Abstract
The stable chromogenic radical 1,1′-diphenyl-2-picrylhydrazyl (DPPH) solution was immobilized on the microwell plate as dry reagent to construct a simple antioxidant sensor. Then, a regular flatbed scanner was used as microplate reader to obtain analytical parameters for antioxidant assay using one-shot optical sensors as scanometry technique. Variables affecting the acquisition of the images were optimized and the analytical parameters are obtained from an area of the sensing zone inside microwell using the average luminosity of the sensing zone captured as the mean of red, green, and blue (RGB) value using ImageJ® program. By using this RGB value as sensor response, it is possible to determine antioxidant capacity in the range 1–25 ppm as gallic acid equivalent (GAE) with the response time of 9 min. The reproducibility of sensor was good (RSD<1%) with recovery at 93%–96%. The antioxidant sensor was applied to the plant extracts, such as sappan wood and Turmeric Rhizome. The results are good when compared to the same procedure using a UV/Vis spectrophotometer.
KEY WORDS: Scanometry, High throughput, DPPH, Optical sensor, Antioxidant
Graphical abstract
The DPPH solution was immobilized on the microwell plate as dry reagent to construct colorimetric antioxidant sensor. A flatbed scanner was used as a microplate reader to obtain analytical parameters for antioxidant assay as scanometric technique. The sensor was optimized and applied for determining antioxidant capacity of plant extract samples.
1. Introduction
Antioxidant capacity is a broadly used term as a parameter to characterize different substances and food samples with the ability of scavenging or neutralizing free radicals. This capacity is associated to the presence of compounds capable of protecting a biological system against harmful oxidation1. There are several synthetic radicals, such as 2,2′-azinobis-3-ethylbenzothiazoline-6-sulfonic acid (ABTS), 1,1′-diphenyl-2-picrylhydrazyl (DPPH), and N,N-dimethyl-p-phenylendiamine (DMPD), employed for determining antioxidant capacity of various samples2, 3, 4, 5. The DPPH method is one of the most frequently used to assess the ability of compounds as free radical scavengers or hydrogen donors, and to evaluate the antioxidant capacity of food samples. The method was introduced by Blois5, and improved by some authors for measuring antioxidant activity of numerous substances and determining antioxidant capacity of various food and plant samples3, 6, 7. In brief, this method is based on the reduction of the chromogenic DPPH radical by an antioxidant, such as in a plant extract, which causes the radical to change color, and this change can be monitored and quantified using spectrophotometer at 515–520 nm8. The radical DPPH is stable and does not have to be generated for hours before the analysis, as in other radical scavenging assays9.
In conventional spectrophotometric method, a large volume (1.0–5.0 mL) of freshly prepared DPPH solution in a cuvette is required10, 11, 12, 13, 14, 15. In order to reduce large amount of DPPH solution, a microwell plate can be used in the assay, as it was done by Lee et al.16. Lately, it was known that no significant different parameters (repeatability, reproducibility, percentage recovery) were observed between microwell and cuvette-based method within intra-laboratory validation9. The DPPH microwell-based method is continuously used then by some authors as high throughput screening for antioxidant capacity17, 18, 19, 20. To make the assay simpler and faster as high throughput screening, the microwell was used as solid support for DPPH in dry reagent format as described elsewhere19. By adding methanol or ethanol into the wells, the system can be used for high throughput antioxidant screening of various samples (banana, green tea, pink guava, and honey dew), and it was shown that the results were in good agreement with that of conventional DPPH-microwell platform. However, this method is not suitable for field analysis since specialized, cost-expensive instrument such as microplate reader (spectrophotometer) is required to conduct the assay. To overcome this limitation, flatbed scanner can be used as a microplate reader to obtain digital color image which can be further analyzed quantitatively.
