Abstract
The appropriate target for BP in patients with CKD and hypertension remains uncertain. We report prespecified subgroup analyses of outcomes in participants with baseline CKD in the Systolic Blood Pressure Intervention Trial. We randomly assigned participants to a systolic BP target of <120 mm Hg (intensive group; n=1330) or <140 mm Hg (standard group; n=1316). After a median follow-up of 3.3 years, the primary composite cardiovascular outcome occurred in 112 intensive group and 131 standard group CKD participants (hazard ratio [HR], 0.81; 95% confidence interval [95% CI], 0.63 to 1.05). The intensive group also had a lower rate of all-cause death (HR, 0.72; 95% CI, 0.53 to 0.99). Treatment effects did not differ between participants with and without CKD (P values for interactions ≥0.30). The prespecified main kidney outcome, defined as the composite of ≥50% decrease in eGFR from baseline or ESRD, occurred in 15 intensive group and 16 standard group participants (HR, 0.90; 95% CI, 0.44 to 1.83). After the initial 6 months, the intensive group had a slightly higher rate of change in eGFR (−0.47 versus −0.32 ml/min per 1.73 m2 per year; P<0.03). The overall rate of serious adverse events did not differ between treatment groups, although some specific adverse events occurred more often in the intensive group. Thus, among patients with CKD and hypertension without diabetes, targeting an SBP<120 mm Hg compared with <140 mm Hg reduced rates of major cardiovascular events and all-cause death without evidence of effect modifications by CKD or deleterious effect on the main kidney outcome.
Keywords: blood pressure, chronic kidney disease, cardiovascular disease, glomerular filtration rate, hypertension, mortality
Hypertension is common in patients with CKD, and it is a well established risk factor for cardiovascular disease (CVD) and progression of CKD.1–3 There is, however, uncertainty about the optimal BP target for preventing CVD and slowing decline in kidney function in these patients, in part related to lack of evidence derived from randomized trials. Previous randomized trials comparing intensive and standard BP lowering in patients with CKD without diabetes showed no overall benefit of intensive BP treatment on their primary kidney outcomes.4,5 Observational studies and small- or moderate-sized clinical trials that have included patients with mild to moderate CKD have yielded mixed results, with some suggesting a direct linear relationship between BP and CVD, whereas others suggest a “J-shape” relationship, depending on the specific BP parameter and type of CVD studied.6–8
The Systolic Blood Pressure Intervention Trial (SPRINT) was designed to compare the effects of intensive BP lowering (systolic BP [SBP] <120 mm Hg) and standard BP control (SBP<140 mm Hg) on clinical outcomes.9 It is the largest randomized trial to date to assess the effect of different BP targets on CVD and kidney outcomes in patients with CKD. Overall, intensive SBP lowering resulted in lower rates of the primary CVD composite outcome and all-cause death; the treatment effect was not modified by the presence or absence of CKD at baseline. Moreover, there was no difference in incidence of the main composite kidney outcome defined as ≥50% reduction in eGFR from baseline or ESRD. The objective of this report is to further characterize CVD and kidney outcomes in the SPRINT participants with CKD at baseline.
Results
Baseline Characteristics and Study Retention in the CKD Subgroup
Of the total SPRINT cohort (n=9361), 2646 participants (28.3%) had CKD at baseline and constitute the focus of this report (Supplemental Figure 1). Baseline demographic, clinical, and laboratory characteristics were not significantly different between the randomized groups (Table 1). Mean age of the participants with CKD was 71.9±9.3 years old, and 43.9% of them were 75 years old or older. Forty percent were women. Most (67.2%) of the participants were non-Hispanic whites, but blacks and Hispanics were well represented. Participants were taking a mean of 2.1±1.0 antihypertensive medications at trial entry and had a mean baseline SBP/diastolic BP (DBP) of 139.2±16.1/74.9±12.2 mm Hg.
Table 1.
Baseline characteristics of the SPRINT participants with CKD
| Characteristics | Intensive Treatment, n=1330 | Standard Treatment, n=1316 | Total, n=2646 |
|---|---|---|---|
| Age, mean±SD, yr | 72.0±9.0 | 71.9±9.5 | 71.9±9.3 |
| Age ≥75 yr, no. (%) | 584 (43.9) | 577 (43.8) | 1161 (43.9) |
| Women, no. (%) | 537 (40.4) | 521 (39.6) | 1058 (40.0) |
| Race or ethnicity, no. (%) | |||
| Non-Hispanic black | 325 (24.4) | 312 (23.7) | 637 (24.1) |
| Hispanic | 94 (7.1) | 96 (7.3) | 190 (7.2) |
| Non-Hispanic white | 885 (66.5) | 893 (67.9) | 1778 (67.2) |
| Other | 26 (2.0) | 15 (1.1) | 41 (1.6) |
| Serum creatinine, mg/dl | |||
| All | 1.43 (0.39) | 1.43 (0.38) | 1.43 (0.39) |
| Age ≥75 yr | 1.41 (0.38) | 1.39 (0.31) | 1.40 (0.34) |
| Age <75 yr | 1.46 (0.41) | 1.47 (0.42) | 1.46 (0.41) |
| eGFR, mean (SD), ml/min per 1.73 m2a | |||
| All | 47.9 (9.5) | 47.9 (9.5) | 47.9 (9.5) |
| Age ≥75 yr | 47.4 (9.5) | 47.3 (9.0) | 47.4 (9.2) |
| Age <75 yr | 48.2 (9.4) | 48.3 (9.9) | 48.2 (9.7) |
| Urinary ACR | |||
| Mean (SD), mg/gb | 80.9 (236.2) | 80.3 (250.5) | 80.6 (243.4) |
| Median (interquartile range) | 12.8 (6.5–42.6) | 13.8 (6.1–43.5) | 13.3 (6.4–43.1) |
| BP, mean±SD, mm Hg | |||
| SBP | 139.1±16.1 | 139.2±16.0 | 139.2±16.1 |
| DBP | 75.1±12.2 | 74.8±12.2 | 74.9±12.2 |
| Distribution of SBP, mm Hg | |||
| ≤132 | 463 (34.8) | 468 (35.6) | 931 (35.2) |
| >132 to <145 | 425 (32.0) | 412 (31.3) | 837 (31.6) |
| ≥145 | 442 (33.2) | 436 (33.1) | 878 (33.2) |
| Antihypertensive medications, no. per participant ±SD | 2.09±1.01 | 2.11±1.01 | 2.10±1.01 |
| Participants not using antihypertensive medications, no. (%) | 61 (4.6) | 62 (4.7) | 123 (4.7) |
| Statin use, no. (%) | 657 (49.7) | 697 (53.4) | 1354 (51.5) |
| Aspirin use, no. (%) | 754 (56.7) | 728 (55.5) | 1482 (56.1) |
| Smoking status | |||
| Never smoker, no. (%) | 606 (45.6) | 601 (45.7) | 1207 (45.6) |
| Former smoker, no. (%) | 617 (46.4) | 600 (45.6) | 1217 (46.0) |
| Current smoker, no. (%) | 107 (8.1) | 114 (8.7) | 221 (8.4) |
| Missing data, no. | 0 | 1 | 1 |
| CVD | |||
| Clinical, no. (%) | 263 (19.8) | 257 (19.5) | 520 (19.7) |
| Subclinical, no. (%) | 121 (9.1) | 121 (9.2) | 242 (9.2) |
| Framingham score, mean±SD, % | 27.1±14.3 | 27.2±24.3 | 27.1±14.3 |
| Framingham score ≥15%, no. (%) | 1042 (78.4) | 1027 (78.2) | 2069 (78.3) |
| Body mass index, mean±SDc | 29.5±5.8 | 29.4±5.7 | 29.4±5.8 |
| Fasting plasma total cholesterol, mean±SD, mg/dl | 186.6±40.7 | 184.9±40.6 | 185.8±40.7 |
| Fasting plasma LDL cholesterol, mean±SD, mg/dl | 108.9±35.0 | 106.0±33.5 | 107.4±34.3 |
| Fasting plasma total triglycerides, mean±SD, mg/dl | 124.9±69.4 | 133.6±89.0 | 129.2±79.9 |
| Fasting plasma glucose, mean±SD, mg/dl | 98.2±13.9 | 98.3±12.4 | 98.2±13.1 |
To convert LDL and total cholesterol to millimoles per liter, multiply by 0.0259. To convert triglycerides to millimoles per liter, multiply by 0.0113, and to convert glucose to millimoles per liter, multiply by 0.0555.
