use of hydrophilic substituents, e.g., the tetraol Fe2[μ-SCH2CH(OH)CH2OH]2(CO)622 and the sodium sulfonate Fe2[μ-S2C2H3(CH2SO3Na)](CO)6.23 Because of their convenient stability and solubility, Fe2(μ-SR)2(CO)6 complexes are usually purified by chromatography, as illustrated by separation of two isomers of Fe2(μ-SMe)2(CO)6.24 Although these compounds are probably toxic, they have been considered in the pharmaceutical context.21
Figure 2.

Sample (20 g) of crystalline Fe2(μ-pdt)(CO)6.
1.3. Chemical Properties of Diiron(I) Dithiolato Carbonyls
A vast literature describes the reactions of the diiron dithiolato hexacarbonyls. The diiron dithiolato hexacarbonyls are electrochemically silent over a wide potential range. The [Fe2(μ-SMe)2(CO)6]+/0 couple is ~0.8 V vs [Fe(C5H5)2]+/0, and the reduction [Fe2(μ-SPh)2(CO)6]0/− is −1.4 V vs the same reference.9 The oxidation potential shifts by >1 V up to replacement of CO with donor ligands,25 and the reduction can be adjusted by as much as 0.5 V through judicious selection of the dithiolates.26 The hexacarbonyls are stable to all but the strongest nonoxidizing acids.27
The most commonly studied reactions of the diiron dithiolato hexacarbonyls involve substitution of CO by Lewis bases. Substituting ligands include phosphines, isocyanides, carbenes, cyanide, phosphites, thioethers, and others.11 For highly nucleophilic ligands, disubstitution occurs often near room temperature. Installing less basic ligands requires more forcing thermal or photochemical activation, as well as the use of decarbonylation agents such as Me3NO.28 The substituted derivatives are often rather basic and oxidizable,29 whereas the hexacarbonyls are typically air-stable.
The Fe2(μ-SR)2(CO)6 center is relatively immune to reactions directed at the organic substituents on the thiolates. In this way, the Fe2(μ-SR)2(CO)6 center serves as a platform for the development of elaborate, multifunctional structures. Although Fe(0) reagents are highly reactive toward thiols, once formed, the Fe2(μ-SR)2(CO)6 complexes are essentially unreactive toward thiols and thiolates (see section 3.7). Reactions tolerated by the Fe2S2 core in these hexacarbonyls are listed in Table 1. The functional group tolerance also applies to solvents used in syntheses. As is discussed in greater detail below, the most common iron carbonyl reagents are Fe2(CO)9 and Fe3(CO)12, typically employing tetrahydrofuran (THF) and toluene as solvent, respectively. However, for highly polar organosulfur reagents, methanol or aqueous methanol has been employed.23,30
Table 1.
Reactions of Thiolate Substituents in Fe2(μ-SR)2(CO)6 Complexes
| transformation | reagent | description | 
|---|---|---|
| R2NC(O)R′ → R2NC(S)R′ | (MeOC6H4PS2)2 (Lawesson’s reagent) | thioamide formation31 | 
| RN(H)C(O)OBu-t → RNH2 | CF3CO2H | t-Boc deprotection32 | 
| R2NSiR3 → R2NH | CF3CO2H | N-desilylation33 | 
| RNH2 → RNHC(O)R′ | R′COCl | N-acylations34–36 | 
| RNH2 → RNHC(O)R′ | N-hydroxysuccinimide, RNH2 | ester amination37 | 
| ArNO2 → ArNH2 | H2/Pd/C | hydrogenation of nitro group38 | 
| ArI/Br → ArC2–Ar | ArC2H PdCl2(PPh3)2, CuI, Et3N, | Sonogashira coupling39–44 | 
| RC2H → RC2(H)N3R′ | R′N3, CuI | azide click reaction45 | 
| n RCH=CH2 → (RCH–CH2)n | azobis(isobutyronitrile) (AIBN) | polymerization of alkenes46 | 
| n RC≡CH → (RCCH)n | [Rh(norbornadiene)Cl]2 | Rh-catalyzed polymerization of alkynes47 | 
| RCHO → RCH2OH | NaBH4 | aldehydes reduction48 | 
| ArCHO → porphyrin | pyrrole, HOAc, PhCHO, chloranil (C6O2Cl4), BF3·Et2O | Rothemund condensation, aromatization35,49 | 
| ROH → ROSiMe3 | Me3SiCl | O-silylation50 | 
| ROH → RO2CR′ | R′COCl/Et3N | O-acylations34,48,51–53 | 
| ROH → ROPX2 | ClPX2 (X = Ph, Cl) | phosphinite formation53,54 | 
| ROH → RCO2R′ | R′CO2H, DCC, DMAP | esterification55–58 | 
| R2CHOH → R2CO | Dess–Martin reagent | alcohol oxidation53 | 
| quinol → quinone | DDQ | quinol oxidation59 | 
| ROH → RBr | CBr4/PPh3 | Appel halogenation51 | 
| AcOR → NaOR | NaOMe | ester cleavage60 | 
| R2O → RBr | BBr3 | ether cleavage61 | 
| RSH → RS–Au | Au | chemisorption62 | 
| R2S → R2SO, R2SO2 | dimethyldioxirane | sulfoxidation63 | 
| RSH → RS(Z)(H)C2H2Z | maleimide | S-alkylation64 | 
| RCl → RS(CO)R′ | AcSM (M = Na, K) | thioester formation35,51 | 
| RCO2H → RCO2M | Zr6O4(OH)4(C6H4(CO2)2)6 MOF | formation65,66 | 
| RCO2H → RCO2H–ZnS | ZnS | chemisorption67 | 
| porph → Zn(porph) | Zn(OAc)2 | porphyrin (porph) metalation68 | 
| Zn(porph) → py-Zn(porph) | Zn(TPP) | complexation36 | 
Although Fe2(μ-SR)2(CO)6 centers are fairly chemical resilient, they are attacked by strong electrophiles and strong nucleophiles. The sulfur centers are oxidized with peracid and dioxiranes.63,69,70 S-Alkylation by the strongly electrophilic EtOTf occurs with Fe2(μ-SR)2(CO)4(PMe3)2, but probably less readily with the parent hexacarbonyl.71 The hexacarbonyls decompose upon treatment with aqueous base, although this reaction has not been described. Some alkylthiolate derivatives undergo deprotonation with strong non-nucleophilic bases (see section 3.7). Strong reducing agents such as Co(C5Me5)2 reduce the hexacarbonyls.72
1.4. Structures of Diiron(I) Dithiolato Carbonyls
Although this Review focuses on synthetic methods, it is useful to review general structural trends. The structure proposed by Reihlen et al. in 1928 is presented in Figure 3.73 Early organometallic chemists, including Hieber, were very confused about the structures of the metal carbonyls. The crystallographic analysis of Fe2(μ-SEt)2(CO)6 in 196274 was the first of hundreds of subsequent structural studies. These studies reveal that diiron(I) dithiolato hexacarbonyls adopt very similar structures. The Fe2S2 butterfiy core has idealized C2v symmetry, with the Fe–Fe bond and two apical CO ligands defining one plane of symmetry. With the bulky thiolate SC6H2-2,4,6-(i-Pr)3, the Fe–Fe distance contracts to 2.466 Å,75 substantially shorter than that observed in the SEt species (2.537 Å)74 and SPh species (2.516 Å).76
Figure 3.
Structure of Fe2(μ-SEt)2(CO)6 proposed by Reihlen et al. in 1928.73 Notice the careful attention to depicting each carbon with four bonds.
1.4.1. Bis(monothiolate) Derivatives
Depending on the orientation of the R substituents, the compounds Fe2(μ-SR)2(CO)6 can adopt three structures: equatorial–equatorial (ee), axial–equatorial (ae), and axial–axial (aa), as depicted in Figure 4.77 The aa isomer is only observed with chelating dithiolates and as a component of Fe2(μ-SH)2(CO)6.78 Typical nonchelating organic thiolates give a mixture of the ae and ee isomers. In the case of Fe2(μ-SMe)2(CO)6, the interconversion of these isomers is so slow that the major (92%) ae isomer can be separated chromatographically from the minor (8%) ee isomer.24,79 The ee isomer is observed in the solid Fe2[μ-SC6H2-2,4,6-(i-Pr)3]2(CO)6 (Figure 5), but the solution structure was not described.75 The ae and ee isomers of compounds Fe2(μ-SMe)2(CO)6 and Fe2(μ-SBn)2(CO)6 undergo carbonyl substitution reactions by phosphine ligands at different rates.77 The isomerization of ee-Fe2(μ-SMe)2(CO)6 to ae-Fe2(μ-SMe)2(CO)6 is intramolecular.80,81 The barrier for isomerization is higher for small alkyl groups, such as Me, Et, and Bn. For t-Bu, the barrier is sufficiently low (17 kcal/mol) that the dynamic interconversion of the ae and ee isomers can be observed by NMR at 100 °C.79 For aryl groups, the ae isomer predominates, and isomerization of ae to ee isomer is 10 times faster than that for small alkyl groups.79
Figure 4.
Three isomers of diiron dithiolato carbonyls with CO ligands omitted. The ee, ae, and aa isomers are sometimes referred to as syn eq, anti, and syn ax, respectively.
Figure 5.
Structure of Fe2[μ-SC6H2-2,4,6-(i-Pr)3]2(CO)6. With its very bulky thiolates, the Fe–Fe distance is 0.06 Å shorter than that typically observed. Reproduced from ref 75. Copyright 1999 Elsevier.
1.4.2. Chelating Dithiolate Derivatives
In the methane-, 1,2-ethane-, 1,3-propane-, and 1,4-butanedithiolates82–84 Fe2[μ-S2(CH2)n](CO)6, the organic substituents are constrained to the aa conformation. An additional degree of freedom applies to the compounds Fe2[(μ-SCH2)2X](CO)6 (X = CH2, NH, O, etc.), where the dithiolate backbone is nonplanar,17,85–87 being analogous to cyclohexane. In these complexes, the conformational equilibration is fast at room temperature on the NMR time scale, but individual conformers are sometimes observed by low-temperature NMR measurements. For 2-substituted propanedithiolates, Fe2[(μ-SCH2)2CHR](CO)6, the flippamers are not of equal energy, and the R substituent tends to adopt the equatorial orientation. In such cases, “equatorial” refers to the orientation of the R substituent relative to the conformation of the ring, in analogy to the nomenclature used for substituted cyclohexanes.
The azadithiolate derivatives Fe2[(μ-SCH2)2NR](CO)6 have additional degrees of freedom (Figure 6).87 When the R substituent is small (R = H,33 Me,88 CH2CH2OH,89 etc.), the substituent tends to be axial (i.e., projects nearly parallel with the Fe–Fe bond). This geometry is predicted by the anomeric effect, i.e., favorable overlap of the two C–S σ* orbitals and the lone pair on nitrogen.88 For larger R groups (R = furanylmethyl,90 cycloalkyl,91 etc.), the substituent tends to adopt equatorial orientations. When the substituent is aryl41,92,93 or is unsaturated (e.g., alkynyl42), the amine is planar. In these cases pi-conjugation with the p-orbital of the nitrogen is reflected by short N–C distances.
Figure 6.
Conformational equilibria for the azadithiolates Fe2(μ-adtR)L6.
Interesting structural trends emerge for diiron dithiolates obtained from long-chain alkane dithiols. This theme has been systematically examined with dithiols derived from polyethylene glycols (Table 2).84 Shorter chains favor bis(diiron dithiolate)s, whereas dithiols with 14 spacer atoms give 20–30% yields of diiron dithiolates. These derivatives exist as ae isomers (Figure 7).94–96
Table 2.
Yields of Fe2(μ-SR)2 vs [Fe2(μ-SR)2]2 Complexes Derived from Long-Chain Dithiols
| dithiol | Fe2(μ-SR)2 yield (size of FeS2Xn ring)a | [Fe2(μ-SR)2]2 yield (size of (FeS2Xn)2 ring)a | 
|---|---|---|
| 1,2-C6H4(CH2SH)2 85 | 85 (7) | 0b (16) | 
| (CH2CH2SH)2 97 | 0b,c (7) | 7 (16) | 
| d,l-[CH(OH)]2CH2SH)2 98 | 0b (7) | 8 (16) | 
| 2,2′-[C6Cl2H2SH]2 99 | 34 (7) | 0b (16) | 
| CH2(CH2CH2SH)2 95 | 0b (8) | 5 (18) | 
| n and i-PrN(CH2CH2SH)2 95,96 | 0b (8) | 16–17 (18) | 
| O(CH2CH2SH)2 94 | 19 (8) | 11 (18) | 
| HSCH2(CH2OCH2)2CH2SH94 | 17 (12) | 0b (24) | 
| HSCH2(CH2OCH2)3CH2SH94 | 21 (15) | 0b (30) | 
| HSCH2(CH2OCH2)4CH2SH94 | 33 (18) | 0b (36) | 
X = CH2, NR, O.
0% yield is inferred when no product was claimed.
89% of the monomer is obtained by alkylation of Li2Fe2(μ-S)2(CO)6 with 1,4-dibromobutane.83
Figure 7.
Structure of [Fe2(μ-SC2H4OC2H4S)(CO)6]2. Notice that the organic substituents on sulfur adopt the ae stereochemistry. Reproduced from ref 94. Copyright 2006 American Chemical Society.
2. SYNTHESIS OF DIIRON(I) DITHIOLATO CARBONYLS FROM IRON(0) REAGENTS
2.1. Reactions of Iron(0) Reagents and Thiols
2.1.1. Monothiols
The reactions of iron(0) carbonyls with thiols are the most common route to diiron dithiolato carbonyls. This route is also the best understood. As summarized in the Supporting Information, a large number of compounds have been prepared from monothiols. The first example of this reaction was reported in 1929 by Reihlen et al., who obtained Fe2(μ-SEt)2(CO)6 in good yield by photolysis of a boiling solution of Fe(CO)5 in EtSH.100 These authors demonstrated the evolution of the 1 equiv of H2 and 2 equiv of CO per iron precursor (eq 1).
| (1) | 
In a series of papers beginning in the 1930s, Hieber, Reihlen’s colleague, refined these findings, beginning a multidecade program focused on the reactions of sulfur compounds with iron carbonyls, especially Fe3(CO)12 (which Hieber referred to as “Fe(CO)4”).101 Early reactions were conducted in neat thiol, although subsequently Hieber conducted related reactions, e.g., using naphthalene-1-thiol, using conventional hydrocarbon solvents.102 He often quantified the evolved gases, with some results being represented in eq 2.
| (2) | 
In the 1970s, Nametkin and colleagues began a multiyear study on organosulfur derivatives of iron carbonyls.18 They examined the reaction of octylthiol with Fe3(CO)12 in heptane solution at room temperature. Under these conditions the diiron complex is produced in 70% yield. The reaction also produces a substantial amount of dioctyl disulfide, the mechanistic significance of which is unexplained. Because disulfides also react with iron carbonyls to give the same dithiolates, their involvement in typical syntheses would not be noticed in many preparations. The RSH/Fe3(CO)12 reaction is currently the most popular route for diiron dithiolato carbonyls.20,61,99,103–116 The RSH/Fe2(CO)9 route to Fe2(μ-SR)2(CO)6 is also widely employed; these reactions proceed typically at slightly lower efficiency than the Fe3(CO)12 route.
Because iron(0) carbonyls are specifically reactive toward the SH group, a variety of functionalities can be tolerated on the thiol side chain. Thus, many diiron dithiolato carbonyls have been prepared with reactive functional groups attached to the thiol group. Illustrative of the functional group tolerance is the attachment of an O/N-protected derivative of cysteine (see Table 1). When two such multifunctional thiolates are adjacent on the diiron framework, they undergo an intramolecular condensation to afford an ethanedithiol-derived amino acid (Scheme 1).117 A further example is the efficient preparation of Fe2(μ-SC6H4NH2)2(CO)6 from 4-H2NC6H4SH118 (as well as by hydrogenation of Fe2(μ-SC6H4NO2)2(CO)638). Iron(0) carbonyls are proposed to survive boiling water in their reaction with thiol-containing peptides to give diiron hexacarbonyl dithiolates.119
Scheme 1.
Formation of Fe2(3-L-cysOMe–N–C(O)O–t-Bu)2(CO)6 and Its Intramolecular Condensation117
2.1.2. Mechanism of Conversion of Iron Carbonyls and Thiols to Fe2(μ-SR)2(CO)6
The formation of Fe2(μ-SR)2(CO)6 from thiols and Fe(CO)5 (and probably Fe2(CO)9, which is a source of Fe(CO)4) proceeds via complexes of the type Fe(CO)4(RSH) and HFe(CO)4(SR) (R = H, Me, Et, Ph). Thiol complexes of other metals have been well-characterized, for example, [Ru(NH3)5(EtSH)]2+.120 The intermediacy of Fe(CO)4(RSH) may also arise by the reaction of H2Fe(CO)4 with thiols, which affords Fe2(μ-SR)2(CO)6 quantitatively at 0°C (R = Ph, C6F5, i-Pr).121 The Fe(CO)4(RSH) complexes can be generated by protonation of the thiolato anions [Fe-(CO)4(SR)]− (R = Me, Et), which can be obtained by reaction of Fe2(CO)9 and thiolate salts (Scheme 2).122 These alkyl thiol complexes have been characterized by NMR and IR spectroscopy at low temperatures. Upon warming to near room temperature, these Fe(CO)4(RSH) complexes convert to Fe2(μ-SR)2(CO)6 with loss of CO and H2.122 Protonation of PPN[(PhS)Fe(CO)4] gives Fe2(μ-SPh)2(CO)6 even at −78 °C, showing that the acidic thiol complexes convert more rapidly. The facility of the protonation-induced reactions is consistent with the efficiency of the Fe2(CO)9/RSH route to Fe2(μ-SR)2(CO)6 (R = Et, i-Pr, s-Bu). 123
Scheme 2.
Protonation of [Fe(SR)(CO)4]− Gives Fe(HSR)(CO)4, the Probable Intermediate in the Reaction of Fe(CO)4 Sources with Thiols
Toluene- and 1,3-propanedithiol react with THF solutions of Na2[Fe(CO)4] to produce diiron dithiolato carbonyls in moderate yields.124 This counterintuitive approach probably involves protonation of [Fe(CO)4]2− by the thiol.
In contrast to the lability of the HFe(SPh)(CO)4/Fe-(CO)4(PhSH) system, the disubstituted complex HFe(SPh)-(CO)2[P(OPh)3]2 has been isolated at room temperature and characterized crystallographically.125 This phosphite complex shows, however, no tendency to convert to diiron(I) dithiolates. No such hydride intermediate is observed in the conversion of the Fe(0) phosphine complex Fe-(R2PCH2CH2SH)(CO)4, which contains a pendant thiol. No hydride intermediates were observed in the photochemical conversion to the diiron derivatives Fe2 (μ-SCH2CH2PR2)2(CO)4 (Scheme 3).126
Scheme 3.
Proposed Oxidative Addition Step in the Conversion of Fe(0) Complex with Pendant Thiol to Diiron Dithiolate126
Insight into the pathway connecting Fe(HSR)(CO)4 to the diiron(I) dithiolates is provided by studies on related HX substrates. Sources of Fe(CO)4, generated by photolysis of Fe(CO)5 or dissociation of Fe2(CO)9, react with HX (X = Br,I) to give Fe2(μ-X)2(CO)6.127 The secondary phosphine HP(CF3)2 reacts with Fe2(CO)9 to give the adduct Fe-(CO)4[HP(CF3)2], which is analogous to Fe(CO)4(RSH). This monoiron phosphine complex converts thermally and photochemically to the diiron phosphide Fe2[μ-P-(CF3)2]2(CO)6. Using 1H and 19F NMR spectroscopy, cis- and trans-H2Fe2[μ-P(CF3)2]2(CO)6 were characterized as intermediates (Scheme 4).128 Similar intermediates can be envisioned for the formation of dithiolates from RSH. Such dihydrides are poised to eliminate H2 concomitant with formation of the Fe–Fe bond, perhaps after migration of one hydride to a bridging position. Diferrous dithiolato dihydrides are rarely observed.129
Scheme 4.
Role of Diiron(II) Dihydrides in the Formation of Diiron(I) Diphosphides128
The reaction of thiols with the triiron cluster Fe3(CO)12 is an important route to Fe2(μ-SR)2(CO)6 complexes. This conversion differs mechanistically from the pathways starting with Fe(CO)4 sources, although again H2 is produced. In the case of bulky thiols, the reaction of Fe3(CO)12 gives the triiron clusters Fe3(μ-SR)(μ-H)(CO)9 as the first detectable intermediate (R = R = i-Pr, s-Bu, t-Bu, Scheme 5).123,130 The species Fe3(μ-S-t-Bu)(μ-H)(CO)9 reacts with additional t-BuSH to give the triiron dithiolate Fe3(μ-S-t-Bu)2(CO)9, which retains two Fe–Fe bonds.131 This triiron species appears to be an intermediate connecting Fe3(μ-S-t-Bu)(H)(CO)9 and Fe2(μ-S-t-Bu)2(CO)6.123 Access to Fe3(μ-SR)(μ-SR′)(CO)9 for non-bulky R groups is gained by reaction of Et3NH[Fe3(μ-SR)(CO)9] (R = t-Bu, C6H11) with sulfenyl chlorides (R′SCl, R′ = Me, Ph). The Fe3(μ-SR)(μ-SR′)(CO)9 clusters convert to the diiron derivatives upon heating (Scheme 5)131 Complementary to the Fe3(CO)12/RSH reactions are reactions of Fe3(CO)12 with thiolate anions (section 2.1.6).
Scheme 5.
Fe3(μ-SR) Intermediates Derived from the Reaction of Fe3(CO)12 with Thiols and Related Reactions123,130,131
The salt Et3NH[HFe3(CO)11], which is produced readily from Et3N, Fe(CO)5, and protic solvent,132 reacts efficiently with thiols according to the stoichiometry in eq 3.18,133,134
| (3) | 
2.1.3. Derivatives of Alkanedithiols and Alkenedi-thiols
Methane-, 1,2-ethane-, and 1,3-propanedithiols react with Fe3(CO)12 to give good yields of Fe2[μ-S2(CH2)n]-(CO)6.17,28,82 For H2edt and H2pdt, the reactions are accompanied by the formation of ~5% triiron species of the formula Fe3(μ-xdt)2(CO)7 (xdt = edt, pdt). In the case of Fe2(μ-pdt)(CO)6, yields of 33% and 92% are observed from the reactions of H2pdt with Fe(CO)5 and Fe3(CO)12, respectively.17,28,135,136 King observed that, although H2edt barely reacts with Fe(CO)5,137 it reacts with Fe3(CO)12 to give Fe2(μ-edt)(CO)6 in 65% yield.17 The reactions of substituted iron(0) carbonyls, e.g., Fe(CO)4(PPh3), with thiols have been investigated only lightly, so this approach may be fertile.126,138 In one example, H2pdt reacts efficiently with substituted derivatives of Fe2(CO)9 (eq 4).136
|  | (4) | 
Because they are nearly isosteric with the azadithiolate cofactor in the [FeFe]-hydrogenase, propanedithiolate derivatives have been the subject of careful study. Bulky analogues of H2pdt, i.e., R2C(CH2SH)2 (R = Me, Et, i-Pr, and Ph), react with Fe3(CO)12 less efficiently than H2pdt but still produce good yields of the diiron dithiolates.139–141 The diiron complex Fe2[(μ-SCHPh)2SiPh2](CO)6 was obtained by the reaction of meso-Ph2Si(CH(Ph)SH)2 with Fe3(CO)12.142 This and related sterically crowded complexes are of interest as precursors to diiron ditholates that adopt unsymmetrical, “rotated” structures (Figure 8).140,141,143
Figure 8.
Structures of rotated (left) and normal (right) isomers of Fe2[(μ-SCH2)2CEt2](CO)4(dppv). Reproduced from ref 141. Copy-right 2013 John Wiley and Sons.
2-Benzoyldithioacetic acids, as their ene-dithiol tautomers ArC(O)CH═C(SH)2, feature geminal dithiol groups and thus represent precursors to diiron dithiolato carbonyls. These dithiols react under mild conditions with Fe2(CO)9 to give the methanedithiolates.144 The same dithiols also react reasonably efficiently with Fe3(CO)12 to produce the Cs-symmetrical alkylidene-1,1-dithiolate complexes. The selectivity for the alkene- vs alkanedithiolate is sensitive to the reactant ratio.145 The differing products in these relatively similar reactions indicate, but do not explain, the involvement of iron hydride intermediates that in turn depend on the Fe(0) precursor (Scheme 6).145
Scheme 6.
Conversion of Geminal Enedithiols to Two Kinds of 1,1-Dithiolato Complexes145
Reactions of Fe3(CO)12 with the tetrathiol 1,2,4,5-(HSCH2)4C6H2 illustrate the range of reactions for benzylic thiols with Fe(0): formation of dithiolates, dehydrogenation, and desulfurization (eq 5).84 The formation of disulfide-containing products is consistent with Nametkin’s study of the organosulfur byproducts from the reaction of thiols and Fe3(CO)12.18
|  | (5) | 
2.1.4. Derivatives of Aryldi- and Arylpolythiols, Including Heterocycles
Aromatic dithiols such as 1,2-benzene-, 3,4-toluene, and 1,8-naphthalenedithiols react efficiently with Fe3(CO)12 and related Fe(0) reagents to give the expected diiron derivatives146 In the reaction of dichlorobenzenedithiol with Fe3(CO)12 to give Fe2(μ-S2C6Cl2H2)(CO)6,147 an intermediate mixed valence species Fe3(μ-S2C6Cl2H2)2(CO)7 is produced.148 The structure proposed for this intermediate (Scheme 7) is isomeric with the Fe3(μ-pdt)2(CO)7 species obtained as a minor product in the reaction of pdtH2 and Fe3(CO)12.17 Benzenehexathiol and Fe3(CO)12 react to give a 17% yield of the tris(diiron) derivative of benzenehexathiolate, (μ-C6S6)[Fe2(CO)6]3.149 This species features an inorganic C6S6Fe6 core that should display interesting substitution reactions (Figure 9).
Scheme 7.
Fe3 Intermediate in the Reaction of Fe3(CO)12 with a Substituted Benzenedithiol148
Figure 9.
Structure of C6S6[Fe2(CO)6]3. Reproduced from ref 149. Copyright 2012 John Wiley and Sons.
An interesting carboxylate-functionalized diiron complex is Fe2[μ-S2C6H2-3,6-(CO2H)2](CO)6, derived from 1,2-dimer-captobenzene-3,6-dicarboxylic acid. The resulting dicarboxylate forms an organometallic metal–organic framework (MOF) upon condensation with a Zr6 oxide cluster (Figure 10).65,66 The synthesis was achieved in water by displacement of a fraction of benzenedicarboxylate groups in the preformed MOF UiO-66.
Figure 10.
Schematic illustration of the role of the dicarboxylic acid Fe2[μ-S2C6H2-3,6-(CO2H)2](CO)6 as part of a metal–organic framework.65
Heterocyclic dithiols also form diiron dithiolate carbonyls. The diiron hexacarbonyl derivative of dicarboranedithiol 1,2-C2B10H10(SH)2 exhibits particularly low reduction potential, reflecting the electron-withdrawing character of the carborane backbone.150 Dithiolato complexes derived from quinoxaline-dithiols are of interest because the heterocyclic backbone sustains reversible protonation, thereby affecting the redox properties of the diiron center.151,152
2.1.5. Derivatives of Elaborated Alkanedithiols (Mainly Propanedithiolates)
By reactions of functional groups on the thiolate ligands, many derivatives have been prepared employing standard organic synthetic manipulations. This approach has been enabled by the resilience of many organic substituents to substitution reactions at iron, e.g., by phosphines,153–156 cyanide,27 and NHC’s.157 Propanedithiolate complexes bearing functionality at C2 are versatile precursors. One such complex is Fe2[(μ-SCH2)2CHCO2H](CO)6, derived from commercially available dihydroasparagusic acid ((HSCH2)2CHCO2H).55 The carboxylic acid group in Fe2[(μ-SCH2)2CHCO2H](CO)6 has been converted to amides, including peptides,158 and esters without affecting the diiron core, which remains susceptible to ligand substitution (Scheme 8, see Table 1).55,58,64,159–161 The dihydroasparagusic acid also can be attached to lysine side chains, allowing anchoring of the diiron center to peptides (eq 6).30
Scheme 8.
Synthesis and Derivatization of Diiron Asparagusic Acid Complex55
|  | (6) | 
A hydroxy-functionalized diiron dithiolate is readily prepared from 2-hydroxy-1,3-propanedithiol.17,98 The alcohol group in the resulting complex Fe2[(μ-SCH2)2C(H)OH](CO)6 can be modified in interesting ways, including conversion to a pendant phosphonite ligand (Scheme 9).53 Complementarily, the hydroxy-1,3-propanedithiol can be modified before the dithiol is installed on the diiron center. In this way, water-soluble diiron dithiolate complexes were produced bearing a sugar residue.60
Scheme 9.
Derivatization of Diiron Complexes of 2-Hydroxy-1,3-propanedithiolate53
Propanedithiols functionalized with ligands at the 2-position have been fruitfully pursued en route to biomimetic catalysts.11 Examples of Fe2[(μ-SCH2)2C(Me)CH2R](CO)6 have been prepared where R = SMe,109 NH2, 2-pyridyl, and SAc.110 The hydroxy derivatives Fe2[(μ-SCH2)2C(Me)CH2OH](CO)6 shows no tendency to decarbonylate, consistent with the weak coordinating tendency of the hydroxyl group.110 The reaction of Fe3(CO)12 with the pyridine-containing dithiol (HSCH2)2C(Me)CH2-2-py results in partial hydrogenation of the ring.162 This unexpected result implicates the intermediacy of iron hydrides that are capable of hydrogenation of the pyridine ring, which normally resists hydrogenation (eq 7). The pendant thioacetate group in Fe2[(μ-SCH2)2C(Me)CH2SAc]-(CO)6 reacts with 4Fe-4S cubane clusters to give an Fe6S6 ensemble. This cluster coupling reaction proceeds via elimination of AcSEt, followed by displacement of one CO ligand by the pendant 4Fe-4S cluster ligand (Scheme 10).163,164
Scheme 10.