Recently, using scanner as scanometric technique gained its popularity due to its application in various chemical and biochemical assays. The scanometric technique which relies on either a light scattering instrument or flatbed scanner coupled with various probes or sensors can be used for the detection of bacteria, dopamine, magnesium ions, lead ions, thrombin, and mercury ions21, 22, 23, 24, 25, 26. Being subclass of colorimetry, scanometry uses a gray scale as opposed to the various color space. The gray intensity, typically a result of silver enhancement is the measured signal in scanometry27. Scanometry was used to characterize optical feature of various dyes, such as disperse orange 3, methyl orange, fluorescein, eosin Y, rhodamine B, trypan blue, prussian blue, malachite green, methylene blue, chlorophyll b, and DPPH, in a microwell plate28. As the color intensity in red, green, and blue (RGB) value was mathematically converted to RGB-resolved absorbance, it was shown that flatbed scanner was comparable with spectrophotometer.
Here, we propose a scanometric technique for conducting DPPH assay. In this work, DPPH solution was immobilized on a 96 microwell as dry reagent to construct antioxidant sensor. Then, a regular flatbed scanner was used as microplate reader to evaluate antioxidant capacity of several plant extracts. When it was compared with other DPPH-based sensors29, 30, the proposed sensor is simpler, since in other optical sensors the DPPH solution has to be immobilized in polymer (e.g., PVA, PVC) in a long time chemical synthetic reaction to construct the sensor. Moreover, the sensors have to be transferred into a cuvette prior to antioxidant assay in UV/Vis spectrophotometer which made the afore mentioned methods29, 30 need longer procedure than the proposed method. As regular flatbed scanner was employed for obtaining sensor response, the developed method is extremely cheaper than microplate reader (ELISA reader) or UV/Vis spectrophotometer. In the microplate reader, the absorbance of DPPH after antioxidant addition was measured, while in the proposed scanometric technique, the color intensity (mean RGB) of DPPH after antioxidant addition has been measured for determining antioxidant capacity. Hence, it is obvious that, using scanometric technique, no need the samples to be transparence, as in our previous work19. In this paper, even non-transparence or opaque sample can be used, since the different analytical response and different instrument were used as a reader for antioxidant sensor response. In addition, we also used less reagent concentration (125 µg/L) compared to the previous one (150 µg/mL)19. Thus, it make reagent used more efficient, as it is used in one shot measurement. Furthermore, the developed method can be suitable for field analysis and/or in remote area, where medicinal plant extracts can be screened for their antioxidant capacity on site.
2. Materials and methods
2.1. Chemicals
Gallic acid (GA) and DPPH were obtained from Sigma–Aldrich (USA). Methanol was purchased from Merck (Germany). All chemicals were of analytical reagent grade.
2.2. Herbal samples
Herbal samples used in this work, i.e., Sappan wood (Caesalpinia sappan L.), and Turmeric Rhizome (Curcuma domestica Val.), were purchased from local market of Jember, East Java. All herbal samples were authenticated and deposited at Pharmacognosy Laboratory, Faculty of Pharmacy, University of Jember, Indonesia. Herbal samples were air dried and powdered until their particle size freely passed through sieve #100 mesh.
2.3. Sensor fabrication
Sensor fabrication was done as in our previous work19 with slight modification. A solution of DPPH in methanol at various concentrations (50, 100, 125, and 150 ppm) were transferred (200 µL) into 96 microwell plate as matrix sensor. The solvent was then evaporated under mild condition at room temperature to construct antioxidant sensor based on DPPH. Afterward, the antioxidant sensor was ready to be used. For long term used and avoid photodecomposition of DPPH, the antioxidant sensor was sealed with aluminum foil.
2.4. Extraction of herbal samples
All herbal powder were extracted using method reported by Ningsih et al.31 with slight modification. The dried herbal powder (10 g) was extracted with methanol (300 mL) for an hour at 30 °C using an ultrasonicator bath (Elmasonic S180H, Germany). The extracts were then filtered through Whatman filter paper No. 1 (USA) by using vacuum funnel. Afterward, the filtrates were separated and stored in well-capped tubes prior to antioxidant assay at room temperature.
