Abstract
A search for candidates for a functional homologue of Escherichia coli MutT in yeast Saccharomyces cerevisiae was made in the NCBI-BLAST database using the Nudix box, a short amino acid sequence conserved among E.coli MutT, Pseudomonoas vulgaris MutT, and human, rat and mouse MTH1. Among five candidates, we focused on the open reading frame YLR151c, because it had a region with ∼76% similarity to the N-terminal half of MutT including the Nudix box. We thus evaluated the ability of YLR151c as a functional homologue of E.coli MutT in S.cerevisiae. Expression of YLR151c was able to suppress the transversion from A:T to C:G caused by misincorporation of the oxidized nucleotide 8-oxo-dGTP in the E.coli mutT-deficient strain. The disruption of the YLR151c in yeast strain caused ∼14-fold increase in the frequency of spontaneous mutation compared to the wild type. Additionally, biochemical analysis indicated that GST-YLR151c fusion protein possessed pyrophosphatase activity for both 7,8-dihydro-8-oxo-2′-deoxyguanosine triphosphate (8-oxo-dGTP) and 1,2-dihydro-2-hydroxy-2′-deoxyadenosine triphosphate (2-OH-dATP). The specific activity of GST-YLR151c for 8-oxo-dGTP was 5.6 × 10−3 μM−1 s−1, which was similar to that of RibA, a backup enzyme for MutT in E.coli, but was 150-fold lower than that of hMTH1. From these results, we conclude that YLR151c has an ability to prevent spontaneous mutagenesis via sanitization of oxidized nucleotides, and that it may be the functional homologue of E.coli MutT in S.cerevisiae.
INTRODUCTION
Reactive oxygen species (ROS) are generated in cells not only by exogenous environmental factors such as ionizing radiation and redox-cycling agents but also during endogenous oxygen metabolism (1,2). ROS thus always attack and oxidize biologically important molecules such as nucleic acids, proteins and lipids (3,4). The oxidation of cellular DNA has deleterious consequences for the cell (5,6). One of the major oxidative products formed in cellular DNA and nucleotide pool, is 7,8-dihydro-8-oxoguanine (8-oxoG), responsible for a significant portion of spontaneous mutations, which would cause cancer as well as various age-related degenerative diseases (4). 8-oxoG can efficiently pair with adenine in addition to cytosine during DNA replication, and resulting in the induction of A:T to C:G or G:C to T:A transversions (7–9).
To counteract the mutagenic effects of 8-oxoG, organisms have evolved multi-defense mechanisms, the so-called GO system, in which the products of the mutM, mutY and mutT genes are involved in Escherichia coli (10). The MutM (or Fpg) and MutY proteins contribute to inhibit mutagenesis via their DNA glycosylase activities, which can remove 8-oxoG from the 8-oxoG:C pair, and adenine from the 8-oxoG:A pair in DNA, respectively (11–13). However, when 8-oxo-7,8-dihydro-2′-deoxyguanosine triphosphate (8-oxo-dGTP) is misincorporated opposite A in template DNA, MutY may fix an A:T to C:G mutation because it removes the correct A from the A:8-oxoG pair (14). Moreover, nucleotides are important mutagenic targets for hydroxyl radicals rather than DNA at least in E.coli cells under oxidative stress due to both lack of superoxide dismutases and an excess of iron uptake causing hypermutability of G:C to T:A and A:T to C:G transversions (15,16). Therefore, oxidized nucleotides such as 8-oxo-dGTP in the nucleotide pool must effectively be eliminated. For this purpose, E.coli possesses an important sanitizing function, in which MutT protein hydrolyzes 8-oxo-dGTP to 8-oxo-dGMP and finally prevents the misincorporation of 8-oxodG into DNA (8).
The vital importance of the GO system is obvious from the hyper-mutator phenotypes of E.coli deficient in the mutM, mutY or mutT gene; G:C to T:A and A:T to C:G transversions are frequently induced in the mutM mutY mutant and the mutT mutant, more than 10-fold and 100- to 1000-fold higher than in the wild-type strain, respectively (14,15,17). Genome sequencing projects in various organisms also indicate the importance of GO system. They have shown that homologues of these three genes are widely conserved among evolutionarily distant prokaryotes. In eukaryotes, functional homologues of MutM, MutY and MutT proteins, namely OGG1, MUTYH (MYH) and MTH1, respectively, have been identified in humans and rodents (18,19). The entire genome sequencing of the simple eukaryote Saccharomyces cerevisiae, however, indicated no open reading frames (ORFs), which are predicted to be homologues of MutY and MutT, although the homologue of mammalian OGG1 has been identified in S.cerevisiae.
Because these functions especially those of MutT must be crucial for aerobic organisms, we tried to isolate and identify functional homologues in S.cerevisiae by adopting two different approaches: one is to isolate candidates by searching ORFs with the Nudix box, which is the short amino acid sequence conserved among E.coli MutT, Pseudomonoas vulgaris MutT, and human, rat and mouse MTH1, and the other is to isolate candidates from the yeast genomic library, which can suppress the mutator phenotype of the E.coli mutT-deficient mutant. In the present paper, we evaluate the ability of one of the Nudix hydrolase isolated with the former method, as a MutT-functional homologue in S.cerevisiae, through genetic and biological determinations.
MATERIALS AND METHODS
Bacterial strains, yeast strains and plasmids
The bacterial strains used are all derivatives of E.coli K12. Strains SY11 (20) and TN411 (15) are both mutT::Cm derivatives of SY5 and GC4468, respectively. The F episome from the strain CC101 (21) was transferred into SY11 and TN411, yielding strains SY11F and TN411F. The lacZ gene in the F episome of CC101 carries a G:C to T:A transversion mutation at position 461, and thus only an A:T to C:G transversion at this position could revert the phenotype to LacZ+ (21). The wild-type yeast S.cerevisiae strain used in this study was DBY747 (MATa, leu2-3, 112, his3-Δ1, trp1-289, ura3-52) (22), which was kindly provided by Dr B. Demple. A portion of the YLR151c coding region of the wild-type strain was deleted and replaced with the selective marker HIS3, resulting in TNY715 (see below).
