Abstract
Recent years have witnessed unprecedented advances in the development of fast multidimensional NMR acquisition techniques. This progress could open valuable new opportunities for the elucidation of chemical and biochemical processes. This study demonstrates one such capability, with the first real-time 2D dynamic analysis of a complex organic reaction relying on unlabeled substrates. Implementing such measurements required the development of new ultrafast 2D methods, capable of monitoring multiple spectral regions of interest as the reaction progressed. The alternate application of these acquisitions in an interleaved, excitation-optimized fashion, allowed us to extract new structural and dynamic insight concerning the reaction between aliphatic ketones and triflic anhydride in the presence of nitriles to yield alkylpyrimidines. Up to 2500 2D NMR data sets were thus collected over the course of this nearly 100 min long reaction, in an approach resembling that used in functional magnetic resonance imaging. With the aid of these new frequency-selective low-gradient-strength experiments, supplemented by chemical shift calculations of the spectral coordinates observed in the 2D heteronuclear correlations, previously postulated intermediates involved in the alkylpyrimidine formation process could be confirmed, and hitherto undetected ones were revealed. The potential and limitations of the resulting methods are discussed.
1. Introduction
Heterocycles significance is central in modern chemistry.1 Among nitrogen-containing heterocycles pyrimidines play unique roles, as integral constituents in many pharmaceutical, functional and natural materials.2 Understanding and controlling laboratory preparations of pyrimidinic derivatives has therefore become an important field of synthetic chemistry.3 Recently we focused our attention on one-pot syntheses of various heterocyclic derivatives and developed alternatives for an easier preparation of a wide range of azaheterocyclic compounds.4 Other elegant procedures have been also described for the synthesis of pyrimidine derivatives5 and oxazoles.6 Several of these studies revealed details on the mechanism of pyrimidine formation when reacting carbonyl compounds with strong electrophiles such as trifluoromethanesulfonic acid anhydride (triflic anhydride, Tf2O).7 Still, despite the importance of these reactions, gaps remain about the variety of intermediates and mechanistic routes involved in their formation, and key details about the structural information associated to the kinetics of these processes remain to be elucidated.
Real-time NMR measurements could open unique opportunities in the analysis of complex chemical problems such as this one. Two-dimensional (2D) NMR in particular, could enable one to monitor and assign transient intermediates in the reaction, as well as to quantify their overall kinetics of formation. Doing so, however, requires completing the 2D NMR measurement in time scales compatible with the chemical changes occurring following a sudden triggering of the reaction. Much progress has taken place during recent years in the area of accelerating multidimensional NMR –both in the areas of organic and of bio-molecular acquisitions. Efforts that have made 2D spectroscopy compatible with the tracking of rapid transformations include Hadamard-encoded versions of heteronuclear (HSQC) and homonuclear (TOCSY) NMR exploiting a priori information,8 compressed sensing acquisitions where the usual Nyquist demands for the FT-based sampling of a NMR domain can be alleviated,9 and so-called “ultrafast” (UF) acquisition schemes whereby arbitrary 2D NMR correlations can be established in a single-scan fashion.10 The latter approach in particular replaces the indirect-domain parametric time encoding of 2D NMR with a spatio-temporal manipulation, effectively imparting all the increments that would be involved in a conventional experiment –in their entirety– within one single scan.11 The spatial patterns imparted by indirect domain evolution frequencies encoded in such manner, can be subsequently read out with the aid of suitable magnetic field gradients. Using such rapid acquisition 2D NMR methods, a number of fast-reacting systems have been recently monitored in real time. These have included biomolecular single- and multiple-quantum heteronuclear correlations (HSQC and HMQC) on proteins and nucleic acids,12 as well as TOCSY and multiple-bond correlation experiments on reacting organic systems.13a Included among the latter were studies on the synthesis of alkyl- and alkylaryl-pyrimidines from aliphatic and aromatic ketones, whereby series of complete 2D NMR data sets were collected on 100%-abundant isotopes to observe the changes in chemical species occurring as the reactions progressed.
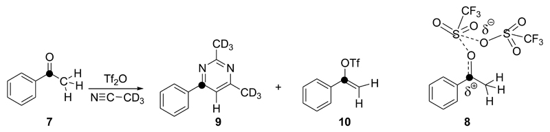
We have recently studied these reactions for the specific case of the addition of 3-pentanone 1 to acetonitrile-d3 in the presence of triflic anhydride (Scheme 1). In these studies 2D ultrafast TOCSY homonuclear acquisitions, revealed the presence of intermediates 2-4 and the generation of the final reaction products 5-6 was revealed (Scheme 2).13b Two-dimensional ultrafast HMBC experiments on specifically-labeled precursors were also implemented to elucidate the chemical nature and evolution of reactive quaternary centers involved in this reaction. Upon monitoring a similar condensation that starting from 13C-Carbonyl-labeled acetophenone 7 lead to alkylaryl-pyrimidine 9 as main product (Scheme 3), such experiments permitted the detection of the intermediate (trifluorormethylsulphonyloxy)carbenium ion 8.13c
Scheme 1.
