Abstract
Four distinct patterns of adolescents’ behavioral, emotional, and physiological responses to family conflict were identified during mother-father-adolescent (M=13.08 years) interactions. Most youth displayed adaptively-regulated patterns comprised of low overt and subjective distress. Under-controlled adolescents exhibited elevated observable and subjective anger. Over-controlled adolescents were withdrawn and reported heightened subjective distress. Physiologically reactive adolescents had elevated cortisol coupled with low overt and subjective distress. Regulation patterns were associated with unique mental health trajectories. Under-controlled adolescents had elevated conduct and peer problems whereas over-controlled adolescents had higher anxiety and depressive symptoms. Physiologically reactive adolescents had low concurrent, but increasing levels of depressive, anxiety, and peer problem symptoms. Findings underscore the importance of examining organizations of regulatory strategies in contributing to adolescent mental health.
Keywords: adolescence, regulation, family conflict, cortisol, mental health
Children’s strategies for managing stress are critical to their mental health. Building self- and emotion-regulation skills is a key developmental task (Sameroff, 2009; Thompson, 1994); the ability to successfully regulate stressful and emotionally-arousing events has positive implications for child and adolescent development (e.g., Zeman, Cassano, Perry-Parrish, & Stegall, 2006). By comparison, the inability to effectively regulate emotion and behavior during stressful events is linked to later social, emotional, and behavioral difficulties (e.g., Eisenberg et al., 2001; Shields, Cicchetti, & Ryan, 1994). Emotion regulation has been defined as the ability to monitor, evaluate, and modify emotional responses in service of one’s goals (Thompson, 1994) and has been conceptualized as a multifaceted system comprised of several component processes including emotional, behavioral, and biological components (Cicchetti, Ganiban, & Barnett, 1991; Thompson, Lewis, & Calkins, 2008). The present study sought to explore how unique patterns of adolescent regulation, manifested across emotional, behavioral, and biological responses to a family disagreement task, contribute to the emerging risk for psychopathology.
Regulation strategies may be best understood in the context in which they occur. An especially salient context in which youth are faced with stressors is within the family. The family provides everyday opportunities for youth to encounter stressful situations and develop strategies for handling and coping with stress (Zeman et al., 2006). In risky families, youth’s responses develop as an adaptive means to cope with multiple threats, including the immediate threat of family discord (Repetti, Taylor, & Seeman, 2002); over time these short-term responses may serve as precursor outcomes to later health and well-being deficits (Repetti, Robles, & Reynolds, 2011). Emotional security theory (Davies & Cummings, 1994) posits that youth's regulatory processes together reflect goal-directed strategies for restoring and maintaining felt security. As a threat to security, family discord activates multiple emotional, behavioral, and cognitive regulatory responses that serve to regain a sense of security in the family. For example, youth may exhibit increased emotional distress, including more intense and prolonged instances of anger, fear, and sadness in response to family stressors. Youth also utilize a variety of behavioral responses including avoidance, vigilance, involvement to mediate conflict, and dysregulated anger as strategies to regulate their exposure to discord (Cummings & Davies, 2010). While such response strategies may be adaptive in the short-term, serving to alleviate the immediate threat of conflict and help restore a sense of security, over time these same regulatory processes (e.g., withdrawal, aggression) may be maladaptive in broader social contexts and have cumulative developmental consequences that lead to the emergence of psychopathology.
Emotional and Behavioral Regulation Patterns
The stress and coping literature has long highlighted the importance of understanding the higher-order organization of regulatory processes which reflect an organized system of responses (Fleming, Baum, & Singer, 1984). Emotional security theory adopts an organizational perspective on regulation (Cummings & Davies, 1996); inherent in this perspective is the notion that across multiple levels of responses, strategies together reflect goal-directed behavior to preserve or restore felt security. However, many investigations of youth’s insecurity have not focused on the ways in which these different responses interact and collectively represent organized systems of responses. Presently, little is known about how these regulatory processes relate to one another and how differences in the organization of responses relate to adjustment across adolescence.
In the emotion regulation literature, dysregulation commonly takes two forms: patterns of over-control and under-control (e.g., Smith & Eisenberg, 2005). Youth exhibiting over-controlled regulation may seem well-regulated to an observer but these youth are characterized by heightened levels of inhibition, avoidance, and emotional distress. Alternatively, youth exhibiting under-controlled regulation lack the ability to constrain their emotions and behaviors. Both forms of dysregulation have been linked to adjustment problems; over-controlled regulation is associated with risk for internalizing problems whereas under-controlled regulation is related to higher rates of externalizing problems (e.g., Cole, Zahn-Waxler, Fox, Usher & Welsh, 1996; Eisenberg et al., 2001).
Dysregulated patterns of responses to family conflict may reflect goal-directed strategies to alleviate the threat and occurrence of discord, helping youth to preserve a sense of safety despite the threats posed by their family environment. In response to family adversity, both under- and over-controlled regulation may reflect hyper-responsive to threats; however, these may manifest in different strategies with under-controlled youth exhibiting overtly aggressive strategies while over-controlled youth appear inhibited and vigilant. Histories of family functioning influence the meaning discord may have for youth's security and as such discord may not pose a threat to the safety and stability of the family unit for all youth. Adaptive regulation strategies for youth who preserve a sense of security during family discord may be characterized by low to moderate levels of arousal. Several studies have explored patterns of emotion regulation in response to interadult anger in samples of both maltreated and non-maltreated youth (e.g., Cummings, 1987; Davies & Forman, 2002; El-Sheikh, Cummings, & Goetsch, 1989; Maughan & Cicchetti, 2002). For example, Maughan and Cicchetti (2002) classified children into three patterns reflecting adaptive regulation, over-controlled regulation, and under-controlled regulation. Adaptively concerned children displayed moderate levels of negative affect arousal during a background anger interaction that subsided during a post-task resolution period. Under-controlled/ambivalent children exhibited under-regulated, disorganized, and ambivalent behaviors and higher levels of both positive and negative emotionality. These children also lacked goal-directed behavior and exhibited higher levels of dysregulated arousal. Over-controlled/unresponsive children exhibited a desire to withdraw or avoid the situation and evidenced an absence or low levels of observable affective responses in combination with heightened subjective experiences of negative emotion and distress. Maltreated youth were more likely to display both over- and under-controlled patterns compared non-maltreated youth. Additionally, under-controlled youth had higher rates of social and internalizing problems supporting the notion that for a subset of children, under-controlled regulation serves as an explanatory mechanism between family risk and maladjustment.
Little research has explored youth’s regulation patterns in the context of conflict beyond childhood and less is known if these identifiable and distinct patterns continue into adolescence. Family conflict may be particularly salient during adolescence; conflicts within families peak in late childhood and early adolescence (Shanahan, McHale, Osgood, & Crouter, 2007) as children transition to adolescence and seek a balance between autonomy and relatedness within family relationships. Furthermore, adolescence is characterized by vast changes in cognition, emotion, social relationships, and physical and brain development which may contribute to the developmental stage as a sensitive period for reorganization in how responses relate to one another. Examining regulation patterns during early adolescence prior to the development of mental health problems may allow for understanding the etiology of psychopathology.
Physiological Reactivity and Regulation
Thompson et al. (2008) called attention to the need to incorporate the interactive nature of multiple regulatory processes involved in emotion regulation, including the integration of physiological processes. For example, identifying the psychological and biological processes emerging during childhood and adolescence in risky families may be important for understanding how family adversity leads to cascading mental health problems (Repetti et al., 2011). At a biological level, the hypothalamic-pituitary-adrenal axis (HPA) serves to provide protection against environmental stressors and is responsible for assembling and activating the resources necessary to cope with stressors. The HPA axis response consists of a cascade of events resulting in the release of the hormone cortisol. Cortisol production is found in response to threat in social contexts (Chen, Cohen & Miller, 2010), including when goals of self-preservation are threatened (Dickerson & Kemeny, 2004). The HPA axis is also activated in response family conflict (e.g., Davies, Sturge-Apple, & Cicchetti, 2011; Koss et al., 2013).
Efficient, adaptive HPA responses include effective regulation, activation, and termination of this system. According to allostatic load theory (McEwen & Seeman, 1999), repeated stressors can lead to alterations in the HPA axis. Two forms of altered HPA reactivity have been commonly observed in relation to environmental adversity. Hyper-activity of the HPA axis in response to an acute stressor consists of elevated levels as well as an intensified reactivity peak and a prolonged return to pre-stressor levels; over time this heightened HPA activity may cause wear and tear on the body. On the other hand, hypo-reactivity of the HPA axis is characterized as decreased sensitivity of the HPA response to acute stressors resulting in lower levels and blunted, flattened reactivity. Down-regulation of the HPA axis in response to chronic stress is thought to serve to protect against repeated elevations in cortisol production (e.g., Fries, Hesse, Hellhammer, & Hellhammer, 2005) and may represent an adaptive mechanism in response to heightened family adversity (e.g., Saxbe, Margolin, Shapiro, & Baucom, 2012). In support of examining the ways in which the HPA axis contributes to organizations of insecurity, cortisol response patterns have associated with emotional and behavioral reactivity and regulation (e.g., Davies, Sturge-Apple, Cicchetti, & Cummings, 2008; Koss et al., 2013; Lisonbee, Pendry, Mize & Gwynn, 2010) and both forms of altered responses are associated with maladjustment (e.g., Davies et al., 2011; Gunnar & Vazquez, 2006).
