Abstract
An overlooked aspect of disease ecology is considering how and why animals come into contact with one and other resulting in disease transmission. Mathematical models of disease spread frequently assume mass-action transmission, justified by stating that susceptible and infectious hosts mix readily, and foregoing any detailed description of host movement. Numerous recent studies have recorded, analysed and modelled animal movement. These movement models describe how animals move with respect to resources, conspecifics and previous movement directions and have been used to understand the conditions for the occurrence and the spread of infectious diseases when hosts perform a type of movement. Here, we summarize the effect of the different types of movement on the threshold conditions for disease spread. We identify gaps in the literature and suggest several promising directions for future research. The mechanistic inclusion of movement in epidemic models may be beneficial for the following two reasons. Firstly, the estimation of the transmission coefficient in an epidemic model is possible because animal movement data can be used to estimate the rate of contacts between conspecifics. Secondly, unsuccessful transmission events, where a susceptible host contacts an infectious host but does not become infected can be quantified. Following an outbreak, this enables disease ecologists to identify ‘near misses’ and to explore possible alternative epidemic outcomes given shifts in ecological or immunological parameters.
This article is part of the themed issue ‘Opening the black box: re-examining the ecology and evolution of parasite transmission’.
Keywords: animal movement, random walks, Levy walks, contact process, epidemic threshold, disease spread
1. Introduction
Animal movement is essential for many ecological processes such as foraging, escaping from predators and finding a mate or new habitats. Movement determines the spatio-temporal distribution of populations, plays a major role in encounters between individuals [1–6] and in turn affects the magnitude of ecological processes and the dynamics of interacting populations [7,8]. In disease ecology, the transmission of many infectious diseases requires ‘contact’ between a susceptible and an infectious host. This contact process is traditionally modelled in a phenomenological fashion with few details on how and why individuals come into contact with one another [9–13]. These traditional approaches assume homogeneous mixing of susceptible and infectious hosts and the spatial proximity between individuals is not explicitly acknowledged in disease transmission process. Although these traditional models have significantly contributed to understanding the conditions for epidemic occurrence [14], their spatial extension is necessary for capturing both the spatial and the temporal dynamics of infectious diseases [15,16].
During the past five decades, recording individual animal movement has been facilitated by Global Positioning Systems (GPS) and telemetry technology [17,18]. The a posteriori description obtained from successive positions data provides information about animal movement patterns, but contains limited information on why animals move as they do [8]. During the same period, many mathematical models have been developed with details on how individual animals move towards resources (for example, food, habitat and mates). In these models, individual movement follows specific rules describing movement direction, turning frequency and velocity, reflecting the resource distribution and how informed the mover is about resource locations [19–21]. This detailed individual-based behaviour can be translated into a partial differential equation (PDE), describing the spatio-temporal distribution of the population ([22], see table 1 for the definition of the abbreviations and symbols used in this paper). Some models conserve the individual description (Lagrangian approach), whereas others focus on population-level consequences of these movement rules (Eulerian approach). These two approaches have been reviewed in detail in Smouse et al. [36].
Table 2.
Summary of different movement types, model formulations and the corresponding epidemic threshold, R0. Model abbreviations and parameters are defined in table 1.
| model formulation | spatially heterogeneous β and γ | movement type | R0 | references |
|---|---|---|---|---|
| reaction–diffusion SI model | no | URWs |
, does not depend on movement parameters |
[23–25] |
| reaction–diffusion SIR model | no | URWs |
, does not depend on movement parameters |
[26–28] |
| host–vector epidemic model | no/yes (numerically) | URWs |
, depends on movement parameters for spatially heterogeneous βw and βh
|
[29] |
| reaction–diffusion SIS model | yes | URWs | ![]() |
[30–32] |
| advection–diffusion SI model | no | BRWs |
, does not depend on movement parameters |
[33] |
| IBM SIR model | no | URWs, LWs |
, σc is affected by movement parameters |
[34,35] |
Table 1.
List of abbreviations and symbols used in the main text.
| abbreviations/symbols | definitions |
|---|---|
| movement models | |
| BCRW | biased correlated random walk |
| BRW | biased random walk |
| CRW | correlated random walk |
| LW | Levy walk |
| URW | uncorrected random walk |
| epidemic models | |
| IBM | individual-based model |
| PDE | partial differential equation |
| SI | compartmental susceptible–infected model |
| SIR | compartmental susceptible–infected–removed model |
| SIS | compartmental susceptible–infected–susceptible model |
| movement parameters | |
| CI | advection rate of infectious hosts |
| CS | advection rate of susceptible hosts |
| DI | the diffusion coefficient of infectious hosts |
| DS | the diffusion coefficient of susceptible hosts |
| l | the degree of host movement between habitats |
| epidemic parameters | |
| β | disease transmission coefficient |
| βi | the transmission coefficient for a defined habitat (i = 1, 2, 3, …) |
| β*h | spatially homogeneous vector–host transmission rate |
| β*w | spatially homogeneous host–vector transmission rate |
| c | the speed of disease spread |
| c0 | the critical speed for disease propagation |
| d | natural host mortality rate |
| dw | natural vector mortality rate for the host–vector model in table 2 |
| dh | natural host mortality rate for the host–vector model in table 2 |
| γ | host recovery rate |
| γi | host recovery rate for a defined habitat (i = 1, 2, 3, …) |
| I0 | the initial density/number of infectious hosts |
| Kt | the critical carrying capacity of host population for epidemic occurrence |
| λ | the probability of infection given a contact |
| μ | disease-induced host mortality rate |
| μw | disease-induced vector mortality rate for the host-vector model in table 2 |
| μh | disease-induced host mortality rate for the host-vector model in table 2 |
| N | total host population size |
| pj | probability that a host performs a long ‘distance jump’ into a random location |
| R0 | the expected number of secondary cases generated by a primary case in a completely susceptible host population (an epidemic occurs if R0 > 1) |
| S0 | the initial density/number of susceptible hosts or the critical host population density for epidemic occurrence |
| W*1 | density of susceptible vector population |
| ww | the incubation period of the parasite within vector individuals |
| wh | the incubation period of the parasite within host individuals |
Different types of animal movement are uncorrelated, correlated, biased random walks (URW, CRW, BRW) and Levy walks (LWs). These models have been applied to ecological problems such as predator–prey dynamics [37–39] and biological invasions [40,41] and have long attracted the interest of disease ecologists. The growing interest for these models in disease ecology is due to the following reasons. Firstly, in contrast with traditional epidemic models [9–12], the spatio-temporal distribution of the host population and the pattern of contacts between individuals emerges from individual movement rules rather than being simply homogeneous. For this reason, epidemic models with explicit individual movement are termed mechanistic, in contrast with traditional epidemic models, which are phenomenological. Secondly, epidemic thresholds, in particular the basic reproduction number (R0), which is the expected number of secondary cases generated by a primary case in a completely susceptible population [12], depend on the density of the host population and the transmission rate including the host–host contact rate. Therefore, spatio-temporal distributions and contact patterns resulting from different types of animal movement might affect the spread of infectious diseases. In this paper, we review theoretical studies that account for mechanistic animal movement in disease ecology. Our objective is to summarize the effect of different types of animal movement on threshold conditions for disease spread.
