Abstract
Objective
The use of psychotropic medication to address challenging behavior in individuals diagnosed with intellectual disabilities is common practice; however, very few studies have examined how multiple medication use (or combination treatment) impacts the behaviors these medications are prescribed to treat.
Method
The current study followed eight individuals over a two-year period as they experienced changes in their psychotropic medication regimens. During that time, data from functional analyses and indirect assessments of challenging behavior were collected.
Results
The results suggest that changes in psychotropic medication regimens can produce changes in functional assessment outcomes, suggesting a need for continued behavioral assessment to better inform medication practices and behavioral treatment. Of the eight participants in the study, five participants’ behaviors varied in rate of responding in FAs across all medication changes. Additionally, three participants’ FAs produced changes in outcomes; however, those changes were not consistent across all medication changes, that is, not every medication change yielded different outcomes from previous assessments.
Conclusion
This study demonstrates how the outcome of an FA can be used to monitor the effects of psychotropic medication changes, specifically when medications are combined, on challenging behavior in individuals with intellectual and developmental disabilities.
Keywords: psychotropic medication, challenging behavior, intellectual disability, functional analysis
Standard guidelines promoting the efficacious use of psychotropic medication in individuals with intellectual and developmental disabilities (IDD) have been in place to guide the prescription practices for this population (i.e., Expert Consensus Guidelines, 2000; Guideline Development Group of the WPA Section on Psychiatry of Intellectual Disability, Deb et al., 2009). These guidelines acknowledge that individuals with IDD may display behaviors that significantly hinder their engagement in education or habilitation and thus medications may be a necessary part of the treatment plan. According to the guidelines, medications should be prescribed at the lowest optimal effective dose with a minimum number of medications used, and reviewed periodically for possible reductions. Over the past two decades, the prevalence of psychotropic medication use in adults with IDD has remained relatively consistent (approximately 58%; Tsiouris, Kim, Brown, Pettinger, & Cohen, 2013). Shifts in prescription patterns, however, have been observed with increases in combination treatments (both interclass and intraclass) and in the types of medications prescribed (Hβler, Thome, & Reis, 2015). Specifically, reported increases in the use of antipsychotics have been observed, from 23% in the 1990’s (Valdovinos, Schroeder, & Kim, 2003) to 45% reported in 2007 (Tsiouris et al., 2013) and antidepressants from 4.9% in the 1990’s (Valdovinos et al., 2003) to approximately 23% in 2007 (Tsiouris et al., 2013).
Coinciding with this increase in combination treatment for individuals with IDD is evidence to support the effective use of combination treatments within the general psychiatric population. For example, Buoli, Serati, and Altamura (2013) found that the combined use of mood stabilizers and atypical antipsychotics was effective in treating bipolar disorder. Specific to the IDD population, Hellings, Boehm, Yeh, Butler, and Schroeder (2011) determined that at lower doses, aripiprazole worked well in combination with stimulants in treating challenging behavior in children diagnosed with IDD. There is, however, limited research regarding the effectiveness of various other combination treatments for challenging behavior in individuals with IDD.
To complicate matters further, there is no medication combination that seems to be more commonly prescribed to this population, thus leaving a gap in the literature on treatment efficacy (Deb et al., 2015). In their longitudinal assessment of psychotropic medication use, Deb and colleagues (2015) found decreases in combination treatments but increases in the prescription of psychotropics, suggesting that once someone is on psychotropic medications, they tend to continue medication use. One reason that it is difficult to take people off of psychotropic medication is that there may be an increase in the target behavior when the medication is initially discontinued. The most likely reason a person is prescribed psychotropic medication is to treat challenging behavior (Sheehan et al., 2015). Deb, Unwin, and Deb (2015) found a correlation between the severity of challenging behavior and increased dosage of prescribed antipsychotics. In other words, the more severe the challenging behavior, the higher the dose of antipsychotic prescribed.
If we look to the use of a single medication for the treatment of challenging behavior, the literature presents mixed results. Some reviews of the research have found that antipsychotics appear to significantly decrease challenging behaviors in both adults and children with IDD (e.g., Deb, Sohanpal, Soni, Lenôtre, & Unwin, 2007; Unwin & Deb, 2011; Williams, Clarke, Bouras, Martin, & Holt, 2000), whereas other reviews question the effectiveness of medications, such as antipsychotics, for treating challenging behavior (e.g., Brylewski & Duggan, 1999; Deb et al., 2015; Ruedrich et al., 2008; Tyrer et al., 2008). Most studies measured changes in the rate of challenging behavior (Deb & Joyce, 1998; Bradley, Summers, Wood, & Bryson, 2004; Matson & Rivet, 2008) or used subjective measures such as questionnaires (e.g., Aberrant Behavior Checklist-Community, ABC; Hurley et al., 1998). Although qualitative measures (e.g., of intensity) and frequency counts of behavior are important, these data do not necessarily address why challenging behaviors occur, nor do these measures assess the impact medication has on the relationship between the variables that evoke or maintain behavior and the behavior itself (e.g., increase or decrease the magnitude of stimuli).
The current literature suggests that singly dosed and administered psychotropic medications have discriminate effects on both the conditions under which challenging behavior occurs and on the topography of behavior (e.g., Crosland et al., 2003; LaRue et al., 2008; Northup, Fusilier, Swanson, Roane, & Borrero, 1997; Northup et al., 1999; Zarcone et al., 2004). Less understood is the impact that combined medication treatments may have on the function of challenging behavior. There has been limited research to determine how changes in psychotropic medication regimens might impact the contingencies maintaining challenging behavior, and thus the behavior itself (e.g., Valdovinos et al., 2007; Valdovinos et al., 2009). The existing research that has evaluated the functional impact of medication use on challenging behavior has employed functional analysis (FA) methodologies.