On the basis of the four-variable MDRD equation.
For urinary ACR: n=1284 in the intensive treatment group and n=1270 in the standard treatment group.
Calculated as weight in kilograms divided by height in meters squared.
The SBP intervention in the SPRINT was terminated early because of proven efficacy as previously described.10 The median follow-up duration was 3.3 (25th–75th percentile, 2.8–3.8) years. A total of 135 participants in the intensive group and 162 participants in the standard group discontinued their respective assigned SBP intervention, withdrew their consent, or were lost to follow-up (Supplemental Figure 1). However, all participants were included in the analyses.
Use of Antihypertensive Agents during Follow-Up
The mean number of antihypertensive medications prescribed at the study visit immediately before termination of the BP intervention was 2.9±1.2 in the intensive group compared with 2.0±1.2 in the standard group (Table 2). The use of almost all types of antihypertensive medications was higher in the intensive group than in the standard group.
Table 2.
Use of antihypertensive medications during follow-up in the SPRINT participants with CKD
| Medication Usage | Intensive Treatment, n=1330 | Standard Treatment, n=1316 |
|---|---|---|
| No. of medications | ||
| Mean no. of medications (SD) | 2.90 (1.24) | 2.02 (1.23) |
| Zero medications, no. (%) | 25 (1.9) | 123 (9.3) |
| One medication, no. (%) | 124 (9.3) | 359 (27.3) |
| Two medications, no. (%) | 376 (28.3) | 399 (30.3) |
| Three medications, no. (%) | 398 (29.9) | 278 (21.1) |
| Four or more medications, no. (%) | 407 (30.6) | 157 (11.9) |
| RAS blockers, no. (%) | 953 (71.7) | 750 (57.0) |
| Angiotensin-converting enzyme inhibitor | 471 (35.4) | 396 (30.1) |
| Angiotensin receptor blocker | 482 (36.2) | 355 (27.0) |
| Direct renin inhibitor | 0 | 0 |
| Diuretics, no. (%) | 895 (67.3) | 613 (46.6) |
| Thiazide type | 622 (46.8) | 396 (30.1) |
| Loop diuretics | 249 (18.7) | 200 (15.2) |
| Aldosterone receptor antagonists | 113 (8.5) | 60 (4.6) |
| Other potassium-sparing diuretics | 38 (2.9) | 39 (3.0) |
| α-1 Blockers, no. (%) | 172 (12.9) | 88 (6.7) |
| Central α-2 agonists or other central-acting drugs, no. (%) | 51 (3.8) | 22 (1.7) |
| Calcium channel blockers, no. (%) | 810 (60.9) | 491 (37.3) |
| Dihydropyridines | 753 (56.6) | 428 (32.5) |
| Nondihydropyridines | 64 (4.8) | 66 (5.0) |
| Direct vasodilators, no. (%) | 153 (11.5) | 55 (4.2) |
| β-Blockers, no. (%) | 694 (52.2) | 555 (42.2) |
Listed are the mean numbers of medications taken by participants as well as the numbers of participants taking various numbers of medications and specific medication classes at the study visit immediately before termination of the SBP intervention. RAS, renin-angiotensin system.
Achieved BP during Follow-Up
SBP decreased rapidly during the first month in both treatment groups (Figure 1). Thereafter, SBP remained relatively stable in the standard group but continued to decline for several months in the intensive group before stabilizing. At 1 year of follow-up, the model-based estimated mean (±SEM) SBP/DBP was 123.3±0.4/66.9±0.3 mm Hg in the intensive group and 136.9±0.4/73.8±0.3 mm Hg in the standard group. Over the duration of follow-up, the SBP/DBP was 123.0±0.2/66.3±0.2 mm Hg in the intensive group and 135.3±0.2/72.4±0.2 mm Hg in the standard group, with an average SBP difference of 12.3 mm Hg.
Figure 1.
Separation in achieved BP levels between the two intervention groups in the SPRINT participants with CKD. The broken line and open circles denote the intensive group; the solid line and closed circles denote the standard group. Vertical bars show 95% CIs for the mean at each time point.
Cardiovascular Outcomes and All-Cause Mortality
There was no significant effect modification by CKD status when considering the intensity of SBP lowering on the primary CVD outcome or all-cause death (P values for interaction: P=0.30 and P=0.95, respectively).
Among participants with CKD at baseline, rates of the primary CVD outcome were 112 of 1330 (2.68% per year) versus 131 of 1316 (3.19% per year) in the intensive and standard groups, respectively (hazard ratio [HR], 0.81; 95% confidence interval [95% CI], 0.63 to 1.05) (Figure 2A). The corresponding rates of all-cause death were 70 of 1330 (1.61% per year) and 95 of 1316 (2.21% per year), respectively (HR, 0.72; 95% CI, 0.53 to 0.99) (Figure 2B). The effect of intensive SBP lowering on the individual components of the primary composite (CVD) outcome was not significantly different between the two treatment groups (Table 3).
Figure 2.
