A process for converting fructose to 2,5-furandicarboxylic acid, a monomer used in the production of a renewable plastics.
Abstract
We report a process for converting fructose, at a high concentration (15 weight %), to 2,5-furandicarboxylic acid (FDCA), a monomer used in the production of polyethylene furanoate, a renewable plastic. In our process, fructose is dehydrated to hydroxymethylfurfural (HMF) at high yields (70%) using a γ-valerolactone (GVL)/H2O solvent system. HMF is subsequently oxidized to FDCA over a Pt/C catalyst with 93% yield. The advantage of our system is the higher solubility of FDCA in GVL/H2O, which allows oxidation at high concentrations using a heterogeneous catalyst that eliminates the need for a homogeneous base. In addition, FDCA can be separated from the GVL/H2O solvent system by crystallization to obtain >99% pure FDCA. Our process eliminates the use of corrosive acids, because FDCA is an effective catalyst for fructose dehydration, leading to improved economic and environmental impact of the process. Our techno-economic model indicates that the overall process is economically competitive with current terephthalic acid processes.
INTRODUCTION
Biomass is an abundant renewable carbon source for the sustainable supply of valuable intermediates for the production of fuels, chemicals, and bio-based plastics (1). Furan-2,5-dicarboxylic acid (FDCA) is an important renewable building block because of its potential as a substitute for a variety of petrochemicals, such as terephthalic acid and adipic acid (2). Potential applications for FDCA include polyesters, polyurethanes, and polyamides (3). A bio-based polymer of commercial interest is polyethylene furanoate (PEF), a copolymer of ethylene glycol and FDCA. PEF has improved mechanical properties compared to polyethylene terephthalate, such as higher glass transition temperature and improved tensile modulus (4). In addition, PEF has better gas barrier properties for oxygen [9× lower (5)], carbon dioxide [11× lower (6)], and water vapor [2× lower (7)]. Avantium has shown that PEF can be used for the production of water bottles, food packaging, sports apparel, and footwear. Accordingly, a strategic consortium of global companies is developing technology for the production of this bioplastic (8). Economic production of bio-based ethylene glycol from carbohydrates has been recently achieved, and as such, the current limitation for commercial production of 100% bio-based PEF is the economical production of pure FDCA.
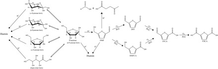
The general reaction scheme for the production of FDCA is shown in Scheme 1. Fructose [(2R,3S,4S,5R)-2,5-bis(hydroxymethyl)oxolane-2,3,4-triol] is selectively dehydrated to produce 5-(hydroxymethyl)furan-2-carbaldehyde (HMF), which is subsequently oxidized to yield FDCA. Unfortunately, as noted by various investigators (9–11), economical production of FDCA must address technological challenges, such as (i) instability of HMF caused by undesirable condensation reactions at moderate temperatures (for example, 373 K), especially in the presence of an acid and/or a base; (ii) low solubility of FDCA in commonly used solvents; and (iii) incomplete oxidation of HMF toward FDCA, producing small quantities of partially oxidized intermediates, that is, 5-formylfuran-2-carboxylic acid (FFCA) and 5-(hydroxymethyl)furan-2-carboxylic acid (HMFCA), that terminate the chain growth during downstream polymerization process, leading to a poor-quality polymer (10). Avantium has developed a homogeneous process that uses methoxymethylfurfural (obtained from dehydration of fructose in methanol) as the substrate; acetic acid as a solvent; and Co(OAc)2, Mn(OAc)2, and HBr as the homogeneous catalyst system to overcome the abovementioned challenges to produce FDCA (11). The homogeneous process of HMF oxidation is effective, yielding more than 96% FDCA; however, a small fraction of FFCA is retained with FDCA in solid state and requires further purification by catalytic hydrogenation of FFCA. This step requires control of hydrogenation conditions to reduce/avoid reduction of FDCA (12). Moreover, catalyst recovery and recycle require additional unit operations, and a process using a heterogeneous catalyst is desired.
Scheme 1. General reaction scheme for the production of FDCA from fructose.

Oxidation of HMF has been extensively investigated over various heterogeneous catalysts (13–21). Although high yields of FDCA are reported for HMF oxidation in water, there are potential problems with this approach. First, production of HMF by dehydration of fructose in water is not effective because of excessive HMF degradation, leading to low HMF yield (<20%) (22). Organic solvents, such as dimethyl sulfoxide (22) and γ-valerolactone [5-methyldihydrofuran-2(3H)-one] (GVL) (23), have been used to achieve high yields of HMF (>70%). However, these solvents have high boiling points, and the high reactivity of HMF at elevated temperatures prohibits the use of traditional separation techniques, such as distillation, for separation and purification of HMF (24). Another limitation of HMF oxidation in water is that FDCA has low solubility in water, and stoichiometric amounts of base (for example, sodium hydroxide) are required to keep FDCA dissolved in solution and prevent its precipitation onto the catalyst surface. The requirement of a homogeneous base is disadvantageous because mineral salt (for example, NaCl) is produced along with FDCA.
