Abstract
Purpose
BRAF mutant metastatic colorectal cancer (mCRC) forms an aggressive subset of colorectal cancer with minimal response to selective RAF inhibitors. Preclinical data show that reactivation of epidermal growth factor receptor (EGFR) signaling occurs in colorectal tumor cells treated with RAF inhibitors and that the addition of an EGFR inhibitor enhances antitumor activity. These data suggest that combined therapy with RAF and EGFR inhibitors could be an effective strategy for treating BRAF V600E mCRC.
Experimental Design
We undertook a pilot trial to assess the response rate and safety of the BRAF inhibitor vemurafenib combined with anti-EGFR antibody panitumumab in patients with BRAF mutant mCRC. Patients received standard approved doses of panitumumab and vemurafenib.
Results
Fifteen patients were treated. Performance status was ECOG 0 in four patients (27%) and ECOG 1 in 11 patients (73%). All patients had progressed through at least one standard treatment regimen, and eight (53%) had received previous fluoropyrimidine, oxaliplatin, and irinotecan chemotherapy. Treatment was well tolerated, with less cutaneous toxicity than would be expected with either agent, and no cases of keratoacanthomas/squamous cell carcinomas. Tumor regressions were seen in 10 of 12 evaluable patients with partial responses in two patients (100% and 64% regression lasting 40 and 24 weeks, respectively), and stable disease lasting over six months in two patients.
Conclusion
Combined RAF and EGFR inhibition is well tolerated, with less cutaneous toxicity than would be expected with either agent, and results in modest clinical activity in this highly aggressive and chemo-resistant subset of CRC.
Keywords: BRAF, RAF inhibitor, colorectal cancer
Introduction
BRAF mutation occurs in up to 10% of metastatic colorectal cancer (mCRC) and is associated with a worse prognosis(1, 2). Patients with metastatic BRAF-mutated CRC are less responsive to current chemotherapy(2-4) and do not benefit from anti-epidermal growth factor receptor (EGFR) antibodies in the chemotherapy-refractory setting(5-7). BRAF mutant mCRC has a predilection for spread to the peritoneum and less frequently presents with metastases limited to the liver(8, 9). New systemic therapies are particularly needed for this group.
BRAF encodes a protein directly downstream from RAS in the canonical mitogen-activated protein kinase (MAPK) cascade. In its active GTP-bound form, RAS activates RAF by recruiting RAF and simulating RAF dimerization(10, 11). BRAF mutations in CRC occur most commonly at the V600 hotspot and lead to constitutive activation of V600E BRAF, which signals as a monomer(12).
Selective inhibitors of RAF, such as vemurafenib and dabrafenib, have recently been developed and have entered the clinic. In wild-type cells, where RAF signals as a dimer, these inhibitors bind to one protomer in the RAF dimer, but trans-activate the other protomer and thus paradoxically activate ERK signaling(12). This is responsible for much of the toxicity of these drugs and can lead to induction of keratoacanthomas and, rarely, accelerate the growth of tumors with mutant RAS when these drugs are inadvertently administered to patients with such tumors(13, 14). In contrast, binding of the drug to BRAF V600E monomers inhibits their activity. Since these drugs inhibit ERK signaling only in tumors with BRAF mutations, and not in normal cells, they have a broad therapeutic index.
In BRAF mutant tumors, adaptive resistance to RAF inhibitors is due to feedback reactivation of RAS. RAF inhibitors block extracellular-regulated kinase (ERK) signaling, releasing upstream receptors from ERK-dependent negative feedback, leading to increased ligand-dependent signaling through upstream receptors, RAS activation, and the generation of RAF inhibitor-resistant RAF dimers(15). This is associated with a rebound in ERK signaling after initial potent inhibition in tumor cells exposed to RAF inhibitors. This rebound is modest in BRAF mutant melanomas and these tumors can be very sensitive to RAF inhibitors. Vemurafenib causes objective responses in about 50% of patients and improves overall survival compared to standard chemotherapy with dacarbazine(16). In contrast, vemurafenib showed minimal effect against BRAF mutant CRC in an extension cohort of the phase I study(17). In CRC cell lines, RAF inhibitors cause transient potent inhibition of the pathway followed by robust pathway reactivation(18). Pharmacodynamic studies in melanoma patients treated with vemurafenib suggest that near complete inhibition of ERK is necessary to effectively inhibit tumor growth(19), so the lack of potent durable inhibition of the pathway likely plays a role in the ineffectiveness of this drug in mCRC. Prahallad et al and Corcoran et al showed that vemurafenib treatment of BRAF V600E colorectal tumors is associated with reactivation of EGFR signaling(18, 20). Inhibition of EGFR enhanced ERK pathway inhibition by vemurafenib and the combination was able to suppress the growth of BRAF mutant CRC in in vitro and in vivo preclinical models.
Based on these data, we undertook a pilot study to evaluate the clinical efficacy and safety of combined EGFR and BRAF inhibition in BRAF V600E mutant CRC.
Methods
Study Design
Fifteen patients were enrolled between February 2013 and May 2014. Patients participating in this study were required to have BRAF V600E mutated metastatic colorectal adenocarcinoma. Patients had to have progressed through one or more standard chemotherapy regimens, but were permitted to have received any number of prior regimens. Additional eligibility criteria included: age ≥ 18 years; Eastern Cooperative Oncology Group performance status of 0-1; measurable disease according to Response Evaluation Criteria in Solid Tumors (RECIST 1.1); adequate hematological, liver, and renal function; and ability to swallow oral medication. Patients were excluded if they received previous anti-EGFR targeting antibodies (cetuximab or panitumumab). The study protocol was approved by the Institutional Review Board/Privacy Board and patients provided their written informed consent prior to study treatment and related procedures.