Adopting a Person-oriented Approach
Studies of pattern-based or person-centered approaches have typically focused on identifying a predetermined set of patterns (e.g., Cummings, 1987; Maughan & Cicchetti, 2002). To date, data-driven approaches are an emerging direction for uncovering profiles of responses in the broader emotion regulation literature (e.g., Zalewski et al., 2011); however, investigations utilizing this approach have not been conducted in response to family conflict during childhood or adolescence. Pattern-based or person-oriented analytic approaches provide unique advantages to understanding individual differences inherent in development. These analytic approaches allow for identifying and examining qualitatively different sets of responses (Muthén & Muthén, 2000). Distinct patterns reflecting differences in how responses relate to one another may advance our understanding of the divergence in functioning that emerges throughout development and allow for uncovering relations that may be masked in variable-centered approaches.
Present Study and Hypotheses
The present study extends prior research in several key directions. First, this investigation expands previous childhood research into early adolescence to examine if similar patterns of regulation are identifiable in later developmental periods. Second, the use of observations of family conflict allows for more naturalistic assessments of family functioning compared to previous research using analogue measures of anger and discord. Third, the use of latent profile analysis to identify distinct patterns of regulation allows for exploring the possibility that previous research may have masked additional patterns due to the reliance on predetermined patterns. Lastly, inclusion of youth’s physiological responses extends the focus of regulatory responses to an additional level of analysis. Consistent with previous research on youth’s responses employed in the context of conflict, the present study examines multiple regulatory responses, including affective, behavioral, and biological responses, to capture higher-order, goal-oriented organizations of responses in the salient context of family discord.
It was expected that the childhood regulation patterns would be identifiable during adolescence representing continuity in how responses organize to preserve a sense of security. As such, it was expected that the majority of adolescents would display a well-regulated response pattern during the family conflict task. Patterns consistent with over-controlled and under-controlled regulation were also expected to emerge. However, the use of latent profile analysis allowed for the emergence of newly formed patterns in this developmental period; the presence of additional patterns was an exploratory goal in this investigation. Consistent with emotional security theory, it was expected that regulation difficulties would contribute to the emergence of mental health problems evidenced during adolescence. Growth curves of adolescent symptoms were examined to assess how regulation patterns contribute to both concurrent levels and changes in adjustment across adolescence. It was expected that patterns characterized by anger and opposition would be associated with greater conduct and peer problems whereas patterns characterized by withdrawal and emotional distress would be associated with elevated levels of depression and anxiety. Patterns comprised of low emotional distress and low behavioral dysregulation, indicative of adaptive responses and security in the family system, were expected to relate to low, stable mental health symptoms. Given the exploratory nature of the investigation of cortisol reactivity, no predictions on relations with behavior or symptoms were made.
Method
Participants
Participants were mother-father-adolescent triads taking part in a dual-site, longitudinal study examining family functioning and child adjustment. Families were recruited from the South Bend, IN and Rochester, NY areas through flyers distributed at local schools, churches, grocery stores, neighborhoods, and community events. Participants were drawn from two cohorts in the larger longitudinal study; one cohort of families (n = 195) was recruited when children were in kindergarten. The second cohort (n = 85) was recruited during early adolescence to match the current grade level of children from the original cohort. There were no differences among the cohorts in T1 study variables and family demographics including family income, caregiver relationship to the child, and race/ethnicity.
Participants from the larger study were excluded from the present analysis if all three family members did not participate in the triadic family problem-solving task (n = 40), this resulted in 240 families (122 boys, 118 girls) in the present study. Non-participation in the triadic task included 1) families with single parents, 2) families in which all three members were not present during the laboratory visit, and 3) families participating in the larger longitudinal study via mailed questionnaires that were unable to attend the laboratory session due to distance or schedule conflicts. There were no differences among families in the larger study not participating in the T1 triadic family problem-solving task and those that participated in the triadic task in adolescent mental health or family demographics including parent relationship to child, race/ethnicity, and family income at T1.
Participants were representative of the communities from which they were drawn. Of participants, 73.8% were White, 17.4% were Black/African American, 4.4% were Hispanic/Latino, and 4.4% reported biracial or multiracial identities or other racial/ethnic identities. At T1, 89.5% of couples reported being married and the majority of parents were the biological parents of the study child (93.8% mothers, 79.6% fathers). The median family income range reported at T1 was $55,000-$74,999 (23.2%; range ≤$6,000 to >$125,000). Data for the current study are drawn from the early adolescent years (T1 adolescent age M = 13.08, SD = .53; T1 median grade 7th, n = 201, range 6th-8th) when families participated in three annual assessments (length of time between assessments: T1-T2 M = 1.18 years, SD = .20; T2-T3 M = 1.14 years, SD = .22). The majority of the 240 families included in analyses at T1 were retained throughout the longitudinal study (T1 to T2 retention rate: 93.3%; T2 to T3 retention rate: 94.2%). There were no differences at T1 for families lost to attrition between T1 and T3 and those retained throughout the study period among T1 study variables or most family demographics including family income, child gender, marital status, and race/ethnicity. However, adolescents lost to attrition were older (M = 13.31 years, SD = .55) compared to adolescents retained in the study (M = 13.05 years, SD = .52; F(1,234) = 6.12, p ≤ .05).
At each time point, adolescents’ teachers were recruited to complete survey questions about the child through the mail. Teachers were contacted based on maternal and adolescent nominations of the teacher that knew the child the best. Teachers were chosen if they taught core subjects (e.g., math, English, science, history, etc.) to maximize consistency among the type of classroom settings in which they interacted with the adolescent. The majority of adolescents had teacher assessments (T1 N = 218; T2 N = 183, T3 N = 184). Across all time points, 96.6% of teachers reported knowing the child moderately or very well (length of time knowing the child in months: T1 M = 11.62, SD = 9.37; T2 M = 14.12, SD = 10.58; T3 M = 13.03, SD = 9.85).
Procedure
At each of the annual assessments, mothers, fathers, and adolescents visited the laboratory designed to resemble a home living space. Parents and adolescents provided consent and assent prior to each family session. Parents were provided monetary compensation for their time and adolescents received a giftcard for their time. Teachers provided consent and received monetary compensation for each completed survey packet.
Triadic Family Problem-Solving Task (FPST)
At T1, mothers, fathers, and adolescents engaged in a seven-minute problem-solving discussion task designed to elicit adolescents’ stress and regulatory responses during a family disagreement. Prior to the start of the task, each family member was asked to individually identify a problematic topic for their family. Families were then given a two-minute period to collectively decide on one topic to discuss. Families were instructed to discuss the topic in a similar manner as they would in their home. As a goal for the task, families were also instructed to work toward a resolution or solution to their problem during the seven-minute period. Discussions were videotaped. Upon completion of the discussion, each family member completed a questionnaire about the task. The FPST was conducted consistent with other established procedures for triadic parent-child interaction tasks (e.g., Gordis, Margolin, & John, 2001; Lindahl & Malik, 1999).
Families discussed a wide variety of topics (more than 20 distinct topics). Frequently chosen topics included: responsibilities and chores (20.3%), sibling relationships (18.6%), cleaning (8.1%), rules (9.7%), video game, computer, and/or television use (6.4%), and school (5.9%). The discussed topic was most often identified by the child (58.2%; 57.8% mother; 43.9% father) and was identified by two or more family members in 48.1% of families suggesting agreement among family members regarding the sources of family discord. To assess whether the identified regulation patterns were due to differences in the laboratory FSPT, adolescents provided evaluations of the task. Adolescents rated how similar the discussion resembled disagreements occurring in the home on a 7-point likert scale (1=a lot more negative, 4=about the same, 7=a lot more positive). Adolescents also rated the seriousness of the discussed topic in their relationship with their parents on a 6-point likert scale (1=not at all, 6=a whole lot).
Saliva Collection
Adolescents provided one pre-task and three post-task saliva samples to capture HPA reactivity to the FPST. Adolescents rinsed their mouths with water 10 minutes prior to providing the series of samples to reduce the number of contaminants in the saliva. Samples were collected through passive drool with the aid of a straw. A pre-task saliva sample was collected approximately 40 minutes after arrival to the laboratory setting to allow sufficient time for the HPA axis to return to baseline levels. To capture adolescents’ reactivity to the family disagreement, post-task samples were collected 10, 20, and 30 minutes after the peak of the FPST. The peak of the FPST was predetermined to be the midpoint of the discussion to capture responses during the discussion should the family begin to come to a resolution during the latter portion of the task. This resulted in the collection of saliva samples at 14, 24, and 34 minutes after the start of the 7-minute FPST. Families visited the laboratory in the late afternoon and early evening hours to minimize the effects of the diurnal cortisol pattern (M pre-task sampling time 5:23 pm; SD = 1 hour 52 minutes).
Measures
Adolescent Self-Reports of Emotional Distress
Following the completion of the FPST, adolescents provided self-reports of the intensity of specific emotions felt during the task. Adolescents reported how much they felt each emotion on a 6-point likert scale ranging from 0 (not at all) to 5 (a whole lot). Emotions included subjective reports of feeling angry, sad, scared, worried, upset, and happy throughout the FPST. Data reduction strategies were employed to reduce the overlap among highly correlated specific emotions. Scared and worried feelings (r = .57, p ≤ .001) were averaged to create a composite report of fear and angry and upset feelings were averaged to create a composite report of anger (r = .71, p ≤ .001). This resulted in self-reports of emotional responses in the present study utilizing one-item reports of feeling sad and happy and composite reports of feeling mad (angry and upset items; α = .83) and afraid (scared and worried items; α = .69).
