Abstract
Study Objectives:
Continuous positive airway pressure (CPAP) is effective but challenging for children with obstructive sleep apnea (OSA). High-flow air via open nasal cannula (HFNC) as treatment in children remains controversial. We report the efficacy of HFNC in children with OSA and CPAP intolerance, a titration protocol, and a discussion of potential mechanisms.
Methods:
Patients aged 1 to 18 years with OSA (defined by obstructive apnea-hypopnea index [OAHI] greater than 1 event/h) and CPAP intolerance were enrolled. Routine polysomnography data obtained during 1 night wearing HFNC was compared with diagnostic data by Wilcoxon rank-sum test.
Results:
Ten school-age subjects (representing all patients attempting HFNC at our institution to date) with varied medical conditions, moderate to severe OSA, and CPAP intolerance wore HFNC from 10 to 50 L/min of room air with oxygen supplementation if needed (room air alone for 6 of the 10). HFNC reduced median OAHI from 11.1 events/h (interquartile range 8.7–18.8 events/h) to 2.1 events/h (1.7–2.2 events/h; P = .002); increased oxyhemoglobin saturation (SpO2) mean from 91.3% (89.6% to 93.5%) to 94.9% (92.4% to 96.0%; P < .002); increased SpO2 nadir from 76.0% (67.3% to 82.3%) to 79.5% (77.2% to 86.0%; P = .032); decreased SpO2 desaturation index from 19.2 events/h (12.7–25.8 events/h) to 6.4 events/h (4.7–10.7 events/h; P = .013); and reduced heart rate from 88 bpm (86–91 bpm) to 74 bpm (67–81 bpm; P = .004). Stratified analysis of the 6 subjects with only room air via HFNC, the OAHI, obstructive hypopnea index, and mean SpO2 still demonstrated improvements (P = .031).
Conclusions:
High-flow nasal cannula reduces respiratory events, improves oxygenation, reduces heart rate, and may be effective for CPAP intolerant children with moderate to severe OSA. Our data suggest HFNC warrants further study and consideration by payers as OSA therapy.
Citation:
Hawkins S, Huston S, Campbell K, Halbower A. High-flow, heated, humidified air via nasal cannula treats CPAP-intolerant children with obstructive sleep apnea. J Clin Sleep Med. 2017;13(8):981–989.
Keywords: CPAP intolerance, high-flow nasal cannula, obstructive sleep apnea, pediatrics
INTRODUCTION
Obstructive sleep apnea (OSA) is a prevalent and highly comorbid syndrome characterized by frequent limitation or cessation of airflow during sleep, typically due to inadequate upper airway patency.1 OSA in the pediatric population contributes to a host of medical issues, including neurobehavioral problems such as hyperactivity, cardiovascular abnormalities such as hypertension, metabolic disorders including insulin resistance and consequences of metabolic syndrome, and both failure to thrive and obesity.1–5 First-line therapy is surgical correction of adenotonsillar hypertrophy, if present.1 Continuous positive airway pressure (CPAP) remains a mainstay of treatment in persistent symptomatic OSA following adenotonsillectomy and in cases where surgical intervention is not indicated.1
CPAP is effective but adherence is poor for more than half of the pediatric population.6–9 Desensitization is effective but time-consuming,10,11 complaints of side effects are common,7 and the adverse effects of CPAP on a developing face are increasingly recognized.12 Many attempts to improve tolerability and adherence of CPAP therapy have proven ineffective. Trials of bilevel positive airway pressure, autotitrating positive airway pressure, and comfort features, such as pressure relief during exhalation, all demonstrate efficacy but adherence remains poor.6,7,13 CPAP alternatives include medical management with nasal steroid sprays and leukotriene antagonists14–16 and positional therapies such as wedges that limit supine sleep, which are generally effective at reducing the severity of, but not resolving, OSA.1 Oral appliances or other orthodontic procedures may be considered in the presence of a modifiable anatomic abnormality,17 though these appliances are only useful short term in a rapidly growing child or adolescent.1 Therefore, effective and tolerable CPAP alternatives for the treatment of pediatric OSA are needed.
BRIEF SUMMARY
Current Knowledge/Study Rationale: Pediatric obstructive sleep apnea is associated with significant morbidity but the efficacy of CPAP treatment is limited by poor adherence. Inadequate evidence exists to support the use of HFNC for OSA treatment, although its use is widespread for treatment of a variety of conditions such as neonatal respiratory distress and chronic obstructive pulmonary disease.
Study Impact: We provide much-needed data that demonstrate improved respiration with the use of HFNC in children with OSA and CPAP intolerance. This adds to a scant evidence base that provides justification to payers while emphasizing that HFNC for pediatric OSA needs to be a topic of further rigorous study, especially compared to CPAP.
