Abstract
MicroRNAs (miRNAs) are post-transcriptional regulators that silence messenger RNAs. Because miRNAs are stable at room temperature and long-lived, they have been proposed as molecular biomarkers to monitor disease and exposure status. While urinary miRNAs have been used clinically as potential diagnostic markers for kidney and bladder cancers and other diseases, their utility in non-clinical settings has yet to be fully developed. Our goal was to investigate the potential of urinary miRNAs to act as biomarkers of pesticide exposure and early biological response by identifying the miRNAs present in urine from 27 parent/child, farmworker/non-farmworker pairs (16FW/11NFW) collected during two agricultural seasons (thinning and post-harvest) and characterizing the between- and within-individual variability of these miRNA epigenetic regulators. MiRNAs were isolated from archived urine samples and identified using PCR arrays. Comparisons were made between age, households, season, and occupation. Of 384 miRNAs investigated, 297 (77%) were detectable in at least one sample. Seven miRNAs were detected in at least 50% of the samples, and one miRNA was present in 96% of the samples. Principal components and hierarchical clustering analyses indicate significant differences in miRNA profiles between farmworker and non-farmworker adults as well as between seasons. Six miRNAs were observed to be positively associated with farmworkers status during the post-harvest season. Expression of five of these miRNA trended towards a positive dose response relationship with organophosphate pesticide metabolites in farmworkers. These results suggest that miRNAs may be novel biomarkers of pesticide exposure and early biological response.
Keywords: microRNA, organophosphate, pesticides, exposure biomarkers
Introduction
MicroRNAs (miRNAs) are short, single-stranded non-coding RNAs that are ~22 nucleotides in length that act as post transcriptional regulators that silence messenger RNAs. This function allows them to influence RNA translation to protein through partial complementary binding. MiRNAs have also been observed to cause functional changes by up-regulating target mRNA translation (Vasudevan et al., 2007).
MiRNAs are found ubiquitously throughout human tissues, existing in a wide variety of bodily fluids including urine and saliva (Weber et al., 2010). Unlike other types of RNA, miRNAs are stable at room temperature and do not rapidly degrade. These characteristics give miRNAs the potential to persist in non-ideal conditions for extended periods of time making them ideal candidates for use as molecular biomarkers to monitor disease and exposure status. While some miRNAs may be produced in a tissue-specific or cell-specific manner (Wang et al., 2009), miRNAs identified in human urine have the potential to serve as biomarkers of systemic conditions (Weber et al., 2010). Urinary miRNAs have previously been used clinically as potential diagnostic markers of prostate, bladder, and kidney diseases (Hanke et al., 2010; Catto et al., 2011). A recent review indicated several studies have attempted to utilize miRNAs as biomarkers of environmental exposures including cigarette smoke, air pollution, endocrine disruptors, and other environmental toxicants (Vrijens et al., 2015). These characteristics and previous applications suggest that miRNAs may also be novel biomarkers of pesticide exposure and early response.
Organophosphate (OP) pesticides are heavily used in agriculture, leading to occupational and community exposures (Thompson et al. 2014). Chronic OP exposure has been implicated in several adverse health outcomes including respiratory and neurological effects (Eskenazi et al., 1999; Gray and Lawler 2011). Azinphos-methyl (AZM) is a dimethyl OP pesticide that was frequently used in agricultural production of pome fruits (e.g. apples and pears) until the United States Environmental Protection Agency (USEPA) mandated a phase-out process that began in 2012 (USEPA 2009). However, assessing pesticide exposure can be complex, as seasonal use rates and subsequent exposures vary substantially. For example, AZM is the primary pesticide used on pome fruit trees during the thinning season (mid-June to mid-August). Following application of AZM, farmworkers actively trim pome fruit tree branches, potentially resulting in high AZM exposures in farmworkers (Thompson et al., 2014). During the harvest season (early September to late-October) AZM and other OP use are reduced. However, farmworkers may continue to be exposed as they actively harvest tree fruits and may apply other pesticides as needed. While direct pesticide application is reduced in post-harvest season (mid-November to mid-December), pesticide exposure is likely to persist through this season through house-dust and other take-home pathways of exposure. Peak amounts of AZM and other OPs, Phosmet and Diazinon, have been previously observed in house dust in the harvest season compared to thinning season. House dust has been shown to be a critical exposure pathway as it allows for continued exposure to pesticides. The high amounts of OPs found in the home during and immediately following the harvest season may result in pesticide exposures in the home, especially as more time is spent indoors during the post-harvest season (Thompson et al., 2014). Additionally, there may be cumulative effects from the preceding thinning and harvest seasons of exposures. This dynamic exposure pattern requires multiple measurements to fully assess.
One approach to assess pesticide exposure is through measurement of pesticides, metabolites and other biomarkers in urine. Because providing urine samples is relatively non-invasive, it can be collected at multiple seasons throughout the year. Urinary metabolites and biomarkers can provide insight into systemic and tissue-specific conditions, allowing for the identification of both markers of exposure and effect. One group of urinary biomarkers that are hypothesized to indicate both exposure and early biological response are miRNAs. Because extracellular miRNAs are known to be representative of cell and tissue-specific conditions (Lee et al., 2012), miRNAs in the urine may indicate biochemical changes in response to exposures and a potential early epigenetic response. A recent study by (Mall et al., 2013) found that urinary miRNAs remain stable throughout a variety of storage conditions, further supporting their potential for urine to provide reliable biomarkers in both clinical and archived samples.