Scheme 2.
Scheme 3.
Unfortunately, labeled-based experiments such as these ones have a narrow focus that may obscure a full and unambiguous identification of all transient intermediates generated during the course of the reaction. To extract such important mechanistic information it would be necessary to implement more general 2D NMR correlations. Particularly useful could be site-identifying heteronuclear correlations covering the full possible range of chemical shifts that might arise, so that both permanent as well as transient species can be characterized. Running ultrafast HSQC experiments at natural abundance in such kind of samples, however, would not be a trivial endeavor. Indeed in single scan sequences, the spectral widths SW2 and SW1 along the directly- and indirectly-sampled dimensions are related to one another. Moreover these parameters –as well as the effective spectral resolution Δν1 desired along the indirect domain– define the gradient strength Ga demanded for the sake of reading out the indirect-domain spectral width according to where L is the encoded sample length. The per-scan signal-to-noise ratio (SNR) is in turn also governed by the γaGaL frequency span, which becomes the filter bandwidth that needs to be used for this kind of measurements. Noise in this kind of experiments thereby behaves proportionally to √(SW1⋅SW2/Δv1). For the kind of HSQC and HMBC experiments that would be needed to characterize a priori unknown intermediates that can fall anywhere in the aliphatic/olefinic/aromatic range, as is the case for the kind of reaction depicted in Scheme 3, this relation would impose high strains on the gradient strengths that would be necessary (≈80 G/cm for covering an indirect domain spanning ≈150 spectral elements, a direct domain of ≈4 kHz and the typical 1.8 cm sample length). Even worse, the associated noise penalties would become untenable for the ensuing kind of filter bandwidths.
One of the aims of this work, consisted in developing a methodology which would allow us to monitor the necessary spectral widths while bypassing such stringent demands. This was achieved with (i) the aid of selective pulse excitations, (ii) shifting of the targeted spectral widths, and (iii) the interleaving of real-time ultrafast acquisitions targeting different (aliphatic, olefinic, aromatic) spectral bands. With the aid of such strategies it was possible to interrogate the nature of the chemical dynamics in Scheme 3 using unlabeled compounds, recording literally thousands of 2D heteronuclear correlation spectra within the course of these hour-long processes. With the aid of such data, of ancillary 1D NMR measurements and of computer-based estimators of chemical shift values, new transient intermediates were detected and their kinetics of generation/consumption characterized. All this led us to propose new mechanisms for the triflate-mediated addition of acetonitrile-d3 to arylketones.
2. Materials and Methods
To address the spectral-width/spectral-resolution issues just mentioned, we decided to attempt the observation of the reaction in Scheme 3 at natural abundance by modifying a general, broadband heteronuclear correlation experiment, into a multiple-window observation mode. In other words, instead of implementing ultrafast sequences covering in excess of 100 ppm in the 13C domain, the targeted direct- and indirect-domain windows were split into regions expected to possess peaks of interest. Areas that were a priori known to be devoid of peaks, were consequently ignored. Moreover, these multiple spectrally-selective versions of single-bond heteronuclear correlation ultrafast sequences, were run in an interleaved fashion so as to employ the relaxation recovery delay of one spectral region to collect the data pertaining to another spectral region –very much like multi-slice imaging experiments perform their optimized acquisitions in frecuency-shifted 3D MRI.14 To do so in the ultrafast instances, care had to be made to either avoid the excitation of 1H signals outside the targeted region or, alternatively, to make sure that unencoded regions were addressed by an even number of (π)H rotations so as to bring back their magnetizations to a relaxation-optimized longitudinal state. (13C manipulations being less critical for all cases given the 1H-initiated, indirectly-detected sequences that were assayed). Three spectral windows were selected for these observations, usually involving ≈1.5 ppm along the 1H and ≈10-20 ppm along the 13C dimension. These windows encompassed (A) an ‘aliphatic’ region centered at 2.2 ppm (1H) and 28.7 ppm (13C); (B) an ‘olefinic’ region at 5.8 ppm (1H), 110.9 ppm (13C) set to follow transient intermediates; and (C) an aromatic ‘pyrimidinic’ region centered at 8.2 ppm (1H), 117.4 ppm (13C), to track formation of the final reaction product 2,4-dimethyl-6-phenylpyrimidine-d6 (9). A typical scheme of these pulse sequences is illustrated in Fig. 1. This consists of a series of back-to-back heteronuclear correlations involving two continuous constant-time spatial encoding processes for monitoring the indirect-domain 13C evolution. As each one of these additive processes involved a (π)H decoupling pulse in their center, no overall rotation of the proton magnetizations resulted from the t1 period. The two INEPT transfers in each of these sequences incorporated sinc (π/2)H excitations and two hard (π)H pulses, thereby fulfilling the band-selective addressing requirements expected from these sequences. These multi-windowed constant-time ultrafast 2D NMR datasets were collected on a Varian VNMRS 600 MHz NMR spectrometer using a triply-tuned HCN single-gradient probe at 298 K. The constant-time spatial encoding adiabatic (π)C pulses needed for the spatial encoding were generated using the Varian Pbox® software package, with these chirped pulses sweeping a bandwidth [Oi-Of] = 49519 Hz in 2.5 ms applied in conjunction with 25 G/cm encoding gradients. All protons were selective excited in their appropriate bandwidths with 1.42 ms long, 1 kHz bandwidth (π/2)H pulses. All experiments used 180° phase-cycling of both the initial (π/2)C hard pulse and of the receiver phase, for ensuring a more complete suppression of the natural abundance background. Acquisitions used gradient strengths of Ga = 6.35 or 10.6 G/cm, and filter bandwidths of either 25 or 42 kHz (as noted in the text). Further acquisition parameters included N2 = 40 cycles of +/- gradient pairs, a physical sampling dwell time of 2 µs, gradient durations Ta = 0.60 ms each. Square (π)C pulses were applied in-between all acquisition gradients for heteronuclear decoupling purposes. Purge gradient pulses preceding acquisition were 1.60 ms in duration, at 6.35 G/cm (10.6 G/cm for the experiment with label compound (7) and the olefinic zone ).