Stepwise Assembly of a Biomimetic Diiron Dithiolate Complex Containing an Appended 4Fe-4S Cluster (X Is a Trithiolate)163
|  | (7) | 
The reaction of the trithiol (HSCH2)3C(Me)H with Fe3(CO)12 is, not surprisingly, complicated. High Fe(0)/thiol ratios give dendritic derivatives containing three diiron dithiolate subunits.165 When the Fe(0) is the limiting reagent, one obtains the mixed valence species {Fe2[(μ-SCH2)3CMe]-(CO)4}2 (Scheme 11).166,167 Implicit in these results, but unproven, is the reaction of Fe4 species with additional Fe(0) reagent to give the Fe6 product.
Scheme 11.
Tetra- and Hexairon Products from the Reaction of Fe3(CO)12 and MeC(CH2SH)3165–167
2.1.6. Routes to Fe2(μ-SR)2(CO)6 via [Fe2(μ-SR)(CO)7]−
In addition to the diiron(I) dithiolato carbonyls, diiron(0) monothiolato carbonyls are well-established. With the formula [Fe2(μ-SR)(CO)7]−, these species are classified as [Fe(0)]2 derivatives. These anions are prepared by the reaction of Fe3(CO)12 with thiolate anions, often in the form of the mixture RSH/Et3N (eq 8). 168–171 The formulas for these monothiolato diiron(0) species are sometimes more explicitly written as [Fe2(μ-SR)(μ-CO)(CO)6]−, which highlights their structural similarity to Fe2(μ-SR)2(CO)6. The salts Et3NH-[Fe2(μ-SR)(CO)7] convert to the diiron(I) dithiolates, usually in low yields, upon heating172–174 and with weak oxidants and electrophiles.175–177 These diiron(0) anions are oxidized by S8 to give what are proposed to be diiron(I) anions. Thus, treatment of [Fe2(μ-SEt)(CO)7]− with sulfur followed by methylation with MeI gave both Fe2(μ-SEt)2(CO)6 and Fe2(μ-SMe)(μ-SEt)(CO)6 (Scheme 12).178 These results point to unexplored pathways for thiolate exchange.175,177
Scheme 12.
Generation and Alkylation of “[Fe2(μ-SEt)S(CO)6]” as the Et3NH+ Salt
|  | (8) | 
The diiron(0) complexes [Fe2(μ-SR)(CO)7]− react with sulfenyl chlorides to give the mixed dithiolate in high yields (eq 9).178 The method is, however, limited by the poor availability and instability of most sulfenyl chlorides. Complementary to this route to mixed thiolato diiron complexes is the more reliable reaction of Fe2(μ-S2)(CO)6 with RLi followed by alkylation with alkyl halides (see section 3.1.1).
| (9) | 
The reaction of Fe(0) with di- and trithiols in the presence of base has been developed. Dithiols gives linked pairs of [Fe2(μ-SR)(CO)7]− centers, which react with bis(sulfenyl chloride)s to give macrocyclic bisdiiron dithiolates (Scheme 13).179,180 The trithiol MeC(CH2SH)3 gives triiron species containing both Fe2(μ-SR)2(CO)6 and [Fe(μ-SR)(CO)7]− centers.181 Such compounds could undergo degenerate intra- or intermolecular exchange between the Fe(0) and Fe(I) sites, but such experiments have not been reported. The course of the reactions of MeC(CH2SH)3/Et3N with Fe3(CO)12 contrasts with the related reaction conducted in the absence of Et3N, which afford Fe2(μ-SR)2(CO)6 derivatives exclusively (Scheme 11).165–167
Scheme 13.
Illustrative Synthesis of Macrocyclic Bis(diiron) Dithiolates (Countercation Not Shown)179,180
Related to the anionic diiron thiolates, anionic triiron clusters [Fe3(μ-SR)(CO)9]− are also claimed to arise from the reaction of Fe3(CO)12 with NaSR (R = Et, Ph, Bu, etc.) in hot THF.182 Other work implies that some of these proposed Fe3(μ-SR) cluster anions may in fact be [Fe2(μ-SR)(CO)7]−.169 In general, many of these studies implicate the series [Fe(SR)(CO)4]− → [Fe2(μ-SR)(CO)7]− → [Fe3(μ-SR)(CO)9]−. This “aufbau” sequence remains to be tested under well-defined conditions.
2.2. Reactions of Iron(0) Reagents and Organic Di- and Polysulfides
2.2.1. Ordinary Disulfides
Compounds containing RS–SR bonds oxidatively add to iron(0) carbonyls to give diiron dithiolato hexacarbonyls.183–187 The method was first demonstrated by Hieber and Scharfenberg using diphenyldisulfide and Fe3(CO)12.102 The route is typically less efficient than routes from thiols. The photoreaction of Fe(CO)5 with Ph2S2 was originally thought to give an adduct with a Ph2S2 ligand;188 a subsequent crystallographic study confirmed that the product is Fe3(μ-SPh)6(CO)6, i.e., the ferrous species (CO)3Fe(μ-SPh)3Fe(μ-SPh)3Fe(CO)3.189 The conversion of this green paramagnetic complex to or from Fe2(μ-SPh)2(CO)6 has not been reported.
The preparation of Fe2(μ-SMe)2(CO)6 using Me2S2 is instructive. Using the disulfide is more convenient than the thiol route because Me2S2 is a liquid whereas MeSH is a gas. Starting from Fe(CO)5 in neat Me2S2, the yield of Fe2(μ-SMe)2(CO)6 is 60% when the preparation is conducted under 65 atm of CO (Scheme 14). Without an atmosphere of CO, this reaction affords the red insoluble polymer [Fe(μ-SMe)2(CO)2]n.190 This and related polymeric ferrous dithiolato carbonyls191 have not been investigated further. The hexacarbonyl Fe2(μ-SMe)2(CO)6 was found not to react with Me2S2, suggesting that the ferrous product arises via an alternative pathway. The reaction of Fe3(CO)12 with Me2S2 in refluxing benzene gives Fe2(μ-SMe)2(CO)6 in 27% yield.24
Scheme 14.
Effect of CO Pressure on the Reaction of Fe(CO)5 and Me2S2 190
The disulfide route has been employed to prepare diiron complexes with relatively exotic thiolates. Oxidative addition of the disilyl disulfide to Fe(CO)5 under UV irradiation gives the silylthiolate Fe2[μ-SSi(t-Bu)3]2(CO)6.192 The volatile Fe2(μ-SCF3)2(CO)6 was obtained by addition of (SCF3)2 to Fe2(CO)9.193 The related reactions of Fe(CO)5 with XSCF3 (X= SMe, SCF3) give trace amounts of “Fe2(μ-S)(μ-SCF3)2(CO)6”, which, as mentioned elsewhere, could be a perthiolate Fe2(μ-SCF3)(μ-S2CF3)2(CO)6. Sulfido-bridged diferrous carbonyls is an unusual motif,194 although trithiolate related species of the type [Fe2(μ-SR)3(CO)6]+ are well-known.195
2.2.2. Functionalized Disulfides
The reaction of Fe(0) carbonyls with organic disulfides tolerates many functional groups. For example, treatment of Fe3(CO)12 with bis(2-acylaminophenyl)disulfides in toluene at 70 °C affords diiron dithiolates in moderate yields.183 A peptide was conjugated to Fe2(CO)6 by reaction of the cyclic disulfide sandostatin with Fe3(CO)12 (eq 10).196
|  | (10) | 
Lipoamide and related derivatives also react efficiently with Fe2(CO)9 to give the corresponding dithiolates, which are chiral (eq 11).197
|  | (11) | 
Because both disulfides and thioethers are reactive toward iron(0) carbonyls, thioether disulfides are expected to give complex product distributions. For example 7-, 8-, and 9-membered cyclic thioether disulfides oxidatively add to Fe2(CO)9. The nature of the products depends on the ring size of the precursor. Larger rings appear to favor triiron dithiolates, which are formally related to the diiron dithiolates by the addition of an Fe(CO)4 unit across the Fe–Fe bond (Scheme 15).198,199 Characteristically, these reactions are accompanied by the formation of other products of C–S bond scission such as Fe3(μ-S)2(CO)9, Fe2(μ-S2CH2)(CO)6, and Fe2(μ-edt)(CO)6. The formation of Fe2 vs Fe3 product is subtly based on the flexibility of the thioether backbone.199,200 The Fe3(CO)8 cluster is related to Fe3(μ-S-t-Bu)2(CO)9 described earlier.
Scheme 15.
Reactions of Cyclic Thioether Disulfides with Fe2(CO)9 198–200
Tetraalkyl-1,2,4-trithiolanes react with Fe2(CO)9 to give ~3:1 mixtures of the thiadithiolates160 and the 1,1-dithiolates, with formula Fe2[(μ-SCR2)2S](CO)6 and Fe2(μ-S2CR2)(CO)6, respectively199,200 The thiadithiolates arise via oxidative addition across the S–S bond. The pathway to the 1,1-dithiolates is less clear, but they do not result from the thiadithiolates. The reactivity of 1,2,4-trithiolanes is discussed further in section 2.4 in the context of thione substrates. Thiosulfinates, a rare class of organosulfur compounds with the functionality RS(O)SR′, also oxidatively add to Fe(0) carbonyls to give Fe2(μ-SR)2(CO)6 as well as the mono-oxygenated derivative.201
2.2.3. Peri-naphthalene Disulfides
Peri-naphthalene disulfides are particularly popular precursors to diiron(I) dithiolates starting from Fe(0) reagents.146,202,203 The peri-naphthalene disulfides, which feature a strained 5-membered C3S2 ring, are readily prepared in one pot by dilithiation of 1-bromonaphthalene.202 The resulting Fe2(μ-S2C10H6–xRx)-(CO)6 derivatives have simplified stereochemistry relative to the more floppy propanedithiolates. These naphthalene disulfides can be fitted with diverse functional groups, which remain untouched in the oxidative addition of the disulfide by the Fe(0) reagent. Functional groups include Schiff bases,204 porphyrins,29,205 carboxylic acid anhydrides, imides,206 and formyl groups.48 A selection of these products are shown in Figure 11. Naphthalene bis(disulfide) reacts with Fe2(CO)9 in benzene at room temperature to give the bis(diiron) complex [Fe2(CO)6]2(μ-S4C10H4) (eq 12).207
Figure 11.
Peri-naphthalenedithiolatodiiron complexes with functional substituents.202,203
|  | (12) | 
2.2.4. Perthioesters
The perthioesters (RC(O)SSR′, RC(S)SSR′) derived from thiosalicylic acids give diiron dithiolates with planar dithiolate bridges.208 The complex Fe2[μ-SC6H4C(O)S](CO)6 is one of the few μ-acylthiolate complexes confirmed by X-ray crystallography. Its reactivity toward nucleophiles would be of interest, because it would appear to be an activated ester. The corresponding reaction of the trithio ester results in a more complicated product resulting from the binding of the thione functionality to a second Fe2(CO)6 subunit (Scheme 16).208,209 This complication arises from the high reactivity of iron carbonyls toward the C═S functionality, as is discussed in section 2.4.210–213
Scheme 16.
2.2.5. From Polysulfides
Organic polysulfides have often been examined as precursors to metal thiolates.214 As applied to the synthesis of diiron dithiolates, the use of organic polysulfides always cogenerates significant amounts of Fe3(μ-S)2(CO)9.215 This cluster and the diiron dithiolates are readily separated by chromatography so that, in cases where the polysulfide is readily available, there is usually no point in converting it to the dithiol prior to reaction with the iron carbonyl. The cyclic tetrasulfide derived from tetrafluoroethylene reacts with Fe3(CO)12 carbonyls to afford the volatile Fe2(μ-S2C2F4)(CO)6, a rare example of a diiron perfluoroalkyldithiolate complex. The related reaction, but using the mixed disulfide thioether (C2F4)2S3, is far less efficient, highlighting the greater reactivity of S–S bonds.137 Similar reactions have been mentioned for Me3SiC2H3Sx,216 1,1′-ferrocenetrisulfide,217 norbornanetrisulfide,135 and trisulfide of cycloheptadiene218 (Table 3).
Table 3.
Diiron Dithiolates Obtained by Degradation of Organic Polysulfides
2.3. Reactions of Iron(0) Reagents and Thioethers
2.3.1. Unstrained Thioethers
Usually thioethers are less reactive toward diiron carbonyls than disulfides and thiols.219 In 1940, Hieber and Scharfenberg reported, without mentioning yields, that Me2S and Et2S react with Fe3(CO)12 to afford Fe2(μ-SR)2(CO)6 (R = Me, Et).102 Many years later, Nametkin conducted thorough comparison of various organosulfur precursors (Table 4). Only a modest effect on the rate and efficiency of the reaction: The key determinants of yield and rate were the organosulfur and iron(0) reagents. Thiols are the best substrates, and thioethers were the slowest. These results clearly show that the Fe3(CO)12 + RSH route is highest yielding and fastest. Slowest and lowest yielding is the reaction of thioethers with Fe(CO)5.18
Table 4.
Synthetic Results for Reactions of Thiols, Disulfides, and Thioethers with Fe(0) Carbonyls to Give Fe2(μ-SR)2(CO)6; (Reactions Were Conducted with 0.02 mol of Fe(0) Reagent in 100 mL of Decane at 80 °C)18
| organosulfur compound | Fe3(CO)12 | Fe2(CO)9 | Fe(CO)5 | ||||||
|---|---|---|---|---|---|---|---|---|---|
| equiv of S cmpd/equiv of Fe3(CO)12 | time (h) | % yielda | equiv of S cmpd/equiv of Fe2(CO)9 | time (h) | % yield | equiv of S cmpd/equiv of Fe(CO)5 | time (h) | % yield | |
| RSHb | 3:1 | 1 | 92 | 2:1 | 11 | 91 | 1:1 | 22 | 60 | 
| RSSRc | 3:2 | 5 | 74 | 1:1 | 19 | 66 | 1:2 | 34 | 56 | 
| RSRd | 3:1 | 18 | 62 | 2:1 | 24 | 52 | 1:1 | 36 | 24 | 
Yields are averages for Fe2(μ-SR)2(CO)6 isolated after chromatographic purification.
R = alkyl, benzyl, phenyl.
R = alkyl.
R = alkyl, phenyl.
The now famous Fe2(μ-pdt)(CO)6 was first prepared by degradation of a tetrathiacyclophane with a refluxing methyl-cyclohexane solution of Fe(CO)5(Scheme 17).220 The reaction conceivably proceeds via radical pathway, which would be facilitated by the benzylic substituents. Cyclic di- and polythioethers appear to more readily degraded to diiron dithiolates, perhaps suggesting that they more readily form adducts, which are poised to degrade via Fe-induced C–S bond scission.221 Rings with several heteroatoms, e.g., the groups –S–CH2–S–C and C–S–CH2–CH2–S–, appear especially susceptible to activation by Fe(0).222–224 The methane- and ethanedithiolate Fe2(μ-S2(CH2)2)(CO)6 arise (no yields being mentioned) from the reaction of Fe3(CO)12 with 1,4-dithiane and 1,3,5-trithiane (SCH2)3, respectively.225 The thiol route (CH2(SH)2 + Fe3 (CO)12) is far more efficient (Scheme 18).82,225,226 Another degradative route to Fe2(μ-pdt)(CO)6 involves the combined thermal-photochemical reaction of Fe(CO)5 and 1,3-dithiane.227 Further study is required to reconcile these results, specifically the relationship between the formation of Fe2(μ-pdt)(CO)6 and the product of oxidative addition of the C–S bond.
Scheme 17.
Degradative Routes from Thioethers and Fe(CO)5 to Fe2(μ-pdt)(CO)6 220,227
Scheme 18.
Routes to the Diiron Methanedithiolate by Fe(0)-Induced Degradation of Methylene Bisthioethers,225,226 Contrasted with the Efficient Thiol Method82
More so than saturated thioethers, usaturated sulfur compounds are activated toward cleavage by Fe(0) carbonyls. The first indication of this reactivity was the finding that vinylthioethers, including thiophenes, oxidatively add to iron carbonyls to give Fe2(μ-SR)(μ-CHCHR)(CO)6 (R = alkyl, vinyl).224,228,229 1,4-Dithiins, six-membered rings of the formula C4R4S2, are activated by Fe2(CO)9 as well as Fe3(CO)12 to give dithiolenes Fe2(μ-S2C2R2)(CO)6, but the yields are low.230
2.3.2. Mechanistic Aspects of Thioether Activation by Iron(0) Carbonyls
C–S bonds typically are strong (~73 kcal/mol) and kinetically stable. It is therefore surprising that iron thiolates are often readily obtained in good yields by the reaction of iron carbonyls with unstrained thioethers. The mechanism of this process has not been widely discussed. The simple adducts (R2S)Fe(CO)4 exhibit no unusual structural or spectroscopic features.203,204 It is conceivable that C–S bond activation requires coordination of the thioether as a bridging ligand. It is reported that organosulfur ligands bridged to several Fe centers are labile toward C–S bond scission.182 Indeed, iron carbonyl clusters with bridging thioether ligands are known.231,232 For example, the complex Fe3(μ-SC4H8)2(CO)8 is obtained in 30% yield by the reaction of tetrahydrothiophene (THT) with Fe2(CO)9 at room temperature (eq 13).153 The reaction of THT with Fe3(CO)12 at elevated temperatures gives moderate to good yields of Fe3(μ-S)2(CO)9 and Fe2(μ-S2)(CO)6, together with butane and butenes.233
|  | (13) | 
The photochemical reaction of 1,3-dithiane and Fe(0) can proceed with formal oxidative addition of a C–S bond. (Scheme 19).227,234,235
Scheme 19.
2.3.3. Strained Thioethers: Thiiranes and Thietes
Strained cyclic thioethers can be effective precursors to diiron dithiolato carbonyls, although the route is rarely used. It has long been known that iron carbonyls desulfurize thiiranes (episulfides).236–238 In fact, a good synthesis of Fe3(μ-S)2(CO)9 involves the reaction of Fe3(CO)12 and ethylene sulfide.239 Propylene sulfide reacts with Fe(CO)5 in the presence of the decarbonylating agent Me3NO to give good yields of the simplest chiral dithiolato complex (eq 14).240 Fe2(μ-edt)(CO)6 can be obtained less efficiently by reaction of thiirane-S-oxide and Fe3(CO)12 in hot THF.241 The fate of the oxo group in this obscure reaction was not determined. The deoxygenation of sulfur ligands is observed in other reactions of Fe3(CO)12.201 Reactions of thietanes, e.g., (CH2)3S, and iron carbonyls have not been reported.
Thietes, unsaturated four-membered C3S rings, are valence isomers related to the highly reactive species thioacrolein (CH2═CHCH═S). These strained heterocycles ring-open upon treatment with iron carbonyls. The resulting thioacrolein complex (η4-CH2═CHCH═S)Fe(CO)3 represents an analogue of (η4-butadiene)Fe(CO)3. It undergoes decarbonylation to give the corresponding 36e− tetracarbonyl diiron dithiolate (Scheme 20).242
Scheme 20.
C–S Bond Scission by Fe(0) To Give Thioacrolein Complexes242
|  | (14) | 
2.4. Reactions of Iron(0) Reagents and C═S-Containing Reagents
Iron carbonyls are highly reactive toward the C═S functionality221 (thioketones,243–245 dithioesters,209,246,247 and di- and trithiocarbonates248–250), giving a variety of products. Although this approach often suffers from low yields, it produces diiron dithiolates of distinctive structures.
2.4.1. Thiones
The case of diphenylcyclopropenethione is an instructive starting point for the discussion. Upon treatment with Fe2(CO)9, it forms a simple 1:1 adduct Fe(CO)4(SC3Ph2) in high yield. The efficiency of the reaction reflects the almost unique ability of this thione to serve as a unidentate Lewis base, a consequence of the aromatic character of the cyclopropenium cation.251 Otherwise thioketones typically attach to metals as η2-ligands, as in Pt(η2-SCPh2)(PPh3)2.252
The reactions of thiobenzophenones toward Fe(0) can often be rationalized by invoking the degradation of the thione to the thiosulfine Ar2C═S═S. The thiosulfine is a dipole that adds Ph2CS to give tetraphenyl-1,2,4-trithiolane.253,254 This trithiolane exists in equilibrium, rapid near 50 °C, with Ph2CS and, possibly, the thione-sulfide/dithiirane isomers of Ph2CS2 (Scheme 21).245
Scheme 21.
Equilibria Relating Thiobenzophenone, Its Thiosulfine and Dithiirane Derivatives, and the Corresponding 1,2,4-Trithiolane253,254
Thus, the formation of Fe2(μ-S2CPh2)(CO)6 from Ph2CS and Fe(0) carbonyls can be rationalized by invoking the oxidative addition of the dithiirane Ph2CS2.243,245,255,256 C–H activation occurs in these, as illustrated by one of the products in Scheme 22.243
Scheme 22.
General Pattern for Reactions of Diarylthiones and the Tetraaryl 1,2,4-Trithiolanes with Iron Carbonyls243,255
Bulky aliphatic thiones (nonbulky dialkyl thiones are unstable with respect to oligomerization257) generally react with Fe(0) reagents to give diiron 1,1-dithiolates. These reactions have been proposed to proceed via 1,1-dithiolatodiiron complexes with two bridging CO ligands.255 Diiron dithiolates with a single bridging CO have rarely been observed,142 much less two bridging CO groups. Thus, these assignments should be viewed with caution.
Potentially relevant to the pathway leading to Fe2(μ-S2CR2)(CO)6 from thioketones are studies on the reactions of a bulky thioketene with Fe2(CO)9. This reaction affords the Fe2(CO)6 adduct.258 This species reacts further with thioketene to give the 1,1-dithiolate with perfect stoichiometry (Scheme 23).213
Scheme 23.
Efficient Pathway Connecting a Thioketene and a Diiron 1,1-Dithiolate258,213
2.4.2. Derivatives of CS2
In its reactions with metal carbonyls, carbon disulfide is often a source of esoteric products, which can inspire rational syntheses.259,260 A tetrairon derivative of methanetetrathiolate arises via the reaction of Fe3(CO)12 with a mixture of CS2 and PEt3 (Scheme 24).261 No yield was published, but it is probably very low. The structure was determined by X-ray crystallography. The related reaction of CS2 with Fe3(CO)12 gives a complex derived from C2S4, again in very low yield. A number of complexes are known with ligands derived from tetrathiooxalate,262,263 but this FeC2S4 species remains unique. As established by X-ray crystallography, it is a rare complex of an ethylenetetrathiolate (C2S44−) vs a tetrathiooxalate (C2S42−), featuring the unprecedented 1,1-dithiolene bonding mode.264
Scheme 24.
Unusual Products Obtained from the Reactions of Fe3(CO)12 with CS2 264,261
2.4.3. Dithioesters and Related Di- and Trithiocarbonates
Upon treatment with PhCS2Me and related dithioester substrates, iron carbonyls give diiron adducts, not thiolates.265 As summarized in Linford and Raubenheimer’s review,221 the reactions of Fe(0) reagents with many acyclic trithiocarbonates (i.e., (RS)2CS) and xanthates (i.e., (RS)-(RO)CS) proceed similarly.221 Ethylenetrithiocarbonate (SCS2C2H4) reacts with Fe2 (CO)9 to give adducts of Fe2(CO)6 similar to those obtained from dithioesters. This initial species undergoes a complicated but efficient transformation to the diiron 1,1-dithiolate.266,267 These results are reminiscent of Behrens’s report on thioketenes serving as S-donors and alkylidene precursor (Scheme 23). This parallel supported the notion that at least some diiron 1,1-dithiolato complexes arise by S-abstraction from R2C═S functionality, not from dithiiranes.
Dithiocarbonates (OC(SR)2) react with Fe2(CO)9 to give modest yields of the dithiolate complexes including those of edt, pdt, and ethylenedithiolates. An idealized equation for this transformation is given in eq 15.
| (15) | 
These reactions proceed via oxidative addition leading to the intermediate Fe2(μ-SR)(μ-C(O)SR)(CO)6.268 The latter was proposed to feature a μ-RSC(O) group. This intermediate should probably be reformulated with the acyl bridge μ-RSC(O) related to acyl thiolates Fe2(μ-SR)(μ-C(O)R)(CO)6 derived from acylation of [Fe2(μ-SR)(CO)7]− (section 3.7).169 From unsymmetrical dithiocarbonates (OC(SR)(SR′)), one can obtain the mixed thiolate complexes, sometimes selectively.268,269 A more efficient route to mixed dithiolates starts, however, with Fe2(μ-S2)(CO)6 (section 3.2).
2.4.4. Thioamides
Thioamides generally have not proven to be useful precursors to diiron(I) dithiolato carbonyls. Mercaptopyrimidine, which can be viewed as a tautomer of a thioamide, undergoes desulfurization by Fe(0).270 Tetramethylthiourea gives an adduct Fe(CO)4(SC(NMe2)2),255 analogous to Weiss’s cyclopropenethione Fe(CO)4(S═CC2Ph2) described earlier.
Dithiooxamides (DTAs) are a family of potentially chelating organic thiocarbonyls.272 At room temperature in THF solution, they react with Fe2(CO)9 to initially give complexes of the type Fe(CO)3(κ2-DTA), wherein the DTA is proposed to function as a 4e− donor, S,S-chelated to Fe. Although not examined crystallographically, these deeply colored Fe-(CO)3(κ2-DTA) complexes were well characterized spectroscopically and, in one case, obtained in analytical purity. These monomeric intermediates react further with Fe2(CO)9 to form, depending on the substituents, three types of diiron hexacarbonyl complexes, often in high yield (Scheme 25).271
Scheme 25.
Products Generated by Reaction of Fe2(CO)9 with Dithiooxamide271
2.4.5. Miscellaneous Thiocarbonyl Derivatives
Thiocarbonyl complexes are known for Fe(0), e.g., Fe(CO)4CS, although derivatives of the type Fe2(μ-SR)2(CO)6–x(CS)x have not been reported. Reaction of Fe(CO)4CS with P(NMe2)3 results in complicated mixtures reflecting the multiple roles served by this very basic phosphine, which is an S-abstractor ligand and forms phosphoranes. One of the products, confirmed by X-ray crystallography, is Fe2[μ-S2C2(O)(P-(NMe2)3)](CO)6,273 which is related to the diiron dithiooxamide species shown above.271 N-Sulfinylphenylhydrazine (PhNHNSO) is degraded by Fe2(CO)9 to give traces of Fe2(μ-SPh)2(CO)6.274
2.5. Reactions of Iron(0) Reagents and Thioesters and Thioamides
Thioesters, compounds with the functionality RC(O)SR′, are intriguing substrates for reactions with iron carbonyls. Iron sulfide minerals are proposed to catalyze the formation of thioesters by a carbonylation pathway according to Wächter-shäuser’s Iron–Sulfur Theory for the origin of life.275,276 Reactions of iron carbonyls with thioesters, however, have been examined only lightly.
When Fe2(CO)9 is treated with chelating phosphine thioesters, one obtains diiron(II) dithiolates.277 The process appears to proceed via the chelate-assisted oxidative addition of the thioester to a single iron(0) center (Scheme 26).278 A pair of the resulting acyliron thiolates condense concomitant with their decarbonylation, a reaction that can be reversed under high pressures of CO.277 The decarbonylation is consistent with the usual instability of ferrous tricarbonyl complexes. Pyridine-containing thioesters react with Fe(0) carbonyls to give thiolate/pyridyl-bridged diiron hexacarbonyl complexes.279
Scheme 26.