Here, we present a strategy for the conversion of fructose to HMF and the subsequent oxidation of HMF to FDCA in an organic solvent mixture using a heterogeneous catalyst. In our proposed process, HMF is obtained at high concentrations by fructose dehydration, and it is subsequently oxidized over a heterogeneous catalyst to produce FDCA at high yields. We show that the heterogeneous catalyst is stable and can be recovered and recycled, a significant advantage over previous processes based on homogeneous catalysis. We demonstrate that the use of a GVL/H2O solvent system enables the formation of HMF at high yields and at high concentrations from fructose dehydration, and the high solubility of FDCA in this solvent system at reaction temperatures (for example, 383 K) enables the oxidation of HMF to FDCA at high concentrations. This latter attribute of the GVL/H2O solvent system alleviates the need for a homogeneous base, such as NaOH or Na2CO3, to enhance FDCA solubility, thereby eliminating the production of undesired salts along with the production of FDCA. Our process also replaces corrosive mineral acids, such as hydrochloric acid and sulfuric acid, which are frequently used as catalysts for fructose dehydration, with an organic acid, FDCA, which is also the desired product of the process. Moreover, we demonstrate that FDCA can be separated from the GVL/H2O solvent system by cooling the reaction system, leading to crystallization and facile product separation and solvent recycling. Furthermore, we show, using techno-economic analysis (TEA), that the proposed process is a cost-effective route for the synthesis of FDCA.
RESULTS AND DISCUSSION
Carbon-supported platinum catalysts (Pt/C) have been studied in the literature for the oxidation of HMF to FDCA in aqueous medium both in the presence (17) and absence (16) of a homogeneous base. Accordingly, we studied HMF oxidation in the GVL/H2O solvent system over a Pt/C catalyst without using a homogeneous base. Oxidation of HMF catalyzed by 5% Pt/C at 383 K under an oxygen pressure of 40 bar for 20 hours leads to complete conversion of HMF and 95% yield of FDCA (Table 1, entry 1).
Table 1. Results for HMF oxidation reactions.
Reaction was carried over the 5% Pt/C catalyst (under 40-bar O2 pressure and 383 K). DFF, furan-2,5-dicarbaldehyde.
| # | HMF concentration |
Solvent (GVL/H2O) |
HMF/Pt* | Time (hours) |
HMF conversion (%) |
DFF yield (%) |
FFCA yield (%) |
FDCA yield (%) |
| 1 | 0.5 wt % | 80:20 | 15:1 | 20 | 97 | – | – | 95 |
| 2 | 5 wt % | 80:20 | 20:1 | 20 | 100 | 9 | 31 | 11 |
| 3 | 7.5 wt % | 50:50 | 30:1 | 20 | 100 | – | – | 94 |
| 4 | 7.5 wt % F-D HMF | 50:50 | 30:1 | 16 | 100 | – | – | 0 |
| 5 | 7.5 wt % F-D HMF using HCl + ion exchange + humin adsorption |
50:50 | 30:1 | 16 | 100 | – | – | 93 |
| 6 | 7.5 wt % F-D HMF using FDCA + humin adsorption |
50:50 | 30:1 | 16 | 100 | – | – | 91 |
*Molar ratio of HMF to platinum.
The stability of the Pt/C catalyst was investigated in a continuous tubular fixed bed reactor with 0.5 weight % (wt %) HMF feed in the GVL/H2O (80:20) solvent system. Under the specified reaction conditions, complete HMF conversion, 60% yield of FDCA and 38% yield of FFCA, was achieved. Figure 1A shows that the Pt/C catalyst is stable for the oxidation of HMF in the GVL/H2O solvent system. Thus, HMF can be selectively oxidized to FDCA in the GVL/H2O solvent system where it can be produced at high yields from fructose.
Fig. 1. HMF oxidation, FDCA solubility, and fructose dehydration.

(A) HMF oxidation over 5 wt % Pt/C. 0.5 wt % HMF in GVL/H2O (80:20) solution; temperature, 373 K; pressure, 40 bar; 5 wt % Pt/C, 2.0 g; solvent flow rate, 0.05 ml/min; O2 flow rate, 20 ml/min. Black squares represents FDCA yield. Red circles represents FFCA yield. (B) HMF oxidation over 5 wt % Pt/C. 1.0 wt % HMF in GVL/H2O (50:50) solution, temperature, 373 K; pressure, 40 bar; 5 wt % Pt/C, 2.0 g; solvent flow rate, 0.02 ml/min; O2 flow rate, 25 ml/min. Black squares represent FDCA yield. Red circles represent FFCA yield. (C) FDCA solubility as a function of GVL concentration. Red circles represent solubility of FDCA at 303 K. Red triangles represent solubility of FDCA at 373 K. Black squares represent heat of mixing of GVL and H2O. (D) FDCA solubility as a function of temperature. Red circles represent GVL/H2O (50:50). Black squares represent H2O. (E and F) Fructose conversion and HMF yield for fructose dehydration at 453 K. Black squares represent fructose dehydration using 3 mM HCl. Blue triangles represent fructose dehydration using 0.53 wt % FDCA. Red diamonds represent FDCA stability under dehydration reaction. Solid lines are visual guides.
