Abstract
The present study was focused to investigate the effect of selected spices (turmeric, torch ginger, lemongrass and curry leaves) on the formation of heterocyclic amines (HCAs, IQx, MeIQ, MeIQx, DiMeIQx, IQ, harman, norharman, and AαC) in deep fried lamb meat. Meat samples were marinated with optimized levels of turmeric (4 %), 10 % each of torch ginger, lemon grass, curry leaves at medium (70 °C) and well done (80 °C) doneness temperatures. The concentration of HCAs in deep fried meat samples were analysed using LC-MS/MS technique. The results revealed that torch ginger (10 %) has reduced 74.8 % of Me1Qx (1.39 to 0.35 ng/g) at medium doneness, followed by the 64.7 % reduction, using curry leaves and turmeric at medium degree of doneness. Torch ginger has reduced 86.6 % of AαC (2.59 to 0.40 ng/g) at well done doneness. The most prevalence level of HCAs was found in deep fried meat i.e. DiMeIQ (3.69 ng/g) at well done doneness. The sensory evaluation, using a 7 point hedonic test design for colour and texture in deep fried meat samples were resulted in a preferred color of golden brown and slightly tough texture. The use of local spices in marinating of deep fried lamb meat samples will certainly inhibit/reduce the level of these toxic and harmful HCAs.
Keywords: Local spices, Lamb meat, HCAs, Sensory quality, LC-MS/MS
Introduction
The studies have shown that majority of heterocyclic aromatic amines (HCAs) possess strong mutagenic and carcinogenic properties as they are classified into the group of indirect mutagens/carcinogens, subject to metabolic activation due to the influence of cytochrome P450 (Szterk 2015). However, the International Agency for Research on Cancer has classified MeIQx, MeIQ and PhIP as reasonably anticipated to be a human carcinogen, while IQ is placed in the list of a probable human carcinogen (IARC 1993). Epidemiological studies (Norat et al. 2005; Knutsen et al. 2007) have shown an increased risk of cancer in the breast, intestine, bladder, prostate and pancreas after high consumption of fried, well-done and barbecued meat. HCAs may produce when meat is heat-treated using traditional procedures such as frying, barbecuing and smoking (Jägerstad and Skog 2005). The results of previous studies have indicated that all types of meat such as beef, pork, goat and lamb, may produce HCAs at high levels when cooked at high temperatures.
In Southeast Asia including Malaysia, Indonesia, Thailand, and Singapore, meat whether in the form of satay or grilled, steamed, roasted or fried is a very popular among local people. The use of deep fried chicken or lamb meat is very common along with boiled rice. Furthermore, meat grilled over wood or charcoal fires is also common and served with various spicy seasonings. The studies have revealed that thermic HCAs are produced as a result of complex reaction between creatine/creatinine, free amino acids and sugars through the Maillard reaction at temperatures between 150 to 300 °C (Jägerstad et al. 1998). However, the pathway of pyrolytic HCAs production was not so clear but studies have revealed that it may be produced as a result of pyrolysis of proteins or amino acids when heated at higher temperatures i.e. > 300 °C (Matsumoto et al. 1981).
In our previous study we have utilized different levels of selected spices on beef satay and optimized the level of these selected spices (Jinap et al. 2015). In current study we have used the optimized levels of selected spices in lamb meat with deep fried cooking method because type of meat can affect the formation of HCAs. The basic objectives of our study are i) to investigate the effect of optimized levels of selected spices on the inhibition of HCAs in deep fried lamb meat, ii) to evaluate the effect of spice marination on the color and texture proprieties of lamb meat.
Materials and methods
Chemicals
HCAs standards of IQ, MeIQ, MeIQx, 4,8-DiMeIQx, norharman, harman and AαC were purchased from Toronto Research Chemicals (Toronto, Canada). A stock solution of 100 μg/g in methanol was prepared for each HCAs and diatomaceous earth (Extrelut 20) was obtained from the International Sorbent Technology (Hengoed Mid Gleam,UK), Oasis MCX cartridges (3 cm3/60 mg) were purchased from Waters (Milford, Massachusetts, USA). MCX cartridges were preconditioned with 2 mL of ethyl acetate.