Oxidative Addition of a Thioester by Fe(0)277
2.6. Reactions of Iron(0) Reagents, Elemental Sulfur, and Alkenes
One might expect that iron carbonyls, being zerovalent, would react readily with elemental sulfur to afford Fe–S–CO complexes and clusters. Such transformations, however, have not been demonstrated to be synthetically useful. This same reaction, however, affords the fundamental Fe–S–CO species Fe2(μ-S2CO)(CO)6, albeit in only 1% yield.280 This dithiocarbonate can be prepared in 45% yield by UV photolysis of a solution of Fe2(μ-S2)(CO)6 and CO.69
2.6.1. Alkene, Alkyne, and Imine Trapping Reactions
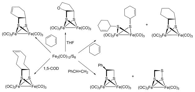
Although often proceeding in very low yields, the reaction of Fe(CO)5 (or Fe3(CO)12281) with sulfur in the presence of alkenes gives diiron dithiolate complexes, often unusual ones (Scheme 27).282 No reaction is expected between the alkene and the sulfur in the absence of the iron carbonyl. The reaction of trimethylvinylsilane with sulfur in the presence of Fe3(CO)12 gives a few percent of dithiolate diiron hexacarbonyl complex.283 The related reaction of Fe3(CO)12, S8, and 1-hexene (60 °C, 2 h) gives Fe4(μ-S)(μ-S2X)(CO)11 ((HS)2X = 1,2-hexylenedithiol) in 2% yield.284–286 Mixtures of Fe3(CO)12 and S8 even activate THF to produce traces of diiron complex derived from cis-tetrahydrofuran-2,3-dithiol.287,288 Further illustrative of this theme (and the diligence of these workers) is the reaction of Fe3(CO)12, S8, and cyclohexene, which again gives a variety of products in low yields.289 Thus, starting from 50 g of Fe3(CO)12, one obtains a variety of cyclohexyl/cyclohexenyl–thiolato complexes.290–292 Fe3(CO)12 reacts with excess styrene and S8 at 60 °C to give the perthiolate complex Fe2(μ-S3CH2)(CO)6 (Scheme 27), in addition to the usual mixture of minor products (Fe2(μ-S2)(CO)6, Fe3 (μ-S)2(CO)9, Fe2(μ-S2CO)(CO)6, and Fe2(μ-S2C2H3Ph)(CO)6).293–295 The related perthiolate Fe2(μ-S3CPh2)(CO)6 can be prepared by photoaddition of Fe2(μ-S2)(CO)6 (section 3.6). The formation of Fe2(μ-S3CH2)(CO)6 implies the scission of the C═C bond in styrene. This unusual product is obtained only in low yields, unfortunately. The complex Fe2(μ-S3CH2)(CO)6 is a rare example of a perthiolate derivative of an diiron dithiolato carbonyl; other examples of μ-perthiolato diiron complexes include [Fe2(μ-S2-t-Bu)(μ-S)(CO)6]− and possibly [Fe2(μ-S2CF3)(μ-SCF3)(CO)6].194,296 Reaction of Fe3(CO)12 with S8 and benzalaniline (PhCH═NPh) gives low yields of the 1,1-dithiolate Fe2(μ-S2CHPh)(CO)6.297 This complex is more efficiently prepared (22%) by the reaction of PhCH(SH)2 with Fe3(CO)12.82
Scheme 27.
Illustrative Diiron Dithiolates Obtained by the Reaction of Alkenes with Fe3(CO)12 and S8 (See Text for References); The Yields for These Reactions Are Typically <10%
Photochemical reactions of Fe(CO)5, FcC≡CH, and S8 at low temperatures afford dithiolene complexes Fe2(μ-S2C2HFc)-(CO)6 and the thioester Fe2(μ-S2C(O)C2HFc)(CO)6 (eq 16).298 The complex Fe2(μ-S2C2HFc)(CO)6 can also be obtained by microwave irradiation of toluene solution of Fe3(μ-S2)(CO)9 with FcC≡CH and Me3NO·2H2O.299
|  | (16) | 
2.6.2. Diene-Trapping Reactions
Diverse complexes are generated by the thermal reaction of dienes with iron carbonyls in the presence of S8, although again the yields are low. In the case of 1,3-cyclohexadiene, one obtains the expected 3-cyclohexene-1,2-dithiolato complex. Also formed in this reaction is the trinuclear complex Fe3(η4-C6H8)(μ-S)(CO)8, a substituted derivative of Fe3(μ-S)(CO)10.300,301 Analogously, Fe3(CO)12, S8, and 1,5-cyclooctadiene gave the adduct Fe2(μ-S2C8H12)(CO)6 as well as the usual collection of iron carbonyls, Fe2(μ-S2)(CO)6, Fe3 (μ-S)2(CO)9, and Fe3(μ-S)-(CO)10 (Scheme 27). In addition to various Fe–S–CO clusters, the reaction of Fe3(CO)12, S8, and norbornadiene gives four isomers of Fe2(μ-S2C7H8)(CO)6 (Figure 12).302–307 Two of these species are chiral owing to the low symmetry of their dithiolate backbones.
Figure 12.
2.7. Transmetalation of Heterometal Dithiolates by Iron(0) Carbonyls
Diiron(I) dithiolates form upon treatment of diverse metal thiolates with iron carbonyls.308,309 The complex Ni(pdt)-(dppe) reacts with iron(0) carbonyls to give Fe2(μ-pdt)(CO)6. The conversion proceeds via the intermediacy of a NiFe intermediate according to eqs 17 and 18.308
| (17) | 
| (18) | 
The reaction of the bis(dithiolene) complexes M(S2C2R2)2 (M = Fe, Co, Ni) with Fe(CO)5 affords Fe2(μ-S2C2R2)(CO)6 (R = H, Me, Ph, 4-MeOC6H4) in unstated yield.310,311 The pathway of related reactions has been investigated,312 and the coordination of a Fe(CO)n unit to the MS2C2R2 ring can be reasonably assumed to be an early step.
A related thiolate transfer process is implicated in the reaction of CpFe(CO)2SPh with Fe2(CO)9 to give Fe2(μ-SPh)2(CO)6. The transmetalation reaction occurs with transfer of the Cp ligand in the case of the reaction CpFe(CO)2SPh + M(CO)5(THF) (M = Mo, W).313 The heterometallic intermediate was crystallized for the W–Fe case. The presumed transformations are summarized in eqs 19 and 20.215
| (19) | 
| (20) | 
A related transmetalation reaction involves the titanocenedithiolates (MeC5H4)2Ti(SCH2)2NR, which react with Fe(bda)-(CO)3 to give the corresponding diiron thiolates (eq 21).314 Treatment of [Mn2(μ-S-imidazole)2(CO)6], wherein S-imidazole is a N,S-chelating mercaptoimidazole ligand, with Fe3(CO)12 is proposed to result in transmetalation to give the bis(perthiolate) species [Fe2(μ-S2-imidazole)2(CO)3]2,315 which would contain a pair of 19e Fe centers. Reformulation of this species as [Mn2(μ-S2-imidazole)2(CO)3]2 would also be consistent with the published elemental analysis and X-ray crystallography.
|  | (21) | 
2.8. Reactions of Iron(0) Reagents with Miscellaneous N–S Compounds
The preparation of diiron dithiolato carbonyls from organic thiocyanates (RSCN) could be of value because they are often more readily prepared from alkyl halides than thiols. Nonetheless, the route is rarely employed and early work was plagued by low yields. The reaction of MeSCN and Fe3(CO)12 gives only ca. 20% Fe2(μ-SMe)2(CO)6 as well as (μ4-S)[Fe2(μ-SMe)-(CO)6]2.316 In a more promising finding, the dithiocyanate in Scheme 28, however, afforded 47% of the diiron dithiolato derivative, comparable to the yield obtained when starting from the polysulfide.317
Scheme 28.
Routes to Oxetane Dithiolato Complexes, Illustrating the Reactivity of Polysulfides and Thiocyanates toward Fe(0)317
Photolysis of Fe3(CO)12 and N(SCF3)3 gives good yields of Fe2(μ-SCF3)2(CO)6. This reaction is proposed to proceed via SCF3 radicals.318 Trace amounts of Fe2(μ-SPh)2(CO)6 arise from the reaction of PhNHNSO and Fe3(CO)12.274
Although the yield is very low (ca. 6%), the Cs-symmetric complex Fe2(μ-SC6H4-2-CH2S)(CO)6 can be obtained by reaction of Fe2(C6H4-2-CH2NPh)(CO)6 with S8.319 The process gives only low yields and is of little interest except to suggest that the product is potentially versatile. The chelating dithiol HSCH2C6H4-2-SH is well-known320,321 and would be expected to react with Fe3(CO)12 to efficiently afford the same product. Related arylbenzyl thiolate derivatives are obtained in modest yields by treating Fe3(CO)12 with excess thiobenzophenone (see Scheme 21).243
3. SYNTHESIS OF DIIRON(I) DITHIOLATO CARBONYLS FROM IRON(I) PRECURSORS
3.1. Alkylation of Li2Fe2(μ-S)2(CO)6
3.1.1. Reaction of Li2Fe2(μ-S)2(CO)6 with Organic Halides
The discovery and use of alkali metal salts of “[Fe2(μ-S)2(CO)6]2−” marked a major innovation in the chemistry of Fe2(μ-SR)2(CO)6.322 Of particular interest is Li2Fe2(μ-S)2(CO)6, which is produced by reduction of Fe2(μ-S2)(CO)6 by 2 equiv of LiHBEt3 (“Super Hydride”). The reduction is typically conducted at −78 °C. One equivalent of the hydride agent cleaves the S–S bond, and the second equivalent causes release of H2 (Scheme 29).83 On rare occasions, an Et group transfers from the boron reagent to give Fe2(μ-SEt)(μ-SR)(CO)6 derivatives.323 LiHBEt3 reacts similarly with substituted derivatives of the diiron complex such as Fe2(μ-S2)(CO)5(PPh3).324 Although Li2Fe2(μ-S)2(CO)6 has not been crystallographically characterized, the structure of Li2Fe2(μ-Se)2(CO)6 has been assessed by both Fe and Se extended X-ray absorption fine structure (EXAFS), which confirms that the Fe–Fe bond is retained but the Se–Se bond is cleaved.325 A multistep synthesis of Li2 57Fe2(μ-S)2(CO)6 from 57Fe metal has also been reported.326
Scheme 29.
Preparation of Li2Fe2(μ-S)2(CO)6 and Fe2(μ-SH)2(CO)6 from Fe2(μ-S2)(CO)6 Using LiBHEt3 322
The alkylation of Li2Fe2(μ-S)2(CO)6 is efficient for primary alkyl halides (RCl, RBr) and tosylates.46,323,327–330 Except for some vinyl and aromatic iodides, aryl halides are usually not effective electrophiles.331,332 The use of Li2Fe2(μ-S)2(CO)6 for the preparation of diiron dithiolates is mainly reserved for cases where the corresponding organosulfur compounds are not readily available.333 Otherwise the methods described in sections 2.1 and 2.2 are easier. This situation is illustrated by the case of Fe2[(μ-SCH2)2CHOH](CO)6, which can be prepared by alkylation of Li2Fe2(μ-S)2(CO)6 with (BrCH2)2CHOH (42% yield from Fe2(μ-S2)(CO)6)17 or, more expediently, by the reaction of Fe3(CO)12 with the dithiol (Scheme 30).53
Scheme 30.
The preparation of the 1,4-butanedithiolate Fe2(μ-S2C4H8)-(CO)6 highlights an advantage to the use of Li2Fe2(μ-S)2(CO)6. This molecule is obtained in excellent yield by dialkylation of Li2Fe2(μ-S)2(CO)6 with 1,4-dibromobutane.83 In contrast, the reaction of Fe3(CO)12 with 1,4-butanedithiol affords only traces of the bis(diiron(I)) species (Scheme 31).97 Treatment of Li2Fe2(μ-S)2(CO)6 with 1,4-dichloro-2-butyne affords the allenyldithiolate diiron complex Fe2(μ-S2CH2C═C═CH2)(CO)6 (eq 22).334
Scheme 31.
Preparation of Di- and Tetrairon Butanedithiolates
|  | (22) | 
Preparation of Diiron Azadithiolates
The alkylation of Li2Fe2(μ-S)2(CO)6 is especially valuable for the preparation of azadithiolate complexes of the type Fe2[(μ-SCH2)2NR](CO)6. The required dihalides are obtained by chloromethylation of primary amines with a mixture of CH2O and SOCl2.335 These dichlorides alkylate Li2Fe2(μ-S)2(CO)6 to give complexes Fe2[(μ-SCH2)2NR](CO)6 in yields of 30–58% (Scheme 32).23 Many derivatives of (ClCH2)2NR have been prepared as precursors to azadithiolate complexes, as summarized in the Supporting Information. The substituent on the amine is amenable to further elaboration; thus, the range of azadithiolates is fairly extensive (see Table A11). For example, the N-functionalized adt complexes have been exploited for the covalent attachment of diverse groups to the diiron center. This approach is illustrated by the reaction of the iodophenyl Fe2[(μ-SCH2)2NC6H4-4-I](CO)6 with 4′-ethynyl-2,2′:6′,2″-terpyridine under the cross-coupling conditions, followed by treatment with Ru(terpy)(DMSO)Cl2 (DMSO = dimethyl sulfoxide) (Scheme 33).39–41 Similarly, the benzaldehyde derivative Fe2[(μ-SCH2)2NC6H4CHO](CO)6 converts to diiron dithiolate-containing porphyrins.49,336 Exploiting the reactivity of the NH group, the parent adt complex Fe2[(μ-SCH2)2NH](CO)6 has been converted to a wide range of N-acylated diiron azadithiolate complexes.31,34–36
Scheme 32.
Route to Diiron Azadithiolates from Bis(chloromethyl)amines
Scheme 33.
Photosensitizing Substituents That Have Been Installed on Diiron Azadithiolates
In addition to the azadithiolates, other heteroatom-substituted analogues of pdt2− have been prepared from Li2Fe2(μ-S)2(CO)6. These other derivatives include Fe2[(μ-SCH2)2X](CO)6 for X = P(O)Ph, O, and S, derived from the alkylating agents PhP(O)(CH2Cl)2,337 O(CH2Cl)2,275 and S(CH2Br)2,338 respectively. A similar synthetic route gave a series of diiron complexes containing bulky Si-heteroaromatic systems. In this way, the geometry of the Fe2(μ-SR)2(CO)6 species are being engineered.142,339,340
Thioester-bridged diiron hexacarbonyls are readily prepared by acylation of Li2Fe2(μ-S)2(CO)6 and Fe2(μ-SR)(μ-SCOR′)-(CO)6.341 Related reactions with the imidoyl chloride PhC-(Cl)═NPh give Fe2(μ-SC(Ph)═NPh)2(CO)6 and Fe2(μ-SC(Ph)═NPh)(μ-SR)(CO)6.342 Diacid chlorides (o-phthaloyl, succinoyl, glutaryl) react with Li2Fe2(μ-S)2(CO)6 to give the dithioesters (Scheme 34).341 Treatment of LiFe2(μ-SR)(μ-S)(CO)6 with diacid halides gives thermally labile derivatives in which two Fe2 units are linked. The resulting [Fe2(μ-SR)(μ-SCOR′)(CO)6]2 compounds efficiently degrade near room temperature to give (μ4-S)[Fe2(μ-SR)(CO)6]2 343 and presumably the diacylsulfide.
Scheme 34.
Routes to Unsymmetrical Diiron Dithiolates from Fe2(μ-S2)(CO)6
3.1.2. Reaction of Li2Fe2(μ-S)2(CO)6 with Organometallic Electrophiles
The nucleophilic sulfido centers in Li2Fe2(μ-S)2(CO)6 can also be alkylated with cationic ethylene complexes such as [(C2H4)MLn]+ (MLn = CpW(CO)3, CpFe(CO)2, Re(CO)5; eq 23).344 The scope of this reaction extends to cationic cycloheptatrienyl and cyclohexadienyl complexes as well as the alkylidyne complexes [Cp(CO)2M≡CPh]+ (eq 24).175,345,346
|  | (23) | 
|  | (24) | 
3.2. Alkylation of Fe2(μ-S2)(CO)6
Complementary to the alkylation of Li2Fe2(μ-S)2(CO)6 is the sequential reaction of carbanionic reagents with Fe2(μ-S2)-(CO)6 followed by alkylation by organic electrophiles (Scheme 34).322,347–353 This conversion proceeds via thiolato sulfido intermediates of the type Fe2(μ-SR)(μ-SM)(CO)6 (M = Li, MgX). Such species are usually alkylated in situ to give unsymmetrical derivatives. Alkyl iodides are far more reactive than the bromides and chlorides.348 The intermediates Fe2(μ-SR)(μ-SM)(CO)6 also add well to electrophilic alkenes and epoxides to afford, after protonation, the mixed thiolates Fe2(μ-SR)(μ-SR′)(CO)6.354–371 Organometallic electrophiles such as [Cp(CO)2M≡CPh]+ (M = Mn, Re) can also be employed as alkylating agents.175,345,346,372 The intermediate Fe2(μ-SR)(μ-SM)(CO)6 can be protonated and oxidatively coupled, affording Fe2(μ-SR)(μ-SH)(CO)6 and [Fe2(μ-SR)(CO)6]2(μ-S2), respectively. The oxidatively coupled species, which contains an S–S bond, is again susceptible to attack by carbanionic reagents to afford mixed thiolates.169
Lithium acetylides and the related bromomagnesium compounds add to Fe2(μ-S2)(CO)6, cleaving the S–S bonds. This intermediate species can be quenched with a range of electrophiles to afford good yields of diverse diiron dithiolate complexes.363,364 Concerning the mechanism of the reaction, only one species, thought to be Fe2(μ-SC2R)(μ-SLi)(CO)6, is observed in solution. This alkynyl thiolate complex is proposed to exist in equilibrium with two ring-closed derivatives featuring carbanions (Scheme 35). Evidence for this equilibrium is provided by the products obtained upon quenching the reaction with electrophiles. Three types of products are obtained: 1,1-alkenedithiolates, 1,2-alkenedithiolates,373,374 and alkynylthiolate/alkylthiolates.375 For the dithiolates, the ratio of 1,1- and 1,2-dithiolenes correlates with the ability of the substituent on the alkyne to stabilize the carbanion. These closed products may arise via SH-containing intermediates. Illustrative is the reaction of HC≡CMgBr and Fe2(μ-S2)(CO)6 followed by protonation of CF3CO2H, which represents the best route to the 1,2-ethylenedithiolate Fe2(μ-S2C2H2)-(CO)6.373,374 The reaction of Fe2(μ-S2)(CO)6 and thiophenyl alkyne (C4H3S-2-C2H) is induced even with sodium acetate in methanol to give the 1,2-dithiolene.376
Scheme 35.
Reactions of Acetylides with Fe2(μ-S2)(CO)6 and Related Reactions374
3.3. Addition of Alkenes and Alkynes to Fe2(μ-SH)2(CO)6
The species Fe2(μ-SH)2(CO)6 is a versatile precursor to diiron(I) dithiolates. It is generated by protonation of Li2Fe2(μ-S)2(CO)6,83,338 and its structure has been verified crystallographically.78 It behaves as a dithiol: in the presence of a basic catalyst, such as piperidine, the dithiol adds 2 equiv of Michael acceptors, e.g., methylvinyl ketone and cyclohexenones, to give the dithiolato complexes.377–379 When the alkene is substituted appropriately, the 1:1 adduct cyclizes (Scheme 36). Electrophilic alkynes give alkane-1,1-dithiolates.
Scheme 36.
Reactions of Fe2(μ-SH)2(CO)6 with Unsaturated Organic Electrophiles: Dicarbonyls, Alkenes, and Alkynes (Z = CO2Me, CN)31,50
1,4-Benzoquinone and related compounds react with Fe2(μ-SH)2(CO)6 to give the quinol-2,3-dithiolates (Scheme 37). The conversion is proposed to proceed via a Michael-like addition followed by dehydrogenation of an initial dihydro-intermediate by unreacted benzoquinone. Derivatives of 1,4-naphthoquinone and 1,4-anthroquinone can be obtained by the same synthetic route.59,380 These diiron quinonedithiolates can be prepared from the UV-induced reaction of Fe2(μ-S2)(CO)6 with alkenes that is described in section 3.6.
Scheme 37.
Synthesis and Reactions of Diiron Quinoldithiolates; Similar Reactions Occur with Naphtho- And Anthroquinones
3.4. Reactions of Fe2(μ-SH)2(CO)6 with Aldehydes and Ketones
Fe2(μ-SH)2(CO)6 reacts with 2 equiv of formaldehyde to give the hydroxymethylthiolate Fe2(μ-SCH2OH)2(CO)6, which has been crystallographically characterized as the ae isomer.31 The adducts Fe2[μ-S2C2(OH)2R2](CO)6, which features a chelating dithiolate, is obtained by the addition of glyoxal ((CHO)2) benzil derivatives to Fe2(μ-SH)2(CO)6.31 These chelating species were exclusively obtained as the chiral, C2-symmetric isomers.
This parent azadithiolate Fe2[(μ-SCH2)2NH](CO)6 has received particular attention because of its relevance to the active site of all [FeFe]-hydrogenases.1,326,381,382 Furthermore, mechanistic studies show that this azadithiolate with a secondary amine behaves differently from the related adt complexes with tertiary amines.383,384
The complex Fe2[(μ-SCH2)2NH](CO)6 can be prepared in ~28% yield by reaction of Fe2(μ-SH)2(CO)6 with a mixture of paraformaldehyde and (NH4)2CO3 (Scheme 38).92 The Fe2(μ-SH)2(CO)6/CH2O/RNH2 condensation is an organometallic version of organic “thioalkylations” involving the condensation of RSH, CH2O, and R′2NH,385 which affords RSCH2NR′2. The sequence of steps from Fe2(μ-SH)2(CO)6/CH2O/RNH2 to Fe2[(μ-SCH2)2NH](CO)6 is unclear: the reactions Fe2(μ-SCH2OH)2(CO)6 + RNH2 and Fe2(μ-SH)2(CO)6 + RN-(CH2OH)2 are both realistic. Consistent with the latter pathway, R3SiN(CH2OH)2 condenses with Fe2(μ-SH)2(CO)6 to give Fe2[(μ-SCH2)2NSiR3](CO)6 (R3 = Et3, Me2(t-Bu), (i-Pr)3), which are not isolated but converted directly into Fe2[(μ-SCH2)2NH](CO)6 (Scheme 38).33 Complementary to the alkylation of Li2Fe2(μ-S)2(CO)6 by RN(CH2Cl)2, the reaction of Fe2(μ-SH)2(CO)6 with formaldehyde in the presence of amines gives azadithiolato complexes.31,90,91,93,386–388
Scheme 38.
The condensation of Fe2(μ-SH)2(CO)6 with acetaldehyde and (NH4)2CO3 gives Fe2[(μ-SCHMe)2NH](CO)6 (Scheme 39).389 The meso (R,S) isomer (Cs symmetry group) predominates and was characterized crystallographically. The methyl groups are equatorial with respect to the bicyclic Fe2(μ-S2C2N) core. The S,S-isomer is also observed in the 1H NMR spectrum.
Scheme 39.
Stereoisomers of Fe2[(μ-SCHMe)2NH](CO)6 389
3.5. Reactions of Fe2(μ-SH)2(CO)6 with Cyclic Imines
Fe2(μ-SH)2(CO)6 is also reactive toward imine equivalents. The cyclic imine trimers (RNCH2)3 (R = Me, Ph) react to give the N-substituted azadithiolates in moderate yields (Scheme 40). Hexamethylenetetramine, which can be viewed as a derivative of CH2═NH, reacts similarly with Fe2(μ-SH)2(CO)6 to give Fe2[(μ-SCH2)2NH](CO)6 with yields comparable to the (NH4)2CO3/CH2O method.92
Scheme 40.
Condensation of Fe–S–CO Compounds with Formaldehyde, Imines, and Their Derivatives92
Aminoalkylation of Fe–S–CO compounds is important because most azadithiols (RN(CH2SH)2) are unstable, thus precluding RN(CH2SH)2 + Fe(0) routes.390 The instability of the normal azadithiols is related to the basicity of the amine. Azadithiols with nonbasic amines are stable. For example, the tosylamide TsN(CH2SH)2 is a crystalline solid that reacts with Fe3(CO)12 to give Fe2[(μ-SCH2)2NTs](CO)6 in 35% yield (Ts = MeC6H4SO2).390
The aminoalkylations can also be effected using diverse Fe–S–CO clusters, using not only Fe2(μ-SH)2(CO)6 but also the unreduced Fe2(μ-S2)(CO)6 and the rugged Fe3(μ-S)2(CO)9. One CO ligand in Fe3 is known to undergo substitution by Me2NH. Thus, converstion of Fe3(μ-S)2(CO)9 to Fe2(μ-adt)(CO)6 conceivably proceeds by binding of the imine trimer to Fe.239
3.6. Photoaddition of Unsaturated Compounds to Fe2(μ-S2)(CO)6
UV irradiation of Fe2(μ-S2)(CO)6 in the presence of alkenes generates the corresponding diiron 1,2-dithiolates. Implicated as an intermediate in these conversions is the diferrous species Fe2(μ-S)2(CO)6, which has been detected by low-temperature IR spectroscopy.391 In the absence of substrate, photolysis converts Fe2(μ-S2)(CO)6 to the cuboidal cluster Fe4(μ-S)4(CO)12.392
For the di- and triolefins, only one double bond participates. Thus, 1,3-butadiene and other dienes undergo 1,2-addition (Scheme 41).69,393,394 Generally, the yields of these photoadditions are low (9–15%), but these experiments were conducted with only 2× excess of the alkene. Indeed, the photoreaction of Fe2S2 with a C2H4-purged solution gave 65% of Fe2(μ-edt)(CO)6. The 1,2-dithiolato complex derived from cycloheptatriene is chiral.394 With the formula Fe2(μ-S2C7H8)-(CO)6, it is also isomeric with the cycloheptadiene-1,3-dithiolato complex obtained from trisulfidocycloheptadiene (Table 3).225 The photoaddition route provides access to the fullerene-derived dithiolates Fe2(μ-S2C60)(CO)6 and Fe2(μ-S2C70)(CO)6 (Figure 13).395 Substituted diiron reagents, e.g., Fe2(μ-S2)(CO)5(PPh3), also participate in this reaction. These fullerenedithiolates are thermally unstable, reverting to Fe2(μ-S2)(CO)6 and fullerene upon heating in toluene.
Scheme 41.
Figure 13.
Structure of Fe2(μ-S2C60)(CO)6. Reproduced from ref 395. Copyright 2009 American Chemical Society.
As seen for other metal di- and polysulfido complexes,396 electrophilic alkynes react with Fe2(μ-S2)(CO)6.397 When conducted under photochemical conditions, these reactions give to the dithiolene complexes Fe2(μ-S2C2R2)(CO)6 (R = CF3, CO2Me).398 The parent dithiolene complex Fe2(μ-S2C2H2)(CO)6 is more efficiently generated by the reaction of HC≡CMgBr with Fe2(μ-S2)(CO)6 followed by protonation with CF3CO2H (section 3.2).373
The simple photoaddition of nonfunctional alkenes and fullerenes contrasts with the photoaddition of Fe2(μ-S2)(CO)6 to 1,4-benzoquinone. This reaction gives the hydroquinone complex Fe2(μ-S2C6H2-3,5-(OH)2)(CO)6, which proceeds with scission of C–H bonds (see Scheme 37).399
Other unsaturated species add to Fe2(μ-S2)(CO)6 under photochemical conditions. In this way the dithiocarbonate Fe2(μ-S2CO)(CO)6 was prepared in 47% yield via insertion of CO.69 The CO is readiy lost thermally from this species. UV irradiation of Fe2(μ-S2CO)(CO)6 and thiobenzophenone gives the perthiolate complex Fe2(μ-S3CPh2)(CO)6 in good yield.400
One might expect that diazomethane would convert Fe2(μ-S2)(CO)6 to the methanedithiolate, but this reaction, effected thermally, gives only low yields.401 Under UV irradiation, diazoethane adds to Fe2(μ-S2)(CO)6 to afford the thioacetaldehyde derivative Fe2(μ-SCHMe)2(CO)6.402
3.7. Conversions of Other Diiron(I) Compounds
In principle complexes of the type Fe2(μ-SR)2(CO)6 could be prepared by thiol exchange with other precursors, i.e., Fe2(μ-SR)2(CO)6 + R′SH → Fe2(μ-SR)(SR′)(CO)6 + RSH. Such reactions, however, are so slow that they are disregarded. Fe2(μ-SPh)2(CO)6 exchanges with dodecylthiol over the course of 6 h at 65 °C.403 Using 35S-labeled thiol, exchange between Fe2(μ-SC8H17)2(CO)6 and PhSH was shown to involve scission of Fe–S, not C–S, bonds, as expected on the basis of likely strengths of Fe–SR vs S–C bonds.403 Similarly slow (incomplete at 90 °C even after several hours), the reaction of dodecylthiol with Fe3(μ-S)2(CO)9 gives Fe2(μ-SC12H25)2(CO)6, Fe2 (μ-S2)(CO)6, and the disulfide (SC12H25)2 as well as H2S.404 In general, bridging thiolate ligands in low spin, coordinatively saturated complexes resists exchange.
Although Fe2(μ-SMe)2(CO)6 is unreactive toward thiols, it exchanges stepwise with Et2S2. Similarly, heating a mixture of Fe2(μ-SPh)2(CO)6 and (C6F5)2S2 gives Fe2(μ-SPh)(μ-SC6F5)-(CO)6 (eq 25).405 Conceivably this reaction proceeds via oxidative addition of R2S2 followed by reductive elimination of RSSR′. The slowness of these exchange reactions is relevant to the isolability of the individual components of a mixture of Fe2(μ-SPh)2(CO)6, Fe2 (μ-SPh)(μ-SC6F5)(CO)6, and Fe2(μ-SC6F5)2(CO)6 from the reaction of Fe3(CO)12 with a 1:1 mixture of Ph2S2 and (C6F5)2S2.405 Thiolate exchange between Fe2(μ-SMe)2(CO)6 and Fe2(μ-SEt)2(CO)6 to give Fe2(μ-SMe)(μ-SEt)(CO)6 is also very slow.406
| (25) | 
The diiron(I) precursors Fe2(μ-halide)2(CO)6 are known (X = Br, I),127 but their reactions with thiolates have apparently been overlooked. Diacyl diiron(I) hexacarbonyls, prepared by oxidation of the monometallic derivatives [Fe(C(O)R)-(CO)4]−, react with thiols at room temperature to give the dithiolato hexacarbonyls with elimination of the aldehyde (established in the case of PhCHO).407 These transformations implicate the intermediacy of the mixed acylthiolate Fe2(μ-acyl)(μ-SR)(CO)6. Diiron acylthiolates have been obtained in low yields by other methods, including the oxidative addition of ethylthioacetate to Fe(0) and acylation of [Fe2(μ-SEt)(CO)7]− (Scheme 42, hypothesized transformations shown with broken arrow).169
Scheme 42.