Tumor Sequencing
BRAF V600E mutation was confirmed in all cases using a mass-spectrometry based assay (Sequenom, San Diego, CA) that evaluated for hotspot mutations in the genes BRAF, KRAS, NRAS, PIK3CA, MEK, AKT, EGFR, and ERBB2, as previously described(21). All slides were reviewed for appropriate tumor content by a pathologist before analysis. Mutations were confirmed either by a separate Sequenom assay or by Sanger sequencing.
DNA from tumors and matched normal tissue from five cases were also analyzed on our custom next-generation sequencing platform, IMPACT (Integrated Mutation Profiling of Actionable Cancer Targets). The IMPACT assay is a targeted exome capture assay with ultradeep sequencing coverage (median, 570×) using Illumina HiSeq 2000. Target specific-probes for hybrid selection were designed as previously described(22, 23) to capture all protein-coding exons of 341 oncogenes, tumor suppressor genes, and components of pathways deemed actionable by targeted therapies (for full list see Supplementary Table S1).
Immunohistochemistry
Immunohistochemical analysis of hMLH1, hMSH2, hMSH6, or PMS2 expression was used to evaluate tumor mismatch repair (MMR) protein status. Expression of phosphorylated ERK and cyclin D1 were also tested by immunohistochemistry (IHC). Antibodies used were rabbit monoclonal antibodies and were obtained from Cell Signaling (phospho-ERK) or ThermoScientic Lab Vision (cyclin D1). The staining was scored 0-3+ based on the percentage of tumor cells stained.
Study Treatment and Procedures
Patients received the FDA-approved starting doses of panitumumab (6mg/kg IV every 14 days) and vemurafenib (960mg orally twice daily). To allow for planned correlative studies, patients started panitumumab on day one of the study and then started vemurafenib on day 8 of the study. Concurrent treatment with panitumumab and vemurafenib continued until objective progression of disease or unacceptable toxicity.
Since panitumumab and vemurafenib had not been previously combined in a clinical trial, this trial included a toxicity hold after enrollment of six patients. If one or fewer dose limiting toxicities (DLTs) were observed in the first six patients then accrual would proceed at the specified dose. However if two or more DLTs occurred then we would reassess trial doses of vemurafenib and panitumumab and would enroll subsequent patients at a reduced dose level. DLTs were defined as grade 4 hematologic toxicities or grade 3 non-hematologic toxicities (except for grade 3 rash that responded to maximal supportive treatments and did not require dose reduction, grade 3 nausea, vomiting, or diarrhea that responded to maximal supportive treatment(s) within 48 hours, or electrolyte disturbances that responded to correction within 24 hours).
The first 10 patients enrolled in the trial were required to have pre- and post-vemurafenib biopsies for planned correlative studies. Baseline biopsies were obtained 4-7 days after starting panitumumab, and on-treatment biopsies were obtained 12-16 days after starting vemurafenib.
Patients were evaluated for response by CT scan every 8 weeks. Responses were determined using RECIST criteria (version 1.1). Safety was evaluated using the National Cancer Institute Common Terminology Criteria for Adverse Events (NCI-CTCAE), Version 4.0, based on recorded adverse events, physical examinations, and clinical laboratory assessments.
Statistical Design
The trial's primary endpoint was overall response. Secondary endpoints were progression-free survival (PFS), overall survival (OS), and adverse event profile of this regimen. An additional secondary objective was to assess the ability of this combination to inhibit ERK signaling in tumors.
This was a pilot trial with a goal of accrual of 15 patients to check for evidence of activity of this regimen. Fifteen patients allows estimation of the overall response rate to within ±25%. Primary statistical analyses were performed on data from the population comprising all patients who receive any dose of study drug. Any patient who dropped out prior to the 8 week assessment was deemed a non-responder. The study protocol pre-specified that the results of this trial would be considered encouraging for activity if 2 or more of the 15 patients responded.
Results
Patient Characteristics
Table 1 lists characteristics of the 15 patients enrolled in this pilot trial. Median age on enrollment was 62 years (range 22-83 years). Seven patients (47%) were male. Eleven patients (73%) had a right-sided primary tumor. Eight patients (53%) had stage IV disease at diagnosis. Performance status was ECOG 0 in four patients (27%) and ECOG 1 in 11 patients (73%). All patients had progressed through at least one standard treatment regimen, and eight (53%) had received previous fluoropyrimidine, oxaliplatin, and irinotecan chemotherapy. Eleven patients had MMR IHC, and one patient's tumor was MMR-deficient.
Table 1. Patient characteristics.
| Characteristic | BRAF Mutant metastatic colorectal cancer patients (n=15) | |
|---|---|---|
|
| ||
| Age | Mean | 63 years (22-83) |
| Median | 62 years | |
|
| ||
| Gender | Male | 47% (n=7) |
| Female | 53% (n=8) | |
|
| ||
| Site of primary tumor* | Right-colon | 71% (n=10) |
| Left-colon | 29% (n=4) | |
|
| ||
| Stage at diagnosis | Stage I | 7% (n=1) |
| Stage II | 7% (n=1) | |
| Stage III | 33% (n=5) | |
| Stage IV | 53% (n=8) | |
|
| ||
| Line of treatment | 2nd line | 53% (n=8) |
| 3rd line | 57% (n=7) | |
|
| ||
| ECOG performance status | ECOG 0 | 27% (n=4) |
| ECOG 1 | 73% (n=11) | |
One patient presented with synchronous adenocarcinoma in the right and left sides of the colon.