2. The mass-action law
In disease ecology, any parasite transmission opportunity is considered a contact. Examples of contacts are a sexual contact between two partners for sexually transmitted diseases, a vector biting a host for vector-borne diseases and touching, and exposure to aerosols emitted by another individual for directly transmitted diseases. The relationship between animal movement rules (how and why animals move) and the contact process is poorly understood (but see [42]). The formulation of the contact process for traditional models and directly transmitted diseases is generally based on two main assumptions. First, at every point in time, it is assumed that each individual has the same chance of making a contact with any other individual in the population. This is the so-called ‘homogeneous mixing’ assumption, which is a simplification aiming to keep the analysis of the mathematical equations tractable. Second, at any point in time, a fraction of these contacts are assumed to lead to the transmission of the disease. This is the so-called mass-action law, which means that the total number of infectious contacts per unit of time increases with the densities of susceptible and infectious individuals [43,44]. In the next sections we ask, when a type of movement is explicitly considered in the epidemic model, does the mass-action law hold?
3. Epidemics when host movement is random
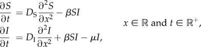
The ‘uncorrelated random walk’ (URW) is considered as the starting point for animal movement models in ecology. It describes the non-persistent movement of an animal in a homogeneous environment (for example, a homogeneous food distribution). When performing the URW, an individual executes independent successive steps at a constant speed and turns in each direction with the same probability because it has no a priori information about the location of food. A sample movement path for an animal performing a URW is shown in figure 1a. Over large spatial scales, a population of non-interacting individuals exhibiting such movement rules diffuses with time [45,46]. Using mark–recapture data from field studies, it has been shown that the foraging movement in some insect species reflects the URW when the food is homogeneously distributed [47–49]. Accounting for the URW of host individuals in a Kermack–McKendrick epidemic model gives a system of PDEs of the following form:
![]() |
3.1 |
where I(x, t) and S(x, t) are the densities of infectious and susceptible individuals, respectively, at location x at time t. The diffusion terms (
and
) represent the URW of susceptible and infectious individuals and the remaining terms (called the reaction terms) are infection and disease-induced host mortality at each location. The parameters DI and DS represent the diffusion coefficients of infectious and susceptible individuals and β and μ represent the transmission coefficient and disease-induced host mortality rate (respectively). The diffusion coefficient is a measure of how far a moving individual travels on average from its initial location during a fixed period of time (for details on how the diffusion coefficients can be estimated, see [50]). Assuming that the initial density of susceptible individuals is the same everywhere, S(x, 0) = S0, and the disease is locally introduced, I(x, 0) = I0(x), Hosono & Ilyas [23] showed that if S0<μ/β, then the disease dies out. By contrast, if S0>μ/β, then the disease spreads outward from the point of introduction as a travelling wave with a speed of propagation, c, satisfying
. First, it can be noticed that the epidemic threshold, given by the system (3.1), is independent of the movement parameters and is exactly the basic reproduction number given by traditional epidemic models [9,14]. This result suggests that the occurrence of an epidemic might be independent of the URW of host individuals. Second, the pattern of spatial spread of the disease exhibited by the system (3.1) is not captured by traditional models, and it can be noticed that the critical speed for disease propagation, c0, increases with DI. This suggests that the spatial spread of a disease, when it occurs, might depend on the URWs of infectious individuals. Similar results have been found for the spatial spread of rabies in the red fox (Vulpes vulpes), where only infectious individuals are assumed to be moving [24,25,50]. In recent studies, the system (3.1) has been modified by considering an incubation period [26,28] and non-local [27], nonlinear [26,28] and frequency-dependent infections [51]. The inclusion of the above factors did not change the main conclusion, which is that the threshold condition for the occurrence of an epidemic is independent of the URW of host individuals. Given that traditional epidemic models assume the mass-action law and that the basic reproduction number is the same for models assuming a URW, at least from the perspective of the basic reproduction number, a URW may be consistent with the mass-action assumption. We simulated a URW and compared the rate of new infections with the rate assumed by the mass-action law. The simulation results suggested that the rate of new infections for a population performing a URW is consistent with the mass-action law model formulation (figure 2). The code used for the simulation is available as electronic supplementary material, S1 Code.
Figure 1.
Examples illustrating simulated URWs (a), BRWs (b) and LWs (c) of a single individual in two spatial dimensions. For the URWs, the individual chooses its movement direction and angle from a uniform distribution and moves a constant step at each time (pr = pl and 1−pr−pl is the probability of waiting). For the BRWs, we set the probability distribution of the movement directions such that the individual is more likely to move left (pl > pr and 1 − pr – pl is the probability of waiting). For the LWs, the individual chooses its movement direction and the angle from a uniform distribution but the step length is chosen from a heavy-tailed distribution (Pareto distribution with infinite variance). For each simulated type of movement, the mean step length is equal.
Figure 2.

The number of infectious contacts per unit of time as a function of the number of infectious individuals when hosts perform URWs (red), BRWs (blue) and LWs (green curve). The circles represent the simulated epidemic data and the curves represent the fit of the mass action law to the simulation data. For the simulations, we use an SI model with no recovery and no disease-induced mortality. We assumed that an infectious contact occurs when the distance between a susceptible and an infectious individual is less than the interaction radius, r = 1, and the probability of disease transmission given a contact is 1. Thus, the total number of infections per unit of time is exactly the total number of infectious contacts per unit of time. We initially set the number of infectious individuals to 0.1% of the total host population, which is S + I = N = 1000, and results are averaged over 30 runs for each simulated model. Under the mass-action law, the number of infections per unit of time is given by βI (N−I), which is a quadratic function with one unknown parameter, β. To estimate β, we used the nonlinear least-squares method. The estimated values of β (with 95 % confidence intervals in the parentheses) are 3.9×10−5 ([3.971×10−5, 3.977×10−5] for URW), 4.1×10−5 ([4.180×10−5, 4.186×10−5] for BRW) and 7.1×10−5 ([7.096×10−5, 7.104×10−5] for LW). For all model fits R2 = 0.999.