For economical production of FDCA from HMF, it is desirable that oxidation is carried out at high HMF concentrations. However, as noted by various investigators (16–21), FDCA has low solubility in commonly used solvents. We have alleviated this limitation by using the GVL/H2O solvent system. We show in Fig. 1C that the solubility of FDCA is enhanced in a binary solution of GVL and water. FDCA has low solubility in both GVL and water; however, the solubility reaches a maximum value at 80 wt % GVL. Excess enthalpies of mixing are indicative of the solvation potential of the solvent system, and the solvation of the solute determines its solubility in the solvent system (25). We observe that the increase in solubility of FDCA with GVL concentration correlates well with the enthalpy of mixing of GVL and water (Fig. 1C) (26). Accordingly, we performed HMF oxidation over a 5% Pt/C catalyst with high HMF concentration in GVL/H2O (80:20) (Table 1, entry 2). This experiment resulted in lower FDCA yield, in part, due to the low water content, because HMF oxidation is shown to proceed through the formation of geminal diol, and the equilibrium shifts toward the formation of the corresponding carbonyl compound in the solution with low water concentration (27). In addition, water is shown to be the oxygen source in HMF oxidation (17). Thus, we performed HMF oxidation with a solvent system containing higher water content while maintaining high FDCA solubility, that is, GVL/H2O (50:50). Figure 1D shows a comparison between the solubility of FDCA in water and in GVL/H2O (50:50) as a function of temperature. It can be seen that the solubility of FDCA increases exponentially in the GVL/H2O (50:50) with temperature, and at the temperature of 383 K, the solubility of FDCA in the GVL/H2O (50:50) system is >9 wt %. Oxidation of 7.5 wt % HMF solution in GVL/H2O (50:50) over the 5% Pt/C catalyst resulted in 94% FDCA yield (Table 1, entry 3). As the liquid product stream cooled, FDCA crystallized out from the solution, leading to facile product separation and solvent recycling. Moreover, we show that the Pt/C catalyst is stable for the oxidation of HMF in the GVL/H2O (50:50) solvent system using a three-phase trickle bed reactor (see Fig. 1B and the Supplementary Materials). In addition, we studied the influence of transport resistances in the trickle bed reactor by changing the flow rates while keeping space velocities of the liquid feed and gaseous oxygen constant. We observe that the changing hydrodynamic properties of the flow have minimal effects on the yield of FDCA produced (table S9), indicating that there are negligible external transport resistances present in the reactor. We also probed the effects of oxygen pressure by performing the oxidation under two different oxygen pressures (40 and 20 bar). We observe that the oxygen pressure has no effect on the FDCA yield, indicating that HMF oxidation is zero order with respect to oxygen pressure. Our results are in agreement with the recent findings of Davis et al. (17).
We have previously shown that high yields of HMF are obtained by dehydration of fructose using HCl as catalyst and with GVL/H2O solvent containing high GVL content (90 wt % GVL and 10 wt % water) (23). Here, we show that similar yields (for example, >70%) are obtained using the GVL/H2O (50:50) solvent with 15 wt % fructose (Fig. 1, E and F), yielding a liquid product stream containing 7.4 wt % HMF. It is desirable to use glucose instead of fructose as the feed material, but we obtained low HMF yield from glucose dehydration (~20%), and as such, oxidation of glucose-derived HMF was not performed. However, we found that direct oxidation of the fructose-derived HMF (F-D HMF) is complicated by the by-products of the dehydration reaction, especially humins, which are produced by the polymerization of HMF and/or fructose (Table 1, entry 4). Oxidation of HMF using the homogeneous Co/Mn/Br system has been reported to suffer from deactivation of the catalyst (28).
Oxidation of F-D HMF solution obtained in GVL/H2O (50:50) resulted in low FDCA yield due to catalyst deactivation (see the Supplementary Materials). We determined that both Cl− and humins lead to catalyst deactivation (see the Supplementary Materials). Treatment of F-D HMF by ion exchange to remove Cl− ions and by contacting with activated carbon to remove humins produced a liquid stream of GVL/H2O containing HMF that could be oxidized over Pt/C to FDCA, resulting in 93% FDCA yield (Table 1, entry 5). In addition, FDCA crystallized out as the solvent was cooled, and solid FDCA was obtained with >99% purity (see the Supplementary Materials).
Note that complete removal of FDCA from the GVL/H2O (50:50) solvent is not achieved during crystallization. Specifically, crystallization at 277 K leads to two phases, a substantially pure crystallized solid FDCA phase that accounts for 94% of the FDCA produced in the oxidation step and can be directly used in downstream processes without further purification and a liquid phase containing ~0.5 wt % FDCA in the GVL/H2O (50:50) solvent system. FDCA is stable under the conditions used for fructose dehydration, and thus, the liquid phase obtained after crystallization can be recycled to the HMF production reactor. To avoid the use of corrosive mineral acids, we replaced HCl with FDCA, creating a more sustainable system capable of achieving high yields of HMF (Fig. 1, E and F). Replacing the mineral acid, HCl, with an organic acid, which is the product of the process, improves the economics of the process, because the Cl− ion is eliminated and the ion exchange operation is not required. In addition, the capital cost of the process decreases because FDCA is not as corrosive as the mineral acid. Oxidation of HMF obtained by the dehydration of 15 wt % fructose in GVL/H2O (50:50) using 0.53 wt % FDCA as catalyst resulted in 91% FDCA yield (Table 1, entry 6). Figure 2A shows pictorially each step of the process.