Neonates with respiratory insufficiency associated with prematurity have been treated with high-flow nasal cannula (HFNC) in the neonatal intensive care unit setting with variable but generally favorable results, including decreased work of breathing and reduced rates of respiratory failure.18–21 The nasal insufflation of high-flow heated and humidified air in experimental studies has been shown to treat pediatric obstructive sleep apnea,22,23 but HFNC has not been approved by the United States Food and Drug Administration (FDA) or available for home use.
With the availability of an FDA-approved high-flow heated humidified air delivery device with pediatric-sized nasal cannula (Airvo 2 and Optiflow, Fisher & Paykel Healthcare, Auckland, New Zealand), we designed a study to test the efficacy of HFNC use in pediatric OSA. Our specific aim was to demonstrate whether HFNC was effective in treating a CPAP-intolerant population of children. Our primary outcome was the number of obstructive respiratory events per hour as measured by the obstructive apnea-hypopnea index (OAHI), which we hypothesized would be reduced to less than 1 event/h, thus resolving OSA. We similarly followed other routine sleep and respiratory parameters, hypothesizing that sleep quality and markers of respiration and gas exchange would improve.
METHODS
This was an investigator-initiated study to evaluate the efficacy of high-flow humidified air via an open nasal cannula in the treatment of pediatric OSA. After obtaining Colorado Multiple Institutional Review Board (COMIRB) approval #13-2469, we obtained informed consent and, when appropriate, assent from a clinic sample of 8 prospective subjects and included 2 retrospective subjects through the Children's Hospital Colorado sleep, pulmonary, and otorhinolaryngology clinics. They represented all patients attempting HFNC at our institution to date, hence the inclusion of 2 retrospective subjects. These children were between the ages of 1 and 18 years, in whom obstructive sleep apnea was previously diagnosed by overnight polysomnogram (PSG), and determined to be CPAP intolerant by their treating providers. OSA was defined according to International Classification of Sleep Disorders, Third Edition (ICSD-3) criteria, as presence of sleep-related breathing disorder symptoms and an OAHI of greater than 1 event/h.24 CPAP intolerance was defined as non-adherence to, contraindication to, or ineffective CPAP treatment and referral by treating providers for CPAP alternative to treat sleep-disordered breathing. Those unwilling or unable to provide informed consent were excluded.
In addition to medical history, we recorded in-laboratory polysomnographic data. Both baseline and HFNC study PSGs were monitored and recorded according to the pediatric criteria in The American Academy of Sleep Medicine (AASM) Manual for the Scoring of Sleep and Associated Events: Rules, Terminology and Technical Specifications, Version 2.225; routine parameters were recorded: electroencephalogram, eye, chin, and limb muscle tone, thoracoabdominal effort belts, audiovisual recording, 3-lead electrocardiogram, transcutaneous carbon dioxide (CO2) monitor, pulse oximetry, and thermal oronasal airflow sensor. The nasal pressure transducer is unreliable while on HFNC; therefore, the thermal oronasal airflow sensor was used for scoring hypopneas in accordance with AASM's alternate criteria.
The nasal interfaces included infant or junior pediatricsized or small adult-sized cannula. Less than 50% of the cross-sectional area of the nares was occluded by the nasal prongs to ensure the system was “open” with intentional leak, according to the manufacturer's recommendations.
After setup in an otherwise routine fashion for overnight in-laboratory PSG, the HFNC study was titrated. The patient was introduced to the cannula prior to lights off. High-flow humidified room air was delivered via device at an initial flow of 5 or 15 L/min for pediatric or adult-sized cannula, respectively, and was then titrated gradually in 5 or 15 L/min increments, respectively, based on symptoms of snoring, labored respirations, oxygen desaturations, etc. The titration continued until either disordered breathing normalized or until the maximum recommended flow was reached, which is 20 and 50 L/min for pediatric and adult-sized cannula, respectively. Supplemental oxygen was added if hypoxemia or desaturations persisted at the maximal flow of room air.
We retrospectively included the only two subjects in our institution who were previously prescribed HFNC therapy, also for OSA and CPAP intolerance. We obtained COMIRB approval to analyze only demographic, general medical history, and baseline and HFNC titration study data for these two subjects.
Simple counts and proportions were used to summarize categorical variables. Medians with interquartile ranges were used for continuous variables because they were not normally distributed as assessed by histograms. Similarly, Wilcoxon signed-rank test was used to determine statistical significance between these nonparametric diagnostic and HFNC polysomnographic data. Sensitivity analyses were performed to assess HFNC outcomes in obese versus nonobese patients and those who received supplemental oxygen versus those who did not. Statistical analyses were performed using R version 3.1.1 software (R Foundation for Statistical Computing, Vienna, Austria) with significance level of .05.
