Abstract
The current study compared the use of a differential observing response (DOR) during receptive label training to a condition without the DOR. We extended the research on DORs used during receptive label training by using them with progressive prompt delay procedures and assessing responding following mastery without the DOR. Results indicated that both participants performed better in the DOR condition during the first comparison, but results were less clear in the second comparison.
Keywords: Differential observing response, Receptive language, Faulty stimulus control
A differential observing response (DOR) consists of a unique response that the learner emits before or during a trial and may be used during receptive label training to increase the likelihood the learner attends to the relevant features of the sample stimulus (Grow & LeBlanc, 2013). Prior researchers have used DORs such as naming the sample stimulus (Geren, Stromer, & Mackay, 1997) or matching the visual sample to an identical comparison (Dube & McIlvane, 1999) prior to a trial during visual-visual matching tasks. Charlop (1983) and Leung and Wu (1997) evaluated the effects of an echoic response to the sample stimulus (i.e., DOR) during receptive label training. Both studies indicated the DOR facilitated correct responding for the participants with autism; however, both studies were limited by immediate decreases in responding upon removal of the DOR requirement. Carp, Peterson, Petursdottir, and Ingvarsson (2015) assessed the effects of echoic responses to the sample as an error correction procedure for typically developing children and children with autism spectrum disorders (ASD) who had a history of slow acquisition of receptive labels. The results were mixed across experiments but provided tentative support for the use of an echoic response as a DOR during an error correction procedure.
Vedora and Barry (2016) demonstrated that picture prompts used with a prompt delay were effective at teaching receptive labeling for two teenagers with autism. Picture prompts used during receptive label training may be effective as they require the learner to discriminate the relevant features of the positive comparison (Carp, Peterson, Arkel, Petursdottir, & Ingvarsson, 2012). However, one participant in the Vedora and Barry study benefited from a procedural modification consisting of a DOR in which he imitated the sample stimulus (i.e., echoic response) prior to the onset of a receptive labeling trial. Vedora and Barry’s findings indicated a need for additional research evaluating the necessity of a DOR when using picture prompts with a prompt delay.
To date, researchers have not evaluated the use of DORs with progressive prompt delay procedures that are commonly used during receptive label training. The purpose of the current study was to evaluate the effects of a DOR used with picture prompts and a progressive prompt delay. Specifically, a DOR condition was compared to a no-DOR condition for two participants who demonstrated faulty stimulus control during training of receptive labels. Participants’ responding in the absence of the DOR following mastery was also evaluated.
Method
Participants, Setting, and Materials
Roger was a 15-year-old boy diagnosed with ASD. Roger followed 10 one-step instructions, receptively identified body parts, and had learned approximately 100 receptive labels for pictures of common objects. Roger communicated with an augmentative communication device and manded for several preferred items with vocal approximations. Roger participated in a previous study (Vedora & Barry, 2016) in which picture prompts were used to teach receptive labeling. Dillon was a 21-year-old male diagnosed with Down syndrome. Dillon spoke in three- to four-word sentences, followed multiple-step instructions, and receptively identified approximately 200 common objects. Both participants had strong echoic repertoires and identity matching skills, and both had objectives in their Individual Education Plans that targeted receptive language. All sessions occurred in a conference room with no other students or teachers present. Sessions occurred 3–5 days per week and lasted 3–5 min per session. The stimuli used for the matching to sample task were 18 pictures depicting flags that were printed on 7.62 cm by 12.7 cm laminated cards.
Experimental Design
An adapted alternating treatments design (Sindelar, Rosenberg, & Wilson, 1985) was used to evaluate discrimination learning in the DOR, no-DOR, and control conditions. The evaluations were sequentially replicated within participant (i.e., two comparisons). Stimuli were randomly assigned to six sets, with three stimuli per set, and the assignment of sets to treatment conditions was counterbalanced across participants. Each condition occurred one time per day, and the order of conditions was randomized. The mastery criterion was two consecutive sessions of 92% unprompted correct or better.
Procedures
Prior to each session, the participant was provided a brief choice opportunity to select an edible, which was provided for correct responses during the session. Each session consisted of 12 trials, and three comparison stimuli were arranged horizontally in front of the participant on each trial. Each picture card served as a positive comparison on four trials and as a negative comparison on eight trials. We counterbalanced the positions of the comparison stimuli to ensure proportional placement of the positive comparison in the left, middle, and right positions. However, since there were 12 trials, we further balanced positions over the course of three sessions to target each stimulus proportionately across the three positions.