Tumor mutational profile
Tumor sequencing was performed with a mass-spectrometry assay for hotspot mutations in the BRAF, KRAS, NRAS, PIK3CA, MEK, AKT, EGFR, and ERBB2 genes. All tumors had a BRAF V600E mutation. One case had a concurrent PIK3CA E545K mutation. No other concurrent mutations in this panel of genes were identified.
Five cases were analyzed by deep sequencing using the IMPACT assay, a custom next generation sequencing assay of all protein-coding exons of 341 oncogenes, tumor suppressor genes, and components of pathways deemed actionable by targeted therapies. The genetic alterations identified are listed in Supplemental Table 2. A mean of 11 somatic mutations (range 6-17) was identified in these tumors. Two cases had alterations in WNT signaling: an APC truncating mutation in one case and a missense mutation in β-catenin in the other. No alterations in WNT pathway genes were detected in the other three cases analyzed. All cases had an alteration in TP53. No other shared alterations were identified in these five samples and no additional alterations in the RAS/RAF pathway were identified.
Adverse events
The combination of panitumumab and vemurafenib was well-tolerated overall and no dose limiting toxicities were identified in the first six patients enrolled, allowing patients to continue to enroll at the full doses of panitumumab and vemurafenib. Table 2 lists adverse events attributed to treatment. Acneiform rash and fatigue, primarily grade 1, were the most frequently observed treatment-related adverse events. Four patients experienced grade 3 alkaline phosphatase elevations. One patient experienced grade 4 AST/ALT elevation with treatment that resolved on cessation of vemurafenib, but recurred on re-challenge with the drug. Two patients developed small bowel obstruction requiring surgical bypass while on trial. Both incidents were felt to be unrelated to study medications, and the patients were able to restart therapy after their recovery. One patient had a bowel perforation while on study, which was attributed to progression of disease. Six patients on this trial required dose reductions of vemurafenib (two for arthralgias, one for transaminitis, one for fatigue, one for neutropenia, and one for photosensitivity rash), and one patient required a dose reduction of panitumumab (for acneiform rash).
Table 2. Adverse events.
| Adverse Event | Grade 1 | Grade 2 | Grade 3-4 |
|---|---|---|---|
| Rash acneiform | 6 (40%) | 2 (13%) | 0 |
| Fatigue | 4 (27%) | 0 | 1 (7%) |
| Alkaline phosphatase elevation | 0 | 2 (13%) | 3 (20%) |
| Arthralgias | 2 (13%) | 2 (13%) | 0 |
| Dry skin/xerosis | 4 (27%) | 0 | 0 |
| AST/ALT elevation | 0 | 0 | 3 (20%)* |
| Photosensitivity | 2 (13%) | 1 (7%) | 0 |
| Nausea | 1 (7%) | 1 (7%) | 0 |
| Erythema multiforme | 2 (13%) | 0 | 0 |
| Pruritis | 2 (13%) | 0 | 0 |
| Rash maculopapular | 2 (13%) | 0 | 0 |
| Neutropenia | 0 | 0 | 1 (7%) |
| Keratosis | 0 | 1 (7%) | 0 |
| Palmar-plantar erythrodysesthesia syndrome | 0 | 1 (7%) | 0 |
| Weight loss | 0 | 1 (7%) | 0 |
| Alopecia | 1 (7%) | 0 | 0 |
| Diarrhea | 1 (7%) | 0 | 0 |
| Hypomagnesemia | 1 (7%) | 0 | 0 |
| Nasal vestibulitis | 1 (7%) | 0 | 0 |
Grade 4 AST/ALT elevations were noted twice in the same patient, occurring after initial treatment and on re-challenge with vemurafenib.
When compared to patients on single agent vemurafenib and panitumumab, patients in our study developed a lower incidence and severity of acneiform rash (40% grade 1, 13% grade 2), maculopapular rash (13%), palmar-plantar erythrodysesthesia syndrome (7%), papillomas (7%) and cutaneous squamous cell carcinoma/keratoacanthoma (0%), likely due to opposing effects of vemurafenib (activation) and panitumumab (inhibition) on ERK signaling in epidermal keratinocytes. Figure 1 shows representative photographs of dermatologic adverse events seen with the panitumumab/vemurafenib combination.
Figure 1.
Representative photographs of dermatologic adverse events showing (A) acneiform rash, (B) dry skin, and (C) cymotrichous.
Pharmacodynamic studies
Nine patients underwent pre-and post-vemurafenib biopsies. Specimens were collected after 4-7 days of panitumumab treatment and after 15-17 days of combination treatment. Expression of phosphorylated ERK and cyclin D1 was assessed in the biopsy specimens by IHC. Representative sections for phospho-ERK (Figure 2A) and cyclin D1 (Figure 2B) are shown for a patient each with partial response, stable disease, and progression in the left, middle, and right panels, respectively. Samples obtained after treatment with panitumumab exhibited substantial expression of phosphorylated ERK and of cyclin D1 in all cases. Tumor levels of phosphorylated ERK and cyclin D1 were markedly reduced after 15 days of the combination regimen in all samples. These findings suggest that, as expected, ERK signaling in BRAF mutant CRC is not effectively inhibited with anti-EGFR antibodies alone and addition of vemurafenib further suppresses ERK signaling. Interestingly, in the patient who did not respond to treatment, cyclin D1 levels were incompletely suppressed with the panitumumab/vemurafenib combination (Figure 2B, rightmost panel).