Cortisol
Saliva samples were assayed for salivary cortisol using a highly sensitive immunoassay at Salimetrics Inc. (State College, PA). The assay test process utilized 25µl of saliva and samples were tested in duplicate form. The test had a lower test sensitivity of .007 µg/dl and an upper test sensitivity of 3.00 µg/dl. The average intra-assay coefficient was 5.75% for the current sample. Samples were examined for outliers of four standard deviations above or below the mean. Cortisol variables for adolescents with outliers were dropped from analyses. Adolescents with missing cortisol assessments or outliers were included in analyses with missing values for their cortisol variables (n = 7). Cortisol reactivity was calculated using the area under the curve with respect to ground (AUC) utilizing the pre-task and three post-task cortisol assessments (Pruessner, Kirschbaum, Meinlschmid, & Hellhamer, 2003). Time of day was controlled for in pre-task and AUC variables by using residualized scores. Residualized scores were created by subtracting predicted scores controlling for time of day from observed scores.
Observations of Adolescent Affective-Behavioral Responses
Adolescents’ affective-behavioral responses were observationally coded from the videotaped FPST using the System for Coding Interactions and Family Functioning (SCIFF; Lindahl & Malik, 2000). The individual-level child codes provided global ratings of adolescents’ affective-behavioral responses during the task. Videotapes were coded using the Anger and Frustration, Withdrawal, Opposition/Defiance, and Positive Affect scales. Each behavioral and emotional response was assessed on a 5-point likert scale ranging from 1 (very low) to 5 (high) reflecting the degree to which each response was exhibited by the adolescent during the FPST. The Anger and Frustration scale assessed the overall level of anger, irritation, and frustration exhibited by the child coding for verbalizations, overt behavior, and emotional tone indicative of anger or frustration. The Withdrawal scale assessed the degree to which the child retreats from or avoids the discussion. This code captured the degree to which the child emotionally or physically shut down or backed off from the discussion. Body language, attitude, and tone of voice were considered in the withdrawal code. The Opposition/Defiance scale captured the extent to which the child exhibits deliberate disrespectful, noncompliant, argumentative, or distracting behaviors. The Positive Affect scale assessed the degree to which the child was happy, affectionate, and relaxed during the discussion by assessing the child’s body language, facial expressions, and tone of voice. The SCIFF has good concurrent and constructive validity (Lindahl & Malik, 2001). Twenty percent of videotaped interactions were coded by a separate trained coder to calculate reliability in the current sample. Reliability coefficients reported are single-item intraclass correlation coefficients (ICC) based on a one-way random effects analysis of variance model and absolute agreement of raters. Correlations and ICCs based on a subset of 50 tapes were Anger/Frustration: r = .77, ICC = .77; Withdrawal: r = .76, ICC = .75; Opposition/Defiance: r = .82, ICC = .81; and Positive Affect: r = .70, ICC = .65.
Depressive Symptoms
Adolescents completed the Center for Epidemiologic Studies Depression Scale (CES-D; Radloff, 1977) at each of the time points. The 20-item measure assesses depressive symptomology over the past week. Adolescents reported how frequently they experienced each item on a 4-point likert scale; scores were summed with higher scores indicating more depressive symptoms. The CES-D had adequate internal reliability in the current sample (α range: .86–.87). Scores of 16 or higher indicate clinical levels of depression in adult samples. Adolescents in the present study reported scores of 16 or greater at 18.4% (T1), 19.3% (T2), and 23.4% (T3). The CES-D has been found to be suitable for assessing depression in adolescence (Radloff, 1991; Roberts, Andrews, Lewinsohn, & Hops, 1990).
Anxiety Symptoms
Adolescents completed the Revised Children’s Manifest Anxiety Scale at each of the three time points (RCMAS; Reynolds & Richmond, 1978). Adolescents rated each of the 28 statements as true or not true on a yes/no scale. The number of yes responses was summed with higher scores indicating more anxiety symptoms. The RCMAS had adequate internal reliability in the current sample (α range: .86–0.87). Scores of 19 or greater reflect potential clinical levels of anxiety on the RCMAS. In the present sample, adolescents reported scores of 19 or greater at 7.9% (T1), 5.5% (T2), and 4.6% (T3). The RCMAS has good construct validity and adequate reliability during adolescence (Reynolds, 1980; Reynolds & Paget, 1983).
Peer Problems
Adolescents and teachers completed the peer problems subscale of the Strengths and Difficulties Questionnaire at each of the annual assessments (SDQ; Goodman, 1997). The 5-item peer problem scale assesses the adolescent’s difficulties with same-age peers. Participants rated the items on a 3-point likert scale. Scores were summed and higher scores indicated more peer problems. Adolescent and teacher reports were averaged to create a composite score of peer problems at each time point; use of multiple informants has been found to be more sensitive in predicting psychiatric disorders on the SDQ (Goodman, Ford, Simmons, Gatward, & Meltzer, 2000). Adolescent and teacher reports were significantly correlated (T1-T3 r range: .23–.30, all ps ≤ .001); the degree of overlap across teachers and adolescents is consistent with the larger literature (e.g., Achenbach, McConaughy, & Howell, 1987; Muris, Meesters, Eijkelenboom & Vincken, 2004). The composite SDQ peer problem scale had adequate internal reliability in the current sample (α range: .66–.70).
Conduct Problems
Adolescents and teachers also completed the conduct problems subscale of the SDQ at each time point. The 5-item conduct problems subscale assesses adolescent delinquent behavior. Participants rated the items on a 3-point likert scale. Scores were summed and higher scores indicated more conduct problems. Adolescent and teacher reports were averaged to create a composite score of conduct problems at each time point. Adolescent and teacher reports were significantly correlated (T1-T3 r range: .33–.46, all ps ≤ .001). The composite SDQ conduct problem scale had adequate internal reliability in the current sample (T1-T3 α range: .71–.75).
Results
Means and standard deviations for the whole sample and interclass correlation among all study variables are presented in Table 1. Latent profile analysis was conducted to identify different patterns of adolescent regulation. Multi-group latent growth curve modeling was conducted to examine group differences in growth curves of mental health symptoms. All subsequent analyses utilize the residualized cortisol variables accounting for time of day of the collection. Raw cortisol data ranged from .01 to .44 after the exclusion of outliers and 34% of adolescents had an increase from pre-task to at least one of the three post-task samples.
Table 1.
Correlations and descriptive statistics
| Variables | 1 | 2 | 3 | 4 | 5 | 6 | 7 | 8 | 9 | 10 | 11 | 12 | 13 | 14 | 15 | 16 | 17 | 18 | 19 | 20 | 21 | 22 |
|---|---|---|---|---|---|---|---|---|---|---|---|---|---|---|---|---|---|---|---|---|---|---|
| Adolescent-Report of Emotions | ||||||||||||||||||||||
| 1. Mad | -- | |||||||||||||||||||||
| 2. Scared | .34** | -- | ||||||||||||||||||||
| 3. Sad | .57** | .44** | -- | |||||||||||||||||||
| 4. Happy | −.38** | −.10 | −.24** | -- | ||||||||||||||||||
| Affective Behavioral Responses | ||||||||||||||||||||||
| 5. Anger/Frustration | .37** | .11 | .13* | −.13* | -- | |||||||||||||||||
| 6. Withdrawal | .08 | −.03 | .09 | −.14* | −.21** | -- | ||||||||||||||||
| 7. Opposition/Defiance | .25** | .04 | .08 | −.03 | .66** | −.18** | -- | |||||||||||||||
| 8. Positive Affect | −.13* | −.09 | −.08 | .21** | −.12 | −.36** | .02 | -- | ||||||||||||||
| Physiological Response | ||||||||||||||||||||||
| 9. Pre-task Cortisol | −.11 | −.04 | −.04 | .11 | −.07 | −.08 | −.02 | .03 | -- | |||||||||||||
| 10. Cortisol AUCg | −.06 | .01 | −.04 | .14* | −.13* | −.08 | −.11 | .06 | .72** | -- | ||||||||||||
| Adolescent Outcomes | ||||||||||||||||||||||
| 11. T1 Depression | .16* | .28** | .24** | −.05 | .10 | .01 | .08 | −.05 | −.15* | −.16* | -- | |||||||||||
| 12. T2 Depression | .09 | .25** | .10 | .05 | .05 | −.04 | .05 | .12 | −.06 | −.03 | .49** | -- | ||||||||||
| 13. T3 Depression | .13 | .24** | .20** | −.04 | −.03 | −.03 | .-03 | .06 | .01 | −.02 | .33** | .59** | -- | |||||||||
| 14. T1 Anxiety | .19** | .43** | .25** | −.001 | −.03 | .12 | −.10 | .02 | −.09 | −.09 | .60** | .49** | .42** | -- | ||||||||
| 15. T2 Anxiety | .11 | .34** | .30** | −.04 | −.07 | .04 | −.11 | .05 | .03 | .03 | .43** | .63** | .50** | .64** | -- | |||||||
| 16. T3 Anxiety | .09 | .30** | .19** | −.05 | −.04 | −.03 | −.15* | .10 | .07 | .08 | .32** | .44** | .68** | .49** | .64** | -- | ||||||
| 17. T1 Peer Problems | .09 | .003 | .02 | −.06 | .12 | .05 | .13 | −.10 | −.10 | −.13 | .34** | .14 | .08 | .26** | .07 | .06 | -- | |||||
| 18. T2 Peer Problems | .06 | .17* | .11 | .03 | −.01 | −.10 | .11 | −.001 | .05 | .11 | .31** | .36** | .30** | .37** | .33** | .28** | .45** | -- | ||||
| 19. T3 Peer Problems | .03 | .16* | .03 | .03 | −.04 | −.04 | −.03 | .03 | −.03 | −.03 | .27** | .26** | .22** | .32** | .12 | .21** | .50** | .62** | -- | |||
| 20. T1 Conduct Probs | .23** | .02 | .004 | −.12 | .19** | .19** | .19** | −.15* | −.08 | −.07 | .39** | .26** | .15 | .32** | .24** | .17* | .45** | .37** | .25** | -- | ||
| 21. T2 Conduct Probs | .14 | .15* | .07 | −.02 | .10 | .12 | .12 | −.13 | −.11 | −.09 | .45** | .37** | .25** | .36** | .33** | .17* | .40** | .39** | .29** | .70** | -- | |
| 22. T3 Conduct Probs | .14 | .13 | .09 | −.07 | .04 | .13 | .09 | −.04 | −.08 | −.08 | .20* | .28** | .26** | .14 | .13 | .12 | .12 | .16 | .27** | .47** | .54** | -- |
| Mean | .78 | .33 | .47 | 2.30 | 1.83 | 2.56 | 1.96 | 2.00 | .00 | .00 | 9.96 | 10.38 | 10.80 | 8.12 | 8.05 | 8.56 | 1.37 | 1.32 | 1.49 | 1.07 | 1.14 | 1.08 |
| Standard Deviation | 1.14 | .65 | .97 | 1.67 | 1.15 | 1.31 | 1.36 | 1.03 | .07 | 3.40 | 8.48 | 8.42 | 9.26 | 5.85 | 5.65 | 5.53 | 1.37 | 1.28 | 1.36 | 1.24 | 1.29 | 1.14 |
Note. Pre-task and AUCg cortisol are residualized variables.