Sampling
The fresh lamb samples (n = 3) with sample size of 5 kg from local origin were purchased from local markets of Selangor, Malaysia. Visible connective tissues and external fat were removed and the pH of meat samples was determined prior to analysis. The meat was then cut into big pieces again the grain, in which each piece has a weight of 1 ± 0.005 g. All the cut meat samples were put into polyethylene plastic bags and stored in the refrigerator (4 ± 1 °C).
Local spices preparation
The fresh turmeric, torch ginger flower, curry leaves and lemongrass were obtained from local market, Selangor, Malaysia. The spices were prepared as discussed in Jinap et al. (2015).
Preparation of marinades formulation
The optimal range of each spice was developed based on our previous study Jinap et al. (2015). The optimised range for turmeric was 4 %, while other spices optimized range was 10 %. Each spice concentration (powdered form) was applied (2 replicates) on meat samples, then mixed and left for 24 h. The meat samples having no treatment of spices were classified as control samples. Percentage of marinade uptake for each treatment was determined after 24 h (Table 1). The weight of sample before marination (W0) and after marination (W1) was recorded. The percentage weight gain was calculated based on formulation.
Table 1.
Marinate uptake of meat using different concentration of selected spices after 24 h duration
| Treatments* | Torch ginger (%) | Curry leaves (%) | Lemon grass (%) | Turmeric (%) |
|---|---|---|---|---|
| A | 0.90 ± 0.12a | 1.62 ± 0.20a | 0.82 ± 0.04a | 0.44 ± 0.09a |
| B | 1.60 ± 0.24ab | 1.69 ± 0.25a | 1.70 ± 0.16b | 1.81 ± 0.22b |
| C | 1.83 ± 0.15b | 1.74 ± 0.23a | 2.76 ± 0.39c | 2.33 ± 0.23bc |
| D | 2.14 ± 0.27c | 1.80 ± 0.22a | 3.61 ± 0.33d | 2.77 ± 0.31bc |
aValues with same English lowercase within row of each species are not significant (p ≥ 0.05)
*Treatments (torch ginger, lemongrass and curry leaves = A (2.5 %), B (5 %), C (7.5 %), D (10 %), Turmeric, A (1 %), B (2 %), C (3 %), and D (4 %)
Preparation and deep fried conditions of lamb meat
The lamb meat samples were pan-fried for 1, and 1.5 min at cooking temperature of 180 ± 4 °C with internal temperature of 70 °C (Medium) and 80 °C (well done) doneness temperatures in a Teflon pan, which was rubbed with sunflower oil before using. The pan was cleaned after each frying procedure and was rubbed again with sunflower oil. The temperature was monitored by using a data logger (Therm, Ahlborn, Holzkirchen, Germany). The heated lamb meat slices were then cooled and stored at 4 °C until use in subsequent analysis.
Extraction of heterocyclic amines
HCAs were extracted from meat samples using the method developed and validated by Gross et al. (1992), and modified by Messner and Murkovic (2004). A sub-sample (1 g) of ground meat was dissolved in 12 mL of 1 M NaOH. The suspension was homogenised using a shaker (Memmert, Berlin, Germany) at high speed for 3 h. The samples were then mixed with 13 g diatomaceous earth, and the mixtures were poured into an Extrelut 20-ml column. A 50 mL volume of ethyl acetate was used as extraction solvent and 25 mL volume was used from 50 mL sample and passed through the MCX cartridges. The MCX cartridge was then washed with 2 mL of 0.1 M HCl followed by 2 mL methanol. The analytes were then eluted with 2 mL of methanol: concentrated ammonia (19:1, mL:mL) before they were evaporated to dryness under a stream of nitrogen, and the final extract was dissolved in 100 μL methanol.
LC-MS/MS conditions
The samples and standards for constructing calibration curves were injected in a Thermo LC-MS/MS system, which consisted of a quaternary pump and an autosampler (Accela; Thermo Fisher Scientific, San Jose, CA). The column for the separation of HCAs was a Hypersil GOLD C18 reversed-phase (5 cm × 4.6 mm × 250 mm) from Thermo Fisher. The detection of HCAs was performed on a TSQ Quantum Ultra triple quadrupole mass spectrometer, operating in positive electrospray ionisation (ESI+) mode. Different concentrations of HCAs standards were prepared from 0.5, 1, 2, 6, 8, 25, 50, 75, and 100 ppb. The injection volume was 10 μL. The separation of HCA was achieved under gradient conditions using methanol (A) and water (B) as the mobile phases at a flow rate 450 μL/min. The run time analysis was 30 min. The gradient program for HCA quantification using LCMS/MS was: 0–5 min 95 % A, 5–10 min 5 % A and 10–15 min 95 % A.
