Abstract
Biogeographical shifts are a ubiquitous global response to climate change. However, observed shifts across taxa and geographical locations are highly variable and only partially attributable to climatic conditions. Such variable outcomes result from the interaction between local climatic changes and other abiotic and biotic factors operating across species ranges. Among them, external directional forces such as ocean and air currents influence the dispersal of nearly all marine and many terrestrial organisms. Here, using a global meta-dataset of observed range shifts of marine species, we show that incorporating directional agreement between flow and climate significantly increases the proportion of explained variance. We propose a simple metric that measures the degrees of directional agreement of ocean (or air) currents with thermal gradients and considers the effects of directional forces in predictions of climate-driven range shifts. Ocean flows are found to both facilitate and hinder shifts depending on their directional agreement with spatial gradients of temperature. Further, effects are shaped by the locations of shifts in the range (trailing, leading or centroid) and taxonomic identity of species. These results support the global effects of climatic changes on distribution shifts and stress the importance of framing climate expectations in reference to other non-climatic interacting factors.
Introduction
Biogeographical shifts are some of the global responses to climate change most frequently reported in reference to terrestrial and marine life1, 2. Shifts in the distribution of species can alter biodiversity patterns, produce trophic and resource mismatches, spur novel biotic interactions, and initiate significant changes to the structures and functioning of ecosystems1, 3. These effects, which are expected to be enhanced with future climate changes4, 5, can have serious economic, social and human health implications6. From a climatic point of view, range dynamics are primarily governed by interactions between changes in climatic conditions and the physiological tolerance of a given species7. Under warming climatic conditions, the a priori expectation is for species to shift their distributions towards cooler environments at higher latitudes, in deeper waters or at higher terrain. Evidence accumulated over the past several decades demonstrate that such responses are unequivocal overall, and yet expectations based on climate alone fall short of explaining the variability in shift responses observed both across and among taxa at different geographical locations1, 2, 8. Accounting for this large unexplained variation is thus crucial for better anticipating and managing the effects of a rapidly changing climate.
This heterogeneity in shift responses has been mechanistically attributed to complex interactions between climatic and other environmental and biological processes9, to effects of species life histories10, and to species-specific exposure and sensitivity to variations in local climatic conditions11, 12. For the former, external directional forces influencing species dispersal, such as air and water currents, have been greatly overlooked thus far despite their obvious importance13. For a species tracking a shifting climate, directional forces should facilitate or limit redistribution patterns depending on their directional alignment with spatial gradients of climate change (Fig. 1a). The relative importance of this factor should be concomitant with the taxonomic identity of the species involved both in terms of the capacity (from highly motile to sessile) and type (active versus passive dispersers) of response to warming. Further, given the different processes involved14, the effects of flow directionality on climate-driven shift responses should also be specific to the location of a given shift within a species range. For example, at the leading “cold” edge of the distribution, opportunities for range expansions arise when new habitats become climatically available beyond the current range of the species. Range expansion require the colonization of such habitats as organisms disperse from local range edge populations, a process that should be facilitated under increasing directional agreement (Fig. 1b) between ocean currents and spatial temperature gradients15. We expect this effect to be stronger for species with active dispersal (fish) and/or prolonged planktonic life stages (holoplankton/fish) than species with shorter larval stages and sessile or sedentary adult forms (benthic invertebrates and algae; Fig. 1a). Similarly, active dispersal should confer some capacity to counter the effects of directional mismatching. At the other extreme of the range, contractions of trailing “warm” edges are triggered by temperatures moving beyond the thermal tolerance limit of existing populations. We therefore expect contraction rates to be primarily dependent on the magnitude or rate of warming, as described by the velocity of climate change16, but insensitive overall to directional agreement. An analysis simultaneously evaluating the mediating effects of all these factors would provide much novel insight into the mechanisms governing climate-related shifts in species distributions17.
Figure 1.

(a) Schematic of the hypothesized effect of directional agreement between ocean currents and thermal gradients on range edge dynamics. At the leading “cold” edge of the distribution, new habitats beyond the original range become climatically suited for the species as the species’ thermal envelope expands under warming conditions. Colonization and settlement into these habitats is dependent on the dispersal capacity of the species, which is expected to be enhanced/restricted when ocean currents correspond/do not correspond with the direction of warming. Species with active dispersal capacities (e.g., fish) and lengthy larval dispersal periods (e.g., fish/holoplankton) would be better suited to exploiting favourable flow-warming conditions than those with sessile or sedentary adults and shorter larval dispersal windows (e.g., benthic invertebrates/algae). Similarly, under intensifying levels of directional mismatching, adult active dispersion (e.g., fish) should buffer the negative effects of the current direction on thermal tracking. At the trailing edge of the distribution, warming changes climate conditions within a species’ range beyond its tolerance threshold, resulting in the extirpation of local populations and in the subsequent contraction of the range. This process is expected to occur largely independently of directional agreement. (b) We define directional agreement as the cosine of the difference in angle between temperature gradients and ocean currents. The resulting index ranges from −1, where both currents and isotherm movement directions are opposite, to 1, for complete directional agreement.