Figure 1.
Multi-windowed ultrafast HSQC pulse sequence involving: a selective excitation of protons in the targeted spectral window; an INEPT magnetization transfer to carbon; four chirped pulses applied in the presence of suitable gradients and (π)H decoupling pulses to give a constant-time spatial encoding of the carbon evolution; a selective transfer of this encoded information to protons; and low strength +/-Ga gradients pairs acting as read-out of the resulting encoded signals. After shifting the irradiation frequencies to a second spectral window, the sequence is then immediately repeated to acquire a second FID addressing a different 1H spectral region. Selective excitation and spatial encoding used 1.42 ms sinc π/2 pulses, and 2.5 ms π chirp pulses, respectively. Encoding gradient strengths were 25 G/cm. Read-out of encoded signals typically used N2 =40 cycles and a Ga of 6.35 or 10.6 G/cm. The narrow independent windows targeting specific spectral regions of interest permits use of these low-strength gradients, providing corresponding increases in SNR and enabling the detection of non-labeled samples.
The reaction described in Scheme 3 was initially monitored using spectral windows spanning 800.8 Hz in 1H and 2500 Hz in 13C. To permit an enhanced sensitivity, the 13C window sizes were further reduced to 1500 Hz in subsequent tests. Gradients and bandwidths were adjusted accordingly, as noted below. Each 0.5 mL acetophenone-acetonitrile solution was pre-tuned and pre-shimmed prior to injection of a small aliquote (≈ 56 µL) of Tf2O. A mixing device was used for this injection, including a syringe feeding directly into the NMR tube inside the magnet (see Supporting Information). Data collection was initiated prior to injection of Tf2O. Preliminary tests monitoring 13C-labeled acetophenone (7) used two scans per 2D spectrum. Reactions monitoring unlabeled acetophenone (7) were acquired using 12 scans per FID and a four-step phase cycle, again with 180° phase-cycling of both 13C π/2 pulses and of the receiver phase. Each double-window HSQC dataset thus required 4.16 seconds per scan when using the 2 second recycle delay. Total times per 2D spectrum were 8.32 seconds and 49.9 seconds for monitoring of labeled and non-labeled reactants, respectively. This back-to-back application of separate ultrafast HSQC experiments targeting different windows of interest, permitted the parallel observation of multiple spectral windows in the same real-time acquisition batch. While as many as four distinct spectral regions were monitored in certain runs, only two windows per experiment (Figure 1) are presented in this work. The resulting concatenated time-domain signals were separated into FIDs corresponding to the individual windows, then processed into 2D spectra in the usual ultrafast fashion, and characterized using custom-written Matlab® scripts. To aid in the elucidation of the actual reaction intermediate structures, 1H-NMR chemical shifts were estimated using Advanced Chemistry Development, Inc. (ACD/Labs) Software V8.0 and 13C-NMR shifts were calculated within the GIAO approximation15 on the PCM-M06-2x/6-31+G* (solvent = acetonitrile)16,17 with optimized geometries using the Gaussian 09 suite of programs.18
3. Results and Discussion
3.1. One-dimensional Real-Time Measurements
A variety of preliminary 1D 1H NMR data were taken to delineate the spectral windows to be used for the main 2D studies. Figure 2 illustrates a representative set of such tests. In addition to signals corresponding to reagents and products (Scheme 3), these tests revealed over a dozen transient signals in the 1H aliphatic and olefinic regions. These signals –arising on top of the 1H NMR resonances belonging to reagents and products– suggest the presence of a number of candidate aliphatic and olefinic intermediates that had not been previously noticed. Aliphatic intermediates will be characterized by singlet signals from methyl group present, whereas olefinic intermediates will show doublets produced by the diastereotopic protons from the methylidene group. Figure 3 presents a more quantitative description on the appearance and disappearance of these different species, showing the time-dependent intensities of products 7, 9 and 10 as well as of intermediate 8 (cf. Scheme 3). Also shown is the kinetic behavior of an additional number of aliphatic and olefinic intermediates arising during the reaction.
