Abstract
Background
Aphasia is an acquired deficit in the ability to communicate through language. Noninvasive neuromodulation offers the potential to boost neural function and recovery, yet the optimal site of neuromodulation for aphasia has yet to be established. The right posterolateral cerebellum is involved in multiple language functions, interconnects with left-hemisphere language cortices, and is crucial for optimization of function and skill acquisition, suggesting that cerebellar neuromodulation could enhance aphasia rehabilitation.
Objective
To provide preliminary behavioral and functional connectivity evidence from healthy participants that cerebellar neuromodulation may be useful for rehabilitation of aphasia.
Methods
In Experiment 1, 76 healthy adults performed articulation and verbal fluency tasks before and after anodal, cathodal or sham transcranial direct current stimulation (tDCS) was applied over two cerebellar locations (anterior, right posterolateral). In Experiment 2, we examined whether anodal tDCS over the right posterolateral cerebellum modulated resting-state functional connectivity in language networks in 27 healthy adults.
Results
TDCS over the right posterolateral cerebellum significantly improved phonemic fluency. Cerebellar neuromodulation increased functional connectivity between the cerebellum and areas involved in the motor control of speech, and enhanced the correlations between left-hemisphere language and speech-motor regions.
Conclusions
We provide proof-of-principle evidence that cerebellar neuromodulation improves verbal fluency and impacts resting-state connectivity in language circuits. These findings suggest that the cerebellum is a viable candidate for neuromodulation in people with aphasia.
Keywords: aphasia, cerebellum, transcranial direct current stimulation (tDCS), language, neuromodulation, resting-state fMRI
Introduction
Aphasia is an impairment in the ability to understand or use language. One-third of all stroke survivors – approximately 250,000 new people each year in the USA – suffer from aphasia (Engelter et al., 2006). In two-thirds of these cases, recovery is incomplete, resulting in decreased quality of life, limited independence, and substantial long-term disability (Cruice, Worrall, & Hickson, 2011; Ellis, Simpson, Bonilha, Mauldin, & Simpson, 2012; Gialanella, Bertolinelli, Lissi, & Prometti, 2011; Lyon, 1992). With approximately 33 million stroke survivors worldwide (Feigin et al., 2013), roughly 6–7 million have chronic aphasia, and there are no effective medical treatments to improve recovery. Currently, the only widely accepted treatment options are speech-language therapies, which have benefit, but do not result in satisfactory recovery (Brady, Kelly, Godwin, & Enderby, 2012). In recent years, non-invasive neuromodulation techniques have emerged as augmentative treatments with potential to either boost the effects of speech-language therapy or engender greater spontaneous recovery from aphasia (Hamilton, Chrysikou, & Coslett, 2011).
Repetitive transcranial magnetic stimulation (rTMS) and transcranial direct current stimulation (tDCS) are neuromodulation methods that can increase or decrease cortical excitability and have shown promise for improving stroke recovery (Schlaug, Renga, & Nair, 2008; Webster, Celnik, & Cohen, 2006). The most common rTMS treatment for aphasia attempts to inhibit the right pars triangularis, part of the right hemisphere homolog to Broca’s area which may interfere with aphasia recovery (Chrysikou & Hamilton, 2011; Turkeltaub, 2015; Turkeltaub et al., 2012; Turkeltaub, Messing, Norise, & Hamilton, 2011) or possibly word-finding more generally (Naeser et al., 2011). Several small randomized clinical trials have demonstrated that this approach improves various measures of language function in people with aphasia (Ren et al., 2014). A few rTMS studies have aimed to excite the left perilesional cortex, with possible beneficial effects on aphasia (Szaflarski et al., 2011). Whether either treatment approach has a clinically meaningful impact on functional communication remains unclear.
Compared with TMS, tDCS has a broader anatomic area of effect, is less expensive, more portable, marginally safer, and more easily paired with speech therapy, making it more amenable to widespread clinical use (Schlaug & Renga, 2008). For these reasons, in recent years the focus of non-invasive neuromodulation work in aphasia has shifted from rTMS to tDCS. Approaches to tDCS treatment have been somewhat more varied than rTMS treatments, involving inhibitory protocols, excitatory protocols, or both. Like in rTMS studies, the targets of stimulation have been limited to left hemisphere peri-lesional areas and right hemisphere language homologs (de Aguiar, Paolazzi, & Miceli, 2015). These studies have been too varied in their designs and too small to draw any firm conclusions about the clinical effects of these treatments (Elsner, Kugler, Pohl, & Mehrholz, 2013). Thus, it remains unclear whether the current approaches to neuromodulation for aphasia – targeting the left peri-lesional cortex or right hemisphere language homologs – provide the greatest possible benefit.
A few studies have attempted to optimize the benefit of neuromodulation by individually targeting stimulation based on fMRI activity or responses to single sessions of stimulation at various sites (Fridriksson, Richardson, Baker, & Rorden, 2011; Naeser et al., 2005; Shah-Basak et al., 2015). None, however, have examined stimulation of sites other than the left peri-lesional cortex or right hemisphere language homologs. There are theoretical and practical limitations to these approaches, and it is possible that neuromodulation of an alternative target may be advantageous. Here, we conducted two experiments in healthy young adults to provide proof-of-principle data to test the therapeutic potential of neuromodulation of the right cerebellum for post-stroke aphasia.
Why is the cerebellum a potential tDCS target site to treat aphasia? In the last 25 years, our understanding of the role of the cerebellum in language has expanded beyond its traditional role in articulatory control and the dysarthric speech that can result from cerebellar damage (Marien et al., 2014; Murdoch, 2010). Anatomically, tract-tracing studies have revealed connections between the lateral cerebellar hemispheres and frontal and parietal association areas in the contralateral cerebral cortex (Kelly & Strick, 2003; Strick, Dum, & Fiez, 2009), including connections between the right lateral cerebellum and left frontal language areas (Kelly & Strick, 2003). Clinically, damage to the cerebellum has been associated with deficits in phonemic and semantic fluency, grammar, and syntax (for review, see De Smet, Paquier, Verhoeven, & Marien, 2013). Poorer phonemic and semantic fluency in patients with cerebellar degeneration cannot be fully accounted for by slower articulation speed, suggesting a cerebellar role in language beyond articulation (Stoodley & Schmahmann, 2009a). Functional neuroimaging in healthy individuals further links the cerebellum and language: right posterolateral cerebellar activation is evident during a wide range of language tasks, as demonstrated in meta-analyses of published imaging studies (Keren-Happuch, Chen, Ho, & Desmond, 2014; Stoodley & Schmahmann, 2009b) and in prospective neuroimaging studies of cerebellar activation during verb generation (Fig 1; Stoodley, Valera, & Schmahmann, 2010, 2012). Overt articulation engages the anterior sensorimotor cerebellar representations of articulatory muscles, whereas paradigms such as verbal fluency and verb generation engage more lateral cerebellar hemispheres which connect to prefrontal cortices (Stoodley & Schmahmann in Marien et al., 2014; Stoodley et al., 2012). Further, because the cerebellum is thought to be particularly important during skill learning, contributing to the optimization and automatization of performance, it is possible that cerebellar neuromodulation – acting via the established cerebro-cerebellar circuits with left-hemisphere language regions – could enhance post-stroke aphasia recovery.
Figure 1. Cerebellar functional topography.
Results from meta-analysis (left, Stoodley & Schmahmann, 2009b) and prospective fMRI studies (right, Stoodley et al., 2010, 2012) demonstrating topology of cerebellar functional areas. On the right, red = right index finger tapping; blue = verb generation; purple = n-back working memory; green = mental rotation.
Consistent with this concept, increased activation in the right cerebellum has been associated with improved outcome in people with aphasia (Heath et al., 2013; Szaflarski, Allendorfer, Banks, Vannest, & Holland, 2013). Further, gray matter volume in bilateral cerebellar areas is reduced in chronic post-stroke aphasia, and the degree of atrophy is associated with worse than expected speech production outcomes given the severity of the stroke (Xing et al., 2015). Thus, we hypothesize that cerebellar neuromodulation using tDCS could improve aphasia recovery through its roles in language, learning, and its anatomical connections with left hemisphere language areas.