Here, we used an updated3 version of a meta-database recently used2 to evaluate the global imprint of climate change on distributional changes in marine life that accounts for a total of 270 range shifts reported in the literature where climate change was proposed as a driver of the shift (Supplementary Fig. S1 and Table S1). The dataset spans multiple taxonomic groups and types of responses (i.e., shifts in population centroid and leading and trailing edges). Using generalized linear models, we employed a model selection approach18 to predict observed distribution shifts resulting from (see Methods, Table 1) (i) the changes in local climate conditions using the velocity of climate change15, (ii) the taxonomic identity of the species involved, (iii) the directional agreement between spatial gradients in sea surface temperature (SST) and ocean currents, and (iv) the location of a given shift within a species range. To define local directional agreement between spatial thermal gradients and ocean currents, we propose the use of the cosine of the difference in angles associated with both parameters (see Methods). This new, simple metric generates an index that ranges from −1 (for ocean currents in the opposite direction to spatial thermal gradients) to 1 (for currents and gradients in the same direction) (Figs 1b and 2). Both the questions being addressed and the processes involved are directly transferable to freshwater species and all terrestrial organisms relying on aerial dispersal processes, including many plants, insects, and birds.
Table 1.
Description of the two categorical predictor variables used to predict observed distribution shifts.
| Group | Early development | Adult |
|---|---|---|
| Taxonomic identity | ||
| Fish | Lecithotrophic larvae | Actively dispersing, high mobility |
| Benthic invertebrates | Planktotrophic larvae or non-pelagic development | Sessile or sedentary |
| Benthic macroalgae | Planktonic propagules | Sessile |
| Holoplankton | Planktonic with high passive drift potential | |
| Shift location | ||
| Location | Relation to warming | Governing process |
| Leading edge | Cold/high-latitude extreme | Range expansions beyond range limits in response to the development of new climatically suitable habitats |
| Trailing edge | Warm/low-latitude extreme | Range contractions within range limits in response to climatic conditions surpassing thermal tolerance |
| Distribution centroid | Whole range | Compound |
Figure 2.

Angles and resulting directional agreement between ocean surface currents and sea surface temperature gradients. Vector angles associated to (a) sea surface temperature gradients and (b) annual mean eastward and northward current flow speed components retrieved from ocean satellite-tracked drifter data (1979–2012). (c) The directional agreement between both parameters estimated as the cosine of the angle difference. (d) A non-exhaustive schematic of major surface current systems is provided for comparison. Note how prevailing northward-flowing currents in the Northern Hemisphere and southward-flowing currents in the Southern Hemisphere (e.g., Kuroshio and Brazil currents) are dominated by red colours denoting good directional agreement, whereas green colours predominate for southward flowing currents in the Northern Hemisphere and for northern flowing currents in the Southern Hemisphere (e.g., California and Humboldt currents), denoting directional mismatching. This figure was generated using ArcGIS 10.2 (ESRI, Redland, CA; www.esri.com) and R 3.2.3 (http://www.R-project.org).
Results and Discussion
We found unconditional support for the full model, including support for the effect of climate velocity and for the three-way interaction among directional agreement, biological identity and shift location, which accounts for 66% of the total variance in observed shifts; this is over 25% more than the variance explained by a model based on the climate effects alone (Table 2a). The rate of warming expressed as the velocity of climate change nevertheless has a highly statistically significant positive effect on shift rates (β = 0.21, t = 6.92, p-value = 3.9 × 10−11; Table S2) and accounts for nearly two thirds of the total variance explained by the full model (40.4%; Table 2), confirming the previously reported global effects of warming on range shifts of marine biota2. However, the effect of warming on shift responses does not concern only how fast climatic conditions are changing but also to what extent the direction of warming matches that of ocean flows, an effect modulated both by the location of a shift within a species range and by the taxonomic identity of the species involved (20.02 decline in deviance from the full model to a model without the 3-way interaction, F 253,249 = 5.94, p-value = 1.4 × 10−4).
Table 2.
Comparison of the climate-expectation Gamma (log-linked) GLMs for the prediction of shift responses (n = 270) ranked in terms of AICc values (for information on the model coefficients, see Table S2).