The goal of our study was to determine if miRNAs can be extracted from archived, home-collected urine samples from farmworker and non-farmworker adults and children and be used to characterize between- and within-individual variability of these miRNAs, to evaluate biomarker potential, and to gain molecular insight into systems affected by associated OP pesticide exposure. We hypothesized that urinary miRNAs profiles can be used to predict occupational status and OP pesticide exposure in a cohort of farmworker and non-farmworker households. To determine how exposure to OP pesticides may impact miRNA profiles, we utilized global miRNA profiling techniques.
Methods
Study Population
The University of Washington Center for Child Environmental Health Risks Research (CHC) Cohort is situated in one of Washington State’s primary agricultural regions, the lower Yakima Valley. Study participants were recruited from the larger CHC cohort to participate in this nested study of environmental influences on urinary miRNA. The CHC cohort has been described in two recent studies, Thompson et al., 2014 and Smith et al., 2015. Briefly, in 2011, 27 women of childbearing age (18–49 years) and one child from each household were recruited from the larger CHC cohort to participate in this study. All participants self-reported “fair” to “excellent” health in a single item perceived health status questionnaire administered at the time of sample collection. None of the participants reported “poor” health. Participants were asked about their smoking status as well as smokers in their households and all reported themselves as non-smokers with no smokers in their households. Children were between the ages of 6 and 10 years. Roughly half of the women recruited are pome fruit (e.g., apple or pear) farmworkers (FWs, n=16) and half are non-farmworkers (NFWs, n=11) employed in other sectors including factories, schools, and stores in the same region. Nearly all speak Spanish as a primary language. A detailed description of the nested study participants can be found in Smith et al. 2015.
Sampling Design and Collection
Urine samples were collected in the thinning (June–August) and post-harvest (November-December) agricultural seasons of 2011. In each season, first morning void urine samples were collected from adults and children on four separate days over a 7 day period (days 1, 3, 5, and 7). Participants stored samples in their home refrigerator until the samples were collected by study personnel. Urine samples were then secured in plastic bags and transported to the University of Washington in a cooler with frozen ice packs. Once at the University, samples were inverted to ensure homogenous mixing, divided into 10mL aliquots and stored at −20°C until analysis. All sample collection procedures were reviewed and approved by the Fred Hutchinson Cancer Research Center’s Institutional Review Board (File IR 5946).
Pesticide Metabolite Analysis
All urine samples from adults and children were analyzed for three dimethyl organophosphate pesticide metabolites: dimethyl-phosphate (DMP), dimethyl-thiophosphate (DMTP), and dimethyl-dithiophosphate (DMDTP) and three diethyl (DE) metabolites: diethyl-phosphate (DEP), diethyl-thiophosphate (DETP), and diethyl-dithiophosphate (DEDTP). Samples were analyzed using methods described previously in Thompson et al., 2014 and Odetokun et al., 2010. Metabolite concentrations are reported without creatinine, as done in Barr et al., 2004 and Thompson et al., 2014. Briefly, samples were prepared for analysis by HPLC-MS/MS as described in Thompson et al., 2014. Each HPLC-MS/MS run contained a full 8-point calibration plot, 3 quality-control materials spiked at concentrations spanning the entire calibration range, 2 blank samples, and 36 unknown urine samples. Isotope dilution calibration was used to quantify the analytes and to provide concentrations in ng/ml units. Quality control parameters, described in Westgard’s multirules were used to determine whether the data were valid.
Samples with metabolites below the limit of detection
Concentrations of metabolites below the limit of detection (LOD) were estimated using a multivariate normal distribution model. Correlations between the metabolites and the probability distribution of metabolites above the LOD were used to inform the censored values below the LOD (Griffith et al., 2011). Therefore, in this analysis, values below the limit of detection are treated as censored values, with a distribution that was constrained to be below the limit of detection and dependent on the observed values of the other metabolites in the same sample. These methods have been well utilized in several studies to inform values below the limit of detection (Lyles et al., 2001; Thiebaut and Jacqmin-Gadda 2004; Egeghy et al., 2005). The components of variance model can be expressed as:
where MVN3 is a three-dimensional multivariate normal distribution of either the dimethyl OP metabolites DMP, DMTP, DMDTP, or diethyl OP metabolites DEP, DETP, DEDTP, Xjkl is the vector of the measured OP metabolite concentrations of the jth household on the lth collection day, μj is the vector of the random effects for the means of the three metabolites for the jth household, αl is the mean for the lth day, θk is the vector of the means of the three metabolites, Σw is the within-household variance–covariance matrix (3×3), Σb is the between-household variance–covariance matrix (3×3). The number of households is nj, the number of collection days is nl, and k indexes the 3 metabolites. Separate multivariate Normal distributions, MVN3, were estimated for each season, FWs and NFWs, adult and child, and dimethyl and diethyl metabolites. Because of the large number of samples below the LOD, distributions of the model parameters were estimated using a Bayesian Markov chain Monte Carlo method known as Gibbs sampling. The model was run using the WinBUGS 1.4.3 software program available at www.mrc-bsu.cam.ac.uk/bugs (Lunn et al., 2000). The model output was used in the subsequent analyses. Metabolites are reported as the cumulative amounts of all dimethyl and diethyl metabolites, total dialkyl phosphate metabolites (DAPs).