Synthesis and Reactions of μ-Acyl Diiron Thiolate Complexes169,407
The alkyl substituents in the diiron(I) dithiolates are susceptible to deprotonation by strong bases.82 Deprotonation of Fe2(edt)(CO)6 gives complexes of vinylthiolate, the conjugate base of thioacetaldehyde (Scheme 43). The resulting diiron vinylthiolate is amenable to alkylation of the sulfido ligand.82 The same vinyl thiolates can be generated by the addition of vinyl Grignard reagents to Fe2(μ-S2)(CO)6.347 The diiron methanedithiolate, 1,3-propanedithiolate, and xylenedithiolate complexes also undergo deprotonation, concomitant with rearrangement to anionic complexes.82 For example, deprotonation of Fe2(μ-S2CH2)(CO)6 gives the anionic dithioformate derivative, which undergoes S-alkylation.82,408
Scheme 43.
4. SYNTHESIS OF DIIRON(I) DITHIOLATO CARBONYLS FROM IRON(II) PRECURSORS
4.1. Abiological Pathways
Diiron dithiolato carbonyls were originally prepared by reaction of ferrous sulfate, thiols, and strong aqueous base under an atmosphere of CO. The yield was low: from 10 g of ferrous sulfate, ~0.8 g of product was obtained.73 The synthetic method was inspired by the earlier finding that “Fe(SEt)2” reacts with NO to give Fe2(μ-SEt)2(NO)4, the ethyl “ester” of Roussin’s Red Salt (Na2Fe2(μ-S)2(NO)4). The pathway for the conversion of Fe(II) to Fe(I) derivatives remains unclear. One possible mechanism, related to the Hieber base reaction,409 involves hydroxide attack at a ferrous carbonyl, resulting in ferrous hydrides that are susceptible to deprotonation to give reduced iron species. Another possibility is the CO-induced reductive elimination of Et2S2, as observed in the reaction of FeI2(CO)4 with thiolates.410 Heating mixtures of iron sulfides (“FeS”) under an atmosphere of CO in the presence of alkyl thiol (RSH) inevitably affords some Fe2(μ-SR)2(CO)6. Such compounds also arise by treatment of Fe3(μ-S)2(CO)9 with thiols.411
|  | (26) | 
Ferrous salts react with 3 equiv of benzenethiolate under CO to give anionic ferrous thiolato carbonyls. One product is [Fe(SPh)3(CO)3]−,412 which forms a complex with a ferrous ion to give Fe3(μ-SPh)6(CO)6 (eq 26).189,413 Similar reactions involve ferrous salts with propanedithiolate in the presence of CO. In these cases, two triion complexes were isolated, Fe3(μ-pdt)3(CO)4(PEt3)2 and the mixed-valent [Fe3(μ-pdt)4(CO)4]−.414
Charge-neutral 18e− ferrous tetracarbonyldithiolates of the type Fe(SR)2(CO)4 are unknown. Reactions of FeI2(CO)4 with thiolates result in complex mixtures. The case of isopropylthiolate gives Fe2(μ-S-i-Pr)3I(CO)5.415 A subsequent study showed that the FeI2(CO)4 reacts with 1 equiv of RSH (R = Me, Et) in the presence of Et3N to give moderate yields of Fe2(μ-SR)3I(CO)5. The FeI2(CO)4/RSH/Et3N reactions are accompanied by formation of Fe2(μ-SR)2(CO)6, especially for chelating dithiols.410 Diferrous dithiolato carbonyls can be produced from FeI(C3F7)(CO)4 (eq 27).137
|  | (27) | 
Although ferrous tetracarbonyldithiolates remain elusive, substituted ones are well-known. Already in the 1920s and 1930s, it was observed that 1:2 ferrous cysteinate complexes absorb 2 equiv of CO to give air-stable complexes.416–418 Since that time, many Fe(SR)2(CO)2L2 complexes have been prepared by treating ferrous salts with CO and thiolates in the presence of donor ligands.419–424 Examples include Fe(SPh)2(CO)2(chel) where chel = dppe, ethylenediamine, and phenanthroline. This family of ferrous building blocks has been expanded to include dithiolates such as Fe(pdt)-(CO)2(dppv) and many others. These ferrous dithiolates “condense” with iron(0) reagents to give substituted diiron complexes. For example, treatment of Fe(pdt)(CO)2(diphos) (diphos = dppe, dcpe, etc.) with Fe(bda)(CO)3 at room temperature affords Fe2(μ-pdt)(CO)4(diphos) in 60–83% yields (eq 28).425
| (28) | 
The Fe(0) + Fe(II) (SR)2 route was demonstrated by Sellmann et al. The charge-neutral ferrous complex [Fe-(‘S4C3Me2’)(CO)]2 reacts with the iron(0) source Fe(bda)-(CO)3 to give, ostensibly, a diiron(I) dithiolate (eq 29).309
|  | (29) | 
Comproportionation reactions are also relevant to the formation of diiron(I) dithiolenes from the cyclic disulfide (CF3)2C2S2.137 This electrophilic strained ring is highly reactive toward iron(0) carbonyls, ultimately giving Fe2[μ-S2C2(CF3)2]-(CO)6. The oxidative addition affords a green species with the formula Fe[S2C2(CF3)2](CO)3.426 Crystallographic and Mössbauer measurements revealed that this ferrous species is a dimer.427 The conversion of this diferrous species to the diiron(I) dithiolate proceeds via the comproportionation of ferrous dithiolene and Fe(0) carbonyl (Scheme 44).
Scheme 44.
Formation of Diiron(I) Dithiolate Via a Diiron(II) Bis(dithiolate)426,427
4.2. Biological Pathways
Diiron(I) dithiolates are produced from ferrous precursors in the biosynthesis of the active site of the [FeFe]-hydrogenase enzymes. Although many details of this process remain unresolved, the iron source has been identified as an Fe(II) center attached to a 4Fe-4S cluster scaffold within a bifunctional maturase enzyme called HydG. This “dangler” Fe(II) center contains one CN− and two CO ligands, which are derived by degradation of tyrosine.4 The Fe(CO)2CN center is temporarily protected by a tridentate cysteinate ligand.5,428 The pathway for installing the azadithiolate is unknown but is probably mediated by the radical SAM enzyme HydE. After the [Fe2(μ-adt)(CN)2(CO)4]2− entity is assembled within the scaffold protein called HydF, it is transferred to the apohydrogenase protein HydA. In this transformation, one CO is displaced, and the geometry of the Fe2(μ-adt)(CO)3(CN)2 center is reorganized. The uptake of synthetic [Fe2(μ-adt)(CO)4(CN)2]2− by HydF and by apo-HydA has been demonstrated (Scheme 45).326,381,382
Scheme 45.
Biosynthetic and Semisynthetic Routes to the [FeFe]-hydrogenase Active Site
5. CONCLUSIONS
In recent years, the diiron(I) dithiolato carbonyls have been the subject of intense study. This work is mainly motivated by the structural similarity of these complexes to the active site of [FeFe]-hydrogenases, which are some of the fastest catalysts for oxidation and production of H2. The synthetic advances have established the versatility of the hexacarbonyls, both as a platform in their own right and as the precursor to their substituted derivatives, which are more reactive.
Important synthetic routes include (i) reaction of thiols with Fe3(CO)12 and Fe2(CO)9, which is currently the most popular method; (ii) treatment of di- and polysulfides with Fe2(CO)9 or Fe3(CO)12, which is usually applied when these organosulfur compounds are more available than the thiols; (iii) alkylation of Fe2(μ-S)2(CO)6, which is the preferred precursor to the mixed dithiolates and azadithiolates. Generally hexacarbonyls are often obtainable in good yields from inexpensive, even primitive reagents. Furthermore, they are rather air-stable and exhibit convenient solubility. Through substitution of some of the CO ligands, rich acid–base and redox chemistries are enabled.8,10,29 Given the versatility of the Fe2(μ-SR)2(CO)6 motif, this type of complex is likely to be developed further, not only for its relevance to biology but also as platforms for new organometallic and perhaps catalytic chemistry.
Supplementary Material
Acknowledgments
Financial support for this work was provided under contract DEFG02-90ER14146 with the U.S. Department of Energy by its Division of Chemical Sciences, Office of Basic Energy Sciences, the National Institutes of Health (GM061153, GM-65440), and National Natural Science Foundation of China (21501124). We thank Professor Wolfgang Weigand (Jena) for advice on the organoiron derivatives of thiones.
ABBREVIATIONS
- AIBN
- azobis(isobutyronitrile) 
- Bda
- benzylideneacetone (MeC(O)CH═CHPh) 
- BOP
- (benzotriazol-1-yloxy)tris(dimethylamino)-phosphonium hexafluorophosphate 
- COD
- 1,5-cyclooctadiene 
- Cp
- cyclopentadienyl 
- DCC
- N,N-dicyclohexylcarbodiimide 
- DDQ
- 2,3-dichloro-5,6-dicyano-1,4-benzoquinone 
- DMAP
- 4-dimethylaminopyridine 
- DMF
- dimethylformamide 
- dcpe
- 1,2-bis(dicyclohexylphophino)ethane 
- dppe
- 1,2-bis(diphenylphosphino)ethane 
- edtH2
- 1,2-ethanedithiol 
- Fc
- ferrocenyl ((C5H5)Fe(C5H4)); note: in some cited literature, Fc refers to Fe(C5H4)2 as well as ferrocene Itself 
- LDA
- lithium diisopropylamide 
- nbdtH2
- norbornyldithiol (C7H10(SH)2) 
- NMI
- naphthalene monoimide 
- NHC
- N-heterocyclic carbene 
- pdtH2
- 1,3-pronedithiol (also R2pdtH2 = 2,2-disubstituted propane-1,3-dithiol; R = Me, Et, etc.) 
- PPN+
- bis(triphenylphosphine)iminium 
- Py
- pyridyl 
- terpy
- 2,2′:6,2″-terpyridine 
- TFA
- CF3CO2H 
- H2TPP
- tetraphenylporphyrin 
- ZnP
- zinc porphyrinate 
Biographies
Yu-Long Li was born in 1983 in Suining, China. He received his B.S. degree in chemistry and Ph.D. degree in organic chemistry from Nankai University in Tianjin, China. He started his independent career at the Sichuan University of Science & Engineering, where he is an Associate Professor. He was a visiting scholar in the group of Professor Rauchfuss during the preparation of this review. His research interests are in the synthesis of Fe2S2 complexes and hydrogenase models.
Thomas B. Rauchfuss was born in 1949 in Baltimore, MD. He received his undergraduate degree from the University of Puget Sound (1971) and his Ph.D. from Washington State University (1976). After a postdoc with David Buckingham at the Australian National University, he started his independent career at the University of Illinois at Urbana–Champaign in 1978, where he has remained. He has also studied at the following institutions: the University of Auckland, University of Louis Pasteur, and the Technical University of Karlsruhe. His research focuses on synthetic inorganic and organometallic chemistry, with an emphasis on environmentally motivated themes. For the past decade, his group has conducted research on synthetic modeling of the active sites of hydrogenase enzymes.
Footnotes
Notes
The authors declare no competing financial interest.
The Supporting Information is available free of charge on the ACS Publications website at DOI: 10.1021/acs.chemrev. 5b00669.
Known diiron(I) dithiolato hexacarbonyls are shown (PDF)
References
- 1.Lubitz W, Ogata H, Rüdiger O, Reijerse E. Hydrogenases. Chem Rev. 2014;114:4081–4148. doi: 10.1021/cr4005814. [DOI] [PubMed] [Google Scholar]
- 2.Peters JW, Lanzilotta WN, Lemon BJ, Seefeldt LC. X-Ray Crystal Structure of the Fe-Only Hydrogenase (Cpl) from Clostridium pasteurianum to 1. 8 Angstrom Resolution. Science. 1998;282:1853–1858. doi: 10.1126/science.282.5395.1853. [DOI] [PubMed] [Google Scholar]
- 3.Nicolet Y, Piras C, Legrand P, Hatchikian CE, Fontecilla-Camps JC. Desulfovibrio desulfuricans Iron Hydrogenase: The Structure Shows Unusual Coordination to an Active Site Fe Binuclear Center. Structure. 1999;7:13–23. doi: 10.1016/s0969-2126(99)80005-7. [DOI] [PubMed] [Google Scholar]
- 4.Shepard EM, Mus F, Betz JN, Byer AS, Duffus BR, Peters JW, Broderick JB. [FeFe]-Hydrogenase Maturation. Biochemistry. 2014;53:4090–4104. doi: 10.1021/bi500210x. [DOI] [PubMed] [Google Scholar]
- 5.Dinis P, et al. X-ray crystallographic and EPR spectroscopic analysis of HydG, a maturase in [FeFe]-hydrogenase H-cluster assembly. Proc Natl Acad Sci U S A. 2015;112:1362–1367. doi: 10.1073/pnas.1417252112. [DOI] [PMC free article] [PubMed] [Google Scholar]
- 6.Holm RH. Electron Transfer: Iron-Sulfur Clusters. Comprehensive Coordination Chemistry II. 2004;8:61–90. [Google Scholar]
- 7.Venkateswara Rao P, Holm RH. Synthetic Analogues of the Active Sites of Iron-Sulfur Proteins. Chem Rev. 2004;104:527–560. doi: 10.1021/cr020615+. [DOI] [PubMed] [Google Scholar]
- 8.Apfel U-P, Pétillon FY, Schollhammer P, Talarmin J, Weigand W. [FeFe] Hydrogenase Models: An Overview. In: Schollhammer P, Weigand W, editors. Bioinspired Catalysis. Wiley-VCH; Weinheim, Germany: 2014. [Google Scholar]
- 9.Felton GAN, Mebi CA, Petro BJ, Vannucci AK, Evans DH, Glass RS, Lichtenberger DL. Review of Electrochemical Studies of Complexes Containing the Fe2S2 Core Characteristic of [FeFe]-Hydrogenases Including Catalysis by These Complexes of the Reduction of Acids to Form Dihydrogen. J Organomet Chem. 2009;694:2681–2699. [Google Scholar]
- 10.Lansing JC, Manor BC, Rauchfuss TB. Hydrogenase Models. Encyclopedia of Inorganic and Bioinorganic Chemistry. 2014:1–21. [Google Scholar]
- 11.Tard C, Pickett CJ. Structural and Functional Analogues of the Active Sites of the [Fe]-, [NiFe]-, and [FeFe]-Hydrogenases. Chem Rev. 2009;109:2245–2274. doi: 10.1021/cr800542q. [DOI] [PubMed] [Google Scholar]
- 12.Tschierlei S, Ott S, Lomoth R. Spectroscopically Characterized Intermediates of Catalytic H2 Formation by [FeFe] Hydrogenase Models. Energy Environ Sci. 2011;4:2340–2352. [Google Scholar]
- 13.Ogino H, Inomata S, Tobita H. Abiological Iron-Sulfur Clusters. Chem Rev. 1998;98:2093–2121. doi: 10.1021/cr940081f. [DOI] [PubMed] [Google Scholar]
- 14.Mathur P. Chalcogen-Bridged Metal-Carbonyl Complexes. Adv Organomet Chem. 1997;41:243–314. [Google Scholar]
- 15.King RB, Bitterwolf TE. Metal Carbonyl Analogues of Iron-Sulfur Clusters Found in Metalloenzyme Chemistry. Coord Chem Rev. 2000;206–207:563–579. [Google Scholar]
- 16.Linford L, Raubenheimer HG. A Framework for the Classification of Organosulfur Transition Metal Complexes. Comments Inorg Chem. 1991;12:113–138. [Google Scholar]
- 17.Winter A, Zsolnai L, Huttner G. Dinuclear and Trinuclear Carbonyliron Complexes Containing 1,2- and 1,3-Dithiolato Bridging Ligands. Z Naturforsch, B: J Chem Sci. 1982;37:1430–1436. [Google Scholar]
- 18.Nametkin NS, Tyurin VD, Kukina MA. Synthesis and Some Properties of Sulfur-Containing Iron Tricarbonyl Complexes. J Organomet Chem. 1978;149:355–370. [Google Scholar]
- 19.Connor JA, Göbel A. Thermochemistry of sulfide and thiolato derivatives of iron carbonyl, and the strengths of the iron-sulfur bonds. J Chem Thermodyn. 1995;27:605–611. [Google Scholar]
- 20.Kettle SFA, Orgel LE. Alkyl- and Aryl-thio-iron Tricarbonyls. J Chem Soc. 1960:3890–3891. [Google Scholar]
- 21.Poh HT, Sim BT, Chwee TS, Leong WK, Fan WY. The Dithiolate-Bridged Diiron Hexacarbonyl Complex Na2[(μ-SCH2CH2COO)Fe(CO)3]2 as a Water-Soluble PhotoCORM. Organometallics. 2014;33:959–963. [Google Scholar]
- 22.Long L, Jiang X, Wang X, Xiao Z, Liu X. Water-Soluble Diiron Hexacarbonyl Complex as a CO-RM: Controllable CO-Releasing, Releasing Mechanism and Biocompatibility. Dalton Trans. 2013;42:15663–15669. doi: 10.1039/c3dt51281a. [DOI] [PubMed] [Google Scholar]
- 23.Cao WN, Wang F, Wang HY, Chen B, Feng K, Tung CH, Wu LZ. Photocatalytic hydrogen production from a simple water-soluble [FeFe]-hydrogenase model system. Chem Commun. 2012;48:8081–8083. doi: 10.1039/c2cc33097k. [DOI] [PubMed] [Google Scholar]
- 24.King RB. Organosulfur Derivatives of Metal Carbonyls. I. The Isolation of Two Isomeric Products in the Reaction of Triiron Dodecacarbonyl with Dimethyl Disulfide. J Am Chem Soc. 1962;84:2460. [Google Scholar]
- 25.Zaffaroni R, Rauchfuss TB, Gray DL, De Gioia L, Zampella G. Terminal vs Bridging Hydrides of Diiron Dithiolates: Protonation of Fe2(dithiolate)(CO)2(PMe3)4. J Am Chem Soc. 2012;134:19260–19269. doi: 10.1021/ja3094394. [DOI] [PMC free article] [PubMed] [Google Scholar]
- 26.Ridley F, Ghosh S, Hogarth G, Hollingsworth N, Holt KB, Unwin DG. Fluorinated models of the iron-only hydrogenase: An electrochemical study of the influence of an electron-withdrawing bridge on the proton reduction overpotential and catalyst stability. J Electroanal Chem. 2013;703:14–22. [Google Scholar]
- 27.Zhao X, Georgakaki IP, Miller ML, Yarbrough JC, Darensbourg MY. H/D Exchange Reactions in Dinuclear Iron Thiolates as Activity Assay Models of Fe-H2ase. J Am Chem Soc. 2001;123:9710–9711. doi: 10.1021/ja0167046. [DOI] [PubMed] [Google Scholar]
- 28.Mack AE, Rauchfuss TB. (1, 3-Propanedithiolato)-hexacarbonyldiiron and Cyanide Derivatives. Inorg Synth. 2010;35:143–144. [Google Scholar]
- 29.Rauchfuss TB. Diiron Azadithiolates as Models for the [FeFe]-Hydrogenase Active Site and Paradigm for the Role of the Second Coordination Sphere. Acc Chem Res. 2015;48:2107–2116. doi: 10.1021/acs.accounts.5b00177. [DOI] [PMC free article] [PubMed] [Google Scholar]
- 30.Roy S, Shinde S, Hamilton GA, Hartnett HE, Jones AK. Artificial [FeFe]-Hydrogenase: On Resin Modification of an Amino Acid to Anchor a Hexacarbonyldiiron Cluster in a Peptide Framework. Eur J Inorg Chem. 2011;2011:1050–1055. [Google Scholar]
- 31.Stanley JL, Rauchfuss TB, Wilson SR. Studies on the Condensation Pathway to and Properties of Diiron Azadithiolate Carbonyls. Organometallics. 2007;26:1907–1911. doi: 10.1021/om0611150. [DOI] [PMC free article] [PubMed] [Google Scholar]
- 32.Salyi S, Kritikos M, Åkermark B, Sun LC. Synthesis of an Amino-Functionalized Model of the Fe-Only Hydrogenase Active Site. Chem - Eur J. 2003;9:557–560. doi: 10.1002/chem.200390058. [DOI] [PubMed] [Google Scholar]
- 33.Wang Z, Liu JH, He CJ, Jiang S, Åkermark B, Sun LC. Azadithiolates Cofactor of the Iron-Only Hydrogenase and Its PR3-Monosubstituted Derivatives: Synthesis, Structure, Electrochemistry and Protonation. J Organomet Chem. 2007;692:5501–5507. [Google Scholar]
- 34.Gao W, Song LC, Yin BS, Zan HN, Wang DF, Song HB. Synthesis and Characterization of Single, Double, and Triple Butterfly [2Fe2E] (E = Se, S) Cluster Complexes Related to the Active Site of [FeFe]-Hydrogenases. Organometallics. 2011;30:4097–4107. [Google Scholar]
- 35.Song LC, Wang LX, Yin BS, Li YL, Zhang XG, Zhang YW, Luo X, Hu QM. The N-Acylated Derivatives of Parent Complex [{(μ-SCH2)2NH}Fe2(CO)6] as Active Site Models of Fe-Only Hydrogenases: Synthesis, Characterization, and Related Properties. Eur J Inorg Chem. 2008;2008:291–297. [Google Scholar]
- 36.Song LC, Tang MY, Mei SZ, Huang JH, Hu QM. The Active Site Model for Iron-Only Hydrogenases Coordinatively Bonded to a Metalloporphyrin Photosensitizer. Organometallics. 2007;26:1575–1577. [Google Scholar]
- 37.Le Goff A, Artero V, Metaye R, Moggia F, Jousselme B, Razavet M, Tran PD, Palacin S, Fontecave M. Immobilization of FeFe Hydrogenase Mimics onto Carbon and Gold Electrodes by Controlled Aryldiazonium Salt Reduction: An Electrochemical, XPS and ATR-IR Study. Int J Hydrogen Energy. 2010;35:10790–10796. [Google Scholar]
- 38.Liu TB, Wang M, Shi Z, Cui HG, Dong WB, Chen JS, Åkermark B, Sun LC. Synthesis, Structures and Electrochemical Properties of Nitro- and Amino-Functionalized Diiron Azadithiolates as Active Site Models of Fe-Only Hydrogenases. Chem - Eur J. 2004;10:4474–4479. doi: 10.1002/chem.200400004. [DOI] [PubMed] [Google Scholar]
- 39.Ott S, Kritikos M, Åkermark B, Sun LC. Synthesis and Structure of a Biomimetic Model of the Iron Hydrogenase Active Site Covalently Linked to a Ruthenium Photosensitizer. Angew Chem, Int Ed. 2003;42:3285–3288. doi: 10.1002/anie.200351192. [DOI] [PubMed] [Google Scholar]
- 40.Ott S, Borgstrom M, Kritikos M, Lomoth R, Bergquist J, Åkermark B, Hammarstrom L, Sun LC. Model of the Iron Hydrogenase Active Site Covalently Linked to a Ruthenium Photosensitizer: Synthesis and Photophysical Properties. Inorg Chem. 2004;43:4683–4692. doi: 10.1021/ic0303385. [DOI] [PubMed] [Google Scholar]
- 41.Constable EC, Housecroft CE, Kokatam SL, Medlycott EA, Zampese JA. Fe-Only Hydrogenase Active Site Mimics: Fe2(CO)6(μ-ADT) (ADT = Azadithiolate) Clusters Bearing Pendant 2,2′:6′,2″-Terpyridine Domains and Containing Alkynylthienylene or Alkynylphenylene Spacers. Inorg Chem Commun. 2010;13:457–460. [Google Scholar]
- 42.Si G, Wu LZ, Wang WG, Ding J, Shan XF, Zhao YP, Tung CH, Xu M. Synthesis, Structure and Electrochemical Property of Diphenylacetylene-Substituted Diiron Azadithiolates as Active Site of Fe-Only Hydrogenases. Tetrahedron Lett. 2007;48:4775–4779. [Google Scholar]
- 43.Si G, Wang WG, Wang HY, Tung CH, Wu LZ. Facile Synthesis and Functionality-Dependent Electrochemistry of Fe-Only Hydrogenase Mimics. Inorg Chem. 2008;47:8101–8111. doi: 10.1021/ic800676y. [DOI] [PubMed] [Google Scholar]
- 44.Wang HY, Si G, Cao WN, Wang WG, Li ZJ, Wang F, Tung CH, Wu LZ. A triad [FeFe] hydrogenase system for light-driven hydrogen evolution. Chem Commun. 2011;47:8406–8408. doi: 10.1039/c1cc12200b. [DOI] [PubMed] [Google Scholar]
- 45.Zhan C, Wang X, Wei Z, Evans D, Ru X, Zeng X, Liu X. Synthesis and Characterisation of Polymeric Materials Consisting of {Fe2(CO)5}− Unit and Their Relevance to the Diiron Sub-Unit of [FeFe]-Hydrogenase. Dalton Trans. 2010;39:11255–11262. doi: 10.1039/c0dt00687d. [DOI] [PubMed] [Google Scholar]
- 46.Heine D, Pietsch C, Schubert US, Weigand W. Controlled Radical Polymerization of Styrene-Based Models of the Active Site of the [FeFe]-Hydrogenase. J Polym Sci, Part A: Polym Chem. 2013;51:2171–2180. [Google Scholar]
- 47.Ru X, Zeng X, Li Z, Evans DJ, Zhan C, Tang Y, Wang L, Liu X. Bioinspired Polymer Functionalized with a Diiron Carbonyl Model Complex and Its Assembly onto the Surface of a Gold Electrode via “Click” Chemistry. J Polym Sci, Part A: Polym Chem. 2010;48:2410–2417. [Google Scholar]
- 48.Qian G, Wang H, Zhong W, Liu X. Electrochemical Investigation into the Electron Transfer Mechanism of a Diiron Hexacarbonyl Complex Bearing a Bridging Naphthalene Moiety. Electrochim Acta. 2015;163:190–195. [Google Scholar]
- 49.Song LC, Wang LX, Tang MY, Li CG, Song HB, Hu QM. Synthesis, Structure, and Photoinduced Catalysis of [FeFe]-Hydrogenase Active Site Models Covalently Linked to a Porphyrin or Metalloporphyrin Moiety. Organometallics. 2009;28:3834–3841. [Google Scholar]
- 50.Seyferth D, Womack GB, Henderson RS, Cowie M, Hames BW. Michael-Type Addition Reactions of Bis(μ-mercapto)-bis(tricarbonyliron): Proximity-Induced Formation of Bidentate Organosulfur Ligands. Organometallics. 1986;5:1568–1575. [Google Scholar]
- 51.Song LC, Yin BS, Li YL, Zhao LQ, Ge JH, Yang ZY, Hu QM. Synthesis, Structural Characterization, and Some Properties of New N-Functionally Substituted Diiron Azadithiolate Complexes as Biomimetic Models of Iron-Only Hydrogenases. Organometallics. 2007;26:4921–4929. [Google Scholar]