| Model | M1 (Full model) | M2 | M3 | M4 | Mclimate |
|---|---|---|---|---|---|
| Climate velocity | + | + | + | + | + |
| Directional Agreement (DA) | + | + | + | + | |
| Shift Location (SL) | + | + | + | + | |
| Biological Identity (BI) | + | + | + | + | |
| DA × SL | + | + | + | ||
| DA × BI | + | + | |||
| BI × SL | + | + | |||
| DA × BI × SL | + | ||||
| AICc | 6446.1 | 6898.8 | 7072 | 7306.1 | 9928.9 |
| ∆AICc | − | 452.72 | 625.96 | 860.02 | 3482.8 |
| Weight | 1 | <0.001 | <0.001 | <0.001 | <0.001 |
| D-squared | 0.66 | 0.636 | 0.629 | 0.614 | 0.404 |
Models fit the fourth-root transformed observed shifts (km/decade) weighted by the number of observed years per observation on the fourth-root transformed climate velocity estimate (km/year) and the three-way interaction among biological identity, shift location, and directional agreement between thermal gradients and current flows. Selection was based on the Akaike Information Criterion corrected for finite sample sizes (AICc). The D-squared statistic denotes the proportion of total variance explained by the model and has an analogous interpretation to that of the coefficient of determination used in linear regression models. The results are presented for the first 4 ranked models and the climate-expectation model (i.e., using only climate velocity as a predictor).
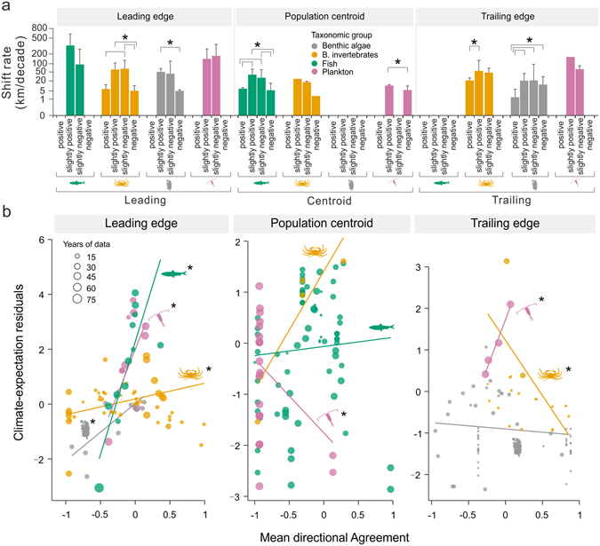
Expansion rates at the leading edge of the range decreased significantly under increasing directional mismatching between ocean currents and thermal gradients for benthic invertebrates and algae (Fig. 3a), supporting our initial expectation concerning dispersion-mediated effects of flow directionality on climate-driven range expansion (Fig. 1a). On the other hand, we found no evidence that active dispersion offsets the negative effects of mismatched directionality for fish compared to passive dispersing taxa, though our lack of observations for the most extreme directional mismatch category for fish limits our inference. Nevertheless, and though flow-dependency is arguably most important for the redistribution of sessile species relying on the passive dispersion of larvae and propagules19, highly motile taxa such as fish with active-dispersing life stages, or holoplankton which are permanent members of the plankton, should be better equipped to exploit the favourable conditions provided by flows when matching thermal gradients20. The fact that fish and plankton showed consistently faster expansion rates than benthic organisms for the same level of directional agreement supports this hypothesis (Fig. 3a), reflecting the importance of life dispersal-related history traits for range expansion.
Figure 3.

Effect of three-way interactions between directional agreement, taxonomic identity and the location of the shift within the species range (leading, centroid or trailing). (a) Mean observed shift rate (+1 standard deviation) weighted by the number of observed years per shift record and grouped by the three parameters. Directional agreement was categorized into four groups reflecting the strength of the agreement between currents and thermal gradients (cos(π/4) = 0.71; see Fig. 1b): negative [−1, −0.71], slightly negative (−0.71, 0], slightly positive (0, 0.71), and positive [0.71, 1]. Pairwise statistically significant differences between agreement categories within each location-taxa combination are denoted by an asterisk (two sample t-tests, α = 0.05). Levels not represented are those for which no data were available. (b) Scatterplots of residuals from the climate-expectation model against mean directional agreement by taxonomic group for leading edges, range centroids and trailing edges. Positive/negative residuals suggest observed responses ahead of/lagging behind the mean expected climate response. Lines correspond to the resulting fitted linear regressions weighted by the number of years per observation, with asterisks denoting the statistical significance of slopes (α = 0.05).
At the trailing edge of the range, we found indications of an opposite effect of flow directionality on climate-driven range contractions, with benthic organisms (algae and invertebrates) contracting their ranges significantly slower under increasing directional agreement (Fig. 3a). This result contradicts our initial hypothesis, as range contractions were expected to operate independently of directional agreement through the effects of climate on local populations via decreased fitness, increased mortality and ultimate extirpation as climate conditions approach and surpass physiological thresholds14. However, the physiological tolerance of local populations within a species range can vary widely due to adaptation and acclimatization to local environmental conditions7, 21. External directional forces such as ocean currents and air flows could then contribute to climate-driven extirpation dynamics by shaping how local populations are connected throughout the range of a given species22, 23. Contraction rates under directional agreement may therefore be slowed through enhanced adaptive evolution to warming in downstream populations within the distribution range, which is promoted by increasing genetic variations from the arrival of individuals from populations at the trailing edge that are already experiencing climatic conditions that will exist at higher latitudes in the future24, 25. On the other hand, under directional mismatching, the situation is reversed, with upstream populations swamping trailing edge populations with maladaptive gene flows17, 18, thus facilitating increased contraction rates.