For all of the studies where the basic reproduction number was found to be independent of the diffusion coefficient, the epidemiological parameters (especially β, μ and γ, where γ is the recovery rate) as well as the movement parameters (DI and DS) were assumed to be spatially homogeneous. Wang & Zhao [29] proposed a reaction–diffusion model for a dengue fever epidemic with spatially dependent transmission rates (modelled using a periodic function) and non-local and delayed transmission (i.e. infections at a given location at a given time result from contacts at different locations at an earlier time). The results of this study showed that the occurrence of a dengue fever epidemic is independent of the URW of the host (human) and the vector (mosquito) only when the transmission rates are spatially homogeneous. In the case where the transmission rates are spatially heterogeneous, the derivation of an analytical expression for R0 is more complex, but using numerical methods Wang & Zhao [29] showed that R0 decreases with increasing values of the diffusion coefficients for host and vector. This result suggests that the less distance the vector and the host travel on average (when exhibiting URWs) the higher the risk of occurrence of a dengue fever epidemic. Moreover, several other studies investigated the epidemiological dynamics of susceptible–infected–susceptible (SIS) reaction–diffusion models with spatially heterogeneous transmission and recovery rates [30–32]. In these studies, a location, x, is defined as high-risk when the transmission rate is greater than the recovery rate (β(x) > γ(x)), otherwise it is a low-risk location. Similarly, if the sum over the spatial domain of local transmission rates is less than or equal to the sum of local recovery rates, then it is a low-risk domain, otherwise it is a high-risk domain [30,32]. For a special case (DS = 0), Allen et al. [30] derive an analytical expression for R0 for two adjacent habitats and showed that the occurrence of an epidemic depends on the epidemiological characteristics of the domain and the diffusion coefficient of infectious individuals, DI. In effect, in a high-risk domain, an epidemic occurs (R0>1) no matter the value of DI. By contrast, in a low-risk domain, an epidemic occurs only if DI is lower than a threshold diffusivity denoted D*. This result suggests a relationship between the occurrence of the epidemic and the diffusive movement of host individuals. In addition, Peng [31] and Peng & Liu [32] investigated the cases where susceptible individuals move more or less rapidly (DS tends to 0 or ∞). These studies found that the extinction or the persistence of the epidemic depends on the epidemiological characteristics of the domain and the diffusion coefficients. However, epidemiological parameters (transmission and recovery rates) may vary not only spatially but also temporally due to seasonality. In order to fill this gap, Peng & Zhao [52] incorporated spatially heterogeneous and temporally periodic epidemiological parameters to the reaction–diffusion epidemic model proposed by Allen et al. [30]. Their results reveal that if the domain is high risk or there is at least a high-risk location in the domain and if the diffusion coefficient of infectious individuals (DI) tends to zero, then an epidemic occurs. By contrast, if DI is very high and if the domain is low risk, then the disease dies out.
In summary, it appears that when epidemiological parameters (transmission and recovery rates) are the same everywhere, the diffusion coefficient of infectious individuals (DI) affects the speed of disease propagation once it occurs but not the occurrence of the disease itself (table 1). By contrast, when epidemiological parameters are spatially heterogeneous, the URW of host individuals can affect the occurrence of an epidemic (R0) via diffusion coefficients.
4. Epidemics when host movement direction is biased or temporally autocorelated
The URW model assumes that successive steps moved by an individual are temporally independent. Including correlation between the direction of successive steps allows movement in a same direction relative to the previous one. This type of movement is termed the ‘correlated random walk’ (CRW) and illustrates that the mover is informed about the location of food, prey or mate [53,54]. Empirical support for CRWs have been found in the oviposition movement of butterflies [55], the foraging movement in bees [56] and relatively short time scale movement of caribou [57] and pea aphids [58]. Furthermore, for both URWs and CRWs, the movement direction is chosen from a uniform distribution. When the URW or the CRW is more likely in a given direction (the movement direction is chosen from a non-uniform distribution), the resulting movement is a ‘biased random walk’ (BRW) or a ‘biased correlated random walk’ (BCRW) [22]. Biased walks reflect a directed movement towards a specific point such as a foraging place or home and a sample movement path for an individual performing a BRW is shown in figure 1b. Moreover, other models such as CRWs with heterogeneous distribution of resources and interactions between conspecifics have been developed and are appropriately reviewed in Okubo & Günbaum [54] and Codling et al. [22].
Including BRWs of hosts into a Kermack–McKendrick epidemic model gives a system of PDEs of the following form:
![]() |
4.1 |
where CS and CI represent the advection rates of susceptible and infectious individuals, respectively, and describe the speed of directed movement towards the focal point. The system (4.2) involves two components of individual movement. The random movement of susceptible and infected individuals represented by the diffusion terms (
and
) and the directed movement of susceptible and infected individuals towards the focal point represented by the advection terms (
and
). The remaining terms (called the reaction terms) are infection and disease-induced host mortality at each location. The focal point can be a fixed foraging location where food is more available, a den for animals such as foxes and badgers, or a workplace for humans. Beardmore & Beardmore [33] investigated the system (4.1) on a bounded domain (x ∈ [0, 5]) and showed that S0 > μ/β is a sufficient condition for the occurrence of an epidemic when host movement is biased. This result suggests that the occurrence of an epidemic might not depend on how host individuals move towards a preferred location. In addition, we performed numerical simulations and show that the rate that new infections occur for a population of individuals undergoing a BRW is consistent with the mass-action law assumed by traditional epidemic models (figure 2). The code used for the simulation is available as electronic supplementary material, S2 Code.
In comparison with reaction–diffusion epidemic models, relatively few studies investigated the relationship between advection parameters and the pattern of spatial spread of infectious diseases [59,60], and we are not aware of any studies that have determined if advection parameters affect R0 for spatially heterogeneous epidemiological parameters and environments. Finally, while analyses of movement data suggest CRWs as a possible model of animal movement, to date, no epidemiological models that consider host movement as a CRW have been investigated (for a mathematical formulation of the CRW model see [61]).