To identify the contingencies maintaining challenging behavior, the gold standard is to conduct an experimental FA to determine the function of challenging behavior by systematically manipulating stimuli in order to mirror natural contingencies thought to control the occurrences of challenging behavior (Iwata, Dorsey, Slifer, Bauman, & Richman, 1994). These manipulations test whether behavior is maintained by negative reinforcement, positive reinforcement, and/or automatic reinforcement (i.e., the behavior is not socially mediated). Indirect assessments, such as parent rating scales and clinical impression scales, provide preliminary information regarding behavior as well as additional data that may support the outcomes of an FA.
There has been limited research to determine how psychotropic medications impact the relationship between challenging behavior and the contingencies maintaining them. The purpose of this study was to determine how changes in psychotropic medication regimens (i.e., combination treatments) impacted the outcomes of experimental functional analyses, and if indirect methods of assessment accurately captured changes in behavior function when compared with the outcomes of functional analyses of challenging behavior.
Methods
Participants and Setting
Eight adults with intellectual disabilities and challenging behavior participated in this study. Challenging behavior included: SIB (n=7), aggression (n=2), problem vocalizations (n=5), elopement (n=1), and avoidance (n=1) (see Table 1 for demographics of participants). Inclusion criteria for participants were: aged 28–49 years at the onset of the study; a diagnosis of moderate to profound ID; exhibited significant challenging behaviors (indicated by a total score of 55 or greater on the Aberrant Behavior Checklist – Community; ABC-C); and had a court-appointed, legal guardian. Individuals had been on a steady medication regimen for at least one month prior to participation and had to have experienced three or more medication changes within the past calendar year. Participants were on six or fewer psychotropic (and/or anticonvulsant) medications at the time of enrollment (initial study criteria restricted individuals to three medications; criteria were expanded given population demographics).
Table 1.
Participant Characteristics
| Participant | Sex | Age(yr) | Diagnoses | Challenging Behavior(s) |
|---|---|---|---|---|
| George | M | 42 | Autism Spectrum Disorder (ASD), Generalized anxiety disorder, Insomnia, Severe ID | SIB (skin picking), vocalization (grunting) |
| Bart | M | 35 | ASD, Insomnia, Severe ID | Avoidance (prolonged silence, refusal; precursor to severe aggression) |
| Susan | F | 32 | ASD, Moderate ID | SIB (head hitting, skin picking), vocalizations (whining, growling, screaming) |
| Ron | M | 28 | ASD, Bipolar I Disorder, Severe ID | SIB (hitting, body and head banging), vocalizations (screaming) |
| Bill | M | 45 | ASD, Profound ID, Polydipsia, Binge Eating Disorder, Impulse Control Disorder (NOS) | Elopement (leaving the immediate area) |
| Tom | M | 38 | ASD, Profound ID | SIB (head banging, head hitting) |
| Marcus | M | 37 | ASD, Profound ID | SIB (head hitting, biting, scratching), aggression (pinching, grabbing, biting, kicking) |
| Reggie | M | 49 | Profound ID, Bipolar Disorder (NOS) | SIB (hitting self, skin grabbing), aggression (hitting, grabbing, kicking, pushing, property destruction) |
Individuals were excluded from participation if they were diagnosed with: Alzheimer’s disease, diabetes, severe SIB or aggression that required hospitalization, or vision or hearing impairments, as these factors could serve as potential motivating operations for challenging behavior. Individuals were identified by agencies that provided care to persons with IDD. Agencies facilitated contact between research staff and legal guardians of those identified. Informed consent was obtained from legal guardians for each participant prior to screening. Participant assent was established via signature upon meeting the participants initially and then verbally reaffirmed at all subsequent contacts. After consent was obtained, a functional assessment interview (FAI) was conducted with staff to assess the individual’s history of challenging behavior, conditions under which the challenging behavior was thought to be more likely to occur, and to identify any potential stimuli that were hypothesized to function as reinforcers or antecedents for challenging behavior (O’Neill et al., 1997). The information obtained during the FAI was used to develop preliminary hypotheses about behavior function.
Once participants were enrolled in the study, managers responsible for the supervision of direct-care staff at each setting provided experimenters with updates from psychiatric appointments. Experimenters were notified when a participant experienced a medication change (i.e. increased or decreased dosage, discontinuation or introduction of a medication, change in time of day of administration). This information was used to schedule FA sessions within two weeks of the medication changes. Table 2 details the number of medication changes each participant experienced during the course of this study. The mean length of participation in the study was 21.25 months for all participants (range of 6 to 31 months).
Table 2.
Additional Participant Characteristics
| Participant | Number of Months in Study | Medication Changes | Location of Functional Analyses |
|---|---|---|---|
| George | 31 | 1 | Home |
| Bart | 25 | 5 | Home |
| Susan | 25 | 17 | Home |
| Ron | 6 | 6 | Home |
| Bill | 23 | 3 | Office |
| Tom | 23 | 4 | Home |
| Marcus | 23 | 4 | Office |
| Reggie | 14 | 10 | Home |
Most FA sessions were performed in the participants’ homes with some exceptions. When it was too much of an intrusion to conduct the assessment in the home, the sessions were conducted in a small office room in a clinic that allowed for videotaping and observation (see Table 2). The FAs were recorded with a video camera and scored at a later time (see below).
Study Design
The FAs were conducted with a multi-element design at each stage (i.e., all sessions were conducted at each time point in a randomized order). To evaluate the effects of the medication a single-subject, ABC, AA′A″, or combination design was used (ABC indicating addition or discontinuation of a medication, and AA’A” indicating change in medication dosage or time of administration). The only exception to this was Reggie. His medication regimen consisted of giving him lorazepam (Ativan) during his “manic” phases. Ativan was initiated for one week at high dosage and then titrated and discontinued over the following two weeks.