With the exception of contraction events triggered by extreme climatic events26, climate-related range contractions are often regarded as an equally frequent27 but slower2, 14, 28 processes than expansions. Setting aside potentially confounding effects introduced by differences in detectability associated with range expansions and contractions14, the immediate effects of such discrepancies would involve an increase in the overall species range under warming conditions and the development of a biodiversity surplus as immigration rates exceed those of extinction at specific localities5. Our results point to a directional alignment between ocean flow direction and thermal gradients as a possible mechanism that may enhance such conditions, where increasing directional agreement accelerates expansion rates and delays contractions, particularly for organisms relying on the passive dispersal of planktonic eggs and larvae. Such effects could, however, be transient if reduced contraction rates signal a delayed response to warming (i.e., accrual of climatic debts)29, reversing into a future net loss of biodiversity once such a response is triggered30. An examination of the residuals from the climate-expectation model, used as a proxy for how closely species track changes in thermal conditions (see Methods), suggests that this may be the case for benthic organisms, for which trailing edges contract behind climatic conditions with increased lags (i.e., larger negative residuals) under increasing directional mismatching (Fig. 3b). On the other hand, conditions observed for these taxa under increasing levels of directional mismatching, i.e., higher contraction and lower expansion rates, are linked to a build-up of immigration lags that, if not offset in the future, can further exacerbate climate change risks. These are likely to be enhanced through habitat selectivity, with organisms with specific substrate and habitat requirements, like many benthic taxa, being more limited in their expansion to new favourable environments than generalist groups such as fish and plankton31, therefore making them more likely to develop immigration lags.
Unlike the distribution limits, no clear pattern emerged among taxonomic groups from the effects of directional agreement on shift rates at range centroids or mismatching between observed centroid shifts and climate expectations (Fig. 3). Range centroid shifts capture changes occurring within the entire range of a given species and hence are often more idiosyncratic in their responses to climate change than range edges, where populations are usually at or closer to physiological tolerance limits. Similarly, higher variation in shift response introduced by the interaction of climate change with other interactive non-climatic biotic and abiotic factors is more likely over the broader geographical extent of the entire range32.
Our results demonstrate how a contextualization of range shifts to alignment between warming and directional forces (e.g., water or wind flow) can, in combination with other factors such as life-history attributes or particular geographical and habitat settings33, 34, help explain differences in expansion and extinction rates while providing mechanistic insight into the transient and net effects of climate change on biodiversity. We show how the use of a simple metric accounting for the mean directional agreement between ocean currents and spatial thermal gradients can significantly improve the amount of variance explained in observed distribution shifts over and above those accounting for isolated effects of changes in climatic patterns. It is however necessary to acknowledge that our meta-analysis does not account for the important role of fine-scale factors on range shift responses to climate change. For example, warming often exhibits heterogeneous patterns in space, season and time, lost from long-term monotonic warming signals, that may be important drivers of observed range shift responses35. Similarly, ocean currents are highly dynamic and can change in intensity over time36 as well as present periodical changes in flow paths37 or even reverse direction seasonally38. While our model captures the mean directional effect, seasonal directionality would be particularly important if species are shifting in (a)synchrony with the appropriate phase of the current seasonal cycle. If existing, such effects will be missed from our mean-effect model resulting in increased residuals and lower predictive power, but cannot be accounted for in our meta-analysis given the lack of information on the timing of the observed biological shifts. Geographical configuration34 and biotic interactions39 are also important factors. Lastly, vertical (deepening) as well as horizontal (geographic) distribution shifts are possible40. All these factors are important and highlight the complexity in anticipating distribution shifts in response to climate change. Our metric can nonetheless be developed in relation to more specific modelling approaches. For example, the persistence and expansion of benthic organisms in asymmetric flow is mainly stochastic and is primarily dependent on the upstream dispersal of planktonic larvae via random fluctuations in currents around the mean current directionality22. The capacities to exploit opportunities offered from temporal and spatial variability windows in flow conditions are dependent on different phenological and demographic adaptations regulating traits such as the timing and number of spawning events, the number of propagules released into the water column or dispersal periods22, 41. Parallelisms can be easily found among freshwater species or terrestrial species relying on aerial dispersal mechanisms42. Our metric could be easily adapted to measure the strength of the directional agreement between flow and thermal gradients during the particular spawning/dispersal season of a given species and can be used as a predictor in species distribution modelling approaches.