Mass spectrometry and quality control parameters
Selected reaction monitoring (SRM) analyses were performed as norharman (169.126 → 115.079), harman (183.142 → 115.097), AαC (184.144 → 116.095), IQ (199.150 → 157.129), MeIQ (213.168 → 197.059), MeIQx (214.169 → 198.059), IQx (200.151 → 157.125) and DiMeIQx (228.180 → 131.086) as shown in standard LC-MS/MS chromatograph (Fig. 1). The calibration curves for all compounds were linear (r2 > 0.998). The limit of detection was 0.1 ng/g. The average recoveries of nine HCAs (spiked level 2 ng/g) in marinated grilled lamb samples were: norharman 92.6 ± 5.9 %, AαC 78.3 ± 7.9 %, IQ 79.3 ± 9.1 %, IQx 71.4 ± 11.2 %, MeIQ 91.5 ± 8.4 %, MeIQx 88.3 ± 14.1 %, and DiMeIQx 109.1 ± 7.9 %.
Fig. 1.

Standard Chromatogram of LC-MS/MS of HCAs
Sensory tests
A total of 30 panelists (graduate students) from the Faculty of Food Science and Technology participated in the pre-selection of panelists for the sensory evaluation of lamb meat. They were selected through series of basic test and triangle test. Information on evaluation techniques used was presented to the panelists before the actual sensory test. The panelists were then performed the threshold test and quantitative descriptive analysis (QDA) tests at different sessions. The panellists first evaluated lamb meat that had not been marinated to determine the preferred (optimal) effect of local spices at different doneness. Sensory scores (7 point hedonic scale) were rated using a 7 cm scale for color (0–7, very light brown to brunt), texture (0–7, very tender to hard). The panellists have ranked the samples by a mark on the scale. For each spice, one portion was prepared without the addition of spice concentration (as control), while the other was prepared with different concentrations of spices. The lamb meat samples were prepared in duplicate and cooked 1 h before sensory evaluation and kept warm in a warmer plate, until being evaluated. All products were presented in three-digit codes.
Statistical analysis
The data of samples (3 × 2) was given as mean ± standard deviation. The statistical analyses (Levene’s test for homogeneity, Shapiro-Wilk test for normality) were performed by using the statistical package MINITAB 16. Two-way analysis of variance was performed to determine the significant difference among treatments at p ≤ 0.05.
Results and discussion
Marination uptake
Table 1 shows the marination of spices at 24 h duration. The results have showed that with the increase in the levels of spices, the marination uptake was also increased. The highest marination uptake was 3.61 ± 0.33 %, using lemon grass with 10 % level, followed by 2.77 ± 0.31 % using 4 % turmeric.
Weight loss of fried meat samples
The weight loss (%) of deep fried lamb samples marinated with lemongrass, curry leaves, torch ginger and turmeric at different concentration and two degrees of doneness is shown in Fig. 2. The results have revealed that the percentage weight loss of samples was varied with varying marination levels of spices and degree of doneness. The percentage of weight loss was increased with the increase in cooking time, but inverse relation was found with the increase in levels of marination. The highest weight loss of deep fried lamb meat was observed at well done doneness, when treated with 1 % of turmeric. The weight loss was in the range of 32–56 %. The results of present study was in complete agreement with our previous study (Jinap et al. 2015), which have documented the weight loss in the range of 20–57 %, when beef meat was grilled with spices marination. In another study Gibis et al. (2015) observed that weight loss increased from 39 to 53 % at 150–170 °C, if the frying time was increased from 3 to 6 min. Viegas et al. (2012) have documented the average weight loss of 39 % in barbecued chicken samples. However, Sinha et al. (1995) observed 42 % cooking losses for barbecued chicken.
Fig. 2.