At the beginning of each trial, the instructor presented the comparison stimuli and the verbal stimulus, “Touch (name of flag).” During the comparison phase, the instructor initially used an immediate picture prompt (0-s delay) to indicate the correct picture card (S+) to the participant. The instructor held the picture, which was identical to the S+, at eye level until the participant responded or 5 s elapsed. A progressive prompt delay across sessions, ranging from 0 to 4 s, was used to gradually remove prompts. The first three sessions were conducted with the 0-s delay, and the delay increased to 2 s in the fourth session. Following two consecutive sessions at 92% correct (unprompted and prompted), the prompt delay increased to 4 s. During the 0-s delay, prompted correct responses resulted in the delivery of praise and an edible. During the 2- and 4-s delay, prompted correct responses resulted in praise while unprompted correct responses resulted in the delivery of praise and an edible. Incorrect responses before the prompt resulted in the re-presentation of the sample stimulus followed by an immediate picture prompt. A reinforcer was withheld following an error correction. The intertrial interval was 5 s, during which time the instructor rotated the picture cards out of sight of the participant.
Baseline
There were no differential consequences for correct or incorrect responses, and if the participant did not respond within 5 s of the sample, the trial was terminated. Mastered tasks were interspersed every three trials, and an edible reinforcer was delivered contingent on correct responses on the mastered tasks.
Control Condition
A control condition was included during the comparison phase, and it was identical to baseline.
Differential Observing Response
Picture prompts and the progressive prompt delay were used as described above. The participants were prompted to emit a vocal differential observing response (i.e., an echoic response to the sample stimulus) prior to each trial. To occasion the DOR, the instructor stated the word to be echoed (i.e., name of the flag) before presenting the comparison stimuli as described above. If the participant did not respond, the instructor re-presented the verbal stimulus every 2 s until the participant vocally imitated it. The instructor then presented the sample stimulus and the comparison stimuli.
No-DOR Condition
This condition was the same as the DOR condition except the experimenter did not state the name of the sample prior to the trial and there was no DOR requirement.
Probes Without the DOR
Once mastery was met in the DOR condition, a probe session was conducted to assess participants’ responding without the DOR. Picture prompts were not used during the probes, and unprompted correct responses resulted in the delivery of praise and an edible.
Final Best Treatment
During the first comparison only, the DOR was added to the stimulus set previously exposed to the no-DOR condition, as the participants were not progressing. Following three sessions with limited progress, Roger’s prompt was moved back to 0-s delay in Sessions 62–64 and again following a vacation in Sessions 75–76. Dillon’s prompt was moved to a 0-s delay in Sessions 64–65. The error correction was modified as Roger and Dillon failed to meet criterion after 25 and 19 sessions, respectively, with the DOR. The modification required the DOR before re-presenting the sample stimulus. During the second comparison, the modified error correction was not used.
Dependent Variable and Measurement
The primary dependent variable was the percentage of unprompted correct responses, defined as touching the picture card corresponding to the sample stimulus within 5 s of the sample, without errors or prompts. Two independent observers collected data to assess reliability in 40 and 28% of sessions for Roger and Dillon, respectively. An agreement was scored if both observers scored a response as (a) unprompted correct, (b) prompted correct, (c) incorrect, or (d) no response. Trial-by-trial interobserver agreement was calculated by dividing the number of trials with agreements by the total number of trials in a session and multiplying by 100. Mean agreement was 99% for each participant (range, 83–100%). Procedural fidelity data were collected by an independent observer in 40 and 28% of sessions for Roger and Dillon, respectively. The observer scored a correct trial if the instructor presented the stimuli as shown on the data sheet, correctly implemented or withheld prompts and the DOR (depending on condition and phase), and delivered the correct consequences for correct and incorrect responses. Mean procedural fidelity was above 99% (range, 97–100%) for both participants.
Results and Discussion
During Roger’s first comparison, he scored 33% correct in each baseline session (Fig. 1, top). Roger met the mastery criterion in the DOR condition in 13 sessions, and responding remained at criterion level during a probe without the DOR. Roger’s performance remained low and stable after 11 sessions in the no-DOR condition at which time the DOR was added, but Roger’s performance failed to improve. The error correction was modified to include the DOR in Session 104, and Roger met criterion after 24 sessions. Roger’s baseline performance was slightly more variable in the second comparison, but most sessions were near chance level (Fig. 1, bottom). Roger met criterion in the no-DOR and DOR conditions in 13 and 19 sessions, respectively. Roger scored 100% in a probe session without the DOR.
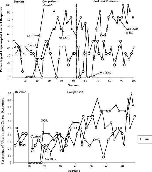
Fig. 1.