Methods
Velocity of climate change
We calculated local (1° × 1° resolution) climate velocities corresponding to the time period reported for each shift observation using mean annual sea surface temperatures (SSTs) drawn from the Hadley Centre HadISST v1.1 dataset43 as the ratio of the temporal linear trend to the spatial gradient in temperature. Following Burrows et al.15, temporal trends were calculated as the slope of the linear regression of mean annual SST on time (years), and spatial gradients based on the vector sum of north-south and east-west gradients were applied to each cell using a 3 × 3 neighbourhood window. Single mean velocity estimates for each shift were then obtained from all grid cell values within a circle of radius equal to the reported shift distance2. The velocity of climate change gives the speed and direction with which hypothetical species would need to move to remain at the same temperature experienced today at a particular location in the future15.
Directional agreement between ocean flow and thermal gradients
We used ocean satellite-tracked drifter data44 of annual mean eastward and northward flow speed components (0.5° × 0.5°) averaged for 1979–2012 to estimate the corresponding bearing given by the resulting flow vector. SST spatial gradients and associated angles were calculated as shown in15 using field data collected from buoys44 for the same period to maintain consistency between thermal and flow data. The directional agreement between ocean flow and spatial thermal gradients was then estimated as the cosine of the angle difference between flow and SST gradients. This index ranges from −1 to 1 for opposite and matching directions, respectively, and takes a value of 0 when vectors are perpendicular (Fig. 1b). Single estimates were then calculated for each shift by averaging over all cell values within a circular buffer of radius equal to the reported shift distance.
Distribution shifts
Shift records were distributed globally (Fig. S1) and were sourced from the recently updated3 meta-dataset used by Poloczanska et al.2, giving a total of 391 reported climate-driven distribution shifts from 48 published studies. Given our interest in the combined effects of warming and ocean flows, we excluded observations of biota that are not confined to the aquatic environment (i.e., sea birds and terrestrial mammals, n = 5). We also lost 58 observations for which ocean flow data were not available (Figs 1 and 2e), leaving a total of 327 observations, of which 57 (17.4%) were null responses. Further information on the dataset, including data extraction, quality control and processing data, are provided elsewhere2. For the purposes of this study, for each observation, we extracted its geographic location and duration (years), the positioning of the shift within the range (range centroid, leading or trailing edge), and the reported rate of shifting (kilometres per decade) as the absolute distance shifted2.
Taxonomic identity
We grouped each observation into four general taxonomic groups (Table S1 and Fig. S1): benthic algae (n = 72), benthic invertebrates (e.g., crustaceans, molluscs, corals; n = 72), fish (bony and non-bony; n = 83), and plankton (phyto- and zooplankton; n = 43). Though grouping at a higher taxonomic resolution was possible, we decided to use these larger groups to generate comparable sample sizes, thus making comparisons among groups more meaningful while retaining overarching differences in dispersal-related traits among groups (Table 1).
Statistical analysis
Our dataset presented some analytical challenges. First, it consisted of semi-continuous shift data with a point-mass at zero (i.e., zero inflation) and a continuous right-skewed distribution for positive values. Second, a recorded zero shift response can either be a valid observed response, “true zero” with no actual shift response, or a partial observation censored at 0 resulting from a lack of detectability arising, for example, due to a poor sampling resolution. Such combined zero responses cannot be modelled using conventional Tobit models designed for censored data or using two-part zero-inflated models, which assume that all zeros are valid observed responses45. Though some alternatives have been proposed as ways to model mixed zero inflated data46, these models are not yet sufficiently adapted for the type of analysis required here. Further, given the nature of our meta-dataset, differentiating between censored and true zeros is often not clear from a given context, further hindering the application of such methods. We therefore chose to focus exclusively on reported shift responses (n = 270; Table S1 and Fig. S1), thus targeting factors driving the magnitude of observed shifts rather than those triggering such responses.
We used gamma-distributed generalized linear models (GLM) with a log-link to predict the mean magnitude of shift responses. Predictors included climate velocity estimates as climate expectations, the directional agreement between warming and ocean flows, the location of the shift within the species range, and the biological identity of the species. Our initial full model included climate velocity and three-way interactions between shift locations, biological identity with directional agreement (Table 2). We applied a multi-model averaging selection approach18 involving all possible predictor combinations from the full global model. The model selection approach was based on the Akaike Information Criterion corrected for finite sample sizes (AICc), and the proportion of total variance explained by the model was defined using the D-squared statistic47, which has an analogous interpretation to the coefficient of determination in linear regression models. Unconditional support for a candidate model was given when its corresponding AICc weight was 0.95 or higher. Model diagnostics on the resulting most parsimonious model were assessed both numerically and visually through the inspection of residual patterns (see Supplemental Material). Both climate velocities and observed shifts were fourth-root transformed to improve residual patterns.