2.5. Optimization study
In order to find the optimum DPPH concentration that give best calibration curve in term of linear correlation and the slope, GA was used as standard solution, since it is classified as intermediate based on its antioxidant kinetic, which is more suitable for the optimization study than that of antioxidants with rapid kinetic (ascorbic acid) or slow kinetic (ferulic acid)7. GA solution was added in different concentration (1, 5, 10, 15, 20, and 25 ppm) to each well 150 µL of methanol and 50 µL of GA solution were added. After 9 min, the color change of each well was quantified using the measurement procedure, where the calibration curve can be constructed.
2.6. Measurement procedure
The color change of sensor was captured using flatbed scanner (Canoscan, LIDE 110, Japan) in which color photo mode with resolution at 300 dpi was set for image scanning. The color intensity was then analyzed with ImageJ® program for Windows®. The color intensity of sensors (∆RGB) was obtained by subtracting the intensity value of mean RGB of the application of sample from the intensity value of mean RGB without the sample. All of the experiments were carried out in triplicate measurements.
3. Results and discussion
3.1. The antioxidant sensor
The fabrication of antioxidant sensor based on DPPH was performed by surface coating on the bottom of the 96 microwell plate with the 200 µL DPPH solution (125 ppm) as it can be seen in our previous work19. The process was very simple, by just evaporate the DPPH solvent in 40 min, then leaving DPPH dry reagent as immobilized reagent on the bottom of each well. After this immobilization process, the antioxidant sensor was ready to be used as antioxidant sensor.
3.2. Sensing scheme
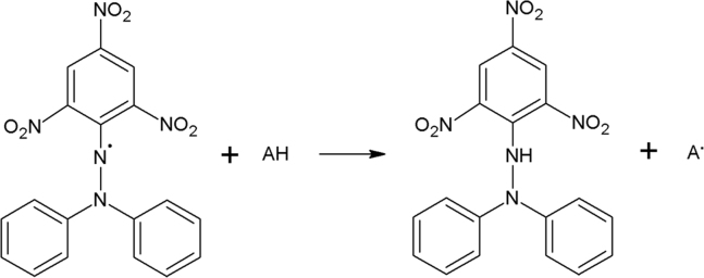
In this sensing scheme, DPPH as radicals is used as the basis for optical detection in the assessment of antioxidant activity5, 6, 7. This is due to the fact that DPPH has been widely used for the determination of antioxidant activity of phytochemicals, such as flavonoids and polyphenols18, 19. In this assay, the purple of chromogen radical (DPPH•) is reduced by antioxidant (e.g., GA) to the corresponding pale yellow hydrazine (DPPH-H). Reduction of the chromogenic purple radical (DPPH•) by hydrogen-donating antioxidant is monitored by capturing its color change to the pale yellow of the antioxidant sensor. The sensing mechanism is shown in Fig. 1, where AH is donor molecule, and A• is free radical produced.
Figure 1.
The reaction mechanism of DPPH radical with antioxidant (AH).
This DPPH as chromogenic radical reagent was chosen, since it is widely used in well-established procedures for the antioxidants assay, together with sufficient chemical stability in a dry reagent format, avoiding problems associated with leaching19, as it will dissolve again when sample introduced. In addition, there is no need for regeneration of radicals in situ, which makes the antioxidant sensor simpler and more practical.
3.3. Optimization of DPPH concentration
The antioxidant sensor works as the color change from purple to yellow by introducing antioxidant such as GA; therefore, the optimum color change of the sensor would be depend on the DPPH concentration. In order to optimize the DPPH concentration in term of its calibration curve, various concentration of DPPH have been immobilized as antioxidant sensor and tested toward the increased concentration of GA (1–25 ppm). After scanometric measurements, the calibration curves of GA vs. color intensity (∆RGB) were made for each DPPH concentration (50, 100, 125 and 150 ppm) tested as given in Table 1. The antioxidant sensor with 125 ppm DPPH was selected as optimum DPPH concentration in term of its linear correlation and slope. The slope and coefficient correlations (r) of the 125 ppm DPPH have been found to be 3.426 and 0.996, respectively, which is higher compared to other DPPH concentrations (50, 100 and 150 ppm) as it can be seen in Table 1. Therefore, the antioxidant sensor with DPPH concentration of 125 ppm was used for further measurements.