RESULTS
Demographic data are summarized in Table 1, which shows 10 predominantly white, school-aged, and overweight/obese subjects. Underlying medical conditions were varied, including 3 with Down syndrome, 5 with other craniofacial syndromes, and 4 with obesity. The majority of subjects underwent HFNC study within one year of the diagnostic PSG.
Table 1.
Demographics of study population.

Table 2 compares selected polysomnographic markers of sleep quality and respiratory events, comparing diagnostic values to HFNC at the optimal titrated setting. Total recording and sleep times, as well as arousal indices, were lower but not significantly different between diagnostic PSG and time spent at optimally titrated HFNC flow rate. Significant improvements in OAHI and obstructive hypopnea index (OHI), but not obstructive apnea index (OAI), are shown. Several markers of oxygenation, including oxyhemoglobin saturation mean and nadir as well as proportion of total sleep time with oxyhemoglobin saturation less than 92%, showed significant improvements. Heart rate was significantly reduced. The diagnostic markers of ventilation, maximum CO2, and proportion of total sleep time spent greater than 50 mmHg, were normal with no significant change after HFNC treatment. Titration of HFNC airflow suggests that obstructive indices and oxygenation respond best at the highest flow rate permitted by the size of the nasal prongs (data not shown).
Table 2.
Diagnostic versus optimal high-flow nasal cannula setting.

Figure 1 displays the significant changes in OAHI and OHI and nonsignificant change in OAI from diagnostic to HFNC sleep studies. One patient had extremely high obstructive indices (an OAHI of 130 events/h compared to the range of 1 to 25 events/h for all other subjects) but a sensitivity analysis excluding this outlier found that OAHI and OHI remained statistically significant.
Figure 1. Obstructive indices of diagnostic versus high-flow nasal cannula polysomnography studies.
OHI but not OAI contributes to significant improvement in OAHI. Median and interquartile bands representing the full dataset are shown, with individual subjects displayed as either open circle (supplemental oxygen used, n = 4 of 10) or closed circles (no supplemental oxygen used, n = 6 of 10). The outlier is not shown for clarity's sake but is included in the analysis. HFNC = high-flow nasal cannula, OAHI = obstructive apnea-hypopnea index, OAI = obstructive apnea index, OHI = obstructive hypopnea index.
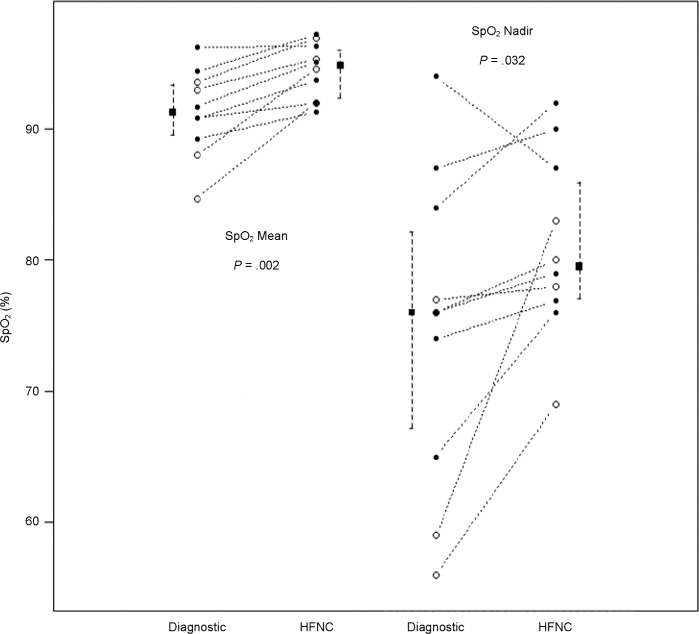
Figure 2 shows the improvements in mean and nadir of oxy-hemoglobin saturation. A sensitivity analysis demonstrated that use of supplemental oxygen (n = 4) did not account for significant outcomes, as significant improvements in OAHI, OHI, and oxygen parameters were noted even for those with no supplemental oxygen use (n = 6). This can be seen in Figure 1 and Figure 2, where subjects treated with supplemental oxygen are displayed as open circles and those without as closed circles. A similar sensitivity analysis demonstrated that overweight/ obese (n = 5) subjects had similar improvement in OAHI as non-overweight/obese subjects (n = 5; P = .062).
Figure 2. Oxyhemoglobin saturation mean and nadir of diagnostic versus high-flow nasal cannula polysomnography studies.
Median and interquartile bands are shown, with individual subjects displayed as either open circle (supplemental oxygen used) or closed circles (no supplemental oxygen used). HFNC = high-flow nasal cannula.
DISCUSSION
Our study demonstrates that the use of high-flow, humidified air via an FDA-approved device is effective in treating moderate to severe obstructive sleep apnea in a CPAP-intolerant pediatric population. We report a protocol for fitting and titrating HFNC. Two of our subjects demonstrated resolution of apnea with the use of HFNC, and most subjects demonstrated signifi-cant and clinically meaningful improvements in oxygenation and reductions in obstructive indices. The HFNC was well tolerated and all titration studies were completed uneventfully.