Fig. 2. Process and economics for the production of FDCA from fructose.

(A) Pictorial representation of FDCA production from fructose. (i) 15 wt % fructose in GVL/H2O (50:50) containing 0.53 wt % FDCA. (ii) Solution after dehydration at 453 K containing 7.5% HMF and humins. (iii) Humin removal by adsorption over activated carbon (a red colored solution instead of a black solution is obtained). (iv) Solution obtained after oxidation over a Pt/C catalyst. (B) Sankey diagram for FDCA production process and (C) costs and revenues. LA, levulinic acid; AC, activated carbon; ROI, return on investment.
On the basis of our experimental data, we developed a process model and performed TEA of the process. The analysis suggests that our approach can produce FDCA at a minimum selling price (MSP) of $1490/metric ton (Fig. 2, B and C). The reduced MSP for the approach described in the present paper is due to the enhanced solubility of FDCA in the GVL/H2O solvent system, the ease of product separation, the use of stable heterogeneous catalysts, and the use of FDCA as a dehydration catalyst. A detailed description of the process, the assumptions made, and the model used are available in the Supplementary Materials. Among the process sections, the HMF production section is the highest contributor due to the high feedstock cost ($650/metric ton), whereas the FDCA production section is the second highest contributor due to the long residence time (4.3 hours), requiring a large volume for the HMF oxidation reactor. If a 40% reduction in the residence time can be achieved, via increased catalyst activity, and the feedstock cost is reduced by 10%, then the MSP of FDCA can be reduced by 11.9% to $1310/metric ton. Thus, the proposed approach could become an economically competitive alternative to current terephthalic acid processes based on fossil fuels [that is, a benzoic counterpart of FDCA ($1445/metric ton)].
MATERIALS AND METHODS
Fructose dehydration reactions
Fructose (>99%; Sigma-Aldrich), GVL (>99%; Sigma-Aldrich), HCl (0.5 M; Sigma-Aldrich), and FDCA (>98%; TCI Chemicals) were used as received. Milli-Q water (~18 megohm·cm) was used in all experiments.
Fructose dehydration to produce HMF was carried out in 10-ml thick-walled glass reactors (Alltech Inc.) heated in a temperature-controlled oil bath on a digital stirring hot plate (Thermo Fisher Scientific). The temperature in the oil bath was monitored by a K-type thermocouple (OMEGA Engineering). In a typical experiment, 0.88 g of fructose, along with 2.5 g of GVL, 2.5 g of Milli-Q water, and the required amount of catalyst [HCl (30 μl) or FDCA (31 mg)], was loaded into the glass reactor. The reactor was placed in an oil bath at 453 K for a specified reaction time. The mixture was stirred by a magnetic stir bar in the reactor at 600 rpm. After the desired reaction time had elapsed, the reaction was stopped by cooling the reactor in an ice bath.
The concentrations of the products were measured by high-performance liquid chromatography (HPLC) using a Bio-Rad Aminex HPX-87H column on a Waters 2695 system equipped with RI-2414 and PDA-2998 detectors. An aliquot of the product mixture was diluted 10 times with Milli-Q water and filtered with a 0.2-μm polytetrafluoroethylene (PTFE) filter before analysis. The temperature of the HPLC column was maintained at 338 K, and the flow rate of the mobile phase [water (pH 2), acidified by sulfuric acid] was 0.6 ml/min. Fructose, formic acid, and levulinic acid were analyzed with the refractive index (RI) detector, whereas the concentrations of HMF and furfural were measured with the photodiode array (PDA) detector at 320 and 210 nm, respectively. Yields of HMF, formic acid, and levulinic acid were calculated with respect to the total fructose present in the starting material. Table S1 shows typical product composition, and fig. S1 shows a typical chromatogram for fructose dehydration conducted with 0.53 wt % FDCA as the dehydration catalyst at 453 K for 70 min.
Humin separation
Activated carbon (Norit SX Ultra) was received from Cabot Corporation and used as received. Humins generated during fructose dehydration were adsorbed on Norit SX Ultra carbon at 303 K. In a typical experiment, 60 mg of activated carbon was added for each gram of product solution generated by fructose dehydration. The above solution was stirred at 500 rpm for 30 min. After adsorption, the solution was centrifuged at 5000 rpm for 10 min to remove the activated carbon. An aliquot of the solution after adsorption was diluted 10 times with Milli-Q water and analyzed using HPLC as described for the fructose dehydration studies. More than 97% of the HMF was obtained after humin separation. Table S2 shows the typical product composition before and after humin adsorption on activated carbon.
Ion exchange
Ion exchange resin, Amberlite IRA400 hydroxide form, was purchased from Sigma-Aldrich. This resin was thoroughly washed with Milli-Q water and activated by passing ~500 ml of 1 M NaOH through a bed containing 50 g of resin, followed by washing with water until the effluent was neutral.