- 52.Song LC, Xie ZJ, Liu XF, Ming JB, Ge JH, Zhang XG, Yan TY, Gao P. Synthetic and Structural Studies on New Diiron Azadithiolate (ADT)-Type Model Compounds for Active Site of [FeFe]Hydrogenases. Dalton Trans. 2011;40:837–846. doi: 10.1039/c0dt00909a. [DOI] [PubMed] [Google Scholar]
- 53.Song LC, Li CG, Gao J, Yin BS, Luo X, Zhang XG, Bao HL, Hu QM. Synthesis, Structure, and Electrocatalysis of Diiron C-Functionalized Propanedithiolate (PDT) Complexes Related to the Active Site of [FeFe]-Hydrogenases. Inorg Chem. 2008;47:4545–4553. doi: 10.1021/ic701982z. [DOI] [PubMed] [Google Scholar]
- 54.Song LC, et al. Investigations on the Active Site Models of [FeFe]-Hydrogenases: Synthesis, Structure, and Properties of N-Functionalized Azadithiolatodiiron Complexes Containing Mono- and Diphosphine Ligands. Organometallics. 2008;27:1409–1416. [Google Scholar]
- 55.Volkers PI, Rauchfuss TB, Wilson SR. Coordination Chemistry of 3-Mercapto-2-(mercaptomethyl)propanoic Acid (Dihydroasparagusic Acid) with Iron and Nickel. Eur J Inorg Chem. 2006;2006:4793–4799. [Google Scholar]
- 56.Song LC, Luo FX, Tan H, Sun XJ, Xie ZJ, Song HB. Synthesis, Structures, and Properties of Diiron Azadithiolate Complexes Containing a Subphthalocyanine Moiety as Biomimetic Models for [FeFe]-Hydrogenases. Eur J Inorg Chem. 2013;2013:2549–2557. [Google Scholar]
- 57.Zhao PH, Liu YQ, Li XA. Synthesis and Structural Characterization of a Novel Carboxy-Functionalized Diiron Dithiolate Complex. Asian J Chem. 2013;25:5428–5430. [Google Scholar]
- 58.Zhao PH, Liu YQ, Zhao GZ. Synthesis, Characterization and Crystal Structures of Carboxy-Functionalized Diiron Propanedithiolate Complexes. Polyhedron. 2013;53:144–149. [Google Scholar]
- 59.Hall GB, et al. Redox Chemistry of Noninnocent Quinones Annulated to 2Fe2S Cores. Organometallics. 2013;32:6605–6612. [Google Scholar]
- 60.Apfel UP, Halpin Y, Gottschaldt M, Görls H, Vos JG, Weigand W. Functionalized Sugars as Ligands towards Water-Soluble [Fe-Only] Hydrogenase Models. Eur J Inorg Chem. 2008;2008:5112–5118. [Google Scholar]
- 61.Zhong W, et al. A Rare Bond between a Soft Metal FeI and a Relatively Hard Base (RO−, R = Phenolic Moiety) Inorg Chem Commun. 2010;13:1089–1092. [Google Scholar]
- 62.Chmielowiec B, Saadi FH, Baricuatro JH, Javier A, Kim YG, Sun G, Darensbourg MY, Soriaga MP. Molecular Catalysis that Transpires Only When the Complex is Heterogenized: Studies of a Hydrogenase Complex Surface-Tethered on Polycrystalline and (1 1 1)-Faceted Gold by EC, PM-FT-IRRAS, HREELS, XPS and STM. J Electroanal Chem. 2014;716:63–70. [Google Scholar]
- 63.Windhager J, Seidel RA, Apfel UP, Görls H, Linti G, Weigand W. Oxidation of diiron and triiron sulfurdithiolato complexes: mimics for the active site of [FeFe]-hydrogenase. Chem Biodiversity. 2008;5:2023–2041. doi: 10.1002/cbdv.200890185. [DOI] [PubMed] [Google Scholar]
- 64.Onoda A, Kihara Y, Fukumoto K, Sano Y, Hayashi T. Photoinduced Hydrogen Evolution Catalyzed by a Synthetic Diiron Dithiolate Complex Embedded within a Protein Matrix. ACS Catal. 2014;4:2645–2648. [Google Scholar]
- 65.Pullen S, Fei HH, Orthaber A, Cohen SM, Ott S. Enhanced Photochemical Hydrogen Production by a Molecular Diiron Catalyst Incorporated into a Metal-Organic Framework. J Am Chem Soc. 2013;135:16997–17003. doi: 10.1021/ja407176p. [DOI] [PMC free article] [PubMed] [Google Scholar]
- 66.Fei HH, Pullen S, Wagner A, Ott S, Cohen SM. Functionalization of Robust Zr(IV)-Based Metal-Organic Framework Films via a Postsynthetic Ligand Exchange. Chem Commun. 2015;51:66–69. doi: 10.1039/c4cc08218d. [DOI] [PubMed] [Google Scholar]
- 67.Song XW, Wen HM, Ma CB, Hu MQ, Chen H, Cui HH, Chen CN. Photocatalytic Hydrogen Evolution by Two Comparable [ FeFe]-Hydrogenase Mimics Assembled to the Surface of ZnS. Appl Organomet Chem. 2014;28:267–273. [Google Scholar]
- 68.Song LC, Wang LX, Li CG, Li F, Chen Z. Synthetic and Structural Study on Some New Porphyrin or Metalloporphyrin Macrocycle-Containing Model Complexes for the Active Site of [FeFe]-Hydrogenases. J Organomet Chem. 2014;749:120–128. [Google Scholar]
- 69.Messelhäuser J, Gutensohn KU, Lorenz IP, Hiller W. Insertion Reactions of Ethene and Carbon-Monoxide in the S-S Bonding of [(CO)3FeS]2 nido-Clusters and Synthesis and Structure of the 1,3-Ethanesulfenatothiolato Complex [(CO)3Fe]2SC2H4S(O) J Organomet Chem. 1987;321:377–388. [Google Scholar]
- 70.Darensbourg MY, Weigand W. Sulfoxygenation of Active Site Models of [NiFe] and [FeFe] Hydrogenases - A Commentary on Possible Chemical Models of Hydrogenase Enzyme Oxygen Sensitivity. Eur J Inorg Chem. 2011;2011:994–1004. [Google Scholar]
- 71.Zhao X, Chiang CY, Miller ML, Rampersad MV, Darensbourg MY. Activation of Alkenes and H2 by [Fe]-H2ase Model Complexes. J Am Chem Soc. 2003;125:518–524. doi: 10.1021/ja0280168. [DOI] [PubMed] [Google Scholar]
- 72.Aguirre de Carcer I, DiPasquale A, Rheingold AL, Heinekey DM. Active-Site Models for Iron Hydrogenases: Reduction Chemistry of Dinuclear Iron Complexes. Inorg Chem. 2006;45:8000–8002. doi: 10.1021/ic0610381. [DOI] [PubMed] [Google Scholar]
- 73.Reihlen H, Friedolsheim AV, Oswald W. Über Stickoxydund Kohlenoxydverbindungen des scheinbar einwertigen Eisens und Nickels. Zugleich Erwiderung an die Herren W. Manchot und W. Hieber. J Liebigs Ann Chem. 1928;465:72–96. [Google Scholar]
- 74.Dahl LF, Wei CH. Structure and Nature of Bonding of [C2H5SFe(CO)3]2. Inorg Chem. 1963;2:328–333. [Google Scholar]
- 75.Delgado E, Hernández E, Mansilla N, Zamora F, Martínez-Cruz LA. Iron Carbonyls with Bulky Thiolate Ligands: Crystal Structures of [Fe2(CO)6(μ-SC6H2 iPr3-2,4,6)2] and (C6 H2 iPr3-2,4,6)2S2. Inorg Chim Acta. 1999;284:14–19. [Google Scholar]
- 76.Henslee W, Davis RE. Phenylthioiron Tricarbonyl Dimer, C18H10Fe2O6S2. Cryst Struct Commun. 1972;1:403–405. [Google Scholar]
- 77.Ellgen PC, Gerlach JN. Kinetics and Mechanism of Substitution Reactions of Bis(mercaptotricarbonyliron) Complexes. Inorg Chem. 1973;12:2526–2532. [Google Scholar]
- 78.Crouthers DJ, Ding S, Denny JA, Bethel RD, Hsieh CH, Hall MB, Darensbourg MY. A Reduced 2Fe2S Cluster Probe of Sulfur-Hydrogen versus Sulfur-Gold Interactions. Angew Chem, Int Ed. 2015;54:11102–11106. doi: 10.1002/anie.201504574. [DOI] [PubMed] [Google Scholar]
- 79.Natile G, Maresca L, Bor G. The Dynamic Nuclear Magnetic Resonance Study of the Anti-Syn Isomerism in Bis(μ-tertiarybutylsulphido)hexacarbonyldiiron and Its Monosubstituted Products with Some Phosphines and Phosphites: an Unusually Fast Interconversion Rate. Inorg Chim Acta. 1977;23:37–42. [Google Scholar]
- 80.Mueting A, Mattson BM. Kinetics and Thermodynamics of the Intramolecular Isomerization of [Fe(SCH3)(CO)3]2. J Inorg Nucl Chem. 1981;43:749–751. [Google Scholar]
- 81.Crow JP, Cullen WR. Structure of Derivatives of [SCH3Fe(CO)3]2. Can J Chem. 1971;49:2948–2952. [Google Scholar]
- 82.Seyferth D, Womack GB, Gallagher MK, Cowie M, Hames BW, Fackler JP, Mazany AM. Novel Anionic Rearrangements in Hexacarbonyldiiron Complexes of Chelating Organosulfur Ligands. Organometallics. 1987;6:283–294. [Google Scholar]
- 83.Seyferth D, Henderson RS, Song LC. The Dithiobis-(tricarbonyliron) Dianion: Improved Preparation and New Chemistry. J Organomet Chem. 1980;192:C1–C5. [Google Scholar]
- 84.Song LC, Qi CH, Bao HL, Fang XN, Song HB. Synthetic and Structural Investigations on Some New 1,2,4,5-(CH2)4C6H2 Moiety-Containing Butterfly Fe/S Cluster Complexes from Reactions of Tetrathiol 1,2,4,5-(HSCH2)4C6H2 with Fe3(CO)12 or with Fe3(CO)12 in the Presence of Et3N. Organometallics. 2012;31:5358–5370. [Google Scholar]
- 85.Lyon EJ, Georgakaki IP, Reibenspies JH, Darensbourg MY. Coordination Sphere Flexibility of Active-Site Models for Fe-Only Hydrogenase: Studies in Intra- and Intermolecular Diatomic Ligand Exchange. J Am Chem Soc. 2001;123:3268–3278. doi: 10.1021/ja003147z. [DOI] [PubMed] [Google Scholar]
- 86.Crouthers DJ, Denny JA, Bethel RD, Munoz DG, Darensbourg MY. Conformational Mobility and Pendent Base Effects on Electrochemistry of Synthetic Analogues of the [FeFe]-Hydrogenase Active Site. Organometallics. 2014;33:4747–4755. [Google Scholar]
- 87.Carroll ME, Barton BE, Rauchfuss TB, Carroll PJ. Synthetic Models for the Active Site of the [FeFe]-Hydrogenase: Catalytic Proton Reduction and the Structure of the Doubly Protonated Intermediate. J Am Chem Soc. 2012;134:18843–18852. doi: 10.1021/ja309216v. [DOI] [PMC free article] [PubMed] [Google Scholar]
- 88.Lawrence JD, Li H, Rauchfuss TB, Benard M, Rohmer MM. Diiron Azadithiolates as Models for the Iron-Only Hydrogenase Active Site: Synthesis, Structure, and Stereoelectronics. Angew Chem, Int Ed. 2001;40:1768–1771. doi: 10.1002/1521-3773(20010504)40:9<1768::aid-anie17680>3.0.co;2-e. [DOI] [PubMed] [Google Scholar]
- 89.Cui HG, Wang M, Dong WB, Duan LL, Li P, Sun LC. Synthesis, Structures and Electrochemical Properties of Hydroxyland Pyridyl-Functionalized Diiron Azadithiolate Complexes. Polyhedron. 2007;26:904–910. [Google Scholar]
- 90.Jiang S, Liu J, Shi Y, Wang Z, Åkermark B, Sun L. Fe-S Complexes Containing Five-Membered Heterocycles: Novel Models for the Active Site of Hydrogenases with Unusual Low Reduction Potential. Dalton Trans. 2007:896–902. doi: 10.1039/b615037c. [DOI] [PubMed] [Google Scholar]
- 91.Si Y, Ma C, Hu M, Chen H, Chen C, Liu Q. (N-CnH2n−1)-1, 3-Azapropanedithiolate (n = 5, 6, 7)-Bridged Diiron Complexes as Mimics for the Active Site of [FeFe]-Hydrogenases: The Influence of the Bridge on the Diiron Complex. New J Chem. 2007;31:1448–1454. [Google Scholar]
- 92.Li HX, Rauchfuss TB. Iron Carbonyl Sulfides, Formaldehyde, and Amines Condense To Give the Proposed Azadithiolate Cofactor of the Fe-Only Hydrogenases. J Am Chem Soc. 2002;124:726–727. doi: 10.1021/ja016964n. [DOI] [PubMed] [Google Scholar]
- 93.Singleton ML, Reibenspies JH, Darensbourg MY. A Cyclodextrin Host/Guest Approach to a Hydrogenase Active Site Biomimetic Cavity. J Am Chem Soc. 2010;132:8870–8871. doi: 10.1021/ja103774j. [DOI] [PubMed] [Google Scholar]
- 94.Song LC, Gao J, Wang HT, Hua YJ, Fan HT, Zhang XG, Hu QM. Synthesis and Structural Characterization of Metallocrown Ethers Containing Butterfly Fe2S2 Cluster Cores. Biomimetic Hydrogen Evolution Catalyzed by Fe2(μ-SCH2CH2OCH2CH2S-μ)(CO)6. Organometallics. 2006;25:5724–5729. [Google Scholar]
- 95.Liu YC, Tu LK, Yen TH, Lee GH, Yang ST, Chiang MH. Secondary Coordination Sphere Interactions within the Biomimetic Iron Azadithiolate Complexes Related to Fe-Only Hydrogenase: Dynamic Measure of Electron Density about the Fe Sites. Inorg Chem. 2010;49:6409–6420. doi: 10.1021/ic100484a. [DOI] [PubMed] [Google Scholar]
- 96.Chiang MH, Liu YC, Yang ST, Lee GH. Biomimetic Model Featuring the NH Proton and Bridging Hydride Related to a Proposed Intermediate in Enzymatic H2 Production by Fe-Only Hydrogenase. Inorg Chem. 2009;48:7604–7612. doi: 10.1021/ic900564q. [DOI] [PubMed] [Google Scholar]
- 97.Zhang Y, Si YT, Hu MQ, Chen CN, Liu QT. Bis(μ4-butane-1,4-dithiolato)bis[hexacarbonyldiiron(II) (Fe-Fe)] Acta Crystallogr, Sect C: Cryst Struct Commun. 2007;63:m499–m500. doi: 10.1107/S0108270107041674. [DOI] [PubMed] [Google Scholar]
- 98.Apfel UP, Halpin Y, Görls H, Vos JG, Schweizer B, Linti G, Weigand W. Synthesis and characterization of hydroxyfunctionalized models for the active site in Fe-only-hydrogenases. Chem Biodiversity. 2007;4:2138–2148. doi: 10.1002/cbdv.200790171. [DOI] [PubMed] [Google Scholar]
- 99.Charreteur K, Kdider M, Capon JF, Gloaguen F, Pétillon FY, Schollhammer P, Talarmin J. Effect of Electron-Withdrawing Dithiolate Bridge on the Electron-Transfer Steps in Diiron Molecules Related to [2Fe]H Subsite of the [FeFe]-Hydrogenases. Inorg Chem. 2010;49:2496–2501. doi: 10.1021/ic902401k. [DOI] [PubMed] [Google Scholar]
- 100.Reihlen H, Gruhl A, von Hessling G. The Photochemical and Oxidative Decomposition of Carbonylene. J Liebigs Ann Chem. 1929;472:268–287. [Google Scholar]
- 101.Hieber W, Spacu P. Concerning Metal Carbonyl. XXVI. The Effect of Organic Sulfur Bonds on Iron and Cobalt Carbonyl. Z anorg allg Chem. 1937;233:353–364. [Google Scholar]
- 102.Hieber W, Scharfenberg C. Einwirkung organischer Schwefelverbindungen auf die Carbonyle des Eisens. Ber Dtsch Chem Ges B. 1940;73:1012–1021. [Google Scholar]
- 103.Ashby MT. Synthesis of Amphiphilic Metal Organics Using p-Monothiohydroquinolate, an Ambidentate Ligand That Bears a Hard and a Soft Donor. One- and Two-Dimensional Solid-State Structures of Fe2(CO)6(μ-SC6H4-4-OH)2·nSolv (Solv = C6H6, n = 1, Solv = HSC6H4-4-OH, n = 2) Inorg Chem. 1995;34:5429–5436. [Google Scholar]
- 104.Mebi CA, Karr DS, Gao R. Diironhexacarbonyl Clusters with Imide and Amine Ligands: Hydrogen Evolution Catalysts. J Coord Chem. 2011;64:4397–4407. [Google Scholar]
- 105.Donovan ES, Nichol GS, Felton GAN. Structural Effects upon the Durability of Hydrogenase-Inspired Hydrogen-Producing Electrocatalysts: Variations in the (μ-edt)[Fe2(CO)6] System. J Organomet Chem. 2013;726:9–13. [Google Scholar]
- 106.Zhu D, Xiao Z, Liu X. Introducing Polyethyleneimine (PEI) into the Electrospun Fibrous Membranes Containing Diiron Mimics of [FeFe]-Hydrogenase: Membrane Electrodes and Their Electrocatalysis on Proton Reduction in Aqueous Media. Int J Hydrogen Energy. 2015;40:5081–5091. [Google Scholar]
- 107.Apfel UP, et al. Models for the Active Site in [FeFe] Hydrogenase with Iron-Bound Ligands Derived from Bis-, Tris-, and Tetrakis(mercaptomethyl)silanes. Inorg Chem. 2010;49:10117–10132. doi: 10.1021/ic101399k. [DOI] [PubMed] [Google Scholar]
- 108.Apfel UP, Kowol CR, Kloss F, Görls H, Keppler BK, Weigand W. Hydroxy and Ether Functionalized Dithiolanes: Models for the Active Site of the [FeFe] Hydrogenase. J Organomet Chem. 2011;696:1084–1088. [Google Scholar]
- 109.Razavet M, Davies SC, Hughes DL, Pickett CJ. {2Fe3S} Clusters Related to the Di-Iron Sub-Site of the H-Centre of All-Iron Hydrogenases. Chem Commun. 2001:847–848. [Google Scholar]
- 110.Xu F, et al. Controlling Carbon Monoxide Binding at Di-Iron Units Related to the Iron-Only Hydrogenase Sub-Site. Chem Commun. 2008:606–608. doi: 10.1039/b712805c. [DOI] [PubMed] [Google Scholar]
- 111.Zheng D, Wang M, Chen L, Wang N, Cheng M, Sun L. The Influence of a S-to-S Bridge in Diiron Dithiolate Models on the Oxidation Reaction: a Mimic of the Hairox State of [FeFe]-Hydrogenases. Chem Commun. 2014;50:9255–9258. doi: 10.1039/c4cc03583f. [DOI] [PubMed] [Google Scholar]
- 112.Yang Y, Wang N, Chen L. [μ-3-(Methylsulfanyl)benzene-1, 2-dithiolato-1:2k4S, S′:S, S′]bis[tricarbonyliron(I)] Acta Crystallogr Sect E: Struct Rep Online. 2013;69:m269–m270. doi: 10.1107/S1600536813009860. [DOI] [PMC free article] [PubMed] [Google Scholar]
- 113.Razavet M, Le Cloirec A, Davies SC, Hughes DL, Pickett CJ. X-Ray Crystallographic Analysis of D,L-[Fe2{SCH2CH-(CH2OH)S}(CO)6] Reveals a Hydrogen-Bonded Cyclic Hexamer with Ordered Optical Centres. J Chem Soc, Dalton Trans. 2001:3551–3552. [Google Scholar]
- 114.Cooke J, Green M, Stone FGA. Chemistry of Metal Carbonyls. XLI. Synthesis of Complexes with C6F5S or p-RS·C6F4 (R = Me or Ph) Groups as Ligands. J Chem Soc A. 1968;0:170–173. [Google Scholar]
- 115.Ma CB, Chen CN, Liu QT. Syntheses and Crystal Structures of Two New Iron-Sulfur Carbonyl Complexes: [Fe2(SC6H4Cl)2(CO)6]·0.5(Et2O) and [Fe3(SC6H4NH2)6(CO)6]·2-(MeOH) Chin J Struct Chem. 2006;25:326–332. [Google Scholar]
- 116.Li CG, Zhu Y, Jiao XX, Fu XQ. Synthesis, Characterization and Electrochemistry of Phenyl-Functionalized Diiron Propanedithiolate Complexes. Polyhedron. 2014;67:416–421. [Google Scholar]
- 117.He C, Wang M, Zhang X, Wang Z, Chen C, Liu J, Åkermark B, Sun L. An unusual cyclization in a bis(cysteinyls) diiron complex related to the active site of Fe-only hydrogenases. Angew Chem, Int Ed. 2004;43:3571–3574. doi: 10.1002/anie.200453961. [DOI] [PubMed] [Google Scholar]
- 118.Wen F, Wang X, Huang L, Ma G, Yang J, Li C. A Hybrid Photocatalytic System Comprising ZnS as Light Harvester and an [Fe2S2] Hydrogenase Mimic as Hydrogen Evolution Catalyst. ChemSusChem. 2012;5:849–853. doi: 10.1002/cssc.201200190. [DOI] [PubMed] [Google Scholar]
- 119.Jones AK, Lichtenstein BR, Dutta A, Gordon G, Dutton PL. Synthetic Hydrogenases: Incorporation of an Iron Carbonyl Thiolate into a Designed Peptide. J Am Chem Soc. 2007;129:14844–14845. doi: 10.1021/ja075116a. [DOI] [PubMed] [Google Scholar]
- 120.Peruzzini M, De Los Rios I, Romerosa A. Coordination Chemistry of Transition Metals with Hydrogen Chalcogenide and Hydrochalcogenido Ligands. Prog Inorg Chem. 2001;49:169–453. [Google Scholar]
- 121.Farmery K, Kilner M. Substitution Reactions of Dihydridotetracarbonyliron. J Chem Soc A. 1970:634–639. [Google Scholar]
- 122.Liaw WF, Kim C, Darensbourg MY, Rheingold AL. Thiolate, Thioether, and Thiol Derivatives of Iron(0) Carbonyls. J Am Chem Soc. 1989;111:3591–3597. [Google Scholar]
- 123.De Beer JA, Haines RJ. Reactions of Metal Carbonyl Derivatives. IV. Bridged Sulphido Derivatives of Iron Carbonyl. J Organomet Chem. 1970;24:757–767. [Google Scholar]
- 124.Hasan MM, Hursthouse MB, Kabir SE, Malik KMA. Dinuclear Iron Carbonyl Complexes with Dithiolate Ligands: X-Ray Structures of [Fe2(CO)6{μ-SCCHCHC(CH3)CHCS}] and [Fe2(CO)5{μ-SCCHCHC(CH3)CHCS}(PPh3)] Polyhedron. 2001;20:97–101. [Google Scholar]
- 125.Wander SA, Reibenspies JH, Kim JS, Darensbourg MY. Synthesis and Characterization of a Stable Iron(II) Hydride-Thiolate Complex: (PhS)Fe(H)(CO)2(P(OPh)3)2. Inorg Chem. 1994;33:1421–1426. [Google Scholar]
- 126.Zhao X, Hsiao YM, Lai CH, Reibenspies JH, Darensbourg MY. Oxidative Addition of Phosphine-Tethered Thiols to Iron Carbonyl: Binuclear Phosphinothiolate Complexes, (μ-SCH2CH2PPh2)2Fe2(CO)4, and Hydride Derivatives. Inorg Chem. 2002;41:699–708. doi: 10.1021/ic010741g. [DOI] [PubMed] [Google Scholar]
- 127.Von Gustorf EK, Hogan JC, Wagner R. Di-μ-halo-bis(tricarbonyliron). Formation of dimeric haloiron tricarbonyls during the thermal and photochemical reaction of iron carbonyls with hydrogen halides. Z Naturforsch, B: J Chem Sci. 1972;27:140–142. [Google Scholar]
- 128.Dobbie RC, Hopkinson MJ, Whittaker D. The Reaction of Iron Carbonyl Complexes with Bis(trifluoromethyl)phosphine and Tetrakis(trifluoromethyl)diphosphine. J Chem Soc, Dalton Trans. 1972:1030–1034. [Google Scholar]
- 129.Wang W, Rauchfuss TB, Zhu L, Zampella G. New Reactions of Terminal Hydrides on a Diiron Dithiolate. J Am Chem Soc. 2014;136:5773–5782. doi: 10.1021/ja501366j. [DOI] [PubMed] [Google Scholar]
- 130.Bau R, Don B, Greatrex R, Haines RJ, Love RA, Wilson RD. Mössbauer and X-ray Diffraction Studies on [HFe3(CO)9(SR)] (R = isopropyl and tert-Butyl). Example of Noncorrelation of M-M Distance with M-H-M Bonding. Inorg Chem. 1975;14:3021–3025. [Google Scholar]
- 131.Winter A, Zsolnai L, Huttner G. Opening of an Fe-Fe Compound in [Fe3(CO)9(μ3-SR)]− Using Electrophilic Reagents from the 5th and 6th Main Group. J Organomet Chem. 1983;250:409–428. [Google Scholar]
- 132.McFarlane W, Wilkinson G. Triion Dodecacarbonyl. Inorg Synth. 1966;8:181–183. [Google Scholar]
- 133.Nametkin NS, Tyurin VD, Gubin SP, Kukina MA. Reaction of Organosulfur Compounds with Iron Carbonyls. Neftekhimiya. 1975;15:767–770. [Google Scholar]
- 134.Nametkin NS, Tyurin VD, Podolskaya IP, Sideridu AY. Formation of Thio Esters of Carboxylic Acids in the Reaction of Thiols with the Triethylammonium Salt of Undecacarbonyltriferrate. Izv Akad Nauk SSSR, Ser Khim. 1982:220. [Google Scholar]
- 135.Petro BJ, et al. Photoelectron Spectroscopy of Dithiolatodiironhexacarbonyl Models for the Active Site of [Fe-Fe] Hydrogenases: Insight into the Reorganization Energy of the “Rotated” Structure in the Enzyme. J Mol Struct. 2008;890:281–288. [Google Scholar]
- 136.Wang N, Wang M, Liu T, Li P, Zhang T, Darensbourg MY, Sun L. CO-Migration in the Ligand Substitution Process of the Chelating Diphosphite Diiron Complex (μ-pdt)[Fe(CO)3][Fe(CO)-{(EtO)2PN(Me)P(OEt)2}] Inorg Chem. 2008;47:6948–6955. doi: 10.1021/ic800525n. [DOI] [PubMed] [Google Scholar]
- 137.King RB. Organosulfur Derivatives of Metal Carbonyls. IV. The Reactions between Certain Organic Sulfur Compounds and Iron Carbonyls. J Am Chem Soc. 1963;85:1584–1587. [Google Scholar]
- 138.Treichel PM, Rublein EK. Use of [Me2SSMe]BF4 to Prepare Thiolate Complexes of Iron and Ruthenium. J Organomet Chem. 1992;424:71–77. [Google Scholar]
- 139.Singleton ML, Jenkins RM, Klemashevich CL, Darensbourg MY. The Effect of Bridgehead Steric Bulk on the Ground State and Intramolecular Exchange Processes of (μ-SCH2CR2CH2S)[Fe(CO)3][Fe(CO)2L] Complexes. C R Chim. 2008;11:861–874. [Google Scholar]
- 140.Jablonskytë A, Webster LR, Simmons TR, Wright JA, Pickett CJ. Electronic Control of the Protonation Rates of Fe-Fe Bonds. J Am Chem Soc. 2014;136:13038–13044. doi: 10.1021/ja506693m. [DOI] [PubMed] [Google Scholar]
- 141.Wang WG, Rauchfuss TB, Moore CE, Rheingold AL, De Gioia L, Zampella G. Crystallographic Characterization of a Fully Rotated, Basic Diiron Dithiolate: Model for the Hred State? Chem - Eur J. 2013;19:15476–15479. doi: 10.1002/chem.201303351. [DOI] [PubMed] [Google Scholar]
- 142.Goy R, et al. A Sterically Stabilized FeI-FeI Semi-Rotated Conformation of [FeFe] Hydrogenase Subsite Model. Dalton Trans. 2015;44:1690–1699. doi: 10.1039/c4dt03223c. [DOI] [PubMed] [Google Scholar]
- 143.Munery S, Capon JF, De Gioia L, Elleouet C, Greco C, Pétillon FY, Schollhammer P, Talarmin J, Zampella G. New FeIFeI Complex Featuring a Rotated Conformation Related to the [2Fe]H Subsite of [Fe-Fe] Hydrogenase. Chem - Eur J. 2013;19:15458–15461. doi: 10.1002/chem.201303316. [DOI] [PubMed] [Google Scholar]
- 144.Alvarez-Toledano C, Enríquez J, Toscano RA, Martinez-García M, Cortés-Cortés E, Osornio YM, Garcia-Mellado O, Gutiérrez-Pérez R. Synthesis and X-Ray Characterization of New 1-[μ-Dithio-bis-(tricarbonyliron)]-2-(p-R-benzoyl)ethane Complexes. J Organomet Chem. 1999;577:38–43. [Google Scholar]