In healthy individuals, cerebellar anodal tDCS enhances visuomotor adaptation, motor learning and retention of learned motor skills (Galea et al., 2011; Schlerf, Galea, Bastian, & Celnik, 2012; Wessel et al., 2015), but the effects of cerebellar tDCS on cognitive performance are more varied (see Grimaldi et al., 2016 for review).
Here we aim to provide proof-of-principle evidence of the potential for cerebellar tDCS to affect language performance and cerebro-cerebellar language circuits. If cerebellar tDCS is to be a potential treatment for aphasia, it is important to show that cerebellar tDCS can improve performance on language paradigms. Further, to understand whether neuromodulation of a distal site, connected anatomically to the site of damage (e.g. left hemisphere language regions in the case of aphasia), is an effective approach to neurorehabilitation following stroke, we need to show that there are distal effects on broader cerebro-cerebellar circuits following cerebellar tDCS. Therefore, the current study examined the effects of tDCS polarity (anodal vs. cathodal) and location of application (medial vs. lateral cerebellum) on articulation and verbal fluency in healthy young adults. Secondly, we combined cerebellar anodal tDCS with resting-state functional MRI to examine the effects of cerebellar neuromodulation on cerebro-cerebellar language networks.
Materials and Methods
Experiment 1. Does cerebellar tDCS modulate articulation and verbal fluency performance?
Participants
Seventy-six healthy adults participated in the study (30 males, 46 females; mean ± SD age 23.7 ± 6.2 years). Participants provided written, informed consent and received compensation for their time, and the study was approved by the Institutional Review Board of Georgetown University Medical Center. All participants were right-handed, native English speakers with no history of neurological injury or psychiatric or developmental disorder, and no contraindications for tDCS, including pregnancy or current use of medications that could modulate the effects of tDCS (Hesse et al., 2007).
The participants were divided into three groups that received either sham tDCS (15 participants), anodal tDCS (n=30), or cathodal tDCS (n=30). Within the active tDCS conditions (anodal, cathodal), groups were further divided into those receiving cerebellar tDCS to an anterior, medial site (“motor” position; n=15 in cathodal group, n=16 in anodal group) and those where the cerebellar tDCS was applied over the right posterolateral cerebellum (“cognitive” position; n=15 in cathodal group, n=15 in anodal group).
tDCS application and parameters
The NeuroConn DC-Stimulator Plus (NeuroConn GmbH, Ilmenau, Germany) was used to apply tDCS via two 5×5cm saline-soaked electrodes. One electrode was placed over the cerebellum and the reference electrode was placed on the right deltoid. Modeling of cerebellar tDCS by Parazzini and colleagues (2013) revealed that the maximal electric field and current density were localized to the cerebellar cortex, with minimal spread to other regions. To modulate anterior, motor regions of the cerebellum (see Stoodley & Schmahmann, 2010 for review), the electrode was placed 3cm lateral to the inion over the right cerebellum, a montage which has been shown to affect motor cortex activity (Galea, Jayaram, Ajagbe, & Celnik, 2009). To modulate regions of the cerebellum involved in cognitive processes (see Stoodley & Schmahmann 2009b, 2010), the electrode was placed 1cm down and 4cm lateral to the inion, over the right cerebellum (“cognitive” position). This electrode placement is estimated to be over lobule VII and has been shown to modulate cognitive performance (Pope & Miall, 2012). tDCS was applied for 20min at 2mA in the active conditions. This level of current applied for 20 min yields roughly 30 min following the tDCS during which the subject could complete the experimental tasks while under the effects of tDCS (Galea et al., 2009). In the sham condition, the current was ramped up over 15 s and then ramped down again (Nitsche et al., 2003).
Behavioral measures
Three behavioral measures were used to tap articulo-motor and cognitive-linguistic aspects of speech. Each participant completed the tasks before and after receiving active or sham tDCS for 20 minutes. The tasks included phonemic fluency, as well as two articulation tasks. The order of the tasks was counterbalanced across participants.
To test phonemic fluency, we used the Controlled Oral Word Association Task (COWAT) with the letters C, F, L at one time point and P, R, W at the other. These forms of the COWAT were chosen because there is a high correlation (r = .82, n = 54) between the two forms, which allowed us to test phonemic fluency before and after tDCS while avoiding practice effects that could skew the results (Benton, Hamsher, & Sivan, 1994). The order of the forms was counterbalanced across participants and included as a covariate in analyses. During this task, subjects were orally prompted by the experimenter to verbally generate as many words as they could think of that started with each of the letters during a 1 min period.
In the articulation conditions, participants were asked to repeat /ba/ (simple articulation) or /pa ta ka/ (sequenced articulation) for 30 s. Repetition of monosyllabic items requires successive opening and closing movements of the vocal tract and are widely recognized as a test of articulatory performance (Ackermann & Hertrich, 2000). These two conditions served as motor controls for the cognitive condition to show that any change observed in the fluency task were not due to effects on motor processes underlying articulation of speech. Further, in the condition where tDCS was applied to the anterior cerebellum, comparing performance on these two tasks allowed us to observe the effects of tDCS on simple (/ba/) and more complex (/pa ta ka/) motor tasks requiring articulatory sequencing.
Data analyses
Verbal responses during each task were recorded using a Sony USB noise-cancelling microphone for offline scoring. The digital voice recordings were analyzed using Audacity (http://audacity.sourceforge.net/), which allowed us to determine the rate of speech in syllables (/ba/) per sec or units (/pa ta ka/) per second. To be consistent with the 30-s articulation tasks, we analyzed the first 30 s of data in the verbal fluency task. When scoring the fluency results, irregular plural forms (ex. people/person) of a word were counted separately, but regular plural forms of a word (ex. cat/cats) were only counted as one response. Similarly, derivations that changed grammatical class (ex. run/runner) were scored as separate responses, while variations on inflectional morphology (ex. run/running) were only counted as one response. These scoring rules are based on evidence that regular inflections are computed online using morphological rules, whereas irregular inflections are stored as separate lexical items (Pinker & Ullman, 2002; Prado & Ullman, 2009), and, similarly, that derivational morphology is composed and stored differently than inflectional morphology (Laudanna, Badecker, & Caramazza, 1992; Miceli & Caramazza, 1988, although also see Raveh & Rueckl, 2000). As such, irregular inflections and derivations may reflect retrieval of a new lexical item, whereas regular inflections likely do not.
Because performance on these brief tasks may vary considerably based on effort and attention, and effects of tDCS are expected to be relatively small, we excluded participants with task performance far outside the group (greater than ± 2 SD from the mean) on any task either before or after tDCS. This resulted in exclusion of 10 participants from the analysis (3 each from the anodal-motor and sham groups, two from the cathodal-cognitive group, and one each from the anodal-cognitive and cathodal-motor groups). The final group consisted of 66 participants (25 males, 41 females; mean ± SD age 23.6 ± 5.9 years). There were no significant differences between the five groups in age or education.
Statistical analyses were performed in SPSS 22 using repeated-measures ANOVAs for each of the three tasks, with a within-subject factor of time point (pre-tDCS, post-tDCS), and between-subjects factors of polarity (anodal, cathodal, sham), and location (motor, cognitive, sham). Although sham participants had the electrode placed at either the cognitive or the motor position (counterbalanced within the sham group), coding the location of stimulation for sham participants separately allowed identification of an effect of location without having to add an additional between-subjects factor of active vs. sham tDCS. For the ANOVA on the COWAT scores, the order of form administration (CFL pre-tDCS, PRW pre-tDCS) was entered as an additional between-subjects factor.
Experiment 2. Does cerebellar tDCS modulate activation in cerebro-cerebellar language circuits?