The plasmid pJKKm-HIS was a derivative of pJKKmf(−). The DNA fragment containing the HIS3 gene was amplified by PCR with a set of primers, HIS3F (5′-gcaatttctactcgggttcagc-3′) and HIS3R (5′-cttgccacctatcaccacaact-3′), and genomic template DNA prepared from S.cerevisiae STX573-3c, digested with BamHI and XhoI, and cloned into pBluescript SK(+). The XbaI/PvuII fragment was then subcloned into XbaI/SmaI-digested pJKKmf(−), resulting in pJKKm-HIS. This was used for yeast gene disruption. The vector plasmids pGEM-T Easy, pGEX4T-2, pSE380 and pYES2 were used for direct cloning of the PCR product, for purification of the GST-fusion protein of YLR151c, expression of YLR151c in E.coli and for gene expression in yeast cells, respectively. These vectors were purchased from Promega Co. (Madison, WI), Amersham Pharmacia Biotech Ltd. (Buckinghamshire, UK) and Invitrogen (Groningen, Netherlands). The other vector plasmids pBluescript SK(+) and pJKKmf(−) were from our laboratory stock.
Reagents and media
The Luria–Bertani (LB) broth, LB plate, M9 salt and phosphate buffer (33 mM Na2HPO4/KH2PO4) were used for overnight cell growth of E.coli and for cell washing and resuspensions (23). Tetracyclin (Tc), chloramphenicol (Cm), kanamycin (Km) and ampicillin (Ap) were added, if necessary, to the media at concentrations of 10, 30, 50 and 50 μg/ml, respectively. The minimal lactose or glucose agar plates were composed of M56 salt with lactose or glucose (2 mg/ml), thiamine (1 μg/ml), 1.5% agar and appropriate antibiotics. The YPD (1% yeast extract, 2% polypeptone and 2% glucose) and SD (0.67% yeast nitrogen base without amino acids and 2% glucose) were used for yeast cell growth. For SD minimal medium, appropriate supplements such as L-histidine (His), L-tryptophane (Trp), L-leucine, L-lysine, adenine and uracil at concentrations of 20, 40, 60, 30, 20 and 20 μg/ml, and 2% agar were added to SD. These reagents were purchased from Wako Pure Chemical Industries, Ltd. (Osaka, Japan) and Nacalai Tesque, Ltd. (Kyoto, Japan). Enzymes and reagents for DNA manipulation and DNA sequencing were purchased from Takara Shuzo Co. Ltd. (Kyoto, Japan), Toyobo Co. Ltd. (Tokyo, Japan) and New England Biolabs Inc. (Beverly, MA), and Applied Biosystems Inc. (Foster City, CA).
Search for MutT functional homologue in the NCBI-BLAST database
Based on the amino acid sequence alignment among E.coli MutT, P.vulgaris MutT, and MTH1 from human, rat and mouse, it has been found that a short amino acid sequence, the so-called Nudix box, is conserved (24). A search for a functional homologue of E.coli MutT in yeast S.cerevisiae was made in the NCBI-BLAST database using the Nudix box.
Mutation assay in E.coli
To examine whether the expression of YLR151c can suppress the mutator phenotype of the mutT mutant or not, an expression vector pS151c was constructed. A DNA fragment (∼3.7 kb) containing the entire ORF of YLR151c gene was amplified by PCR with SC151c-F (5′-cctatattcagagcatgggtaacg-3′) and SC151c-Eco2 (5′-aaaggaattcgtcaagagcaac-3′), and digested with BamHI/XbaI. The ∼2 kb BamHI/XbaI fragment was then subcloned into pSE380 digested with BamHI/XbaI. In the resulting plasmid pS151c, the YLR151c gene could be expressed from the trc promoter in E.coli. For a positive control, the plasmid pTT100-hMTH1 in which hMTH1 is under the control of the trc promoter, was used (25).
The independent colonies of E.coli mutT-deficient strains, SY11F and TN411F, carrying pS151c or pSE380 vector alone, were inoculated into M9 medium containing Ap and Cm, and the culture was incubated overnight at 37°C with shaking. After being washed twice with phosphate buffer, cells were plated on minimal lactose agar plates and on minimal glucose agar plates after appropriate dilutions. The viable cells and Lac+ mutants were enumerated after 2 and 3 days incubation at 37°C, respectively.
Construction of yeast disruptants
The upstream and downstream regions of YLR151c ORF were amplified by PCR with two sets of primers; for upstream, SC151c-F and SC151c-Eco (5′-taacgaattcatcattagtcattc-3′), and for downstream, SC151c-Bam (5′-gctggatccatattaagtcaga-3′) and SC151c-Eco2. A 1.3 kb HindIII/SphI DNA fragment from the upstream PCR product was subcloned into HindIII/SphI-digested pTZ19R, resulting in pTZ19R-up. A 2.2 kb BamHI/EcoRI-digested downstream PCR product was subcloned into BamHI/EcoRI-digested pTZ19R, resulting in pTZ19R-down. A 1.6 kb EcoRV/EcoRI fragment from pTZ19R-down was inserted into pJKKmf(−)-HIS, which had been digested with PstI, blunted with T4 DNA polymerase and digested again with EcoRI. Finally, the plasmid construction for yeast YLR151c disruption was completed by insertion of an 0.6 kb SphI/BamHI fragment of the upstream region of the YLR151c gene from pTZ19R-up into the downstream region-inserted pJKKmf(−)-HIS. The resulting plasmid was linearized with SphI and XbaI, and transfected into yeast DBY747 cells. The genomic DNA was roughly isolated from a HIS+ clone (TNY715) and used for PCR with SC151c-F and SC151c-Eco2 primers. The gene disruption by ylr151c Δ::HIS3 was confirmed by the size of the PCR product and restriction sites on it.
Mutation assay in yeast
The independent colonies of S.cerevisiae DBY747 and TNY715 with or without plasmids such as pYES2 and the plasmid carrying YLR151c, pY151c (see below), were inoculated into YPD from SD plates containing appropriate supplements, and incubated at 30°C for 2 days. After being washed twice with sterile water, cells were plated on SD minimal plates containing appropriate supplements but lacking Trp for Trp+ revertants and on SD minimal plates containing the supplements including Trp after appropriate dilutions for viable cells. The viable cells and Trp+ mutants were enumerated after 3- and 6-day-incubations at 30°C. For the complementation experiment, 1.3 kb EcoRI fragment containing YLR151c and its own promoter region from pTZ19R-up was subcloned into EcoRI-digested pYES2, resulting in pY151c. The plasmid was introduced into TNY715, and the ability to suppress the mutator phenotype in the yeast disruptant was examined by Trp+ reversion assay.