Figure 2.
Real-time 1D 1H NMR series recorded as a function of time (only a small subset of the resulting spectra hereby shown). Colored arrows show the positions of specific signals from products and intermediates participant in the reaction between acetophenone (7) (0.183 mmol) and triflic anhydride (0.275 mmol) in acetonitrile-d3 (as both a co-reactant and solvent) at 298 K. The red arrow at (2.60 ppm, 0.0 min) shows the signal of methyl group from the starting acetophenone. Light blue and purple arrows show signals from final products, aromatic proton H-5 (8.32 ppm, 2.1 min) in pyrimidine (9) and the methylidene protons (5.85 and 5.49 ppm, 51.2 min) in vinyl triflate (10) respectively. Grey (3.28 ppm), blue (2.11 ppm), green (2.04 ppm) and magenta (1.87 ppm) arrows represent the position of methyl group in different aliphatic intermediates; gold (5.90/5.57 ppm) arrows present the positions of methylidene protons from olefinic intermediates as well.
Figure 3.
Normalized peak intensity integrals monitored as a function of time for the initial ketone (7, red), the final pyrimidine (9, blue), vinyl triflate (10, purple), for the majority intermediate (8, gray), as well as for other new intermediates detected in these studies. The right-hand panel presents an expanded description of these compounds’ time dependencies.
3.2. Ultrafast 2D Heteronuclear Correlations
The identities of the intermediates involved cannot be determined exclusively from 1D 1H NMR experiments. To obtain structural insight into these peaks, real-time ultrafast NMR techniques correlating data from 1H and 13C nuclei were recorded. Based on the temporal series of 1H NMR experiments, three different spectral windows were selected for examination by real-time 2D NMR. One focused on an aliphatic region: 1.54 - 2.87 ppm for 1H with 23.7 - 33.7 ppm for 13C; another in an olefinic one: 5.17 - 6.50 ppm for 1H with 106.0 - 116.0 ppm for 13C; and a third in an aromatic/pyrimidinic one: 7.49 - 8.81 ppm for 1H with 112.40 - 122.40 ppm for 13C. A series of UF-HSQC spectra was taken for each window of interest; they are illustrated in Figure 4 and 5. Colored arrows in these plots denote cross-peaks representing reagents, products and intermediates that participate in the reaction. Cross-peaks assigned to starting ketone (7) and final products vinyl triflate (10) and pyrimidine (9) were confirmed by one-dimensional and two-dimensional spectra (see the Supplementary Information). Values of chemical shifts of highlighted (bold) nuclei are shown in Scheme 4.
Figure 4.
Representative selection of real-time 2D HSQC NMR spectra showing species (arrows) present in the aliphatic window at key time points at the reaction progresses. (See text for further details).
Figure 5.
Representative series of real-time 2D HSQC NMR spectra recorded for the aromatic window.
Scheme 4.
Figure 4 illustrates a series of representative 2D UF-HSQC spectra recorded for the aliphatic window at ca. 30 sec delay. A total of 500 HSQC spectra were taken in a typical kinetic progression, where data acquisition was begun immediately prior to the sudden addition of triflic anhydride to a solution of ketone (7) in acetonitrile-d3 (Figure 4 highlights only sixteen of these, a full 3D animation made from the total set of HSQC experiments is given as Supporting Information). Prior to the Tf2O injection, the cross-peak of the methyl group of (7) is clearly observed (0 min, red arrow). 1.66 minutes after initiation of the reaction a new cross-peak at δ = 2.09 / 28.40 ppm (blue arrow) is seen. Then, at ca. 7.48 and 14.97 minutes, two additional cross-peaks at 2.02 / 28.10 ppm (green arrow), and 1.82 / 30.30 ppm (magenta arrow) respectively, were clearly detected. The intensity of these cross-peaks changed with time, rising and falling during the course of the reaction (see Figure 6).
Figure 6.
Integral values versus time for the aliphatic and the aromatic window studied.