p ≤ .05,
p ≤ .01.
Latent Profile Analysis
Latent profile analysis (LPA) was conducted in MPLUS (Version 6; Muthén & Muthén, 1998–2010) to identify the number of distinct regulation profiles. Mixture modeling approaches assume a population is comprised of a mix of qualitatively distinct subgroups in which group membership is unknown or unmeasured. In LPA, individuals are classified into meaningful profiles based on similarity among their observed continuous variables. In the present study, profiles were determined based on differences in adolescents’ emotional, behavioral, and physiological responses to the FPST to reflect different organizations of regulation responses. To determine the appropriate number of profiles, models were compared using two commonly used criteria: the Bootstrap Likelihood Ratio Test (BLRT) and the Bayesian Information Criterion (BIC). The BLRT indicates whether a given model fits the data significantly better than a model with (k – 1) profiles (e.g., a statistical test comparing the 2- vs. 3-profile models). Additionally, models with the lowest or minimized BIC values indicate good fit when compared across multiple models with different numbers of profiles. The BIC statistic has also been found to be a good indicator of the number of profiles (Nylund, Asparouhov, & Muthén, 2007). Upon identification of the appropriate number of profiles, the most likely class membership approach was used. Adolescents were categorized into the profile in which they have the highest probability of being a member (LPA model results provide the probability of being assigned to each distinct profile). In simulation studies, most likely class membership has been found to be a suitable method for examining auxiliary variables when entropy is .80 or greater (Clark & Muthén, 2009). Entropy is a statistic reflecting the degree of classification, with values of 1.0 reflecting perfect classification. Entropy for the best-fitting model in the current study was .95, thus participants were classified into the categorical regulation pattern with which they had the highest probability of being a member.
Four-Class Solution of Adolescent Regulation Patterns
Adolescents’ emotional, behavioral, and cortisol responses to family conflict were included in the latent profile analysis. Means for all indicators and variances of the cortisol variables were free to vary across profiles. One-, two-, three-, four-, and five-profile models were examined. The five-profile model was not identified. Results of the LPA support a four-profile solution (see Table 2). Adolescents were assigned to the regulation profile in which they had the highest probability of being a member. Average posterior probabilities for class membership of the four-class model ranged from .97 to .99; values of 1.00 indicate perfect classification.
Table 2.
Model Selection Criteria for Comparison of the 1-, 2-, 3-, 4-, and 5-Class Models
| No. Classes | BIC | Entropy | BLRT | |
|---|---|---|---|---|
| 1 | 6595.38 | -- | -- | |
| 2 | 6083.90 | .92 | ≤.001 | |
| 3 | 5842.99 | .94 | ≤.001 | |
| 4 | 5691.14 | .95 | ≤.001 | |
| 5 | Model not identified | -- | -- | -- |
Note. Bolded values indicated best-fitting model. BIC = Bayesian Information Criteria. BLRT = Parametric Bootstrapped Likelihood Ratio Test.
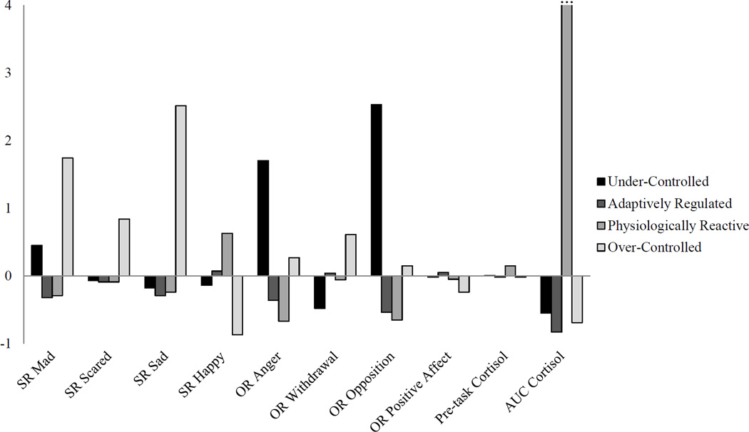
Means and standard deviations of model indicators for each regulation profile are displayed in Table 3. Figure 1 displays the deviation of each profile mean from the sample mean for the model indictors. Each profile was given a descriptive label based on the pattern of regulation indicators. The majority of adolescents (67%, n = 160) were classified into an adaptively regulated (AR) pattern. These adolescents reported lower levels of subjective distress, displayed lower levels of observable distress, and had relatively low cortisol responses to the FPST. Three additional patterns emerged among the remaining adolescents. A pattern consistent with under-controlled (UC) regulation emerged (15%, n = 37). These adolescents displayed higher levels of overt opposition/defiance and overt anger/frustration coupled with elevated subjective reports of feeling angry. A pattern consistent with over-controlled (OC) regulation also emerged (9%, n = 22). These adolescents displayed increased levels of overt withdrawal along with elevated subjective reports of feeling scared, angry, and sad. Lastly, a pattern emerged consisting of adolescents who displayed a larger increase in cortisol reactivity in response to the FPST. These physiologically reactive (PR) adolescents (9%, n = 21) were similar to the adaptively regulated adolescents in terms of low subjective distress and overt behavioral responses; however, these youth displayed higher pre-task and increased cortisol reactivity.
Table 3.
Profile Means and Standard Deviations for Self-Report of Emotions, Observational Affective Behaviors, and Physiological Reponses during the Family Problem Solving Task
| Profile |
||||||||||
|---|---|---|---|---|---|---|---|---|---|---|
| Under- Controlled (UC) |
Adaptively Regulated (AR) |
Physiologically Reactive (PR) |
Over- Controlled (OC) |
Grand Mean | ||||||
| Self-Report Emotions | M | (SD) | M | (SD) | M | (SD) | M | (SD) | M | (SD) |
| Mad | 1.26ade | (1.47) | .46ac | (.73) | .50df | (.76) | 2.57cef | (1.38) | .78 | (1.14) |
| Scared | .26e | (.48) | .24c | (.54) | .24f | (.58) | 1.18cef | (1.03) | .33 | (.65) |
| Sad | .30e | (.57) | .18c | (.46) | .24f | (.44) | 3.00cef | (.87) | .47 | (.97) |
| Happy | 2.17 | (1.81) | 2.36c | (1.60) | 3.00f | (1.64) | 1.45cf | (1.71) | 2.30 | (1.67) |
| Observational Affective Behaviors | ||||||||||
| Anger/Frustration | 3.57ade | (1.28) | 1.48ac | (.70) | 1.10df | (.30) | 2.09cef | (1.23) | 1.83 | (1.15) |
| Withdrawal | 2.05ae | (.97) | 2.60a | (1.32) | 2.52 | (1.44) | 3.14e | (1.32) | 2.56 | (1.31) |
| Opposition/Defiance | 4.54ade | (.69) | 1.43ac | (.69) | 1.29df | (.78) | 2.14cef | (1.28) | 1.96 | (1.36) |
| Positive Affect | 1.97 | (1.07) | 2.05 | (1.01) | 1.95 | (1.28) | 1.77 | (.81) | 2.00 | (1.03) |
| Physiological Responses | ||||||||||
| Adjusted Pre-task Cortisol Level | .00ad | (.04) | −.02ab | (.03) | .16bcd | (.13) | −.02c | (.03) | .00 | (.07) |
| Adjusted Area Under the Curve | −.58d | (1.26) | −.82b | (1.25) | 7.70bcd | (7.02) | −.66c | (1.29) | .00 | (3.40) |
Note. Superscript denotes mean differences between groups at p≤.05.
AR vs. UC comparison,
AR vs. PR comparison,
AR vs. OC comparison,
UC vs. PR comparison,
UC vs. OC comparison, and
PR vs. OC comparison.
Figure 1.