Kaplan-Meier curves for pre-specified outcomes in SPRINT participants with CKD. Panel A shows the primary cardiovascular outcome, defined as the composite of myocardial infarction, acute coronary syndrome, stroke, acute decompensated heart failure, and death from cardiovascular causes. Panel B shows the all-cause death outcome. Panel C shows the main kidney outcome, defined as the composite of a decrease in eGFR of ≥50% from baseline (confirmed by repeat testing ≥90 days later) or the development of ESRD. The broken lines depict the intensive group; the solid lines depict the standard group.
Table 3.
Cardiovascular and mortality events in the SPRINT participants with CKD
| Outcome | Intensive Treatment, n=1330 | Standard Treatment, n=1316 | Intensive Treatment Versus Standard Treatment | |||
|---|---|---|---|---|---|---|
| No. of events | Percent per 1 yr | No. of events | Percent per 1 yr | HR (95% CI) | P Value | |
| Primarya outcome | 112 | 2.68 | 131 | 3.19 | 0.81 (0.63 to 1.05) | 0.12 |
| Myocardial infarction | 44 | 1.03 | 45 | 1.07 | 0.94 (0.62 to 1.44) | 0.79 |
| Acute coronary syndrome | 15 | 0.35 | 11 | 0.26 | 1.35 (0.60 to 3.08) | 0.47 |
| Stroke | 27 | 0.63 | 27 | 0.64 | 0.99 (0.57 to 1.70) | 0.96 |
| Heart failure | 41 | 0.96 | 52 | 1.24 | 0.72 (0.47 to 1.10) | 0.13 |
| CVD death | 18 | 0.41 | 30 | 0.70 | 0.57 (0.31 to 1.02) | 0.06 |
| All-cause death | 70 | 1.61 | 95 | 2.21 | 0.72 (0.53 to 0.99) | 0.04 |
| Primary outcome or all-cause death | 152 | 3.62 | 179 | 4.35 | 0.82 (0.66 to 1.02) | 0.08 |
| Primary outcome or cardiovascular procedure | 127 | 3.06 | 161 | 3.98 | 0.81 (0.63 to 1.05) | 0.12 |
The sum of the individual components of the primary composite outcome is greater than the number of primary composite outcome events, because some participants experienced more than one component event.
Effects of intensive BP lowering on the primary CVD outcome and all-cause death, alone and in combination, in subgroups defined by age, sex, race, eGFR, and albuminuria categories are presented in Supplemental Tables 1–3. In participants with CKD and age ≥75 years old at baseline, the relative HRs of the primary CVD outcome (HR, 0.64; 95% CI, 0.45 to 0.92), all-cause death (HR, 0.64; 95% CI, 0.43 to 0.96), and the composite of primary CVD outcome or all-cause death (HR, 0.66; 95% CI, 0.49 to 0.90) were lower in the intensive group compared with the standard group. Furthermore, the statistical interactions unadjusted for multiple comparisons between age and the effects of intensive SBP lowering on the primary CVD outcome (Supplemental Table 1) and the composite of primary CVD outcome and all-cause death (Supplemental Table 3) were marginally statistically significant, suggesting a more pronounced benefit of SBP lowering in older individuals.
Kidney Outcomes
The main kidney outcome, defined as a confirmed decrease in eGFR of ≥50% or development of ESRD, occurred in 15 participants (1.1%) in the intensive group and 16 participants (1.2%) in the standard group (HR, 0.90; 95% CI, 0.44 to 1.83) (Figure 2C). These findings were consistent with the observations in subgroups defined by age, sex, race, eGFR, or albuminuria, although the numbers of events in these subgroups were too small to allow for meaningful interpretations (data not shown).
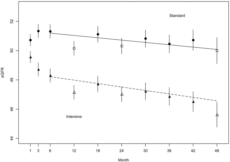
There was no difference in the incidence of a confirmed decrease in eGFR of ≥50% from baseline between the intensive group and the standard group (0.8% versus 0.9%; P=0.58) (Table 4). We also explored alternative thresholds of eGFR decline as outcomes.11 Although there were no differences in the incidence of a confirmed decline in eGFR of ≥40% between the two randomized groups, participants in the intensive group were more likely to experience a confirmed ≥30% decline in eGFR than participants in the standard group (6.9% versus 3.3%; HR, 2.03; 95% CI, 1.42 to 2.91). To assess the possibility that the higher risk of ≥30% decline in eGFR in the intensive group was primarily due to an acute effect of the intervention, we examined the kidney function using only eGFR determined after the 6-month follow-up visit. These analyses showed no differences in the incidence of ≥30%, ≥40%, or ≥50% decline in eGFR between the intensive and standard groups (Table 5). The rates of change in eGFR using the values at 6 months after randomization as baseline were −0.47 ml/min per 1.73 m2 per year in the intensive group and −0.32 ml/min per 1.73 m2 per year in the standard group (P<0.03) (Figure 3).
Table 4.
Incidence of various levels of decline in eGFR from baseline values in the SPRINT participants with CKD
| eGFR Reduction from Baseline, %a | No. of Events (% per 1 yr)b | Intensive Treatment Versus Standard Treatment | ||
|---|---|---|---|---|
| Intensive Treatment, n=1330 | Standard Treatment, n=1316 | HR (95% CI) | P Value | |
| 50 | 10 (0.25) | 12 (0.31) | 0.79 (0.34 to 1.83) | 0.58 |
| 40 | 30 (0.74) | 19 (0.49) | 1.51 (0.85 to 2.68) | 0.16 |
| 30 | 92 (2.33) | 44 (1.15) | 2.03 (1.42 to 2.91) | <0.01 |
Each patient with eGFR decline from the baseline value to a level below the designated threshold (30%, 40%, or 50%) was confirmed by a second laboratory test at least 90 d later. The patients with ≥40% decline in eGFR include all patients with ≥30% decline, whereas patients with ≥50% decline included all patients with ≥40% decline and ≥30% decline.
Number of first occurrence of these events (eGFR decline to a level below the designated threshold confirmed at least 90 d later) during the entire follow-up period; percentage per person-year that experienced the event is in parentheses.
Table 5.
Incidence of various levels of decline in eGFR from values at 6 months postrandomization in the SPRINT participants with CKD
| eGFR Reduction from Month 6, %a | No. of Events (% per 1 yr)b | Intensive Treatment Versus Standard Treatment | ||
|---|---|---|---|---|
| Intensive Treatment, n=1330 | Standard Treatment, n=1316 | HR (95% CI) | P Value | |
| 50 | 7 (0.17) | 4 (0.10) | 1.65 (0.48 to 5.62) | 0.42 |
| 40 | 15 (0.37) | 14 (0.36) | 1.01 (0.49 to 2.10) | 0.98 |
| 30 | 44 (1.09) | 35 (0.91) | 1.19 (0.76 to 1.85) | 0.44 |
Each patient with eGFR decline from the 6-mo value to a level below the designated threshold (30%, 40%, or 50%) was confirmed by a second laboratory test at least 90 d later. The patients with ≥40% decline in eGFR include all patients with ≥30% decline, whereas patients with ≥50% decline included all patients with ≥40% decline and ≥30% decline.