Participants
All participants provided written, informed consent and were compensated for their time. The study was approved by the Georgetown University Medical Center Institutional Review Board. Twenty-seven healthy young adults participated in the study (23 females, 4 males; mean ±SD age 24.4 ± 2.6 years old). All participants were right-handed, native English speakers with no history of neurological injury or psychiatric or developmental disorder, and no contraindications for tDCS or MRI. Participants were randomly assigned to either the sham tDCS group (n=11), in which the tDCS current was ramped up and immediately down over 15s, or the anodal tDCS group (n=16), which received 1.5 mA anodal tDCS applied for 20min over the right posterolateral cerebellum.
tDCS-fMRI
TDCS was conducted in the MR environment using the NeuroConn DC-Stimulator MR (NeuroConn GmbH, Ilmenau, Germany). One 5×7 cm saline soaked pad was placed over right posterolateral cerebellum (4 cm lateral to inion and 1 cm down, over right lobule VII) with the reference electrode on the right pectoral muscle. One 7-min resting-state scan was acquired prior to the administration of 20min of 1.5 mA anodal tDCS. A second 7-min resting state scan was acquired post-tDCS.
Imaging parameters
Scanning was conducted on a 3T Siemens TimTrio scanner with a 12-channel head coil located at the Center for Functional and Molecular Imaging at Georgetown University Medical Center. Two (one pre-tDCS, one post-tDCS) 7-min resting state scans were acquired with the following parameters: 47 interleaved slices, 168 volumes, repetition time (TR) = 2500 ms, echo time (TE) = 30 ms, 3.2 mm isotropic voxels, flip angle 90°, field-of-view = 205 mm.
Statistical analyses
Resting-state functional connectivity analyses were conducted using the CONN-fMRI Functional Connectivity toolbox (version 15e) (Whitfield-Gabrieli & Nieto-Castanon, 2012; http://www.nitrc.org/projects/conn). Images underwent standard preprocessing including: realignment and unwarping, segmentation, normalization, ART outlier detection, and smoothing (8 mm FWHM). After pre-processing, images were band-pass filtered (0.01 Hz ~ 0.09 Hz). Other potential confounds such as white matter, cerebrospinal fluid (CSF), movement parameters, and time-series predictors of global signal were removed from images, following the CompCor strategy as implemented in the CONN toolbox (Behzadi, Restom, Liau, & Liu, 2007). Whole brain BOLD signal was not included as a regressor so as to be able to interpret anti-correlations (Murphy, Birn, Handwerker, Jones, & Bandettini, 2009).
We conducted seed-to-voxel analyses with a priori regions of interest (ROI) as the seed regions. The ROIs were chosen from the AAL atlas (Tzourio-Mazoyer et al., 2002), and consisted of regions that comprise the language networks in the brain, and included: cerebellar Crus I (language seed, see below); inferior frontal gyrus (IFG) pars opercularis; IFG pars triangularis; primary motor cortex (M1) face area (see below); superior temporal gyrus (STG), both anterior and posterior; angular gyrus; and anterior and posterior regions of the supramarginal gyrus (SMG). A cerebellar “language” seed was created in MARSBAR as implemented in SPM8 from the peak coordinates for language tasks based on a previous meta-analysis (Stoodley & Schmahmann, 2009b). This peak was located at MNI x= 37.9 y= −63.7 z= −29.7 and we created a seed region using an 11-mm sphere centered on these coordinates. A primary motor area face seed (6mm sphere; centered on x= −55 y= −4 z= −6) was created using peak coordinates for the tongue region of M1 based on a previous functional connectivity study (Buckner, Krienen, Castellanos, Diaz, & Yeo, 2011). As a control seed, we also looked at changes in functional connectivity with a right cerebellar anterior lobe seed (lobules I-IV), where we did not anticipate changes in functional connectivity following tDCS. All ROIs were examined bilaterally with the exception of the cerebellar ROIs.
For each ROI, a whole-brain analysis was conducted to identify voxels with highly correlated timecourse data. Resting-state BOLD signal time-series were extracted for each seed region and correlated with every other voxel in the brain using the CONN toolbox. At the first level, seed-to-voxel correlation maps were created for each participant for the pre- and post-tDCS data. Each participant’s post-tDCS map was brought into a second level analysis to examine the effect of group (anodal, sham) on seed-to-voxel functional connectivity. We then statistically compared these functional connectivity maps in the anodal group vs. the sham group post-tDCS (both anodal > sham and sham > anodal). The resulting data were thresholded at P < .005 at the voxel level, with a false discovery rate (FDR) cluster corrected P < .05.
Results
Experiment 1
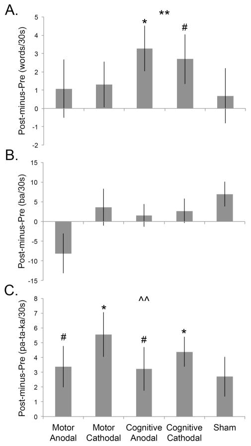
Results for the COWAT letter fluency task are shown in Figure 2A. Amongst the main effects and interactions of time point, polarity, and location, the repeated measures ANOVA identified only a significant time point by location interaction (F(1,56) = 5.11, P = .028; all other effects P > .10). Post-hoc paired t-tests demonstrated a pre- to post-tDCS improvement in letter fluency for active tDCS at the cognitive position (t(27) = 3.39, P = .002), but not at the motor position (t(25) = .15, P = .88), or for sham tDCS (t(11) = .59, P = .57). Separate paired t-tests for each polarity at the cognitive position demonstrated a significant pre-post improvement in letter fluency for the anodal group (t(13) = 2.63, P = .02) and a trend toward improvement for the cathodal group (t(13) = 2.09, P = .057).
Figure 2. Effects of cerebellar tDCS on verbal fluency, articulation, and articulatory sequencing.
(A) Post-pre tDCS difference scores for phonemic fluency performance for each group. The ANOVA revealed a significant time x location interaction (**), and post-hoc tests showed significant (*, survives multiple comparison correction) and trend-level (#, does not survive multiple comparison correction) effects for greater improvement following tDCS to the cognitive position. (B) Post-pre difference scores for /ba/ articulation. (C) Post-pre scores for /pa ta ka/ articulation. There was a significant main effect of time (^^) and post-hoc comparisons showed both significant (*) and trend-level effects (#) for improvement in the active tDCS conditions.
Results for the simple (/ba/) articulation task are shown in Figure 2B. The repeated measures ANOVA revealed no main effects or interactions of time point, polarity, and location (all P > .10). Visual inspection of Figure 2B appears to demonstrate a possible inhibitory effect specific to anodal tDCS at the motor position. Because the main repeated measures ANOVA is not sensitive to single condition effects like this, we performed a one-way ANOVA with the pre-post difference in /ba/ repetition as the dependent variable, and five a priori contrasts testing each group (anodal-motor, cathodal-motor, anodal-cognitive, cathodal-cognitive, sham) against all other groups. Supporting the apparent effect in Figure 2B, the contrast comparing the anodal-motor group to other groups was significant (t(61) = −2.23, P = .029). No other significant effects were found (all P > .10). This result should be interpreted cautiously, however, given the negative result in the main repeated measures ANOVA.
Results for the sequenced (/pa ta ka/) articulation task are shown in Figure 2C. The repeated measures ANOVA revealed a main effect of time point (F(1,61) = 27.8, P < .001), with no other main effects or interactions amongst the factors of time point, polarity, and location (all P > .10). Post hoc paired t-tests for pre- to post-tDCS differences revealed improvements in performance that survive correction for multiple comparisons only in the two cathodal groups (motor position t(12) = 3.08, P = .009; cognitive position t(13) = 3.89, P = .002). Trends toward improvement that did not survive correction were identified in the two anodal conditions (motor position t(12) = 2.27, P = .04; cognitive position t(13) = 2.18, P = .05), and no effect was observed in the sham condition (t(11) = 1.78, P = .103).
Experiment 2. Effects of tDCS on resting-state functional connectivity
Based on previous studies, we anticipated that our electrode montage would specifically alter activation in right Crus I of the cerebellum, with modulation of the functional connectivity between the cerebellum and the cerebral cortex, as well as knock-on effects between cerebral cortical regions in the language network. Figure 3 shows the pre-tDCS functional connectivity in the whole group (anodal and sham) between the right cerebellar Crus I ROI and the rest of the brain. This functional connectivity pattern is consistent with previous studies (e.g. Buckner et al., 2011), and shows robust correlations between our cerebellar right Crus I seed and fronto-parietal cognitive networks.
Figure 3. Cerebellar functional connectivity pre-tDCS.