Table 1.
The calibration curves of gallic acid (1, 5, 10, 15, 20, and 25 ppm) towards various DPPH concentrations for the antioxidant sensor (n=3).
| DPPH conc. (ppm) | r2 | Equation of calibration curve | Slope |
|---|---|---|---|
| 50 | 0.9873 | y=3.2809x+0.4224 | 3.2809 |
| 100 | 0.9911 | y=3.3118x−1.1945 | 3.3118 |
| 125 | 0.9922 | y=3.4257x−3.3301 | 3.4257 |
| 150 | 0.9912 | y=3.2353x−1.3858 | 3.2353 |
3.4. Response time
The response time of antioxidant sensor was investigated using 15 ppm GA solution. The response of sensor was recorded at every 2 min until stable color intensity value was obtained. The response time of sensor was observed at 9 min. After this period, the sensor gave stable response as shown in Fig. 2. Therefore, this response times was used for further measurements.
Figure 2.
Response time of the antioxidant sensor towards gallic acid (15 ppm).
It can be seen in Fig. 2 that the developed sensor has response time at 9 min which is faster than that of other DPPH-based optical sensor30, while the similar GA concentration was applied (±1 mmol/L). Moreover, our sensor takes a short operating time in the term of time of analysis, while DPPH absorbance was typically read at 30 min after addition of tested samples in other microwell-based methods18, 19. Similar time of analysis (10 min) was also reported with observed in other microwell-based method20; however, the method was suffered from co-solvent and/or buffer addition. Hence, it can be drawn that our developed method is simpler and faster than afore mentioned methods.
3.5. Antioxidant determination
GA was used as standard for antioxidant assay in this work. The calibration curve was constructed by plotting concentration of GA vs. sensor response as ∆RGB value as depicted in Fig. 3. It can be seen that the linear range of the sensor response is in the range of 1–25 ppm with the coefficient correlation (r) of 0.996. The detection limit (LOD) of the antioxidant sensor, which is defined as the concentration of sample yielding a signal equal to the blank signal plus three times of its standard deviation32, was calculated to be 0.762 ppm. The reproducibility of the sensor response was tested toward 10 ppm of GA solution as given in Table 2, the precision of sensor can be observed. It can be seen that RSD value was lower than 2%, indicating the developed method has good precision32.
Figure 3.
Sensor response towards gallic acid (1–28 ppm), n=3.
Table 2.
The antioxidant sensor response towards 10 ppm of gallic acid (n=6).
| Sample | RGB | ΔRGB |
|---|---|---|
| Blank | 43.62 | – |
| 1 | 71.724 | 28.104 |
| 2 | 70.814 | 27.194 |
| 3 | 71.237 | 27.617 |
| 4 | 71.603 | 27.983 |
| 5 | 71.712 | 28.092 |
| 6 | 71.301 | 27.681 |
| Mean | 27.779 | |
| RSD (%) | 1.271 |
3.6. Recovery
The percentage recovery values for the accuracy of the sensor on the determination of antioxidant activity are performed by adding 30%, 45% and 60% to initial 12, 13, and 15 ppm of GA in sample simulation. The mean of percentage recovery (%) was calculated to be 91%–96% as it can be seen in Table 3. This results were in good agreement with theoretical recovery values (%) for unit concentration of 10 ppm (80%–110%)33. Therefore, the developed method indicated a good accuracy for antioxidant measurements.
Table 3.