Residuals from the climate-expectation model, which reflect the isolated effects of climate on range shifts using climate velocity as the sole predictor, were used as a proxy for a species’ capacity to track shifts in thermal conditions. Positive/negative residuals denote species that are shifting ahead of/lagging behind the mean response expected from changes in thermal conditions. Regressions of residuals against mean directional agreement for each reported shift therefore provide a contrast for how flow-thermal directionality influences the capacity of a species to track shifting thermal envelopes independently of the magnitude of that shift. To do this, we conducted a preliminary assessment using alternative velocity estimates to find the climate-expectation model yielding the best fit to the observed shifts. Differences between estimates referred to (i) the temporal extent at which velocities were calculated (either specific to each shift observation or using a fixed period running from 1960–2009 as in2); (ii) restricting or not restricting2 estimates to velocities from cells neighbouring land for coastal species; (iii) using estimates based on annual mean2 SSTs or both annual mean and maximum/minimum monthly SSTs to better define shifts at the population centroid and trailing/leading edges, respectively; (iv) using median rather than mean velocities2 when averaging regionally (i.e., very high velocities can result from small changes in temperature where spatial gradients are too shallow15); and (v) considering all velocities over a shift distance2 or only those corresponding to statistically significant changes in temperature over time to better capture the true magnitude of warming species are facing within the spatial extent dictated by the shift distance. We found unconditional support (1 model weight, 21.8 AICc units above the model ranked second; Table S3) for a model based on mean-aggregated velocity estimates comprising only statistically significant velocities (non-significant velocities taken as 0) and limited to cells neighbouring land for coastal species. Models based on median-aggregated estimates did not perform better in most cases than their counterparts based on mean values, perhaps because we truncated the spatial gradients (0.001 °C/km) when computing the local climate velocities to limit the inflating effects of near-zero spatial gradients48. Including velocities based on observation-specific time periods or using velocities based on annual mean, minimum or maximum monthly SST depending on the location of a shift within a given range also did not improve the model’s performance. The latter result may reflect a limitation of our mean monthly SST data, which failed to represent extreme climatic conditions.
Electronic supplementary material
Acknowledgements
J.G.M. is funded by the “Tenure-Track System Promotion Program” of the Japanese Ministry of Education, Culture, Sports, Science and Technology (MEXT). M.T.B. acknowledges additional support received through the UK National Environmental Research Council grant NE/J024082/1. The authors thank the constructive comments of two anonymous reviewers, which helped to improve the manuscript.
Author Contributions
All authors conceived and designed the analysis. E.S.P. provided the updated database used. J.G.M. conducted the analysis and wrote the first draft of the paper. All authors contributed equally to the discussion of ideas and commented on the manuscript.
Competing Interests
The authors declare that they have no competing interests.
Footnotes
Electronic supplementary material
Supplementary information accompanies this paper at doi:10.1038/s41598-017-01309-y
Publisher's note: Springer Nature remains neutral with regard to jurisdictional claims in published maps and institutional affiliations.
References
- 1.Parmesan C, Yohe G. A globally coherent fingerprint of climate change impacts across natural systems. Nature. 2003;421:37–42. doi: 10.1038/nature01286. [DOI] [PubMed] [Google Scholar]
- 2.Poloczanska ES, et al. Global imprint of climate change on marine life. Nat. Clim. Change. 2013;3:919–925. doi: 10.1038/nclimate1958. [DOI] [Google Scholar]
- 3.Poloczanska ES, et al. Responses of marine organisms to climate change across oceans. Front. Mar. Sci. 2016;3:62. doi: 10.3389/fmars.2016.00062. [DOI] [Google Scholar]
- 4.Lawler JJ, et al. Projected climate-induced faunal change in the Western Hemisphere. Ecology. 2009;90:588–597. doi: 10.1890/08-0823.1. [DOI] [PubMed] [Google Scholar]
- 5.García Molinos J, et al. Climate velocity and the future global redistribution of marine biodiversity. Nat. Clim. Change. 2016;6:83–88. doi: 10.1038/nclimate2769. [DOI] [Google Scholar]
- 6.Weatherdon LV, Magnan AK, Rogers AD, Sumaila UR, Cheung WWL. Observed and projected impacts of climate change on marine fisheries, aquaculture, coastal tourism, and human health: an update. Front. Mar. Sci. 2016;3:48. doi: 10.3389/fmars.2016.00048. [DOI] [Google Scholar]