Weight loss (%) of the deep fried satay using different levels of torch ginger, curry leaves, lemon grass and turmeric at medium and well done doneness Levels: 0 (0 %), A (2.5 %), B(5 %), C (7.5 %), D (10 %) for lemon grass, torch ginger and curry leaves and for Turmeric, A (1 %), B (2 %), C (3 %), and D (4 %)
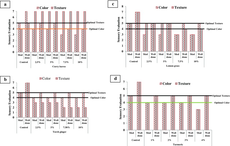
Sensory evaluation of fried lamb samples
The panelists (n = 30) evaluated the prepared colour and texture of deep-fried at medium and well done cooking temperature with optimal level of different spices for lamb meat samples are shown in Figs. 3a, b, c, d. The deep-fried meat samples marinated with torch ginger at 2.5 %, 5 %, 7.5 % and 10 % levels were got the most optimal scores. The color in Figs. 3a, b, c of lamb meat samples marinated with 2.5, 5 and 7.5 % of torch ginger, lemon grass and curry leaves (respectively) shows visual observation on color intensity of grilled meat. Browning of cooked muscle food indicates the presence of complexes formed from maillard reaction. According to Kizil et al. (2011), AIAs or IQ type of HCAs are generally produced from heat induced maillard reaction, which involves free amino acids, creatine or creatinine and reducing sugar. Thus, Maillard reaction may results in the formation of HCAs. The longer the cooking time, more browning and HCAs formation will occur. The results have also shown that all medium cooked control, turmeric and lemongrass treated samples had less browning than that of well-cooked samples. Marination process has effect on the reduction of browning of samples. Marinated sample might undergo less browning reaction compared to un-marinated samples (Smith et al. 2008).
Fig. 3.

Sensory evaluation of deep fried satay for the attributes colour (0–7, 4 = optimal) and texture (0–7, 5 = optimal) with treatment of curry leaves (a), torch ginger (b), lemon grass (c) and turmeric (d)
Reduction of HCAs in marinated lamb meat
Figure 4a shows the effect of optimal levels of selected spices on the reduction of IQ, MeIQ, IQx, MeIQx and DiMeIQ and (4b) in harman, norharman and AαC in lamb meat samples at medium and well done doneness. The concentration of HCAs in deep fried lamb meat samples were analysed using LC/MS and the range in control sample was 0.67 to 3.69 ng/g. The level of DiMeIQ was found highest 3.69 ng/g at well done doneness. The results have shown that maximum levels of reduction of AαC occurred at well done doneness using torch ginger (10 %) and turmeric (4 %), which reduced the level from 2.59 to 0.40 and 0.41 ng/g, respectively. Figure 4c shows the percentage reduction of IQ, MeIQ, IQx, MeIQx and DiMeIQ and 4(d) percentage reduction of harman, norharman and AαC in deep fried lamb meat
Fig. 4.

a The effect of optimized levels of curry leaves, torch ginger, turmeric and lemon grass on the formation of IQ, MeIQ, IQx, MeIQx, DiMeIQ in lamb meat b The effect of optimized levels of curry leaves, torch ginger, turmeric and lemon grass on the formation of harman, norharman and AαC in lamb c The % age reduction of IQ, MeIQ, IQx, MeIQx, DiMeIQ by using optimized levels of curry leaves, torch ginger, turmeric and lemon grass in lamb d The % age reduction of harman, norharman and AαC by using the optimized levels of curry leaves, torch ginger, turmeric and lemon grass in lamb
In our previous study turmeric (4 %) level has shown maximum reduction of IQ (82 %) in marinated grilled beef from 11.43 ± 0.53 to 2.05 ± 0.18 ng/g (Jinap et al. 2015). In another study the use of 0.2 % and 0.5 % of thyme, savoury and oregano extracts slightly decreased the formation of 1-methyl-6-phenyl-1 H-imidazo [4,5-b]pyridin-2-amine (PhIP). They observed that oregano and basil extracts have shown the best positive and negative effects on the formation of PhIP (Damašius et al. 2011). Quelhas et al. (2010) used green tea marinade in pan-fried beef cooked at 180–200 °C for the reduction of PhIP and AαC and found that marinating in green tea resulted a significant decrease (p < 0.05) in the level of these HCAs. Gibis and Weiss (2012), used oil-based marinades containing grape seed extract formulated in a water/oil emulsion and rosemary extract in oil and observed that four HCAs MeIQx, PhIP, norharman, and harman were found at low levels in all fried patties, MeIQx (0.3–1.0 ng/g), and PhIP (0.02–0.3 ng/g). The levels of MeIQx and PhIP were significantly reduced by 57 and 90 % (p < 0.05), respectively, comparable with our results in which the level of studied HCAs were reduced from 36 % to 84.6 %. Other spices like black pepper investigated by Oz and Kaya (2011) have showed that it reduced 100 % PhIP in meatball fried and it can inhibit the level of HCAs from 12 to 100 %.