Recovery study of gallic acid (%) in simulated sample using the antioxidant sensor (n=3).
| Sample | Found concentration (ppm) | Recovery (%) |
|---|---|---|
| Initial (10 ppm) | 10.135±0.008 | 101.350±0.084 |
| 30% addition | 2.546±0.075 | 83.747±2.397 |
| 45% addition | 4.417±0.063 | 96.840±1.462 |
| 60% addition | 6.115±0.365 | 100.551±5.924 |
3.7. Sensor stability
In this work, various storage conditions were applied for stability test of the developed sensor. The sensor was stored separately in a well-capped cabinet at room (30 °C) and chiller (4 °C) temperature. Then, the sensor response towards GA (1–25 ppm) was observed in every week, until 10% decrease of initial response was obtained. After two weeks, sensor response was observed to decrease more than 10% when sensor was stored at room temperature as it can be seen in Table 4. Hence, it can be noted that stability of sensor was only maintained during one week storage at room temperature. This finding seemed to be found in other DPPH-based optical sensor, in which the absorbance of DPPH-polymer film was completely loss within one week storage at room temperature30.
Table 4.
The decrease of sensor response towards gallic acid (1–25 ppm) after it was stored in room temperature (30 °C).
| Gallic acid | Storage time (week) |
||||
|---|---|---|---|---|---|
| conc. (ppm) | 1 | 2 | 3 | 4 | 5 |
| 1 | 9.16 | 12.93 | 15.45 | 17.22 | 19.14 |
| 5 | 2.19 | 11.02 | 13.34 | 13.50 | 14.59 |
| 13 | 7.34 | 12.68 | 13.89 | 15.83 | 44.21 |
| 25 | 3.46 | 12.53 | 11.85 | 12.02 | 15.02 |
In order to obtain the stable sensor response, the sensor was also stored in chiller temperature right after fabrication step as it was described earlier. Table 5 shows that sensor response towards GA (1–25 ppm) was found to be stable during six-week storage at chiller temperature. After six week, the sensor response was decreased more than 10% (data not shown), suggesting that stability of sensor was only preserved during six week storage at chiller temperature.
Table 5.
The decrease of sensor response towards gallic acid (1−25 ppm) after it was stored in chiller temperature (4 °C).
| Gallic acid | Storage time (week) |
|||||
|---|---|---|---|---|---|---|
| conc. (ppm) | 1 | 2 | 3 | 4 | 5 | 6 |
| 1 | 0.81 | 1.40 | 2.33 | 3.21 | 7.45 | 7.67 |
| 5 | 3.12 | 3.67 | 3.68 | 3.92 | 4.87 | 5.29 |
| 13 | 4.80 | 6.07 | 6.40 | 7.26 | 7.43 | 8.22 |
| 25 | 1.50 | 2.61 | 2.83 | 4.69 | 7.12 | 7.49 |
3.8. Application on plant extracts
In order to demonstrate the practical used of scannometry, various plant extract, such as sappan wood and Turmeric Rhizome, were carried out. Here, Sappan Lignum and Turmeric Rhizome were used with some purposes. Firstly, they were used to show that the color of herbal extracts did not affect the measurement of antioxidant capacity (the color of sappan extract is red, while the color of turmeric is yellow), and that the sensing mechanism relied on redox activity only. Secondly, the sample is taken based on the part of plant organ used for medication, e.g., sappan is represented woods, while turmeric is represented rhizome. Thus, the proposed antioxidant sensor can be used for determination of antioxidant activity in any part of plant organ (leaf, root, flower, etc.) extracts or other plants extracts.
In this work, antioxidant capacity of plant extracts were compared with that of GA, as this approach was also reported in some literatures34, 35, 36, 37. Using calibration curve of GA (5–25 ppm) made by the scanometric technique, the antioxidant capacity of extract was calculated, as it was expressed as gallic acid equivalent in ppm (ppm GAE). As comparison, UV/Vis spectrophorometry was used for the assay of antioxidant capacity of sample plant extracts with absorbance reading at 515 nm. Then, the results based on the scanometry were compared with the assay using UV/Vis spectrophotometer. The results showed that the proposed method was in good agreement with the spectrophotometric method, as it can be seen in Table 6, indicating the feasibility of the proposed scanometry for the determination of antioxidant capacity of the plant extracts.