Ion exchange was conducted in batch mode. In a typical ion exchange, 60 mg of activated resin was added for each gram of the solution obtained after humin removal. The solution was stirred at 303 K for 20 min to exchange the Cl− ion with the hydroxide ions in the resin. The solution was filtered to remove the resin. The HMF solution obtained after ion exchange was subjected to AgNO3 test. No AgCl precipitate was observed, confirming the complete removal of the Cl− ion.
HMF oxidation
HMF oxidation was conducted in a 50-ml Parr autoclave. For oxidation of commercial HMF (98%; Acros Organics), the required amounts of HMF, GVL, Milli-Q water, and catalyst were added to the reactor. The reactor was heated with high-temperature heating tape (OMEGA Engineering) connected to a variable power supply. The reaction temperature was controlled by a PID temperature controller (OMEGA Engineering) with a K-type thermocouple. The reactor was sealed and pressurized with oxygen (40 bar), heated from room temperature (~298 K) to reaction temperature in 90 min, and maintained at the reaction temperature for a specified time, after which the reactor was cooled to room temperature with an external flow of compressed air.
F-D HMF oxidation
Oxidation of HMF solution (containing ~7.5 wt % HMF) obtained by the dehydration of fructose was conducted using a 5 wt % Pt/C catalyst with an HMF/metal mole ratio of 30:1. The HMF solution obtained using FDCA as a dehydration catalyst was treated to remove humins, and the HMF solution obtained using HCl as a dehydration catalyst was treated to remove humins and Cl− ions. Oxidation was conducted as described above.
Product analysis of oxidation reactions
Commercial samples of HMF (98%; Acros Organics), DFF (>98%; TCI Chemicals), HMFCA (Sigma-Aldrich), FFCA (>98%; TCI Chemicals), and FDCA (98%; AK Scientific) were used as received. The retention times and calibration curves were determined by injecting known concentrations of HMF, DFF, FFCA, and FDCA.
For oxidation reactions with low HMF concentrations (0.5 wt % HMF), the reaction mixture was filtered with a 0.2-μm PTFE filter to separate the catalyst. The filtrate was diluted with Milli-Q water in a 1:10 sample/water ratio. The diluted sample was injected in HPLC for product quantification.
For oxidation reactions with high HMF concentrations (5 to 10 wt % HMF), a known volume of 1 M NaOH solution was added to dissolve the products that may have precipitated. This slurry was filtered with 0.2-μm PTFE filter to separate the catalyst, and the filtrate was diluted with Milli-Q water in a 1:30 sample/water ratio. The diluted sample was injected in HPLC for product quantification.
The concentrations of products were measured by HPLC using a Bio-Rad Aminex HPX-87H column on a Waters 2695 system equipped with the PDA-2998 detector. The temperature of the HPLC column was maintained at 338 K, and the flow rate of the mobile phase [water (pH 2), acidified by sulfuric acid] was 0.6 ml/min. HMF, DFF, and FFCA were measured with the PDA detector at 320 nm, and FDCA was quantified by the signal at 290 nm. Yields of DFF, FFCA, and FDCA were calculated with respect to the total HMF added to the reactor.
Catalyst preparation
5% Pt/C catalyst
Vulcan XC-72 was purchased from Cabot Corporation. Carbon was washed thoroughly with Milli-Q water and dried in a vacuum oven (323 K, 500 mbar). Dihydrogen hexachloroplatinate(IV) hexahydrate (H2PtCl6·6H2O, 99.99%; Sigma-Aldrich) was used as the Pt precursor without further treatment.
The 5% Pt/C catalyst was prepared by incipient wetness impregnation of H2PtCl6·6H2O on carbon. For each gram of carbon support, 0.135 g of H2PtCl6·6H2O was weighed and dissolved in 1.7 g of Milli-Q water to reach the wetness point of the carbon (1.7 ml/g carbon). The dissolved precursor solution was then added to the support, and the impregnated support was dried at 383 K. The catalyst was reduced at 533 K under flowing H2 (100 ml/min) for 3 hours and passivated with a mixture of 1% O2 in Ar at room temperature.
Catalyst characterization
CO chemisorption
Carbon monoxide chemisorption studies were carried out using a Micromeritics ASAP 2020C system. The catalysts were reduced under H2 flow at 533 K. After reduction, CO adsorption was performed at 308 K. The stoichiometry for adsorption of CO on surface metal atoms was assumed to be 1:1. Figure S2 shows a typical CO adsorption isotherm for the Pt/C catalyst. The total surface sites and the metal dispersion are shown in table S3.
Inductively coupled plasma atomic emission spectroscopy
The metal contents of the catalysts were determined by inductively coupled plasma atomic emission spectroscopy analysis. A PerkinElmer 400 ICP Emission Spectrometer was used for the determination of the metal loading of the catalyst. Typically, 50 mg of catalyst samples was digested in 10 g of aqua regia by refluxing at 423 K for 12 hours. The digested mixture was cooled to room temperature, diluted with Milli-Q water to 25 ml, filtered, and analyzed for the metal content. The metal loading of the catalyst are reported in table S3.