RNA Isolation from Urine
One 10mL archived urine sample per participant from sampling day 1 was thawed on ice and then stabilized with 1mL EDTA. Samples were inverted five times to mix well and centrifuged (3,000 × G for 30 min at 4°C). Urinary supernatant was removed and set aside while the remaining pellet was washed with 1mL PBS and centrifuged (12,000 × G for 10 minutes at 4°C). After the spin, the 1mL PBS supernatant was discarded and Ambion mirVana PARIS miRNA (Ambion, Austin, TX) kit-sourced denaturing buffer was mixed thoroughly with the retained pellet. 1mL of the urinary supernatant was added back to the denatured pellet and RNA isolation proceeded according to the Ambion mirVana PARIS miRNA kit manufacturer’s protocol. Potential DNA contamination was removed using Ambion’s DNA-free DNA Removal kit (Ambion, Austin, TX) per the manufacturer’s protocol. Finally, RNA samples were cleaned and concentrated using Qiagen’s RNeasy MinElute Cleanup Kit (Qiagen, Ltd) following the manufacturer’s protocol.
Total RNA concentrations were determined on a NanoDrop spectrophotometer [NanoDrop Technologies, Wilmington, DE]. Urinary miRNA samples were profiled using TaqMan Array Human miRNA Panel A (4398977) [LifeTechnologies Carlsbad, CA] covering 384 human miRNAs following manufacturer instructions. The top three most frequently expressed miRNAs were validated by RT-PCR.
Statistical Analysis
MiRNA levels were normalized to an embedded internal control gene, MammU6, and relative miRNA levels were determined using the ΔCt method where ΔCt= Ct (miRNA of interest) - Ct (internal control). ΔΔCt was calculated as =ΔCt (FWs) – ΔCt (NFWs) and fold change was calculated as 2−ΔΔCt. Fold changes greater than 2 were considered significant (Livak and Schmittgen 2001).
The top 10 most frequently expressed miRNAs among all groups were identified and Principal Components Analysis (PCA) and Hierarchical Clustering Analysis (HCA) of these top expressed miRNAs for groups (n=27adults, n=27 children) were performed using JMP (SAS Institute Inc., Cary, NC) to identify differential expression of urinary miRNAs between groups and seasons. Analyses were performed using normalized (−ΔCt) values, where greater expression of miRNA is represented by larger −ΔCt values. Eigenvectors and loading values were extracted for the primary principal component. PCAs generated were used to visualize relationships among the variables (miRNAs) and eigenvectors were used to identify underlying indicators of variability in the data. Hierarchical clustering was used to visualize upregulated and downregulated genes and identify expression-based grouping of the variables. Linear regression was used to determine dose-response relationships between total urinary DAPs and miRNAs expression.
Results
Of the 384 mircroRNAs probed, 297 (77%) were detected in at least one sample (Supplemental Table 1). Seven miRNAs were detected in at least 50% of the samples, and one miRNA (miR-223) was present in 96% of samples. Comparison of groups showed households (parent and child combined) expressed a greater number of miRNAs in their urine during post-harvest than during thinning seasons (mean=31 [range, 3–169] vs. 57 [6–197]). This seasonal difference was more drastic in adults (mean=25 [range, 3–130] vs. 74 [6–169]) than children (mean=38 [6–169] vs. 40 [9–173]) when analyzed separately. The top 10 most frequently expressed miRNAs in all groups are indicated in Table 1.
Table 1.
Top 10 detected microRNAs and frequency of detection in adults and children by occupation (farmworker-FW, non-farmworker-NFW).
| microRNA | Counts All Groups All Seasons¥ (n=107) | Frequency All Groups All Seasons¥ (n=107) | Frequency Adult FW All Seasons¥ (n=32) | Frequency Adult NFW All Seasons¥ (n=22) | Frequency Child FW All Seasons¥* (n=31) | Frequency Child NFW All Seasons¥ (n=22) |
|---|---|---|---|---|---|---|
| miR-223 | 103 | 96% | 100% | 95% | 91% | 95% |
| miR-518d-3p | 88 | 82% | 72% | 64% | 91% | 100% |
| miR-320a | 68 | 64% | 56% | 86% | 50% | 68% |
| miR-203a | 61 | 57% | 53% | 55% | 47% | 77% |
| miR-517b | 61 | 57% | 63% | 50% | 47% | 68% |
| miR-597 | 55 | 51% | 47% | 45% | 53% | 59% |
| miR-24-1 | 54 | 50% | 41% | 55% | 50% | 59% |
| miR-133b | 50 | 47% | 44% | 41% | 44% | 59% |
| miR-28-5p | 50 | 47% | 38% | 50% | 50% | 50% |
| miR-30c-1 | 49 | 46% | 44% | 59% | 31% | 59% |
One sample collected per season for two seasons for each individual adult and child participant. Adult FW n=16, Adult NFW n=11, Child FW n=16, Child NFW n=11.
Missing sample, Child FW during thinning season
microRNA profile analysis
Principal Components Analyses (PCAs) were performed to visualize relationships among the top 10 most expressed miRNAs. PCAs of miRNA profiles were generated for adult farmworkers (FWs) and non-farmworkers (NFWs) during thinning and post-harvest seasons. During the post-harvest, miRNA expression illustrated clear clustering by occupation (Figure 1A). Between the two components, over 65% of the variability in miRNA expression was explained. Principal Component 1 (PC1) explained 54.3% of the variability between miRNA profiles. PC1 was predominately characterized by the presence (reflected by positive loadings) of miRNAs -223, -518d-3p, -597, -517b, -133b, & -28-5p and the relative absence (reflected by negatively loadings) of miRNAs -320a, -203a, -24-1, & -30c-1 (Figure 1B). There was a clear division by FW status along PC1, with FWs having positive scores and NFWs having negative scores. The positive scores in PC1 for the FWs are consistent with the presence (positive loadings) of miRNAs -223, -518d-3p, -597, -517b, -133b, & -28-5p and a relative absence of miRNAs -320a, -203a, -24-1, & -30c-1. Negative scores in PC1 for the NFWs are consistent with the presence of miRNAs 2-320a, -203a, -24-1, & -30c-1 and the relative absence of miRNAs -223, -518d-3p, -597, -517b, -133b, & -28-5p. There was no separation between FW and NFWs observed in the thinning season (Supplemental Figure 1).