Profile Specific Deviations from Sample Mean for Regulation Indices.
Demographic Group Differences
A chi-square test was conducted to examine differences in child gender among the four patterns; results revealed no differences in the proportion of boys and girls among the four patterns of regulation (χ2(3) = 3.44, ns). A one-way analysis of variance (ANOVA) was conducted to determine if family income, T1 adolescent age, time of day of the FPST, and wake time differed across the four regulation patterns. Results revealed no significant differences among the four patterns (F(3,234) = .32, ns; F(3,232) = .58, ns; F(3,235) = 1.57, ns; F(3,235) = .21, ns, respectively).
ANOVAs and chi-square difference tests were conducted to examine whether regulation patterns were due to different characteristics of the FPST. There were no differences among the four patterns in the degree to which adolescents reported that the FPST resembled disagreements in the home (F(3,234) = 1.26, ns; sample M = 4.76, SD = 1.24; likert scale point 4 = about the same), the degree to which adolescents reported the seriousness of the topic discussed (F(3,237) = 1.27, ns; sample M = 3.89, SD = 1.26), the topic discussed (χ2(63) = 63.39, ns), or which combination of family members generated the selected topic (χ2(18) = 8.05, ns). Collectively, these results suggest that the adolescent regulation patterns were not attributed to differences in the specific topics discussed or the degree to which the topic was problematic for the family.
Multi-group Latent Growth Curve Modeling
The structural equation modeling framework (SEM) was used to fit multi-group linear latent growth models (LGM) to examine differences in the growth of adolescent mental health symptoms among regulation patterns identified in the LPA. Separate LGMs were fit using manifest variables of adolescent-report of symptoms of depression and anxiety and composite teacher and adolescent reports of peer problems and conduct problems. Full-information maximum likelihood estimation was utilized; this approach allows for the inclusion of participants with partial data. A chi-square difference test was used to compare nested models with parameters free to vary or constrained to be equal among the groups. Residual error variances were constrained to be equal across time points. Adolescent age was examined as a time-varying covariate of mental health symptoms; age was not a significant covariate of symptoms in any of the four subsequent models and was thus excluded as a covariate in the subsequent model results presented.
Depressive Symptoms
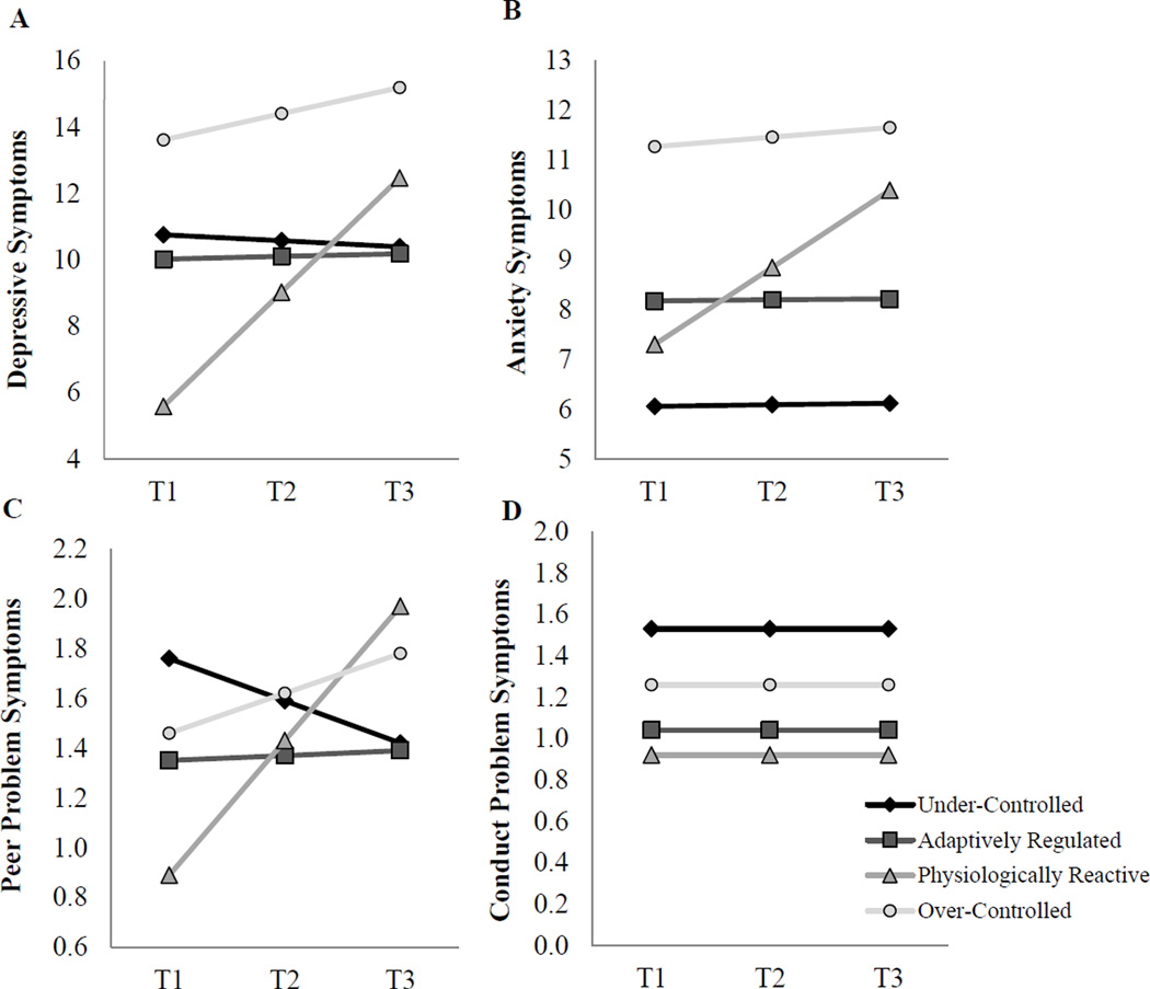
A chi-square difference test was used to compare nested models to examine if a model with group-specific parameters fit the data better than a constrained model. The constrained model fit the data significantly worse (χ2(30) = 82.21) than the model with the means of the intercept and slope parameters and the residual variances free to vary among the four regulation patterns (χ2(21) = 54.31, Δdf = 9, χ2 difference = 27.90, p ≤ .001), providing support for group differences in growth of depressive symptoms. The linear growth curves of depressive symptoms for each regulation pattern are depicted in Figure 2A. Group-specific parameters are displayed in Table 4. OC adolescents had elevated depressive symptoms at T1. OC, UC, and AR adolescents had stable levels of depressive symptoms across early adolescence. PR adolescents had the lowest levels of depressive symptoms at T1; however, this group also had significant growth and the steepest rise in symptoms across early adolescence. Wald tests of parameter constraints were conducted to examine differences in intercept and slope means among the regulation patterns. OC, UC, and AR adolescents had higher initial depressive symptoms compared to the PR group (χ2(1) = 10.82, p ≤ .001; χ2(1) = 5.81, p ≤ .05; χ2(1) = 6.84, p ≤ .01, respectively). Additionally, there was a trend for OC adolescents reporting higher initial depressive symptoms compared to AR adolescents (χ2(1) = 3.28, p = .07). PR adolescents had significantly greater growth in depressive symptoms compared to AR and UC adolescents (χ2(1) = 9.28, p ≤ .01; χ2(1) = 6.31, p ≤ .05, respectively).
Figure 2.
Trajectories of Adolescent Depressive, Anxiety, Peer Problem, and Conduct Problem Symptoms for Each Regulation Pattern.
Note. Conduct problem trajectories reflect intercept-only no-growth model results.
Table 4.
Multi-group Growth Parameters for Change in Adolescent Mental Health Symptoms by Regulation Pattern
| Regulation Patterns |
||||||
|---|---|---|---|---|---|---|
| Under- Controlled |
Adaptively Regulated |
Physiologically Reactive |
Over- Controlled |
|||
| Depressive Symptoms | ||||||
| Intercept | Mean | 10.76*** | 10.03*** | 5.59*** | 13.62*** | |
| Variance a | 42.15*** | |||||
| Slope | Mean | − .18 | .08 | 3.44*** | .79 | |
| Variance a | 13.28*** | |||||
| Anxiety Symptoms | ||||||
| Intercept | Mean | 6.06*** | 8.18*** | 7.30*** | 11.28*** | |
| Variance a | 22.82*** | |||||
| Slope | Mean | .03 | .02 | 1.55* | .19 | |
| Variance a | 3.18** | |||||
| Peer Problem Symptoms | ||||||
| Intercept | Mean | 1.76*** | 1.35*** | .89** | 1.46*** | |
| Variance a | 1.02*** | |||||
| Slope | Mean | − .17 | .02 | .54*** | .16 | |
| Variance a | .07 | |||||
| Conduct Problem Symptomsb | ||||||
| Intercept | Mean | 1.53*** | 1.04*** | .92*** | 1.26*** | |
| Variance a | .75*** | |||||
Note.
Variances constrained to be equal across regulation patterns.
An intercept-only, no growth model was fit for Conduct Problems.
p ≤ .05,
p ≤ .01,
p ≤ .001.