FDCA solubility
Solubility of FDCA as a function of GVL concentration in the solvent system at 303 K was measured in 10-ml thick-walled glass reactors heated in a temperature-controlled oil bath on a digital stirring hot plate. The temperature in the oil bath was monitored by a K-type thermocouple (OMEGA Engineering). In a typical experiment, 0.25 g of FDCA, along with the required amounts of GVL and Milli-Q water, was loaded into the glass reactor such that the total weight of the solvent was 5 g. The mixture was stirred by a magnetic stir bar in the reactor at 600 rpm. The reactor was capped and placed in an oil bath maintained at 303 K for 4 hours. After 4 hours, the reactor was opened, and an aliquot was taken while the mixture was still stirring in the oil bath. The sample withdrawn was quickly filtered through a 0.2-μm filter to minimize FDCA crystallization during filtration. The filtered sample was analyzed using HPLC to determine the FDCA concentration.
Solubility at elevated temperatures was determined as follows: A required amount of FDCA was added to a 3-ml HPLC glass vial. To the vial, 3 ml of water, GVL/H2O (50:50), or GVL/H2O (80:20) solvent system, along with a magnetic stir bar, was added. The vial was sealed and immersed in a temperature-controlled oil bath on a digital stirring hot plate. The mixture was stirred at 600 rpm. The temperature of the oil bath was increased in an increment of 3 to 5 K from 303 K. Each temperature increment was followed by 1-hour waiting time to achieve thermal equilibrium between the oil and the solution in the vial. The temperature at which no FDCA particles were visually observed was considered as the temperature at which FDCA was completely soluble.
Supplementary Material
Acknowledgments
We thank T. Root at the University of Wisconsin-Madison for the insightful discussion regarding the safe operation of HMF oxidation reactions. Funding: This work was funded by the U.S. Department of Energy (DOE) Great Lakes Bioenergy Research Center (DOE BER Office of Science DE-FC02-07ER64494). Any opinions, findings, and conclusions or recommendations expressed in this material are those of the author(s) and do not necessarily reflect the views of the DOE Great Lakes Bioenergy Research Center. Author contributions: A.H.M., D.M.A., and J.A.D. conceived the project and designed the experiments. A.H.M. and C.S. performed the fructose dehydration reaction and synthesized and characterized the Pt/C catalyst for HMF oxidation. A.H.M. and J.A.D. designed the high-concentration HMF oxidation and FDCA separation experiments and wrote the manuscript. A.H.M. performed these experiments. W.W., C.T.M., A.H.M., and J.A.D. designed the economic study. W.W. performed the simulations. A.H.M. and J.A.D. wrote the manuscript. All authors edited the manuscript. Competing interests: J.A.D. and A.H.M. are authors on a patent related to this work held by the Wisconsin Alumni Research Foundation (no. US9617234 B1, published 11 April 2017). J.A.D. and D.M.A. are authors on another patent related to this work held by the Wisconsin Alumni Research Foundation (no. US8772515 B2, published 8 July 2014). All other authors declare that they have no competing interests. Data and materials availability: All data needed to evaluate the conclusions in the paper are present in the paper and/or the Supplementary Materials. Additional data related to this paper may be requested from the authors.
SUPPLEMENTARY MATERIALS
Supplementary material for this article is available at http://advances.sciencemag.org/cgi/content/full/4/1/eaap9722/DC1
Supplementary Materials and Methods
fig. S1. Chromatogram of product solution obtained by the dehydration of fructose.
fig. S2. CO chemisorption isotherms for the 5% Pt/C catalyst.
fig. S3. Image showing the separation of catalyst, solvent, and crystallized FDCA.
fig. S4. PDA chromatogram of freeze-dried FDCA.
fig. S5. Gas chromtography–mass spectrometry analysis of freeze-dried FDCA.
fig. S6. Nuclear magnetic resonance spectroscopy analysis of freeze-dried FDCA.
fig. S7. Differential scanning calorimetry curve of freeze-dried FDCA.
fig. S8. Process block flow diagram for the integrated FDCA production strategy.
fig. S9. Safety in the oxidation reactor.
table S1. Product composition after fructose dehydration using FDCA as a dehydration catalyst.
table S2. Product concentration before and after removal of humins by adsorption.
table S3. Characterization of the Pt/C catalyst.
table S4. Results for HMF oxidation reactions over the 5% Pt/C catalyst (under 40-bar O2 pressure and 383 K).
table S5. Mass and energy balances (basis: 500 metric tons of fructose per day).
table S6. Energy requirements (basis: 500 metric tons of fructose per day).
table S7. Capital and operating costs (basis: 500 metric tons of fructose per day).
table S8. List of economic parameters and assumptions.
table S9. Effect of transport resistance and O2 pressure on HMF oxidation over a Pt/C catalyst.
REFERENCES AND NOTES
- 1.D. L. Klass, Biomass for Renewable Energy, Fuels, and Chemicals (Academic Press, 1998). [Google Scholar]
- 2.T. R. Boussie, E. L. Dias, Z. M. Fresco, V. J. Murphy, “Production of adipic acid and derivatives from carbohydrate-containing materials,” U.S. Patent 8,501,989 (2013).