Number of first occurrence of these events (eGFR decline to a level below the designated threshold confirmed at least 90 d later) during the entire follow-up period after 6 months postrandomization; percentage per person-year that experienced the event is in parentheses.
Figure 3.
Two phases of eGFR changes during follow-up in the SPRINT participants with CKD. The rate of change in eGFR using the values at 6 months after randomization as the baseline was −0.47 ml/min per 1.73 m2 per year in the intensive group (broken line and triangles) and −0.32 ml/min per 1.73 m2 per year in the standard group (solid line and circles; P=0.03). Open symbols denote fasting visits; closed symbols denote nonfasting visits.
There was no significant difference in incident albuminuria between the intensive group (3.56%) and the standard group (4.72%; HR, 0.73; 95% CI, 0.50 to 1.05); this finding was consistent among the predefined subgroups (data not shown). Urinary albumin-to-creatinine ratio (ACR) level was, however, consistently lower in the intensive group than in the standard group (P<0.001 for all time points before 48 months; P<0.01 at 48 months) (Figure 4).
Figure 4.
Urinary albumin-to-creatinine ratio (UACR) in the SPRINT participants with CKD. Geometric mean ratios of postrandomization to baseline UACR with 95% CIs. The broken line and open circles depict the intensive treatment group; the solid line and closed circles depict the standard treatment group. The horizontal line at 1.0 depicts equality of means (i.e., no change in UACR).
Serious Adverse Events and Clinical Alerts in the CKD Subgroup
There was no difference in overall serious adverse events (SAEs) and adverse events associated with hypotension, syncope, bradycardia, injurious falls, hyponatremia, hypernatremia, or orthostatic hypotension between the two treatment groups. There were, however, increased risks for hypokalemia (HR, 1.87; 95% CI, 1.02 to 3.43), hyperkalemia (HR, 1.36; 95% CI, 1.01 to 1.82), and ARF (HR, 1.46; 95% CI, 1.10 to 1.95) in the intensive group compared with in the standard group. The numbers of these adverse events expressed as annual rates are presented in Table 6, whereas the absolute numbers of these occurring during the entire follow-up period are presented in Supplemental Table 4.
Table 6.
SAEs, conditions of interest, and monitored clinical events
| Events | No. of Events (% per 1 yr) | Intensive Treatment Versus Standard Treatment | ||
|---|---|---|---|---|
| Intensive Treatment, n=1330 | Standard Treatment, n=1316 | HR (95% CI) | P Value | |
| Total SAEsa | 627 (19.8) | 640 (20.2) | 0.98 (0.87 to 1.09) | 0.67 |
| Conditions of interest (emergency department visits or SAEs) | ||||
| Hypotension | 51 (1.2) | 38 (0.9) | 1.34 (0.88 to 2.04) | 0.17 |
| Syncope | 54 (1.3) | 42 (1.0) | 1.28 (0.86 to 1.92) | 0.22 |
| Bradycardia | 37 (0.9) | 40 (1.0) | 0.92 (0.59 to 1.44) | 0.71 |
| Electrolyte abnormalities | 69 (1.7) | 51 (1.2) | 1.35 (0.94 to 1.94) | 0.10 |
| Injurious fall | 125 (3.1) | 138 (3.4) | 0.90 (0.71 to 1.15) | 0.40 |
| ARFb | 114 (2.8) | 78 (1.9) | 1.46 (1.10 to 1.95) | 0.01 |
| Monitored clinical events | ||||
| Adverse clinical measures | ||||
| Serum sodium <130 mmol/L | 49 (2.7) | 35 (0.9) | 1.39 (0.90 to 2.15) | 0.13 |
| Serum sodium >150 mmol/L | 3 (0.1) | 0 (0) | — | >0.99 |
| Serum potassium <3.0 mmol/L | 30 (0.7) | 16 (0.4) | 1.87 (1.02 to 3.43) | 0.04 |
| Serum potassium >5.5 mmol/L | 106 (2.7) | 78 (2.0) | 1.36 (1.01 to 1.82) | 0.04 |
| Orthostatic hypotension | ||||
| Without dizziness | 301 (8.5) | 302 (8.5) | 0.99 (0.85 to 1.17) | 0.94 |
| With dizziness | 24 (0.6) | 23 (0.6) | 1.04 (0.59 to 1.84) | 0.89 |
—, HR inestimable due to no events in standard treatment group.
SAEs were defined as events that were fatal or life threatening, resulted in significant or persistent disability, required hospitalization, or resulted in prolonged hospitalization or medical events that the investigator judged to be a significant hazard to the participant and required medical or surgical intervention to prevent any of these events.
ARF was included as an event if the diagnosis was listed in the hospital discharge summary and considered by the SPRINT Safety Officer, after reviewing medical records, to be one of the top three causes for admission or continued hospitalization. A few patients with ARF were noted in the emergency department records instead of hospitalization records.
Numbers Needed to Treat for Benefits and Harm
Estimated numbers needed to treat to prevent a primary composite outcome event, death from any cause, and death from cardiovascular causes in the CKD subgroup at 4 years of the follow-up were 66, 28, and 61, respectively. The numbers needed to harm for ARF, hypokalemia, and hyperkalemia events were 35, 131, and 41, respectively (Supplemental Table 5).
Discussion
Intensive reduction in SBP resulted in a substantial decrease in the primary CVD outcome and all-cause death without evidence of effect modifications by baseline CKD status. There was also no difference in the main kidney outcome between the two randomized groups in the participants with CKD at baseline. Intensive SBP lowering also resulted in a slightly higher rate of eGFR decline and higher rates of hypokalemia, hyperkalemia, and ARF.
Previous randomized trials comparing different levels of BP targets in patients with CKD were not sufficiently powered to assess the effects on CVD or mortality outcomes.4,5,12 Two recent randomized trials have examined the cardiovascular benefits of lower SBP targets similar to those in the SPRINT. Neither the Secondary Prevention of Small Subcortical Strokes Trial13 nor the Action to Control Cardiovascular Risk in Diabetes Trial14 found significant differences in the primary CVD outcome between the lower and standard BP targets. Of note, the mean baseline eGFR of both study cohorts was >80 ml/min per 1.73 m2, and outcomes specifically in the CKD subgroup have not been reported. In contrast, the SPRINT targeted recruitment of persons with CKD and therefore, provides a better opportunity to understand the cardiovascular effects of a lower SBP in adults with CKD and hypertension.