(A) Functional connectivity (red-orange) between right anterior cerebellar seed (lobules I-IV) and left motor cortex. Anti-correlations (blue-green) between this seed and frontal, temporal and parietal association cortices (peak MNI: 8 −42 −16; t-value=30.45 in right I-IV not shown on color bar). (B) Functional connectivity between the right cerebellar “language” seed in Crus I (Stoodley & Schmahmann, 2009b) reveals positive correlations (red-orange) with fronto-parietal networks including language regions, and anti-correlations (blue-green) with somatomotor regions of the cerebral cortex (peak MNI: 42 −64 −34; t-value=41.60 in right Crus I not shown on color bar). Maps are thresholded at P < .001, FDR cluster corrected to P < .05. M1=primary motor cortex; S1=primary somatosensory cortex; SMG=Supramarginal gyrus; mSFG=medial superior frontal gyrus; MTG=middle temporal gyrus; OCC=occipital lobe; ITG=inferior temporal gyrus; mOFC=medial orbitofrontal cortex; IPL=inferior parietal lobule; MFG=middle frontal gyrus; ACC=anterior cingulate cortex; A1=primary auditory cortex/Heschl’s gyrus.
Figure 4 shows the significant differences between groups after tDCS (details in Supplementary Table 1). There were no pre-tDCS connectivity differences between groups for any of the seed regions in Figure 4. In all cases, anodal tDCS increased connectivity between these regions compared with sham tDCS. Post-tDCS, the anodal group showed greater functional connectivity compared with the sham group between the right Crus I seed and clusters in the right middle occipital gyrus, the right precuneus, left middle-temporal regions and the left superior frontal gyrus (P < .005, FDR cluster P < .05; Figure 4, Table S1). As anticipated, the control seed in the right anterior cerebellum (lobules I-IV) did not show any changes in the anodal group relative to the sham group post-tDCS. This suggests that our modulation was able to target the right posterolateral cerebellum without spread to anterior cerebellar regions.
Figure 4. Functional connectivity following cerebellar tDCS.
Regions where significant differences in functional connectivity post-tDCS in the anodal vs. the sham group are shown. Maps are thresholded at P < .005 with a FDR P < .05 cluster correction. (A) Increased connectivity between right cerebellar language seed and multiple regions of the cerebral cortex; (B) Increased functional connectivity between the left anterior SMG and the left insula, right rolandic operculum, and sensorimotor cortices bilaterally. (C) Increased functional connectivity between the left M1 face/tongue seed and the anterior cingulate and left insula. M1=primary motor cortex; S1=primary somatosensory cortex; aSMG=anterior supramarginal gyrus; SFG=medial superior frontal gyrus; MTG=middle temporal gyrus; mOFC=medial orbitofrontal cortex; ACC=anterior cingulate cortex; MOC=middle occipital gyrus; IOC=inferior occipital gyrus; Rolandic oper=Rolandic operculum; pHipp=parahippocampal gyrus.
Seed-to-voxel functional connectivity analyses of the language network ROIs revealed altered connectivity of the anterior SMG and M1 seeds following anodal tDCS to the right posterolateral cerebellum (Figure 4, Table S1). Specifically, the left anterior SMG showed increased functional connectivity with the left insula and the precentral gyrus bilaterally. The left M1 seed in the face/tongue region showed increased connectivity with the left insula and left anterior cingulate cortex.
Discussion
Here we provide proof-of-principle data suggesting that cerebellar neuromodulation can improve performance on phonemic fluency, and provide a potential neural substrate of this effect through demonstration of functional connectivity changes in language networks following anodal tDCS to the right posterolateral cerebellum. The improvement in language performance was specific to neuromodulation over the posterolateral cerebellum, which interconnects with prefrontal and parietal association cortices, rather than tDCS placed over the anterior cerebellum, which forms structural and functional circuits with somatomotor regions of the cerebral cortex (see Stoodley & Schmahmann, 2010 for review). The functional connectivity changes after cerebellar tDCS suggest that neuromodulation of the posterolateral cerebellum increases the interaction between language regions involved in cognitive aspects of language and those involved in speech motor control. While these studies were conducted in healthy young adults, the findings suggest that neuromodulation of the right posterolateral cerebellum has the potential to improve language performance in people with aphasia.
At a more basic level, our findings also contribute to our understanding of the cerebellar role in language and, more broadly, cognitive processes. While the role of the cerebellum in language is still considered “an enigma”, Marien suggests that, rather than serving a specific cognitive function, the cerebellum may support central computations necessary for multiple functions, including error detection or prediction of the consequences of cognitive acts (see Marien et al., 2014, and Marien, 2015 in The Linguistic Cerebellum, p. xxii). Consistent with this, recent studies have proposed that the role of the cerebellum in prediction could be important during both language production and comprehension. This has been most evident in studies investigating cerebellar activation (Moberget, Gullesen, Andersson, Ivry, & Endestad, 2014) or the effects of cerebellar neuromodulation with rTMS (Lesage, Morgan, Olson, Meyer, & Miall, 2012) during sentence completion tasks. The only other study using cerebellar tDCS to investigate language performance reported that right cathodal tDCS improved performance on a verb generation task relative to anodal and sham tDCS (Pope & Miall, 2012). Here, we show that both anodal and cathodal cerebellar tDCS improve verbal fluency performance, with a more robust effect of anodal tDCS. These findings are consistent with the as-yet unclear directionality of the effects of anodal vs. cathodal cerebellar tDCS on cognitive task performance (see Grimaldi, Argyropoulos, Bastian, et al., 2016 for review). In our data, although anodal tDCS over the cognitive location improved performance on verbal fluency, anodal tDCS over the anterior cerebellum produced a possible inhibitory effect on /ba/ repetition. It has been suggested that the relationship between the orientation of neurons in different cerebellar regions, as well as task-related differences, may account for some of the variation in polarity effects in cerebellar tDCS studies (Grimaldi et al., 2016).
Our data also have implications for our understanding of how the cerebellum acts on the cerebral cortex – in other words, the modularity of the cerebellar cortex and the specificity of cerebro-cerebellar circuits. The repeating, crystalline cellular structure of the cerebellar cortex, together with the lack of long-range cortico-cortical projections within the cerebellar cortex, has led to the proposal that the cerebellum has a modular functional anatomy. In this way, repeated modules receiving inputs from and sending outputs to particular areas of the cerebral cortex, spinal cord, and vestibular system are localized to discrete regions of the cerebellar cortex. For example, in the sensorimotor system, cerebellar homunculi are evident both at the electrophysiological (Snider & Eldred, 1951) and functional neuroimaging (e.g., Grodd, Hulsmann, Lotze, Wildgruber, & Erb, 2001; Buckner et al., 2011) level; these regions do not overlap with the regions that show task-based activation (e.g. Stoodley & Schmahmann, 2009b) or functional connectivity (e.g. Buckner et al., 2011) with fronto-parietal cognitive control networks. These discrete cerebellar “modules” may be why we were able to show specific location effects of cerebellar tDCS, whereby modulation of cognitive networks improved verbal fluency without affecting simple articulation, and modulation of the sensorimotor anterior cerebellum impacted production of syllables (/ba/) without changing performance on verbal fluency. Our data also show, at the neural level, that functional connectivity was altered from right lobule VII, but not the right anterior cerebellum, following tDCS to the cognitive position. These findings are consistent with a recent finite element modeling study of cerebellar tDCS with the anode centered 3cm to the right of the inion (the same position as our “motor” electrode placement; Rampersad et al., 2014), which noted that distributions of electric field strengths are narrower in the cerebellum than in the cerebral cortex. This suggests that slightly different electrode positions may be able to modulate more specific regions within the cerebellar cortex than is possible in the cerebral cortex.
Potential clinical application of cerebellar tDCS for aphasia
Only two prior studies have utilized cerebellar tDCS in clinical populations, reporting amplitude changes in long-latency stretch reflexes in subjects with cerebellar ataxia and improvements in handwriting following anodal cerebellar tDCS in patients with focal hand dystonia (Bradnam, Graetz, McDonnell, & Ridding, 2015; Grimaldi & Manto, 2013). No study has examined the potential of cerebellar tDCS to improve cognitive or linguistic impairments in patient populations.