A series of representative 2D UF-HSQC spectra were recorded in succession on the olefinic window (5.17 – 6.50 ppm, 1H; 106.0 - 116.0 ppm, 13C) and on the aromatic/pyrimidinic region (7.49 - 8.81 ppm, 1H; 112.4 - 122,4 ppm, 13C). Throughout the series of 500 HSQC spectra recorded in these windows, doublet cross-peaks from vinyl triflate (10) and olefinic intermediates were not detected. Figure 5 illustrates the 2D heteronuclear correlation observed for the aromatic/pyrimidine window. The spectra for this window are dominated by a cross-peak (8.33 / 119.0 ppm, light blue arrow) which appears with variable intensity in the aromatic region, corresponding to the H5-C5 single-bond of the pyrimidine (9). Its assignment to the pyrimidine (9) was confirmed independently by 1D and 2D standard NMR analyses. Figure 6 summarizes the time-evolution of key cross-peaks observed in the various windows studied. The aliphatic window (left) shows the kinetic behavior for reagent acetophenone (7) and intermediates (11), (12), (13). The aromatic window (right) reflects the formation of final product pyrimidine (9). (3D animations showing the complete time-series of spectra for the olefinic and aromatic windows are available for download as Supplementary Information).
To further examine the olefinic window, the experiment was repeated with labeled 13C-carbonyl-acetophenone (7) as reagent. A spectral window 5.17 - 6.50 ppm for 1H and 102.6 - 119.2 ppm for 13C, permitted the observation and comparison of olefinic products and intermediates. A total of 1200 HSQC spectra taken under these conditions within the course of the reaction revealed, in addition to the expected doublet of cross-peaks from vinyl triflate (10, purple arrow), a new doublet of cross-peaks (Figure 7). The rise and fall of these cross-peaks (dark yellow arrows) show its character as intermediate. Figure 7 (bottom) also displays the kinetic behavior of the new olefinic intermediates (14) and/or (15). Additionally the presence of a time-increasing cross-peak at 6.20/106.5 was observed. As seen in Figure 7, the kinetics of the vinyl triflate (10) are in good agreement with those seen initially in the non-labeled reaction. For a 3D animation see the Supplementary Information.
Figure 7.
Representative series of real-time 2D HSQC NMR spectra recorded for the olefinic window (5.17 – 6.50 ppm 1H, 102.6 - 119.2 ppm 13C) (top) and integrated peak intensity as a function of time for both labeled intermediates (14/15) and vinyl triflate (10) (bottom).
4. Discussion
The cross-peaks observed in the various real-time 1D and 2D spectra illustrated in the preceding Section, suggest a complex sequence of events underlying the evolution of the starting acetophenone (7) to the final pyrimidine (9). A mechanism capable of rationalizing all the observed peaks is depicted in Figure 8. The HSQC series recorded on the 1.54 - 2.87 ppm, 1H; 23.7 - 33.7 ppm, 13C aliphatic window, indicate that the reaction starts with an electrophilic attack of the S-atom of one of the SO2 groups of triflic anhydride on the O-atom of the carbonyl group of acetophenone (7) leading to the rapid formation of an intermediate (8), whose presence we have detected in the past by ultrafast 2D HMBC experiments,13c,19 but whose cross-peaks fall outside the window targeted here. Evolution of (8) by nucleophilic capture by acetonitrile-d3 leads to the complex (11), which evolve to the nitrilium-salt intermediate (12).20,21 The reaction continues and an additional nucleophilic capture by the acetonitrile-d3 takes place forming intermediate (13). In order to confirm these intermediates, measurements were repeated using labeled 13C-methyl-acetophenone (7) and a standard UF-HSQC sequence,22 which permits monitoring of (examination) an expanded acquisition window (4.50 - 0.50 ppm, 1H; 63.60 - 3.60 ppm, 13C). These results from monitoring of the methyl labeled reactants confirmed the formation of intermediate (8) and its evolution to intermediates (11), (12) and (13) (Figure 9).
Figure 8.
Formation and evolution of different intermediates as well as possible mechanistic routes.
Figure 9.
Representative series of real-time 2D HSQC NMR spectra recorded for the aliphatic window from labeled 13C-methyl-acetophenone (7) using a standard UF-HSQC sequence.
Elimination of triflic anhydride from intermediate (8) would lead to vinyl triflate (10), which should form as a side product. Cross-peaks from (10) and/or from other possible olefinic intermediates like (14), however, were not observed in the HSQC of the olefinic window (5.17 – 6.50 ppm, 1H; 106.0-116.0 ppm, 13C) starting from the unlabeled acetophenone (7). Still, intermediate (14) must also participate in the reaction,7b by elimination of triflic acid in intermediate (13). This would lead to the formation of the crucial double bond present in (14), in whose absence the cyclization step which leads to the pyrimidine ring cannot take place. Suspecting that these intermediates could not be seen due to a transient nature leading to maximal concentrations below our sensitivity limits, reactions were repeated using labeled 13C-methyl-acetophenone (7) and the olefinic window revised with this aid (Figure 7). The results show the expected double cross-peaks from vinyl triflate (10), as well as a new pair of cross-peaks representing diastereotopic protons of a methylidene group (purple and dark yellow arrows in Figure 7). We ascribe this new peak’s origin to the olefinic triflate salt intermediates (14) and/or (15) containing two and one molecules of the nucleophilic acetonitrile-d3, respectively. Cross-peaks from intermediates (14) and/or (15) are present since the first moments of the reaction (Figure 7): the formation of intermediate (15) taking place by the elimination of triflic acid from intermediate (12), and prior to a second nucleophilic capture by the acetonitrile-d3 which leads to (14). The kinetic behavior of intermediates (14) and/or (15) (Figure 7) shows that these species form quickly and then decay –even if coexisting to some extent until the last moments of the reaction. Intermediate (13) (Figure 8) is the first step of the so-called aliphatic route,13b whereas intermediate (15) would be the first of the olefinic and (14) the both common final intermediate. No unambiguous explanation for the cross-peak at 6.20/106.5 could be found; its presence under laboratory conditions was not detected.14 The extension of aliphatic and olefinic routes and the relative speed of both processes will depend on the nature of intermediate (12).