Table 6.
The comparison results of antioxidant capacity (ppm GAE) of various plant extracts determined by the antioxidant sensor and the UV/Vis spectrophotometer (n=3, α=0.05).
| Sample extracts | Antioxidant sensor-scanometric | UV/Vis Spectrophotometer | Significance value (P) |
|---|---|---|---|
| Sappan wood (10%, w/v) | 10.22±0.07 | 10.55±0.21 | 0.062 |
| Turmeric Rhizome (0.1%, w/v) | 10.72±0.26 | 11.08±0.09 | 0.082 |
4. Conclusion
A scanometry has been used as a microplate reader for high throughput screening of antioxidant based on DPPH as dry reagent on microwell plate as also used by other28. However, the proposed method is the first application for antioxidant sensor, measuring antioxidant capacity of GA and plant extracts. In this work, the developed method has linear range at 1–28 ppm with LOD at 0.794 ppm, and it was found to be reproducible, and good recovery for antioxidant determination of several plant extracts. The used of scanner in this proposed method is simple, easy to operate, and low-cost, as well as it can be used as an alternative reader for the microwell plate.
Footnotes
Peer review under responsibility of Institute of Materia Medica, Chinese Academy of Medical Sciences and Chinese Pharmaceutical Association.
References
- 1.Pyrzynska K., Pȩkal A. Application of free radical diphenylpicrylhydrazyl (DPPH) to estimate the antioxidant capacity of food samples. Anal Methods. 2013;5:4288–4295. [Google Scholar]
- 2.Miller N.J., Rice-Evans C., Davies M.J., Gopinathan V., Milner A. A novel method for measuring antioxidant capacity and its application to monitoring the antioxidant status in premature neonates. Clin Sci. 1993;84:407–412. doi: 10.1042/cs0840407. [DOI] [PubMed] [Google Scholar]
- 3.Brand-Williams W., Cuvelier M.E., Berset C. Use of a free radical method to evaluate antioxidant activity. LWT Food Sci Technol. 1995;28:25–30. [Google Scholar]
- 4.Fogliano V., Verde V., Randazzo G., Ritieni A. Method for measuring antioxidant activity and its application to monitoring the antioxidant capacity of wines. J Agric Food Chem. 1999;47:1035–1040. doi: 10.1021/jf980496s. [DOI] [PubMed] [Google Scholar]
- 5.Blois M.S. Antioxidant determinations by the use of a stable free radical. Nature. 1958;181:1199–1200. [Google Scholar]
- 6.Bondet V., Brand-Williams W., Berset C. Kinetics and mechanisms of antioxidant activity using the DPPH. Free radical method. LWT Food Sci Technol. 1997;30:609–615. [Google Scholar]
- 7.Sánchez-Moreno C., Larrauri J.A., Saura-Calixto F. A procedure to measure the antiradical efficiency of polyphenols. J Sci Food Agric. 1998;76:270–276. [Google Scholar]
- 8.Molyneux P. The use of the stable free radical diphenylpicryl-hydrazyl (DPPH) for estimating antioxidant activity. Songklanakarin J Sci Technol. 2004;26:211–219. [Google Scholar]
- 9.Bobo-García G., Davidov-Pardo G., Arroqui C., Vírseda P., Marín-Arroyo M.R., Navarro M. Intra-laboratory validation of microplate methods for total phenolic content and antioxidant activity on polyphenolic extracts, and comparison with conventional spectrophotometric methods. J Sci Food Agric. 2015;95:204–209. doi: 10.1002/jsfa.6706. [DOI] [PubMed] [Google Scholar]