Anxiety Symptoms
The constrained model fit the data significantly worse (χ2(30) = 54.09) than the model with the means of the intercept and slope parameters and the residual variances free to vary among the four regulation patterns (χ2(21) = 27.02; Δdf = 9, χ2 difference = 27.07, p ≤ .01), providing support for group differences in the growth of anxiety symptoms. Linear growth curves of anxiety symptoms for each regulation pattern are depicted in Figure 2B and group-specific parameters are displayed in Table 4. OC adolescents had stable, elevated anxiety symptoms across the study period. UC and AR adolescents had stable levels of anxiety symptoms across early adolescence with UC adolescents reporting the lowest levels of anxiety. PR adolescents had increasing anxiety symptoms across early adolescence. Wald tests of parameter constraints were conducted to examine differences in intercept and slope means among the regulation patterns. OC adolescents had significantly higher levels of concurrent anxiety symptoms compared to UC, PR, and AR adolescents (χ2(1) = 10.02, p ≤ .01; χ2(1) = 4.85, p ≤ .05; χ2(1) = 4.74, p ≤ .05, respectively). Additionally, UC adolescents had significantly lower initial levels of anxiety symptoms compared to AR adolescents (χ2(1) = 4.08, p ≤ .05). The PR adolescents had significantly greater growth compared to AR adolescents (χ2(1) = 5.47, p ≤ .05) and a marginal trend compared to the UC adolescents (χ2(1) = 3.62, p = .06).
Peer Problems
A multi-group model with means of the intercept and slope variables and the residual variance free to vary across groups fit the data significantly better (χ2(21) = 54.71) than a model with parameters constrained to be equal among groups (χ2(30) = 73.31, Δdf = 9, χ2difference = 18.60, p ≤ .05). Linear growth curves of peer problem symptoms for each regulation pattern are depicted in Figure 2C and group-specific parameters are displayed in Table 4. UC adolescents had elevated levels of peer problems at T1. The slope factor for changes in peer problem symptoms was non-significant for UC, OC, and AR adolescents. PR adolescents displayed the lowest concurrent levels of peer problems; however, these adolescents showed significant increases in peer problems across early adolescence. Wald tests of parameter constraints were conducted to examine differences in intercept and slope means among the regulation patterns. UC adolescents had significantly higher initial levels of peer problems compared to the PR adolescents (χ2(1) = 5.85, p ≤ .05). PR adolescents had significantly greater growth in peer problems compared to AR adolescents (χ2(1) = 9.75, p ≤ .01). PR adolescents also had significantly different growth curves compared to UC adolescents (χ2(1) = 11.58, p ≤ .001).
Conduct Problems
A multi-group model with group-specific parameters did not fit the data better (χ2(21) = 53.00) than a constrained model (χ2(30) = 69.45, Δdf = 9, χ2 difference = 16.45, ns) suggesting no group differences in growth curves of conduct problems. Subsequently, an intercept-only (no growth) model was fit to examine group differences in T1 conduct problems. The multi-group model with group-specific intercept means and residual variances (χ2(27) =60.33) fit the data significantly better than the constrained model (χ2(33) =75.79, Δdf = 6, χ2difference = 15.46, p ≤ .05) suggesting differences in T1 intercepts. UC adolescents had the highest rates of T1 conduct problems (see Figure 2D). Wald tests of parameter constraints were conducted to examine differences in intercept means among the regulation patterns. UC adolescents had significantly higher rates of T1 conduct problems compared to AR and PR adolescents (χ2(1) = 5.50, p ≤ .05; χ2(1) = 3.94, p ≤ .05, respectively).
Discussion
The present study contributes to the growing literature examining differences in youth’s regulation patterns reflecting unique constellations of regulatory strategies utilized during times of stress. Consistent with hypotheses, distinct patterns of adolescent responses during a family conflict task were identified across multiple systems, including adolescents’ subjective distress, observable affective behaviors, and physiological stress responses. The under-controlled, over-controlled, and adaptively regulated patterns were consistent with previous research on younger children’s patterns of responses to conflict (e.g., Cummings, 1987; El-Sheikh et al., 1989; Maughan & Cicchetti, 2002) suggesting that higher-order regulation patterns remain prevalent in early adolescence. Unique to this investigation, the emergence of the physiologically reactive pattern highlights the importance of including additional indicators of stress, beyond behavioral and subjective distress, to capture adolescents at risk for mental health problems. Adopting a narrow focus on any one level of analysis would have missed identifying youth at heightened risk for concurrent or emerging mental health problems.
Consistent with research in community samples, a large majority of adolescents displayed adaptive regulation in the face of family conflict, that is, low levels of observable behavioral disruptions and subjective distress during the family conflict task were characteristic of these adolescents. This group evidenced stability in low mental health symptoms across adolescence. For many youth conflict may represent a manageable stressor that does not pose a threat to their sense of security and the family represents a context in which they build effective regulation skills. While the majority of the sample was characterized as adaptively regulated, three distinct patterns of dysregulation emerged. The family context provides adolescents with everyday opportunities to encounter and manage stress. In accordance with emotional security theory, dysregulated strategies for handling family stressors may serve to alleviate stress for adolescents in the short-term; however, these strategies may lead to problems in broader developmental contexts and contribute to maladjustment. Consistent with this notion, the multi-group latent growth curve analyses indicated differences in adolescents’ concurrent and subsequent mental health symptoms.
Adolescents characterized as under-controlled exhibited elevated levels of observable anger, opposition, and defiance during family conflict in combination with increased feelings of anger during the task. Adolescents who utilize disruptive regulation strategies during conflict may also apply these strategies of delinquent and aggressive behaviors to other broader developmental contexts. As expected, under-controlled adolescents had higher concurrent levels of conduct problems (see also Cummings, 1987; Maughan & Cicchetti, 2002). Under-controlled adolescents also reported elevated levels of peer problems. The behaviors associated with an under-controlled regulation pattern, namely increased anger, defiance, and opposition, likely produce social situations in which peers find interaction with these adolescents difficult. On the other hand, over-controlled adolescents were characterized by withdrawn and avoidant behaviors during the family discussion. In addition, these adolescents reported elevated levels of subjective distress, including increased rates of feeling anger, fear, and sadness during the family conflict task. Withdrawn behaviors may serve to minimize feelings of emotional insecurity; however, may place adolescents at risk for internalizing problems. This pattern of responses to family conflict was also related to feelings of emotional distress and withdrawal in broader contexts of functioning. Consistent with hypotheses, elevated anxiety and depressive symptoms remained stable across the study for these adolescents. Both under-controlled and over-controlled patterns were associated with concurrent heightened mental health symptoms suggesting that regulation strategies serving as mechanisms for disruptions in broader functioning may be well-established prior to adolescence for some youth. Research on emotional insecurity during childhood does find support for the longitudinal prediction of heightened internalizing and externalizing problems prior to adolescence (Cummings & Davies, 2010). Because heightened symptoms were already present at the FPST assessment, we cannot assess directionality between regulation strategies in the family context and the emergence of mental health symptoms for the under-controlled and over-controlled adolescents. Use of longitudinal designs earlier in development will be necessary to disentangle whether the specific patterns uncovered in the present study serve as precursors to specific constellations of mental health symptoms.
Lastly, a physiologically reactive pattern emerged; these adolescents displayed marked activation of the HPA axis in response to the family conflict task. Despite this increased cortisol response, these adolescents displayed effective regulation of their affective and behavioral responses. This group may represent a sophisticated form of regulation resulting in masking of observable distress. However, masking strategies are hypothesized to be associated with increased subjective distress (Davies & Forman, 2002); the present group of adolescents did not report elevated levels of subjective distress. While the physiologically reactive adolescents were observably and subjectively similar to the adaptively regulated adolescents, there were differences in their trajectories of mental health. The physiologically reactive adolescents had lower concurrent depressive symptoms and peer problems; however, these adolescents displayed pronounced growth in depressive, anxiety, and peer problem symptoms across the study period. This pattern of regulation may represent a group of adolescents, who while effectively regulated and well-adjusted during childhood, experience emerging regulation problems during adolescence. This activation of the HPA axis in response to conflict may serve as precursor to later problems. The results in the present investigation are consistent with research on adolescents’ mental health and HPA functioning; Shirtcliff and Essex (2008) found elevated basal cortisol was related to increases in mental health problems across the transition to adolescence. Repeated activation of the HPA axis in response to family stressors can take a toll on the body and may result in subsequent down-regulation of the HPA axis. Longitudinal research is needed to examine whether the heightened HPA activity in response to conflict that preceded the emergence of mental health problems in the present study is followed by a blunting of the system over time. The identification of this physiologically reactive pattern highlights the need to incorporate multiple levels of analysis in the study of stress regulation. The lack of correspondence between physiological and behavioral regulation has been supported in pattern-based approaches in infants exposed to marital conflict (Towe-Goodman, Stifter, Mills-Koonce, Granger, & The Family Life Project Key Investigators, 2011) suggesting activation of the HPA response may reflect an at-risk group that remains unidentified in studies solely using behavioral assessments of regulation. Future research will be necessary to assess whether this heightened HPA activity is associated with newly emerging disruptions in the family system.
There were no differences in youth’s cortisol reactivity among the under-controlled, over-controlled, and adaptively regulated adolescents. Elevated levels of cortisol in response to the FPST were found among a minority of participants; this is consistent with investigations of cortisol during conflict-paradigms and is hypothesized to reflect individual differences in experiences with family adversity (Gunnar, Talge, & Herrera, 2009). Previous research on basal cortisol levels and mental health support the notion that concurrent mental health symptoms are associated with lower HPA activity (Shirtcliff & Essex, 2008). Both the under-controlled and over-controlled groups had elevated concurrent mental health problems at the time of the family conflict task which may contribute to the lack of an elevated cortisol response for these groups. However, lack of distinction from the adaptively regulated group precludes interpretations of low cortisol as blunted responses in the present investigation that have been found in previous investigations of family adversity and the HPA axis (e.g., Saxbe et al., 2012).