Based on the results presented here and prior research on the role of the cerebellum in learning and cognition, cerebellar neuromodulation could have at least three positive effects on aphasia recovery. First, prior evidence of a direct role of the right posterior cerebellum in language functions and the evidence from Experiment 1 demonstrating improvement in verbal fluency performance after tDCS, suggest that cerebellar neuromodulation may directly improve language performance, at least for certain functions. In particular, improvements demonstrated here in verbal fluency suggest an underlying effect of tDCS on executive control and/or word finding (Lezak, 1983), two functions commonly impaired in aphasia. Additional studies will be needed to determine if similar tDCS protocols can enhance other language functions as well.
Second, Experiment 2 demonstrates that cerebellar tDCS can modulate network connectivity in language and cognitive systems, including increasing connectivity within the left hemisphere language network and between language and motor areas involved in speech production and articulatory planning (see Price, 2010). Modulation of these language-motor interactions may be especially useful for people with nonfluent aphasias and apraxia of speech, consistent with the proposed role of the cerebellum in both feedforward and feedback control of speech acquisition and production (Tourville & Guenther, 2011). Given sufficient reinforcement of this enhanced network connectivity after multiple sessions of cerebellar stimulation, Hebbian mechanisms could result in persistence of these changes and long-lasting effects on reorganization of residual language networks after stroke.
Finally, although not tested here, the cerebellum has clear roles in learning and skill acquisition through the error-based adaptation of internal models that enable fluent, optimized performance (Ito, 2008). Indeed previous studies have demonstrated that cerebellar tDCS can enhance language learning in healthy populations (de Vries et al., 2010; Floel et al., 2008; Meinzer et al., 2014). Pairing cerebellar tDCS with speech-language therapy may similarly enhance learning of compensatory strategies and re-learning of language materials during aphasia rehabilitation.
Cerebellar tDCS has some additional practical advantages over current neuromodulation approaches in aphasia. Encephalomalecia at the lesion site makes directly targeting perilesional cortex difficult. Because of variability in lesion distributions, perilesional stimulation may require extra procedures, like fMRI to identify stimulation targets on an individual basis (Baker, Rorden, & Fridriksson, 2010). Shunting of electrical current through the area of encephalomalecia may also result in unpredictable effects that vary from person to person. Electrical fields induced by particular tDCS electrode configurations can be modeled for each individual patient (Dmochowski et al., 2013), but this procedure is currently labor intensive and the accuracy of the models are hard to verify. Further, electrical field modeling requires a research quality MRI for tissue segmentation, presenting a barrier to treatment access for some people with aphasia. Targeting right hemisphere language homologs is an alternative, although the role of the right hemisphere in aphasia recovery is still hotly debated and it remains unclear whether enhancement or inhibition is the preferred strategy for right hemisphere neuromodulation (Anglade, Thiel, & Ansaldo, 2014; Gainotti, 2015; Turkeltaub, 2015). Especially with large strokes, encephalomalecia on the left may still result in unpredictable patterns of current flow when applying tDCS to the right hemisphere, especially when the “return” electrode is placed on the left side of the head, as is common in these protocols (de Aguiar et al., 2015).
In comparison, the right posterior lateral cerebellum is distant enough from typical stroke locations associated with aphasia that electrical current flow patterns are unlikely to be affected by the encephalomalecia, especially with the return electrode placed off of the head as in the experiments presented here. Additionally, the cerebellum is a relatively compact structure compared to the cerebrum, and small areas of the cerebellum such as Crus I have widespread connectivity to disperse cerebral sites, as demonstrated in Figure 3. As such, neuromodulation of the cerebellum may have more anatomically widespread effects on the cerebrum compared to direct stimulation of either left perilesional cortex or right hemisphere language homologs.
The two experiments presented here provide guidance on designing cerebellar tDCS treatments for aphasia. The results of Experiment 1 demonstrate that electrode placement is a critical factor in modulating cognitive or language systems. It may seem surprising that a relatively small difference in electrode placement could impact the effect of tDCS so much, but this is consistent with the anatomical connectivity of the cerebellum. As noted above, functionally discrete areas of the cerebellum are laid out topographically, with few if any long-range lateral connections between different cerebellar cortical regions. Functionally discrete regions of the cerebellum form closed-loop circuits with networks in the cerebrum, but do not connect to other regions of cerebellar cortex. For this reason, excitation or inhibition induced by cerebellar tDCS is not expected to spread laterally to neighboring areas of the cerebellum. Therefore, a relatively small change in electrode placement on the scalp over the cerebellum may have substantial effects on the brain and behavioral outcomes. This is evidenced in Experiment 1 by the comparison between anodal stimulation effects at the cognitive position for verbal fluency and the motor position for repeated /ba/ articulation. This small shift in the location of stimulation had significant effects on both tasks, with facilitation of verbal fluency at the cognitive position only, and inhibition of repeated /ba/ articulation at the motor position only. This result demonstrates that different functional brain networks are affected by relatively small shifts in location of the electrodes in cerebellar tDCS. From a practical perspective, it is thus important to ensure accurate electrode placement in future clinical studies of cerebellar tDCS for aphasia, at the risk of inadvertently disrupting speech articulation systems.
With regard to the polarity of stimulation, the results of Experiment 1 suggest that either anodal or cathodal tDCS applied to the right posterior lateral cerebellum may enhance verbal fluency, although post-hoc testing suggested a marginally more reliable effect of anodal stimulation. Some have recently suggested that cathodal tDCS applied outside motor cortex does not reliably inhibit cognitive task performance (Jacobson, Koslowsky, & Lavidor, 2012). Correspondingly, the literature is inconclusive as to whether anodal or cathodal cerebellar tDCS improves or disrupts task performance in healthy subjects (Grimaldi et al., 2014). However, anodal tDCS of the cerebellum has clearly been shown to enhance performance during learning paradigms (Ferrucci et al., 2013). This evidence, along with the marginally superior results here for anodal compared to cathodal tDCS, suggest that anodal stimulation over the right posterior lateral cerebellum is most likely to enhance language rehabilitation and recovery in aphasia.
Conclusions
TDCS is an inexpensive treatment with therapeutic potential for post-stroke aphasia. Although current studies have focused exclusively on stimulation of either left perilesional cortex or homotopic areas of the right cerebral hemisphere, the optimal targets for treatment are still a matter of great debate. Given the growing appreciation of the brain as an extensively-connected network of regions that work together, the increased understanding of the role of the human cerebellum in language, and the importance of cerebellar function to skill acquisition (or re-acquisition) and stroke recovery, the cerebellum is an innovative candidate site for neuromodulation in aphasia. We have provided proof of principle evidence that cerebellar tDCS can enhance verbal fluency performance in healthy adults and can alter both cerebellar-cerebral connectivity and connectivity within left cerebral language networks. Testing the effectiveness of cerebellar tDCS in people with aphasia will open up the possibility of applying cerebellar tDCS to a wide range of post-stroke deficits. The cerebellum forms interconnected loops with multiple regions of the cerebral cortex, and, if shown to be effective, cerebellar tDCS could also be used to enhance recovery from motor, attention, or executive function deficits resulting from stroke or traumatic brain injury. Thus, testing cerebellar tDCS as a novel treatment for post-stroke aphasia may have broad impact for neurorehabilitation after brain injury.
Supplementary Material
Acknowledgments
This work was supported in part by the NIH/NCATS via the Georgetown-Howard Universities Center for Clinical and Translational Science (KL2 TR000102), the Doris Duke Charitable Foundation (2012062), the Vernon Family Trust and the National Institutes of Health under award number R15MH106957. We thank Alexa Desko, Katherine Spiegel, and William Hayward for contributing to data collection.