- 7.Pörtner HO, Farrell AP. Physiology and climate change. Science. 2008;322:690–692. doi: 10.1126/science.1163156. [DOI] [PubMed] [Google Scholar]
- 8.Chen I-C, Hill JK, Ohlemüller R, Roy DB, Thomas CD. Rapid range shifts of species associated with high levels of climate warming. Science. 2011;333:1024–1026. doi: 10.1126/science.1206432. [DOI] [PubMed] [Google Scholar]
- 9.Lenoir J, et al. Going against the flow: potential mechanisms for unexpected downslope range shifts in a warming climate. Ecography. 2010;33:295–303. [Google Scholar]
- 10.Sunday JM, et al. Species traits and climate velocity explain geographic range shifts in an ocean-warming hotspot. Ecol. Lett. 2015;18:944–953. doi: 10.1111/ele.12474. [DOI] [PubMed] [Google Scholar]
- 11.Pinsky ML, Worm B, Fogarty MJ, Sarmiento JL, Levin SA. Marine taxa track local climate velocities. Science. 2013;341:1239–1242. doi: 10.1126/science.1239352. [DOI] [PubMed] [Google Scholar]
- 12.Palmer G, et al. Individualistic sensitivities and exposure to climate change explain variation in species’ distribution and abundance changes. Sci. Adv. 2015;1:e1400220–e1400220. doi: 10.1126/sciadv.1400220. [DOI] [PMC free article] [PubMed] [Google Scholar] [Retracted]
- 13.Sorte CJB. Predicting persistence in a changing climate: flow direction and limitations to redistribution. Oikos. 2013;122:161–170. doi: 10.1111/j.1600-0706.2012.00066.x. [DOI] [Google Scholar]
- 14.Bates AE, et al. Defining and observing stages of climate-mediated range shifts in marine systems. Glob. Environ. Chang. 2014;26:27–38. doi: 10.1016/j.gloenvcha.2014.03.009. [DOI] [Google Scholar]
- 15.Burrows MT, et al. The pace of shifting climate in marine and terrestrial ecosystems. Science. 2011;334:652–655. doi: 10.1126/science.1210288. [DOI] [PubMed] [Google Scholar]
- 16.Loarie SR, et al. The velocity of climate change. Nature. 2009;462:1052–1055. doi: 10.1038/nature08649. [DOI] [PubMed] [Google Scholar]
- 17.Lenoir J, Svenning JC. Climate-related range shifts – a global multidimensional synthesis and new research directions. Ecography. 2015;38:15–28. doi: 10.1111/ecog.00967. [DOI] [Google Scholar]
- 18.Burnham, K. P. & Anderson, D. R. Model Selection and Multimodel Inference. A Practical Information-Theoretic Approach. 488 (Springer-Verlag, 2002).
- 19.Bradbury IR, Snelgrove PVR. Contrasting larval transport in demersal fish and benthic invertebrates: the roles of behaviour and advective processes in determining spatial pattern. Can. J. Fish. Aquat. Sci. 2001;58:811–823. doi: 10.1139/f01-031. [DOI] [Google Scholar]
- 20.Vergés, A. et al. The tropicalization of temperate marine ecosystems: climate-mediated changes in herbivory and community phase shifts. Proc. R. Soc. Lond. [Biol.] 281, 20140846, 20140810.20141098/rspb.20142014.20140846 (2014). [DOI] [PMC free article] [PubMed]
- 21.Valladares F, et al. The effects of phenotypic plasticity and local adaptation on forecasts of species range shifts under climate change. Ecol. Lett. 2014;17:1351–1364. doi: 10.1111/ele.12348. [DOI] [PubMed] [Google Scholar]
- 22.Byers JE, Pringle JM. Going against the flow: retention, range limits and invasions in advective environments. Mar. Ecol. Prog. Ser. 2006;313:27–41. doi: 10.3354/meps313027. [DOI] [Google Scholar]
- 23.Pringle JM, Blakeslee AMH, Byers JE, Roman J. Asymmetric dispersal allows an upstream region to control population structure throughout a species’ range. Proc. Natl. Acad. Sci. USA. 2011;108:15288–15293. doi: 10.1073/pnas.1100473108. [DOI] [PMC free article] [PubMed] [Google Scholar]
- 24.Jump AS, Peñuelas J. Running to stand still: adaptation and the response of plants to rapid climate change. Ecol. Lett. 2005;8:1010–1020. doi: 10.1111/j.1461-0248.2005.00796.x. [DOI] [PubMed] [Google Scholar]
- 25.Simpson, S. D., Harrison, H. B., Claereboudt, M. R. & Planes, S. Long-distance dispersal via ocean currents connects Omani clownfish populations throughout entire species range. PLoS ONE9, e107610, doi:107610.101371/journal.pone.0107610 (2014). [DOI] [PMC free article] [PubMed]
- 26.Smale, D. A. & Wernberg, T. Extreme climatic event drives range contraction of a habitat-forming species. Proc. R. Soc. Lond. [Biol.] 280, 20122829, doi:20122810.20121098/rspb.20122012.20122829 (2013). [DOI] [PMC free article] [PubMed]
- 27.Sunday JM, Bates AE, Dulvy NK. Thermal tolerance and the global redistribution of animals. Nat. Clim. Change. 2012;2:686–690. doi: 10.1038/nclimate1539. [DOI] [Google Scholar]
- 28.Straub, S. C., Thomsen, M. S. & Wernberg, T. The dynamic biogeography of the anthropocene: The speed of recent range shifts in seaweeds In Seaweed Phylogeography: Adaptation and Evolution of Seaweeds under Environmental Change (eds Hu, Zi-Min & Fraser, Ceridwen) 63–93 (Springer Netherlands, 2016).