Our discussion in §§3 and 4 has focused on PDE models, however, host movement may also be formulated mechanistically as an integro-differential equation. Under this formulation, movement from a location y to a location x is assumed to follow a probability density function specified by a kernel. This movement kernel might be skewed in a particular direction representing movement similar to a BRW. The theoretical framework as well as the epidemiological dynamics of integro-differential epidemic models are appropriately reviewed in Medlock & Kot [62] and Ruan [63]. Similar to PDE-based epidemic models, there exists a critical velocity c0 above which the disease spreads as a travelling wave from its introduction point. Medlock & Kot [62] showed that the expression for c0 depends on the choice of the kernel and c0 is a function of the movement coefficients of host individuals. However, Medlock & Kot [62] did not report any relationship between the disease outbreak itself (R0 > 1) and the movement of host individuals or the choice of the kernel.
5. Epidemics when host individuals are discrete
In contrast with PDE-based models, individual-based models (IBMs) focus on a Lagrangian description of animal movement. For IBMs, host individuals are represented as discrete entities (the size of the total host population is a whole number) and each host is associated with a specific location, whereas hosts are represented as densities in PDE-based models (figure 3). In the IBM formulation, at each time, the location of every individual is updated following a set of movement rules [64,65]. In addition, the infection process is described using a set of rules governing contacts between individuals and the transmission of the disease. An epidemiological status (for example, susceptible or infectious) is attributed to each individual at each point in time. During an increment of time, a susceptible individual can become infected when it interacts with an infectious individual at a spatial location. An interaction radius, r, is defined and determines the spatial proximity required for potential infections. Thus, for IBM models, the total number of infections at a time t depends on the total number of nearby susceptible and infectious hosts, whereas for PDE-based models the total number of infections within a small vicinity of the space at a time t is function of the densities of susceptible and infectious individuals on the interval (figure 3; for a detailed description of an IBM epidemic model see [34]).
Figure 3.
The population size and infectious contacts for PDE models (a, c) and IBMs (b, d). For PDEs, the number of individuals on an interval x0 to x0 + Δx at a time t is given by the integral of the population density N(x, t) over the interval (
). The population size at each time is given by a probability distribution (a). By contrast, for IBMs individuals are discrete, the population size is represented by a whole number and each individual has a specific location at a given time (b). For PDEs, the number of infectious contacts on an interval x0 to x0+Δx at time t is given by the integral of the product of susceptible and infectious densities on the interval (
) (c). By contrast, for IBMs, an interaction radius is defined because no two individuals will ever be located at exactly the same location at the same time. A contact occurs when two individuals fall in this interaction radius. The total number of infectious and susceptible individuals in spatial proximity determines the number of infectious contacts at a given time. As shown in (d), the interaction radius is Δx and a contact occurs on the interval x0−Δx to x0.
(a). Uncorrelated random walks
Buscarino et al. [35] considered an IBM epidemic model in two spatial dimensions, where host individuals exhibit URWs and can perform long distance jumps to a random location with probability pj. In the special case where pj = 1 (host individuals perform only long distance jumps) the population mixes at random and the contact process is homogeneous. For this limiting case, an explicit expression for the epidemic threshold can be obtained and is given by λ/γ > σc where, σc = 1/πr2S0 and thus, S0 > γ/λπr2 (λ is the probability of becoming infected given a contact, S0 is the initial density of susceptible hosts and γ is host recovery rate). This epidemic threshold is equivalent to the one obtained from traditional epidemic model where β = λπr2. Buscarino et al. [35] then investigated the relationship between the movement rules (URWs with different pj) and σc, and found that for similar S0, σc decreases with pj. This result suggests that an epidemic is less likely when individuals exhibit URWs (pj = 0) compared with long distance jumps (pj = 1). In effect, long distance jumps may enhance the mixing process, and consequently promote the occurrence of an epidemic. However, this effect is less pronounced as S0 becomes large and the epidemic threshold no longer depends on pj.
(b). Levy walks
Animal movement patterns can be described as clusters of short step lengths connected by persistent-like movement, reflecting a shift between intense and less intense search modes. This movement behaviour is termed an LW and is considered to be an efficient foraging strategy when food is rare and randomly distributed [66]. A sample movement path for an individual performing an LW is shown in figure 1c. LWs have been reported in many species and ecological phenomena including the foraging movement of spider monkeys [67], the daily movement pattern of humans [68] and the hunting–gathering movement of humans [69]. For a complete review of LWs in movement ecology and its status as efficient foraging strategy see Reynolds [70] and Pyke & Giuggioli [71]. Buscarino et al. [72] modified the model proposed earlier in Buscarino et al. [35] (see §4a) by considering an LW of host individuals and compared the risk of disease outbreak for URWs and LWs. They showed that for similar S0 a disease outbreak may be more likely in a population of ‘Levy walkers’ compared with a population of ‘uncorrected random walkers’. Few studies have investigated epidemics in populations where individuals perform an LW; however, the numerical simulations in figure 2 illustrate that the mass-action assumption is consistent with the contact rate arising from LW movement. The code used for the simulation is available as electronic supplementary material, S3 Code.
In summary, the above IBM-based epidemic models (§§5a and 5b) suggest that the type of movement performed by host individuals may affect the critical quantity σc at least for relatively low population sizes [34,35,72]. However, using an IBM framework, the analysis is often restricted to a quantitative description of the epidemiological dynamics. In particular, deriving an analytical expression for the epidemic threshold, R0, and a solution describing the spatial spread of the disease are mathematically challenging. The quantity σc derived in these studies does not involve movement parameters and it appears difficult to conclude that the type of movement performed by host individuals affects the epidemic threshold.
The effect of host movement on the spread of infectious diseases has also been studied using contact network models. In these models, a type of host movement is implicitly acknowledged and the contact structure of the population is explicitly modelled using networks. The nodes of the network represent either host individuals or neighbourhoods, and the edges represent connections between individuals or neighbourhoods, which is possible through movement. This class of model is appropriately reviewed in Keeling & Eames [73] and Brauer [74] and will not be discussed in this paper.