Figure 2.
Representative sections from IHC analysis of (A) phosphorylated ERK and (B) cyclin D1 expression. Samples collected before vemurafenib treatment, after 1 week of panitumumab therapy, are on the top row, and samples collected after two weeks of combined panitumumab and vemurafenib treatment are on the bottom row.
Tumor Response
Treatment response was assessed in 12 patients (Figure 3A). Two additional patients died from disease progression before the first scan and are reported as non-responders. One patient withdrew consent after four weeks of treatment because of persistent abdominal pain despite treatment. This patient is reported as a non-responder, but had a CT scan of the abdomen and pelvis at time of withdrawal that showed 16% regression.
Figure 3.
(A) Waterfall plot showing best response radiographic response to treatment. One patient, indicated with asterix, withdrew from the study after 8 weeks of treatment to pursue hepatectomy, and one patient, indicated with double asterix, had to stop treatment after 8 weeks for grade 4 hepatotoxicity. (B) Plot showing duration of treatment.
Two patients (13%) had confirmed partial responses (100% and 64% regression) lasting 40 and 24 weeks, respectively, and two patients had stable disease lasting over six months with tumor regressions of 24% and 18%. Four additional patients demonstrated some degree of tumor shrinkage (range 4% to 20%) which did not meet formal response criteria, including a patient who was removed from the trial after 8 weeks for grade 4 hepatotoxicity attributed to vemurafenib and a patient who withdrew consent after 8 weeks to undergo hepatectomy.
Two patients in this trial had concurrent mutations that activate phosphatidylinositol 3-kinase (PI3K) signaling (supplemental table 2). One patient had a PIK3CA E545K mutation and one patient had a hotspot PTEN R173C mutation. Both patients had stable disease as best response, with tumor regression of 20% and 24% by RECIST, respectively, with the vemurafenib plus panitumumab combination. One patient had a MMR-deficient tumor, and this patient had 18% tumor regression by RECIST on her first assessment scan but had to stop treatment for recurrent, grade 4 AST/ALT elevations with treatment.
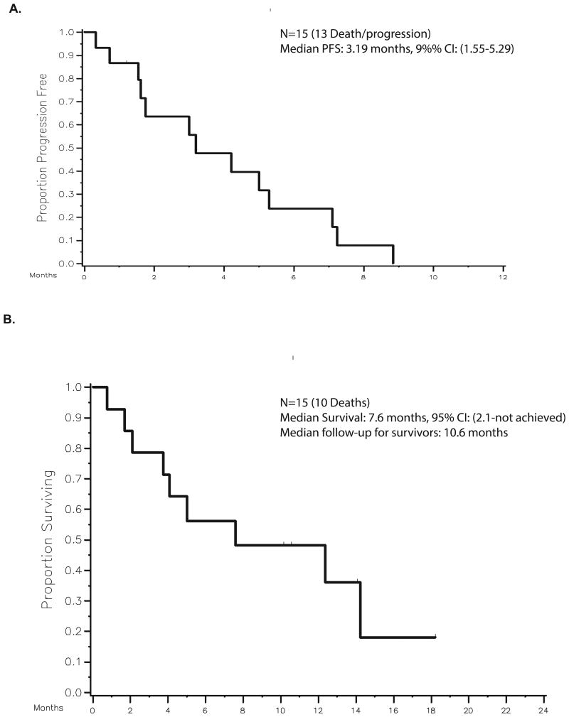
Survival
Figure 3B shows time on treatment for patients participating in this study. Median progression-free survival for panitumumab plus vemurafenib was 3.2 months (95% CI: 1.6-5.3 months) (Figure 4A). Median overall survival was 7.6 months (95% CI: 2.1-not reached) (Figure 4B).
Figure 4.
Kaplan-Meier curves showing (A) progression-free survival and (B) overall survival with panitumumab and vemurafenib combination therapy.
Discussion
In this pilot trial, we found that the combination of panitumumab and vemurafenib was well-tolerated and had biologic activity in the majority of patients with BRAF mutant mCRC. Twenty percent of patients treated experienced tumor regression lasting greater than 6 months. This trial provides support for the concept that combined selective RAF and EGFR inhibition is a viable strategy with which to treat these tumors. Notably, the response rate seen is similar to the activity of panitumumab alone in KRAS wild-type tumors(24), consistent with the notion that EGFR is the dominant receptor driving ERK signaling in about one fifth of CRCs.
BRAF mutation has been validated as a poor prognostic factor associated with shorter survival in clinical series and in clinical trials in mCRC(1, 2, 25). Based on current clinical trial data, the use of BRAF mutation as a predictive marker for response to anti-EGFR antibodies is not straightforward. Patients with BRAF mutant mCRC do not benefit from anti-EGFR antibodies in the chemotherapy-refractory setting(5-7). In the first-line setting, analysis of a series of BRAF mutant mCRC patients who received cetuximab together with active chemotherapy, either FOLFOX or FOLFIRI, suggested an improvement in PFS and OS with the addition of cetuximab, but the difference did not reach statistical significance(26). This observation is also limited by the un-preplanned analysis that combined data from two separate trials and needs to be validated in prospective, randomized trials. In this trial, all patients treated with vemurafenib and panitumumab had progressed through at least one line of standard chemotherapy, so would not be expected to benefit from the panitumumab alone. Panitumumab is given together with vemurafenib here to inhibit the reactivation of EGFR signaling that occurs with RAF inhibition.