- 29.Devictor V, et al. Differences in the climatic debts of birds and butterflies at a continental scale. Nat. Clim. Change. 2012;2:121–124. doi: 10.1038/nclimate1347. [DOI] [Google Scholar]
- 30.Jackson ST, Sax DF. Balancing biodiversity in a changing environment: extinction debt, immigration credit and species turnover. Trends Ecol. Evol. 2010;25:153–160. doi: 10.1016/j.tree.2009.10.001. [DOI] [PubMed] [Google Scholar]
- 31.Menéndez R, et al. Species richness changes lag behind climate change. Proc. R. Soc. Lond. [Biol.] 2006;273:1465–1470. doi: 10.1098/rspb.2006.3484. [DOI] [PMC free article] [PubMed] [Google Scholar]
- 32.Gibson-Reinemer DK, Rahel FJ. Inconsistent range shifts within species highlight idiosyncratic responses to climate warming. PLoS ONE. 2015;10:e0132103. doi: 10.1371/journal.pone.0132103. [DOI] [PMC free article] [PubMed] [Google Scholar]
- 33.Bradshaw, C. J. A. et al. Predictors of contraction and expansion of area of occupancy for British birds. Proc. R. Soc. Lond. [Biol.] 281, 20140744, 20140710.20141098/rspb.20142014.20140744 (2014). [DOI] [PMC free article] [PubMed]
- 34.Burrows MT, et al. Geographical limits to species-range shifts are suggested by climate velocity. Nature. 2014;507:492–495. doi: 10.1038/nature12976. [DOI] [PubMed] [Google Scholar]
- 35.Sen Gupta A, et al. Episodic and non-uniform shifts of thermal habitats in a warming ocean. Deep Sea Res. (II Top. Stud. Oceanogr.) 2015;113:59–72. doi: 10.1016/j.dsr2.2013.12.002. [DOI] [Google Scholar]
- 36.van Gennip, S. J. et al. Going with the flow: the role of ocean circulation in global marine ecosystems under a changing climate. Glob. Change Biol., n/a-n/a (2017). [DOI] [PubMed]
- 37.Mizuno K, White WB. Annual and interannual variability in the Kuroshio Current system. J. Phys. Oceanogr. 1983;13:1847–1867. doi: 10.1175/1520-0485(1983)013<1847:AAIVIT>2.0.CO;2. [DOI] [Google Scholar]
- 38.Park J-H, Chang K-I, Nam S. Summertime coastal current reversal opposing offshore forcing and local wind near the middle east coast of Korea: Observation and dynamics. Geophys. Res. Lett. 2016;43:7097–7105. doi: 10.1002/2016GL069322. [DOI] [Google Scholar]
- 39.Ettinger, A. & HilleRisLambers, J. Competition and facilitation may lead to asymmetric range shift dynamics with climate change. Glob. Change Biol., n/a-n/a (2017). [DOI] [PubMed]
- 40.Kleisner KM, et al. The effects of sub-regional climate velocity on the distribution and spatial extent of marine species assemblages. PLoS ONE. 2016;11:e0149220. doi: 10.1371/journal.pone.0149220. [DOI] [PMC free article] [PubMed] [Google Scholar]
- 41.Byers JE, Pringle JM. Going against the flow: how marine invasions spread and persist in the face of advection1. ICES J. Mar. Sci. 2008;65:723–724. doi: 10.1093/icesjms/fsn012. [DOI] [Google Scholar]
- 42.Clobert, J., Baguette, M., Benton, T. G. & Bullock, J. M. Dispersal Ecology and Evolution. (Oxford University Press, 2012).
- 43.Rayner, N. A. et al. Global analyses of sea surface temperature, sea ice, and night marine air temperature since the late nineteenth century. J. Geophys. Res. Atmos. 108, doi:10.1029/2002JD002670 (2003).
- 44.Lumpkin R, Johnson GC. Global ocean surface velocities from drifters: Mean, variance, El Nino–Southern Oscillation response, and seasonal cycle. J. Geophys. Res. Oceans. 2013;118:2992–3006. doi: 10.1002/jgrc.20210. [DOI] [Google Scholar]
- 45.Lo Y. Assessing effects of an intervention on bottle-weaning and reducing daily milk intake from bottles in toddlers using two-part random effects models. J. Data Sci. 2015;13:1–20. [Google Scholar]
- 46.Moulton LH, Halsey NA. A mixture model with detection limits for regression analyses of antibody response to vaccine. Biometrics. 1995;51:1570–1578. doi: 10.2307/2533289. [DOI] [PubMed] [Google Scholar]
- 47.Guisan A, Zimmermann NE. Predictive habitat distribution models in ecology. Ecol. Model. 2000;135:147–186. doi: 10.1016/S0304-3800(00)00354-9. [DOI] [Google Scholar]
- 48.Sandel B, et al. The influence of late quaternary climate-change velocity on species endemism. Science. 2011;334:660–664. doi: 10.1126/science.1210173. [DOI] [PubMed] [Google Scholar]
Associated Data
This section collects any data citations, data availability statements, or supplementary materials included in this article.