However, to understand how spice marination inhibits the formation of HCA in meat samples is not clearly understood. Previous studies have indicated that the presence of antioxidants in spices and the ability of antioxidants to inactivate the formation of free radicals were the possible reasons. Antioxidants could act as inhibitors along different pathways of the reaction and thus prevent the mutagens formation, through radical quenchers and free radical scavenger’s activity (Vitaglione and Fogliano 2004). In addition, Johansson and Jägerstad (1996) examined the effects of prooxidant and antioxidant on HCAs inhibition and suggested that prooxidant or antioxidant effect was dependent on concentration.
Potential explanation of results
The results have shown comparatively high levels of HCAs in deep fried meat samples at well done cooking. One reason for this fact is the weight loss before frying and increased weight loss during the frying process because low moisture content during frying enhances the formation of HCAs. Additionally, the fat is melted out during cooking and thus leaving meat part which contained typical precursors which accelerate the formation HCAs such as creatine, free amino acids and sugars.
Conclusions
The results have shown that local spices like torch ginger, curry leaves, lemon grass at 10 % level and turmeric at 4 % level are effective for the inhibition of HCAs during deep frying of lsmb meat. The highest reduction 86.6 % of AαC (2.59 to 0.40 ng/g) at well done doneness was achieved using torch ginger (10 %). The sensory evaluation, using a 7 point hedonic test design for colour and texture, of the deep fried lamb meat resulted in a preferred color of golden brown and slightly tough texture.
Compliance with Ethical Standards
Conflict of interests
The authors declare that there is no conflict of interests.
Footnotes
Research Highlights
• The results revealed that torch ginger (10 %) has reduced 74.8 % of Me1Qx (from 1.39 to 0.35 ng/g) at medium doneness
• Curry leaves and turmeric have reduced 64.7 % of Me1Qx at medium doneness
• However, torch ginger has reduced 86.6 % of AαC (2.59 to 0.40 ng/g) at well done doneness
• The results have shown that most prevalence level 3.69 ng/g was found DiMeIQ in deep fried meat at well done doneness
• The sensory evaluation has showed preferred color of golden brown for deep fried meat
• However, for preferred texture, the results of sensory evaluation revealed slightly tough texture of deep fried meat
Contributor Information
Jinap S., Phone: +60-3-89468393, Email: sjinap@gmail.com.
Shahzad Zafar Iqbal, Phone: +60 3 8946 8393, Email: shahzad10542005@yahoo.com.
References
- Damašius J, Venskutonis PR, Ferracane R, Fogliano V. Assessment of the influence of some spice extracts on the formation of heterocyclic amines in meat. Food Chem. 2011;126:149–156. doi: 10.1016/j.foodchem.2010.10.091. [DOI] [Google Scholar]
- Gibis M, Weiss J. Antioxidant capacity and inhibitory effect of grape seed and rosemary extract in marinades on the formation of heterocyclic amines in fried beef patties. Food Chem. 2012;134:766–774. doi: 10.1016/j.foodchem.2012.02.179. [DOI] [PubMed] [Google Scholar]
- Gibis M, Kruwinnus M, Weiss J. Impact of different pan-frying conditions on the formation of heterocyclic aromatic amines and sensory quality in fried bacon. Food Chem. 2015;168:383–389. doi: 10.1016/j.foodchem.2014.07.074. [DOI] [PubMed] [Google Scholar]
- Gross GA, Grüter A, Heyland S. Optimization of the sensitivity of high-performance liquid chromatography in the detection of heterocyclic aromatic amine mutagens. Food Chem Toxicol. 1992;30:491–498. doi: 10.1016/0278-6915(92)90100-Y. [DOI] [PubMed] [Google Scholar]
- IARC Some naturally occurring substances: food items and constituents, heterocyclic aromatic amines and mycotoxins. IARC Monogr Eval Carcinog Risks Hum. 1993;56:165–195. [Google Scholar]