Dependent Variables
Functional Analysis
Functional analyses (Iwata et al., 1994) were conducted for each participant at the onset of their enrollment and at least two weeks after reported medication changes through the duration of the study. The FAs were conducted at the same location and time-of-day; when possible, the weekday was held constant. These FAs took place in the participant’s home or in an observation room, in the aforementioned small office, with a one-way mirror (Bill and Marcus). Sessions lasted 5 min, the order was randomized, and each condition was presented three times. Participants were given a 1 min break between each session. Work tasks and activities were chosen per participant based upon caregiver responses during the FAIs and were to mirror activities the participants encountered in their natural environments. Challenging behaviors were assessed across five conditions: control, escape, tangible, attention (except Reggie), and ignore (except Bill).
Escape
Participants were presented with instructions using a three-step, least-to-most guided compliance procedure. Following non-compliance to the instruction, participants were verbally prompted to complete the task, followed by a modeled prompt paired with a verbal instruction, and finally a full physical prompt. Demands and materials were removed for 10s when participants engaged in challenging behavior. The purpose of this condition was to evaluate whether challenging behavior was maintained by negative reinforcement in the form of escape from the task.
Attention
Participants were instructed by the researcher that they (the researcher) had to do some work on their phone. The researcher then ignored the participant. Contingent upon challenging behaviors, the researcher delivered a statement of concern (e.g. “Don’t do that, you’ll hurt yourself.”) and would physically block behaviors if they persisted. Attention conditions were not conducted for Reggie because he would leave the area with the researcher to be alone in his room. The purpose of this condition was to evaluate whether behavior was maintained by positive reinforcement in form of access to social interaction.
Tangible
Participants were allowed to interact with a preferred items and activities identified by caregivers for 30s prior to the condition. The researcher then removed stimuli to begin the session. Upon instances of challenging behaviors, the participants were re-presented with the stimuli for 10s. The purpose of this condition was to evaluate whether challenging behavior was maintained by positive reinforcement in the form of access to preferred items.
Ignore
The participant and videographer were the only people in the area/room and attention was withheld throughout the duration of the session, regardless of the occurrence of challenging behavior. This condition was to evaluate the effects of having no social consequences for challenging behavior, thus it was assumed to be maintained by automatic or sensory reinforcement.
Control
Participants received attention from the researcher and had free access to preferred stimuli. No demands were presented and no consequence was delivered for challenging behaviors. This condition served as a control condition for the other conditions in which low levels of problem behavior were expected.
Blocking
This condition was used for Reggie only and consisted of the researcher standing approximately two inches from Reggie. As Reggie moved, the researcher moved blocking Reggie’s path. When challenging behavior occurred, the researcher would move approximately, 5 feet away from Reggie for 10s before returning to stand in close proximity. This condition was used to evaluate if challenging behavior was maintained by negative reinforcement in the form of removing people from his proximity.
Rating scales
Direct care staff were administered two questionnaires during the initial screening. The Questions about Behavioral Function (QABF) form (Paclawskyj, Matson, Rush, Smalls, & Vollmer, 2000) consists of 25 items that are ranked using a 4-point Likert scale (x=does not apply, 0=never, 2=some, 3=often) and summed within subscales in order to assess the potential function of a particular challenging behavior (i.e. attention, escape, tangible, nonsocial, and physical). Subscales were rank ordered based on obtained scores (maximum score on a given scale was 15). Higher scores indicated a stronger association of the subscale, suggesting a particular function of challenging behavior.
Staff also completed the ABC-C questionnaire (Aman, Burrow, & Wolford, 1995). The ABC-C consists of 58 items ranked on a 4-point Likert scale (0=not at all a problem, 1=the behavior is a problem but slight in degree, 2=the problem is moderately serious, 3=the problem is severe in degree) in order to assess the severity of behaviors related to issues of irritability, lethargy, stereotypy, hyperactivity, and inappropriate speech. For purposes of this study, the irritability subscale was the primary dependent variable as it was the most sensitive to the severity of challenging behavior (Hurley et al., 1998).
Data Analysis
Video recordings of FAs were scored for the occurrence of challenging behavior as operationally defined by trained, undergraduate research assistants using Noldus Information Technology’s software The Observer® XT. Operational definitions were created and individualized for each participant based on information from guardians, staff, and previous descriptive analyses. For FAs, researcher behavior was also operationally defined. The responses per minute or total duration of challenging behaviors across FA conditions were subsequently calculated.
Interobserver Agreement
Interobserver agreement (IOA) for FA sessions was calculated using Cohen’s kappa coefficient via The Observer® XT. A second observer independently scored an average of 49.20% (range, 42.98% to 58.11%) of FA sessions for IOA across all participants. An event frequency/sequence comparison method was used within a 5s window between primary and secondary independent observers. IOA was calculated by subtracting the agreement that could be expected due to chance alone from the relative agreement between observers and dividing this by one (which implied perfect agreement) minus the expected agreement due to chance. For FA sessions of all participants, IOA for all behaviors averaged 92.62% (range, 66.07% to 100%), with IOA for challenging behavior of participants averaging 98.02% (range, 0.00% to 100%).
Results
Figure 1 through Figure 8 present the rates of challenging behavior within the FA for each participant across medication changes across specific topographies (if relevant). Each participant had a variety of medications prescribed as well as a different number of medication changes. Looking at George’s FA results for self-injury (skin picking) and vocalizations (Figure 1 left and right panels, respectively), it appears that medication changes did not seem to impact the outcome of his FAs for self-injury; however, there were changes in the rate of vocalizations when Thorazine was discontinued in the ignore (0.33 responses per minute; rpm) and tangible (0.2 rpm) conditions decreased in the second FA relative to the first FA outcomes (0.93 rpm and 0.47 rpm, respectively). However, vocalizations were slightly increased when demands, attention and items were available, once the Thorazine was discontinued.
Figure 1.