Figure 1.
(A) PCA of the top 10 miRNAs expressed in 16 FW (red) and 11 NFW (blue) adults during post-harvest season. The abundance of each miRNA relative to the internal control (−ΔCt) was expressed as a fraction of the total miRNA abundance. Component 1 described 54.3% of the variance and Component 2 explains 13.4% of the variance. Between the two components, 67.7% of the variability is explained. (B) Eigenvector analysis of the top 10 expressed miRNAs shows principal component 1 is positive for miRNA -223, -518d-3p, -597, -517b, -133b, & -28-5p and negative for miRNAs -320a, -203a, -24-1, & -30c-1.
Hierarchical Cluster Analysis (HCA) and dendrograms (Figure 2) allowed for two-way visualization of grouping of miRNA expression where relatively higher expression of miRNA is indicated with brighter shades of red and lower levels of expression are indicated by brighter shades of green. The cluster showed two main branches, grouping the FWs and NFWs. FWs generally cluster in the bottom branch (B) while NFWs generally cluster in the top branch (A). MiRNAs are observed to cluster into two main branches (C and D), where six miRNAs (miR -223, -518d-3p, -597, -517b, -133b, & -28-5p, branch C) appear to be upregulated in FWs (generally showing red) compared to NFWs (generally showing green). Analyses indicate that higher levels of miR-223, -518d-3p, -597, -517b, -133b, & -28-5p may be associated with FW status. These findings are consistent with our PCA results.
Figure 2.
Hierarchical clustering analysis of the top 10 miRNAs expressed was performed using normalized Ct values (−ΔCt) in adults during post-harvest season using Ward’s algorithm. The color scale indicates relative expression of miRNA with brighter shades of red indicating higher miRNA expression and green indicating lower levels of expression. Participants are indicated on the left panel as farmworker (FW, red circle) or non-farmworkers (NFW, blue circle). MiRNAs are listed on the bottom of the figure. The figure shows the clustering of the six miRNAs (-223, -518d-3p, -597, -517b, -133b, & -28-5p) that distinguish FWs from NFWs where FWs are generally observed to have higher expression of these six miRNAs relative to NFWs during this season.
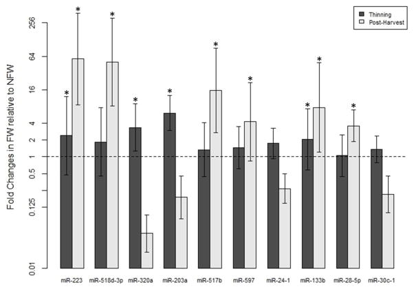
Fold changes in the top 10 miRNAs were plotted to illustrate the differences in expression of the six identified upregulated miRNAs in FWs compared to NFWs (Figure 3). FWs are observed to express 58 times as much miR-223, 50 times as much miR-518d-3p, 15 times as much miR517b, 4 times as much miR-597, 8 times as much miR-133b, and 4 times as much miR-28-5p as NFWs in the post-harvest season. During the thinning season FWs were observed to express 2 times as much miR-223, 3 times as much miR-320a, 6 times as much miR-203a, and 2 times as much miR-133b as NFWs.
Figure 3.
Fold increases in FW relative to NW in the thinning and post-harvest seasons for the top 10 most expressed miRNAs. ΔΔCt was calculated as =ΔCt (FWs)−ΔCt (NFWs) and fold change was calculated as 2−ΔΔCt. Fold changes >2 were considered significant and are indicated by *. The fold changes represent the average miRNA expression of the 16 FW samples and 11 NFW samples for each miRNA investigated.
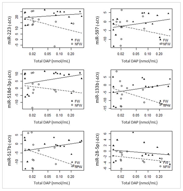
Total urinary concentration of DAPs, major metabolites of OP pesticides in humans, in the 16 FW and 11 NFW adults were regressed with −ΔCt of each of the top 10 miRNAs to determine the dose-response relationship between pesticide metabolites and miRNAs. A statistically significant occupational difference between FWs and NFWs was observed in miR-223 (p<0.05). Of the six miRNAs observed to be positively associated with FWs in the PCA and HCA during post-harvest season, five (miR-223, -518d-3p, -597, -517b, & 133b) were observed to show a positive dose-response trend with total DAPs (Figure 4). However, we were not able to observe significant correlations (p>0.1) between total DAPs and the six miRNAs.
Figure 4.
Regression of total DAPs and six FW-related miRNAs in FW and NFW adults in the post-harvest. FWs are indicated by triangles with solid trend lines and NFWs are indicated by open circles and hashed trend lines. Metabolites are reported as nmol total DAPs/mL urine and miRNA levels are reported as −ΔCt where greater expression of miRNA corresponds with a positive trend. A significant occupational effect was observed in miR-223 (p<0.05). A positive-trending dose-response for FW adults is observed in five of the six miRNAs (-223, -518d-3p, -517b, -597, & -133b) and negative trending dose-response for NFW adults is observed in all six miRNAs (p>0.05).