6. Case study: rabies
Rabies is a viral infection that spreads mainly within wild carnivores including the red fox (V. vulpes), the arctic fox (V. lagopus), raccoons (Procyon lotor) and domestic carnivores such as dogs (Canis familiaris) and cats (Felis catus). The virus is present in the saliva of rabid hosts, is transmitted through direct contacts (especially bites), has a particularly long incubation period of between 12 and 150 days, and ultimately kills its host. Rabies causes a random-like movement when it affects the central nervous system of foxes [75–77]. During the 1980s, particular attention was payed to the inclusion of animal movement (especially random movement of rabid foxes) in the mathematical models of rabies spread [78]. Reaction–diffusion models have been mainly used to capture the spatial spread of rabies in the red fox in Western Europe as well as the arctic fox and raccoons in North America. In this section, we summarize some important results of these studies, their relationship with field data and some control measures implemented using these models.
Murray et al. [50] proposed a reaction–diffusion model for the rabies epizootic that occurred in central Europe during the 1940s. The model assumes that rabies is transmitted among fox populations with density-dependent growth. Susceptible foxes are considered territorial and are assumed to be homogeneously distributed. Rabid foxes move randomly, travel far away from their den and may infect susceptible individuals they encounter during their wanderings. Murray et al. [50] found that the occurrence of rabies epizootic depends on a critical carrying capacity of fox populations, Kt, analogous to the critical density S0 for traditional models that use different demographic assumptions. This critical carrying capacity is independent of the diffusion coefficient, which is consistent with the finding that R0 is independent of movement parameters reported in §3. If the carrying capacity of the fox population K is greater than the critical carrying capacity Kt, then the disease spreads outwards from the endemic location to disease-free locations as a travelling wave at a critical speed of propagation
(where z is the unique root of a cubic function). From the expression for c0, it can be noticed that the speed at which rabies spreads increases with the diffusion coefficient of rabid foxes. Moreover, it has been shown that the front of the wave, representing the first passage of rabies epizootic at a location, is followed by an oscillatory tail suggesting periodic outbreaks after the first passage. The front of the wave is characterized by a severe epizootic with a high number of foxes dying from rabies, whereas each following outbreak is less severe than the previous one. A similar model assuming exponential growth for fox populations exhibits the same qualitative behaviour, which has been shown to agree with field data [25]. Furthermore, Murray et al. [50] have estimated that DI is between 50 km2 yr−1 and 330 km2 yr−1 using different data sources and methods. Varying DI in this interval and keeping all the other parameters constant, the speed of the epidemic increases by a factor of 2.6. In addition, Murray et al. [50] showed that for DI = 200 km2 yr−1 and fixing the fox population carrying capacity at 2 km−2, rabies spreads at a velocity c = 51 km yr−1.
The above reaction–diffusion framework has been used for the implementation and the evaluation of rabies control measures. Murray et al. [50] suggested that the spatial propagation of rabies can be ‘broken’ by reducing the density of susceptible foxes below the persistence threshold Kt before the wave reaches a disease-free area. The width of the break region, which depends on the initial fox density and the lifespan of rabid foxes, must be properly estimated in order to stop rabies from crossing the break region. However, the results of Källén et al. [25] and Murray et al. [50] do not account for environmental heterogeneity (resources and landscape) and spatially heterogeneous epidemiological parameters. In particular, landscape heterogeneity can play a major role in the spatial spread of rabies [78]. For example, an immigration-based model for the spatial spread of rabies in raccoons across heterogeneous landscapes has revealed that large rivers can reduce the speed of propagation of rabies by sevenfold [79]. In addition, the theoretical studies described in §3 suggest that conclusions based on threshold quantities for a disease outbreak may be sensitive to assumptions of environmental homogeneity.
7. Concluding remarks and perspectives
Overall, including the URWs of host individuals in disease models reveals that the diffusion coefficients (DS and DI) affect the threshold condition for epidemic occurrence, R0, only when epidemiological parameters (the transmission and the recovery rates) are spatially heterogeneous (table 1). An effect of host movement on R0 was expected because how host individuals move affects the distribution of susceptible and infected individuals and the contact process which is represented by βSI in a mass-action model formulation. It is surprising, however, that spatially heterogeneous transmission and/or recovery rates are required for the epidemic occurrence (R0) to be affected by diffusion coefficients. Frequently, when the law of mass action is assumed, it is stated that this assumption implies homogeneous mixing; however, the types of movement that are consistent with a mass-action model formulation may be much more general. We reviewed epidemiological studies that considered animals moving following URWs, BRWs and LWs and found limited evidence that the threshold for a disease outbreak was affected by the type of host movement (table 1). In addition, numerical simulations suggested that each of these three movement types (URWs, BRWs and LWs) produces an infection rate consistent with the infection rate assumed by the law of mass action (figure 2). Despite the failure of animal movement models to affect the threshold condition for a disease outbreak there are several reasons why considering animal movement in epidemic models is useful. We suggest the following promising directions for future research:
(1) The formulation of a mechanistic sub-model for the contact process in order to understand how different types of animal movement affect the mixing process for disease transmission.
(2) The development of PDE-based epidemic models with underlying individual movement such as CRWs, BCRWs and LWs in order to investigate the effect of more realistic movement rules on disease spread. CRW, BCRWs and LW models are prevalent in the animal movement literature, but few epidemic models consider these types of movement.
(3) The development of epidemic models that consider spatially dependent diffusion coefficients in order to investigate the spread of infectious diseases in non-homogeneous environments and landscapes.
(4) Finally, the coupling of telemetry-derived and epidemiological data to parametrize and validate epidemiological models, and the development of robust statistical tools to achieve this goal. In particular, if the contact rate could be estimated from GPS data then it is more likely that the probability of an infection given a contact could be estimated from epidemic data. This is valuable because it would help to estimate the prevalence of ‘near misses’ occurring during an outbreak. Near misses are contacts that did not result in infection, and it may be useful to explore alternative epidemic scenarios based on instances where near misses are instead realized.
Supplementary Material
Supplementary Material
Supplementary Material
Acknowledgments
The authors thank the reviewers for their comments and suggestions on the original manuscript.
Funding
A.H. was supported by an NSERC Discovery Grant and was inspired by discussions at the British Ecological Society Transmission Retreat in Tregynon, UK.
References
- 1.Preston MD, Forister ML, Pitchford JW, Armsworth PR. 2015. Impact of individual movement and changing resource availability on male–female encounter rates in an herbivorous insect. Ecol. Complex. 24, 1–13. ( 10.1016/j.ecocom.2015.07.004) [DOI] [Google Scholar]
- 2.Ims RA. 1995 Movement patterns related to spatial structures. In Mosaic landscapes and ecological processes, pp. 85–109. Dordrecht, Netherlands: Springer.