- 145.Alvarez-Toledano C, Delgado E, Donnadieu B, Hernández E, Martín G, Zamora F. Reactivity of Fe3(CO)12 Towards Thiols Containing an α,β-Unsaturated Ketone System. Inorg Chim Acta. 2003;351:119–122. [Google Scholar]
- 146.Wright RJ, Lim C, Tilley TD. Diiron Proton Reduction Catalysts Possessing Electron-Rich and Electron-Poor Naphthalene-1,8-dithiolate Ligands. Chem - Eur J. 2009;15:8518–8525. doi: 10.1002/chem.200900989. [DOI] [PubMed] [Google Scholar]
- 147.Schwartz L, Singh PS, Eriksson L, Lomoth R, Ott S. Tuning the Electronic Properties of Fe2(μ-arenedithiolate) (CO)6−n(PMe3)n (n = 0, 2) Complexes Related to the [Fe-Fe]-Hydrogenase Active Site. C R Chim. 2008;11:875–889. [Google Scholar]
- 148.Bruña S, et al. New Insights into the Chemistry of Di- and Trimetallic Iron Dithiolene Derivatives. Structural, Mössbauer, Magnetic, Electrochemical and Theoretical Studies. Dalton Trans. 2014;43:13187–13195. doi: 10.1039/c4dt01462f. [DOI] [PubMed] [Google Scholar]
- 149.Chen L, Wang M, Gloaguen F, Zheng D, Zhang P, Sun L. Multielectron-Transfer Templates via Consecutive Two-Electron Transformations: Iron-Sulfur Complexes Relevant to Biological Enzymes. Chem - Eur J. 2012;18:13968–13973. doi: 10.1002/chem.201201326. [DOI] [PubMed] [Google Scholar]
- 150.Schwartz L, Eriksson L, Lomoth R, Teixidor F, Vinas C, Ott S. Influence of an Electron-Deficient Bridging o-Carborane on the Electronic Properties of an [FeFe] Hydrogenase Active Site Model. Dalton Trans. 2008:2379–2381. doi: 10.1039/b802908n. [DOI] [PubMed] [Google Scholar]
- 151.Durgaprasad G, Bolligarla R, Das SK. Synthesis Crystal Structure and Electrocatalysis of 1,2-ene Dithiolate Bridged Diiron Carbonyl Complexes in Relevance to the Active Site of [FeFe]-Hydrogenases. J Organomet Chem. 2012;706–707:37–45. [Google Scholar]
- 152.Durgaprasad G, Bolligarla R, Das SK. Synthesis, Structural Characterization and Electrochemical Studies of [Fe2(μ-L)(CO)6] and [Fe2(μ-L)(CO)5(PPh3)] (L = pyrazine-2,3-dithiolate, quinoxaline-2,3-dithiolate and pyrido[2,3-b]pyrazine-2,3-dithiolate): Towards Modeling the Active Site of [FeFe]-Hydrogenase. J Organomet Chem. 2011;696:3097–3105. [Google Scholar]
- 153.Zheng D, Wang M, Chen L, Wang N, Sun L. Redox Reactions of [FeFe]-Hydrogenase Models Containing an Internal Amine and a Pendant Phosphine. Inorg Chem. 2014;53:1555–1561. doi: 10.1021/ic4025519. [DOI] [PubMed] [Google Scholar]
- 154.Song LC, Cao M, Du ZQ, Feng ZH, Ma Z, Song HB. CO Substitution Reactions of Diiron Complexes [{(μ-SCH2)2X}-Fe2(CO)6] and [{(μ-SeCH2)2X}Fe2(CO)6] (X = O, CH2) with Ph2PCl/Me3NO To Give Ph2PCl-, Ph2PNMe2-, and Ph2PP(═O)Ph2-Substituted Complexes Related to [ FeFe] Hydrogenases. Eur J Inorg Chem. 2014;2014:1886–1895. [Google Scholar]
- 155.Gao W, Ekström J, Liu J, Chen C, Eriksson L, Weng L, Åkermark B, Sun L. Binuclear Iron-Sulfur Complexes with Bidentate Phosphine Ligands as Active Site Models of Fe-Hydrogenase and Their Catalytic Proton Reduction. Inorg Chem. 2007;46:1981–1991. doi: 10.1021/ic0610278. [DOI] [PubMed] [Google Scholar]
- 156.Wang Y, Li Z, Zeng X, Wang X, Zhan C, Liu Y, Zeng X, Luo Q, Liu X. Synthesis and Characterisation of Three Diiron Tetracarbonyl Complexes Related to the Diiron Centre of [FeFe]-Hydrogenase and Their Protonating, Electrochemical Investigations. New J Chem. 2009;33:1780–1789. [Google Scholar]
- 157.Jiang S, Liu J, Shi Y, Wang Z, Åkermark B, Sun L. Preparation, Characteristics and Crystal Structures of Novel N-Heterocyclic Carbene Substituted Furan- and Pyridine-Containing Azadithiolate Fe-S Complexes. Polyhedron. 2007;26:1499–1504. [Google Scholar]
- 158.Green KN, Hess JL, Thomas CM, Darensbourg MY. Resin-bound Models of the [FeFe]-Hydrogenase Enzyme Active Site and Studies of Their Reactivity. Dalton Trans. 2009:4344–4350. doi: 10.1039/b823152d. [DOI] [PubMed] [Google Scholar]
- 159.Thomas CM, Rudiger O, Liu T, Carson CE, Hall MB, Darensbourg MY. Synthesis of Carboxylic Acid-Modified [FeFe]-Hydrogenase Model Complexes Amenable to Surface Immobilization. Organometallics. 2007;26:3976–3984. [Google Scholar]
- 160.Zhao PH, Liu YF, Xiong KK, Liu YQ. Synthetic and Structural Studies on Some New Butterfly Fe/S Cluster Complexes Containing 2,6-(CH2)2C5H3N or (CH2)2 Groups. J Cluster Sci. 2014;25:1061–1068. [Google Scholar]
- 161.Zhao PH, Xiong KK, Liang WJ, Hao EJ. Synthesis, Crystal Structures and Electrocatalytic Properties of Bridgehead-C-Functionalized Diiron Dithiolate Complexes. J Coord Chem. 2015;68:968–979. [Google Scholar]
- 162.Xiao Z, Xu F, Long L, Liu Y, Zampella G, De Gioia L, Zeng X, Luo Q, Liu X. Influence of the Basicity of Internal Bases in Diiron Model Complexes on Hydrides Formation and Their Transformation into Protonated Diiron Hexacarbonyl Form. J Organomet Chem. 2010;695:721–729. [Google Scholar]
- 163.Tard C, et al. Synthesis of the H-cluster Framework of Iron-Only Hydrogenase. Nature. 2005;433:610–613. doi: 10.1038/nature03298. [DOI] [PubMed] [Google Scholar]
- 164.Ibrahim S, Woi PM, Alias Y, Pickett CJ. Artificial Hydrogenases: Assembly of an H-Cluster Analogue within a Functionalised Poly(pyrrole) Matrix. Chem Commun. 2009;46:8189–8191. doi: 10.1039/c0cc02962a. [DOI] [PubMed] [Google Scholar]
- 165.Zhong W, Zampella G, Li Z, De Gioia L, Liu Y, Zeng X, Luo Q, Liu X. Synthesis, Characterisation of Two Hexa-Iron Clusters with {Fe2S2(CO)x} (x = 5 or 6) Fragments and Investigation into Their Inter-Conversion. J Organomet Chem. 2008;693:3751–3759. [Google Scholar]
- 166.Tard C, Liu X, Hughes DL, Pickett CJ. A Novel {FeIFeIIFeIIFeI} Iron Thiolate Carbonyl Assembly Which Electrocatalyses Hydrogen Evolution. Chem Commun. 2005:133–135. doi: 10.1039/b411559g. [DOI] [PubMed] [Google Scholar]
- 167.Cheah MH, Tard C, Borg SJ, Liu X, Ibrahim SK, Pickett CJ, Best SP. Modeling [Fe-Fe] Hydrogenase: Evidence for Bridging Carbonyl and Distal Iron Coordination Vacancy in an Electrocatalytically Competent Proton Reduction by an Iron Thiolate Assembly That Operates through Fe(0)-Fe(II) Levels. J Am Chem Soc. 2007;129:11085–11092. doi: 10.1021/ja071331f. [DOI] [PubMed] [Google Scholar]
- 168.Seyferth D, Womack GB, Dewan JC. A general route to novel dinuclear iron carbonyl complexes containing alkanethiolate and bridging organic ligands. Organometallics. 1985;4:398–400. [Google Scholar]
- 169.Seyferth D, Womack GB, Archer CM, Dewan JC. A Simple Route to Hexacarbonyldiiron Complexes Containing a Bridging Thiolate and an Organic Bridging Ligand by Means of [(μ-RS)(μ-CO)Fe2(CO)6]− Intermediates. Organometallics. 1989;8:430–442. [Google Scholar]
- 170.Song LC, Yan CG, Hu QM, Wang RJ, Mak TCW, Huang XY. Formation of (μ-RE)(μ-S−)Fe2(CO)6 and (μ-RE)(μ-Se−)Fe2(CO)6 (E = S, Se) Anions and a Comparative Study of Their Reactions with SO2Cl2, ClC(O)ZC(O)Cl (Z = (CH2)2, C6H4), or p-MeC6H4SO2Cl. Single-Crystal Structures of [(μ-EtS)-Fe2(CO)6]2(μ4-Se) and (μ-EtS)(μ-p-MeC6H4SO2)Fe2(CO)6. Organometallics. 1996;15:1535–1544. [Google Scholar]
- 171.Song LC, Li L, Hu YY, Song HB. Synthesis of (Diphosphine)Ni-Bridged Double-Butterfly Fe/S Cluster Complexes and Isolation of the Reactive μ-CO-Containing Anionic Fe/S Cluster Intermediates. J Organomet Chem. 2013;743:123–129. [Google Scholar]
- 172.Seyferth D, Hoke JB, Womack GB. Reactions of [Et3NH][(μ-CO)(μ-RS)Fe2(CO)6] Complexes with Acetylenes. Synthesis and Decarbonylation of α,β-Unsaturated Bridging Acyl Complexes. Organometallics. 1990;9:2662–2672. [Google Scholar]
- 173.Seyferth D, Anderson LL, Villafane F, Davis WM. The Synthesis and Structure of (μ-η2,η3-Pentadienyl)(μ-alkanethiolato)-pentacarbonyldiiron (Fe-Fe) Complexes. An Unusual Bonding Mode for the Pentadienyl Group. J Am Chem Soc. 1992;114:4594–4601. [Google Scholar]
- 174.Song LC. Recent Studies on Chemistry of Novel μ-CO-Containing Butterfly Fe/E (E = S, Se, Te) Cluster Salts. Sci China, Ser B: Chem. 2009;52:1–14. [Google Scholar]
- 175.Chen JB, Wang RT. Remarkable Reactions of Cationic Carbyne Complexes of Manganese, Rhenium, and Diiron with Carbonylmetal Anions. Coord Chem Rev. 2002;231:109–149. [Google Scholar]
- 176.Delgado E, Hernández E, Rossell O, Seco M, Puebla EG, Ruiz C. A comparative study of the use of triethylammonium salts of the [Fe2(CO)6(μ-CO)(μ-SR)]– anion in the synthesis of iron-gold clusters. Crystal structures of [Fe2(CO)6(μ-CO)(μ-SiPr)(μ-AuPPh3)] and [Fe2(CO)5(PPh3)(μ-SEt)2] J Organomet Chem. 1993;455:177–184. [Google Scholar]
- 177.Qiu Z, Sun J, Chen J. Unusual Reactions of Cationic Carbyne Complexes of Manganese and Rhenium with Reactive Salts [Et3NH][(μ-CO)(μ-RS)Fe2(CO)6]. A Route to Dimetal Bridging Carbene Complexes. Organometallics. 1998;17:600–606. [Google Scholar]
- 178.Seyferth D, Womack GB, Archer CM, Fackler JP, Marler DO. Reactions of [(μ-CO)(μ-RS)Fe2(CO)6]− Anions with Heterocumulenes and with Elemental Sulfur. Organometallics. 1989;8:443–450. [Google Scholar]
- 179.Song LC, Gong FH, Meng T, Ge JH, Cui LN, Hu QM. General Synthetic Route to Double-Butterfly Fe/S Cluster Complexes via Reactions of the Dianions {[(μ-CO)Fe2(CO)6]2(μ-SZS-μ)}2− with Electrophiles. Organometallics. 2004;23:823–831. [Google Scholar]
- 180.Song LC, Fan HT, Hu QM. The First Example of Macrocycles Containing Butterfly Transition Metal Cluster Cores via Novel Tandem Reactions. J Am Chem Soc. 2002;124:4566–4567. doi: 10.1021/ja020151x. [DOI] [PubMed] [Google Scholar]
- 181.Song LC, Cheng J, Yan J, Wang HT, Liu XF, Hu QM. Two Novel Bridgehead-C-Substituted Diiron Propanedithiolate Complexes as Active Site Models for Fe-Only Hydrogenases. Organometallics. 2006;25:1544–1547. [Google Scholar]
- 182.Takacs J, Markó L. Synthesis and Some Reactions of HFe3(CO)9(SR) Clusters Containing Primary Alkyl Groups. J Organomet Chem. 1983;247:223–225. [Google Scholar]
- 183.Yu Z, Wang M, Li P, Dong W, Wang F, Sun L. Diiron Dithiolate Complexes Containing Intra-Ligand NH···S Hydrogen Bonds: [FeFe] Hydrogenase Active Site Models for the Electrochemical Proton Reduction of HOAc with Low Overpotential. Dalton Trans. 2008:2400–2406. doi: 10.1039/b715990k. [DOI] [PubMed] [Google Scholar]
- 184.Si Y, Hu M, Chen C. Diiron Models for Active Site of FeFe-Hydrogenase with Aromatic Thiolate Bridges: Structures and Electrochemistry. C R Chim. 2008;11:932–937. [Google Scholar]
- 185.Alsaygh A. Synthesis and Characterizations of a New Bis(tricarbonyl-iron) Compound Containing Ferrocenethiolate Ligand and Its Trimethylphosphine Derivatives. X-Ray Structure of Bis(μ-ferrocenethiolato) Bis(tricarbonyl-iron) Arab J Sci Eng. 2007;32:163–170. [Google Scholar]
- 186.Trautwein R, Almazahreh LR, Görls H, Weigand W. The Influence of OH Groups in [Fe(CO)3]2[(μ-ECH2)2C(CH2OH)2] (E = S, Se) Complexes toward the Cathodic Process. Z Anorg Allg Chem. 2013;639:1512–1519. [Google Scholar]
- 187.Mebi CA, Noll BC, Gao R, Karr D. Binuclear Iron(I) Complex Containing Bridging Phenanthrene-4,5-dithiolate Ligand: Preparation, Spectroscopy, Crystal Structure, and Electrochemistry. Z Anorg Allg Chem. 2010;636:2550–2554. [Google Scholar]
- 188.Hieber W, Kaiser K. Iron carbonyl derivatives with diphenyl-dichalcogen and tetraphenyldiphosphine. Z Naturforsch, B: J Chem Sci. 1969;24:778–779. [Google Scholar]
- 189.Berger U, Strähle J. Polymeric Thiolato Complexes [M(SPh)3]∞ of the Metals Mo, W, Fe, and Ru with Linear Metal Chains: Synthesis and Crystal Structure of (OC)3Fe(SPh)3Fe-(SPh)3Fe(CO)3·2(CH3)2CO. Z Anorg Allg Chem. 1984;516:19–29. [Google Scholar]
- 190.King RB, Bisnette MB. Organosulfur Derivatives of Metal Carbonyls. VIII. New Aspects of Chemistry of Methylthio Derivatives of Iron Carbonyl. Inorg Chem. 1965;4:1663–1665. [Google Scholar]
- 191.Lindner E, Vitzthum G. Formation of S-S bonds. Angew Chem, Int Ed Engl. 1969;8:518–519. [Google Scholar]
- 192.Kückmann T, Schödel F, Sänger I, Bolte M, Wagner M, Lerner HW. The Tricarbonyliron Chalcogenolates [(OC)3Fe(μ-ESitBu3)]2 (E = S, Se, Te) Eur J Inorg Chem. 2010;2010:468–475. [Google Scholar]
- 193.Davidson JL, Sharp DWA. The Formation of Some Transition-Metal Trifluoromethylthio-Derivatives. J Chem Soc, Dalton Trans. 1972:107–109. [Google Scholar]
- 194.Grobe J, Kober F. Perfluoromethyl-Element-Ligands. VI. CF3S Derivatives of Iron Carbonyl and Manganese Carbonyl. Z Naturforsch, B: J Chem Sci. 1969;24:1346–1347. [Google Scholar]
- 195.Treichel PM, Crane RA, Matthews R, Bonnin KR, Powell D. The Synthesis of New Thiolato Bridged-Iron Carbonyl Complexes. J Organomet Chem. 1991;402:233–248. [Google Scholar]
- 196.Apfel UP, et al. Reaction of Fe3(CO)12 with Octreotide-Chemical, Electrochemical and Biological Investigations. Dalton Trans. 2010;39:3065–3071. doi: 10.1039/b921299j. [DOI] [PubMed] [Google Scholar]
- 197.Shaver A, Lopez O, Harpp DN. The Reactions of Organosulfur Transfer Reagents with Fe2(CO)9 and the Synthesis of the Fe2(CO)6 Derivative of α-Lipoic Acid. Inorg Chim Acta. 1986;119:13–18. [Google Scholar]
- 198.Song LC, Yang ZY, Hua YJ, Wang HT, Liu Y, Hu QM. Diiron Thiadithiolates as Active Site Models for the Iron-Only Hydrogenases: Synthesis, Structures, and Catalytic H2 Production. Organometallics. 2007;26:2106–2110. [Google Scholar]
- 199.Windhager J, Rudolph M, Bräutigam S, Görls H, Weigand W. Reactions of 1,2,4-Trithiolane, 1,2,5-Trithiepane, 1,2,5-Trithiocane and 1,2,6-Trithionane with Nonacarbonyldiiron: Structural Determination and Electrochemical Investigation. Eur J Inorg Chem. 2007;2007:2748–2760. [Google Scholar]
- 200.Windhager J, Görls H, Petzold H, Mloston G, Linti G, Weigand W. Reactions of 1,2,4-Trithiolanes with Nonacarbonyldiiron: Sulfurdithiolatodiiron and -tetrairon Complexes as Mimics for the Active Site of [Fe-Only] Hydrogenase. Eur J Inorg Chem. 2007;2007:4462–4471. [Google Scholar]
- 201.Windhager J, Apfel UP, Yoshino T, Nakata N, Görls H, Rudolph M, Ishii A, Weigand W. Reactions of 7,8-Dithiabicyclo[4.2.1]nona-2,4-diene 7-exo-Oxide with Dodecacarbonyl Triiron Fe3(CO)12: a Novel Type of Sulfenato Thiolato Diiron Hexacarbonyl Complexes. Chem - Asian J. 2010;5:1600–1610. doi: 10.1002/asia.200900733. [DOI] [PubMed] [Google Scholar]
- 202.Kilian P, Knight FR, Woollins JD. Synthesis of Ligands Based on Naphthalene peri-Substituted by Group 15 and 16 Elements and Their Coordination Chemistry. Coord Chem Rev. 2011;255:1387–1413. [Google Scholar]
- 203.Figliola C, Male L, Horton PN, Pitak MB, Coles SJ, Horswell SL, Grainger RS. [FeFe]-Hydrogenase Synthetic Mimics Based on peri-Substituted Dichalcogenides. Organometallics. 2014;33:4449–4460. [Google Scholar]
- 204.Topf C, Monkowius U, Knör G. Design, Synthesis and Characterization of a Modular Bridging Ligand Platform for Bio-Inspired Hydrogen Production. Inorg Chem Commun. 2012;21:147–150. doi: 10.1016/j.inoche.2012.04.034. [DOI] [PMC free article] [PubMed] [Google Scholar]
- 205.Samuel APS, Co DT, Stern CL, Wasielewski MR. Ultrafast Photodriven Intramolecular Electron Transfer from a Zinc Porphyrin to a Readily Reduced Diiron Hydrogenase Model Complex. J Am Chem Soc. 2010;132:8813–8815. doi: 10.1021/ja100016v. [DOI] [PubMed] [Google Scholar]
- 206.Li P, Amirjalayer S, Hartl F, Lutz M, de Bruin B, Becker R, Woutersen S, Reek JNH. Direct Probing of Photoinduced Electron Transfer in a Self-Assembled Biomimetic [2Fe2S]-Hydrogenase Complex Using Ultrafast Vibrational Spectroscopy. Inorg Chem. 2014;53:5373–5383. doi: 10.1021/ic500777d. [DOI] [PubMed] [Google Scholar]
- 207.Teo BK, Wudl F, Hauser JJ, Kruger A. Reactions of Tetrathionaphthalene with Transition Metal Carbonyls. Synthesis and Characterization of Two New Organometallic Semiconductors (C10H4S4Ni)X and [C10H4S4Co2(CO)2]X and a Tetrairon Cluster C10H4S4Fe4(CO)12. J Am Chem Soc. 1977;99:4862–4863. [Google Scholar]
- 208.Li P, Wang M, Pan J, Chen L, Wang N, Sun L. [FeFe]-Hydrogenase Active Site Models with Relatively Low Reduction Potentials: Diiron Dithiolate Complexes Containing Rigid Bridges. J Inorg Biochem. 2008;102:952–959. doi: 10.1016/j.jinorgbio.2007.12.018. [DOI] [PubMed] [Google Scholar]
- 209.Bird PH, Siriwardane U, Shaver A, Lopez O, Harpp DN. An Unusual Bonding Mode for a Dithiocarboxylate Ligand: a Tetradentate Interaction; X-Ray Crystal Structure of the Product of the Reaction of Nonacarbonyldi-Iron with 1,2-Benzodithiole-3-thione. J Chem Soc, Chem Commun. 1981:513–514. [Google Scholar]
- 210.Wiederhold M, Behrens U. Complexes of Transition-Metals and Heteroallenes. XXIII. Reactions of the Cluster Complex (Thioketene)Fe2(CO)6 with Arsa-Chelate Ligands. J Organomet Chem. 1990;384:49–59. [Google Scholar]
- 211.Seitz K, Benecke J, Behrens U. Transition-Metal Heteroallene Complexes. XXII. Dinuclear Cobalt and Iron Complexes with Bis(trifluoromethyl)- and Bis(ethoxycarbonyl)thioketene as Ligands. J Organomet Chem. 1989;371:247–256. [Google Scholar]
- 212.Wormsbacher D, Edelmann F, Behrens U. Transition-Metal Thioketene Complexes. II. Synthesis and Structure of Carbonyl Iron Complexes of Stable Alkylthioketene. Chem Ber. 1981;114:153–158. [Google Scholar]
- 213.Umland H, Behrens U. Transition Metal-Thioketene Complexes. VII. Production of Vinylidene Complexes in a Thioketene through Sulfur Separation. J Organomet Chem. 1984;273:C39–C42. [Google Scholar]
- 214.Steudel R. The Chemistry of Organic Polysulfanes R-Sn-R (n > 2) Chem Rev. 2002;102:3905–3945. doi: 10.1021/cr010127m. [DOI] [PubMed] [Google Scholar]
- 215.Krause RA, Ruggles CR. The Reaction of Dibenzyltetrasulfide with Fe3(CO)12. Inorg Nucl Chem Lett. 1968;4:555–558. [Google Scholar]
- 216.Chernyshev EA, Kuzmin OV, Lebedev AV, Mrachkovskaya TA, Gusev AI, Kirillova NI, Kisin AV. Trimethylallylsilane Reaction with Element Sulfur in the Presence of Triferrododecarbonyl. Zh Obshch Khim. 1986;56:367–371. [Google Scholar]
- 217.Seyferth D, Hames BW. Synthesis of μ,μ′-(1,1′-Dithiolatoferrocene)hexacarbonyldiiron. Inorg Chim Acta. 1983;77:L1–L2. [Google Scholar]
- 218.Shaver A, Fitzpatrick PJ, Steliou K, Butler IS. Structure and Variable Temperature 13C NMR Spectra of μ,μ′-(1,3-Dithiolato-cyclohepta-4,6-diene)hexacarbonyldiiron(I) J Organomet Chem. 1979;172:C59–C62. [Google Scholar]
- 219.Adeleke JA, Chen YW, Liu LK. Preparation and Crystal Structures of syn-[(μ-SPh)Fe(CO)3]2, (C5H4SPh)2Fe, (C5H5)Fe-(C5H4SPh), and (C5H4SPh)Fe(C5H4PPh2) Organometallics. 1992;11:2543–2550. [Google Scholar]
- 220.Koray AR, Ziegler ML. Metal Complexes of Cyclophans. I. Synthesis and Characterization of μ-(1,3-Propanedithiolato(2-)-S,S′:S,S′)-bis(tricarbonyliron)-(Fe-Fe), Dynamic Organometallic Tricyclic System. J Organomet Chem. 1979;169:C34–C36. [Google Scholar]
- 221.Linford L, Raubenheimer HG. Formation and Reactions of Organosulfur and Organoselenium Organometallic Compounds. Adv Organomet Chem. 1991;32:1–119. [Google Scholar]
- 222.Ortega-Alfaro MC, Alcantara O, Orrala M, López-Cortés JG, Toscano RA, Alvarez-Toledano C. C-S Bond Activation of Two Novel Asymmetric α-azo-Ketenedithioacetals Using Fe2(CO)9. Organometallics. 2007;26:1895–1899. [Google Scholar]
- 223.Hughes DL, Leigh GJ, Paulson DR. The search for a coordinated dialkyl disulfide: the crystal and molecular structure of (μ-ethanedithiolato)bis(tricarbonyliron) (Fe-Fe) Inorg Chim Acta. 1986;120:191–195. [Google Scholar]
- 224.Ortega-Jiménez F, Ortega-Alfaro MC, López-Cortés JG, Gutiérrez-Pérez R, Toscano RA, Velasco-Ibarra L, Peña-Cabrera E, Alvarez-Toledano C. Synthesis and Characterization of Novel Iron(0) Complexes Derived From α,β-Unsaturated-Ketone Analogues with β-Positioned Heteroatoms Containing Covalent and Coordination Bonds. Organometallics. 2000;19:4127–4133. [Google Scholar]
- 225.Shaver A, Fitzpatrick PJ, Steliou K, Butler IS. Reductive Decyclization of Organosulfur Compounds. Preparation and Crystal Structure of μ,μ′-Dithiolato-methanehexacarbonyldiiron(I) J Am Chem Soc. 1979;101:1313–1315. [Google Scholar]
- 226.Womack GB. PhD Thesis. Massachusetts Institute of Technology; 1984. Synthesis and Reactivity of Organosulfur Iron Complexes. [Google Scholar]
- 227.Lotz S, Van Rooyen PH, Van Dyk MM. Use of Organolithium Reagents in the Synthesis of Diiron Complexes with Bridged and Terminal Carbene Ligands. X-Ray Structures of (CO)3Fe[(μ-C(OEt)-η2-C6H4NMe2)]Fe(CO)3 and (CO)3Fe[(S-(CH2)3S)]Fe(CO)2[(C(OEt)Ph)] Organometallics. 1987;6:499–505. [Google Scholar]
- 228.King RB, Treichel PM, Stone FGA. Chemistry of Metal Carbonyls. XIV. New Organosulfur Derivatives of Iron and Cobalt. J Am Chem Soc. 1961;83:3600–3604. [Google Scholar]
- 229.Kuniyasu H, Ohtaka A, Nakazono T, Kinomoto M, Kurosawa H. The Key to Oxidative Addition of Acyclic Vinyl Sulfide to M(0) Complex. J Am Chem Soc. 2000;122:2375–2376. [Google Scholar]
- 230.Bird CW, Hollins EM. The Reaction of 1,4-Dithiins with Iron Carbonyls. J Organomet Chem. 1965;4:245–246. [Google Scholar]
- 231.Cotton FA, Troup JM. New Derivative of Triiron Dodecacarbonyl with Borderline Carbonyl Bridges. Octacarbonyldi-(Tetrahydrothiophene)Triiron. J Am Chem Soc. 1974;96:5070–5073. [Google Scholar]
- 232.Zhao X, Chiang CY, Miller ML, Rampersad MV, Darensbourg MY. Activation of Alkenes and H2 by [Fe]-H2ase Model Complexes. J Am Chem Soc. 2003;125:518–524. doi: 10.1021/ja0280168. [DOI] [PubMed] [Google Scholar]
- 233.Nametkin NS, Tyurin VD, Podol’skaya IP. Desulfurization of tetrahydrothiophene in the presence of triiron dodecacarbonyl. Izv Akad Nauk SSSR, Ser Khim. 1983:1667–1669. [Google Scholar]
- 234.Raubenheimer HG, Linford L, Lombard AV. Preparation of Dinuclear Iron Carbonyl Compounds Containing a Three-Electron CH2-S Bridging Fragment. Organometallics. 1989;8:2062–2063. [Google Scholar]
- 235.Carleton SC, Kennedy FG, Knox SAR. Organosulfur-Transition-Metal Chemistry. 6. Reactions of Cyclo-octatetraenyl and Cycloheptatrienyl Thioethers with Metal Carbonyls. J Chem Soc, Dalton Trans. 1981:2230–2234. [Google Scholar]
- 236.Havlin R, Knox GR. The Identity of CH2S2Fe3(CO)10 and S2Fe3(CO)9. J Organomet Chem. 1965;4:247–249. [Google Scholar]
- 237.Trost BM, Ziman SD. Desulfurization of Episulfides. A Sulfurane Reaction. J Org Chem. 1973;38:932–936. [Google Scholar]
- 238.King RB. Organosulfur Derivatives of Metal Carbonyls. II. The Reaction between Triiron Dodecacarbonyl and Certain Episulfide Derivatives. Inorg Chem. 1963;2:326–327. [Google Scholar]