There were no differences in the proportion of girls and boys in each regulation pattern. The lack of gender differences is consistent with previous research on child gender and strategies used to regulated exposure to conflict experienced in the family (Cummings & Davies, 2010). Research supports the notion that conflict may be an equally threatening context for boys and girls. Given the small sample sizes within the dysregulated regulation patterns, gender differences were not examined in mental health growth curves; however, gender differences in internalizing and externalizing problems become more pronounced throughout adolescence.
The findings in the present study support the notion that differences in regulation patterns serve as a mechanism to different forms of maladjustment and provide further evidence that regulation strategies utilized in the family may relate to general strategies and approaches for dealing with stress in multiple developmental contexts. Additional research is necessary to understand if the patterns identified in the present study develop as an adaptation to the family context or reflect inherent differences in the way in which the child interacts with the world. Youth's regulation strategies in response to family stressors are expected to not only reflect the immediate context of discord (e.g., the FPST paradigm), but also their histories of experience with discord and family adversity (Cummings & Davies, 1996). Thus, additional research is necessary to examine how youth's exposure to family adversity impacts the development of specific profiles of regulation. Drawing on emotional security theory, it is expected that all three dysregulated patterns would be associated with heightened family adversity. Histories of family adversity and the timing of risk likely contribute to the development of specific patterns of responses. Future research is needed to disentangle the contributions of strategies developed as a result of characteristics of family adversity and intrinsic characteristics of youth such as temperament and genetic factors that account for individual differences in the manifestation of specific forms of insecurity despite exposure to similar risky environments.
The present study is not without limitations. The sample utilized in the present study is a community sample, largely represented by well-functioning families. Consistent with this notion, the majority of adolescents displayed an adaptively regulated pattern of responses. This resulted in unequal and smaller sample sizes among the dysregulated patterns and may contribute to a reduction in power to detect effects. Future studies utilizing a balance of normative and high risk families may allow for a better understanding of differences in the dysregulated patterns. While the use of the family conflict task increased the ecological validity of how adolescents respond to family conflict, this task diminished generalizability and control such that not all families experienced the same levels of family conflict throughout the task. Differences in the occurrence and manner in which families handle conflict may differentially result in the necessity for some adolescents to employ strategies to manage a stressful situation. However, adolescents reported no differences in the degree of similarity between the FPST and conflict in the home or the seriousness of the issue discussed during the FPST among the different regulation patterns. While the present study sought to examine families at yearly intervals, there is variation in the length of time between measurement occasions due to accommodating families’ busy lives that may contribute additional error in the longitudinal growth models. While the magnitude of correlations across reports in the present study is consistent with the larger literature (e.g., Achenbach et al., 1987; Muris et al., 2004), it should also be noted that correlations between adolescent- and teacher-report of behavior problems were low in some cases indicating little shared variance among these different reporters. Future research would benefit from additional reporters and assessments that would allow for the creation of latent variables to better model the underlying construct of adolescent mental health. Given the nature of the task and measures, distinctions between reactivity and regulation in adolescents’ emotional, behavioral, and physiological responses were not possible and these responses likely capture both reactivity and regulation. Nevertheless, the methodology in the present study allowed for assessing the unique family context in which adolescence experience and respond to discord on a regular basis. Lastly, it should be noted that the groups identified through the latent profile analysis may not reflect true subgroups within the population (Bauer & Shanahan, 2007). However, the regulation profiles identified are consistent with previous investigations within the literature during childhood (Cummings, 1987; Maughan & Cicchetti, 2002) and the profiles identified in the present study relate to unique constellations adolescent outcomes. Future research replicating the identified regulation patterns is necessary.
The present study provides initial support for the continuance of regulation patterns during adolescence. Adolescents utilize a variety of strategies to handle and cope with conflict; however, not all adolescents utilize the same strategies for managing stress and differences in these strategies may relate to differences in mental health trajectories. Employing person-oriented approaches for understanding higher-order regulation patterns is a promising direction for regulation research. Patterns of regulation represent coherent goal-directed organizations of individual responses providing a new understanding of the role of these strategies in the larger network of regulatory process in leading to unique trajectories of adolescent mental health.
Acknowledgments
This research was supported by grant R01 MH57318 from the National Institute of Mental Health awarded to Patrick T. Davies and E. Mark Cummings. Support was provided to Kalsea J. Koss by a dissertation fellowship from the American Psychological Foundation and was supported by National Institute of Mental Health training grants (T32 MH015755 and T32 MH018921) during the preparation of this article. The authors are grateful to the families and teacher who participated in this project. Their gratitude is also expressed to the staff and students who assisted on various stages of the project at the University of Notre Dame and the University of Rochester; in particular to Jana Lam for her assistance with the observational coding.
Contributor Information
Kalsea J. Koss, Vanderbilt University
E. Mark Cummings, University of Notre Dame.
Patrick T. Davies, University of Rochester
Dante Cicchetti, University of Minnesota and Mt. Hope Family Center, University of Rochester.
References
- Achenbach TM, McConaughy SH, Howell CT. Child/adolescent behavioral and emotional problems: Implications of cross-informant correlations for situational specificity. Psychological Bulletin. 1987;101:213–232. [PubMed] [Google Scholar]
- Bauer DJ, Shanahan MJ. Modeling complex interactions: Person-centered and variable-centered approaches. In: Little TD, Bovaird JA, Card NA, editors. Modeling contextual effects in longitudinal studies. Mahwah, N.J.: Lawrence Erlbaum Associates; 2007. pp. 255–283. [Google Scholar]
- Chen E, Cohen S, Miller GE. How low socioeconomic status affects 2-year hormonal trajectories in children. Psychological Science. 2010;21:31–37. doi: 10.1177/0956797609355566. [DOI] [PubMed] [Google Scholar]
- Cicchetti D, Ganiban J, Barnett D. Contributions from the study of high-risk populations to understanding the development of emotion regulation. In: Garber J, Dodge KA, editors. The development of emotion regulation and dysregulation. Cambridge studies in social and emotional development. New York: Cambridge University Press; 1991. pp. 15–48. [Google Scholar]
- Clark SL, Muthén B. Relating latent class analysis results to variables not included in the analysis. 2009 Manuscript submitted for publication. Retrieved from http://www.statmodel.com/papers. [Google Scholar]
- Cole PM, Zahn-Waxler C, Fox NA, Usher BA, Welsh JD. Individual differences in emotion regulation and behavior problems in preschool children. Journal of Abnormal Psychology. 1996;105:518–529. [PubMed] [Google Scholar]
- Cummings EM. Coping with background anger in early childhood. Child Development. 1987;58:976–984. doi: 10.1111/j.1467-8624.1987.tb01433.x. [DOI] [PubMed] [Google Scholar]
- Cummings EM, Davies PT. Emotional security as a regulatory process in normal development and the development of psychopathology. Development and Psychopathology. 1996;8:123–139. [Google Scholar]
- Cummings EM, Davies PT. Marital conflict and children: An emotional security perspective. New York, NY: The Guilford Press; 2010. [Google Scholar]
- Davies PT, Cummings EM. Marital conflict and child adjustment: An emotional security hypothesis. Psychological Bulletin. 1994;116:387–411. doi: 10.1037/0033-2909.116.3.387. [DOI] [PubMed] [Google Scholar]
- Davies PT, Forman EM. Children’s patterns of preserving emotional security in the interparental subsystem. Child Development. 2002;73:1880–1903. doi: 10.1111/1467-8624.t01-1-00512. [DOI] [PubMed] [Google Scholar]
- Davies PT, Sturge-Apple ML, Cicchetti D. Interparental aggression and children’s adrenocortical reactivity: Testing an evolutionary model of allostatic load. Development and Psychopathology. 2011;23:801–814. doi: 10.1017/S0954579411000319. [DOI] [PMC free article] [PubMed] [Google Scholar]