The effects of BP lowering on CVD and mortality are the most important contributions of the SPRINT to the CKD literature. The lack of significant statistical interaction between the SBP treatment effect and CKD status implies that the benefits observed in the entire SPRINT cohort also applied to the CKD subgroup. This lack of statistical interaction is perhaps not surprising given that the large majority (66%) of the participants had a baseline eGFR ≥45 ml/min per 1.73 m2, a relatively low median baseline albuminuria (12.8 mg/g), and a slow chronic eGFR decline during follow-up (<0.5 ml/min per 1.73 m2 per year), suggesting that the CKD participants in the SPRINT generally had relatively mild CKD and maintained their kidney function during the trial. Intensive SBP lowering resulted in a significant reduction in all-cause death in the CKD subgroup; the effect size was, in fact, very similar to that in the entire cohort10 (28% and 27%, respectively). Therefore, our findings present the best available evidence to date in favor of intensive SBP reduction as a means to improve survival in patients with CKD and hypertension who are plagued with very high mortality rate.
Results of the CVD outcomes and all-cause death were generally consistent within the CKD subgroup across other clinical characteristics. It is of particular interest that lower SBP seemed to reduce the risks for the primary CVD outcome in those with CKD who were ≥75 years old at baseline, consistent with experience in participants who were ≥75 years old in the entire SPRINT cohort.15
The effects of BP lowering on kidney disease progression are also of great importance for the CKD population. The two largest clinical trials that have addressed this issue in patients with CKD without diabetes, the Modification of Diet in Renal Disease (MDRD) Study4 and the African American Study of Kidney Disease and Hypertension (AASK),5 showed no overall benefit of intensive BP treatment on their primary kidney outcomes. Post hoc analyses of both studies, however, suggested a benefit of intensive BP treatment in the subgroup with significant proteinuria.4,16 Clinical trial meta-analyses yielded conflicting results regarding the potential effect of BP reduction on development of ESRD.17,18
There was no benefit of intensive SBP lowering on a variety of kidney outcomes in the SPRINT participants with baseline CKD; however, there was also no adverse effect on the main kidney composite outcome. The SPRINT population differed from those in previous clinical trials in the CKD population. Patients with proteinuria >1 g/d were excluded from participation. The SPRINT enrolled a racially diverse population; participants in the MDRD Study were predominantly whites, whereas participation in the AASK was restricted to blacks. Neither the MDRD Study nor the AASK targeted an SBP as low as 120 mm Hg. Despite these differences, the SPRINT results with regard to kidney outcomes in patients with CKD are consistent with the main results of the MDRD Study and the AASK. Therefore, the totality of the data from randomized trials to date does not provide evidence of a beneficial effect of intensive BP lowering on the progression of kidney disease in patients without significant proteinuria, and it also does not provide evidence of substantial harm.
An acute decrease in GFR after BP lowering has been described in previous trials4,5 and is thought to be caused by hemodynamic changes in the renal microcirculation. In the SPRINT, there was an acute decline in eGFR in the intensive group after randomization. In contrast, there was a slight increase in eGFR in the standard group during the first 6 months. It is likely that the higher rate of ≥30% decline in eGFR observed in the intensive group was related to an acute hemodynamic effect on the GFR. This hypothesis is supported by our finding that the difference in the incidence of ≥30% decline in eGFR between the two randomized groups disappeared after the initial 6 months of treatment. There were also no differences in the incidence of larger (≥40% or ≥50%) declines in eGFR between the randomized groups during the first 6 months or thereafter.
The rate of decline in eGFR in both randomized groups was low at approximately 0.5 ml/min per 1.73 m2 per year, similar to that typically attributed to normal aging.19 Exclusion of patients with significant proteinuria yielded a cohort of participants in whom a relatively slow decline in kidney function was anticipated. Although the eGFR declined at a statistically significantly faster rate after the initial 6 months in the intensive group compared with the standard group, the difference was very small. In sum, these observations are consistent with the notion that the acute lowering of SBP to a target of <120 mm Hg causes a modest acute hemodynamically mediated decline in GFR without further substantial deterioration thereafter during the trial. The longer-term effects of intensive SBP lowering on kidney function require further studies.
The incidence of albuminuria was not significantly different between the randomized groups. However, the intensive group had significantly lower urinary ACR levels throughout the follow-up period, findings consistent with those in the AASK, in which proteinuria decreased by 17% in the lower BP group and increased by 7% in the standard BP group.5 This apparent dissociation between reduction in albuminuria and lack of improvement in clinical kidney outcomes has been seen in previous clinical trials5,20 and suggests that albuminuria reduction may not be a suitable surrogate end point in CKD clinical trials.
The early termination of the SPRINT intervention might have influenced the reported outcomes in the CKD subgroup in two ways. First, the numbers of primary CVD events, all-cause mortality events, and primary kidney events were likely decreased. Second, the shorter duration of follow-up might have further limited our ability to evaluate the long-term effect of the intensive BP intervention on kidney function; this is particularly important given the acute change in eGFR in the first few months. Thus, long-term follow-up of the CKD subcohort would be important.
Intensive SBP reduction was generally well tolerated by participants with CKD, although hypokalemia and hyperkalemia were more common in the intensive group, likely related to more frequent use of medications, such as diuretics and inhibitors of the renin-angiotensin system. ARF was also more common in the intensive group. These complications can potentially be prevented or managed by changing the medications or decreasing the intensity of antihypertensive therapy.
Our study has many strengths, including enrollment of the largest number of participants with CKD and hypertension in any randomized trial evaluating different levels of BP to date. In addition, the study cohort was racially diverse, and a substantial fraction of the cohort was ≥75 years old, allowing generalization to these important subgroups. Furthermore, the difference in SBP achieved between the two randomized groups was substantial and maintained throughout the follow-up period. However, progression of CKD was generally slow; hence, the number of main kidney events was low, limiting the power of the study to detect a treatment effect. In addition, the number of the SPRINT participants with advanced CKD at baseline was relatively small. As with any clinical trial, there is greater certainty that these results are more applicable to individuals who are similar to the SPRINT participants with regard to underlying characteristics, such as the level of kidney function, absence of diabetes, and relatively low levels of proteinuria. Extrapolation of these results to other CKD subpopulations requires caution. In addition, the SPRINT developed a standardized protocol for the measurement of BP, reinforcing the importance of accurate BP measurement in clinical practice. Future practice guidelines will likely consider the SPRINT findings along with other data to assist clinicians in optimizing the management of hypertension in patients with CKD without diabetes.