Deep sequencing results were available for five cases. Sequencing revealed no other alterations in the RAS/RAF pathway. WNT pathway alterations were detected in only two of these five cases. Data from the Cancer Genome Atlas in colorectal cancer suggest that WNT pathway alterations may be less common in hypermutated and BRAF mutant colorectal cancer(27) and this has been attributed to tumor development through the serous serrated pathway, rather than the classic adenoma-carcinoma pathway. Interestingly, all five cases had alterations in TP53 suggesting a possible role of p53 inactivation in the progression of BRAF mutant mCRC. Two cases had mutational activation of PI3K signaling, and both experienced minor responses to treatment, suggesting that concurrent PI3K activation does not exclude benefit from combined RAF and EGFR inhibition.
This study included a safety assessment after enrollment of six patients because of concern for overlapping toxicity of these two agents, particularly dermatologic toxicity. Dermatologic adverse events have been reported in 95% and 74% of patients on vemurafenib and panitumumab, respectively(28, 29). Vemurafenib has been associated with a mostly maculopapular rash (64%), palmar-plantar erythrodysesthesia (60%), alopecia (45%), photosensitivity (52%), xerosis (19%), and cutaneous squamous cell carcinomas/keratoacanthomas (cuSCC/KA) (26%/14%). Conversely, through the inhibition of EGFR in skin, panitumumab leads to the development of an acneiform rash (90%), xerosis (10%), and paronychia (27%). The low degree of dermatologic toxicity seen suggests that EGFR antibodies, like MEK inhibitors(30-32), can reduce cutaneous toxicity, particularly cuSCC/KA development, caused by RAF inhibitors and that the driver of RAS activation in the skin is dominantly EGFR.
Clinical trial data suggest skin rash may serve as a surrogate marker of EGFR-targeted therapy efficacy and correlates with objective tumor response and OS with anti-EGFR antibody therapy in mCRC(33-35). However, the reduced skin toxicity with the vemurafenib/panitumumab combination cannot be taken as a surrogate for ineffective EGFR inhibition because of the opposing effects of these two agents in the skin. Specifically, vemurafenib and panitumumab have additive effects against ERK signaling in the BRAF V600E mutated tumors cells, but opposing effects on ERK signaling in wild-type cells. In wild-type cells, such as skin, vemurafenib binds and stabilizes the active dimeric conformation of RAF kinase, resulting in RAF activation and increased downstream ERK signaling(36). This effect opposes ERK inhibition from EGFR blockade in the skin, leading to decreased skin toxicity. In contrast, in the BRAF V600E mutated tumor, the addition of vemurafenib to panitumumab enhances ERK inhibition, as evidenced by the marked inhibition of ERK expression in the biopsy specimen collected after 15 days of vemurafenib/panitumumab treatment compared to the baseline biopsy specimen collected after treatment with panitumumab alone. Unlike wild-type RAFs, the V600E mutant BRAF does not require dimerization for its activity and is able to signal as a monomer(12). Vemurafenib binds to the BRAF V600E monomer and inhibits its kinase activity and downstream signaling, enhancing inhibition of ERK signaling from EGFR blockade in the tumor cells.
A notable toxicity seen with the combination was abnormalities of liver function tests, which were seen in a third of patients participating in this trial. Twenty percent of patients had grade 3 alkaline phosphatase elevations, compared to 3% of patients in the BRAF Inhibitor in Melanoma-3 (BRIM-3) study, the vemurafenib registration trial in melanoma patients(16). Two patients experienced grade 4 transaminitis with treatment. Patients with mCRC, who nearly all have liver metastasis, may be at greater risk for hepatic toxicity with vemurafenib. These results suggest that liver laboratory studies need to be carefully followed when combining RAF and EGFR inhibitors in these patients.
Although the results suggest some efficacy from combined RAF and EGFR inhibition, the regressions are smaller in magnitude and shorter in duration that hoped for or suggested by animal models. Recent studies suggest that, in most cases, adaptive and acquired resistance to RAF inhibitors are due to processes that prevent adequate inhibition of ERK signaling by the drug(37). These findings suggest that BRAF V600E is a key driver and that selection of resistance involves changes that prevent its inhibition. Correlative studies in this trial suggest that the combination of vemurafenib and panitumumab markedly inhibits ERK signaling in colorectal tumors, but the degree of inhibition is variable. Pharmacodynamic data from the phase I trial of vemurafenib suggest that substantial ERK inhibition is required for tumor growth inhibition, and even a small residual degree of ERK signaling may be sufficient to maintain tumor growth(19). In this trial, one patient who did not respond to treatment had inhibition of phosphorylated ERK with the panitumumab/vemurafenib combination in his on-treatment biopsy, but incomplete inhibition of cyclin D1. Future, larger studies may clarify if this regimen sufficiently inhibits ERK signaling in BRAF mutant mCRC and if cyclin D1 provides a good pharmacodynamics marker.
The enhanced activity of the combination compared to historical data with vemurafenib alone is consistent with preclinical data and the hypothesis that reactivation of EGFR signaling mediates adaptive resistance to RAF inhibitors in colorectal cancer. Our study is limited by a small sample size and the absence of a vemurafenib only control arm. There are several other studies testing combinations of selective RAF and EGFR inhibitors in this population, and our response rate of 13% is in line with the preliminary reports from these other studies. In VE-BASKET, a basket trial of vemurafenib in nonmelanoma solid tumors harboring BRAF V600 mutations, patients with CRC were treated with vemurafenib plus cetuximab following a 3+3 dose escalation. Preliminary results from this trial report two partial responders and six patients with stable disease in ten patients treated with this combination(38). The combination of encorafenib, another selective RAF inhibitor, and cetuximab in a phase I study of 18 patients, reported in abstract form thus far, led to partial responses in two patients(39). Early data from a phase I/II study of the combination of dabrafenib and panitumumab indicate that seven of eight evaluable patients achieved stable disease as the best overall response to this treatment(40).