George’s FA graphs depicting challenging behaviors per minute (self-injury, top panel; vocalizations, bottom panel). Medication Changes: (D/C)=Discontinued
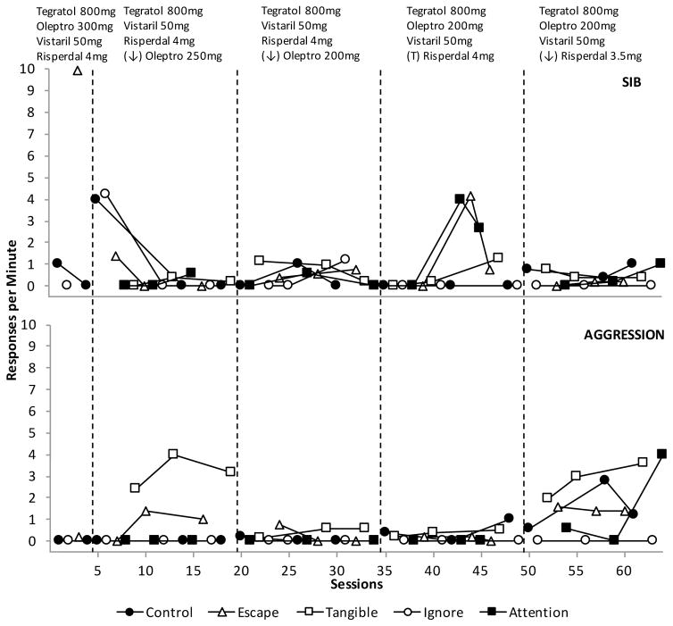
Figure 8.
Reggie’s FA graphs depicting challenging behaviors per minute (self-hitting, top panel; skin grabbing, middle panel; aggression, bottom panel). Medication Changes: (↑)=Increased; (↓)=Decreased; (+)=Introduced; (D/C)=Discontinued; (T)=Time of administration
Figure 2 depicts FA results on Bart’s avoidance responding. Changes in quetiapine (Seroquel) and aripiprazole (Abilify) seemed to impact avoidance responses during attention conditions. For example, the decrease in Seroquel corresponded with a decrease in responding in the attention condition (from 5.15 rpm to 1.06 rpm). However, the behavior occurred across all conditions suggesting undifferentiated responding as additional medication changes were made.
Figure 2.
Bart’s FA graphs depicting challenging behaviors per minute (avoidance). Medication Changes: (↑)=Increased; (↓)=Decreased; (D/C)=Discontinued; (T)=Time of administration
Susan’s rate of SIB (top panel) and vocalizations (bottom panel) are presented in Figure 3. She experienced the most medication changes throughout the study with 17 total changes experienced but with only 11 changes followed by FA sessions (changes often occurred in less than 2 week intervals so they were not captured by the FA). Generally, once lamotrigine (Lamictal) was added to the medication regimen, we saw a dramatic decrease in skin picking across conditions, especially the ignore condition (from an average of 0.41 rpm in the first four medication phases to 0.06 rpm) with the behavior resuming to previous levels or higher when clonazepam (Klonopin) was decreased and Lamictal increased (1.46 rpm 10th FA, and 1.5 rpm 11th FA). With regard to her problem vocalizations, again, once the Lamictal was initiated we saw rates of vocalizations increase from zero in the tangible condition to 4.39 rpm in the 6th FA which remained high during subsequent FA blocks (6.53 rpm, 3.53 rpm, 2.4 rpm, 1.99 rpm, and 4.14 rpm). Fluctuations in problem vocalizations in escape conditions when Klonopin and Lamictal were changed were also observed. Thus, while the Lamictal decreased SIB, it appeared to significantly increase vocalizations that functioned to obtain tangible items.
Figure 3.
Susan’s FA graphs depicting challenging behaviors per minute (self-injury, top panel; vocalizations, bottom panel). Medication Changes: (↑)=Increased; (↓)=Decreased; (+)=Introduced; (D/C)=Discontinued
Figure 4 shows data collected from Ron’s FA. Vocalizations and SIB seemed to be differentially impacted by medication changes. The withdrawal of thioridazine (Mellaril) and escitalopram (Lexapro) and addition of lurasidone HCL (Latuda) produced decreases in the frequency of vocalizations within the tangible condition (mean rates across medication phases were 3.11 rpm, 2.79 rpm, and 1.13 rpm, respectively). However, with regard to his SIB, manipulations to Latuda seemed to decrease his overall rate of behavior across conditions.
Figure 4.
Ron’s FA graphs depicting challenging behaviors per minute (self-injury, top panel; vocalizations, bottom panel). Medication Changes: (↑)=Increased; (+)=Introduced; (D/C)=Discontinued
Figure 5 displays the data for Bill’s elopement behavior, which appeared to be maintained by attention. The mean duration of behavior increased slightly when topiramate (Topamax) was increased (up to 7.86 s in the third medication phase, from 7.69s and 6.84s, in the first two medication phases). However, there was a decrease in mean duration to 4.75 s when risperidone (Risperdal) was decreased.
Figure 5.
Bill’s FA graphs depicting elopement. Medication Changes: (↑)=Increased; (↓)=Decreased
Figure 6 presents Tom’s data. His SIB was very low across the first two phases of medication changes. However, when trazodone hydrochloride (Oleptro) was added, there was an overall increase in SIB across conditions. When Risperdal was increased, there was a return to low levels of SIB. And when Risperdal was increased further, there was an unexpected increase in several conditions of the FA that may indicate that the Risperdal dose was less effective at the higher dose.
Figure 6.
Tom’s FA graph depicting SIB per minute. Medication Changes: (↑)=Increased; (↓)=Decreased; (+)=Introduced
Marcus’s data are presented in Figure 7. Head-hitting SIB occurred at low rates until the time in which the Risperdal was given changed which resulted in an increase in attention and escape-maintained SIB. When Risperdal was then decreased, the variability in the data decreased and low levels of the behavior were again observed. Aggression was the only behavior in which differentiation in responding emerged during the FA, indicating that Marcus’ aggression had a tangible and escape function when the Oleptro was reduced. Aggression again decreased when Oleptro was further reduced and the timing of Risperdal administration changed. Behaviors increased across conditions when the Risperdal was decreased indicating that the Risperdal appeared to be the key medication in suppressing behavior rather than the changes in the Oleptro.