- Jägerstad M, Skog K. Genotoxicity of heat-processed foods. Mutat Res. 2005;574:156–172. doi: 10.1016/j.mrfmmm.2005.01.030. [DOI] [PubMed] [Google Scholar]
- Jägerstad M, Skog K, Arvidsson P, Solyakov A. Chemistry, formation and occurrence of genotoxic heterocyclic amines identified in model systems and cooked foods. Z. Lebensm- Unters Forsch A. 1998;207:419–427. doi: 10.1007/s002170050355. [DOI] [Google Scholar]
- Jinap S, Iqbal SZ, Selvam RMP. Effect of selected local spices marinades on the reduction of heterocyclic amines in grilled beef (satay) LWT Food Sci Technol. 2015;63(2):919–926. doi: 10.1016/j.lwt.2015.04.047. [DOI] [Google Scholar]
- Johansson MAE, Jägerstad M. Influence of pro- and antioxidants on the formation of mutagenic-carcinogenic heterocyclic amines in a model system. Food Chem. 1996;56(1):69–75. doi: 10.1016/0308-8146(95)00160-3. [DOI] [Google Scholar]
- Kizil M, Oz F, Besler HT. A review on the formation of carcinogenic/mutagenic heterocyclic aromatic amines. J Food Process Technol. 2011;2:120. doi: 10.4172/2157-7110.1000120. [DOI] [Google Scholar]
- Knutsen H, Binderup ML, Vikse R, Øvrebø S (2007) Vurdering af helserisiko ved konsum av grillet mat. Norges Vitenskapskomiteen for Mattrygghet (VKM)
- Matsumoto T, Yoshida D, Tomita H. Determination of mutagens, amino-α-carbolines in grilled foods and cigarette smoke condensate. Cancer Lett. 1981;12:105–110. doi: 10.1016/0304-3835(81)90045-8. [DOI] [PubMed] [Google Scholar]
- Messner C, Murkovic M. Evaluation of a new model system for studying the formation of heterocyclic amines. J Chromatogr B. 2004;802(1):19–26. doi: 10.1016/j.jchromb.2003.11.015. [DOI] [PubMed] [Google Scholar]
- Norat T, Bingham S, Ferrari P, et al. Meat, fish, and colorectal cancer risk: the European prospective investigation into cancer and nutrition. J Natl Cancer Inst. 2005;97:906–916. doi: 10.1093/jnci/dji164. [DOI] [PMC free article] [PubMed] [Google Scholar]
- Oz F, Kaya M. The inhibitory effect of black pepper on formation of heterocyclic aromatic amines in high-fat meatball. Food Control. 2011;22:596–600. doi: 10.1016/j.foodcont.2010.10.010. [DOI] [Google Scholar]
- Quelhas I, Petisca C, Viegas O, Melo A, Pinho O, Ferreira IMPLVO. Effect of green tea marinades on the formation of heterocyclic aromatic amines and sensory quality of pan-fried beef. Food Chem. 2010;122:98–104. doi: 10.1016/j.foodchem.2010.02.022. [DOI] [Google Scholar]
- Sinha R, Rothman N, Brown ED, Salmon CP, Knize MG, Swanson CA, Rossi SC, Mark SD, Levander OA, Felton JS. High concentrations of the carcinogen 2-amino-1-methyl-6-phenylimidazo-[4,5-b]pyridine (PhIP) occur in chicken but are dependent on the cooking method. Cancer Res. 1995;55:4516–4519. [PubMed] [Google Scholar]
- Smith JS, Ameri F, Gadgil P. Effect of marinades on the formation of heterocyclic amines in grilled beef steaks. J Food Sci. 2008;73:100–105. doi: 10.1111/j.1750-3841.2008.00856.x. [DOI] [PubMed] [Google Scholar]
- Szterk A. Heterocyclic aromatic amines in grilled beef: the influence of free amino acids, nitrogenous bases, nucleosides, protein and glucose on HAAs content. J Food Compos Anal. 2015;40:39–46. doi: 10.1016/j.jfca.2014.12.011. [DOI] [Google Scholar]
- Viegas O, Novo P, Pinto E, Pinho O, Ferreira IMPLVO. Effect of charcoal types and grilling conditions on formation of heterocyclic aromatic amines (HAs) and polycyclic aromatic hydrocarbons (PAHs) in grilled muscle foods. Food Chem Toxicol. 2012;50:2128–2134. doi: 10.1016/j.fct.2012.03.051. [DOI] [PubMed] [Google Scholar]
- Vitaglione P, Fogliano V. Use of antioxidants to minimize the human health risk associated to mutagenic/carcinogenic heterocyclic amines in food. J Chromatogr B. 2004;802:189–199. doi: 10.1016/j.jchromb.2003.09.029. [DOI] [PubMed] [Google Scholar]