- Davies PT, Sturge-Apple ML, Cicchetti D, Cummings EM. Adrenocortical underpinnings of children’s psychological reactivity to interparental conflict. Child Development. 2008;79:1693–1706. doi: 10.1111/j.1467-8624.2008.01219.x. [DOI] [PMC free article] [PubMed] [Google Scholar]
- Dickerson SS, Kemeny ME. Acute stressors and cortisol responses: A theoretical integration and synthesis of laboratory research. Psychological Bulletin. 2004;130:355–391. doi: 10.1037/0033-2909.130.3.355. [DOI] [PubMed] [Google Scholar]
- Eisenberg N, Cumberland A, Spinrad TL, Fabes RA, Shepard SA, Reiser M, Murphy BC, Losoya SH, Guthrie IK. The relations of regulation and emotionality to children’s externalizing and internalizing problem behavior. Child Development. 2001;72:1112–1134. doi: 10.1111/1467-8624.00337. [DOI] [PubMed] [Google Scholar]
- El-Sheikh M, Cummings EM, Goetsch VL. Coping with adults’ angry behavior: Behavioral, physiological, and verbal responses in preschoolers. Developmental Psychology. 1989;25:490–498. [Google Scholar]
- Fleming R, Baum A, Singer JE. Toward an integrative approach to the study of stress. Journal of Personality and Social Psychology. 1984;46:939–949. doi: 10.1037//0022-3514.46.4.939. [DOI] [PubMed] [Google Scholar]
- Fries E, Hesse J, Hellhammer J, Hellhammer DH. A new view on hypocortisolism. Psychoneuroendocrinology. 2005;30:1010–1016. doi: 10.1016/j.psyneuen.2005.04.006. [DOI] [PubMed] [Google Scholar]
- Goodman R. The strengths and difficulties questionnaire: A research note. Journal of Child Psychology and Psychiatry. 1997;38:581–586. doi: 10.1111/j.1469-7610.1997.tb01545.x. [DOI] [PubMed] [Google Scholar]
- Goodman R, Ford T, Simmons H, Gatward R, Meltzer H. Using the strengths and difficulties questionnaire (SDQ) to screen for child psychiatric disorders. British Journal of Psychiatry. 2000;177:534–539. doi: 10.1192/bjp.177.6.534. [DOI] [PubMed] [Google Scholar]
- Gordis EB, Margolin G, John RS. Parents’ hostility in dyadic marital and triadic family settings and children’s behavioral problems. Journal of Consulting and Clinical Psychology. 2001;69:727–734. doi: 10.1037//0022-006x.69.4.727. [DOI] [PubMed] [Google Scholar]
- Gunnar MR, Talge NM, Herrera A. Stressor paradigms in developmental studies: What does and does not work to produce mean increases in salivary cortisol. Psychoneuroendocrinology. 2009;34:953–976. doi: 10.1016/j.psyneuen.2009.02.010. [DOI] [PMC free article] [PubMed] [Google Scholar]
- Gunnar MR, Vazquez DV. Stress neurobiology and developmental psychopathology. In: Cicchetti D, Cohen DJ, editors. Developmental Psychopathology (Vol. 2): Developmental Neuroscience. Hoboken, NJ: John Wiley & Sons; 2006. pp. 533–577. [Google Scholar]
- Koss KJ, George MRW, Davies PT, Cicchetti D, Cummings EM, Sturge-Apple Patterns of children’s adrenocortical reactivity to interparental conflict and associations with child adjustment: A growth mixture modeling approach. Developmental Psychology. 2013;49:317–326. doi: 10.1037/a0028246. [DOI] [PMC free article] [PubMed] [Google Scholar]
- Lindahl KM, Malik NM. Observations of marital conflict and power: Relations with parenting in the triad. Journal of Marriage and the Family. 1999;61:320–330. [Google Scholar]
- Lindahl KM, Malik NM. System for coding interactions and family functioning (SCIFF) Miami, FL: University of Miami; 2000. Unpublished manual. [Google Scholar]
- Lindahl KM, Malik NM. The System for Coding Interactions and Family Functioning. In: Kerig PK, Lindahl KM, editors. Family observational coding systems: Resources for systemic research. Philadelphia, PA: Brunner/Mazel; 2001. pp. 75–90. [Google Scholar]
- Lisonbee JA, Pendry P, Mize J, Gwynn EP. Hypothalamic-pituitary-adrenal and sympathetic nervous system activity and children’s behavioral regulation. Mind, Brain, and Education. 2010;4:171–181. [Google Scholar]
- Maughan A, Cicchetti D. Impact of child maltreatment and interadult violence on children’s emotion regulation abilities and socioemotional adjustment. Child Development. 2002;73:1525–1542. doi: 10.1111/1467-8624.00488. [DOI] [PubMed] [Google Scholar]
- McEwen BS, Seeman T. Protective and damaging effects of mediators of stress: Elaborating and testing the concepts of allostasis and allostatic load. Annals of the New York Academy of Sciences. 1999;896:30–47. doi: 10.1111/j.1749-6632.1999.tb08103.x. [DOI] [PubMed] [Google Scholar]
- Muris P, Meesters C, Eijkelenboom A, Vincken M. The self-report version of the strengths and difficulties questionnaire: Its psychometric properties in 8- to 13-year old non-clinical children. British Journal of Clinical Psychology. 2004;43:437–448. doi: 10.1348/0144665042388982. [DOI] [PubMed] [Google Scholar]
- Muthén BO, Muthén LK. Integrating person-centered and variable-centered analyses: Growth mixture modeling with latent trajectory classes. Alcoholism: Clinical and Experimental Research. 2000;24:882–891. [PubMed] [Google Scholar]
- Muthén LK, Muthén BO. Mplus User’s Guide. Sixth. Los Angeles, CA: Muthén & Muthén; 1998–2010. [Google Scholar]
- Nylund KL, Asparouhov T, Muthén BO. Deciding on the number of classes in latent class analysis and growth mixture modeling: A Monte Carlo simulation study. Structural Equation Modeling. 2007;14:535–569. [Google Scholar]
- Pruessner JC, Kirschbaum C, Meinlschmid G, Hellhamer DH. Two formulas for computation of area under the curve represent measures of total hormone concentration versus time-dependent change. Psychoneuroendocrinology. 2003;28:916–931. doi: 10.1016/s0306-4530(02)00108-7. [DOI] [PubMed] [Google Scholar]
- Radloff LS. The CES-D scale: A self-report depression scale for research in the general population. Applied Psychological Measurement. 1977;1:385–401. [Google Scholar]
- Radloff LS. The use of the Center for Epidemiologic Studies of depression scale in adolescents and young adults. Journal of Youth and Adolescence. 1991;20:149–166. doi: 10.1007/BF01537606. [DOI] [PubMed] [Google Scholar]
- Reynolds CR. Concurrent validity of what I think and feel: The revised children’s manifest anxiety scale. Journal of Consulting and Clinical Psychology. 1980;48:774–775. doi: 10.1037//0022-006x.48.6.774. [DOI] [PubMed] [Google Scholar]
- Repetti RL, Robles TF, Reynolds B. Allostatic processes in the family. Development and Psychopathology. 2011;23:921–938. doi: 10.1017/S095457941100040X. [DOI] [PubMed] [Google Scholar]
- Repetti RL, Taylor SE, Seeman TE. Risky families: Family social environments and the mental and physical health of offspring. Psychological Bulletin. 2002;128:330–366. [PubMed] [Google Scholar]
- Reynolds CR, Paget KD. National normative and reliability data for the revised children’s manifest anxiety scale. School Psychology Review. 1983;12:324–336. [Google Scholar]
- Reynolds CR, Richmond BO. What I think and feel: A revised measure of children’s manifest anxiety. Journal of Abnormal Child Psychology. 1978;6:271–280. doi: 10.1007/BF00919131. [DOI] [PubMed] [Google Scholar]
- Roberts RE, Andrews JA, Lewinsohn PM, Hops H. Assessment of depression in adolescents using the center for epidemiologic studies of depression scale. Psychological Assessment: A Journal of Consulting and Clinical Psychology. 1990;2:122–128. [Google Scholar]
- Sameroff AJ. Conceptual issues in studying the development of self-regulation. In: Olson SL, Sameroff AJ, editors. Biopsychosocial regulatory processes in the development of childhood behavioral problems. New York, NY: Cambridge University Press; 2009. pp. 238–257. [Google Scholar]
- Saxbe DE, Margolin G, Shapiro LAS, Baucom BR. Does dampened phsyiolgoical reactivity protect youth in aggressive family environments? Child Development. 2012;83:821–830. doi: 10.1111/j.1467-8624.2012.01752.x. [DOI] [PMC free article] [PubMed] [Google Scholar]
- Shanahan L, McHale SM, Osgood DW, Crouter AC. Conflict frequency with mothers and fathers from middle childhood to late adolescence: Within- and between-families comparisons. Developmental Psychology. 2007;43:539–550. doi: 10.1037/0012-1649.43.3.539. [DOI] [PubMed] [Google Scholar]
- Shields AM, Cicchetti D, Ryan RM. The development of emotional and behavioral self-regulation and social competence among maltreated school-age children. Development and Psychopathology. 1994;6:57–75. doi: 10.1017/S0954579400005885. [DOI] [PubMed] [Google Scholar]
- Shirtcliff EA, Essex MJ. Concurrent and longitudinal associations of basal and diurnal cortisol with mental health symptoms in early adolescence. Developmental Psychobiology. 2008;50:690–703. doi: 10.1002/dev.20336. [DOI] [PMC free article] [PubMed] [Google Scholar]
- Smith CL, Eisenberg N. Self-regulation. In: Fisher CB, Lerner RM, editors. Encyclopedia of applied developmental science. Thousand Oaks, CA: Sage; 2005. pp. 977–980. [Google Scholar]
- Thompson RA. Emotion regulation: A theme in search of definition. Monographs of the Society for Research in Child Development. 1994;59:25–52. [PubMed] [Google Scholar]
- Thompson RA, Lewis MD, Calkins SD. Reassessing emotion regulation. Child Development Perspectives. 2008;2:124–131. [Google Scholar]
- Towe-Goodman NR, Stifter CA, Mills-Koonce WR, Granger DA The Family Life Project Key Investigators. Interparental aggression and infant patterns of adrenocortical and behavioral stress responses. Developmental Psychobiology. 2011;54:685–699. doi: 10.1002/dev.20618. [DOI] [PMC free article] [PubMed] [Google Scholar]
- Zalewski M, Lengua LJ, Wilson AC, Trancik A, Bazinet A. Emotion regulation profiles, temperament, and adjustment problems in preadolescents. Child Development. 2011;82:951–966. doi: 10.1111/j.1467-8624.2011.01575.x. [DOI] [PMC free article] [PubMed] [Google Scholar]
- Zeman J, Cassano M, Perry-Parrish C, Stegall C. Emotion regulation in children and adolescents. Developmental and Behavioral Pediatrics. 2006;27:155–168. doi: 10.1097/00004703-200604000-00014. [DOI] [PubMed] [Google Scholar]