Outcomes from our pilot trial, together with the abstract presentations from these other trials of RAF/EGFR inhibition in BRAF mutant mCRC, suggest that this regimen represents a first step towards treating these tumors. However, only a subset of patients respond to this regimen and responses are not durable, all lasting less than one year. Future analysis of progression specimens and further studies of RAF/EGFR combination regimens will clarify the need for profound ERK inhibition and the role of parallel pathways in these tumors to refine our approach to the treatment of BRAF mutant mCRC.
Supplementary Material
STATEMENT OF TRANSLATIONAL RELEVANCE.
New therapies are needed for BRAF mutant mCRC, an aggressive subset of colorectal cancer with decreased responsiveness to standard therapies. In this pilot trial, we find that the combination of panitumumab and vemurafenib is well-tolerated and has biologic activity in the majority of patients with BRAF mutant mCRC.
Acknowledgments
We thank Jaclyn M. Verghis and Michael Fox for assistance with data collection.
Supported by Genentech, a research award from the Society of Memorial Sloan-Kettering Cancer Center (R.Y.), and a Career Development Award from the Conquer Cancer Foundation of the American Society of Clinical Oncology (R.Y.).
Footnotes
Disclosures: Consulting – Genentech/Roche (MEL, LS); Consulting – Amgen (RY, MEL); Research funding – Genentech/Roche (RY, EMO); Research funding – Amgen (NK)
References
- 1.Van Cutsem E, Kohne CH, Lang I, Folprecht G, Nowacki MP, Cascinu S, et al. Cetuximab plus irinotecan, fluorouracil, and leucovorin as first-line treatment for metastatic colorectal cancer: updated analysis of overall survival according to tumor KRAS and BRAF mutation status. J Clin Oncol. 2011;29:2011–9. doi: 10.1200/JCO.2010.33.5091. [DOI] [PubMed] [Google Scholar]
- 2.Yokota T, Ura T, Shibata N, Takahari D, Shitara K, Nomura M, et al. BRAF mutation is a powerful prognostic factor in advanced and recurrent colorectal cancer. Br J Cancer. 2011;104:856–62. doi: 10.1038/bjc.2011.19. [DOI] [PMC free article] [PubMed] [Google Scholar]
- 3.Souglakos J, Philips J, Wang R, Marwah S, Silver M, Tzardi M, et al. Prognostic and predictive value of common mutations for treatment response and survival in patients with metastatic colorectal cancer. Br J Cancer. 2009;101:465–72. doi: 10.1038/sj.bjc.6605164. [DOI] [PMC free article] [PubMed] [Google Scholar]
- 4.Tol J, Nagtegaal ID, Punt CJ. BRAF mutation in metastatic colorectal cancer. N Engl J Med. 2009;361:98–9. doi: 10.1056/NEJMc0904160. [DOI] [PubMed] [Google Scholar]
- 5.De Roock W, Claes B, Bernasconi D, De Schutter J, Biesmans B, Fountzilas G, et al. Effects of KRAS, BRAF, NRAS, and PIK3CA mutations on the efficacy of cetuximab plus chemotherapy in chemotherapy-refractory metastatic colorectal cancer: a retrospective consortium analysis. The lancet oncology. 2010;11:753–62. doi: 10.1016/S1470-2045(10)70130-3. [DOI] [PubMed] [Google Scholar]
- 6.Di Nicolantonio F, Martini M, Molinari F, Sartore-Bianchi A, Arena S, Saletti P, et al. Wild-type BRAF is required for response to panitumumab or cetuximab in metastatic colorectal cancer. J Clin Oncol. 2008;26:5705–12. doi: 10.1200/JCO.2008.18.0786. [DOI] [PubMed] [Google Scholar]
- 7.Laurent-Puig P, Cayre A, Manceau G, Buc E, Bachet JB, Lecomte T, et al. Analysis of PTEN, BRAF, and EGFR status in determining benefit from cetuximab therapy in wild-type KRAS metastatic colon cancer. J Clin Oncol. 2009;27:5924–30. doi: 10.1200/JCO.2008.21.6796. [DOI] [PubMed] [Google Scholar]
- 8.Tran B, Kopetz S, Tie J, Gibbs P, Jiang ZQ, Lieu CH, et al. Impact of BRAF mutation and microsatellite instability on the pattern of metastatic spread and prognosis in metastatic colorectal cancer. Cancer. 2011;117:4623–32. doi: 10.1002/cncr.26086. [DOI] [PMC free article] [PubMed] [Google Scholar]
- 9.Yaeger R, Cercek A, Chou JF, Sylvester BE, Kemeny NE, Hechtman JF, et al. BRAF mutation predicts for poor outcomes after metastasectomy in patients with metastatic colorectal cancer. Cancer. 2014;120:2316–24. doi: 10.1002/cncr.28729. [DOI] [PMC free article] [PubMed] [Google Scholar]
- 10.Rushworth LK, Hindley AD, O'Neill E, Kolch W. Regulation and role of Raf-1/B-Raf heterodimerization. Mol Cell Biol. 2006;26:2262–72. doi: 10.1128/MCB.26.6.2262-2272.2006. [DOI] [PMC free article] [PubMed] [Google Scholar]