Analyses showed no differences in miRNA profile expression in children between FW and NFW groups or between seasons (Supplemental Figures 2, 3).
Discussion
Our analyses showed six miRNAs (miR-223, -518d-3p, -597, -517b, -133b, & -28-5p) have relatively higher expression in FWs compared to NFWs in the post-harvest season. MiRNA databases including miRBase.org and miRo (miR-Ontology Database) that utilize three motif recognition software, TargetScan, miRanda, and PicTar, have identified several potential miRNA target sites, cellular processes and functions associated with these miRNAs (Enright et al., 2003; Krek et al., 2005; Grimson et al., 2007; Lagana et al., 2009). MiR-517b, -133b, and -597 have been identified as associated with target genes involved in neurological functions including neurotransmitter activity and receptor binding, among many other associated functions. Interestingly, miR-28-5p has been identified as associated with acetylcholine binding, acetylcholinesterase activity, and cholinesterase activity, hallmark pathways affected by organophosphate pesticide exposure. Many studies have identified neurobehavioral impacts of OP pesticides at levels that do not cause the hallmark inhibition of the acetylcholinesterase enzyme (Eaton et al., 2008). A recent review by (Dluzen and Lazarus 2015) highlighted several miRNAs with functional effects on the expression or activity of several metabolic enzymes. MiR-223, which was observed to be upregulated in FWs in our study, has been shown to modulate activities of CYP 3A4 and CYP2E1 (Takahashi et al., 2014). Another upregulated miRNA in FWs, miR-133b has been observed to impair the expression of Glutathione-S-Transferase (GSTP1) in HeLa cells (Patron et al., 2012). These effects are of particular interest as these enzymes are highly involved in metabolism or OPs and other pesticides and may further suggest early biological effect from exposure.
In this study, we found changes in miRNA profiles at relatively low metabolite concentrations, potentially implicating epigenetic mechanisms in the low-dose effects of OP pesticides. These results suggest that the six miRNAs upregulated in FWs during the post-harvest season may serve to predict occupational status and as potential biomarkers of both pesticide exposure and early biological effects. Further investigation into the pathways involved with the miRNAs altered in FWs may be used to interpret the biological processes, functions, and pathways involved in pesticide exposures. Further characterization of pesticide use and exposure during the post-harvest and thinning seasons may prove to better identify dose-response relationships for other pesticides used in addition to OPs.
Urinary biomarkers offer a potential non-invasive method for identification of environmental pesticide exposure. However, existing urinary pesticide exposure biomonitoring involves costly analysis of specific pesticide metabolites. We have demonstrated that six specific urinary miRNAs are predictive of occupational status and may serve as effective biomarkers for pesticide exposures. Further, we identified elevated expression of these six miRNAs in the post-harvest season, but not in the thinning season, suggesting that presence of differential miRNA profiles may be short-lived. In this way, our observations suggest our methods are able to detect miRNA changes following several months of pesticide exposure but may not detect immediate changes from exposures. Additionally, because we were able to detect differences in FWs between the two seasons, we hypothesize that the effects occurring in the post-harvest season may not persist into the following seasons. These findings are consistent with those observed in an in vivo study investigating effects of formaldehyde exposure on miRNA profile expression in rats (Rager et al., 2014). Short-term changes in plasma miRNA expression profiles have also been observed in smokers after quitting smoking (Takahashi et al., 2013). Previously, long-term effects in miRNA expression from environmental exposures have not been studied and our findings offer insight on the transitory nature of miRNAs (Vrijens et al., 2015). To our knowledge, our study reports the first observation of transient characteristics of miRNAs in extra-bodily fluids in humans in a longitudinal study. Future studies investigating additional time points in the time period immediately following cessation of exposure may show how long the miRNA levels remain altered and further explain the temporality and seasonality we observed in our study.
Previous work with miRNA has often focused on specific tissue samples or assessed systemic expression through blood samples. While urine is beginning to be more widely used (Yang et al., 2012; Kanki et al., 2014; Yang et al., 2015), field-collected samples are still rarely measured. In this study, we were able to successfully isolate and quantify miRNA expression in field collected urine samples that had be archived in our biorepository. Not only does this demonstrate the robustness of our methods, but it also contributes to the applicability of miRNA in environmental exposure assessment. Additionally, urinary miRNA analysis may provide the benefit of molecular insight on multiple endpoints and concurrent monitoring for co-exposures. MiRNAs have the potential to act as more sensitive biomarkers of effect than overt clinical or other indications of damage and disease (Heinloth et al., 2004).
While AZM is the primary pesticide in use during the thinning season, FWs are exposed to a variety of other agricultural pesticides and potentially other chemicals during the season tested. In our study, FWs showed a positive trend in OP metabolite concentrations and five of the miRNA expression changes. While our small sample size (FW n=16, NFW n=11) was able to detect statistically significant occupational differences in associations of one of these five miRNAs with OP metabolites, these analyses performed on a larger sample size may show further statistical significance of the observed dose-response trends.