- 239.Adams RD, Babin JE. Ligand substitution vs. ligand addition. 1. Differences in reactivity between first- and third-row transition-metal clusters. Reactions of dimethylamine with the sulfidometal carbonyl clusters M3(CO)9(μ3-S)2 (M = Fe, Os) Inorg Chem. 1986;25:3418–3422. [Google Scholar]
- 240.Zhang QQ, Dickson RS, Fallon GD, Mayadunne R. A Comparison of the Reactions of Pentacarbonyliron with Cyclic Thioethers and Related Dialkyl Sulfides. J Organomet Chem. 2001;627:201–205. [Google Scholar]
- 241.Messelhäuser J, Lorenz IP, Haug K, Hiller W. Synthesis and Structure of the Ethenedithiolato Complex [(CO)3FeSCH2]2, an Analogon of Dihydrobenzvalene. Z Naturforsch, B: J Chem Sci. 1985;40:1064–1067. [Google Scholar]
- 242.Dittmer DC, Takahashi K, Iwanami M, Tsai AI, Chang PL, Blidner BB, Stamos IK. Iron and Cobalt Complexes of Thioacroleins Derived from Thietes. J Am Chem Soc. 1976;98:2795–2803. [Google Scholar]
- 243.Daraosheh AQ, Apfel UP, Görls H, Friebe C, Schubert US, El-Khateeb M, Mloston G, Weigand W. New Approach to [FeFe]-Hydrogenase Models Using Aromatic Thioketones. Eur J Inorg Chem. 2012;2012:318–326. [Google Scholar]
- 244.Alper H, Chan ASK. Sulfur-Donor Ligand Ortho-Metalated Complexes Derived from Thiobenzophenones. A Simple Approach to Isobenzothiophene Heterocycles. J Am Chem Soc. 1973;95:4905–4913. [Google Scholar]
- 245.Daraosheh AQ, Görls H, El-Khateeb M, Mloston G, Weigand W. Reactions of Selected Aromatic Thioketones with Dodecarbonyltriiron. Eur J Inorg Chem. 2011;2011:349–355. [Google Scholar]
- 246.Mousser H, Darchen A, Mousser A. Unexpected Fragmentation of Phenyldithiobenzoate, Formation and X-Ray Structure of [μ,η2(S,S)-1,2-(Dithio)-1,2-(diphenylethylene)] Diiron Hexacarbonyl Complex. J Organomet Chem. 2010;695:786–791. [Google Scholar]
- 247.Zhao P, Bertke JA, Rauchfuss TB. Crystal Structure of [μ2-3,3-Dimethyl-4-(propan-2-ylidene)thietane-2,2-dithiolato-κ4S:S′:S:S′]-bis[tricarbonyliron(I)](Fe-Fe) Acta Cryst E. 2015;71:1296–1299. doi: 10.1107/S2056989015018496. [DOI] [PMC free article] [PubMed] [Google Scholar]
- 248.Patin H, Mignani G, Mahé C, Lemarouille JY, Benoit A, Grandjean D. Ferrocenyltrithiocarbonates. II. Synthesis and X-Ray Structure Determination of Diiron Hexacarbonyl Complexes. J Organomet Chem. 1980;197:315–325. [Google Scholar]
- 249.Kruger GJ, Lombard AV, Raubenheimer HG. Carbonyl Insertion into a C-S Bond and Complex Dimerization during Reaction of the Dithioesters S═C(Me)SEt and S═C(Ph)SMe with Iron Carbonyl Complexes. J Organomet Chem. 1987;331:247–262. [Google Scholar]
- 250.Dadamoussa B, Mousser H, Patin H, Darchen A, Mousser A, Grandjean D. Synthesis, Reactivity, and Electrochemical Studies of Trithiocarbonate Fe2(CO)5L Complexes. Structure of the Monophosphite Complex [μ-η3-(S)CSC2H4S][Fe2(CO)5][P(OMe)3] J Soc Alger Chim. 1999;9:47–58. [Google Scholar]
- 251.Dettlaf G, Behrens U, Weiss E. Transition Metal-Thiokelone Complexes. Synthesis and Structural Determination of Tetracarbonyl(diphenylcyclopropenethione)iron, [C3(C6H5)2S]Fe-(CO)4. J Organomet Chem. 1978;152:95–99. [Google Scholar]
- 252.Weigand W, Wünsch R, Robl C, Mloston G, Nöth H, Schmidt M. Metal Complexes of Functionalized Sulfur Containing Ligands, XV [1]. Reactions of Platinum(O) Complexes with 1,2,4-Trithiolanes, 1,2,4,5-Tetrathianes, 1,2,3,5,6-Pentathiepanes as well as Thioketones. X-Ray Structure Analysis of (Ph3P)2Pt(η2-Ph2C═S) Z Naturforsch, B: J Chem Sci. 2000;55:453–458. [Google Scholar]
- 253.Huisgen R, Rapp J. 1,3-Dipolar cycloadditions. 98. The chemistry of thiocarbonyl S-sulfides. Tetrahedron. 1997;53:939–960. [Google Scholar]
- 254.Huisgen R, Rapp J. Thiocarbonyl S-sulfides, a new class of 1,3-dipoles. J Am Chem Soc. 1987;109:902–903. [Google Scholar]
- 255.Alper H, Chan ASK. Iron Carbonyl Complexes of Thioureas and Thioamides. Inorg Chem. 1974;13:225–232. [Google Scholar]
- 256.Alper H, Chan ASK. Reactions of nonaromatic thioketones with diiron enneacarbonyl. Inorg Chem. 1974;13:232–236. [Google Scholar]
- 257.Okazaki R, Tokitoh N. Heavy Ketones, the Heavier Element Congeners of a Ketone. Acc Chem Res. 2000;33:625–630. doi: 10.1021/ar980073b. [DOI] [PubMed] [Google Scholar]
- 258.Behrens U, Edelmann F. Carbonyl—metall-komplexe von heterokumulenen: I. Übergangsmetall—thioketen-komplexe: Über hexacarbonyl-(1,1,3,3-tetramethyl-2-thiocarbonylcyclohexan)-dieisen(0) und pentacarbonyl-(1,1,3,3-tetramethyl-2-thiocarbonylcyclohexan)-chrom(0) J Organomet Chem. 1976;118:C41–C43. [Google Scholar]
- 259.Broadhurst PV. Transition-Metal Thiocarbonyl Complexes: Preparative Methods, Reactivity and Thiocarbonyl Ligand Bonding Properties. Polyhedron. 1985;4:1801–1846. [Google Scholar]
- 260.Mathur P, Tauqeer M, Ji RS, Rai DK, Mobin SM, Lahiri GK. Formation of 3,5-Dithio-cyclopentenyl Ligand on Fe2(CO)6 Support from Photochemical Reaction of Internal Acetylenes with [Fe(CO)5] in Presence of CS2. J Cluster Sci. 2015;26:157–167. [Google Scholar]
- 261.Shi YC, Cheng HR, Yuan LM, Li QK. μ4-Orthothiocarbonato-tetrakis[tricarbonyliron(I)](2 Fe-Fe) Acta Crystallogr, Sect E: Struct Rep Online. 2011;67:m1534. doi: 10.1107/S1600536811041936. [DOI] [PMC free article] [PubMed] [Google Scholar]
- 262.Hoyer E. Facts and Fantasy on Tetrathio Oxalate-Activation and Condensation of Carbon Disulfide. Comments Inorg Chem. 1983;2:261–270. [Google Scholar]
- 263.Holloway GA, Rauchfuss TB. Direct Observation of Ligand-Centered Redox in Cp*2Rh2(μ-C2S4)Clx (x = 2, 0) Inorg Chem. 1999;38:3018–3019. [Google Scholar]
- 264.Broadhurst PV, Johson BFG, Lewis J, Raithby PR. Reactions of CS2 with Metal Cluster Carbonyls of the Iron Triad: Synthesis and X-Ray Crystal Structure of [Fe4(CO)12(C2S4)] J Chem Soc, Chem Commun. 1982:140–141. [Google Scholar]
- 265.Kruger GJ, Lombard AVA, Raubenheimer HG. Carbonyl insertion into a carbon-sulfur bond and complex dimerization during reaction of the dithioesters ethyl dithioacetate and methyl dithiobenzoate with iron carbonyl complexes. J Organomet Chem. 1987;331:247–262. [Google Scholar]
- 266.Lagadec A, Misterkiewicz B, Darchen A, Grandjean D, Mousser A, Patin H. Unexpected Formation of [μ-η2-(S)(S)-CSC2H4S][η1-CSC2H4S]Fe2(CO)5: Structure and Dynamic Behavior. Organometallics. 1988;7:242–244. [Google Scholar]
- 267.Dadamoussa B, Darchen A, L’Haridon P, Larpent C, Patin H, Thepot JY. Carbon Migration Along the Fe-Fe Bond during the Transformation of [(μ-η3-SCS(CH2)2S)Fe2(CO)5L] into [(μ-η2-CH2═CHSCS)(μ-CH3S)Fe2(CO)5L] Organometallics. 1989;8:564–566. [Google Scholar]
- 268.Lagadec A, Dabard R, Misterkiewicz B, Lerouzic A, Patin H. Dithiocarbonate Decarbonylation: General Route to Binuclear Bis-μ-(S-alkyl)-hexacarbonyldiiron Complexes. J Organomet Chem. 1987;326:381–387. [Google Scholar]
- 269.Patin H, Mignani G, Mahe C, Le Marouille JY, Benoit A, Grandjean D. Iron carbonyl complexes of dithiocarbonates. X-ray crystal structure of Fe4(CO)12S(SCH2C5H4FeC5H5) (SCH3) J Organomet Chem. 1981;210:C1–C4. [Google Scholar]
- 270.Hong FE, Huang YL, Chen PP, Chang YC. The reactions of 4,6-dimethyl-2-mercaptopyrimidine with dimetallic compounds: diiron nonacarbonyl and cyclopentadienylmolybedenum tricarbonyl dimer. J Organomet Chem. 2002;655:49–54. [Google Scholar]
- 271.Siebenlist R, Fruhauf HW, Kooijman H, Veldman N, Spek AL, Goubitz K, Fraanje J. 1,3-Dipolar Cycloaddition to the Fe-S═C Fragment 20. Preparation and Properties of Carbonyliron Complexes of Di-Thiooxamide. Reactivity of the Mononuclear (Di-Thiooxamide)Fe(CO)3 towards Dimethyl Acetylenedicarboxylate. Inorg Chim Acta. 2002;327:66–89. [Google Scholar]
- 272.Barnard KR, Wedd AG, Tiekink ERT. Molybdenum dithiooxamide complexes: is the ligand oxidized or reduced? Inorg Chem. 1990;29:891–892. [Google Scholar]
- 273.Petz W, Weller F. Thiocarbonyl Complexes of Iron: Formation of Dinuclear Compounds by the Phosphine-Induced CO-CS Coupling in the Reaction of Fe(CO)4CS with P(NMe2)3Molecular Structure of Fe2(CO)6S2COCP(NMe2)3. Organometallics. 1993;12:4056–4060. [Google Scholar]
- 274.Glass WK, McBreen JO. Reaction of Di-Iron Enneacarbonyl with N-Sulfinylphenylhydrazine. J Organomet Chem. 1980;198:71–72. [Google Scholar]
- 275.Huber C, Wächtershäuser G. Activated Acetic Acid by Carbon Fixation on (Fe,Ni)S Under Primordial Conditions. Science. 1997;276:245–247. doi: 10.1126/science.276.5310.245. [DOI] [PubMed] [Google Scholar]
- 276.Huber C, Wächtershäuser G. Peptides by Activation of Amino Acids With CO on (Ni,Fe)S Surfaces: Implications for the Origin of Life. Science. 1998;281:670–672. doi: 10.1126/science.281.5377.670. [DOI] [PubMed] [Google Scholar]
- 277.Royer AM, Salomone-Stagni M, Rauchfuss TB, Meyer-Klaucke W. Iron Acyl Thiolato Carbonyls: Structural Models for the Active Site of the [Fe]-Hydrogenase (Hmd) J Am Chem Soc. 2010;132:16997–17003. doi: 10.1021/ja1072228. [DOI] [PMC free article] [PubMed] [Google Scholar]
- 278.Royer AM, Rauchfuss TB, Gray DL. Oxidative Addition of Thioesters to Iron(0): Active-Site Models for Hmd, Nature’s Third Hydrogenase. Organometallics. 2009;28:3618–3620. [Google Scholar]
- 279.Long L, Xiao Z, Zampella G, Wei Z, De Gioia L, Liu X. The Reactions of Pyridinyl Thioesters with Triiron Dodecacarbonyl: Their Novel Diiron Carbonyl Complexes and Mechanistic Investigations. Dalton Trans. 2012;41:9482–9492. doi: 10.1039/c2dt30798g. [DOI] [PubMed] [Google Scholar]
- 280.Nametkin NS, et al. Synthesis and Structure of Dithiodiiron Heptacarbonyl. J Organomet Chem. 1984;276:393–397. [Google Scholar]
- 281.Lebedev AV. Interaction of Dimethylvinylferrocenylsilane with Elemental Sulfur in the Presence of Fe3(CO)12. Zh Obshch Khim. 1993;63:1780–1784. [Google Scholar]
- 282.Nametkin NS, Aleksandrov GG, Petrosyan IV, Kolobkov BI, Krapivin AM, Struchkov YT. Reactions of Olefins with Elementary Sulfur in the Presence of Triiron Dodecacarbonyl. Izv Akad Nauk SSSR, Ser Khim. 1981:2572–2577. [Google Scholar]
- 283.Chernyshev EA, et al. Synthesis of Trimethylsilyl-μ-S,S′-Ethylenedithiolatohexacarbonyldiiron and 1-Methyl-3-trimethylsilyl-2,5-dithiacyclopentane by Reaction of Trimethylvinylsilane with S8 in the Presence of Fe3(CO)12. J Organomet Chem. 1983;252:143–148. [Google Scholar]
- 284.Kolobkov BI, Nekhaev AI, Aleksandrov GG, Tashev MT, Dustov KB, Parpiev NA. Synthesis and Crystalline Structure of [S,S′-(1,2-Hexylene)di-μ-thio(Fe3,Fe4)-tricarbonyliron][μ3-thio-(Fe1,Fe2,Fe3)-μ-carbonyl(Fe1,Fe3)-μ-carbonyl-(Fe2,Fe3)-hexacarbonyltriiron] Koord Khim. 1988;14:558–562. [Google Scholar]
- 285.Kolobkov BI, Nekhaev AI, Aleksandrov GG, Tashev MT, Dustov HB, Sideridu AY. Stable Complex [Fe3-μ-(CO)2(CO)6-μ3-S][Fe(CO)3-μ-S2C6H12] with Unusual Octacoordinated Iron. Izv Akad Nauk SSSR, Ser Khim. 1987:953–954. [Google Scholar]
- 286.Nametkin NS, Tyurin VD, Petrosyan IV, Kolobkov BI, Krapivin AM. Interaction of Elementary Sulfur with Dodecacarbonyltriiron in the Presence of 1-Hexene. Izv Akad Nauk SSSR, Ser Khim. 1980:1688–1689. [Google Scholar]
- 287.Nekhaev AI, Kolobkov BI, Aleksandrov GG, Tashev MT, Dustov KB, Parpiev NA. Synthesis and Crystalline Structure of μ-[S,S′-(2,2-Tetrahydrofurylene)dithio]-hexacarbonyldiiron Fe2(C4H6OS2)(CO)6. Koord Khim. 1988;14:416–420. [Google Scholar]
- 288.Nekhaev AI, Kolobkov BI, Aleksandrov GG, Tashev MT, Dustov KB, Parpiev NA. Activation of Carbon-Hydrogen Bonds in Tetrahydrofuran. Izv Akad Nauk SSSR, Ser Khim. 1987:698–699. [Google Scholar]
- 289.Kolobkov BI, Nametkin NS, Tyurin VD, Nekhaev AI, Aleksandrov GG, Tashev MT, Dustov HB. Synthesis and Structure of Bis(μ-cyclohexene-2-ylthio)-μ4-thiododecacarbonyltetrairon. J Organomet Chem. 1986;301:349–354. [Google Scholar]
- 290.Nekhaev AI, Kolobkov BI, Semenov IP, Aleksandrov GG, Tashev MT, Dustov KB. Bis(μ-Cyclohexen-2-ylthiolato)-μ4-Dithiooctadecacarbonylhexairon. Izv Akad Nauk SSSR, Ser Khim. 1987:458. [Google Scholar]
- 291.Nekhaev AI, Kolobkov BI, Aleksandrov GG, Parpiev NA, Tashev MT, Dustov KB. Preparation, Crystalline and Molecular Structure of the Bis(μ-cyclohexen-2-ylthio)-μ4-dithiooctadecacarbonylhexairon. Koord Khim. 1988;14:273–279. [Google Scholar]
- 292.Nametkin NS, Tyurin VD, Petrosyan IV, Popov AV, Kolobkov BI, Krapivin AM. Reaction of Cyclohexene with Elementary Sulfur in the Presence of Triirondodecacarbonyl. Izv Akad Nauk SSSR, Ser Khim. 1980:2841. [Google Scholar]
- 293.Nekhaev AI, Kolobkov BI, Tashev MT, Dustov KB, Aleksandrov GG. Reaction of Styrene with Sulfur and Dodecacarbonyltriiron, and Molecular Structure of Complex Fe2(CO)6(S2CH2S) Izv Akad Nauk SSSR, Ser Khim. 1991:930–934. [Google Scholar]
- 294.Nametkin NS, Tyurin VD, Kolobkov BI, Krapivin AM. Insertion of Styrene into Dithiodiironhexacarbonyl. Izv Akad Nauk SSSR, Ser Khim. 1983:1212–1213. [Google Scholar]
- 295.Nekhaev AI, Kolobkov BI, Tashev MT, Dustov KB, Aleksandrov GG. Unexpected Formation of Fe2(CO)6(S3CH2) as a Result of the Interaction of Styrene with Fe3(CO)12 and Sulfur. Izv Akad Nauk SSSR, Ser Khim. 1989:1705. [Google Scholar]
- 296.Wu X, Bose KS, Sinn E, Averill BA. Isolation and X-Ray Structure of an Intermediate in the Reaction of (μ-S)2Fe2(CO)6 with Thiolates: the [(μ-S)(μ-S2-t-Bu)Fe2(CO)6]− Ion. Organometallics. 1989;8:251–253. [Google Scholar]
- 297.Nametkin NS, Tyurin VD, Nekhaev AI, Kondrateva MG, Sobolev YP. Reaction of Triiron Dodecacarbonyl with Benzalaniline and Sulfur. Izv Akad Nauk SSSR, Ser Khim. 1981:217–218. [Google Scholar]
- 298.Mathur P, Singh VK, Singh AK, Mobin SM, Thone C. Photochemical Reactions of Fe(CO)5 with FcC≡CH in the Presence of S-powder and CS2: Synthesis and Characterization of [{μ-SC(H)═C(Fc)S}(CO)6Fe2], [μ-SC(O)C(H)═C(Fc)S}(CO)6Fe2]; cis-[μ-η1:η2:η1:η1-{C(Fc)═C(H)CS2C(H)═C(Fc)}(CO)6Fe2] and trans-[μ-η1:η2:η1:η1-{C(Fc)═C(H)CS2C(Fc)═C(H)}(CO)6Fe2] J Organomet Chem. 2006;691:3336–3342. [Google Scholar]
- 299.Mathur P, Ji RS, Tauqeer M, Lahiri GK, Mobin SM. Synthesis and Characterization of a Novel Unfused 1, 4-Diselenine. J Organomet Chem. 2012;721–722:186–189. [Google Scholar]
- 300.Nekhaev AI, Alekseeva SD, Kolobkov BI, Aleksandrov GG, Toshev MT, Dustov HB. Synthesis and Structure of the Trinuclear Cluster Fe3(η4-C6H8)(μ-CO)2(CO)6(μ3-S) J Organomet Chem. 1991;401:75–80. [Google Scholar]
- 301.Parpiev NA, Toshev MT, Dustov KB, Aleksandrov GG, Nekhaev AI, Alekseeva SD, Kolobkov BI. Synthesis and Crystal and Molecular Structure of μ3-Thio-η4-cyclohexadiene-1,3-(Fe1)-di-μ-carbonyl-(Fe1,Fe2;Fe1,Fe3)hexacarbonyltriiron. Dokl Akad Nauk SSSR. 1988:47–49. [Google Scholar]
- 302.Nekhaev AI, Aleksseva SD, Nametkin NS, Tyurin VD, Kolobkov BI, Lebedeva TL. Interaction of Cyclic Dienes with Sulfur and Dodecacarbonyltriiron (Fe3(CO)12) Neftekhimiya. 1986;26:239–246. [Google Scholar]
- 303.Nekhaev AI, Alekseeva SD, Nametkin NS, Tyurin VD, Kolobkov BI, Aleksandrov GG, Parpiev NA, Tashev MT, Dustov HB. Synthesis and Structure of Three Products of the Reaction of Norbornadiene with Elemental Sulfur and Dodecacarbonyltriiron. J Organomet Chem. 1985;297:C33–C36. [Google Scholar]
- 304.Nekhaev AI, Alekseeva SD, Kolobkov BI, Aleksandrov GG, Toshev MT, Dustov HB, Parpiev NA. Synthesis and Crystal Structure of the Fourth Isomeric Product of the Reaction of Norbornadiene with Sulfur and Dodecacarbonyltriiron. J Organomet Chem. 1991;401:65–73. [Google Scholar]
- 305.Parpiev NA, Toshev MT, Dustov KB, Aleksandrov GG, Nekhaev AI, Alekseeva SD, Kolobkov BI. Synthesis and Crystal Structure of μ-(S,S′-Bicyclo[2.2.1]hept-5-en-2,2-ylenedithiolato)hexacarbonyldiiron. Dokl Akad Nauk SSSR. 1988:44–45. [Google Scholar]
- 306.Aleksandrov GG, Alekseeva SD, Nametkin NS, Nekhaev AI, Kolobkov BI, Parpiev NA, Tashev MT, Tyurin VD, Dustov KB. Crystal Structure of μ-[S,S′-Bicyclo[2.2.1]hept-5-en-2,3-ylenedithiolato]hexacarbonyldiiron and the Molecular Mixture (2:1) of μ-[S′S′-Bicyclo[2.2.1]hept-5-en-2,7-ylenedithiolato]-hexacarbonyldiiron with μ-[S,S′-Tricyclo[2.2.1.03,5]hept-2,6-ylenedithiolato]hexacarbonyldiiron. Koord Khim. 1987;13:410–414. [Google Scholar]
- 307.Aleksandrov GG, Nekhaev AI, Kolobkov BI, Tashev MT, Dustov KB, Tyurin VD, Nametkin NS. Synthesis and Crystal Structure of μ-[S,S′-Tricyclo[2.2.1.0.3,5]hept-2,6-ylenedithiolato]-hexacarbonyldiiron. Dokl Akad Nauk SSSR. 1986;289:880–883. [Google Scholar]
- 308.Barton BE. PhD Thesis. University of Illinois; Urbana-Champaign: 2010. Hydrogen Production From Model Complexes of the [FeFe]- and [NiFe]-Hydrogenase Active Sites. [Google Scholar]
- 309.Sellmann D, Lauderbach F, Heinemann FW. Trinuclear [NiFe] Clusters as Structural Models for [NiFe] Hydrogenase Active Sites. Eur J Inorg Chem. 2005;2005:371–377. [Google Scholar]
- 310.Schrauzer GN, Mayweg VP, Finck HW, Heinrich W. Coordination Compounds with Delocalized Ground States. Bisdithio-diketone Complexes of Iron and Cobalt. J Am Chem Soc. 1966;88:4604–4609. [Google Scholar]
- 311.Weber HP, Bryan RF. Metal-Metal Bonding in Co-Ordination Complexes. II. Crystal Structure of μμ′ (cis-Stilbene-α,β-dithiolato)-bis(tricarbonyliron) J Chem Soc A. 1967;0:182–191. [Google Scholar]
- 312.Nihei M, Nankawa T, Kurihara M, Nishihara H. Synthesis, Structure, and Redox Properties of [{(η5-C5H5)Co(S2C6H4)}2Mo-(CO)2], a Novel Metalladithiolene Cluster. Angew Chem, Int Ed. 1999;38:1098–1100. doi: 10.1002/(SICI)1521-3773(19990419)38:8<1098::AID-ANIE1098>3.0.CO;2-0. [DOI] [PubMed] [Google Scholar]
- 313.Hossain MM, Lin HM, Shyu SG. Synthesis and Structure of Heterobimetallic Compounds with a Single Thiolato-Bridged Ligand. Eur J Inorg Chem. 2001;2001:2655–2659. [Google Scholar]
- 314.Angamuthu R, Carroll ME, Ramesh M, Rauchfuss TB. A New Route to Azadithiolato Complexes. Eur J Inorg Chem. 2011;2011:1029–1032. doi: 10.1002/ejic.201001208. [DOI] [PMC free article] [PubMed] [Google Scholar]
- 315.Ghosh S, Kabir SE, Pervin S, Hossain GMG, Haworth DT, Lindeman SV, Siddiquee TA, Bennett DW, Roesky HW. New Mixed-Metal Carbonyl Complexes Containing Bridging 2-Mercapto-1-methylimidazole Ligand. Z Anorg Allg Chem. 2009;635:76–87. [Google Scholar]
- 316.Coleman JM, Wojcicki A, Pollick PJ, Dahl LF. Preparation and Structure of [CH3SFe2(CO)6]2S: An Organometallic Complex Containing a Tetrahedral-Like Sulfur Atom Coordinated to Four Metal Atoms. Inorg Chem. 1967;6:1236–1242. [Google Scholar]
- 317.Harb MK, et al. Preparation and Characterization of Homologous Diiron Dithiolato, Diselenato, and Ditellurato Complexes: [FeFe]-Hydrogenase Models. Organometallics. 2009;28:6666–6675. [Google Scholar]
- 318.Chaudhuri MK, Haas A, Wensky A. Photoinduced Reactions of (CF3S)3N and CF3SeSeCF3 with Mn2(CO)10 and Fe(CO)5. J Organomet Chem. 1976;116:323–326. [Google Scholar]
- 319.Nametkin NS, Tyurin VD, Nekhaev AI, Kondrateva MG, Sobolev YP. Action of Sulfur on μ-[(o-Phenylenemethylene) (phenylamino)]diiron Hexacarbonyl] Izv Akad Nauk SSSR, Ser Khim. 1981;1:218–219. [Google Scholar]
- 320.Jacob J, Guzei IA, Espenson JH. Synthesis, Structure, and Reactivity of Novel Dithiolato(oxo)rhenium(V) Complexes. Inorg Chem. 1999;38:1040–1041. doi: 10.1021/ic981367w. [DOI] [PubMed] [Google Scholar]
- 321.Hortmann AG, Aron AJ, Bhattacharya AK. 3H-1,2-Benzodithiole oxides: studies directed toward the generation of othiobenzoquinone methide and benzo[b]thiete. J Org Chem. 1978;43:3374–3378. [Google Scholar]
- 322.Seyferth D, Henderson RS. Novel Bridging Sulfide Anion Complexes of the Hexacarbonyldiiron Unit: A New Route to Alkylthio Complexes of Iron. J Am Chem Soc. 1979;101:508–509. [Google Scholar]
- 323.Wen N, Xu FF, Chen RP, Du SW. Reversible Carbonylation of [2Fe2S] Model Complexes with Pendant Quinoline or Pyridine Arms. J Organomet Chem. 2014;756:61–67. [Google Scholar]
- 324.Westmeyer MD. PhD Thesis. University of Illinois; Urbana-Champaign: 1998. New Materials Based on Metallodithiolenes, Fullerenes, and Cyclopentadienyl Iron Complexes. [Google Scholar]
- 325.Weatherill TD, Rauchfuss TB, Scott RA. Structural Evidence Concerning the Frontier Orbitals in [Fe2E2(CO)6]2− (E = S, Se): Redox-Active Dichalcogen Ligands. Inorg Chem. 1986;25:1466–1472. [Google Scholar]
- 326.Gilbert-Wilson R, Siebel JF, Adamska-Venkatesh A, Pham CC, Reijerse E, Wang H, Cramer SP, Lubitz W, Rauchfuss TB. Spectroscopic Investigations of [FeFe] Hydrogenase Maturated with [57Fe2(adt) (CN)2(CO)4]2−. J Am Chem Soc. 2015;137:8998–9005. doi: 10.1021/jacs.5b03270. [DOI] [PMC free article] [PubMed] [Google Scholar]
- 327.Tang Y, Wei Z, Zhong W, Liu X. Diiron Complexes with Pendant Phenol Group(s) as Mimics of the Diiron Subunit of [FeFe]-Hydrogenase: Synthesis, Characterisation, and Electrochemical Investigation. Eur J Inorg Chem. 2011;2011:1112–1120. [Google Scholar]
- 328.Gao S, Jiang DY, Liang QC, Duan Q. Bis{μ-[4-(1,3-benzothiazol-2-yl)phenyl]methanethiolato-k4S,S′:S,S′}bis-[tricarbonyliron(I)](Fe-Fe) Acta Crystallogr, Sect E: Struct Rep Online. 2012;68:m330. doi: 10.1107/S1600536812007581. [DOI] [PMC free article] [PubMed] [Google Scholar]
- 329.Li CG, Zhang GF, Zhu Y, Xue F, Shang JY, Cui MJ, Lou TJ. Synthesis of Bridging Hydrides of Phenyl-Functionalized Diiron Propanedithiolate Complexes with 1, 2-Bis-(diphenylphosphine)ethylene or 1,2-Bis(diphenylphosphine)ethane Ligands. Transition Met Chem. 2015;40:477–484. [Google Scholar]
- 330.Song LC, Gao W, Luo X, Wang ZX, Sun XJ, Song HB. Synthesis, Characterization, and Electrochemical Properties of Benzyloxy-Functionalized Diiron 1,3-Propanedithiolate Complexes Relevant to the Active Site of [FeFe]-Hydrogenases. Organometallics. 2012;31:3324–3332. [Google Scholar]
- 331.Glass RS, Singh MS. Reaction of (μ-S)2Fe2(CO)6 Dianion with 1,2-Vinyl and Aryl Diiodides. Arkivoc. 2005:185–190. [Google Scholar]
- 332.Seyferth D, Henderson RS, Song LC. Chemistry of μ-Dithio-bis(tricarbonyliron), a Mimic of Inorganic Disulfides. 1. Formation of Di-μ-thiolato-bis(tricarbonyliron) Dianion. Organometallics. 1982;1:125–133. [Google Scholar]
- 333.Brandt PF, Lesch DA, Stafford PR, Rauchfuss TB, Kolis JW, Roof LC. Fe2(S2) (CO)6 and Fe3Te2(CO)9. Inorg Synth. 1997;31:112–116. [Google Scholar]