In patients with mild to moderate CKD and hypertension without diabetes, intensive reduction in SBP resulted in substantial reductions in CVD and all-cause death without an effect on the incidence of ≥50% decline in eGFR or ESRD. In exploratory analyses, intensive SBP lowering caused a slightly higher rate of eGFR decline. Certain adverse events but not overall SAEs occurred with intensive SBP treatment. The balance of benefits and harms seems to favor intensive SBP lowering in this population.
Concise Methods
The study design and main results of the SPRINT have been reported.9,10 In brief, the SPRINT was a randomized, controlled, open label trial conducted at 102 clinical sites sponsored by the National Heart, Lung and Blood Institute; the National Institute of Diabetes and Digestive and Kidney Diseases; the National Institute of Neurologic Disorders and Stroke; and the National Institute on Aging. Major inclusion criteria included age ≥50 years old, SBP of 130–180 mm Hg, and increased risk for CVD events. CKD, defined as an eGFR of 20–59 ml/min per 1.73 m2, per se was considered a sufficient criterion for increased CVD risk and specifically targeted for recruitment. Diabetes mellitus, proteinuria >1 g/d, polycystic kidney disease, prior stroke, symptomatic heart failure, and a left ventricular ejection fraction <35% were major exclusion criteria. Institutional review boards at all participating institutions approved the study protocol, and all participants provided written informed consent. The study was adherent to the Declaration of Helsinki (trial registration: clinicatrials.gov identifier NCT01206062).
Eligible participants were randomly assigned to an SBP target of <120 mm Hg (intensive) or <140 mm Hg (standard) at an allocation ratio of 1:1. Antihypertensive regimens were adjusted by site investigators to achieve and maintain SBP according to their study group assignment using published algorithms.9 Use of medications indicated for specific conditions (for example, renin-angiotensin blockers for proteinuric CKD) was encouraged. Healthy lifestyles for BP control and CVD protection (e.g., physical activity) were recommended but not specifically monitored.
Sociodemographic data were collected at baseline. Clinical and laboratory data were obtained at baseline and prespecified time points thereafter in the study clinic. BP was determined using the mean of three readings obtained with an automated machine (Model 907; Omron Healthcare) at 1-minute intervals after the patient had been seated quietly for 5 minutes during a study office visit. Medical records were obtained for documentation of events. All assays were performed in a single central laboratory. Serum and urine creatinine values were measured using an enzymatic procedure (Roche, Indianapolis, IN). Urine albumin was measured using a nephelometric method (Siemens, Tarrytown, NY). The four-variable MDRD equation was used to calculate the eGFR.21
Clinical Outcomes
A committee unaware of treatment assignment adjudicated protocol-specified clinical outcomes. The primary outcome was a composite of nonfatal myocardial infarction, nonmyocardial infarction acute coronary syndrome, nonfatal acute decompensated heart failure, nonfatal stroke, and death from CVD causes. Secondary outcomes included the individual components of the primary CVD outcome, all-cause death, and the composite of the primary CVD outcome or all-cause death. An additional outcome was the primary CVD outcome or a cardiovascular procedure defined as coronary, carotid, or peripheral artery revascularization or partial or complete amputation of the lower limb. Subgroup analyses for CVD outcomes in the CKD participants, as presented in Supplemental Tables 1–3, were not prespecified.
The main kidney outcome was a ≥50% decrease in eGFR from the baseline value (confirmed by repeat testing ≥90 days later) or development of ESRD requiring dialysis or kidney transplantation. Prespecified subgroups of interest for the main kidney outcome were defined according to sex, race, age (<75 versus ≥75 years old), baseline eGFR (above versus below the median), and baseline urinary ACR (≤300 versus >300 mg/g). Incident albuminuria, defined as a doubling of urinary ACR from <10 mg/g at baseline to ≥10 mg/g (confirmed by repeat testing ≥90 days later), was another prespecified outcome. Alternative thresholds of eGFR decline (≥30% and ≥40%) from baseline and the rate of change in eGFR (eGFR slope) were also examined. For analysis of the eGFR slope, we separately examined the entire follow-up period and the follow-up period starting at 6 months after randomization, anticipating an acute decline in eGFR with intensive SBP lowering as seen in previous trials.5
Included in this analysis are all events that occurred on or before August 20, 2015, although some eGFR or albuminuria events were confirmed by measurements in samples collected after that date. All data for this analysis were locked on January 31, 2016 instead of October 14, 2015 for the report of the primary results.10 This change in date resulted in four and five additional primary CVD events in the intense and standard groups, respectively, as well as one and one additional main composite kidney events in the intensive and standard groups, respectively. It has not fundamentally changed interpretation of the results.
SAEs and Adverse Events of Special Interest
Adverse events, including SAEs, were monitored as previously described.9,10 Several conditions not classified as SAEs were felt to be of particular interest for SBP interventions and specifically monitored if they were evaluated in an emergency department; these included hypotension, syncope, bradycardia, electrolyte abnormalities, injurious falls, and ARF. In addition, adverse laboratory measures and orthostatic hypotension were prespecified events to be monitored. Orthostatic hypotension was defined as a decrease in SBP of ≥20 mm Hg or a decrease in DBP of ≥10 mm Hg at 1 minute after transitioning from the sitting to the standing position. Participants were asked if they felt dizzy at that time.
Statistical Analyses
Mean SBP during follow-up was compared between the two treatment groups using mixed linear models with unstructured variance-covariance to control for within-subject correlation. Time to the first event was compared between the two treatment groups on the basis of the intention to treat approach using Cox proportional hazards regression models with two-sided tests at the 5% level of significance and stratification by clinical site. Follow-up was censored at the date of last assessment for a study event in each participant before August 21, 2015. Two-way interactions between treatment effect and baseline CKD status were assessed using likelihood ratio tests and the Hommel technique to adjust for multiple comparisons.22 Numbers needed to treat for benefit or harm at 4 years of follow-up and the 95% CIs were calculated as the inverses of the absolute risk reductions and the inverses of the absolute risk increases, respectively, using 4-year Kaplan–Meier survival estimates.23,24
There was a systematic difference in serum creatinine concentrations between blood samples obtained at fasting (baseline and 12, 24, and 48 months) and nonfasting (all other time points) visits. The mean eGFR was 0.9 ml/min per 1.73 m2 (1.9%) lower in the fasting compared with the nonfasting samples. An independent mixed effects linear model, with an unstructured variance-covariance matrix, was used to estimate annualized eGFR slopes for the period starting at 6 months after randomization (“chronic slope”).
All analyses were performed using (SAS version 9.4 software; SAS Institute Inc., Cary, NC).