While we did not detect the strongest signal of occupational differences during the season with greatest OP use, the large combination of various pesticide exposures occurring in these settings throughout these agricultural seasons may contribute to the observed occupational differences immediately following the exposures in the post-harvest season. Further analysis of additional pesticide metabolites is underway to better characterize these exposures in each season studied. Other factors such as differing lifestyle habits or non-chemical stressors may also be contributing to observed differences between groups and seasons. Because samples were not obtained clinically, quality and quantity of miRNA extracted from urine samples were not ideal compared to blood, plasma, or other tissues. However by concentrating samples we were able to identify critical miRNAs associated with FW adults. In doing so, we utilized a combination of multiple manufacturer-sourced kits in our methods, which can potentially become costly should a similar study be done with a larger cohort. While miRNAs were observed to persist in our frozen archived samples, it is still possible that “fresh” urine samples, collected as such in clinical environments and processed rapidly may provide stronger signals or identify other critical miRNAs involved.
We did not observe any differences in miRNA profiles between FW and NFW children in either season. The quantity of miRNA measured in child urine samples in our study was generally much lower than in adult samples, which may suggest that our methods may not be sensitive enough to detect differences in miRNA profiles in children. Future improvements on our method sensitivity to detect miRNA changes in children are critical as miRNAs are highly involved in development (Alvarez-Garcia and Miska 2005; Wienholds and Plasterk 2005) and exposure to environmental toxicants during development that result in short-term changes in miRNA expression have the potential to lead to significant developmental issues (Marsit et al., 2006). This may provide further insight into mechanisms of characteristic developmental neurotoxic effects of pesticides (Gray and Lawler 2011).
Conclusion
Our study implements a novel method to identify biomarkers of exposure and early biological response in archived, field-collected urine samples. We have identified six miRNA associated with occupational farm work, thereby demonstrating the utility of urinary miRNAs and their potential to act as biomarkers of environmental pesticide exposure and early biological response. We have shown that miRNAs can be extracted from archived urinary samples and the ability to detect 273 different miRNAs. We observed differences in miRNA expression in adult FWs compared to NFWs. We observed a seasonal difference in relative miRNA expression in FWs suggestive of transient characteristics of miRNAs in extra-bodily fluids. These differences between groups were not observed in children, suggesting potential limitations of the sensitivity of our methods. Additional work is underway to investigate miRNA profiles associated with pesticide exposure and the roles of these miRNAs in adverse outcome pathways.
Supplementary Material
Highlights.
A novel method to identify microRNA biomarkers in urinary samples is proposed.
Six miRNAs have been identified as associated with occupational farm work and pesticide exposure.
An observed seasonal difference suggests transient characteristics of urinary miRNAs.
Acknowledgments
This work was made possible through funding from the Eunice Kennedy Shriver National Institute of Child Health and Human Development, National Institutes of Health, Department of Health and Human Services (Contract Nos.HHSN275200800015C and HHSN2672007023C), the National Institutes of Environmental Health Sciences (Grants 5P01 ES009601 and 5 P30 ES007033) and from the United States Environmental Protection Agency (EPA) (Grants RD-83451401, RD-83170901, and RD-83273301).
Footnotes
Publisher's Disclaimer: This is a PDF file of an unedited manuscript that has been accepted for publication. As a service to our customers we are providing this early version of the manuscript. The manuscript will undergo copyediting, typesetting, and review of the resulting proof before it is published in its final citable form. Please note that during the production process errors may be discovered which could affect the content, and all legal disclaimers that apply to the journal pertain.
References
- Alvarez-Garcia I, Miska EA. MicroRNA functions in animal development and human disease. Development. 2005;132(21):4653–4662. doi: 10.1242/dev.02073. [DOI] [PubMed] [Google Scholar]
- Barr DB, Bravo R, Weerasekera G, Caltabiano LM, Whitehead RD, Jr, Olsson AO, Caudill SP, Schober SE, Pirkle JL, Sampson EJ, Jackson RJ, Needham LL. Concentrations of dialkyl phosphate metabolites of organophosphorus pesticides in the U.S. population. Environ Health Perspect. 2004;112(2):186–200. doi: 10.1289/ehp.6503. [DOI] [PMC free article] [PubMed] [Google Scholar]