Children tend to manifest hypopnea-predominant OSA, a partial obstruction that can cause chronic changes in ventilation and increased work of breathing. This partial obstruction causes airflow limitation that is corrected by the HFNC (Figure 1 and Figure 3) without the discomfort of high pressure or face-mask seal.22,26
Figure 3. Representative 30-second epochs of stage N3 sleep taken from both diagnostic and high-flow nasal cannula studies in a 10-year-old girl with severe obstructive sleep apnea related to Noonan syndrome.
The upper epoch demonstrates paradoxical respirations and snoring during diagnostic study that resolves during the HFNC study shown in the lower epoch. Also, oxyhemoglobin saturation, SpO2, increases from 95% to 97% to 98%, transcutaneous carbon dioxide, CO2, decreases from 39 to 40 mmHg to 31 mmHg, and heart rate decreases from 86 to 89 bpm down to 76 to 77 bpm. HFNC = high-flow nasal cannula.
HFNC was associated with a significant reduction in the heart rate and no deleterious effect on sleep quality. When compared to cardiometabolic measures obtained during the CHAT study, where significant AHI reduction after adenotonsillectomy was associated with heart rate improvement of only 1 bpm,27 we noted a mean heart rate reduction of 14 bpm. This suggests dramatic improvement in cardiorespiratory function using HFNC therapy.
McGinley et al.22,23 and Joseph et al.28 have demonstrated improvements in OSA with HFNC in children with non-FDA approved, experimental, or undisclosed devices. Our study highlights improvements in the AHI, especially the hypopnea index, and oxyhemoglobin saturation nadir using HFNC, in addition to improved mean saturation, desaturation index, and heart rate. We describe a protocol for fitting the cannula, monitoring airflow, titrating flow rates, and scoring events with the HFNC device (Airvo 2, Fisher & Paykel Health Inc, Auckland, New Zealand), which is broadly FDA approved to deliver “high flow warmed and humidified respiratory gases.” Our data supports the need for payers to consider supporting this device as a CPAP alternative due to low adherence in CPAP users and for circumstances where CPAP may be contraindicated (ie, impaired midface development or cranio-facial deformity).
There were no reported adverse events in this small number of subjects during 1 night of HFNC use. Though the long-term safety has not yet been studied, data thus far19,22,23,28 suggest that treating OSA with HFNC has minimal risk and is likely preferable to non-adherence to CPAP. Whereas CPAP has been associated with impaired midface development due to pressure on the maxilla,12 this nasal cannula is unlikely to cause similar adverse changes due to the open nasal prong design.
The mechanisms by which high-flow nasal cannula may improve OSA are unclear. Deacon et al.29 describe factors affecting upper airway patency in patients with OSA include critical closing pressure of the upper airway (Pcrit), loop gain, arousal threshold, and upper airway recruitment threshold. With patent nares and intentionally high leak of this open-system HFNC, the airway pressure generated is low and unlikely to surmount Pcrit.30–36 Children with OSA are unable to activate airway tone to maintain airway patency.37–39 The lack of sensation of nasal airflow, as by adenotonsillar hypertrophy or nasal obstruction common in the pediatric population, is associated with increased nasopharyngeal resistance and contributes to OSA,40–45 suggesting that sensation of nasal airflow reduces airway resistance and elicits compensatory increase in pharyngeal tone.36,46 Therefore, the delivery of heated and humidified air to the nasopharynx at higher than usual flow rates may activate, or reactivate, the protective airway reflex via nasopharyngeal mechanoreceptor or thermoreceptor stimulation, as well as reduce irritation, swelling, and congestion associated with dryness.40,47
HFNC may reduce dead space and thus improve efficiency of gas exchange.36,40 Markers of ventilation, including mean transcutaneous CO2 and total sleep time with elevated trans-cutaneous carbon dioxide (TcCO2), were generally normal at baseline but a trend toward improvements in ventilation was noted with HFNC for some.
Our study is limited by its size and heterogeneous population. This was a clinic sample of all patients with OSA to date who have been treated with HFNC for CPAP failure or intolerance, which may contribute to selection bias. Our study population was predominantly white and school-age, with balanced sex distribution, and half overweight/obese, reflecting our clinic demographic. Given the diversity of our population's medical comorbidities we believe that HFNC could be considered regardless of underlying etiology in cases of CPAP intolerance. Though most of our patients were evaluated prospectively, we included two retrospective subjects so that every patient in our institution previously treated for OSA with HFNC was included in this analysis, and were therefore not chosen arbitrarily. The median duration between diagnostic and HFNC studies was less than 1 year, though in some cases the duration was prolonged and results may be skewed by changes in OSA with time.