- 3.Turchin P. 1991. Translating foraging movements in heterogeneous environments into the spatial distribution of foragers. Ecology 72, 1253–1266. ( 10.2307/1941099) [DOI] [Google Scholar]
- 4.Swingland IR, Greenwood PJ. 1983. The Ecology of animal movement. Oxford, UK: Clarendon Press. [Google Scholar]
- 5.Cronin JT. 2003. Movement and spatial population structure of a prairie planthopper. Ecology 84, 1179–1188. ( 10.1890/0012-9658(2003)084%5B1179:MASPSO%5D2.0.CO;2) [DOI] [Google Scholar]
- 6.Barry J, Newton M, Dodd JA, Hooker OE, Boylan P, Lucas MC, Adams CE. 2016. Foraging specialisms influence space use and movement patterns of the European eel Anguilla anguilla. Hydrobiologia 766, 333–348. ( 10.1007/s10750-015-2466-z) [DOI] [Google Scholar]
- 7.Morales JM, Moorcroft PR, Matthiopoulos J, Frair JL, Kie JG, Powell RA, Merrill EH, Haydon DT. 2010. Building the bridge between animal movement and population dynamics. Phil. Trans. R. Soc. B 365, 2289–2301. ( 10.1098/rstb.2010.0082) [DOI] [PMC free article] [PubMed] [Google Scholar]
- 8.Turchin P. 1998. Quantitative analysis of movement:measuring and modeling population redistribution in animals and plants. Sunderland, MA: Sinauer Associates. [Google Scholar]
- 9.Kermack WO, McKendrick AG. 1927. A contribution to the mathematical theory of epidemics. Proc. R. Soc. Lond. A 115, 700–721. ( 10.1098/rspa.1927.0118) [DOI] [Google Scholar]
- 10.Hethcote HW. 2000. The mathematics of infectious diseases. SIAM Rev. 42, 599–653. ( 10.1137/S0036144500371907) [DOI] [Google Scholar]
- 11.Diekmann O, Heesterbeek H, Britton T. 2012. Mathematical tools for understanding infectious disease dynamics. Princeton, NJ: Princeton University Press. [Google Scholar]
- 12.Allen LJ, Brauer F, Van den Driessche P., Wu J. 2008. Mathematical epidemiology. Berlin, Germany: Springer. [Google Scholar]
- 13.Anderson RM, May RM, Anderson B. 1992. Infectious diseases of humans: dynamics and control, vol. 28 Oxford, UK: Oxford University Press. [Google Scholar]
- 14.Diekmann O, Heesterbeek JAP, Metz JAJ. 1995. The legacy of Kermack and McKendrick. In Epidemic models: their structure and relation to data (ed. D Mollison), pp. 95–115. Cambridge, UK: Cambridge University Press.
- 15.Cliff AD. 1995. Incorporating spatial components into models of epidemic spread. In Epidemic models: their structure and relation to data (ed. D Mollison), pp. 119–149. Cambridge, UK: Cambridge University Press.
- 16.Durrett R. 1995. Spatial epidemic models. In Epidemic models: their structure and relation to data (ed. D Mollison), pp. 187–201. Cambridge, UK: Cambridge University Press.
- 17.Cagnacci F, Boitani L, Powell RA, Boyce MS. 2010. Animal ecology meets GPS-based radiotelemetry: a perfect storm of opportunities and challenges. Phil. Trans. R. Soc. B 365, 2157–2162. ( 10.1098/rstb.2010.0107) [DOI] [PMC free article] [PubMed] [Google Scholar]
- 18.Hebblewhite M, Haydon DT. 2010. Distinguishing technology from biology: a critical review of the use of GPS telemetry data in ecology. Phil. Trans. R. Soc. B 365, 2303–2312. ( 10.1098/rstb.2010.0087) [DOI] [PMC free article] [PubMed] [Google Scholar]
- 19.Berg HC. 1983. Random walks in biology. Princeton, NJ: Princeton University Press. [Google Scholar]
- 20.Lewis MA, Maini PK, Petrovskii SV. 2013. Dispersal, individual movement and spatial ecology. Berlin, Germany: Springer. [Google Scholar]
- 21.Okubo A, Levin SA. 2001. Diffusion and ecological problems: modern perspectives. Berlin, Germany: Springer. [Google Scholar]
- 22.Codling EA, Plank MJ, Benhamou S. 2008. Random walk models in biology. J. R. Soc. Interface 5, 813–834. ( 10.1098/rsif.2008.0014) [DOI] [PMC free article] [PubMed] [Google Scholar]
- 23.Hosono Y, Ilyas B. 1995. Traveling waves for a simple diffusive epidemic model. Math. Models Methods Appl. Sci. 5, 935–966. ( 10.1142/S0218202595000504) [DOI] [Google Scholar]
- 24.Källén A. 1984. Thresholds and the natural history of rabies in an epidemic model for rabies. Nonlin. Anal. Theory Methods Appl. 8, 851–856. ( 10.1016/0362-546X(84)90107-X) [DOI] [Google Scholar]
- 25.Källén A, Arcuri P, Murray JD. 1985. A simple model for the spatial spread and control of rabies. J. Theor. Biol. 116, 377–393. ( 10.1016/S0022-5193(85)80276-9) [DOI] [PubMed] [Google Scholar]
- 26.Li Y, Li G, Lin W-T. 2015. Traveling waves of a delayed diffusive SIR epidemic model. Commun. Pure Appl. Anal. 14, 1001–1022. ( 10.3934/cpaa.2015.14.1001) [DOI] [Google Scholar]
- 27.Wang Z-C, Wu J. 2010. Travelling waves of a diffusive Kermack–Mckendrick epidemic model with non-local delayed transmission. Proc. R. Soc. A 466, 237–261. ( 10.1098/rspa.2009.0377) [DOI] [Google Scholar]
- 28.Bai Z, Zhang S. 2015. Traveling waves of a diffusive SIR epidemic model with a class of nonlinear incidence rates and distributed delay. Commun. Nonlin. Sci. Numer. Simul. 22, 1370–1381. ( 10.1016/j.cnsns.2014.07.005) [DOI] [Google Scholar]
- 29.Wang W, Zhao X-Q. 2011. A nonlocal and time-delayed reaction-diffusion model of dengue transmission. SIAM J. Appl. Math. 71, 147–168. ( 10.1137/090775890) [DOI] [Google Scholar]