Figure 7.
Marcus’ FA graphs depicting challenging behaviors per minute (SIB, top panel; aggression, bottom panel). Medication Changes: (↓)=Decreased; (T)=Time of administration
Finally, Figure 8 presents study data for Reggie. For both topographies of SIB, skin pinching and self-hitting, occurred across all conditions and the rate of SIB seemed to be minimally impacted with the exception of the third Ativan manipulation during which rates of self-hitting increased significantly in all conditions. With respect to Reggie’s aggression, aggression primarily occurred in the blocking condition with variations observed in the rate of behavior (albeit generally a decreasing trend) until Seroquel was increased (sixth medication phase) and Ativan became a routinely administered medication. At this time there was also a small increase in aggression during the tangible condition (0.39 rpm).
In Table 3, data are presented regarding the congruence, or lack thereof, between the FA outcome and 1) the QABF administered on the day FAs were completed; and 2) the ABC-C irritability scores obtained on the day FAs were completed. The subscale(s) with the highest scores on the QABF was considered to be the function of challenging behavior. There was moderate agreement between the QABF results and the FA outcomes for each medication phase for all participants with higher errors of commission (or over-identification of behavior function) observed with the QABF when compared to FA results. With regard to whether there was a change in ABC-C irritability subscale scores that corresponded with an overall change in rate of challenging behavior during the FA (not function-specific), the changes in subscale scores and rate of behavior were equally likely to correspond as medication changes occurred as they were to differ. That is, there was no greater than chance likelihood that as the irritability subscale scores increased (or decreased), the rate of behavior in the analogous FA would increase (or decrease).
Table 3.
Correspondence between the Questions About Behavior Function (QABF) form and ABC-C scores and the Experimental Functional Analyses across Medication Changes.
| QABF | Type of QABF Error | ||
|---|---|---|---|
| 47.7% Agreement with FA 21 of 44 opportunities |
75% Disagreement with FA 33 of 44 opportunities |
Identified additional function 30 instances |
Did not identify function 8 instances |
| ABC-C Irritability Subscale Scores | ABC-C Irritability Subscale Error | ||
| 47.2% Agreement with FA rate 17 of 36 opportunities |
52.8% Disagreement with FA rate 19 of 36 opportunities |
Rated behavior more severe 9 instances | Rated behavior less severe 10 instances |
Note: With QABF data total types of errors may not add up to the number of disagreements for FA outcome as disagreement was defined as a lack of direct correspondence and thus multiple types of errors could have occurred (commission and omission). Across FAs, one QABF for one participant was not completed. With regard to ABC-C data, the first ABC-C collected and FA conducted were points of comparison for the next data collection period.
Discussion
Although our findings were complex, we found that the FA was sensitive to the medication changes. These changes were either changes in the rate of responding and/or the type of FA condition in which behavior occurred. Thus, there were changes in the level of the behavior (e.g., Tom) and in the function of the behavior (e.g., Susan) that corresponded with medication change. The extent to which these changes can be solely attributed to medication changes, or any other variables, is unknown.
Using the criteria described by Cox and Virues-Ortega (2015), we categorized participant FA outcomes after each medication change along two dimensions: changes in overall rate of behavior or addition or subtraction of an identified function. For one participant’s behavior (i.e., Ron’s SIB), medication had a suppressing or reducing effect as the rate of Ron’s SIB seemingly decreased across medication phases. There were, however, two instances (i.e., George SIB and Reggie’s self-hitting) in which the medication changes seemed to increase the rate of responding. For example, George’s SIB occurred across FA conditions and remained consistent in the second medication phase when Thorazine was discontinued although with higher rates of responding. Finally, with respect to changes in rate, there were three cases in which the rate of responding varied (increasing and decreasing) across medication phases with an undifferentiated pattern of responding across conditions. The rate of both Bart’s avoidance and Tom’s SIB alternated in a decreasing then increasing pattern across their medication changes. Reggie’s SIB topography of self-pinching remains undifferentiated but the frequency of behavior fluctuated across his Ativan protocol manipulations. Additionally, there were two instances in which the identified function of behavior remained the same but the frequency or rate of behavior fluctuated across medication conditions (i.e., Reggie’s aggression and Bill elopement).
With respect to additions or subtractions of identified functions, there were mixed findings. For example, although George’s vocalizations appeared to occur most often in ignore and tangible conditions in the first medication phase, but the results of the second FA, after the Thorazine was discontinued, his responding was undifferentiated. Three other participants’ behaviors reflected changes in previously identified functions. These behaviors were: Susan SIB and vocalizations; Ron vocalizations; and Marcus SIB and aggression. In each of these instances, the behavior changes seem to occur after one medication change and either changed by the next phase as with Ron and Marcus or remained the same as with Susan.
We conducted additional assessments of behavior function to determine if monitoring function effects would be useful to monitor the impact of changes in medication when multiple medications were used. We anticipated that the QABFs conducted the day of the FA would match FA results. However, the QABF outcomes were inconsistent with the FA outcomes. This was surprising because research has demonstrated that QABF results are generally consistent with FA outcomes (e.g., Healy, Brett, & Leader, 2013; Paclaskyi et al. 2001; Tarbox et al 2009). Given that there were many false positive functions identified by the QABF, it is difficult to consider it a valid measure of medication effects on behavioral function. Specifically, there was not any particular function that was more likely to be correctly or incorrectly identified or omitted. The irritability scores on the ABC-C fluctuated and the severity reflected in those scores did not always match the frequency of behavior observed within the FAs. Admittedly, these questionnaires (i.e., QABF and ABC-C scores) were collected by direct care staff who did not receive extensive training on the instruments. This limitation emphasizes the importance of collecting data from trained or experienced personnel who may be more likely to detect the changes in behavior over time. The risk with untrained personnel is that data may not be consistent across direct care staff and measurements used (Madsen, Peck, & Valdovinos, 2015).