References
- Ackermann H, Hertrich I. The contribution of the cerebellum to speech processing. Journal of Neurolinguistics. 2000;13(2–3):95–116. [Google Scholar]
- Anglade C, Thiel A, Ansaldo AI. The complementary role of the cerebral hemispheres in recovery from aphasia after stroke: a critical review of literature. Brain Injury. 2014;28(2):138–145. doi: 10.3109/02699052.2013.859734. [DOI] [PubMed] [Google Scholar]
- Baker JM, Rorden C, Fridriksson J. Using transcranial direct-current stimulation to treat stroke patients with aphasia. Stroke. 2010;41(6):1229–1236. doi: 10.1161/STROKEAHA.109.576785. [DOI] [PMC free article] [PubMed] [Google Scholar]
- Behzadi Y, Restom K, Liau J, Liu TT. A component based noise correction method (CompCor) for BOLD and perfusion based fMRI. Neuroimage. 2007;37(1):90–101. doi: 10.1016/j.neuroimage.2007.04.042. [DOI] [PMC free article] [PubMed] [Google Scholar]
- Benton A, Hamsher K, Sivan A. Multilingual Aphasia Examination. 3. Iowa City, IA: AJA Associates; 1994. [Google Scholar]
- Bradnam LV, Graetz LJ, McDonnell MN, Ridding MC. Anodal transcranial direct current stimulation to the cerebellum improves handwriting and cyclic drawing kinematics in focal hand dystonia. Frontiers in Human Neuroscience. 2015;9:286. doi: 10.3389/fnhum.2015.00286. [DOI] [PMC free article] [PubMed] [Google Scholar]
- Brady MC, Kelly H, Godwin J, Enderby P. Speech and language therapy for aphasia following stroke. Cochrane Database of Systematic Reviews. 2012;5:CD000425. doi: 10.1002/14651858.CD000425.pub3. [DOI] [PubMed] [Google Scholar]
- Buckner RL, Krienen FM, Castellanos A, Diaz JC, Yeo BT. The organization of the human cerebellum estimated by intrinsic functional connectivity. Journal of Neurophysiology. 2011;106(5):2322–2345. doi: 10.1152/jn.00339.2011. [DOI] [PMC free article] [PubMed] [Google Scholar]
- Chrysikou EG, Hamilton RH. Noninvasive brain stimulation in the treatment of aphasia: exploring interhemispheric relationships and their implications for neurorehabilitation. Restorative Neurology and Neuroscience. 2011;29(6):375–394. doi: 10.3233/RNN-2011-0610. [DOI] [PubMed] [Google Scholar]
- Cruice Madeline, Worrall Linda, Hickson Louise. Reporting on psychological well-being of older adults with chronic aphasia in the context of unaffected peers. Disability and Rehabilitation. 2011;33:219–228. doi: 10.3109/09638288.2010.503835. [DOI] [PubMed] [Google Scholar]
- de Aguiar Vânia, Paolazzi Caterina, Miceli Gabriele. tDCS in post-stroke aphasia: The role of stimulation parameters, behavioral treatment and patient characteristics. Cortex. 2015;63:296–316. doi: 10.1016/j.cortex.2014.08.015. [DOI] [PubMed] [Google Scholar]
- De Smet HJ, Paquier P, Verhoeven J, Marien P. The cerebellum: its role in language and related cognitive and affective functions. Brain and Language. 2013;127(3):334–342. doi: 10.1016/j.bandl.2012.11.001. [DOI] [PubMed] [Google Scholar]
- de Vries MH, Barth AC, Maiworm S, Knecht S, Zwitserlood P, Floel A. Electrical stimulation of Broca’s area enhances implicit learning of an artificial grammar. Journal of Cognitive Neuroscience. 2010;22(11):2427–2436. doi: 10.1162/jocn.2009.21385. [DOI] [PubMed] [Google Scholar]
- Dmochowski JP, Datta A, Huang Y, Richardson JD, Bikson M, Fridriksson J, Parra LC. Targeted transcranial direct current stimulation for rehabilitation after stroke. Neuroimage. 2013;75:12–19. doi: 10.1016/j.neuroimage.2013.02.049. [DOI] [PMC free article] [PubMed] [Google Scholar]
- Ellis C, Simpson AN, Bonilha H, Mauldin PD, Simpson KN. The one-year attributable cost of poststroke aphasia. Stroke. 2012;43(5):1429–1431. doi: 10.1161/STROKEAHA.111.647339. [DOI] [PMC free article] [PubMed] [Google Scholar]
- Elsner B, Kugler J, Pohl M, Mehrholz J. Transcranial direct current stimulation (tDCS) for improving aphasia in patients after stroke. Cochrane Database of Systematic Reviews. 2013;6:CD009760. doi: 10.1002/14651858.CD009760.pub2. [DOI] [PubMed] [Google Scholar]
- Engelter ST, Gostynski M, Papa S, Frei M, Born C, Ajdacic-Gross V, Gutzwiller F, Lyrer PA. Epidemiology of aphasia attributable to first ischemic stroke: incidence, severity, fluency, etiology, and thrombolysis. Stroke. 2006;37(6):1379–1384. doi: 10.1161/01.STR.0000221815.64093.8c. [DOI] [PubMed] [Google Scholar]
- Feigin VL, Forouzanfar MH, Krishnamurthi R, Mensah GA, Connor M, Bennett DA, … Murray C. Global and regional burden of stroke during 1990–2010: findings from the Global Burden of Disease Study 2010. The Lancet. 2013;380(9859):2197–2223. [Google Scholar]
- Ferrucci R, Brunoni AR, Parazzini M, Vergari M, Rossi E, Fumagalli M, … Priori A. Modulating human procedural learning by cerebellar transcranial direct current stimulation. Cerebellum. 2013;12(4):485–492. doi: 10.1007/s12311-012-0436-9. [DOI] [PubMed] [Google Scholar]
- Floel A, Rosser N, Michka Olesya, Knecht Stefan, Breitenstein Caterina, Flöel Agnes, Rösser Nina. Noninvasive brain stimulation improves language learning. Journal of Cognitive Neuroscience. 2008;20:1415–1422. doi: 10.1162/jocn.2008.20098. [DOI] [PubMed] [Google Scholar]
- Fridriksson J, Richardson JD, Baker JM, Rorden C. Transcranial direct current stimulation improves naming reaction time in fluent aphasia: a double-blind, sham-controlled study. Stroke. 2011;42(3):819–821. doi: 10.1161/STROKEAHA.110.600288. [DOI] [PMC free article] [PubMed] [Google Scholar]
- Gainotti Guido. Contrasting opinions on the role of the right hemisphere in the recovery of language. A critical survey. Aphasiology. 2015;29(9):1–18. [Google Scholar]
- Galea JM, Jayaram G, Ajagbe L, Celnik P. Modulation of cerebellar excitability by polarity-specific noninvasive direct current stimulation. The Journal of Neuroscience. 2009;29(28):9115–9122. doi: 10.1523/JNEUROSCI.2184-09.2009. [DOI] [PMC free article] [PubMed] [Google Scholar]
- Galea Joseph M, Celnik Pablo, Vazquez Alejandro, Pasricha Neel, De Xivry Jean-jacques Orban, Nitsche Michael A, … Trenkwalder Claudia. Brain Polarization Enhances the Formation and Retention of Motor Memories Brain Polarization Enhances the Formation and Retention of Motor Memories. Journal of Neurophysiology. 2011;102(1):294–301. doi: 10.1152/jn.00184.2009. [DOI] [PMC free article] [PubMed] [Google Scholar]
- Gialanella B, Bertolinelli M, Lissi M, Prometti P. Predicting outcome after stroke: the role of aphasia. Disability and Rehabilitation. 2011;33(2):122–129. doi: 10.3109/09638288.2010.488712. [DOI] [PubMed] [Google Scholar]
- Grimaldi G, Argyropoulos GP, Bastian A, Cortes M, Davis NJ, Edwards DJ, … Celnik P. Cerebellar Transcranial Direct Current Stimulation (ctDCS): A Novel Approach to Understanding Cerebellar Function in Health and Disease. Neuroscientist. 2016 doi: 10.1177/1073858414559409. [DOI] [PMC free article] [PubMed] [Google Scholar]