Disclosures
A.K.C. is a consultant for Boehringer Ingelheim and a contributor to Up-to-Date. T.G. is a consultant for Jansen Pharmaceuticals, Pfizer Inc., and Sanofi. W.C.C. received an institutional grant from Eli Lilly and Co. and is an unpaid consultant of Takeda Pharmaceuticals. S.O. has received fees from Actelion Clinical Research, Inc.; AstraZeneca Pharmaceuticals; Boehringer Ingelheim; GlaxoSmithKline; Lilly; Lundbeck; Novo Nordisk, Inc.; and Onyx Pharma, Inc. and research grants from AstraZeneca; Bayer Healthcare Pharmaceuticals, Inc.; Merck and Co.; and Novartis, all outside of this submitted work. J.B. receives research support from Eli Lilly and Co. and is a consultant for Novartis and Medtronic, a contributor to Up-to-Date, and in a speaker bureau of Amgen, Arbor, and Janssen. B.I.F. receives research support from Novartis Pharmaceuticals and is a consultant for AstraZeneca Pharmaceuticals and Ionis Pharmaceuticals. M.R., D.M.R., T.E.C., P.L.K., A.T.H., K.C.J., C.E.L., M.V.R., K.M.S., P.K.W., J.T.W., S.B., U.B., T.I.C., G.M.C., M.C., W.H., J.H.I., L.A.K., A.A.K., V.P., A.C.R., K.S., B.W., D.W., and J.Y. have no competing financial interest.
Supplementary Material
Acknowledgments
The Systolic Blood Pressure Intervention Trial (SPRINT) was funded by the National Institutes of Health (including the National Heart, Lung, and Blood Institute; the National Institute of Diabetes and Digestive and Kidney Diseases; the National Institute on Aging; and the National Institute of Neurological Disorders and Stroke).
The SPRINT steering committee was responsible for the design and conduct of the study, including the collection and management of the data. There were seven voting members of the steering committee of the trial. Scientists at the National Institutes of Health as a group had one vote on the steering committee.
Footnotes
Published online ahead of print. Publication date available at www.jasn.org.
See related editorial, “BP Targets in CKD, Mortality, and SPRINT: What Have We Learned?,” on pages 2561–2563.
This article contains supplemental material online at http://jasn.asnjournals.org/lookup/suppl/doi:10.1681/ASN.2017020148/-/DCSupplemental.
Contributor Information
Collaborators: Alfred K. Cheung, Mahboob Rahman, David M. Reboussin, Timothy E. Craven, Tom Greene, Paul L. Kimmel, William C. Cushman, Amret T. Hawfield, Karen C. Johnson, Cora E. Lewis, Suzanne Oparil, Michael V. Rocco, Kaycee M. Sink, Paul K. Whelton, Jackson T. Wright, Jr., Jan Basile, Srinivasan Beddhu, Udayan Bhatt, Tara I. Chang, Glenn M. Chertow, Michel Chonchol, Barry I. Freedman, William Haley, Joachim H. Ix, Lois A. Katz, Anthony A. Killeen, Vasilios Papademetriou, Ana C. Ricardo, Karen Servilla, Barry Wall, Dawn Wolfgram, and Jerry Yee
References
- 1.Go AS, Chertow GM, Fan D, McCulloch CE, Hsu CY: Chronic kidney disease and the risks of death, cardiovascular events, and hospitalization. N Engl J Med 351: 1296–1305, 2004 [DOI] [PubMed] [Google Scholar]
- 2.Bakris GL, Ritz E: The message for world kidney day 2009: Hypertension and kidney disease: A marriage that should be prevented. Kidney Int 75: 449–452, 2009 [DOI] [PubMed] [Google Scholar]
- 3.Anderson AH, Yang W, Townsend RR, Pan Q, Chertow GM, Kusek JW, Charleston J, He J, Kallem R, Lash JP, Miller ER 3rd, Rahman M, Steigerwalt S, Weir M, Wright JT Jr., Feldman HI; Chronic Renal Insufficiency Cohort Study Investigators : Time-updated systolic blood pressure and the progression of chronic kidney disease: A cohort study. Ann Intern Med 162: 258–265, 2015 [DOI] [PMC free article] [PubMed] [Google Scholar]
- 4.Klahr S, Levey AS, Beck GJ, Caggiula AW, Hunsicker L, Kusek JW, Striker G; Modification of Diet in Renal Disease Study Group : The effects of dietary protein restriction and blood-pressure control on the progression of chronic renal disease. N Engl J Med 330: 877–884, 1994 [DOI] [PubMed] [Google Scholar]
- 5.Wright JT Jr., Bakris G, Greene T, Agodoa LY, Appel LJ, Charleston J, Cheek D, Douglas-Baltimore JG, Gassman J, Glassock R, Hebert L, Jamerson K, Lewis J, Phillips RA, Toto RD, Middleton JP, Rostand SG; African American Study of Kidney Disease and Hypertension Study Group : Effect of blood pressure lowering and antihypertensive drug class on progression of hypertensive kidney disease: Results from the AASK trial. JAMA 288: 2421–2431, 2002 [DOI] [PubMed] [Google Scholar]
- 6.Berl T, Hunsicker LG, Lewis JB, Pfeffer MA, Porush JG, Rouleau JL, Drury PL, Esmatjes E, Hricik D, Pohl M, Raz I, Vanhille P, Wiegmann TB, Wolfe BM, Locatelli F, Goldhaber SZ, Lewis EJ; Collaborative Study Group : Impact of achieved blood pressure on cardiovascular outcomes in the irbesartan diabetic nephropathy trial. J Am Soc Nephrol 16: 2170–2179, 2005 [DOI] [PubMed] [Google Scholar]
- 7.Kovesdy CP, Alrifai A, Gosmanova EO, Lu JL, Canada RB, Wall BM, Hung AM, Molnar MZ, Kalantar-Zadeh K: Age and outcomes associated with BP in patients with incident CKD. Clin J Am Soc Nephrol 11: 821–831, 2016 [DOI] [PMC free article] [PubMed] [Google Scholar]
- 8.Kovesdy CP, Lu JL, Molnar MZ, Ma JZ, Canada RB, Streja E, Kalantar-Zadeh K, Bleyer AJ: Observational modeling of strict vs conventional blood pressure control in patients with chronic kidney disease. JAMA Intern Med 174: 1442–1449, 2014 [DOI] [PMC free article] [PubMed] [Google Scholar]