- 3.Knoop R. J. I., Vogelzang W., van Haveren J., van Es D. S., High molecular weight poly(ethylene-2,5-furanoate); critical aspects in synthesis and mechanical property determination. J. Polym. Sci. A Polym. Chem. 51, 4191–4199 (2013). [Google Scholar]
- 4.Burgess S. K., Leisen J. E., Kraftschik B. E., Mubarak C. R., Kriegel R. M., Koros W. J., Chain mobility, thermal, and mechanical properties of poly(ethylene furanoate) compared to poly(ethylene terephthalate). Macromolecules 47, 1383–1391 (2014). [Google Scholar]
- 5.Burgess S. K., Karvan O., Johnson J. R., Kriegel R. M., Koros W. J., Oxygen sorption and transport in amorphous poly(ethylene furanoate). Polymer 55, 4748–4756 (2014). [Google Scholar]
- 6.Burgess S. K., Kriegel R. M., Koros W. J., Carbon dioxide sorption and transport in amorphous poly(ethylene furanoate). Macromolecules 48, 2184–2193 (2015). [Google Scholar]
- 7.Burgess S. K., Mikkilineni D. S., Yu D. B., Kim D. J., Mubarak C. R., Kriegel R. M., Koros W. J., Water sorption in poly(ethylene furanoate) compared to poly(ethylene terephthalate). Part 1: Equilibrium sorption. Polymer 55, 6861–6869 (2014). [Google Scholar]
- 8.The Coca-Cola Company, Meet Our Partners: Plant PET Technology Collaborative (2013); www.coca-colacompany.com/stories/meet-our-partners-plant-pet-technology-collaborative.
- 9.Zhang Z., Deng K., Recent advances in the catalytic synthesis of 2,5-furandicarboxylic acid and its derivatives. ACS Catal. 5, 6529–6544 (2015). [Google Scholar]
- 10.Y. T. Huang, J. J. Wong, C. J. Huang, C. L. Li, G. W. B. Jang, in Chemicals and Fuels from Bio-Based Building Blocks (Wiley-VCH Verlag GmbH & Co. KGaA, 2016), pp. 191–216. [Google Scholar]
- 11.J. C. van der Waal, E. Mazoyer, H. J. Baars, G. J. M. Gruter, in Liquid Phase Aerobic Oxidation Catalysis: Industrial Applications and Academic Perspectives (Wiley-VCH Verlag GmbH & Co. KGaA, 2016), pp. 311–329. [Google Scholar]
- 12.A. S. Shaikh, K. R. Parker, M. E. Janka, L. R. Partin, “Purifying crude furan 2,5-dicarboxylic acid by hydrogenation,” U.S. Patent 8,748,479 (2013).
- 13.Pasini T., Piccinini M., Blosi M., Bonelli R., Albonetti S., Dimitratos N., Lopez-Sanchez J. A., Sankar M., He Q., Kiely C. J., Hutchings G. J., Cavani F., Selective oxidation of 5-hydroxymethyl-2-furfural using supported gold–copper nanoparticles. Green Chem. 13, 2091–2099 (2011). [Google Scholar]
- 14.Ribeiro M. L., Schuchardt U., Cooperative effect of cobalt acetylacetonate and silica in the catalytic cyclization and oxidation of fructose to 2,5-furandicarboxylic acid. Catal. Commun. 4, 83–86 (2003). [Google Scholar]
- 15.Gorbanev Y. Y., Kegnæs S., Riisager A., Effect of support in heterogeneous ruthenium catalysts used for the selective aerobic oxidation of HMF in water. Top. Catal. 54, 1318–1324 (2011). [Google Scholar]
- 16.Lilga M. A., Hallen R. T., Gray M., Production of oxidized derivatives of 5-hydroxymethylfurfural (HMF). Top. Catal. 53, 1264–1269 (2010). [Google Scholar]
- 17.Davis S. E., Zope B. N., Davis R. J., On the mechanism of selective oxidation of 5-hydroxymethylfurfural to 2,5-furandicarboxylic acid over supported Pt and Au catalysts. Green Chem. 14, 143–147 (2012). [Google Scholar]
- 18.Gupta N. K., Nishimura S., Takagaki A., Ebitani K., Hydrotalcite-supported gold-nanoparticle-catalyzed highly efficient base-free aqueous oxidation of 5-hydroxymethylfurfural into 2,5-furandicarboxylic acid under atmospheric oxygen pressure. Green Chem. 13, 824–827 (2011). [Google Scholar]
- 19.Casanova O., Iborra S., Corma A., Biomass into chemicals: Aerobic oxidation of 5-hydroxymethyl-2-furfural into 2,5-furandicarboxylic acid with gold nanoparticle catalysts. ChemSusChem 2, 1138–1144 (2009). [DOI] [PubMed] [Google Scholar]
- 20.Wang S., Zhang Z., Liu B., Catalytic conversion of fructose and 5-hydroxymethylfurfural into 2,5-furandicarboxylic acid over a recyclable Fe3O4–CoOx magnetite nanocatalyst. ACS Sustain. Chem. Eng. 3, 406–412 (2015). [Google Scholar]
- 21.Yi G., Teong S. P., Zhang Y., The direct conversion of sugars into 2,5-furandicarboxylic acid in a triphasic system. ChemSusChem 8, 1151–1155 (2015). [DOI] [PubMed] [Google Scholar]
- 22.K. M. Rapp, “Process for preparing pure 5-hydroxymethylfurfuraldehyde,” U.S. Patent 4,740,605 (1988).