Overall, the findings arising from these HSQC correlations reveal, for the first time, the presence of olefinic intermediates (14) and/or (15), and confirm preliminary results previously observed in ultrafast HMBC measurements where labeled reactants were used.13c In order to get further confirmation on the nature of the detected intermediates, we exploited the valuable insight arising from the actual chemical shifts observed along the correlated 1H and 13C dimensions. Table 1 shows the experimental chemical shifts arising from the ultrafast series, and compares them against expectations stemming from the various structures that are postulated to participate in the reaction scheme proposed in Figure 8. The 1H-NMR chemical shift estimations were performed for the nitrilium-salt intermediates (12), (13), (14) and (15), using the commercial chemical shift calculator software ACD/Labs (Release 8.00). 13C-NMR shifts were also calculated within the GIAO approximation on the PCM-M06-2x/6-31+G* (solvent = acetonitrile) with optimized geometries using the Gaussian 09 suite of programs. In all cases we find very good agreement between the observed values and the values predicted/calculated for the postulated structures; these calculations permit to distinguish between intermediates (14) and (15), and assign (14) as the triflic olefinic nitrilium-salt intermediate formed.
Table 1.
Observed and calculated chemical shifts of the different species involved in the reaction.
| Observed (CD3CN)a | Calculated (CDCl3)b | Calculated GAUSSIAN 09d | ||
|---|---|---|---|---|
| 1H | 13C | 1H | 13C | |
| 7 | 2.64 | 26.33 196.90 |
2.60 | 24,70f 193.05f (216.00e) |
| 8 | 3.26 | 23.71 195.2 |
28.75e 202.40e |
|
| 9a,c | 8.33 | 119.01 | 6.85 | 123.02e |
| 10 | 5.85 5.49 |
105.76 | 5.94 4.50 |
103.20f (118.60e) |
| 11 | 2.09 | 28.40 | 31.21e | |
| 12 | 2.01 | 28.05 | 1.64 | 33.60e |
| 13 | 1.84 | 30.26 | 2.04 | 33.30e |
| 14 | 5.89 5.54 |
114.50 | 5.08 4.97 |
110.70e |
| 15 | 5.89 5.54 |
114.50 | 5.15 4.99 |
146.60e |
See the Supporting Information
Averaged values of chemical shifts ACD/Labs (Release 8.00).
Differences between observed and calculated chemical shifts are due to the nature of solvent.
Calculated with TMS (13C= TMS value Gaussian09 – value 13C compound Gaussian09).
Obtained with a M062X approximation.
Obtained with a B3LYP approximation.
4. Conclusions
The real-time spectroscopic approaches hereby described, allowed us to uncover a new and interesting sequence of events in the mechanistic pathway of the alkylpyrimidine formation from aliphatic ketones and alkyl nitriles promoted by triflic anhydride. This was largely thanks to the advent of new ultrafast 2D NMR techniques that, operating under low-gradients thanks to their use of selective band excitations, succeeded in monitoring the organic reaction using unlabeled compounds. Using this new selective and low strength gradient based UF-sequence, it was possible to confirm the presence of intermediates reported in earlier studies such as (8) and (14), as well as intermediates (11), (12) and (13) that were here detected for the first time. These findings have permitted us to propose for the first time a new and complete mechanism involving two different and concurrent pathways –one aliphatic and the other olefinic- for the progress of the reaction. The evolution from the starting ketone to the final pyrimidine could be monitored and rationalized in high detail. In summary, we believe that real-time dynamic 2D NMR methodologies of the kind described in this work, could open valuable new ways in the kinetic monitoring and characterization of complex dynamic chemical systems, and in the elucidation of the variety of mechanisms underlying these relevant transformations.
Supplementary Material
Supporting Information Paragraph: Further details regarding experimental procedures, 1D and 2D spectra of products and 3D animations. This material is free of charge via the Internet at http://pubs.acs.org.
Acknowledgments
The authors acknowledge financial support from MICINN (Grant CTQ2010-14936), the Israel Science Foundation (ISF 447/09), ERC Advanced Grant #246754, EU’S BioNMR Grant #261863, a Helen and Kimmel Award for Innovative Investigation, and the generosity of the Perlman Family Foundation. GO acknowledges postdoctoral support from the Feinberg Graduate School (Dean Fellowship) and from the Fulbright Foundation. ZP acknowledges Universidad Complutense de Madrid for a predoctoral fellow. We gratefully acknowledge Dr Israel Fernández and Ángel Sánchez for theoretical calculations and predictions of 13C chemical shifts.