- 11.Weber CK, Slupsky JR, Kalmes HA, Rapp UR. Active Ras induces heterodimerization of cRaf and BRaf. Cancer Res. 2001;61:3595–8. [PubMed] [Google Scholar]
- 12.Poulikakos PI, Zhang C, Bollag G, Shokat KM, Rosen N. RAF inhibitors transactivate RAF dimers and ERK signalling in cells with wild-type BRAF. Nature. 2010;464:427–30. doi: 10.1038/nature08902. [DOI] [PMC free article] [PubMed] [Google Scholar]
- 13.Callahan MK, Rampal R, Harding JJ, Klimek VM, Chung YR, Merghoub T, et al. Progression of RAS-mutant leukemia during RAF inhibitor treatment. N Engl J Med. 2012;367:2316–21. doi: 10.1056/NEJMoa1208958. [DOI] [PMC free article] [PubMed] [Google Scholar]
- 14.Su F, Viros A, Milagre C, Trunzer K, Bollag G, Spleiss O, et al. RAS mutations in cutaneous squamous-cell carcinomas in patients treated with BRAF inhibitors. N Engl J Med. 2012;366:207–15. doi: 10.1056/NEJMoa1105358. [DOI] [PMC free article] [PubMed] [Google Scholar]
- 15.Lito P, Pratilas CA, Joseph EW, Tadi M, Halilovic E, Zubrowski M, et al. Relief of profound feedback inhibition of mitogenic signaling by RAF inhibitors attenuates their activity in BRAFV600E melanomas. Cancer Cell. 2012;22:668–82. doi: 10.1016/j.ccr.2012.10.009. [DOI] [PMC free article] [PubMed] [Google Scholar]
- 16.Chapman PB, Hauschild A, Robert C, Haanen JB, Ascierto P, Larkin J, et al. Improved survival with vemurafenib in melanoma with BRAF V600E mutation. N Engl J Med. 2011;364:2507–16. doi: 10.1056/NEJMoa1103782. [DOI] [PMC free article] [PubMed] [Google Scholar]
- 17.Kopetz SDJ, Chan E, Hecth JR, O'Dwyer PJ, Lee RJ, Nolop KB, Saltz L. LX4032 in metastatic colorectal cancer patients with mutant BRAF tumors. Journal of Clinical Oncology. 2010;28 abstract 3534. [Google Scholar]
- 18.Corcoran RB, Ebi H, Turke AB, Coffee EM, Nishino M, Cogdill AP, et al. EGFR-mediated re-activation of MAPK signaling contributes to insensitivity of BRAF mutant colorectal cancers to RAF inhibition with vemurafenib. Cancer discovery. 2012;2:227–35. doi: 10.1158/2159-8290.CD-11-0341. [DOI] [PMC free article] [PubMed] [Google Scholar]
- 19.Bollag G, Hirth P, Tsai J, Zhang J, Ibrahim PN, Cho H, et al. Clinical efficacy of a RAF inhibitor needs broad target blockade in BRAF-mutant melanoma. Nature. 2010;467:596–9. doi: 10.1038/nature09454. [DOI] [PMC free article] [PubMed] [Google Scholar]
- 20.Prahallad A, Sun C, Huang S, Di Nicolantonio F, Salazar R, Zecchin D, et al. Unresponsiveness of colon cancer to BRAF(V600E) inhibition through feedback activation of EGFR. Nature. 2012;483:100–3. doi: 10.1038/nature10868. [DOI] [PubMed] [Google Scholar]
- 21.Arcila M, Lau C, Nafa K, Ladanyi M. Detection of KRAS and BRAF mutations in colorectal carcinoma roles for high-sensitivity locked nucleic acid-PCR sequencing and broad-spectrum mass spectrometry genotyping. J Mol Diagn. 2011;13:64–73. doi: 10.1016/j.jmoldx.2010.11.005. [DOI] [PMC free article] [PubMed] [Google Scholar]
- 22.Gnirke A, Melnikov A, Maguire J, Rogov P, LeProust EM, Brockman W, et al. Solution hybrid selection with ultra-long oligonucleotides for massively parallel targeted sequencing. Nature biotechnology. 2009;27:182–9. doi: 10.1038/nbt.1523. [DOI] [PMC free article] [PubMed] [Google Scholar]
- 23.Wagle N, Berger MF, Davis MJ, Blumenstiel B, Defelice M, Pochanard P, et al. High-throughput detection of actionable genomic alterations in clinical tumor samples by targeted, massively parallel sequencing. Cancer discovery. 2012;2:82–93. doi: 10.1158/2159-8290.CD-11-0184. [DOI] [PMC free article] [PubMed] [Google Scholar]
- 24.Amado RG, Wolf M, Peeters M, Van Cutsem E, Siena S, Freeman DJ, et al. Wild-type KRAS is required for panitumumab efficacy in patients with metastatic colorectal cancer. J Clin Oncol. 2008;26:1626–34. doi: 10.1200/JCO.2007.14.7116. [DOI] [PubMed] [Google Scholar]
- 25.Douillard JY, Oliner KS, Siena S, Tabernero J, Burkes R, Barugel M, et al. Panitumumab-FOLFOX4 treatment and RAS mutations in colorectal cancer. N Engl J Med. 2013;369:1023–34. doi: 10.1056/NEJMoa1305275. [DOI] [PubMed] [Google Scholar]
- 26.Bokemeyer C, Cutsem EV, Rougier P, Ciardiello F, Heeger S, Schlichting M, et al. Addition of cetuximab to chemotherapy as first-line treatment for KRAS wild-type metastatic colorectal cancer: Pooled analysis of the CRYSTAL and OPUS randomised clinical trials. European Journal of Cancer. 2012;48:1466–75. doi: 10.1016/j.ejca.2012.02.057. [DOI] [PubMed] [Google Scholar]