- Catto JW, Alcaraz A, Bjartell AS, De Vere White R, Evans CP, Fussel S, Hamdy FC, Kallioniemi O, Mengual L, Schlomm T, Visakorpi T. MicroRNA in prostate, bladder, and kidney cancer: a systematic review. Eur Urol. 2011;59(5):671–681. doi: 10.1016/j.eururo.2011.01.044. [DOI] [PubMed] [Google Scholar]
- Dluzen DF, Lazarus P. MicroRNA regulation of the major drug-metabolizing enzymes and related transcription factors. Drug Metab Rev. 2015:1–15. doi: 10.3109/03602532.2015.1076438. [DOI] [PMC free article] [PubMed] [Google Scholar]
- Eaton DL, Daroff RB, Autrup H, Bridges J, Buffler P, Costa LG, Coyle J, McKhann G, Mobley WC, Nadel L, Neubert D, Schulte-Hermann R, Spencer PS. Review of the toxicology of chlorpyrifos with an emphasis on human exposure and neurodevelopment. Crit Rev Toxicol. 2008;38(Suppl 2):1–125. doi: 10.1080/10408440802272158. [DOI] [PubMed] [Google Scholar]
- Egeghy PP, Quackenboss JJ, Catlin S, Ryan PB. Determinants of temporal variability in NHEXAS-Maryland environmental concentrations, exposures, and biomarkers. J Expo Anal Environ Epidemiol. 2005;15(5):388–397. doi: 10.1038/sj.jea.7500415. [DOI] [PubMed] [Google Scholar]
- Enright AJ, John B, Gaul U, Tuschl T, Sander C, Marks DS. MicroRNA targets in Drosophila. Genome Biol. 2003;5(1):R1. doi: 10.1186/gb-2003-5-1-r1. [DOI] [PMC free article] [PubMed] [Google Scholar]
- Eskenazi B, Bradman A, Castorina R. Exposures of children to organophosphate pesticides and their potential adverse health effects. Environ Health Perspect. 1999;107(Suppl 3):409–419. doi: 10.1289/ehp.99107s3409. [DOI] [PMC free article] [PubMed] [Google Scholar]
- Gray K, Lawler CP. Strength in Numbers: Three Separate Studies Link in Utero Organophosphate Pesticide Exposure and Cognitive Development. Environmental Health Perspectives. 2011;119(8):A 328–A 329. doi: 10.1289/ehp.1104137. [DOI] [PMC free article] [PubMed] [Google Scholar]
- Griffith W, Curl CL, Fenske RA, Lu CA, Vigoren EM, Faustman EM. Organophosphate pesticide metabolite levels in pre-school children in an agricultural community: within- and between-child variability in a longitudinal study. Environ Res. 2011;111(6):751–756. doi: 10.1016/j.envres.2011.05.008. [DOI] [PMC free article] [PubMed] [Google Scholar]
- Grimson A, Farh KK, Johnston WK, Garrett-Engele P, Lim LP, Bartel DP. MicroRNA targeting specificity in mammals: determinants beyond seed pairing. Mol Cell. 2007;27(1):91–105. doi: 10.1016/j.molcel.2007.06.017. [DOI] [PMC free article] [PubMed] [Google Scholar]
- Hanke M, Hoefig K, Merz H, Feller AC, Kausch I, Jocham D, Warnecke JM, Sczakiel G. A robust methodology to study urine microRNA as tumor marker: microRNA-126 and microRNA-182 are related to urinary bladder cancer. Urol Oncol. 2010;28(6):655–661. doi: 10.1016/j.urolonc.2009.01.027. [DOI] [PubMed] [Google Scholar]
- Heinloth AN, Irwin RD, Boorman GA, Nettesheim P, Fannin RD, Sieber SO, Snell ML, Tucker CJ, Li L, Travlos GS, Vansant G, Blackshear PE, Tennant RW, Cunningham ML, Paules RS. Gene expression profiling of rat livers reveals indicators of potential adverse effects. Toxicol Sci. 2004;80(1):193–202. doi: 10.1093/toxsci/kfh145. [DOI] [PubMed] [Google Scholar]
- Kanki M, Moriguchi A, Sasaki D, Mitori H, Yamada A, Unami A, Miyamae Y. Identification of urinary miRNA biomarkers for detecting cisplatin-induced proximal tubular injury in rats. Toxicology. 2014;324:158–168. doi: 10.1016/j.tox.2014.05.004. [DOI] [PubMed] [Google Scholar]
- Krek A, Grun D, Poy MN, Wolf R, Rosenberg L, Epstein EJ, MacMenamin P, da Piedade I, Gunsalus KC, Stoffel M, Rajewsky N. Combinatorial microRNA target predictions. Nat Genet. 2005;37(5):495–500. doi: 10.1038/ng1536. [DOI] [PubMed] [Google Scholar]
- Lagana A, Forte S, Giudice A, Arena MR, Puglisi PL, Giugno R, Pulvirenti A, Shasha D, Ferro A. miRo: a miRNA knowledge base. Database (Oxford) 2009;2009:bap008. doi: 10.1093/database/bap008. [DOI] [PMC free article] [PubMed] [Google Scholar]
- Lee Y, El Andaloussi S, Wood MJ. Exosomes and microvesicles: extracellular vesicles for genetic information transfer and gene therapy. Hum Mol Genet. 2012;21(R1):R125–134. doi: 10.1093/hmg/dds317. [DOI] [PubMed] [Google Scholar]
- Livak KJ, Schmittgen TD. Analysis of relative gene expression data using real-time quantitative PCR and the 2(-Delta Delta C(T)) Method. Methods. 2001;25(4):402–408. doi: 10.1006/meth.2001.1262. [DOI] [PubMed] [Google Scholar]
- Lunn DJ, Thomas A, Best N, Spiegelhalter D. WinBUGS—a Bayesian modelling framework: concepts, structure, and extensibility. Stat Comput. 2000;10(2000):325–337. [Google Scholar]
- Lyles RH, Fan D, Chuachoowong R. Correlation coefficient estimation involving a left censored laboratory assay variable. Stat Med. 2001;20(19):2921–2933. doi: 10.1002/sim.901. [DOI] [PubMed] [Google Scholar]