- 334.Wen N, Xu F, Feng Y, Du S. A New Cumulene Diiron Complex Related to the Active Site of Fe-Only Hydrogenases and Its Phosphine Substituted Derivatives: Synthesis, Electrochemistry and Structural Characterization. J Inorg Biochem. 2011;105:1123–1130. doi: 10.1016/j.jinorgbio.2011.05.019. [DOI] [PubMed] [Google Scholar]
- 335.Böhme H, Denis JP, Drechsler HJ. Preparation and Reactions of N,N-Bis(halomethyl)carboxamides. Liebigs Ann Chem. 1979;1979:1447–1455. [Google Scholar]
- 336.Song LC, Tang MY, Su FH, Hu QM. A Biomimetic Model for the Active Site of Iron-Only Hydrogenases Covalently Bonded to a Porphyrin Photosensitizer. Angew Chem, Int Ed. 2006;45:1130–1133. doi: 10.1002/anie.200503602. [DOI] [PubMed] [Google Scholar]
- 337.Almazahreh LR, Apfel UP, Imhof W, Rudolph M, Gorls H, Talarmin J, Schollhammer P, El-khateeb M, Weigand W. A Novel [FeFe] Hydrogenase Model with a (SCH2)2P═O Moiety. Organometallics. 2013;32:4523–4530. [Google Scholar]
- 338.Song LC, Li QS, Yang ZY, Hua YJ, Bian HZ, Hu QM. Synthesis and Characterization of Diiron Thiadithiolate Complexes Related to the Active Site of [FeFe]-Hydrogenases. Eur J Inorg Chem. 2010;2010:1119–1128. [Google Scholar]
- 339.Goy R, et al. A Silicon-Heteroaromatic System as Photosensitizer for Light-Driven Hydrogen Production by Hydrogenase Mimics. Eur J Inorg Chem. 2013;2013:4466–4472. [Google Scholar]
- 340.Goy R, Bertini L, Görls H, De Gioia L, Talarmin J, Zampella G, Schollhammer P, Weigand W. Silicon-Heteroaromatic [FeFe] Hydrogenase Model Complexes: Insight into Protonation, Electrochemical Properties, and Molecular Structures. Chem - Eur J. 2015;21:5061–5073. doi: 10.1002/chem.201406087. [DOI] [PubMed] [Google Scholar]
- 341.Seyferth D, Kiwan AM. Preparation of S-Bonded Iron Carbonyl Derivatives of Monothiocarboxylic Acids. J Organomet Chem. 1985;286:219–223. [Google Scholar]
- 342.Song LC, Mei SZ, Feng CP, Gong FH, Ge JH, Hu QM. Reactions of Monoanions [(μ-RE)(μ-E)Fe2(CO)6]− and Dianions [(μ-E)2Fe2(CO)6]2− (E = Se, S) with N-Substituted Benzimidoyl Chlorides, Leading to Novel Butterfly Fe/E Cluster Complexes. Organometallics. 2010;29:5050–5056. [Google Scholar]
- 343.Song LC, Kadiata M, Wang JT, Wang RJ, Wang HG. Preparation and Structural Characterization of [RSFe2(CO)6]2S: A Novel Route to Fe-S Cluster Compounds Containing a Sulfur Atom Coordinated to Four Metal Atoms. J Organomet Chem. 1988;340:239–248. [Google Scholar]
- 344.Hüffer S, Polborn K, Beck W. Hydrocarbon-Bridged Metal Complexes. 32. Addition of Chalcogen Cluster Anions [Fe2(CO)6E2]2− (E = S, Te) to Unsaturated Hydrocarbons of Cationic Complexes: Synthesis and Structure of New μ-Hydrocarbon Complexes. Organometallics. 1995;14:953–958. [Google Scholar]
- 345.Chen JB, Lei GX, Zhang ZY, Tang YQ. Transition Metal Carbene Complexes. IV. Synthesis and Crystal Structure of a Novel Iron-Sulfur Cluster Carbene Complex of Rhenium-π-cyclopentadienyl(dicarbonyl){(phenyl[(μ-Phenylthio-hexacarbonyldiiron-(μ-thio)]carbene} Rhenium. Acta Chim Sin. 1986;4:311–319. [Google Scholar]
- 346.Chen JB, Lei GX, Zhang ZY, Tang YQ. Transition-Metal Carbene Complexes. VI. Synthesis and Spectrum of Iron Sulfur Cluster Carbene Complexes of Monomanganese, Dimanganese and Dirhenium-π-C5H5(CO)2MnC(C6H5)(μ-S)(μ-C6H5S)Fe2(CO)6 and [π-C5H5(CO)2MC(C6H5)]2(μ-S)2Fe2(CO)6 (M = Mn, Re) Acta Chim Sin. 1989;47:31–36. [Google Scholar]
- 347.Seyferth D, Henderson RS, Song LC, Womack GB. Chemistry of μ-Dithiobis(tricarbonyliron), An Inorganic Mimic of Organic Disulfides. II. Nucleophilic S-S Bond Cleavage by Organolithium and Organomagnesium Reagents. J Organomet Chem. 1985;292:9–17. [Google Scholar]
- 348.Song LC, Liu XY, Hu QM, Wang JT. Synthesis of (μ-Phenylthio)(μ-alkylthio)hexacarbonyldiiron Complexes. Kexue Tongbao. 1983;10:1417–1418. Chinese edition 1983, 1420 1279–1280. [Google Scholar]
- 349.Song LC, Hu QM, Liu RG, Yang GQ, Wang JT. Synthesis and Structural Studies on Unsymmetrical Type of Di-(μ-alkylthio)hexacarbonyldiiron Complexes Containing Cyclohexyl or Benzyl Group. Sci Sin B. 1987;30:582–590. Chinese edition 1986, 1911–1129 1135. [Google Scholar]
- 350.Song LC, Hu QM, Zhang QY, Feng Q. Studies on Nucleophilic Substitution of (μ-Alkylthio)(μ-halomagnesiumthio)-hexacarbonyldiiron—Synthesis of α-Functionally Substituted Fe-S Complexes (μ-RS)(μ-CH2S)Fe2(CO)6. Youji Huaxue. 1988;8:213–216. [Google Scholar]
- 351.Zhang L, Liu JT. Synthesis and Crystal Structure of a Novel Single Butterfly-Shaped Cluster [(μ-FcS)(μ-SMe)Fe2(CO)6] Chin J Synth Chem. 2011;19:727–729. [Google Scholar]
- 352.Song LC, Hu QM. Studies on Synthesis and C≡O Substitution of (μ-Alkylthio)[μ-α,β-bis(ethoxycarbonyl)ethylthio] Hexacarbonyldiiron. Youji Huaxue. 1988;8:419–423. [Google Scholar]
- 353.Song LC, Hu QM, Shen LH, Wang JT. Addition Reactions of (μ-SR)(μ-SMgX)Fe2(CO)6 with Substituted Acrylates—Synthesis of Methyl Substituted Alkoxycarbonyl Ethyl Fe-S Complexes. Youji Huaxue. 1986;6:449–453. [Google Scholar]
- 354.Seyferth D, Song LC, Henderson RS. Novel Boron-to-Sulfur Alkyl Group Transfer in Reactions of Lithium Triethylborohydride-Derived Bis(μ-thiolato)-bis(tricarbonyliron) Dianion with Mercuric Chloride and Alkylmercuric Chlorides. J Am Chem Soc. 1981;103:5103–5107. [Google Scholar]
- 355.Mak TCW, Book L, Chieh C, Gallagher MK, Song LC, Seyferth D. The Structures of Di-μ-methylmercurithio-bis-(dinitrosyliron) and Di-μ-methylmercurithio-bis(tricarbonyliron): A Comparison of (μ-CH3HgS)2Fe2(NO)4 and (μ-CH3HgS)2Fe2(CO)6. Inorg Chim Acta. 1983;73:159–164. [Google Scholar]
- 356.Song LC, Hu QM, Shan ZX, Wang JT. Studies on Addition of (μ-Alkylthio)(μ-halomagnesiumthio)hexacarbonydiiron with α,β-Unsaturated Organic Substrates—Synthesis and Characterization of β-Functionally Substituted Iron-Sulfur Complexes (μ-RS)(μ-ZCH2CH2S)Fe2(CO)6. Sci Sin B. 1988;31:393–400. Chinese edition 1987, 1946, 1175–1180. [Google Scholar]
- 357.Song L, Hu Q, Zhao Y, Wang J. Studies on Michael-Type Reaction of (μ-Mercapto)(μ-alkylthio)bis(tricarbonyliron) (II)—Synthesis of (μ-β-Cyanoethylthio)(μ-alkylthio)bis(tricarbonyliron) and Mechanism of the Michael-Type Reaction. Chem J Chin Univ. 1986;7:889–894. [Google Scholar]
- 358.Song LC, Hu QM, Zhao ZY, Wang JT. Studies on Michael-Type Reaction of (μ-Mercapto)(μ-alkylthio)bis-(tricarbonyliron) (III)—Synthesis of (μ-3-Oxobutylthio)(μ-alyklthio)-bis(tricarbonyliron) and Reactivity of α,β-Unsaturated Substrates. Chem J Chin Univ. 1986;7:1098–1103. [Google Scholar]
- 359.Song LC, Zhao ZY, Wang JT. Synthesis and Conformational Analysis of α-Ethoxycarbonylmethyl-Substittuted Sulfur-Bridged Iron Carbonyl Complexes (μ-RS)(μ-EtOC(O)CH2S)-Fe2(CO)6. Acta Chim Sin. 1987;5:80–84. Chinese edition 1987, 1945, 1467–1471. [Google Scholar]
- 360.Song LC, Liu RG, Wang JT. Studies on Nucleophilicity of (μ-RS)(μ-XMgS)Fe2(CO)6—Synthesis and Characterization of the Fe-S Clusters (μ-RS)[μ-Cp(CO)2FeS]Fe2(CO)6. Acta Chim Sin. 1987;45:1188–1191. [Google Scholar]
- 361.Song LC, Kadiata M, Wang JT, Wang RJ, Wang HG. Synthesis and Structural Characterization of Bridged Double Butterfly-Shaped Fe-S Cluster Complexes [(μ-RS)Fe2(CO)6]2(μ-SCH2C6H4CH2S-μ) J Organomet Chem. 1990;391:387–394. [Google Scholar]
- 362.Song LC, Wang ZX, Wang JT. Synthesis, Structures and Conformational Analysis of p-Tolylethynyl Fe-S complexes (μ-p-CH3C6H4C≡CS)(μ-RS)Fe2(CO)6. Chem J Chin Univ. 1988;9:915–920. [Google Scholar]
- 363.Song LC, Wang RJ, Hu QM, Wang HG. Studies on Nucleophilic Ring-Opening Reaction of Ethylene Epoxide by (μ-CH3S)(μ-IMgS)Fe2(CO)6 – Synthesis and Crystal Structure of (μ-Methylthio)(μ-R-Hydroxylethylthio) Hexacarbonyl Diiron. Chem J Chin Univ. 1988;4:38–44. [Google Scholar]
- 364.Song LC, Hu QM, Dong Q, Wang JR. Nucleophilic Ring-Opening of Ethylene Oxide and Epichlorohydrin by (μ-RS)(μ-XMgS)Fe2(CO)6 or (μ-LiS)2Fe2(CO)6 Isolation and Characterization of the Corresponding Products. J Inorg Chem. 1990;6:256–260. [Google Scholar]
- 365.Song LC, Zhao ZY, Wang JT. Nucleophilic Substitution of (μ-Mercapto)(μ-alkylthio)bis(tricabonyliron) at Unsaturated Carbon. Synthesis, Characterization and Conformational Analysis of Thioacetoxy Bridged Complexes (μ-CH3COS)(μ-RS)Fe2(CO)6. Youji Huaxue. 1987;2:119–123. [Google Scholar]
- 366.Wang HG, Yao XK, Song LC, Hu QM. Synthesis and Crystal Structure of Fe-S Cluster Complex (μ-CH3S)(μ-C5H9O2)-Fe2(CO)6. J Inorg Chem. 1987;3:28–33. [Google Scholar]
- 367.Wang RJ, Song LC, Wang HG, Hu QM. Crystal and Molecular Structure of (μ-SPh)(μ-SCH2CH2CN)Fe2(CO)6. Chin J Struct Chem. 1987;6:201–204. [Google Scholar]
- 368.Song LC, Hu QM, Zhou ZY, Xiang ZY. Crystal and Molecular Structure of (μ-PhCH2S)(μ-CH3C(O)CH2S)Fe2(CO)6. Chin J Struct Chem. 1988;7:53–56. [Google Scholar]
- 369.Yao XK, Song LC, Wang HG, Liu RG, Wang RJ, Wang JT. Crystal Structure of Fe-S Cluster Complex (μ-MeS)[μ-Fe(CO)2CpS]Fe2(CO)6. Acta Phys Chim Sin. 1987;3:604–608. [Google Scholar]
- 370.Zhang L, Liu JT. Synthesis and Crystal Structure of a Novel Double Butterfly-Shaped Cluster {(μ-FcS2)[Fe2(CO)6]2(μ-SMe)2. Chin J Synth Chem. 2012;20:86–89. [Google Scholar]
- 371.Cheng LX, Ma CB, Hu MQ, Chen CN, Liu QT. Synthesis and Crystal Structure of a Model for the Active Sites of Fe-Only Hydrogenases: [Fe2(SCH2)2N(3-PhCF3) (CO)6]2. Chin J Struct Chem. 2007;26:113–117. [Google Scholar]
- 372.Wang RT, Xu Q, Sun J, Song LC, Chen JB. Unusual Reactions of Cationic Bridging Carbyne Complexes of Dimethylsilane-Bridged Bis(η5-cyclopentadienyl)diiron Tricarbonyl with Nucleophiles. A route to Iron-Sulfur Cluster Bridging Carbene Complexes. Organometallics. 2001;20:4092–4099. [Google Scholar]
- 373.Seyferth D, Womack GB, Song LC. Addition of Alkynyllithium Reagents to the S-S Bond of (μ-Dithio)bis-(tricarbonyliron): Equilibria between Open S-Centered and Bridged C-Centered Anions. Organometallics. 1983;2:776–779. [Google Scholar]
- 374.Seyferth D, Womack GB. Construction of Bidentate Organosulfur Ligands Via (μ-RC≡CS)(μ-SLi)Fe2(CO)6 Intermediates. Organometallics. 1986;5:2360–2370. [Google Scholar]
- 375.Song LC, Wang ZX, Kadiata M, Wang JT. Studies on Addition of Arynyl Grignard Reagents to (μ-Dithio)bis-(tricarbonyliron): Synthesis, Structures and Formation Mechanism of Open and Closed Iron Sulfur-Cluster Complexes. Acta Chim Sin. 1988;6:223–229. Chinese edition 1988, 1946, 1175–1180. [Google Scholar]
- 376.Mathur P, Dash AK, Hossain MM, Satyanarayana CVV, Rheingold AL, Yap GPA, Liable-Sands LM. Synthesis and Spectroscopic Characterization of (CO)6Fe2{μ-EC(H)═C(2-Th)E′} (E,E′ = S, Se, Te; Th = C4H3S) Structural Characterization of (CO)6Fe2{μ-SeC(H)═C(2-Th)Se} J Organomet Chem. 1997;543:135–143. [Google Scholar]
- 377.Seyferth D, Henderson RS. Di-μ-Thiolbis(tricarbonyliron), (μ-HS)2Fe2(CO)6: An Inorganic Mimic of Organic Thiols. J Organomet Chem. 1981;218:C34–C36. [Google Scholar]
- 378.Seyferth D, Womack GB. Construction of Bridging Organosulfur Ligands in Hexacarbonyldiiron Complexes Via Proximity-Induced Reactions of Bis(μ-mercapto)bis(tricarbonyliron) with α,β-Unsaturated Substrates. J Am Chem Soc. 1982;104:6839–6841. [Google Scholar]
- 379.Glass RS, Gruhn NE, Lorance E, Singh MS, Stessman NYT, Zakai UI. Synthesis, Gas-Phase Photoelectron Spectroscopic, and Theoretical Studies of Stannylated Dinuclear Iron Dithiolates. Inorg Chem. 2005;44:5728–5737. doi: 10.1021/ic050526q. [DOI] [PubMed] [Google Scholar]
- 380.Chen JZ, et al. Synthesis of Diiron Hydrogenase Mimics Bearing Hydroquinone and Related Ligands. Electrochemical and Computational Studies of the Mechanism of Hydrogen Production and the Role of O-H···S Hydrogen Bonding. Organometallics. 2010;29:5330–5340. [Google Scholar]
- 381.Berggren G, et al. Biomimetic Assembly and Activation of [FeFe]-Hydrogenases. Nature. 2013;499:66–69. doi: 10.1038/nature12239. [DOI] [PMC free article] [PubMed] [Google Scholar]
- 382.Esselborn J, et al. Spontaneous Activation of [FeFe]-Hydrogenases by an Inorganic [2Fe] Active Site Mimic. Nat Chem Biol. 2013;9:607–609. doi: 10.1038/nchembio.1311. [DOI] [PMC free article] [PubMed] [Google Scholar]
- 383.Bourrez M, Gloaguen F. Electrochemical and Computational Study of the Reactivity of a Diiron Azadithiolate Complex towards Protons in the Presence of Coordinating Anions. Eur J Inorg Chem. 2015;2015:4986–4990. [Google Scholar]
- 384.Gloaguen F. Electrochemistry of Simple Organometallic Models of Iron–Iron Hydrogenases in Organic Solvent and Water. Inorg Chem. 2016;55:390–398. doi: 10.1021/acs.inorgchem.5b02245. [DOI] [PubMed] [Google Scholar]
- 385.Massy DJR. α-Thioalkylation via Aldehydes and Thiols. Synthesis. 1987;1987:589–603. [Google Scholar]
- 386.Gao WM, Sun JL, Åkermark T, Li MR, Eriksson L, Sun LC, Åkermark B. Attachment of a Hydrogen-Bonding Carboxylate Side Chain to an [FeFe]-Hydrogenase Model Complex: Influence on the Catalytic Mechanism. Chem - Eur J. 2010;16:2537–2546. doi: 10.1002/chem.200902278. [DOI] [PubMed] [Google Scholar]
- 387.Singleton ML, Crouthers DJ, Duttweiler RP, Reibenspies JH, Darensbourg MY. Sulfonated Diiron Complexes as Water-Soluble Models of the [Fe-Fe]-Hydrogenase Enzyme Active Site. Inorg Chem. 2011;50:5015–5026. doi: 10.1021/ic200272x. [DOI] [PubMed] [Google Scholar]
- 388.Jiang S, Liu JH, Sun LC. A Furan-Containing Diiron Azadithiolate Hexacarbonyl Complex with Unusual Lower Catalytic Proton Reduction Potential. Inorg Chem Commun. 2006;9:290–292. [Google Scholar]
- 389.Stanley JL, Heiden ZM, Rauchfuss TB, Wilson SR, De Gioia L, Zampella G. Desymmetrized Diiron Azadithiolato Carbonyls: A Step Toward Modeling the Iron-Only Hydrogenases. Organometallics. 2008;27:119–125. doi: 10.1021/om7009599. [DOI] [PMC free article] [PubMed] [Google Scholar]
- 390.Angamuthu R, Chen CS, Cochrane TR, Gray DL, Schilter D, Ulloa OA, Rauchfuss TB. N-Substituted Derivatives of the Azadithiolate Cofactor from the [FeFe] Hydrogenases: Stability and Connplexation. Inorg Chem. 2015;54:5717–5724. doi: 10.1021/acs.inorgchem.5b00290. [DOI] [PMC free article] [PubMed] [Google Scholar]
- 391.Silaghi-Dumitrescu I, Bitterwolf TE, King RB. Butterfly Diradical Intermediates in Photochemical Reactions of Fe2(CO)6(μ-S2) J Am Chem Soc. 2006;128:5342–5343. doi: 10.1021/ja061272q. [DOI] [PubMed] [Google Scholar]
- 392.Bogan LE, Lesch DA, Rauchfuss TB. Synthesis of Heterometallic Cluster Compounds from Fe3(μ3-Te)2(CO)9 and Comparisons with Analogous Sulfide Clusters. J Organomet Chem. 1983;250:429–438. [Google Scholar]
- 393.Kramer A, Lorenz IP. Photochemically Induced [2 + 2]-Cycloadditions of Alkenes and Dienes to the S-S Bond of the nido-Cluster [(CO)3FeS]2. J Organomet Chem. 1990;388:187–193. [Google Scholar]
- 394.Kramer A, Lingnau R, Lorenz IP, Mayer HA. Complex-Chemical Synthesis of Cyclic 1,2-Dithiolato Ligands with the nido-Cluster [(CO)3FeS]2. Molecular Structure and Partial S-Oxidation of Hexacarbonyl (μ2-cis-1,2-Cyclohexanedithiolato-S,S)diiron. Chem Ber. 1990;123:1821–1826. [Google Scholar]
- 395.Westmeyer MD, Rauchfuss TB, Verma AK. Iron Sulfido Derivatives of the Fullerenes C60 and C70. Inorg Chem. 1996;35:7140–7147. doi: 10.1021/ic960728+. [DOI] [PubMed] [Google Scholar]
- 396.Rauchfuss TB. Research on Soluble Metal Sulfides: From Polysulfido Complexes to Functional Models for the Hydrogenases. Inorg Chem. 2004;43:14–26. doi: 10.1021/ic0343760. [DOI] [PubMed] [Google Scholar]
- 397.Rauchfuss TB. Synthesis of Transition Metal Dithiolenes. Prog Inorg Chem. 2003;52:1–54. [Google Scholar]
- 398.Seyferth D, Henderson RS. Photochemically Induced Insertion of Acetylenes into μ-Dithiobis(tricarbonyliron) J Organomet Chem. 1979;182:C39–C42. [Google Scholar]
- 399.Adams RD, Miao SB. Metal Carbonyl Derivatives of Sulfur-Containing Quinones and Hydroquinones: Synthesis, Structures, and Electrochemical Properties. Inorg Chem. 2004;43:8414–8426. doi: 10.1021/ic048880w. [DOI] [PubMed] [Google Scholar]
- 400.Zhao P, Gray DE, Rauchfuss TB. Eur J Inorg Chem. 2016 doi: 10.1002/ejic.201600366. [DOI] [PMC free article] [PubMed] [Google Scholar]
- 401.Nametkin NS, Tyurin VD, Kuzmin OV, Nekhaev AI, Mavlonov M, Sideridu AY. Reaction of Diazomethane with Dithiodiironhexacarbonyl. Izv Akad Nauk SSSR, Ser Khim. 1979:2649–2650. [Google Scholar]
- 402.Mathur P, Manimaran B, Satyanarayana CVV, Varghese B. Synthesis, Spectroscopic and Structural Characterisation of (CO)6Fe2EE′{μ-C(H)(CH3)}2 and (CO)6Fe2{μ-EC(H)(CH3)E′} (E,E′ = S, Se, Te) J Organomet Chem. 1997;527:83–91. [Google Scholar]
- 403.Kukina MA, Lys YI, Tyurin VD, Fedossev VM, Nametkin NS. Reaction of Bis[alkyl(aryl)thiotricarbonyliron] with Thiols. Izv Akad Nauk SSSR, Ser Khim. 1975:2383. [Google Scholar]
- 404.Nametkin NS, Tyurin VD, Muratov AN, Sideridu AY. Reaction of Thiols with Dithiotriiron Nonacarbonyl and Dithiodiiron Hexacarbonyl. Izv Akad Nauk SSSR, Ser Khim. 1979:2841. [Google Scholar]
- 405.Kostiner E, Reddy MLN, Urch DS, Massey AG. Perfluorophenyl Derivatives of Elements. XX. Some Reactions of Bis(pentafluorophenyl)-dichalcognides. J Organomet Chem. 1968;15:383–395. [Google Scholar]
- 406.Butler AR, Glidewel C, Hyde AR, McGinnis J, Seymour JE. Ligand Exchange Processes in Some Iron-Sulfur-Carbonyl and -Nitrosyl Complexes. Polyhedron. 1983;2:1045–1052. [Google Scholar]
- 407.Kiener V, Fischer EO. Reactions and Di-μ-acyl-diironhexacarbonyl Complexes. J Organomet Chem. 1972;42:447–457. [Google Scholar]
- 408.Seyferth D, Womack GB, Song LC, Cowie M, Hames BW. Unexpected Intramolecular Nucleophilic Substitution in an Anionic Fe2(CO)6 Complex with an Organosulfur Ligand. A Novel Preparation of Fe2(CO)6 Complexes of Dithioformic Acid Esters. Organometallics. 1983;2:928–930. [Google Scholar]
- 409.Kolomnikov IS, Lysyak TV, Rusakov SL, Kharitonov YY. Metal-carboxylic Acids and Their Derivatives. Russ Chem Rev. 1988;57:406–418. [Google Scholar]
- 410.Xiao ZY, Wei ZH, Long L, Wang YL, Evans DJ, Liu XM. Diiron Carbonyl Complexes Possessing a {Fe(II)Fe(II)} Core: Synthesis, Characterisation, and Electrochemical Investigation. Dalton Trans. 2011;40:4291–4299. doi: 10.1039/c0dt01465f. [DOI] [PubMed] [Google Scholar]
- 411.Cody GD, Boctor NZ, Filley TR, Hazen RM, Scott JH, Sharma A, Yoder HS., Jr Primordial Carbonylated Iron-Sulfur Compounds and the Synthesis of Pyruvate. Science. 2000;289:1337–1340. doi: 10.1126/science.289.5483.1337. [DOI] [PubMed] [Google Scholar]
- 412.Nagy-Magos Z, Markó L, Szakács-Schmidt A, Gervasio G, Belluso E, Kettle SF. Reaction of Carbon Monoxide with Iron(II) Thiolates. Preparation and Structure of fac-[Na(15-Crown-5)][Fe-(CO)3(SPh)3] and fac-[K(18-Crown-6)][Fe(CO)3(SPh)3] Bull Soc Chim Belg. 1991;100:445–458. [Google Scholar]
- 413.Walters MA, Dewan JC. Synthesis and Cluster Interconversion Chemistry of a Linear Trinuclear Hexakis(μ-benzenethiolato)triiron(II) Hexacarbonyl Compound. Inorg Chem. 1986;25:4889–4893. [Google Scholar]
- 414.Volkers PI, Boyke CA, Chen JZ, Rauchfuss TB, Whaley CM, Wilson SR, Yao HJ. Precursors to [FeFe]-Hydrogenase Models: Syntheses of Fe2(SR)2(CO)6 From CO-Free Iron Sources. Inorg Chem. 2008;47:7002–7008. doi: 10.1021/ic800601k. [DOI] [PMC free article] [PubMed] [Google Scholar]
- 415.Farmery K, Kilner M. A Mixed Mercaptide Halide Complex of Iron: Fe2(CO)5(S-iso-Pr)3I. J Organomet Chem. 1969;17:127–131. [Google Scholar]
- 416.Cremer W. A Carbon Oxide Compound of Ferrocystein and Its Decomposition by Light. Biochem Z. 1928;194:231–232. [Google Scholar]
- 417.Cremer W. Reactions of Carbon Oxide with Metal Compounds of Cysteine. Biochem Z. 1929;206:228–239. [Google Scholar]
- 418.Schubert MP. The Action of Carbon Monoxide on Iron and Cobalt Complexes of Cysteine. J Am Chem Soc. 1933;55:4563–4570. [Google Scholar]
- 419.Takács J, Markó L. Iron(II) Carbonyl-Complexes Containing Xanthate, Dithiocarbamate or Dithiophosphate Ligands. Transition Met Chem. 1984;9:10–12. [Google Scholar]
- 420.Takács J, Markó L, Kiprof P, Herdtweck E, Herrmann WA. Synthesis and X-Ray Crystal Structure of Fe(CO)2[O2CCH2P-(C6H5)2]2, the First Iron Carbonyl Complex with Two Carboxylate Ligands. Polyhedron. 1989;8:1503–1507. [Google Scholar]
- 421.Takács J, Markó L, Párkányi L. Synthesis and Some Reactions of Fe(CO)2(dppe)(SR)2 and Fe3(CO)6(SAr)6 Complexes. The Crystal Structure of cis,cis,cis-Fe(CO)2(dppe)(SPh)2. J Organomet Chem. 1989;361:109–116. [Google Scholar]
- 422.Takács J, Soós E, Nagymagos Z, Markó L, Gervasio G, Hoffmann T. Synthesis and Molecular Structure of Carbonyl Derivatives of Iron(II) Thiolates Containing Nitrogen-Donor Ligands. Inorg Chim Acta. 1989;166:39–46. [Google Scholar]
- 423.Hewison L, Johnson TR, Mann BE, Meijer AJHM, Sawle P, Motterlini R. A Re-Investigation of [Fe(L-cysteinate)2(CO)2]2−: An Example of Non-Heme CO Coordination of Possible Relevance to CO Binding to Ion Channel Receptors. Dalton Trans. 2011;40:8328–8334. doi: 10.1039/c1dt10338e. [DOI] [PubMed] [Google Scholar]
- 424.Karlin KD, Lippard SJ. Sulfur-bridged binuclear iron(II) complexes. Effect of ligand constraints on their physical properties; reactions with carbon monoxide and alkyl isocyanides. J Am Chem Soc. 1976;98:6951–6957. [Google Scholar]
- 425.Carroll ME, Chen JZ, Gray DE, Lansing JC, Rauchfuss TB, Schilter D, Volkers PI, Wilson SR. Ferrous Carbonyl Dithiolates as Precursors to FeFe, FeCo, and FeMn Carbonyl Dithiolates. Organometallics. 2014;33:858–867. doi: 10.1021/om400752a. [DOI] [PMC free article] [PubMed] [Google Scholar]
- 426.Balch AL, Miller J. 1,2-Dithiolene Complexes of Ruthenium and Iron. Inorg Chem. 1971;10:1410–1415. [Google Scholar]
- 427.Berry FJ, Jones CJ, McCleverty JA, Sharpe J, Bailey NA, Deadman M. Structural and Mössbauer Investigations of Some Iron Complexes Containing Both Carbonyl and Sulfur Ligands. J Organomet Chem. 1988;353:209–213. [Google Scholar]
- 428.Suess DLM, Pham CC, Bürstel I, Swartz JR, Cramer SP, Britt RD. The Radical SAM Enzyme HydG Requires Cysteine and a Dangler Iron for Generating an Organometallic Precursor to the [FeFe]-Hydrogenase H-Cluster. J Am Chem Soc. 2016;138:1146–1149. doi: 10.1021/jacs.5b12512. [DOI] [PMC free article] [PubMed] [Google Scholar]
Associated Data
This section collects any data citations, data availability statements, or supplementary materials included in this article.



























 
 
 
 
 
 






