Another significant limitation of this study was the lack of interobserver agreement on staff collected data (i.e., QABF and ABC-C). Albeit a weakness, this represents the standard of care of medication monitoring (at least in our location in the state). Comparing empirical data to the indirect assessments highlighted a problem surrounding treatment with psychotropic medication in those with IDD. Better measures and procedures need to be in place to determine the exact effects medications are having on challenging and adaptive behavior in addition to monitoring adverse side effects (Weeden, Ehrhardt, & Poling, 2010). In the absence of these protocols, it is possible that changes in medication dose and kind are made contingent on perception of caregivers rather than data. Indeed, research has found that a large predictor of psychotropic medication use is challenging behavior as reported by caregivers (Tsakanikos, Bostello, Holt, Sturmey, & Bouras, 2007).
The inability to control when medication changes occurred, how often the changes occurred, and the type of medication used was also a study limitation. Admittedly, if we had shared the FA results with treatment teams it is possible that medication decisions might have changed based on our data. However, the focus of the study was to evaluate medication changes as they occurred without our intervention. Thus, multiple, varied combinations of medications were evaluated. It would be ideal to evaluate the same medicinal combinations in multiple participants and systematically adjust medication regimens; however, identifying persons with IDD on the same combination of medications would be difficult, if not impossible. There is limited research using controlled studies to properly evaluate medication effectiveness on behavior (Matson & Neal, 2009). Our sample mirrors what is typically observed among the IDD population. Perhaps certain combination treatment regimens produce inexplicable interaction effects that make it difficult to predict how medication will impact behavioral effects and reinforcement contingencies.
Two final limitations were the experimental design and methodology used in this study. The FA conditions were presented in a randomized fashion using a multielement design. Recent research has demonstrated that when the conditions of an FA are presented in a fixed order within a multi-element design, the results are more valid (Hammond, Iwata, Rooker, Fritz, & Bloom, 2013). Had we used a fixed order of presentation (i.e., ignore, attention, control, then escape), the opportunity to capitalize upon establishing operations to motivate behavior within the test conditions may have had the potential to reduce sequence effects. Additionally, conditions within this study were only repeated three times within an FA rather than based on trends observed in the data. Thus if additional sessions had been conducted we could have obtained more consistent data (e.g., Ron).
Stortz and colleagues (2014) encourage researchers in IDD to study the effects of medication used in combination as treatment for challenging behavior as it occurs naturally under medical providers’ care. They acknowledge that there are many variables that might contribute to the effects of treatment combining different types of medication; including differences in clinical guidelines and population-based sampling, and that these variables must be taken into consideration when forming guidelines surrounding medication use in this population. We would argue that although there were limitations in our study, this research highlighted the various methods of measures that can be used when monitoring medication effects and the drawbacks associated with them.
The approach suggested in this paper is a functional one, as medication effects may also interact with the effects of behavioral interventions. However, functional approaches to determining the effectiveness of psychotropic medication are rarely reported to be used. Instead, recommended assessments of medication effectiveness involves measuring frequency of target behavior, collecting time sample recordings, and/or using rating scales over weeks or months (Expert Consensus Guidelines, 2000). A functional approach may be utilized in the assessment of medication effectiveness, frequency, severity, and the conditions under which behavior is likely to occur. The use of a functional approach to assess medication impact, both desired and undesired, could be used to evaluate the effects of behavioral interventions that could be used instead of medication.
The prescription of psychotropic medication to address challenging behaviors in those with IDD is highly variable. Studies with more controlled and intensive measurement systems may provide better information as to how combination treatments effect behavior in those with IDD, or if there is a common effect to be found. Further research is warranted to optimize best practices to serve those with IDD. Although behavioral research has provided valuable insight into how specific medications may impact challenging behavior function, the complex realities of psychotropic medication use in the IDD population requires further analyses. Beyond combination treatments, doses prescribed to this population are often higher than what is recommended by National Formularies, prescribed in an off-label manner, and possess the potential for adverse effects that are inherently difficult to detect (Deb et al., 2015). Perhaps, when it comes to psychotropic medication use and individuals with IDD, the question that should be asked is not, “Are psychotropic medications better than placebo for decreasing challenging behavior?” but rather, “How does medication impact challenging behavior?”
Acknowledgments
This research was funded by National Institute of Child Health and Human Development grant 1R15HD072497-01.
We would like to thank Danielle Mroz, Raizel Small, Ashley Fee, Jaimie Carpenter, Alyssa Wilkinson, Amy Nguyen, Jacob Hunstiger, Margaret Gifford, Annika Basham, Madelyn Troske, and Madison Cirks for their assistance in this project.