The detection of respiratory events, specifically hypopneas, may be masked by use of supplemental oxygen or limited by unreliable nasal pressure monitoring during HFNC study. Future studies will benefit from reliable nasal pressure monitoring, which will require adjustments to current equipment. Supplemental oxygen may artificially reduce the detection of hypopneas with desaturation events, but a subanalysis of the six subjects who did not require supplemental oxygen demonstrated significant improvement in both oxygenation and obstructive apnea-hypopnea indices. Improvements noted in oxygenation and heart rate would also support that the reduction in hypopneas is not wholly artificial but rather another indicator of improved respiration. The predominance of hypopneas in our population further speaks to the presence of flow limitation and is demonstrated by the diagnostic median OAI of only 2.2 events/h versus OHI of 9.9 events/h. Respiratory rate and duty cycle are not monitored in our sleep laboratory at this time, but may provide further utility in demonstrating reduced respiratory effort.
Strengths of our study include the prospective nature of the majority of subjects and implementing a protocol for HFNC introduction and use. Of the 10 subjects studied, 8 were evaluated in a prospective fashion. The heterogeneous population may be considered a strength, as a diversity of comorbidities and underlying etiologies were evaluated, each with noted improvements in sleep-disordered breathing. Implementing a clear protocol, which was followed by two HFNC-trained registered polysomnography/respiratory technicians, strengthened the consistency and reliability of our HFNC titration. Our protocol included sleep staging, sleep architecture, heart rate, and transcutaneous CO2 monitoring, which has not been previously reported. Compared to a recent similar study28 our population is larger in size and more homogeneous in age.
CONCLUSIONS
Our study demonstrates that HFNC reduces respiratory events, improves oxygenation, reduces heart rate, and does not disturb sleep quality in pediatric patients with moderate to severe OSA who have not tolerated CPAP. We describe a practical method of fitting and titrating room air flow rates via HFNC. Finally, we provide a review of potential mechanisms of action, proposing that the primary mechanism of OSA treatment involves reduced nasopharyngeal resistance and stimulation of airway tone rather than generation of positive airway pressure. Therefore, HFNC may be more comfortable, more tolerable, and less likely to contribute to iatrogenic craniofacial changes. The use of HFNC as a CPAP alternative should be considered by major insurance payers in order to improve adherence of treatment. Current and future studies will benefit from a methodical approach to subject recruitment, randomization to CPAP or HFNC, and objective measurements of comfort and long-term effect on cardiorespiratory and neurobehavioral characteristics.
DISCLOSURE STATEMENT
Work for this study was performed at University of Colorado School of Medicine, Aurora, Colorado. All authors have reviewed and approved this article in its current form. This study was financially supported by the Department of Pediatrics, University of Colorado School of Medicine, and use of the REDCap database is supported by NIH/NCRR Colorado CTSI Grant Number UL1 TR001082. The study was not financially supported by industry. Fisher & Paykel provided one Airvo 2 machine for clinical use. The authors report no relevant conflicts of interest.
ACKNOWLEDGMENTS
The authors are indebted to Kathy Simar, RPSGT, and Su Linstrom, RPSGT, for their crucial roles in polysomnogram performance. The authors are grateful for the data analysis provided by Claire Palmer, MS, and the constructive criticism provided by Norman Friedman, MD, and Stacey Simon, PhD.
Author contributions: SMMH and ACH take responsibility for the integrity of the data and the accuracy of the data analysis. SMMH, SRH, KRC, and ACH had full access to all of the data in the study and contributed substantially to the study design, data analysis and interpretation, and the writing of the manuscript.