Production and purification of YLR151c
For the purification of the YLR151c gene product, the expression vector pX151c was constructed. A DNA fragment (∼1.2 kb) containing the YLR151c gene was amplified by PCR with SC151c-Bam and SC151c-Eco digested with BamHI/EcoRI, and subcloned into pGEX-4T-2 digested with BamHI/EcoRI. In the resulting plasmid pX151c, the YLR151c gene product is fused to GST inframe.
GST fusion protein was purified, basically, according to the protocol provided by the Amersham Pharmacia Biotech Ltd. Briefly, an overnight culture of E.coli BL21 (DE3) codonplus transformed with pX151c was added to LB (1 l) containing Ap and Cm, and incubated at 37°C. When the OD reached 0.6–0.7, 0.1 mM of isopropyl-β-D-thiogalactoside (IPTG) was added, and cells were harvested after 3 h incubation at 20°C. The cells were washed twice with buffer A (33 mM Na2HPO4, 33 mM KH2PO4, and 0.2% Triton-X), resuspended in buffer A, and disrupted by sonication. After centrifugation at 17 500 g for 30 min at 4°C, the supernatant was collected (30 ml). The supernatant and 2 ml of a 50% slurry of Glutathione-Sepharose 4B (Amersham Pharmacia Biotech Ltd., Buckinghamshire, UK) equilibrated with buffer B (10 mM Na2HPO4, 1.8 mM KH2PO4, 140 mM NaCl and 2.7 mM KCl, pH7.3) were mixed, and incubated at 4°C for 30 min with gentle shaking. The Sepharose matrix was collected in an empty column, and washed five times with 10 ml of buffer B. The GST-fusion protein of YLR151c was eluted with 10 ml of freshly prepared buffer C [10 mM glutathione (reduced form) and 50 mM Tris–HCl, pH 8.0]. Using ultrafiltration with a centrifuge filter unit (Millipore Co., Bedford, MA), the protein sample was concentrated and the buffer was exchanged with buffer D [20 mM Tris–HCl (pH 8.0), 150 mM NaCl, 1 mM EDTA, 2 mM DTT and 10% glycerol]. All operations were carried out at 4°C or on ice. A portion of the protein sample was subjected to SDS–PAGE, and the purity and concentration were estimated with an Image Analyzer and Bradford assay, respectively.
Measurement of 8-oxo-dGTPase and 2-OH-dATPase activity
8-oxo-dGTP was purchased from Trilink BioTechnologies Inc. (San Diego, CA). 1,2-Dihydro-2-hydroxy-2′-deoxyadenosine triphosphate (2-OH-dATP) was chemically synthesized as previously reported (26). The pyrophosphatase activity against 8-oxo-dGTP and 2-OH-dATP was measured as described previously (27–29). The reaction was carried out in 100 μl of pyrophosphatase reaction buffer [20 mM Tris–HCl (pH 8.0), 4 mM MgCl2, 40 mM NaCl, 80 μg/ml BSA, 8 mM DTT and 5% glycerol] containing various amounts of nucleotide substrates. Following preincubation at 30°C for 2 min, the protein samples were added to the mixtures, and incubated at 30°C for various periods. Reactions were terminated by adding 100 μl of ice-cold 5 mM EDTA. All mixtures were injected into a high-performance liquid chromatography (HPLC) system with a TSK-GEL DEAE-2SW column, and isocratic eluted with HPLC elution buffer [75 mM sodium phosphate buffer (pH 7.0), 20% acetonitrile and 1 mM EDTA] at a flow rate of 1 ml/min. Amounts of 8-oxo-dGTP and of 2-OH-dATP, and their hydrolyzed product were quantified as the area of peaks at OD293. The hMTH1 protein, used as a positive control for pyrophosphatase activity, was purified by an E.coli overexpression system (25).
RESULTS
A search for candidates for a functional homologue of MutT in the yeast S.cerevisiae was made in the NCBI-BLAST database using the Nudix box, a short amino acid sequence conserved among E.coli MutT, P.vulgaris MutT, and human, rat and mouse MTH1. As a result, five ORFs containing a Nudix box were found. One of the candidates, YLR151c, was encoded by 1023 bp, and predicted to produce a gene product consisting of 340 amino acids. The amino acid sequence contained a highly conserved Nudix box in the N-terminus. Moreover, the sequence contained a region showing 76.1% similarity to the N-terminal half of MutT (67 amino acids among 129) including the Nudix box (Figure 1). The similarity of YLR151c to MutT was the highest among the five ORFs. For these reasons, we decided to focus on this YLR151c as a candidate for a functional homologue of MutT. The evaluation of its ability as a functional homologue of E.coli MutT was carried out based on the following genetic and biological determinations: (i) effect of its expression on the mutator phenotype of the E.coli mutT-deficient mutant; (ii) effect of its disruption on spontaneous mutagenesis in S.cerevisiae strain and (iii) enzymatic activity to hydrolyze oxidized nucleotides such as 8-oxo-dGTP and 2-OH-dATP in the purified gene product in vitro.
Figure 1.
Alignment of amino acids sequences of S.cerevisiae YLR151c and E.coli MutT. Upper panel, the parts enclosed and dashes indicate the regions containing a Nudix box, which is conserved for MutT and various homologues, and the regions that have high similarity between YLR151c and E.coli MutT, respectively. Lower panel, the amino acid sequences of the regions that have high similarity between YLR151c and E.coli MutT.
Ability to suppress mutator phenotype of the E.coli mutT-deficient mutant
First, we examined the ability of YLR151c to suppress the mutator phenotype of the E.coli mutT-deficient mutant. The plasmid pS151c, which can express YLR151c in E.coli, was introduced into SY11F as well as TN411F, and the frequency of spontaneous mutations was determined using a Lac+ reverse mutation assay. The frequency in both E.coli mutT-deficient mutants SY11F (Figure 2) and TN411F (data not shown) with vector alone was ∼8 × 10−6, ∼400-fold higher than that in the wild-type strain, whereas that in the strains bearing pS151c was ∼1 × 10−7. The plasmid pX151c expressing GST-YLR151c, instead of pS151c, also gave similar results (data not shown). The suppressing effect by these plasmids was observed without IPTG induction. In the case of pX151c, the western blotting analysis with anti-GST antibody indicated small expression of GST-YLR151c protein even without IPTG. We thus conclude that basal expression of YLR151c from these plasmids may be enough to suppress A:T to C:G transversions derived from 8-oxo-dGTP. The expression of hMTH1 or MutT could completely suppress the mutator phenotype of the E.coli mutT mutant (Figure 1, data not shown). These results suggest that YLR151c functions in E.coli cells, and remarkably suppresses the mutator phenotype. Because only an A:T to C:G mutation at a specific site in the lacZ gene on the F episome can revert the phenotype to Lac+ in this system, YLR151c can obviously suppress A:T to C:G transversions derived from a lack of pyrophosphatase activity of MutT for 8-oxo-dGTP.