References
- Aman MG, Burrow WH, Wolford PL. The Aberrant Behavior Checklist – Community: Factor validity and effect of subject variables for adults in group homes. American Journal of Mental Deficiency. 1995;100:283–292. [PubMed] [Google Scholar]
- Bradley EA, Summers JA, Wood HL, Bryson SE. Comparing Rates of Psychiatric and Behavior Disorders in Adolescents and Young Adults with Severe Intellectual Disability with and without Autism. Journal of Autism & Developmental Disorders. 2004;34:151–161. doi: 10.1023/b:jadd.0000022606.97580.19. [DOI] [PubMed] [Google Scholar]
- Brylewski J, Duggan L. Antipsychotic medication for challenging behaviour in people with intellectual disability: a systematic review of randomized controlled trials. Journal of Intellectual Disability Research. 1999;43:360–371. doi: 10.1046/j.1365-2788.1999.043005360.x. [DOI] [PubMed] [Google Scholar]
- Buoli M, Serati M, Altamura AC. Is the combination of a mood stabilizer plus an antipsychotic more effective than mono-therapies in long-term treatment of bipolar disorder? A systematic review. Journal of Affective Disorders. 2013;152–154:12–18. doi: 10.1016/j.jad.2013.08.024. [DOI] [PubMed] [Google Scholar]
- Cox AD, Virues-Ortega J. Interactions between behavior function and psychotropic medication. Journal of Applied Behavior Analysis. 2015;48:1–20. doi: 10.1002/jaba.247. [DOI] [PubMed] [Google Scholar]
- Crosland KA, Zarcone JR, Lindauer SE, Valdovinos MG, Zarcone TJ, Hellings JA, Schroeder SR. Use of functional analysis methodology in the evaluation of medication effects. Journal of Autism and Developmental Disorders. 2003;33:271–279. doi: 10.1023/a:1024402500425. [DOI] [PubMed] [Google Scholar]
- Deb S, Joyce J. Psychiatric illness and behavioural problems in adults with learning disability and epilepsy. Behavioural Neurology. 1998;11:125. [PubMed] [Google Scholar]
- Deb S, Kwok H, Bertelli M, Salvador-Carulla L, Bradley E, Torr J, Barnhill J. International guide to prescribing psychotropic medication for the management of problem behaviours in adults with intellectual disabilities. World Psychiatry. 2009;8:181–186. doi: 10.1002/j.2051-5545.2009.tb00248.x. [DOI] [PMC free article] [PubMed] [Google Scholar]
- Deb SS, Sohanpal SK, Soni RR, Lenôtre LL, Unwin GG. The effectiveness of antipsychotic medication in the management of behaviour problems in adults with intellectual disabilities. Journal of Intellectual Disability Research. 2007;51:766–777. doi: 10.1111/j.1365-2788.2007.00950.x. [DOI] [PubMed] [Google Scholar]
- Deb S, Unwin G, Deb T. Characteristics and the trajectory of psychotropic medication use in general and antipsychotics in particular among adults with an intellectual disability who exhibit aggressive behaviour. Journal of Intellectual Disability Research. 2015;59:11–25. doi: 10.1111/jir.12119. [DOI] [PubMed] [Google Scholar]
- Expert consensus guidelines series: Treatment of psychiatric and behavioral problems in mental retardation. American Journal on Mental Retardation. 2000;105:159–228. [PubMed] [Google Scholar]
- Hammond JL, Iwata BA, Rooker GW, Fritz JN, Bloom SE. Effects of fixed versus random condition sequence during multielement functional analyses. Journal of Applied Behavior Analysis. 2013;46:22–30. doi: 10.1002/jaba.7. [DOI] [PubMed] [Google Scholar]
- Healy O, Brett D, Leader G. A comparison of experimental functional analysis and the Questions About Behavioral Function (QABF) in the assessment of challenging behavior of individuals with autism. Research in Autism Spectrum Disorders. 2013;7:66–81. [Google Scholar]
- Hellings JA, Boehm D, Yeh HW, Butler MG, Schroeder SR. Long-term aripiprazole in youth with developmental disabilities including autism. Journal of Mental Health Research in Intellectual Disabilities. 2011;4:40–52. doi: 10.1080/19315864.2010.542274. [DOI] [PMC free article] [PubMed] [Google Scholar]
- Hβler F, Thome J, Reis O. Polypharmacy in the treatment of subjects with intellectual disability. Journal of Neural Transmission. 2015;122(Suppl 1):S93–S100. doi: 10.1007/s00702-014-1219-x. [DOI] [PubMed] [Google Scholar]
- Hurley AD, Reiss S, Aman MG, Salvador-Carulla L, Demb H, Loschen E, Einfeld S. Instruments for assessing effects of psychotropic medication. In: Reiss S, Aman MG, editors. Psychotropic medications and developmental disabilities: The international consensus handbook. Nisonger Center for Mental Retardation and Developmental Disabilities: The Ohio State University; 1998. pp. 85–94. [Google Scholar]
- Iwata BA, Dorsey MF, Slifer KJ, Bauman KE, Richman GS. Toward a functional analysis of self-injury. Journal of Applied Behavior Analysis. 1994;27:197–209. doi: 10.1901/jaba.1994.27-197. [DOI] [PMC free article] [PubMed] [Google Scholar]
- LaRue RH, Jr, Northup J, Baumeister AA, Hawkins MF, Seale L, Williams T, Ridgway A. An evaluation of stimulant medication on the reinforcing effects of play. Journal of Applied Behavior Analysis. 2008;41:143–147. doi: 10.1901/jaba.2008.41-143. [DOI] [PMC free article] [PubMed] [Google Scholar]
- Madsen EK, Peck JA, Valdovinos MG. A review of research on direct-care staff data collection regarding the severity and function of challenging behavior in individuals with intellectual and developmental disabilities. Journal of Intellectual Disabilities. doi: 10.1177/1744629515612328. Epub ahead of print. [DOI] [PubMed] [Google Scholar]
- Matson JL, Neal D. Psychotropic medication use for challenging behaviors in persons with intellectual disabilities: An overview. Research in Developmental Disabilities. 2009;30:572–586. doi: 10.1016/j.ridd.2008.08.007. [DOI] [PubMed] [Google Scholar]
- Matson JL, Rivet TT. Characteristics of challenging behaviours in adults with autistic disorder, PDD-NOS, and intellectual disability. Journal of Intellectual & Developmental Disability. 2008;33:323–329. doi: 10.1080/13668250802492600. [DOI] [PubMed] [Google Scholar]