References
- (1).(a) Pozharskii AF, Soldatenkov AT, Katritzky AR. Heterocycles in Life and Society. Wiley-VCH; Weinheim: 1997. [Google Scholar]; (b) Eicher T, Hauptmann S. The Chemistry of Heterocycles. 2nd ed. Wiley-VCH; Weinheim: 2003. [Google Scholar]; (c) Katritzky AR. Advances in Heterocyclic Chemistry. Vol. 82 Academic Press; Oxford: 2002. [Google Scholar]
- (2).Rewcastle GW. In: Comprehensive Heterocyclic Chemistry III. Aitken A, editor. Vol. 8. Elsevier Science; Oxford: 2008. p. 117. [Google Scholar]; Ahmad OK, Hill MD, Movassaghi M. J Org Chem. 2009;74:8460–8463. doi: 10.1021/jo9017149. [DOI] [PubMed] [Google Scholar]
- (3).(a) von Angerer S. In: Science of Synthesis. Yamamoto Y, editor. Vol. 16. Thieme; Stuttgart: 2003. p. 379. [Google Scholar]; (b) Hill MD, Movassaghi M. Chem –Eur J. 2008;14:6836–6844. doi: 10.1002/chem.200800014. [DOI] [PubMed] [Google Scholar]
- (4).(a) Herrera A, Martínez-Álvarez R, Ramiro P, Molero D, Almy J. J Org Chem. 2006;71:3026–3032. doi: 10.1021/jo052619v. [DOI] [PubMed] [Google Scholar]; (b) Herrera A, Martínez-Álvarez R, Martín N, Chioua M, Chioua R, Sánchez-Vázquez Á, Molero D, Almy J. Tetrahedron. 2009;65:1697–1703. [Google Scholar]; (c) Herrera A, Martínez-Álvarez R, Martín N, Chioua M, Chioua R, Sánchez-Vázquez Á, Molero D, Almy J. Tetrahedron. 2009;65:5817–5823. [Google Scholar]; (d) Herrera A, Martínez-Álvarez R, Ramiro P, Sánchez A, Torres R. J Org Chem. 2004;69:4545–4547. doi: 10.1021/jo049777r. [DOI] [PubMed] [Google Scholar]; (e) Martínez-Álvarez R, Herrera A. Targets in Heterocyclic Systems. 2008;12:59–85. [Google Scholar]
- (5).(a) Movassaghi M, Hill MD. J Am Chem Soc. 2006;128:14254–14255. doi: 10.1021/ja066405m. [DOI] [PubMed] [Google Scholar]; (b) Movassaghi M, Hill MD. J Am Chem Soc. 2006;128:4592–4593. doi: 10.1021/ja060626a. [DOI] [PubMed] [Google Scholar]; (c) Hill MD, Movassaghi M. Synthesis. 2007:1115–1119. [Google Scholar]; (d) Movassaghi M, Hill MD NatProtoc. 2007;2:2018–2023. doi: 10.1038/nprot.2007.280. [DOI] [PubMed] [Google Scholar]; (e) Ahmad OK, Hill MD, Movassaghi M. J Org Chem. 2009;74:8460–8463. doi: 10.1021/jo9017149. [DOI] [PubMed] [Google Scholar]; (f) Menor-Salvan C, Ruiz-Bermejo M, Guzmán GI, Osuna-Esteban S, Veintemillas-Verdaguer S. Chem –Eur J. 2009;15:4411–4418. doi: 10.1002/chem.200802656. [DOI] [PubMed] [Google Scholar]; (g) Bannwarth P, Vailleix A, Gree D, Gree R. J Org Chem. 2009;74:4646–4649. doi: 10.1021/jo900674u. [DOI] [PubMed] [Google Scholar]; (h) Yan S, Tang Y, Yu F, Lin J. Helv Chim Acta. 2011;94:487–490. [Google Scholar]; (i) Lin M, Chen Q-z, Zhu Y, Chen X-l, Cai J-j, Pan Y-m, Zhan Z-p. Synlett. 2011:1179–1183. [Google Scholar]
- (6).Lai P-S, Taylor MS. Synthesis. 2010:1449–1452. [Google Scholar]
- (7).(a) García Martínez A, Herrera Fernández A, Moreno Jiménez F, García Fraile A, Subramanian LR, Hanack M. J Org Chem. 1992;57:1627–1630. [Google Scholar]; (b) Herrera A, Martínez-Álvarez R, Chioua M, Chioua R, Sánchez Á: Tetrahedron. 2002;58:10053–10058. [Google Scholar]; (c) Chemical transformations induced by triflic anhydride were reviewed, see Baraznenok IL, Nenajdenko VG, Balenkova ES. Tetrahedron. 2000;56:3077–3119.