Figure 2.

Complementation of the mutator phenotype in E.coli mutT-deficient mutant by expressing YLR151c. Mutation was determined by the reverse mutation assay with E.coli SY5F and its mutT-deficient strain SY11F, both of which contain the target lacZ gene to analyze the induction of a A:T to C:G transversion specifically. To express YLR151c and hMTH1, the plasmids pS151c and pTT100-hMTH1 were introduced into the strain SY11F.
Mutator phenotype of S.cerevisiae strain deficient in YLR151c
As described previously, a deficiency of the mutT gene in E.coli causes spontaneous hypermutation, at 100- to 1000-fold of the level in the wild-type strain. Thus if YLR151c could act as a sanitizing enzyme for oxidized nucleotides, the mutator phenotype would be observed in the S.cerevisiae strain deficient in YLR151c, TNY715. The frequency of spontaneous mutations was examined by reverse mutation from tryptophan auxotroph to prototroph. The mutation frequency in TNY715 was ∼1 × 10−6, whereas that in the wild-type DBY747 strain was ∼8 × 10−8 (Figure 3). The disruptant strain indicated a moderate mutator phenotype, ∼14-fold higher than the wild type. The mutator phenotype of TNY715 was almost completely suppressed, when the YLR151c gene with its own promoter was restored with plasmid pY151c (Figure 3).
Figure 3.
The moderate mutator phenotype of S.cerevisiae deficient in YLR151c. The YLR151c gene of S.cerevisiae was disrupted by replacement of the LEU2 cassette. Mutation was determined by reversion assay from the tryptophan auxotroph to the prototroph. The suppression of the mutator phenotype of the Δylr151c::LEU2 strain was confirmed by expressing the YLR151c gene from the own promoter on the vector pYES2.
Purification of recombinant YLR151c protein and pyrophosphatase activity for the oxidized deoxyribonucleotide triphosphates
Our observations from genetic approach strongly suggest that YLR151c is one of the important candidates for a functional homologue of MutT in S.cerevisiae. To obtain direct evidence as a functional homologue of MutT, we cloned the entire ORF of YLR151c into pGEX-4T-2, obtaining pX151c, and purified the recombinant YLR151c as a GST fusion protein from the overproducing E.coli BL21(DE3) codonplus strain harboring pX151c. Although no thick band corresponding to GST-YLR151c was observed in crude extract of E.coli cells in which the expression was induced by 0.1 mM IPTG for 3 h (Figure 4, lane 1), the recombinant protein was purified with glutathione Sepharose (Figure 4, lanes 3–4). After secondary purification using the glutathione Sepharose, the purity of the protein was estimated to be about 90% from SDS–PAGE with the Image Analyzer (Figure 4, lanes 7–8).
Figure 4.
Purification of the GST-YLR151c fusion protein. Lane1, crude extract from E.coli BL21 (DE3) carrying pX151c; lane 2, flow-through from the glutathione Sepharose column; lanes 3–5, first, second and third elution with the elution buffer containing reduced glutathione; lane 6, reference proteins with molecular masses of 97, 66, 47, 31 and 21 kDa; lane 7 and 8, elution from the secondary application to the glutathione Sepharose column; arrow indicates the band for the GST-YLR151c fusion protein.
In order to evaluate the pyrophosphatase activity, the protein was incubated with 20 μM of 8-oxo-dGTP, 2-OH-dATP or their non-oxidized forms, dGTP and dATP, at 30°C. After EDTA was added to stop the reaction, the whole reaction mixture was subjected to anion exchange HPLC to separate and quantify the hydrolyzed products. As shown in the control experiment using hMTH1, a peak at ∼12.5 min corresponding to 8-oxo-dGTP (Figure 5A) or 2-OH-dATP (data not shown), was observed in the sample taken just after the treatment of 1 nM of hMTH1 with oxidized nucleotides. After 30 min incubation at 30°C, the area of the peak at ∼12.5 min was decreased and that at ∼7.5 min corresponding to 8-oxo-dGMP (Figure 5B) or 2-OH-dAMP (data not shown) was increased. Therefore under our HPLC conditions, the nucleotide triphosphates and their monophosphate derivatives were clearly separated. When 8-oxo-dGTP or 2-OH-dATP was treated with 75 nM of GST-YLR151c protein for 30 min, a decrease in the area of the peak at ∼12.5 min and increase in that at ∼7.5 min were observed in both cases (Figure 6A and Figure 7B). After a subsequent 30 min treatment, the peak at ∼12.5 min had almost disappeared (Figure 6B and Figure 7C). On the other hand, for non-oxidized dGTP and dATP, GST-YLR151c was not able to catalyze the hydrolysis, even if non-oxidized nucleotides were incubated with 300 nM of protein (four times larger amount than for oxidized nucleotides) for 60 min (Figures 6D and 7D). Since E.coli MutT does not hydrolyze 2-OH-dATP at all (26), we assume that GST-YLR151c protein has an intrinsic activity to hydrolyze these oxidized nucleotides. However, GST-YLR151c protein was purified from E.coli mutT-proficient cells, and thus the possibility of contamination of E.coli MutT should be excluded. Therefore, the protein sample was prepared in the same way as YLR151c from the E.coli strain carrying the vector alone, and the pyrophosphatase activity was measured. As expected, however, no activity could be found with four-times the amount of protein as in the case of YLR151c (Figure 6C). Therefore, it was confirmed that GST-YLR151c protein possesses activity as a pyrophosphatase for both 8-oxo-dGTP and 2-OH-dATP, with similar specificity (Figure 8).
Figure 5.