- Grimaldi G, Argyropoulos GP, Boehringer A, Celnik P, Edwards MJ, Ferrucci R, … Ziemann U. Non-invasive Cerebellar Stimulation-a Consensus Paper. Cerebellum. 2014;13(1):121–138. doi: 10.1007/s12311-013-0514-7. [DOI] [PubMed] [Google Scholar]
- Grimaldi G, Manto M. Anodal transcranial direct current stimulation (tDCS) decreases the amplitudes of long-latency stretch reflexes in cerebellar ataxia. Ann Biomedical Engineering. 2013;41(11):2437–2447. doi: 10.1007/s10439-013-0846-y. [DOI] [PubMed] [Google Scholar]
- Grodd W, Hulsmann E, Lotze M, Wildgruber D, Erb M. Sensorimotor mapping of the human cerebellum: fMRI evidence of somatotopic organization. Human Brain Mapping. 2001;13(2):55–73. doi: 10.1002/hbm.1025. [DOI] [PMC free article] [PubMed] [Google Scholar]
- Hamilton RH, Chrysikou EG, Coslett B. Mechanisms of aphasia recovery after stroke and the role of noninvasive brain stimulation. Brain and Language. 2011;118(1–2):40–50. doi: 10.1016/j.bandl.2011.02.005. [DOI] [PMC free article] [PubMed] [Google Scholar]
- Heath S, McMahon KL, Nickels L, Angwin A, MacDonald AD, van Hees S, … Copland DA. Facilitation of naming in aphasia with auditory repetition: an investigation of neurocognitive mechanisms. Neuropsychologia. 2013;51(8):1534–1548. doi: 10.1016/j.neuropsychologia.2013.05.008. [DOI] [PubMed] [Google Scholar]
- Hesse S, Schmidt H, Werner C, Rybski C, Puzich U, Bardeleben A. A new mechanical arm trainer to intensify the upper limb rehabilitation of severely affected patients after stroke: design, concept and first case series. Eura Medicophysical. 2007;43(4):463–468. [PubMed] [Google Scholar]
- Ito M. Control of mental activities by internal models in the cerebellum. Nature Reviews Neuroscience. 2008;9(4):304–313. doi: 10.1038/nrn2332. [DOI] [PubMed] [Google Scholar]
- Jacobson L, Koslowsky M, Lavidor M. tDCS polarity effects in motor and cognitive domains: a meta-analytical review. Experimental Brain Research. 2012;216(1):1–10. doi: 10.1007/s00221-011-2891-9. [DOI] [PubMed] [Google Scholar]
- Kelly RM, Strick PL. Cerebellar loops with motor cortex and prefrontal cortex of a nonhuman primate. The Journal of Neuroscience. 2003;23(23):8432–8444. doi: 10.1523/JNEUROSCI.23-23-08432.2003. [DOI] [PMC free article] [PubMed] [Google Scholar]
- Keren-Happuch E, Chen SH, Ho MH, Desmond JE. A meta-analysis of cerebellar contributions to higher cognition from PET and fMRI studies. Human Brain Mapping. 2014;35(2):593–615. doi: 10.1002/hbm.22194. [DOI] [PMC free article] [PubMed] [Google Scholar]
- Laudanna Alessandro, Badecker William, Caramazza Alfonso. Processing inflectional and derivational morphology. Journal of Memory and Language. 1992;31(3):333–348. [Google Scholar]
- Lesage E, Morgan BE, Olson AC, Meyer AS, Miall RC. Cerebellar rTMS disrupts predictive language processing. Current Biology. 2012;22(18):R794–795. doi: 10.1016/j.cub.2012.07.006. [DOI] [PMC free article] [PubMed] [Google Scholar]
- Lezak M. Neuropsychological Assesment. Oxford University Press; New York, NY: 1983. [Google Scholar]
- Lyon Jon G. Communication Use and Participation in Life for Adults With Aphasia in Natural Settings: The Scope of the Problem. American Journal of Speech-Language Pathology. 1992;1(3):7–14. [Google Scholar]
- Marien P, Ackermann H, Adamaszek M, Barwood CH, Beaton A, Desmond J, … Ziegler W. Consensus paper: Language and the cerebellum: an ongoing enigma. Cerebellum. 2014;13(3):386–410. doi: 10.1007/s12311-013-0540-5. [DOI] [PMC free article] [PubMed] [Google Scholar]
- Marien P, Manto M. In: The Linguistic Cerebellum. Marien P, Manto M, editors. Amsterdam: Elsevier; 2015. [Google Scholar]
- Meinzer M, Jahnigen S, Copland DA, Darkow R, Grittner U, Avirame K, … Floel A. Transcranial direct current stimulation over multiple days improves learning and maintenance of a novel vocabulary. Cortex. 2014;50:137–147. doi: 10.1016/j.cortex.2013.07.013. [DOI] [PubMed] [Google Scholar]
- Miceli Gabriele, Caramazza Alfonso. Dissociation of inflectional and derivational morphology. Brain and language. 1988;35(1):24–65. doi: 10.1016/0093-934x(88)90100-9. [DOI] [PubMed] [Google Scholar]
- Moberget T, Gullesen EH, Andersson S, Ivry RB, Endestad T. Generalized role for the cerebellum in encoding internal models: evidence from semantic processing. The Journal of Neuroscience. 2014;34(8):2871–2878. doi: 10.1523/JNEUROSCI.2264-13.2014. [DOI] [PMC free article] [PubMed] [Google Scholar]
- Murdoch BE. The cerebellum and language: historical perspective and review. Cortex. 2010;46(7):858–868. doi: 10.1016/j.cortex.2009.07.018. [DOI] [PubMed] [Google Scholar]
- Murphy K, Birn RM, Handwerker DA, Jones TB, Bandettini PA. The impact of global signal regression on resting state correlations: are anti-correlated networks introduced? Neuroimage. 2009;44(3):893–905. doi: 10.1016/j.neuroimage.2008.09.036. [DOI] [PMC free article] [PubMed] [Google Scholar]
- Naeser MA, Martin PI, Nicholas M, Baker EH, Seekins H, Kobayashi M, … Pascual-Leone A. Improved picture naming in chronic aphasia after TMS to part of right Broca’s area: an open-protocol study. Brain and Language. 2005;93(1):95–105. doi: 10.1016/j.bandl.2004.08.004. [DOI] [PubMed] [Google Scholar]
- Naeser MA, Martin PI, Theoret H, Kobayashi M, Fregni F, Nicholas M, … Pascual-Leone A. TMS suppression of right pars triangularis, but not pars opercularis, improves naming in aphasia. Brain and Language. 2011;119(3):206–213. doi: 10.1016/j.bandl.2011.07.005. [DOI] [PMC free article] [PubMed] [Google Scholar]
- Nitsche MA, Liebetanz D, Lang N, Antal A, Tergau F, Paulus W. Safety criteria for transcranial direct current stimulation (tDCS) in humans. Clinical Neurophysiology. 2003;114(11):2220–2222. doi: 10.1016/s1388-2457(03)00235-9. [DOI] [PubMed] [Google Scholar]
- Parazzini M, Rossi E, Ferrucci R, Liorni I, Priori A, Ravazzani P. Modelling the electric field and the current density generated by cerebellar transcranial DC stimulation in humans. Clinical Neurophysiology. 2013;125(3):577–584. doi: 10.1016/j.clinph.2013.09.039. [DOI] [PubMed] [Google Scholar]
- Pinker S, Ullman MT. The past and future of the past tense. Trends in cognitive sciences. 2002;6(11):456–463. doi: 10.1016/s1364-6613(02)01990-3. [DOI] [PubMed] [Google Scholar]
- Pope PA, Miall RC. Task-specific facilitation of cognition by cathodal transcranial direct current stimulation of the cerebellum. Brain Stimulation. 2012;5(2):84–94. doi: 10.1016/j.brs.2012.03.006. [DOI] [PMC free article] [PubMed] [Google Scholar]
- Prado EL, Ullman MT. Can imageability help us draw the line between storage and composition? Journal of Experimental Psychology: Learning, Memory, and Cognition. 2009;35(4):849–866. doi: 10.1037/a0015286. [DOI] [PubMed] [Google Scholar]