The percentage of unprompted correct responses for Roger during the first (top) and second (bottom) comparisons. Filled data points represent probes without the differential observing response (DOR). EC represents the error correction procedure
Dillon’s baseline responding in the first comparison was at or near chance level (Fig. 2, top). Dillon met mastery criterion in the DOR condition in seven sessions, and responding remained at criterion level during a probe without the DOR. In the no-DOR condition, Dillon failed to meet criterion after 14 sessions, and the DOR was added to this condition. Following 17 sessions with the DOR in which Dillon failed to meet the mastery criterion, the error correction was modified and Dillon met criterion in six sessions. Dillon’s responding in a probe without the DOR was 83%. Dillon’s baseline for the second comparison was at or near chance levels (Fig. 2, bottom). Dillon’s responding in the second comparison was more variable in both conditions. Dillon’s participation ended before he met criterion in either condition, but overall he performed slightly better in the DOR condition. During his last 10 sessions in each condition, he averaged 80% (range, 75–100%) unprompted correct in the DOR and 56% (range, 25–92%) unprompted correct in the no-DOR condition.
Fig. 2.

The percentage of unprompted correct responses for Dillon during the first (top) and second (bottom) comparisons. Filled data points represent probes without the differential observing response (DOR). EC represents the error correction procedure
The current results provide preliminary support for the use of a DOR with individuals who demonstrated faulty stimulus control during receptive label training. During their first comparative evaluations, both participants demonstrated specific error patterns (i.e., position biases) in the no-DOR conditions that limited the efficiency and effectiveness of the prompting and differential reinforcement procedures. In contrast, position biases did not persist in the DOR conditions, and both participants demonstrated a transfer of stimulus control from the controlling prompts to the sample stimuli. Both participants met mastery much more quickly in the DOR condition than in the no-DOR condition. The outcomes of the second comparative evaluations for both participants were less clear. Roger met mastery slightly more quickly in the no-DOR condition. Dillon withdrew from the study prior to meeting mastery criterion in either condition; however, overall his percentage of unprompted correct responses was higher in the DOR condition. Both participants also demonstrated relatively slower acquisition once the DOR was added to the final best treatment phase during their first comparisons. It is possible that exposure to less effective procedures may have hindered acquisition even after implementing effective procedures (Cengher, Shamoun, Moss, Roll, Feliciano, & Fienup, 2016; Schilmoeller, Schilmoeller, Etzel, & LeBlanc, 1979). Thus, it is important for practitioners to identify effective procedures and limit learners’ exposure to ineffective procedures.
The DOR, which required participants to echo the sample stimulus prior to the trial, may have ensured the learners attended to the sample stimulus and might have enhanced stimulus control by the sample stimuli (Carp et al., 2015). This may be especially useful for individuals who are prone to faulty stimulus control during receptive label training. During baseline in the first comparison, both participants responded at chance levels, suggesting responding was not under stimulus control. Once the DOR was implemented, both participants’ responding quickly came under control of the sample stimuli. However, in the no-DOR condition, error analyses (data not shown) indicated that both participants demonstrated strong position biases, suggesting an irrelevant source of stimulus control. During Roger’s second comparison, the position bias was not present during either baseline or training, suggesting better stimulus control by the sample stimuli even when the DOR was not presented. Although the differential effects were not replicated in Roger’s second comparison, it is possible that this finding has implications for clinicians. Roger was exposed to the DOR during training on three sets of stimuli in a prior study (Vedora & Barry, 2016) and in the first comparison of the current study; thus, it may have been the repeated exposure to the DOR that enhanced control by the sample stimuli in the no-DOR condition of the second comparison. Additional research is needed to determine if repeated exposure to the DOR improves performance in the absence of the DOR during receptive label training.
The results of the present study are encouraging as both participants’ unprompted correct responses remained high once the DOR requirement was removed following mastery. This finding differs from prior researchers who found that participants’ accuracy immediately decreased upon removal of the DOR requirement (Charlop, 1983; Leung & Wu, 1997). It is possible that for some learners, the DOR may be a temporary support that facilities acquisition and improves attention to sample stimuli even when the DOR is removed. Carp et al. (2015) noted that a DOR may not be practical outside of training environments as speakers do not require echoic responses of their listeners; thus, fading the echoic response may be necessary. Fading procedures were not necessary in the present study; however, additional research is needed to determine why the results differed from prior researchers or under what conditions fading procedures may be needed.