- Mall C, Rocke DM, Durbin-Johnson B, Weiss RH. Stability of miRNA in human urine supports its biomarker potential. Biomark Med. 2013;7(4):623–631. doi: 10.2217/bmm.13.44. [DOI] [PMC free article] [PubMed] [Google Scholar]
- Marsit CJ, Eddy K, Kelsey KT. MicroRNA responses to cellular stress. Cancer Res. 2006;66(22):10843–10848. doi: 10.1158/0008-5472.CAN-06-1894. [DOI] [PubMed] [Google Scholar]
- Odetokun MS, Montesano MA, Weerasekera G, Whitehead RD, Jr, Needham LL, Barr DB. Quantification of dialkylphosphate metabolites of organophosphorus insecticides in human urine using 96-well plate sample preparation and high-performance liquid chromatography-electrospray ionization-tandem mass spectrometry. J Chromatogr B Analyt Technol Biomed Life Sci. 2010;878(27):2567–2574. doi: 10.1016/j.jchromb.2010.04.027. [DOI] [PubMed] [Google Scholar]
- Patron JP, Fendler A, Bild M, Jung U, Muller H, Arntzen MO, Piso C, Stephan C, Thiede B, Mollenkopf HJ, Jung K, Kaufmann SH, Schreiber J. MiR-133b targets antiapoptotic genes and enhances death receptor-induced apoptosis. PLoS One. 2012;7(4):e35345. doi: 10.1371/journal.pone.0035345. [DOI] [PMC free article] [PubMed] [Google Scholar]
- Rager JE, Moeller BC, Miller SK, Kracko D, Doyle-Eisele M, Swenberg JA, Fry RC. Formaldehyde-associated changes in microRNAs: tissue and temporal specificity in the rat nose, white blood cells, and bone marrow. Toxicol Sci. 2014;138(1):36–46. doi: 10.1093/toxsci/kft267. [DOI] [PMC free article] [PubMed] [Google Scholar]
- Smith MN, Wilder CS, Griffith WC, Workman T, Thompson B, Dills R, Onstad G, Vredevoogd M, Vigoren EM, Faustman EM. Seasonal variation in cortisol biomarkers in Hispanic mothers living in an agricultural region. Biomarkers. 2015;20(5):299–305. doi: 10.3109/1354750X.2015.1068863. [DOI] [PMC free article] [PubMed] [Google Scholar]
- Takahashi K, Oda Y, Toyoda Y, Fukami T, Yokoi T, Nakajima M. Regulation of cytochrome b5 expression by miR-223 in human liver: effects on cytochrome P450 activities. Pharm Res. 2014;31(3):780–794. doi: 10.1007/s11095-013-1200-7. [DOI] [PubMed] [Google Scholar]
- Takahashi K, Yokota S, Tatsumi N, Fukami T, Yokoi T, Nakajima M. Cigarette smoking substantially alters plasma microRNA profiles in healthy subjects. Toxicol Appl Pharmacol. 2013;272(1):154–160. doi: 10.1016/j.taap.2013.05.018. [DOI] [PubMed] [Google Scholar]
- Thiebaut R, Jacqmin-Gadda H. Mixed models for longitudinal left-censored repeated measures. Comput Methods Programs Biomed. 2004;74(3):255–260. doi: 10.1016/j.cmpb.2003.08.004. [DOI] [PubMed] [Google Scholar]
- Thompson B, Griffith WC, Barr DB, Coronado GD, Vigoren EM, Faustman EM. Variability in the take-home pathway: farmworkers and non-farmworkers and their children. J Expo Sci Environ Epidemiol. 2014;24(5):522–531. doi: 10.1038/jes.2014.12. [DOI] [PMC free article] [PubMed] [Google Scholar]
- USEPA. Azinphos-methyl Phase Out. 2009 from http://www.regulations.gov/#!docketDetail;D=EPA-HQ-OPP-2005-0061.
- Vasudevan S, Tong Y, Steitz JA. Switching from repression to activation: microRNAs can up-regulate translation. Science. 2007;318(5858):1931–1934. doi: 10.1126/science.1149460. [DOI] [PubMed] [Google Scholar]
- Vrijens K, Bollati V, Nawrot TS. MicroRNAs as potential signatures of environmental exposure or effect: a systematic review. Environ Health Perspect. 2015;123(5):399–411. doi: 10.1289/ehp.1408459. [DOI] [PMC free article] [PubMed] [Google Scholar]
- Wang K, Zhang S, Marzolf B, Troisch P, Brightman A, Hu Z, Hood LE, Galas DJ. Circulating microRNAs, potential biomarkers for drug-induced liver injury. Proc Natl Acad Sci U S A. 2009;106(11):4402–4407. doi: 10.1073/pnas.0813371106. [DOI] [PMC free article] [PubMed] [Google Scholar]
- Weber JA, Baxter DH, Zhang S, Huang DY, Huang KH, Lee MJ, Galas DJ, Wang K. The microRNA spectrum in 12 body fluids. Clin Chem. 2010;56(11):1733–1741. doi: 10.1373/clinchem.2010.147405. [DOI] [PMC free article] [PubMed] [Google Scholar]
- Wienholds E, Plasterk RH. MicroRNA function in animal development. FEBS Lett. 2005;579(26):5911–5922. doi: 10.1016/j.febslet.2005.07.070. [DOI] [PubMed] [Google Scholar]
- Yang X, Greenhaw J, Shi Q, Su Z, Qian F, Davis K, Mendrick DL, Salminen WF. Identification of urinary microRNA profiles in rats that may diagnose hepatotoxicity. Toxicol Sci. 2012;125(2):335–344. doi: 10.1093/toxsci/kfr321. [DOI] [PubMed] [Google Scholar]
- Yang X, Salminen WF, Shi Q, Greenhaw J, Gill PS, Bhattacharyya S, Beger RD, Mendrick DL, Mattes WB, James LP. Potential of extracellular microRNAs as biomarkers of acetaminophen toxicity in children. Toxicol Appl Pharmacol. 2015;284(2):180–187. doi: 10.1016/j.taap.2015.02.013. [DOI] [PMC free article] [PubMed] [Google Scholar]
Associated Data
This section collects any data citations, data availability statements, or supplementary materials included in this article.