Hydrolysis of 8-oxo-dGTP by hMTH1: 20 μM 8-oxo-dGTP was treated with 1 nM hMTH1 at 30°C for 0 min (A) and for 30 min (B). After addition of EDTA to stop the reaction, the whole sample was subjected to HPLC as described in Materials and Methods.
Figure 6.
Hydrolysis of 8-oxo-dGTP by GST-YLR151c fusion protein, monitored by HPLC. (A and B) 20 μM 8-oxo-dGTP was treated with 75 nM GST-YLR151c fusion protein at 30°C for 30 and 60 min, respectively. (C) 20 μM 8-oxo-dGTP was treated with 300 nM of protein purified from E.coli carrying vector alone (GST protein) at 30°C for 60 min. (D) 20 μM dGTP was treated with 150 nM GST-YLR151c fusion protein at 30°C for 60 min. After addition of EDTA to stop the reaction, the whole sample was subjected to HPLC as described in Materials and Methods.
Figure 7.
Hydrolysis of 2-OH-dATP by GST-YLR151c fusion protein, monitored by HPLC. (A–C) 20 μM 2-OH-dATP was treated with 75 nM GST-YLR151c fusion protein at 30°C for 0, 30 and 60 min, respectively. (D) 20 μM dATP was treated with 300 nM GST-YLR151c fusion protein at 30°C for 60 min. After addition of EDTA to stop the reaction, the whole sample was subjected to HPLC as described in Materials and Methods.
Figure 8.
Pyrophosphatase activity of S.cerevisiae GST-YLR151c protein for oxidized nucleotides, 8-oxo-dGTP and 2-OH-dATP: 20 μM of the oxidized nucleotides 8-oxo-dGTP (triangles) and 2-OH-dATP (circles) were treated with several amounts of GST-YLR151c protein at 30°C for 60 min. After addition of EDTA to stop the reaction, the whole sample was subjected to HPLC as described in Materials and Methods.
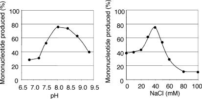
Effect of pH and salt concentration
The optimal pH and salt concentration in the reaction mixture were determined using 20 μM 8-oxo-dGTP as a substrate and treatment with 75 nM GST-YLR151c for 60 min. The activity in YLR151c was observed to be optimal between pH 8.0 and 8.5, and was ∼50% or less than that at pH 6.8, 7.3, 7.5 and 9.3 (Figure 9A). The optimal salt concentration was 40 mM NaCl (Figure 9B). The protein shows greater activity at a weak alkaline pH. As this is typical of Nudix hydrolase enzymes (e.g. the pH optimum for MutT, hMTH1, Orf135 is pH 9.0, 8.5 and 8.5–9.0), YLR151c may belong to this family.
Figure 9.
Effects of pH (left) and salt concentration (right) in the reaction mixture on pyrophosphatase activity of YLR151c against 8-oxo-dGTP: 20 μM 8-oxo-dGTP was treated with 75 nM GST-YLR151c fusion protein at 30°C for 60 min at various pH and various salt concentrations. After addition of EDTA to stop the reaction, the whole sample was subjected to HPLC as described in Materials and Methods.
Kinetic parameters of YLR151c for 8-oxo-dGTP
To define the pyrophosphatase activity of YLR151c for 8-oxo-dGTP, 5–100 μM of 8-oxo-dGTP was incubated with 75 nM of YLR151c, and activity levels were measured at various time points (5–60 min). From these results, the reaction rate for each substrate concentration was obtained for the Lineweaver–Burk plots. The Michaelis constant (Km) and the catalytic constant (kcat) of the reactions (Table 1) catalyzed by the GST-YLR151c protein were estimated from the Lineweaver–Burk plots (Figure 10). The Km value of YLR151c for 8-oxo-dGTP was 23.8 μM. The affinity of YLR151c for 8-oxo-dGTP was thus similar to that of human MTH1 (12.5 μM) and E.coli RibA (GTP cyclohydrolase II) (30 μM) that is the backup enzyme for MutT. Although the affinity was similar to hMTH1, the catalytic constant of YLR151c was 0.133 s−1, 100-fold lower than that of hMTH1 (12.3 s−1), but similar to the value for E.coli RibA (0.198 s−1). Therefore, the specific activity of YLR151c was 5.6 × 10−3 (μM−1 s−1), and was similar to that of RibA but 150-fold lower than that of hMTH1 (Table 1). These results indicate that our candidate YLR151c functions as a sanitizing enzyme for oxidized nucleotides such as 8-oxo-dGTP and 2-OH-dATP in vitro, and that its ability may contribute to prevention of spontaneous mutagenesis due to these oxidized nucleotides.
Table 1. The kinetic parameters of pyrophosphatase activity of YLR151c for 8-oxo-dGTP.
| Protein | Km (μM) | kcat (s−1) | kcat/Km (s−1 μM−1) |
|---|---|---|---|
| YLR151c | 23.8 | 0.133 | 5.6 × 10−3 |
| hMTH1a | 15.2 | 12.3 | 0.81 |
| RibAb | 30 | 0.198 | 6.6 × 10−3 |
Figure 10.
Lineweaver–Burk plots for pyrophosphatase activity of YRL151c-GST against 8-oxo-dGTP. The data were obtained from plots of the amount of monophosphate production versus time of reaction with various substrate concentrations (data not shown).
DISCUSSION
To prevent the mutagenic effect of oxidative DNA lesions caused by direct oxidation of DNA and by misincorporation of oxidized nucleotides during DNA synthesis, aerobic organisms have evolved various DNA repair enzymes for oxidized bases. The sanitizing enzymes for oxidized nucleotides may be critical for aerobes to inhibit misincorporation. In fact, pyrophosphatases for oxidized nucleotides such as MutT and its homologues have been isolated and characterized in various organisms from bacteria to mammals. However, in yeast, S.cerevisiae, the functional homologue of MutT has not yet been identified. In this study, we isolated a candidate for the MutT homologue in S.cerevisiae by searching for ORFs with a Nudix box.