ABBREVIATIONS
- AASM
American Academy of Sleep Medicine
- BMI
body mass index
- CAHI
central apnea-hypopnea index
- COMIRB
Colorado Multiple Institutional Review Board
- CPAP
continuous positive airway pressure
- FDA
United States Food and Drug Administration
- HFNC
high-flow nasal cannula
- ICSD
International Classification of Sleep Disorders
- IQR
interquartile range
- OAHI
obstructive apnea-hypopnea index
- OAI
obstructive apnea index
- ODI
oxygen desaturation index
- OHI
obstructive hypopnea index
- OSA
obstructive sleep apnea
- Pcrit
critical closing pressure of the pharynx
- PSG
polysomnogram/polysomnography
- RPSGT
registered polysomnography technician
- TcCO2
transcutaneous carbon dioxide
- TRT
total recording time
- TST
total sleep time
REFERENCES
- 1.Marcus CL, Brooks LJ, Draper KA, et al. Diagnosis and management of childhood obstructive sleep apnea syndrome. Pediatrics. 2012;130(3):576–584. doi: 10.1542/peds.2012-1671. [DOI] [PubMed] [Google Scholar]
- 2.Halbower AC, Mahone EM. Neuropsychological morbidity linked to childhood sleep-disordered breathing. Sleep Med Rev. 2006;10(2):97–107. doi: 10.1016/j.smrv.2005.10.002. [DOI] [PubMed] [Google Scholar]
- 3.Amin R, Somers VK, McConnell K, et al. Activity-adjusted 24-hour ambulatory blood pressure and cardiac remodeling in children with sleep disordered breathing. Hypertension. 2008;51(1):84–91. doi: 10.1161/HYPERTENSIONAHA.107.099762. [DOI] [PubMed] [Google Scholar]
- 4.Chan JY, Li AM, Au CT, et al. Cardiac remodelling and dysfunction in children with obstructive sleep apnoea: a community based study. Thorax. 2009;64(3):233–239. doi: 10.1136/thx.2007.094904. [DOI] [PubMed] [Google Scholar]
- 5.Rajan P, Greenberg H. Obstructive sleep apnea as a risk factor for type 2 diabetes mellitus. Nat Sci Sleep. 2015;7:113–125. doi: 10.2147/NSS.S90835. [DOI] [PMC free article] [PubMed] [Google Scholar]
- 6.Marcus CL, Beck SE, Traylor J, et al. Randomized, double-blind clinical trial of two different modes of positive airway pressure therapy on adherence and efficacy in children. J Clin Sleep Med. 2012;8(1):37–42. doi: 10.5664/jcsm.1656. [DOI] [PMC free article] [PubMed] [Google Scholar]
- 7.Marcus CL, Rosen G, Ward SL, et al. Adherence to and effectiveness of positive airway pressure therapy in children with obstructive sleep apnea. Pediatrics. 2006;117(3):e442–e451. doi: 10.1542/peds.2005-1634. [DOI] [PubMed] [Google Scholar]
- 8.O'Donnell AR, Bjornson CL, Bohn SG, Kirk VG. Compliance rates in children using noninvasive continuous positive airway pressure. Sleep. 2006;29(5):651–658. [PubMed] [Google Scholar]
- 9.Uong EC, Epperson M, Bathon SA, Jeffe DB. Adherence to nasal positive airway pressure therapy among school-aged children and adolescents with obstructive sleep apnea syndrome. Pediatrics. 2007;120(5):e1203–e1211. doi: 10.1542/peds.2006-2731. [DOI] [PubMed] [Google Scholar]
- 10.Rains JC. Treatment of obstructive sleep apnea in pediatric patients. Behavioral intervention for compliance with nasal continuous positive airway pressure. Clin Pediatr. 1995;34(10):535–541. doi: 10.1177/000992289503401005. [DOI] [PubMed] [Google Scholar]
- 11.Stepanski EJ. Behavioral sleep medicine: a historical perspective. Behav Sleep Med. 2003;1(1):4–21. doi: 10.1207/S15402010BSM0101_3. [DOI] [PubMed] [Google Scholar]
- 12.Roberts SD, Kapadia H, Greenlee G, Chen ML. Midfacial and dental changes associated with nasal positive airway pressure in children with obstructive sleep apnea and craniofacial conditions. J Clin Sleep Med. 2016;12(4):469–475. doi: 10.5664/jcsm.5668. [DOI] [PMC free article] [PubMed] [Google Scholar]
- 13.Kushida CA, Berry RB, Blau A, et al. Positive airway pressure initiation: a randomized controlled trial to assess the impact of therapy mode and titration process on efficacy, adherence, and outcomes. Sleep. 2011;34(8):1083–1092. doi: 10.5665/SLEEP.1166. [DOI] [PMC free article] [PubMed] [Google Scholar]
- 14.Goldbart AD, Greenberg-Dotan S, Tal A. Montelukast for children with obstructive sleep apnea: a double-blind, placebo-controlled study. Pediatrics. 2012;130(3):e575–e580. doi: 10.1542/peds.2012-0310. [DOI] [PubMed] [Google Scholar]