There are several limitations to the study. The differential effects of the DOR were not clearly replicated in the participants’ second comparisons. The probes without the DOR requirement were only implemented one time, so it is not clear if unprompted correct responding would have been maintained over time in the absence of the DOR requirement. Data were not collected on the participants’ responses to the echoic trials; thus, failures to respond might have resulted in additional exposure to sample stimuli. However, anecdotally, the researchers noted that both participants reliably responded to the first echoic trials and rarely required that the echoic trials be repeated. Despite these limitations, the current findings extended the use of DORs during receptive label training and suggest a useful procedure for preventing the development of faulty stimulus control during training (Grow & LeBlanc, 2013).
Compliance with Ethical Standards
Conflict of Interest
The authors declare that they have no conflict of interest.
Ethical Approval
All procedures performed in studies involving human participants were in accordance with the ethical standards of the institutional and/or national research committee and with the 1964 Helsinki declaration and its later amendments or comparable ethical standards.
Informed Consent
Informed consent was obtained from all individual participants included in the study.
Footnotes
Implications for practice:
• Compares efficiency and effectiveness of a picture prompt procedure using a DOR and a picture prompt procedure that did not use a DOR
• Describes a procedure for potentially enhancing control by sample stimuli for learners who are prone to faulty stimulus control
• Demonstrated accurate responding during probe sessions in which the DOR was removed
• Highlights the needs for practitioners to identify effective procedures and limit learners’ exposure to ineffective procedures
References
- Carp CL, Peterson SP, Petursdottir AI, Ingvarsson ET. Preliminary evaluation of an echoic response requirement following errors during auditory-visual conditional discrimination training. International Journal of Behavior Analysis and Autism Spectrum Disorders. 2015;1:1–12. [Google Scholar]
- Carp, C. L., Peterson, S. P., Arkel, A. J., Petursdottir, A. I., & Ingvarsson, E. T. (2012). A further evaluation of picture prompts during auditory-visual conditional discrimination training. Journal of Applied Behavior Analysis, 45, 737–751. doi:10.1901/jaba.2012.45-737. [DOI] [PMC free article] [PubMed]
- Cengher M, Shamoun K, Moss P, Roll D, Feliciano G, Fienup DM. A comparison of the effects of two prompt-fading strategies on skill acquisition in children with autism spectrum disorder. Behavior Analysis in Practice. 2016;9:115–125. doi: 10.1007/s40617-015-0096-6. [DOI] [PMC free article] [PubMed] [Google Scholar]
- Charlop MH. The effects of echolalia on acquisition and generalization of receptive labeling in autistic children. Journal of Applied Behavior Analysis. 1983;16:11–126. doi: 10.1901/jaba.1983.16-111. [DOI] [PMC free article] [PubMed] [Google Scholar]
- Dube WV, McIlvane WJ. Reduction of stimulus overselectivity with nonverbal differential observing responses. Journal of Applied Behavior Analysis. 1999;32:25–33. doi: 10.1901/jaba.1999.32-25. [DOI] [PMC free article] [PubMed] [Google Scholar]
- Geren MA, Stromer R, Mackay HA. Picture naming, matching to sample, and head injury: a stimulus control analysis. Journal of Applied Behavior Analysis. 1997;30:339–342. doi: 10.1901/jaba.1997.30-339. [DOI] [PMC free article] [PubMed] [Google Scholar]
- Grow L, Leblanc L. Teaching receptive language skills: recommendations for instructors. Behavior Analysis in Practice. 2013;6:56–75. doi: 10.1007/BF03391791. [DOI] [PMC free article] [PubMed] [Google Scholar]
- Leung JP, Wu KI. Teaching receptive naming of Chinese characters to children with autism by incorporating echolalia. Journal of Applied Behavior Analysis. 1997;30:59–68. doi: 10.1901/jaba.1997.30-59. [DOI] [PMC free article] [PubMed] [Google Scholar]
- Schilmoeller GL, Schilmoeller KJ, Etzel BC, LeBlanc JM. Conditional discrimination after errorless and trial-and-error training. Journal of Experimental Analysis of Behavior. 1979;31:405–420. doi: 10.1901/jeab.1979.31-405. [DOI] [PMC free article] [PubMed] [Google Scholar]
- Sindelar PT, Rosenberg MS, Wilson RJ. An adapted alternating treatments design for instructional research. Education and Treatment of Children. 1985;8:67–76. [Google Scholar]
- Vedora J, Barry T. The use of picture prompts and time delay to teach receptive labeling. Journal of Applied Behavior Analysis. 2016;49:960–964. doi: 10.1002/jaba.336. [DOI] [PubMed] [Google Scholar]