- Price CJ. The anatomy of language: a review of 100 fMRI studies published in 2009. Annals of the New York Academy of Sciences. 2010;1191:62–88. doi: 10.1111/j.1749-6632.2010.05444.x. [DOI] [PubMed] [Google Scholar]
- Rampersad SM, Janssen AM, Lucka F, Aydin U, Lanfer B, Lew S, Wolters CH, Stegeman DF, Oostendorp TF. Simulating transcranial direct current stimulation with a detailed anisotropic human head model. IEEE Transactions on Neural Systems and Rehabilitation Engineering. 2014;22(3):441–452. doi: 10.1109/TNSRE.2014.2308997. [DOI] [PubMed] [Google Scholar]
- Raveh M, Rueckl Jay G. Equivalent effects of inflected and derived primes: Long-term morphological priming in fragment completion and lexical decision. Journal of Memory and Language. 2000;42(1):103–119. [Google Scholar]
- Ren CL, Zhang GF, Xia N, Jin CH, Zhang XH, Hao JF, … Cai DL. Effect of low-frequency rTMS on aphasia in stroke patients: a meta-analysis of randomized controlled trials. PLoS One. 2014;9(7):e102557. doi: 10.1371/journal.pone.0102557. [DOI] [PMC free article] [PubMed] [Google Scholar]
- Schlaug G, Renga V. Transcranial direct current stimulation: a noninvasive tool to facilitate stroke recovery. Expert Review of Medical Devices. 2008;5(6):759–768. doi: 10.1586/17434440.5.6.759. [DOI] [PMC free article] [PubMed] [Google Scholar]
- Schlaug G, Renga V, Nair D. Transcranial direct current stimulation in stroke recovery. Archives of Neurology. 2008;65(12):1571–1576. doi: 10.1001/archneur.65.12.1571. [DOI] [PMC free article] [PubMed] [Google Scholar]
- Schlerf JE, Galea JM, Bastian AJ, Celnik PA. Dynamic modulation of cerebellar excitability for abrupt, but not gradual, visuomotor adaptation. The Journal of Neuroscience. 2012;32(34):11610–11617. doi: 10.1523/JNEUROSCI.1609-12.2012. [DOI] [PMC free article] [PubMed] [Google Scholar]
- Shah-Basak PP, Norise C, Garcia G, Torres J, Faseyitan O, Hamilton RH. Individualized treatment with transcranial direct current stimulation in patients with chronic non-fluent aphasia due to stroke. Frontiers in Human Neuroscience. 2015;9:201. doi: 10.3389/fnhum.2015.00201. [DOI] [PMC free article] [PubMed] [Google Scholar]
- Snider R, Eldred E. Electro-anatomical studies on cerebro-cerebellar connections in the cat. Journal of Comparative Neurology. 1951;95(1):1–16. doi: 10.1002/cne.900950102. [DOI] [PubMed] [Google Scholar]
- Stoodley CJ, Schmahmann JD. The cerebellum and language: evidence from patients with cerebellar degeneration. Brain and Language. 2009a;110(3):149–153. doi: 10.1016/j.bandl.2009.07.006. [DOI] [PubMed] [Google Scholar]
- Stoodley CJ, Schmahmann JD. Functional topography in the human cerebellum: a meta-analysis of neuroimaging studies. Neuroimage. 2009b;44(2):489–501. doi: 10.1016/j.neuroimage.2008.08.039. [DOI] [PubMed] [Google Scholar]
- Stoodley CJ, Schmahmann JD. Evidence for topographic organization in the cerebellum of motor control versus cognitive and affective processing. Cortex. 2010;46(7):831–844. doi: 10.1016/j.cortex.2009.11.008. [DOI] [PMC free article] [PubMed] [Google Scholar]
- Stoodley CJ, Valera EM, Schmahmann JD. An fMRI study of intra-individual functional topography in the human cerebellum. Behavioral Neurology. 2010;23(1–2):65–79. doi: 10.3233/BEN-2010-0268. [DOI] [PMC free article] [PubMed] [Google Scholar]
- Stoodley CJ, Valera EM, Schmahmann JD. Functional topography of the cerebellum for motor and cognitive tasks: an fMRI study. Neuroimage. 2012;59(2):1560–1570. doi: 10.1016/j.neuroimage.2011.08.065. [DOI] [PMC free article] [PubMed] [Google Scholar]
- Strick PL, Dum RP, Fiez JA. Cerebellum and nonmotor function. Annual Review of Neuroscience. 2009;32:413–434. doi: 10.1146/annurev.neuro.31.060407.125606. [DOI] [PubMed] [Google Scholar]
- Szaflarski JP, Allendorfer JB, Banks C, Vannest J, Holland SK. Recovered vs. not-recovered from post-stroke aphasia: the contributions from the dominant and non-dominant hemispheres. Restorative Neurology and Neuroscience. 2013;31(4):347–360. doi: 10.3233/RNN-120267. [DOI] [PMC free article] [PubMed] [Google Scholar]
- Szaflarski JP, Vannest J, Wu SW, DiFrancesco MW, Banks C, Gilbert DL. Excitatory repetitive transcranial magnetic stimulation induces improvements in chronic post-stroke aphasia. Medical Science Monitor. 2011;17(3):CR132–139. doi: 10.12659/MSM.881446. [DOI] [PMC free article] [PubMed] [Google Scholar]
- Tourville JA, Guenther FH. The DIVA model: A neural theory of speech acquisition and production. Language and Cognitive Processes. 2011;26(7):952–981. doi: 10.1080/01690960903498424. [DOI] [PMC free article] [PubMed] [Google Scholar]
- Turkeltaub PE. Brain Stimulation and the Role of the Right Hemisphere in Aphasia Recovery. Current Neurology and Neuroscience Reports. 2015;15(11):72. doi: 10.1007/s11910-015-0593-6. [DOI] [PubMed] [Google Scholar]
- Turkeltaub PE, Coslett HB, Thomas AL, Faseyitan O, Benson J, Norise C, Hamilton RH. The right hemisphere is not unitary in its role in aphasia recovery. Cortex. 2012;48(9):1179–1186. doi: 10.1016/j.cortex.2011.06.010. [DOI] [PMC free article] [PubMed] [Google Scholar]
- Turkeltaub PE, Messing S, Norise C, Hamilton RH. Are networks for residual language function and recovery consistent across aphasic patients? Neurology. 2011;76(20):1726–1734. doi: 10.1212/WNL.0b013e31821a44c1. [DOI] [PMC free article] [PubMed] [Google Scholar]
- Tzourio-Mazoyer N, Landeau B, Papathanassiou D, Crivello F, Etard O, Delcroix N, … Joliot M. Automated anatomical labeling of activations in SPM using a macroscopic anatomical parcellation of the MNI MRI single-subject brain. Neuroimage. 2002;15(1):273–289. doi: 10.1006/nimg.2001.0978. [DOI] [PubMed] [Google Scholar]
- Webster BR, Celnik PA, Cohen LG. Noninvasive brain stimulation in stroke rehabilitation. NeuroRx : the journal of the American Society for Experimental NeuroTherapeutics. 2006;3(4):474–481. doi: 10.1016/j.nurx.2006.07.008. [DOI] [PMC free article] [PubMed] [Google Scholar]
- Wessel MJ, Zimerman M, Timmermann JE, Heise KF, Gerloff C, Hummel FC. Enhancing Consolidation of a New Temporal Motor Skill by Cerebellar Noninvasive Stimulation. Cerebral Cortex. 2016;26(4):1660–1667. doi: 10.1093/cercor/bhu335. [DOI] [PubMed] [Google Scholar]
- Whitfield-Gabrieli S, Nieto-Castanon A. Conn: a functional connectivity toolbox for correlated and anticorrelated brain networks. Brain Connectivity. 2012;2(3):125–141. doi: 10.1089/brain.2012.0073. [DOI] [PubMed] [Google Scholar]
- Xing S, Lacey EH, Skipper-Kallal LM, Jiang X, Harris-Love ML, Zeng J, Turkeltaub PE. Right hemisphere grey matter structure and language outcomes in chronic left hemisphere stroke. Brain. 2016;139(Pt 1):227–241. doi: 10.1093/brain/awv323. [DOI] [PMC free article] [PubMed] [Google Scholar]
Associated Data
This section collects any data citations, data availability statements, or supplementary materials included in this article.