Among several candidates obtained, we focused on YLR151c, which contains the Nudix box as well as a region with high similarity of amino acid sequence at the N-terminus to E.coli MutT. The genetic analysis indicated two observations: (i) the expression of YLR151c in E.coli strain almost completely suppressed the A:T to C:G transversions in E.coli caused by a deficiency in the mutT gene, and (ii) the yeast strain deficient in YLR151c had a moderate mutator phenotype, approximately 14-fold higher than the wild type. The biochemical analysis of the purified gene product fused with GST, gave us an important direct evidence to evaluate whether YLR151c acts as a sanitizing enzyme. The GST-YLR151c protein possesses obvious pyrophosphatase activity for both 8-oxo-dGTP and 2-OH-dATP, similar to hMTH1, whereas no pyrophosphatase activity for unoxidized nucleotides such as dGTP and dATP was detected. The results from both analyses suggested the possibility that YLR151c was involved in the prevention of spontaneous mutagenesis in both mutT-deficient E.coli cells and S.cerevisiae cells, by acting as a sanitizing enzyme for oxidative nucleotides.
The frequency of spontaneous mutation in the mutT mutant was 100- to 1000-fold higher than that in the wild type in a Lac+ reversion assay, and 10- to 100-fold higher even in a forward mutation assay (20,21), whereas that in the yeast YLR151c-deficient mutant was 14-fold higher (Figure 3). Compared to the case of E.coli mutT, the mutator phenotype seems to be weak in yeast deficient in YLR151c, if it acts as a sanitizing enzyme. There may be several explanations. The most reasonable one may be the difference in the mechanism of mutation fixation. In E.coli, when an 8-oxoG:A mispair is produced by the misincorporation of 8-oxo-dGTP into the opposite adenine, the MutY adenine glycosylase for the 8-oxoG:A mispair removes the correct adenine, causing fixation of the A:T to C:G transversions. Indeed, the frequency of spontaneous mutation in the mutY+ mutT− strain was reported to be higher than that in the mutY− mutT− strain (14). In S.cerevisiae, the homologue of E.coli MutY, or at least the enzyme that excises adenine from the 8-oxoG:A mispair, has not yet been identified. Thus, even though 8-oxo-dGTP is misincorporated opposite adenine in the template, it may not be serious for the cells, because the correct adenine may never be excised.
The other possibilities should also be considered, for example, in eukaryotes, various DNA repair mechanisms may be involved in prevention of mutagenesis due to misincorporation of oxidized nucleotides. The yeast homologue of endonuclease III, NTG1, and the mismatch repair, were reported to contribute to the removal of misincorporated oxidized nucleotides, preventing spontaneous mutagenesis (30–32). In the mice in vivo mutation analysis by using a reporter gene, rpsL of E.coli, net frequency showed no apparent increase in MTH1(−/−) mice as compared to MTH1(+/+) mice. And unlikely MutT-deficient E.coli showing 1000-fold higher frequency of A:T to C:G transversion than the wild-type cells, an increase in frequency of A:T to C:G transversion was not evident in MTH1 nullizygous mice (33). This may be due to involvement of backup enzymes and/or various DNA repair systems. It has not yet been excluded that the yeast (or other eukaryotic) replicative polymerases might possess high fidelity, and so the frequency of misincorporation of oxidized nucleotides would be lower than in E.coli.
The biochemical analysis revealed the in vitro pyrophosphatase activity of GST-YLR151c for 8-oxo-dGTP and 2-OH-dATP. Although the affinity of GST-YLR151c for 8-oxo-dGTP is 23.8 μM, which is relatively similar to that of hMTH1 and E.coli RibA (a backup enzyme of MutT), the kinetic parameter of specific activity (kcat/Km) is more than 100-fold lower than that of hMTH1, but similar to that of RibA. The purified protein we used for the analysis was not a native protein but a GST-fusion protein. The Nudix box and the region with high similarity to MutT are present in the N-terminus of YLR151c. Moreover, analyses of mutant MutT proteins induced by site-directed mutagenesis, have also revealed that there are several critical amino acids in the Nudix box in the N-terminus (34,35). Because in our GST-YLR151c construct, the GST protein is fused to the N-terminus of the YLR151c protein, GST may interfere with the enzymatic activity by masking the critical region. To clarify the effect of GST on the pyrophosphatase activity of YLR151c, we thus tried to remove GST from the fusion protein using Thrombin protease. However, we could not remove GST without denaturing the YLR151c protein. This is due to the digesting amino acid sequence for Thrombin protease in YLR151c. The partially digested mixture of YLR151c and GST-YLR151c seemed to have slightly higher pyrophosphatase activity for 8-oxo-dGTP than GST-YLR151c (data not shown).
We observed that expression of E.coli RibA was able to suppress the mutator phenotype of the mutT-deficient mutant to a similar extent to the case of YLR151c [(20), Figure 3]. Its disruption enhanced mutator phenotype of E.coli MutT-deficient mutant, although it did not affect spontaneous mutation in the mutT+ strain. We thus evaluated RibA as a backup enzyme for MutT. These results may support our assumption that YLR151c is a functional homologue for E.coli MutT in S.cerevisiae.
As mentioned in the Results section, yeast has five ORFs with the Nudix box. Some of these encode NADH pyrophosphatase, diadenosine tetraphosphate hydrolase, and ADP-ribose pyrophosphatase. ORFYLR151c was reported to be identical to the PCD1 gene, whose product has been characterized as a pyrophosphatase to cleave 3′-phosphoadenosine 5′-monophosphate from Coenzyme A (CoA) and its derivatives. The PCD1 protein is localized in peroxisome and has higher affinity for the oxidized CoA disulfide (Km = 24 μM) than CoA (Km = 280 μM). PCD1 may act to maintain the ratio of oxidized CoA disulfide to CoA. Thus these Nudix hydrolases may be involved in the elimination of toxic nucleotides (36). The affinity of GST-YLR151c for 8-oxo-dGTP was almost the same as that for the oxidized CoA disulfide. Thus, this protein would also be able to contribute to the elimination of mutagenic nucleotides.
E.coli MutT and human MTH1 indicate the pyrophosphatase activity for oxidized ribonucleotides as well (37,38). Our preliminary measurement showed that YLR151c has also the activity for 8-oxo-riboGTP (data not shown). Recently, mouse NUDT5 was isolated as a new type of pyrophosphatase, which can suppress the mutator phenotype of E.coli MutT-deficient cells (39). Interestingly, this has no detectable activity for 8-oxo-dGTP but can efficiently degrade 8-oxo-dGDP (39), suggesting the implication of oxidized nucleotide diphosphates in spontaneous mutagenesis. Therefore, a detailed characterization of YLR151c, especially substrate specificity, may be needed to understand the role of this enzyme in yeast cells.