- 15.Kheirandish-Gozal L, Gozal D. Intranasal budesonide treatment for children with mild obstructive sleep apnea syndrome. Pediatrics. 2008;122(1):e149–e155. doi: 10.1542/peds.2007-3398. [DOI] [PubMed] [Google Scholar]
- 16.Kheirandish-Gozal L, Bandla HP, Gozal D. Montelukast for children with obstructive sleep apnea: results of a double-blind, randomized, placebo-controlled trial. Ann Am Thorac Soc. 2016;13(10):1736–1741. doi: 10.1513/AnnalsATS.201606-432OC. [DOI] [PMC free article] [PubMed] [Google Scholar]
- 17.Schmidt-Nowara W, Lowe A, Wiegand L, Cartwright R, Perez-Guerra F, Menn S. Oral appliances for the treatment of snoring and obstructive sleep apnea: a review. Sleep. 1995;18(6):501–510. doi: 10.1093/sleep/18.6.501. [DOI] [PubMed] [Google Scholar]
- 18.Saslow JG, Aghai ZH, Nakhla TA, et al. Work of breathing using high-flow nasal cannula in preterm infants. J Perinatol. 2006;26(8):476–480. doi: 10.1038/sj.jp.7211530. [DOI] [PubMed] [Google Scholar]
- 19.Shoemaker MT, Pierce MR, Yoder BA, DiGeronimo RJ. High flow nasal cannula versus nasal CPAP for neonatal respiratory disease: a retrospective study. J Perinatol. 2007;27(2):85–91. doi: 10.1038/sj.jp.7211647. [DOI] [PubMed] [Google Scholar]
- 20.Dani C, Pratesi S, Migliori C, Bertini G. High flow nasal cannula therapy as respiratory support in the preterm infant. Pediatr Pulmonol. 2009;44(7):629–634. doi: 10.1002/ppul.21051. [DOI] [PubMed] [Google Scholar]
- 21.Sreenan C, Lemke RP, Hudson-Mason A, Osiovich H. High-flow nasal cannulae in the management of apnea of prematurity: a comparison with conventional nasal continuous positive airway pressure. Pediatrics. 2001;107(5):1081–1083. doi: 10.1542/peds.107.5.1081. [DOI] [PubMed] [Google Scholar]
- 22.McGinley BM, Patil SP, Kirkness JP, Smith PL, Schwartz AR, Schneider H. A nasal cannula can be used to treat obstructive sleep apnea. Am J Respir Crit Care Med. 2007;176(2):194–200. doi: 10.1164/rccm.200609-1336OC. [DOI] [PMC free article] [PubMed] [Google Scholar]
- 23.McGinley B, Halbower A, Schwartz AR, Smith PL, Patil SP, Schneider H. Effect of a high-flow open nasal cannula system on obstructive sleep apnea in children. Pediatrics. 2009;124(1):179–188. doi: 10.1542/peds.2008-2824. [DOI] [PMC free article] [PubMed] [Google Scholar]
- 24.American Academy of Sleep Medicine. International Classification of Sleep Disorders. 3rd ed. Darien, IL: American Academy of Sleep Medicine; 2014. [Google Scholar]
- 25.Berry RB, Budhiraja R, Gottlieb DJ, et al. Rules for scoring respiratory events in sleep: update of the 2007 AASM Manual for the Scoring of Sleep and Associated Events. Deliberations of the Sleep Apnea Definitions Task Force of the American Academy of Sleep Medicine. J Clin Sleep Med. 2012;8(5):597–619. doi: 10.5664/jcsm.2172. [DOI] [PMC free article] [PubMed] [Google Scholar]
- 26.Rosen CL, D'Andrea L, Haddad GG. Adult criteria for obstructive sleep apnea do not identify children with serious obstruction. Am Rev Respir Dis. 1992;146(5 Pt 1):1231–1234. doi: 10.1164/ajrccm/146.5_Pt_1.1231. [DOI] [PubMed] [Google Scholar]
- 27.Quante M, Wang R, Weng J, et al. The effect of adenotonsillectomy for childhood sleep apnea on cardiometabolic measures. Sleep. 2015;38(9):1395–1403. doi: 10.5665/sleep.4976. [DOI] [PMC free article] [PubMed] [Google Scholar]
- 28.Joseph L, Goldberg S, Shitrit M, Picard E. High-flow nasal cannula therapy for obstructive sleep apnea in children. J Clin Sleep Med. 2015;11(9):1007–1010. doi: 10.5664/jcsm.5014. [DOI] [PMC free article] [PubMed] [Google Scholar]
- 29.Deacon NL, Jen R, Li Y, Malhotra A. Treatment of obstructive sleep apnea. Prospects for personalized combined modality therapy. Ann Am Thorac Soc. 2016;13(1):101–108. doi: 10.1513/AnnalsATS.201508-537FR. [DOI] [PMC free article] [PubMed] [Google Scholar]
- 30.Urbano J, del Castillo J, Lopez-Herce J, Gallardo JA, Solana MJ, Carrillo A. High-flow oxygen therapy: pressure analysis in a pediatric airway model. Respir Care. 2012;57(5):721–726. doi: 10.4187/respcare.01386. [DOI] [PubMed] [Google Scholar]