- 10.Bener M., Özyürek M., Güçlü K., Apak R. Optimization of microwave-assisted extraction of curcumin from Curcuma longa L. (Turmeric) and evaluation of antioxidant activity in multi-test systems. Rec Nat Prod. 2016;10:542–554. [Google Scholar]
- 11.Dolinsky M., Agostinho C., Ribeiro D., Rocha G.D., Barroso S.G., Ferreira D. Effect of different cooking methods on the polyphenol concentration and antioxidant capacity of selected vegetables. J Culin Sci Technol. 2016;14:1–12. [Google Scholar]
- 12.Nisar T., Iqbal M., Raza A., Safdar M., Iftikhar F., Waheed M. Estimation of total phenolics and free radical scavenging of Turmeric (Curcuma longa) Am-Eur J Agric Environ Sci. 2015;15:1272–1277. [Google Scholar]
- 13.Nirmal N.P., Panichayupakaranant P. Antioxidant, antibacterial, and anti-inflammatory activities of standardized brazilin-rich Caesalpinia sappan extract. Pharm Biol. 2015;53:1339–1343. doi: 10.3109/13880209.2014.982295. [DOI] [PubMed] [Google Scholar]
- 14.Pękal A., Pyrzynska K. Effect of pH and metal ions on DPPH radical scavenging activity of tea. Int J Food Sci Nutr. 2015;66:58–62. doi: 10.3109/09637486.2014.959899. [DOI] [PubMed] [Google Scholar]
- 15.Seo J., Lee S., Elam M.L., Johnson S.A., Kang J., Arjmandi B.H. Study to find the best extraction solvent for use with guava leaves (Psidium guajava L.) for high antioxidant efficacy. Food Sci Nutr. 2014;42:174–180. doi: 10.1002/fsn3.91. [DOI] [PMC free article] [PubMed] [Google Scholar]
- 16.Lee S.K., Mbwambo Z.H., Chung H., Luyengi L., Gamez E.J., Mehta R.G. Evaluation of the antioxidant potential of natural products. Comb Chem High Throughput Screen. 1998;1:35–46. [PubMed] [Google Scholar]
- 17.Cheng Z., Moore J., Yu L. High-throughput relative DPPH radical scavenging capacity assay. J Agric Food Chem. 2006;54:7429–7436. doi: 10.1021/jf0611668. [DOI] [PubMed] [Google Scholar]
- 18.Abderrahim F., Arribas S.M., Carmen Gonzalez M., Condezo-Hoyos L. Rapid high-throughput assay to assess scavenging capacity index using DPPH. Food Chem. 2013;141:788–794. doi: 10.1016/j.foodchem.2013.04.055. [DOI] [PubMed] [Google Scholar]
- 19.Musa K.H., Abdullah A., Kuswandi B., Hidayat M.A. A novel high throughput method based on the DPPH dry reagent array for determination of antioxidant activity. Food Chem. 2013;141:4102–4106. doi: 10.1016/j.foodchem.2013.06.112. [DOI] [PubMed] [Google Scholar]
- 20.Condezo-Hoyos L., Abderrahim F., Arriba S.M., Carmen González M. A novel, micro, rapid and direct assay to assess total antioxidant capacity of solid foods. Talanta. 2015;138:108–116. doi: 10.1016/j.talanta.2015.01.043. [DOI] [PubMed] [Google Scholar]
- 21.Shi X., Wen J., Li Y., Zheng Y., Zhou J., Li X. DNA molecular beacon-based plastic biochip: a versatile and sensitive scanometric detection platform. ACS Appl Mater Interfaces. 2014;6:21788–21797. doi: 10.1021/am5007029. [DOI] [PubMed] [Google Scholar]
- 22.Ma S., Tang Y., Liu J., Wu J. Visible paper chip immunoassay for rapid determination of bacteria in water distribution system. Talanta. 2014;120:135–140. doi: 10.1016/j.talanta.2013.12.007. [DOI] [PubMed] [Google Scholar]
- 23.Abbaspour A., Khajehzadeh A., Ghaffarinejad A. A simple and cost-effective method, as an appropriate alternative for visible spectrophotometry: development of a dopamine biosensor. Analyst. 2009;134:1692–1698. doi: 10.1039/b901273g. [DOI] [PubMed] [Google Scholar]