- 27.Donehower LA, Creighton CJ, Schultz N, Shinbrot E, Chang K, Gunaratne PH, et al. MLH1-silenced and non-silenced subgroups of hypermutated colorectal carcinomas have distinct mutational landscapes. The Journal of pathology. 2013;229:99–110. doi: 10.1002/path.4087. [DOI] [PMC free article] [PubMed] [Google Scholar]
- 28.Boussemart L, Routier E, Mateus C, Opletalova K, Sebille G, Kamsu-Kom N, et al. Prospective study of cutaneous side-effects associated with the BRAF inhibitor vemurafenib: a study of 42 patients. Ann Oncol. 2013;24:1691–7. doi: 10.1093/annonc/mdt015. [DOI] [PubMed] [Google Scholar]
- 29.Lacouture ME, Duvic M, Hauschild A, Prieto VG, Robert C, Schadendorf D, et al. Analysis of dermatologic events in vemurafenib-treated patients with melanoma. The oncologist. 2013;18:314–22. doi: 10.1634/theoncologist.2012-0333. [DOI] [PMC free article] [PubMed] [Google Scholar]
- 30.Flaherty KT, Infante JR, Daud A, Gonzalez R, Kefford RF, Sosman J, et al. Combined BRAF and MEK inhibition in melanoma with BRAF V600 mutations. N Engl J Med. 2012;367:1694–703. doi: 10.1056/NEJMoa1210093. [DOI] [PMC free article] [PubMed] [Google Scholar]
- 31.Larkin J, Ascierto PA, Dreno B, Atkinson V, Liszkay G, Maio M, et al. Combined Vemurafenib and Cobimetinib in BRAF-Mutated Melanoma. N Engl J Med. 2014 doi: 10.1056/NEJMoa1408868. [DOI] [PubMed] [Google Scholar]
- 32.Long GV, Stroyakovskiy D, Gogas H, Levchenko E, de Braud F, Larkin J, et al. Combined BRAF and MEK Inhibition versus BRAF Inhibition Alone in Melanoma. N Engl J Med. 2014 doi: 10.1056/NEJMoa1406037. [DOI] [PubMed] [Google Scholar]
- 33.Cunningham D, Humblet Y, Siena S, Khayat D, Bleiberg H, Santoro A, et al. Cetuximab monotherapy and cetuximab plus irinotecan in irinotecan-refractory metastatic colorectal cancer. N Engl J Med. 2004;351:337–45. doi: 10.1056/NEJMoa033025. [DOI] [PubMed] [Google Scholar]
- 34.Saltz LB, Meropol NJ, Loehrer PJ, Sr, Needle MN, Kopit J, Mayer RJ. Phase II trial of cetuximab in patients with refractory colorectal cancer that expresses the epidermal growth factor receptor. J Clin Oncol. 2004;22:1201–8. doi: 10.1200/JCO.2004.10.182. [DOI] [PubMed] [Google Scholar]
- 35.Van Cutsem E, Peeters M, Siena S, Humblet Y, Hendlisz A, Neyns B, et al. Open-label phase III trial of panitumumab plus best supportive care compared with best supportive care alone in patients with chemotherapy-refractory metastatic colorectal cancer. J Clin Oncol. 2007;25:1658–64. doi: 10.1200/JCO.2006.08.1620. [DOI] [PubMed] [Google Scholar]
- 36.Lavoie H, Thevakumaran N, Gavory G, Li JJ, Padeganeh A, Guiral S, et al. Inhibitors that stabilize a closed RAF kinase domain conformation induce dimerization. Nature chemical biology. 2013;9:428–36. doi: 10.1038/nchembio.1257. [DOI] [PMC free article] [PubMed] [Google Scholar]
- 37.Lito P, Rosen N, Solit DB. Tumor adaptation and resistance to RAF inhibitors. Nat Med. 2013;19:1401–9. doi: 10.1038/nm.3392. [DOI] [PubMed] [Google Scholar]
- 38.Tabernero J, Chan E, Baselga J, Blay J, Chau I, Hyman DM, et al. VE-BASKET, a Simon 2-stage adaptive design, phase II, histology-independent study in nonmelanoma solid tumors harboring BRAF V600 mutations (V600m): Activity of vemurafenib (VEM) with or without cetuximab (CTX) in colorectal cancer (CRC) Journal of Clinical Oncology. 2014;32(suppl) abstr 3518. [Google Scholar]
- 39.Van Geel R, Elez E, Bendell JC, Faris JE, Lolkema MPJK, Eskens F, et al. Phase I study of the selective BRAF V600 inhibitor encorafenib (LGX818) combined with cetuximab with or without the alpha-specific PI3K inhibitor BYL719 in patients with advanced BRAF-mutant colorectal cancer. Journal of Clinical Oncology. 2014;32(suppl) abstr 3514. [Google Scholar]
- 40.Bendell JC, Atreya CE, Andre T, Tabernero J, Gordon MS, Bernards R, et al. Efficacy and tolerability in an open-label phase I/II study of MEK inhibitor trametinib (T), BRAF inhibitor dabrafenib (D), and anti-EGFR antibody panitumumab (P) in combination in patients (pts) with BRAF V600E mutated colorectal cancer (CRC) Journal of Clinical Oncology. 2014;32(suppl) abstr 3515. [Google Scholar]
Associated Data
This section collects any data citations, data availability statements, or supplementary materials included in this article.