- 30.Allen LJS, Bolker BM, Lou Y, Nevai AL. 2007. Asymptotic profiles of the steady states for an SIS epidemic patch model. SIAM J. Appl. Math. 67, 1283–1309. ( 10.1137/060672522) [DOI] [Google Scholar]
- 31.Peng R. 2009. Asymptotic profiles of the positive steady state for an SIS epidemic reaction–diffusion model. Part I. J. Differ. Equ. 247, 1096–1119. ( 10.1016/j.jde.2009.05.002) [DOI] [Google Scholar]
- 32.Peng R, Liu S. 2009. Global stability of the steady states of an SIS epidemic reaction–diffusion model. Nonlin. Anal. 71, 239–247. ( 10.1016/j.na.2008.10.043) [DOI] [Google Scholar]
- 33.Beardmore I, Beardmore R. 2003. The global structure of a spatial model of infectious disease. Proc. R. Soc. Lond. A 459, 1427–1448. ( 10.1098/rspa.2002.1080) [DOI] [Google Scholar]
- 34.Frasca M, Buscarino A, Rizzo A, Fortuna L, Boccaletti S. 2006. Dynamical network model of infective mobile agents. Phys. Rev. E 74, 036110 ( 10.1103/PhysRevE.74.036110) [DOI] [PubMed] [Google Scholar]
- 35.Buscarino A, Di Stefano A, Fortuna L, Frasca M, Latora V. 2008. Disease spreading in populations of moving agents. Europhys. Lett. 82, 38002 ( 10.1209/0295-5075/82/38002) [DOI] [Google Scholar]
- 36.Smouse PE, Focardi S, Moorcroft PR, Kie JG, Forester JD, Morales JM. 2010. Stochastic modelling of animal movement. Phil. Trans. R. Soc. B 365, 2201–2211. ( 10.1098/rstb.2010.0078) [DOI] [PMC free article] [PubMed] [Google Scholar]
- 37.Merrill E, Sand H, Zimmermann B, McPhee H, Webb N, Hebblewhite M, Wabakken P, Frair JL. 2010. Building a mechanistic understanding of predation with GPS-based movement data. Phil. Trans. R. Soc. B 365, 2279–2288. ( 10.1098/rstb.2010.0077) [DOI] [PMC free article] [PubMed] [Google Scholar]
- 38.Tyutyunov YV, Titova LI, Berdnikov SV. 2013. Mechanistic model for the Allee effect and interference in predator population. Biofizika 58, 349–356. ( 10.1134/s000635091302022x) [DOI] [PubMed] [Google Scholar]
- 39.McKenzie HW, Merrill EH, Spiteri RJ, Lewis MA. 2012. How linear features alter predator movement and the functional response. Interface Focus 2, 205–216. ( 10.1098/rsfs.2011.0086) [DOI] [PMC free article] [PubMed] [Google Scholar]
- 40.Shigesada N, Kawasaki K, Weinberger HF. 2015. Spreading speeds of invasive species in a periodic patchy environment: effects of dispersal based on local information and gradient-based taxis. Jpn J. Ind. Appl. Math. 32, 675–705. ( 10.1007/s13160-015-0191-7) [DOI] [Google Scholar]
- 41.Shaw MW, Harwood TD, Wilkinson MJ, Elliott L. 2006. Assembling spatially explicit landscape models of pollen and spore dispersal by wind for risk assessment. Proc. R. Soc. B 273, 1705–1713. ( 10.1098/rspb.2006.3491) [DOI] [PMC free article] [PubMed] [Google Scholar]
- 42.Rhodes CJ, Anderson RM. 2008. Contact rate calculation for a basic epidemic model. Math. Biosci. 216, 56–62. ( 10.1016/j.mbs.2008.08.007) [DOI] [PubMed] [Google Scholar]
- 43.McCallum H, Barlow N, Hone J. 2001. How should pathogen transmission be modelled? Trends Ecol. Evol. 16, 295–300. ( 10.1016/S0169-5347(01)02144-9) [DOI] [PubMed] [Google Scholar]
- 44.Begon M, Bennett M, Bowers RG, French NP, Hazel SM, Turner J. 2002. A clarification of transmission terms in host-microparasite models: numbers, densities and areas. Epidemiol. Infect. 129, 147–153. ( 10.1017/S0950268802007148) [DOI] [PMC free article] [PubMed] [Google Scholar]
- 45.Skellam JG. 1951. Random dispersal in theoretical populations. Biometrika 38, 196–218. ( 10.1093/biomet/38.1-2.196) [DOI] [PubMed] [Google Scholar]
- 46.Spitzer F. 1976. Principles of random walk. Berlin, Germany: Springer. [Google Scholar]
- 47.Kareiva PM. 1983. Local movement in herbivorous insects: applying a passive diffusion model to mark-recapture field experiments. Oecologia 57, 322–327. ( 10.1007/BF00377175) [DOI] [PubMed] [Google Scholar]
- 48.Kareiva PM. 1982. Experimental and mathematical analyses of herbivore movement: quantifying the influence of plant spacing and quality on foraging discrimination. Ecol. Monogr.52, 261–282 ( 10.2307/2937331) [DOI]
- 49.Marchant NC, Purwanto A, Harsanto FA, Boyd NS, Harrison ME, Houlihan PR. 2015. ‘Random-flight’ dispersal in tropical fruit-feeding butterflies? High mobility, long lifespans and no home ranges. Ecol. Entomol. 40, 696–706. ( 10.1111/een.12239) [DOI] [Google Scholar]
- 50.Murray JD, Stanley EA, Brown DL. 1986. On the spatial spread of rabies among foxes. Proc. R. Soc. Lond. B 229, 111–150. ( 10.1098/rspb.1986.0078) [DOI] [PubMed] [Google Scholar]
- 51.Wang X-S, Wang H, Wu J. 2012. Traveling waves of diffusive predator-prey systems: disease outbreak propagation. Discrete Continuous Dyn. Syst. A 32, 3303–3324. ( 10.3934/dcds.2012.32.3303) [DOI] [Google Scholar]
- 52.Peng R, Zhao X-Q. 2012. A reaction–diffusion SIS epidemic model in a time-periodic environment. Nonlinearity 25, 1451–1471. ( 10.1088/0951-7715/25/5/1451) [DOI] [Google Scholar]
- 53.Goldstein S. 1951. On diffusion by discontinuous movements, and on the telegraph equation. Q. J. Mech. Appl. Math. 4, 129–156. ( 10.1093/qjmam/4.2.129) [DOI] [Google Scholar]
- 54.Okubo A, Grünbaum D. 2001. Mathematical treatment of biological diffusion. In Diffusion and ecological problems: modern perspectives, pp. 127–169. New York, NY: Springer.