All observations from both genetic and biochemical approaches described here clearly suggest that YLR151c has an ability to prevent spontaneous mutagenesis due to the misincorporation of oxidized nucleotides such as 8-oxo-dGTP and 2-OH-dATP, by acting as a sanitizing enzyme for oxidized nucleotides. This is the first finding that S.cerevisiae has pyrophosphatase activity for oxidized nucleotides, whose disruption causes mutator phenotype. We therefore conclude that YLR151c is one of the functional homologue of E.coli MutT in S.cerevisiae.
Acknowledgments
ACKNOWLEDGEMENT
This research was supported by Grant-in-Aid for Scientific Research from the Ministry of Education, Culture, Sports, Science and Technology, Japan.
REFERENCES
- 1.Fridovich I. (1983) Superoxide radical: an endogenous toxicant. Annu. Rev. Pharmacol. Toxicol., 23, 239–257. [DOI] [PubMed] [Google Scholar]
- 2.Kappus H. and Sies,H. (1981) Toxic drug effects associated with oxygen metabolism: redox cycling and lipid peroxidation. Experimentia, 37, 1233–1358. [DOI] [PubMed] [Google Scholar]
- 3.Farr S.B. and Kogoma,T. (1991) Oxidative stress responses in Escherichia coli and Salmonella typhimurium. Microbiol. Rev., 55, 561–585. [DOI] [PMC free article] [PubMed] [Google Scholar]
- 4.Ames B.N., Shigenaga,M.K. and Hagan,T.M. (1993) Oxidants, antioxidants, and the degenerative diseases of aging. Proc. Natl Acad. Sci. USA, 90, 7915–7922. [DOI] [PMC free article] [PubMed] [Google Scholar]
- 5.Demple B. and Harrison,L. (1994) Repair of oxidative damage to DNA: enzymology and biology. Annu. Rev. Biochem., 63, 915–948. [DOI] [PubMed] [Google Scholar]
- 6.Imlay J.A. and Linn,S. (1988) DNA damage and oxygen radical toxicity. Science, 240, 1302–1309. [DOI] [PubMed] [Google Scholar]
- 7.Shibutani S., Takeshita,M. and Grollman,A.P. (1991) Insertion of specific bases during DNA synthesis past the oxidation-damaged base 8-oxodG. Nature, 349, 431–434. [DOI] [PubMed] [Google Scholar]
- 8.Maki H. and Sekiguchi,M. (1992) MutT protein specifically hydrolyses a potent mutagenic substrate for DNA synthesis. Nature, 355, 273–275. [DOI] [PubMed] [Google Scholar]
- 9.Cheng K.C., Cahill,D.S., Kasai,H., Nishimura,S. and Loeb,L.A. (1992) 8-Hydroxyguanine, an abundant form of oxidative DNA damage, causes G–T and A–C substitutions. J. Biol. Chem., 267, 166–172. [PubMed] [Google Scholar]
- 10.Michaels M. and Miller,J.H. (1992) The GO system protects organisms from the mutagenic effect of the spontaneous lesion 8-hydroxyguanine (7,8-dihydro-8-oxoguanine). J. Bacteriol., 174, 6321–6325. [DOI] [PMC free article] [PubMed] [Google Scholar]
- 11.Bailly V., Verly,W.G., O'Connor,T. and Laval,J. (1989) Mechanism of DNA strand nicking at apurinic/apyrimidinic sites by Escherichia coli [formamidopyrimidine] DNA glycosylase. Biochem J., 262, 581–589. [DOI] [PMC free article] [PubMed] [Google Scholar]
- 12.Michaels M.L., Cruz,C., Grollman,A.P. and Miller,J.H. (1992) Evidence that MutY and MutM combine to prevent mutations by an oxidatively damaged form of guanine in DNA. Proc. Natl Acad. Sci. USA, 89, 7022–7025. [DOI] [PMC free article] [PubMed] [Google Scholar]
- 13.Au K.G., Clark,S., Miller,J.H. and Modrich,P. (1989) Escherichia coli mutY gene encodes an adenine glycosylase active on G–A mispairs. Proc. Natl Acad. Sci. USA, 86, 8877–8881. [DOI] [PMC free article] [PubMed] [Google Scholar]
- 14.Tajiri T., Maki,H. and Sekiguchi,M. (1995) Functional cooperation of MutT, MutM and MutY proteins in preventing mutations caused by spontaneous oxidation of guanine nucleotide in Escherichia coli. Mutat. Res., 336, 257–267. [DOI] [PubMed] [Google Scholar]
- 15.Nunoshiba T., Watanabe,T., Nakabeppu,Y. and Yamamoto,K. (2002) Mutagenic target for hydroxyl radicals generated in Escherichia coli mutant deficient in Mn- and Fe-superoxide dismutases and Fur, a repressor for iron-uptake systems. DNA Repair, 1, 411–418. [DOI] [PubMed] [Google Scholar]
- 16.Nunoshiba T., Obata,F., Boss,A.C., Oikawa,S., Mori,T., Kawanishi,S. and Yamamoto,K. (1999) Role of iron and superoxide for generation of hydroxyl radical, oxidative DNA lesions, and mutagenesis in Escherichia coli. J. Biol. Chem., 274, 34832–34837. [DOI] [PubMed] [Google Scholar]
- 17.Watanabe T., van Geldorp,G., Najrana,T., Yamamura,E., Nunoshiba,T. and Yamamoto,K. (2001) Miscoding and misincorporation of 8-oxo-guanine during leading and lagging strand synthesis in Escherichia coli. Mol. Gen. Genet., 264, 836–841. [DOI] [PubMed] [Google Scholar]
- 18.Lu A.L., Li,X., Gu,Y., Wright,P.M. and Chang,D.Y. (2001) Repair of oxidative DNA damage: mechanisms and functions. Cell Biochem. Biophys., 35, 141–170. [DOI] [PubMed] [Google Scholar]
- 19.Nakabeppu Y. (2001) Regulation of intracellular localization of human MTH1, OGG1, and MYH proteins for repair of oxidative DNA damage. Prog. Nucleic Acid Res. Mol. Biol., 68, 75–94. [DOI] [PubMed] [Google Scholar]