- 23.Gallo J. M. R., Alonso D. M., Mellmer M. A., Dumesic J. A., Production and upgrading of 5-hydroxymethylfurfural using heterogeneous catalysts and biomass-derived solvents. Green Chem. 15, 85–90 (2013). [Google Scholar]
- 24.Brown D. W., Floyd A. J., Kinsman R. G., Roshan-Ali Y., Dehydration reactions of fructose in non-aqueous media. J. Chem. Technol. Biotechnol. 32, 920–924 (1982). [Google Scholar]
- 25.Waghorne W. E., Thermodynamics of solvation in mixed solvents. Chem. Soc. Rev. 22, 285–292 (1993). [Google Scholar]
- 26.Zaitseva A., Pokki J.-P., Le H. Q., Alopaeus V., Sixta H., Vapor–liquid equilibria, excess enthalpy, and density of aqueous γ-valerolactone solutions. J. Chem. Eng. Data 61, 881–890 (2016). [Google Scholar]
- 27.J. McMurry, Organic Chemistry (Brooks Cole, ed. 8, 2012). [Google Scholar]
- 28.B. Subramaniam, X. Zuo, D. H. Busch, P. Venkitasubramaniam, “Process for producing both biobased succinic acid and 2,5-furandicarboxylic acid,” U.S. Patent 20140343305 (2012).
- 29.R. Davis, L. Tao, E. C. D. Tan, M. J. Biddy, G. T. Beckham, C. Scarlata, J. Jacobson, K. Cafferty, J. Ross, J. Lukas, D. Knorr, P. Schoen, “Process design and economics for the conversion of lignocellulosic biomass to hydrocarbons: Dilute-acid and enzymatic deconstruction of biomass to sugars and biological conversion of sugars to hydrocarbons” (Technical Report NREL/TP-5100-60223, 2013); www.nrel.gov/docs/fy14osti/60223.pdf.
- 30.Davis S. E., Benavidez A. D., Gosselink R. W., Bitter J. H., de Jong K. P., Datye A. K., Davis R. J., Kinetics and mechanism of 5-hydroxymethylfurfural oxidation and their implications for catalyst development. J. Mol. Catal. A Chem. 388–389, 123–132 (2014). [Google Scholar]
- 31.Foodchem International Corporation Fructose Sweetener; www.alibaba.com/product-detail/Fructose-Sweetener_451995991.html?spm=a2700.7724838.2017115.2.3c93b095tOgHE5&s=p.
- 32.C. C. Dorris, E. Lu, S. Park, F. H. Toro, “High-purity oxygen production using mixed ionic-electronic conducting sorbents,” Working paper, University of Pennsylvania, 2016.
- 33.Han J., Sen S. M., Alonso D. M., Dumesic J. A., Maravelias C. T., A strategy for the simultaneous catalytic conversion of hemicellulose and cellulose from lignocellulosic biomass to liquid transportation fuels. Green Chem. 16, 653–661 (2014). [Google Scholar]
- 34.Sen S. M., Alonso D. M., Wettstein S. G., Gürbüz E. I., Henao C. A., Dumesic J. A., Maravelias C. T., A sulfuric acid management strategy for the production of liquid hydrocarbon fuels via catalytic conversion of biomass-derived levulinic acid. Energy Environ. Sci. 5, 9690–9697 (2012). [Google Scholar]
Associated Data
This section collects any data citations, data availability statements, or supplementary materials included in this article.
Supplementary Materials
Supplementary material for this article is available at http://advances.sciencemag.org/cgi/content/full/4/1/eaap9722/DC1
Supplementary Materials and Methods
fig. S1. Chromatogram of product solution obtained by the dehydration of fructose.
fig. S2. CO chemisorption isotherms for the 5% Pt/C catalyst.
fig. S3. Image showing the separation of catalyst, solvent, and crystallized FDCA.
fig. S4. PDA chromatogram of freeze-dried FDCA.
fig. S5. Gas chromtography–mass spectrometry analysis of freeze-dried FDCA.
fig. S6. Nuclear magnetic resonance spectroscopy analysis of freeze-dried FDCA.
fig. S7. Differential scanning calorimetry curve of freeze-dried FDCA.
fig. S8. Process block flow diagram for the integrated FDCA production strategy.
fig. S9. Safety in the oxidation reactor.
table S1. Product composition after fructose dehydration using FDCA as a dehydration catalyst.
table S2. Product concentration before and after removal of humins by adsorption.
table S3. Characterization of the Pt/C catalyst.
table S4. Results for HMF oxidation reactions over the 5% Pt/C catalyst (under 40-bar O2 pressure and 383 K).
table S5. Mass and energy balances (basis: 500 metric tons of fructose per day).
table S6. Energy requirements (basis: 500 metric tons of fructose per day).
table S7. Capital and operating costs (basis: 500 metric tons of fructose per day).
table S8. List of economic parameters and assumptions.
table S9. Effect of transport resistance and O2 pressure on HMF oxidation over a Pt/C catalyst.