- 24.Shokrollahi A., Hemmatidoust K., Zarghampour F. Determination of magnesium by the solution scanometric method in a coloured titan yellow magnesium hydroxide complex form. J Taibah Univ Sci. 2016;10:161–167. [Google Scholar]
- 25.Chen B., Wang Z., Hu D., Ma Q., Huang L., Xv C. Scanometric nanomolar lead (II) detection using DNA-functionalized gold nanoparticles and silver stain enhancement. Sens Actuators B Chem. 2014;200:310–316. [Google Scholar]
- 26.Vijitvarasan P., Oaew S., Surareungchai W. Paper-based scanometric assay for lead ion detection using DNAzyme. Anal Chim Acta. 2015;896:152–159. doi: 10.1016/j.aca.2015.09.011. [DOI] [PubMed] [Google Scholar]
- 27.Wong J.X., Liu F.S., Yu H.Z. Mobile app-based quantitative scanometric analysis. Anal Chem. 2014;86:11966–11971. doi: 10.1021/ac5035727. [DOI] [PubMed] [Google Scholar]
- 28.Christodouleas D.C., Nemiroski A., Kumar A.A., Whitesides G.M. Broadly available imaging devices enable high-quality low-cost photometry. Anal Chem. 2015;87:9170–9178. doi: 10.1021/acs.analchem.5b01612. [DOI] [PubMed] [Google Scholar]
- 29.Ahn Y.H., Yoo J.S., Kim S.H. An antioxidant capacity assay using a polyvinyl alcohol-based DPPH pellet. Bull Korean Chem Soc. 2010;31:2557–2560. [Google Scholar]
- 30.Steinberg I.M., Milardović S. Chromogenic radical based optical sensor membrane for screening of antioxidant activity. Talanta. 2007;71:1782–1787. doi: 10.1016/j.talanta.2006.08.015. [DOI] [PubMed] [Google Scholar]
- 31.Ningsih I.Y., Zulaikhah S., Hidayat M.A., Kuswandi B. Antioxidant activity of various Kenitu (Chrysophyllum cainito L.) leaves extracts from Jember, Indonesia. Agric Agric Sci Procedia. 2016;9:378–385. [Google Scholar]
- 32.Yuwono M., Indrayanto G. Validation of chromatographic methods of analysis. Profiles Drug Subst Excipients Relat Methodol. 2005;32:243–259. doi: 10.1016/S0099-5428(05)32009-0. [DOI] [PubMed] [Google Scholar]
- 33.Huber L. Validation and qualification in analytical laboratories. 2nd Edition. Informa Healthcare; New York: 2007. [Google Scholar]
- 34.Lu Y., Shipton F.N., Khoo T.J., Wiart C. Antioxidant activity determination of citronellal and crude extracts of Cymbopogon citratus by 3 different methods. Pharmacol Pharm. 2014;5:395–400. [Google Scholar]
- 35.Sharma S., Vig A.P. Evaluation of in vitro antioxidant properties of methanol and aqueous extracts of Parkinsonia aculeata L. leaves. Sci World J. 2013;2013:604865. doi: 10.1155/2013/604865. [DOI] [PMC free article] [PubMed] [Google Scholar]
- 36.Zhang A., Fang Y., Wang H., Li H., Zhang Z. Free-radical scavenging properties and reducing power of grape cane extracts from 11 selected grape cultivars widely grown in China. Molecules. 2011;16:10104–10122. doi: 10.3390/molecules161210104. [DOI] [PMC free article] [PubMed] [Google Scholar]
- 37.Apetrei C.L., Tuchilus C., Aprotosoaie A.C., Oprea A., Malterud K.E., Miron A. Chemical, antioxidant and antimicrobial investigations of Pinus cembra L. bark and needles. Molecules. 2011;16:7773–7788. doi: 10.3390/molecules16097773. [DOI] [PMC free article] [PubMed] [Google Scholar]