- 20.Kobayashi M., Ohara-Nemoto,Y., Kaneko,M., Hayakawa,H., Sekiguchi,M. and Yamamoto,K. (1998) Potential of Escherichia coli GTP cyclohydrolase II for hydrolyzing 8-oxo-dGTP, a mutagenic substrate for DNA synthesis. J. Biol. Chem., 273, 26394–26399. [DOI] [PubMed] [Google Scholar]
- 21.Cupples C.G. and Miller,J.H. (1989) A set of lacZ mutations in Escherichia coli that allow rapid detection of each of the six base substitutions. Proc. Natl Acad. Sci. USA, 86, 5345–5349. [DOI] [PMC free article] [PubMed] [Google Scholar]
- 22.Ramotar D., Kim,C., Lillis,R. and Demple,B. (1993) Intracellular localization of the Apn1 DNA repair enzyme of Saccharomyces cerevisiae. Nuclear transport signals and biological role. J. Biol. Chem., 268, 20533–20539. [PubMed] [Google Scholar]
- 23.Nunoshiba T. and Yamamoto,K. (1999) Role of glutathione on acrolein-induced cytotoxicity and mutagenicity in Escherichia coli. Mutat. Res., 442, 1–8. [DOI] [PubMed] [Google Scholar]
- 24.Bessman M.J., Frick,D.N. and O'Handley,S.F. (1996) The MutT proteins or ‘Nudix’ hydrolases, a family of versatile, widely distributed, ‘housecleaning’ enzymes. J. Biol. Chem., 271, 25059–25062. [DOI] [PubMed] [Google Scholar]
- 25.Yakushiji H., Maraboeuf,F., Takahashi,M., Deng,Z.S., Kawabata,S., Nakabeppu,Y. and Sekiguchi,M. (1997) Biochemical and physicochemical characterization of normal and variant forms of human MTH1 protein with antimutagenic activity. Mutat. Res., 384, 181–194. [DOI] [PubMed] [Google Scholar]
- 26.Jurczyk S.C., Kodra,J.T., Park,J.H., Benner,S.A. and Battersby,T.R. (1999) Synthesis of 2-deoxyisoguanosine 5-triphosphate and 2-deoxy-5-methylisocytidine 5-triphosphate. Helv. Chim. Acta, 82, 1005–1015. [Google Scholar]
- 27.Fujikawa K., Kamiya,H., Yakushiji,H., Fujii,Y., Nakabeppu,Y. and Kasai,H. (1999) The oxidized forms of dATP are substrates for the human MutT homologue, the hMTH1 protein. J. Biol. Chem., 274, 18201–18205. [DOI] [PubMed] [Google Scholar]
- 28.Fujii Y., Shimokawa,H., Sekiguchi,M. and Nakabeppu,Y. (1999) Functional significance of the conserved residues for the 23-residue module among MTH1 and MutT family proteins. J. Biol. Chem., 274, 38251–38259. [DOI] [PubMed] [Google Scholar]
- 29.Sakai Y., Furuichi,M., Takahashi,M., Mishima,M., Iwai,S., Shirakawa,M. and Nakabeppu,Y. (2002) A molecular basis for the selective recognition of 2-hydroxy-dATP and 8-oxo-dGTP by human MTH1. J. Biol. Chem., 277, 8579–8587. [DOI] [PubMed] [Google Scholar]
- 30.Bruner S.D., Nash,H.M., Lane,W.S. and Verdine,G.L. (1998) Repair of oxidatively damaged guanine in Saccharomyces cerevisiae by an alternative pathway. Curr. Biol., 8, 393–403. [DOI] [PubMed] [Google Scholar]
- 31.Earley M.C. and Crouse,G.F. (1998) The role of mismatch repair in the prevention of base pair mutations in Saccharomyces cerevisiae. Proc. Natl Acad. Sci. USA, 95, 15487–15491. [DOI] [PMC free article] [PubMed] [Google Scholar]
- 32.Yang Y., Karthikeyan,R., Mack,S.E., Vonarx,E.J. and Kunz,B.A. (1999) Analysis of yeast pms1, msh2, and mlh1 mutators points to differences in mismatch correction efficiencies between prokaryotic and eukaryotic cells. Mol. Gen. Genet., 261, 777–787. [DOI] [PubMed] [Google Scholar]
- 33.Egashira A., Yamauchi,K., Yoshiyama,K., Kawate,H., Katsuki,M., Sekiguchi,M., Sugimachi,K., Maki,H. and Tsuzuki,T. (2002) Mutational specificity of mice defective in the MTH1 and/or the MSH2 genes. DNA Repair, 3, 881–893. [DOI] [PubMed] [Google Scholar]
- 34.Shimokawa H., Fujii,Y., Furuichi,M., Sekiguchi,M. and Nakabeppu,Y. (2000) Functional significance of conserved residues in the phosphohydrolase module of Escherichia coli MutT protein. Nucleic Acids Res., 28, 3240–3249. [DOI] [PMC free article] [PubMed] [Google Scholar]
- 35.Harris T.K., Wu,G., Massiah,M.A. and Mildvan,A.S. (2000) Mutational, kinetic, and NMR studies of the roles of conserved glutamate residues and of lysine-39 in the mechanism of the MutT pyrophosphohydrolase. Biochemistry, 39, 1655–1674. [DOI] [PubMed] [Google Scholar]
- 36.Cartwright J.L., Gasmi,L., Spiller,D.G. and McLennan,A.G. (2000) The Saccharomyces cerevisiae PCD1 gene encodes a peroxisomal nudix hydrolase active toward coenzyme A and its derivatives. J. Biol. Chem., 275, 32925–32930. [DOI] [PubMed] [Google Scholar]
- 37.Taddei F., Hayakawa,H., Bouton,M., Cirinesi,A., Matie,I., Sekiguchi,M. and Radman,M. (1977) Counteraction by MutT protein of transcriptional errors caused by oxidative damage. Science, 278, 128–130. [DOI] [PubMed] [Google Scholar]
- 38.Fujikawa K., Kamiya,H., Yakushiji,H., Nakabeppu,Y. and Kasai,H. (2001) Human MTH1 protein hydrolyzes the oxidized ribonucleotide, 2-hydroxy-ATP. Nucleic Acids Res., 29, 449–454. [DOI] [PMC free article] [PubMed] [Google Scholar]
- 39.Ishibashi T., Hayakawa,H. and Sekiguchi,M. (2003) A novel mechanism for preventing mutations caused by oxidation of guanine nucleotides. EMBO Rep., 4, 479–483. [DOI] [PMC free article] [PubMed] [Google Scholar]