- Northup J, Fusilier I, Swanson V, Roane H, Borrero J. An evaluation of methylphenidate as a potential establishing operation for some common classroom reinforcers. Journal of Applied Behavior Analysis. 1997;30:615–625. doi: 10.1901/jaba.1997.30-615. [DOI] [PMC free article] [PubMed] [Google Scholar]
- Northup J, Fusilier I, Swanson V, Huete J, Bruce T, Freeland J, Gulley V, Edwards S. Further analysis of the separate and interactive effects of methylphenidate and common classroom contingencies. Journal of Applied Behavior Analysis. 1999;32:35–50. doi: 10.1901/jaba.1999.32-35. [DOI] [PMC free article] [PubMed] [Google Scholar]
- O’Neill RE, Horner RH, Albin RW, Sprague JR, Storey K, Newton JS. Functional Assessment and Program Development for Problem Behavior. Pacific Grove, CA: Brooks/Cole Publishing; 1997. [Google Scholar]
- Paclawskyj TR, Matson JL, Rush KS, Smalls Y, Vollmer TR. Questions about behavioral function (QABF): A behavioral checklist for functional assessment of aberrant behavior. Research in Developmental Disabilities. 2000;21:223–229. doi: 10.1016/s0891-4222(00)00036-6. [DOI] [PubMed] [Google Scholar]
- Paclawskyi TR, Matson JL, Rush KS, Smalls Y, Vollmer TR. Assessment of the convergent validity of the Questions About Behavioral Function scale with analogue functional analysis and the Motivation Assessment Scale. Journal of Intellectual Disability Research. 2001;45:484–494. doi: 10.1046/j.1365-2788.2001.00364.x. [DOI] [PubMed] [Google Scholar]
- Ruedrich SL, Swales TP, Rossvanes C, Diana L, Arkadiev V, Lim K. Atypical antipsychotic medication improves aggression, not self-injurious behaviour, in adults with intellectual disabilities. Journal of Intellectual Disability Research. 2008;52:132–140. doi: 10.1111/j.1365-2788.2007.00981.x. [DOI] [PubMed] [Google Scholar]
- Sheehan R, Hassiotis A, Walters K, Osborn D, Strydom A, Horsfall L. Mental illness, challenging behaviour, and psychotropic drug prescribing in people with intellectual disability: UK population based cohort study. British Medical Journal. 2015;351:h4326–9. doi: 10.1136/bmj.h4326. [DOI] [PMC free article] [PubMed] [Google Scholar]
- Stortz JN, Lake JK, Cobigo V, Ouellette-Kuntz HMJ, Lunsky Y. Lessons learned from our elders: How to study polypharmacy in populations with intellectual and developmental disabilities. Intellectual and Developmental Disabilities. 2014;52:60–77. doi: 10.1352/1934-9556-52.1.60. [DOI] [PubMed] [Google Scholar]
- Tarbox J, Wilke AE, Najdowski AC, Findel-Pyles RS, Balasanyan S, … Tia B. Comparing indirect, descriptive, and experimental functional assessments of challenging behavior in children with autism. Journal of Developmental and Physical Disabilities. 2009;21:493–514. [Google Scholar]
- Tsakanikos E, Costelli H, Holt G, Sturmey P, Bouras N. Behaviour management problems as predictors of psychotropic medication and use of psychiatric services in adults with autism. Journal of Autism and Developmental Disorders. 2007;35:1080–1085. doi: 10.1007/s10803-006-0248-1. [DOI] [PubMed] [Google Scholar]
- Tsiouris JA, Kim SY, Brown WT, Pettinger J, Cohen IL. Prevalence of Psychotropic Drug Use in Adults with Intellectual Disability: Positive and Negative Findings from a Large Scale Study. Journal of Autism and Developmental Disorders. 2013;43:719–731. doi: 10.1007/s10803-012-1617-6. [DOI] [PubMed] [Google Scholar]
- Tyrer P, Oliver-Africano PC, Ahmed Z, Bouras N, Cooray S, Deb S, et al. Risperidone, haloperidol, and placebo in the treatment of aggressive challenging behaviour in patients with intellectual disability: A randomised controlled trial. Lancet. 2008;371:57–63. doi: 10.1016/S0140-6736(08)60072-0. [DOI] [PubMed] [Google Scholar]
- Unwin GL, Deb S. Efficacy of atypical antipsychotic medication in the management of behaviour problems in children with intellectual disabilities and borderline intelligence: A systematic review. Research in Developmental Disabilities. 2011;32:2121–2133. doi: 10.1016/j.ridd.2011.07.031. [DOI] [PubMed] [Google Scholar]
- Valdovinos MG, Ellringer NP, Alexander ML. Changes in the rate of problem behavior associated with the removal of the antipsychotic medication quetiapine. Mental Health Aspects of Developmental Disabilities. 2007;10:64–67. [Google Scholar]
- Valdovinos MG, Nelson SM, Kuhle J, Dierks AM. Using analogue functional analysis to measure variations in problem behavior rate and function after psychotropic medication changes: A clinical demonstration. Journal of Mental Health Research in Intellectual Disabilities. 2009;2:279–293. [Google Scholar]
- Valdovinos MG, Schroeder SR, Kim G. Prevalence and correlates of psychotropic medication use among adults with developmental disabilities: 1970 – 2000. International Review of Research in Mental Retardation. 2003;26:175–220. [Google Scholar]
- Weeden M, Erhardt K, Poling A. Psychotropic drug treatments for people with Autism and other developmental disorders: A primer for Practicing Behavior Analysts. Behavior Analysis in Practice. 2010;3:4–12. doi: 10.1007/BF03391753. [DOI] [PMC free article] [PubMed] [Google Scholar]
- Willams H, Clarke R, Bouras N, Martin J, Holt G. Use of the atypical antipsychotics olanzapine and risperidone in adults with intellectual disability. Journal of Intellectual Disability Research. 2000;44:164–169. doi: 10.1046/j.1365-2788.2000.00284.x. [DOI] [PubMed] [Google Scholar]
- Zarcone JR, Lindauer SL, Morse PS, Crosland KA, Valdovinos MG, McKerchar TL, Reese RM, Hellings JA, Schroeder SR. Effects of risperidone on destructive behavior of persons with developmental disabilities: III. Functional analysis. American Journal on Mental Retardation. 2004;109:310–321. doi: 10.1352/0895-8017(2004)109<310:EORODB>2.0.CO;2. [DOI] [PubMed] [Google Scholar]