- (8).(a) Kupce E, Nishida T, Freeman R. Prog Nucl Magn Reson Spectrosc. 2003;42:95–122. [Google Scholar]; (b) Kupce E, Freeman R. J Magn Reson. 2003;162:300–310. doi: 10.1016/s1090-7807(02)00196-9. [DOI] [PubMed] [Google Scholar]
- (9).Hoch JC, Stern AS. Method Enzymol. 2001;338:159–78. doi: 10.1016/s0076-6879(02)38219-3. [DOI] [PubMed] [Google Scholar]
- (10).(a) Gal M, Frydman L. In: Multidimensional NMR methods for the Solution State. Morris GA, Emsley JW, editors. Wiley&Sons; Chichester, United Kingdom: 2010. pp. 43–60. [Google Scholar]; (b) Mishkovsky M, Frydman L. Ann Rev Phys Chem. 2009;60:429–448. doi: 10.1146/annurev.physchem.040808.090420. [DOI] [PubMed] [Google Scholar]
- (11).Frydman L, Scherf T, Lupulescu Proc Natl Acad Sci USA. 2002;99:15958–15862. doi: 10.1073/pnas.252644399. [DOI] [PMC free article] [PubMed] [Google Scholar]
- (12).(a) Gal M, Schanda P, Brutscher, Frydman L. J Am Chem Soc. 2007;129:1372–1377. doi: 10.1021/ja066915g. [DOI] [PubMed] [Google Scholar]; (b) Gal M, Lee MK, Varani G, Frydman L. Proc Natl Acad Sci USA. 2010;107:9192–9197. doi: 10.1073/pnas.1001195107. [DOI] [PMC free article] [PubMed] [Google Scholar]
- (13).(a) Gal M, Mishkovsky M, Frydman L. J Am Chem Soc. 2006;128:951–956. doi: 10.1021/ja0564158. [DOI] [PubMed] [Google Scholar]; (b) Herrera A, Fernández-Valle E, Martínez-Álvarez R, Molero D, Pardo ZD, Sáez E, Gal M. Angew Chem Int Ed. 2009;48:6274–6277. doi: 10.1002/anie.200902387. [DOI] [PubMed] [Google Scholar]; (c) Herrera A, Fernández-Valle E, Gutiérrez EM, Martínez-Álvarez R, Molero D, Pardo ZD, Sáez E. Org Lett. 2010;12(1):144–147. doi: 10.1021/ol902532f. [DOI] [PubMed] [Google Scholar]
- (14).Brunner P, Ernst RR. J Magn Reson. 1979;33:83–106. [Google Scholar]
- (15).Wolinski K, Hinton JF, Pulay P. J Am Chem Soc. 1990;112:8251–8260. [Google Scholar]
- (16).M06-2x method: Zhao Y, Truhlar DG. Acc Chem Res. 2008;41:157–167. doi: 10.1021/ar700111a.
- (17).(a) PCM method: Miertus S, Scrocco E, Tomasi J Chem Phys. 1981;55:117. ; (b) Pascual-Ahuir JL, Silla E, Tuñón I. J Comput Chem. 1994;15:1127. [Google Scholar]; (c) Barone V, Cossi M. J Phys Chem A. 1998;102:1995–2001. [Google Scholar]
- (18).Frisch MJ, Trucks GW, Schlegel HB, Scuseria GE, Robb MA, Cheeseman JR, Scalmani G, Barone V, Mennucci B, Petersson GA, Nakatsuji H, et al. Gaussian 09, Revision B.01. Gaussian, Inc.; Wallingford CT: 2009. [Google Scholar]
- (19).(a) 13C NMR data for carbocations: Breitmeier E, Voelter W. Carbon-13 NMR Spectroscopy. 3rd ed. VCH; New York: 1987. ; Stadler D, Goeppert A, Rasul G, Olah GA, Prakash S, Bach T. JOrg Chem. 2009;74:312. doi: 10.1021/jo802296e. [DOI] [PubMed] [Google Scholar]
- (20).Kanemasa S. In: Science of Synthesis. Murahashi S, editor. Vol. 19. Thieme; Stuttgart: 2001. pp. 53–65. [Google Scholar]
- (21).(a) Darbeau RW, Gibble RE, Pease RS, Bridges DE, Siso LM, Heurtin DJ. J Chem Soc Perkin Trans2. 2001:1084–1090. [Google Scholar]; (b) White EH, DePinto JT, Polito AJ, Bauer I, Roswell DF. J Am Chem Soc. 1988;110:3708. [Google Scholar]
- (22).Shrot Y, Shapira B, Frydman L. J Magn Reson. 2004;171:163–170. doi: 10.1016/j.jmr.2004.08.001. [DOI] [PubMed] [Google Scholar]
Associated Data
This section collects any data citations, data availability statements, or supplementary materials included in this article.