- 31.Lampland AL, Plumm B, Meyers PA, Worwa CT, Mammel MC. Observational study of humidified high-flow nasal cannula compared with nasal continuous positive airway pressure. J Pediatr. 2009;154(2):177–182. doi: 10.1016/j.jpeds.2008.07.021. [DOI] [PubMed] [Google Scholar]
- 32.Kubicka ZJ, Limauro J, Darnall RA. Heated, humidified high-flow nasal cannula therapy: yet another way to deliver continuous positive airway pressure? Pediatrics. 2008;121(1):82–88. doi: 10.1542/peds.2007-0957. [DOI] [PubMed] [Google Scholar]
- 33.Parke RL, Eccleston ML, McGuinness SP. The effects of flow on airway pressure during nasal high-flow oxygen therapy. Respir Care. 2011;56(8):1151–1155. doi: 10.4187/respcare.01106. [DOI] [PubMed] [Google Scholar]
- 34.Ritchie JE, Williams AB, Gerard C, Hockey H. Evaluation of a humidified nasal high-flow oxygen system, using oxygraphy, capnography and measurement of upper airway pressures. Anaesth Intensive Care. 2011;39(6):1103–1110. doi: 10.1177/0310057X1103900620. [DOI] [PubMed] [Google Scholar]
- 35.Groves N, Tobin A. High flow nasal oxygen generates positive airway pressure in adult volunteers. Aust Crit Care. 2007;20(4):126–131. doi: 10.1016/j.aucc.2007.08.001. [DOI] [PubMed] [Google Scholar]
- 36.Mundel T, Feng S, Tatkov S, Schneider H. Mechanisms of nasal high flow on ventilation during wakefulness and sleep. J Appl Physiol. 2013;114(8):1058–1065. doi: 10.1152/japplphysiol.01308.2012. [DOI] [PMC free article] [PubMed] [Google Scholar]
- 37.Carrera HL, McDonough JM, Gallagher PR, et al. Upper airway collapsibility during wakefulness in children with sleep disordered breathing, as determined by the negative expiratory pressure technique. Sleep. 2011;34(6):717–724. doi: 10.5665/SLEEP.1034. [DOI] [PMC free article] [PubMed] [Google Scholar]
- 38.Huang J, Pinto SJ, Yuan H, et al. Upper airway collapsibility and genioglossus activity in adolescents during sleep. Sleep. 2012;35(10):1345–1352. doi: 10.5665/sleep.2110. [DOI] [PMC free article] [PubMed] [Google Scholar]
- 39.Marcus CL, Katz ES, Lutz J, Black CA, Galster P, Carson KA. Upper airway dynamic responses in children with the obstructive sleep apnea syndrome. Pediatr Res. 2005;57(1):99–107. doi: 10.1203/01.PDR.0000147565.74947.14. [DOI] [PubMed] [Google Scholar]
- 40.Dysart K, Miller TL, Wolfson MR, Shaffer TH. Research in high flow therapy: mechanisms of action. Respir Med. 2009;103(10):1400–1405. doi: 10.1016/j.rmed.2009.04.007. [DOI] [PubMed] [Google Scholar]
- 41.Sozansky J, Houser SM. The physiological mechanism for sensing nasal airflow: a literature review. Int Forum Allergy Rhinol. 2014;4(10):834–838. doi: 10.1002/alr.21368. [DOI] [PubMed] [Google Scholar]
- 42.DeWeese EL, Sullivan TY. Effects of upper airway anesthesia on pharyngeal patency during sleep. J Appl Physiol. 1988;64(4):1346–1353. doi: 10.1152/jappl.1988.64.4.1346. [DOI] [PubMed] [Google Scholar]
- 43.Berry RB, McNellis MI, Kouchi K, Light RW. Upper airway anesthesia reduces phasic genioglossus activity during sleep apnea. Am J Respir Crit Care Med. 1997;156(1):127–132. doi: 10.1164/ajrccm.156.1.9608037. [DOI] [PubMed] [Google Scholar]
- 44.Arens R, Sin S, Willen S, et al. Rhino-sinus involvement in children with obstructive sleep apnea syndrome. Pediatr Pulmonol. 2010;45(10):993–998. doi: 10.1002/ppul.21284. [DOI] [PubMed] [Google Scholar]
- 45.Schwartz AR, Smith PL. CrossTalk proposal: the human upper airway does behave like a Starling resistor during sleep. J Physiol. 2013;591(Pt 9):2229–2232. doi: 10.1113/jphysiol.2012.250654. [DOI] [PMC free article] [PubMed] [Google Scholar]
- 46.McGinley BM, Schwartz AR, Schneider H, Kirkness JP, Smith PL, Patil SP. Upper airway neuromuscular compensation during sleep is defective in obstructive sleep apnea. J Appl Physiol. 2008;105(1):197–205. doi: 10.1152/japplphysiol.01214.2007. [DOI] [PMC free article] [PubMed] [Google Scholar]
- 47.Williams R, Rankin N, Smith T, Galler D, Seakins P. Relationship between the humidity and temperature of inspired gas and the function of the airway mucosa. Crit Care Med. 1996;24(11):1920–1929. doi: 10.1097/00003246-199611000-00025. [DOI] [PubMed] [Google Scholar]