- 55.Kareiva PM, Shigesada N. 1983. Analyzing insect movement as a correlated random walk. Oecologia 56, 234–238. ( 10.1007/BF00379695) [DOI] [PubMed] [Google Scholar]
- 56.Marchand P, Harmon-Threatt AN, Chapela I. 2015. Testing models of bee foraging behavior through the analysis of pollen loads and floral density data. Ecol. Modell. 313, 41–49. ( 10.1016/j.ecolmodel.2015.06.019) [DOI] [Google Scholar]
- 57.Bergman CM, Schaefer JA, Luttich SN. 2000. Caribou movement as a correlated random walk. Oecologia 123, 364–374. ( 10.1007/s004420051023) [DOI] [PubMed] [Google Scholar]
- 58.Nilsen C, Paige J, Warner O, Mayhew B, Sutley R, Lam M, Bernoff AJ, Topaz CM. 2013. Social aggregation in pea aphids: experiment and random walk modeling. PLoS ONE 8, e83343–e83343 ( 10.1371/journal.pone.0083343) [DOI] [PMC free article] [PubMed] [Google Scholar]
- 59.Gudelj I, White KAJ. 2004. Spatial heterogeneity, social structure and disease dynamics of animal populations. Theor. Popul. Biol. 66, 139–149. ( 10.1016/j.tpb.2004.04.003) [DOI] [PubMed] [Google Scholar]
- 60.Gudelj I, White KAJ, Britton NF. 2004. The effects of spatial movement and group interactions on disease dynamics of social animals. Bull. Math. Biol. 66, 91–108. ( 10.1016/S0092-8240(03)00075-2) [DOI] [PubMed] [Google Scholar]
- 61.Hadeler KP. 2015. Stefan problem, traveling fronts, and epidemic spread. Discrete Continuous Dyn. Syst. 21, 417–436. ( 10.3934/dcdsb.2016.21.417) [DOI] [Google Scholar]
- 62.Medlock J, Kot M. 2003. Spreading disease: integro-differential equations old and new. Math. Biosci. 184, 201–222. ( 10.1016/S0025-5564(03)00041-5) [DOI] [PubMed] [Google Scholar]
- 63.Ruan S. 2007. Spatial-temporal dynamics in nonlocal epidemiological models. In Mathematics for life science and medicine, pp. 97–122. Berlin/Heidelberg, Germany: Springer.
- 64.Preisler HK, Ager AA, Johnson BK, Kie JG. 2004. Modeling animal movements using stochastic differential equations. Environmetrics 15, 643–657. ( 10.1002/env.636) [DOI] [Google Scholar]
- 65.DeAngelis DL, Gross LJ. 1992. Individual-based models and approaches in ecology: populations, communities and ecosystems. London, UK: Chapman & Hall. [Google Scholar]
- 66.Reynolds A. 2013. Beyond optimal searching: recent developments in the modelling of animal movement patterns as Lévy walks. In Dispersal, individual movement and spatial ecology, pp. 53–76. Berlin/Heidelberg, Germany: Springer.
- 67.Ramos-Fernández G, Mateos JL, Miramontes O, Cocho G, Larralde H, Ayala-Orozco B. 2004. Lévy walk patterns in the foraging movements of spider monkeys (Ateles geoffroyi). Behav. Ecol. Sociobiol. 55, 223–230. ( 10.1007/s00265-003-0700-6) [DOI] [Google Scholar]
- 68.Rhee I, Shin M, Hong S, Lee K, Kim SJ, Chong S. 2011. On the Levy-walk nature of human mobility. IEEE/ACM Trans. Netw. TON 19, 630–643. ( 10.1109/TNET.2011.2120618) [DOI] [Google Scholar]
- 69.Raichlen DA, Wood BM, Gordon AD, Mabulla AZP, Marlowe FW, Pontzer H. 2014. Evidence of Lévy walk foraging patterns in human hunter–gatherers. Proc. Natl Acad. Sci. USA 111, 728–733. ( 10.1073/pnas.1318616111) [DOI] [PMC free article] [PubMed] [Google Scholar]
- 70.Reynolds A. 2015. Liberating Lévy walk research from the shackles of optimal foraging. Phys. Life Rev. 14, 59–83. ( 10.1016/j.plrev.2015.03.002) [DOI] [PubMed] [Google Scholar]
- 71.Pyke GH. 2015. Understanding movements of organisms: it's time to abandon the Levy foraging hypothesis. Methods Ecol. Evol. 6, 1–16. ( 10.1111/2041-210X.12298) [DOI] [Google Scholar]
- 72.Buscarino A, Di Stefano A., Fortuna L, Frasca M, Latora V. 2010. Effects of motion on epidemic spreading. Int. J. Bifurcation Chaos 20, 765–773. ( 10.1142/S0218127410026058) [DOI] [Google Scholar]
- 73.Keeling MJ, Eames KTD. 2005. Networks and epidemic models. J. R. Soc. Interface 2, 295–307. ( 10.1098/rsif.2005.0051) [DOI] [PMC free article] [PubMed] [Google Scholar]
- 74.Brauer F. 2008. An introduction to networks in epidemic modeling. In Mathematical epidemiology, pp. 133–146. Berlin/Heidelberg, Germany: Springer.
- 75.Baer GM. 1991. The natural history of rabies. Boca Raton, FL: CRC Press. [Google Scholar]
- 76.Kaplan C. 1977. Rabies: the facts. Oxford, UK: Oxford University Press. [Google Scholar]
- 77.Bacon PJ. 1985. Population dynamics of rabies in wildlife. London, UK: Academic Press Inc. [Google Scholar]
- 78.Panjeti VG, Real LA. 2011. Mathematical models for rabies. Adv. Imaging Electron Phys. 79, 377–395. ( 10.1016/B978-0-12-387040-7.00018-4) [DOI] [PubMed] [Google Scholar]
- 79.Smith DL, Lucey B, Waller LA, Childs JE, Real LA. 2002. Predicting the spatial dynamics of rabies epidemics on heterogeneous landscapes. Proc. Natl Acad. Sci. USA 99, 3668–3672. ( 10.1073/pnas.042400799) [DOI] [PMC free article] [PubMed] [Google Scholar]
Associated Data
This section collects any data citations, data availability statements, or supplementary materials included in this article.