- 9.Ambrosius WT, Sink KM, Foy CG, Berlowitz DR, Cheung AK, Cushman WC, Fine LJ, Goff DC Jr., Johnson KC, Killeen AA, Lewis CE, Oparil S, Reboussin DM, Rocco MV, Snyder JK, Williamson JD, Wright JT Jr., Whelton PK; SPRINT Study Research Group : The design and rationale of a multicenter clinical trial comparing two strategies for control of systolic blood pressure: The systolic blood pressure intervention trial (SPRINT). Clin Trials 11: 532–546, 2014 [DOI] [PMC free article] [PubMed] [Google Scholar]
- 10.Wright JT Jr., Williamson JD, Whelton PK, Snyder JK, Sink KM, Rocco MV, Reboussin DM, Rahman M, Oparil S, Lewis CE, Kimmel PL, Johnson KC, Goff DC Jr ., Fine LJ, Cutler JA, Cushman WC, Cheung AK, Ambrosius WT; SPRINT Research Group : A randomized trial of intensive versus standard blood-pressure control. N Engl J Med 373: 2103–2116, 2015 [DOI] [PMC free article] [PubMed] [Google Scholar]
- 11.Levey AS, Inker LA, Matsushita K, Greene T, Willis K, Lewis E, de Zeeuw D, Cheung AK, Coresh J: GFR decline as an end point for clinical trials in CKD: A scientific workshop sponsored by the National Kidney Foundation and the US Food and Drug Administration. Am J Kidney Dis 64: 821–835, 2014 [DOI] [PubMed] [Google Scholar]
- 12.Ruggenenti P, Perna A, Loriga G, Ganeva M, Ene-Iordache B, Turturro M, Lesti M, Perticucci E, Chakarski IN, Leonardis D, Garini G, Sessa A, Basile C, Alpa M, Scanziani R, Sorba G, Zoccali C, Remuzzi G; REIN-2 Study Group : Blood-pressure control for renoprotection in patients with non-diabetic chronic renal disease (REIN-2): Multicentre, randomised controlled trial. Lancet 365: 939–946, 2005 [DOI] [PubMed] [Google Scholar]
- 13.Benavente OR, Coffey CS, Conwit R, Hart RG, McClure LA, Pearce LA, Pergola PE, Szychowski JM; SPS3 Study Group : Blood-pressure targets in patients with recent lacunar stroke: The SPS3 randomised trial. Lancet 382: 507–515, 2013 [DOI] [PMC free article] [PubMed] [Google Scholar]
- 14.Cushman WC, Evans GW, Byington RP, Goff DC Jr., Grimm RH Jr., Cutler JA, Simons-Morton DG, Basile JN, Corson MA, Probstfield JL, Katz L, Peterson KA, Friedewald WT, Buse JB, Bigger JT, Gerstein HC, Ismail-Beigi F; ACCORD Study Group : Effects of intensive blood-pressure control in type 2 diabetes mellitus. N Engl J Med 362: 1575–1585, 2010 [DOI] [PMC free article] [PubMed] [Google Scholar]
- 15.Williamson JD, Supiano MA, Applegate WB, Berlowitz DR, Campbell RC, Chertow GM, Fine LJ, Haley WE, Hawfield AT, Ix JH, Kitzman DW, Kostis JB, Krousel-Wood MA, Launer LJ, Oparil S, Rodriguez CJ, Roumie CL, Shorr RI, Sink KM, Wadley VG, Whelton PK, Whittle J, Woolard NF, Wright JT Jr., Pajewski NM; SPRINT Research Group : Intensive vs standard blood pressure control and cardiovascular disease outcomes in adults aged ≥75 years: A randomized clinical trial. JAMA 315: 2673–2682, 2016 [DOI] [PMC free article] [PubMed] [Google Scholar]
- 16.Appel LJ, Wright JT Jr., Greene T, Agodoa LY, Astor BC, Bakris GL, Cleveland WH, Charleston J, Contreras G, Faulkner ML, Gabbai FB, Gassman JJ, Hebert LA, Jamerson KA, Kopple JD, Kusek JW, Lash JP, Lea JP, Lewis JB, Lipkowitz MS, Massry SG, Miller ER, Norris K, Phillips RA, Pogue VA, Randall OS, Rostand SG, Smogorzewski MJ, Toto RD, Wang X; AASK Collaborative Research Group : Intensive blood-pressure control in hypertensive chronic kidney disease. N Engl J Med 363: 918–929, 2010 [DOI] [PMC free article] [PubMed] [Google Scholar]
- 17.Lv J, Ehteshami P, Sarnak MJ, Tighiouart H, Jun M, Ninomiya T, Foote C, Rodgers A, Zhang H, Wang H, Strippoli GF, Perkovic V: Effects of intensive blood pressure lowering on the progression of chronic kidney disease: A systematic review and meta-analysis. CMAJ 185: 949–957, 2013 [DOI] [PMC free article] [PubMed] [Google Scholar]
- 18.Xie X, Atkins E, Lv J, Bennett A, Neal B, Ninomiya T, Woodward M, MacMahon S, Turnbull F, Hillis GS, Chalmers J, Mant J, Salam A, Rahimi K, Perkovic V, Rodgers A: Effects of intensive blood pressure lowering on cardiovascular and renal outcomes: Updated systematic review and meta-analysis. Lancet 387: 435–443, 2016 [DOI] [PubMed] [Google Scholar]
- 19.Rule AD, Gussak HM, Pond GR, Bergstralh EJ, Stegall MD, Cosio FG, Larson TS: Measured and estimated GFR in healthy potential kidney donors. Am J Kidney Dis 43: 112–119, 2004 [DOI] [PubMed] [Google Scholar]
- 20.Mann JF, Schmieder RE, McQueen M, Dyal L, Schumacher H, Pogue J, Wang X, Maggioni A, Budaj A, Chaithiraphan S, Dickstein K, Keltai M, Metsärinne K, Oto A, Parkhomenko A, Piegas LS, Svendsen TL, Teo KK, Yusuf S; ONTARGET investigators : Renal outcomes with telmisartan, ramipril, or both, in people at high vascular risk (the ONTARGET study): A multicentre, randomised, double-blind, controlled trial. Lancet 372: 547–553, 2008 [DOI] [PubMed] [Google Scholar]
- 21.Levey AS, Coresh J, Greene T, Stevens LA, Zhang YL, Hendriksen S, Kusek JW, Van Lente F; Chronic Kidney Disease Epidemiology Collaboration : Using standardized serum creatinine values in the modification of diet in renal disease study equation for estimating glomerular filtration rate. Ann Intern Med 145: 247–254, 2006 [DOI] [PubMed] [Google Scholar]
- 22.Hommel G, Bretz F, Maurer W: Multiple hypotheses testing based on ordered p values--A historical survey with applications to medical research. J Biopharm Stat 21: 595–609, 2011 [DOI] [PubMed] [Google Scholar]
- 23.Altman DG: Confidence intervals for the number needed to treat. BMJ 317: 1309–1312, 1998 [DOI] [PMC free article] [PubMed] [Google Scholar]
- 24.Altman DG, Andersen PK: Calculating the number needed to treat for trials where the outcome is time to an event. BMJ 319: 1492–1495, 1999 [DOI] [PMC free article] [PubMed] [Google Scholar]
Associated Data
This section collects any data citations, data availability statements, or supplementary materials included in this article.




