Abstract
ES-62 is a protein secreted by the parasitic worm Acanthocheilonema viteae that is anti-inflammatory by virtue of covalently attached phosphorylcholine. Previously we have reported that drug-like Small Molecule Analogues (SMAs) of its phosphorylcholine moiety can mimic ES-62 in protecting against disease development in certain mouse models of autoimmune and allergic conditions, due to them causing partial degradation of the TLR/IL-1R adaptor MyD88. We have now taken a molecular modelling approach to investigating the mechanism underlying this effect and this predicts that the SMAs interact directly with the MyD88 TIR domain. Further support for this is provided by assay of LPS-induced MyD88/NF-κB-driven secreted alkaline phosphatase (SEAP) reporter activity in commercially-available stably transfected (TLR4-MD2-NF-κB-SEAP) HEK293 cells, as SMA12b-mediated inhibition of such SEAP activity is blocked by its pre-incubation with recombinant MyD88-TIR domain. Direct binding of SMA12b to the TIR domain is also shown to inhibit homo-dimerization of the adaptor, an event that can explain the observed degradation of the adaptor and inhibition of subsequent downstream signalling. Thus, these new data identify initial events by which drug-like ES-62 SMAs, which we also demonstrate are able to inhibit cytokine production by human cells, homeostatically maintain “safe” levels of MyD88 signalling.
Introduction
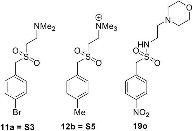
ES-62, a secreted product of the parasitic filarial nematode, Acanthocheilonema viteae1, has been shown in a number of studies to be a highly effective immunomodulatory agent. Specifically, this molecule can interfere with the pro-inflammatory responses of various immune system cells including B cells, dendritic cells (DCs), macrophages and mast cells. [reviewed2]. Such immunomodulatory properties dictate that ES-62 has protective effects in a number of mouse models of inflammatory disease, in particular collagen-induced arthritis (CIA)3–6, ovalbumin-induced airway-hyper-responsiveness (OAH)7–9, oxazolone-induced skin hypersensitivity (OSH)7, the MRL/Lpr model of systemic lupus erythematosus (SLE)10 and the Gld.ApoE−/− model of accelerated atherosclerosis in SLE11. In spite of this, ES-62 per se does not directly have potential as a therapy, being a protein whose biological activity is dependent on post-translational attachment of phosphorylcholine moieties to an N–type glycan by a mechanism that is not fully characterised [reviewed12]. For this reason, a library of small molecule analogues (SMAs) based upon the active phosphorylcholine moiety but containing chemically stable substitutes for the phosphate ester, principally sulfonamides and sulfones, was designed, and evaluated by measuring ability to modify the cytokine output profile of stimulated macrophages13, DCs14 and mast cells15. Some of the sulfones were found to impact on cytokine output profiles in a manner similar to that of ES-62 and two in particular, 11a (also known as S3) and 12b (also known as S5)13, were selected for further evaluation. These have since been shown to be safe and effective when tested in CIA13,16, OAH15 and other airway hypersensitivity models employing clinically relevant allergens17, the MRL/Lpr mouse model of SLE18 and OSH19. Of note, the two SMAs acted at low doses (50 µg/kg), showed both prophylactic and therapeutic effects, and have recently been found to be protective in CIA when administered as DC therapy14. By contrast, the sulfonamides generally did not mimic the immunomodulatory effects of ES-62. Indeed, a typical example, 19o, which was previously shown to have negligible effects on pro-inflammatory cytokine release from macrophages13 and not to protect against disease development in the MRL/Lpr SLE model18, was investigated further in the current study as a potential negative control. The structures of the 3 SMAs are shown in Fig. 1.
Figure 1.

SMAs of ES-62 investigated in this work.
Although there may be additional targets for the SMAs, it is likely that the primary target, as with ES-62, is MyD884,10,20, a 31–33 kDa adaptor protein consisting of a so-called N-terminal death domain and a C-terminal Toll/interleukin-1 receptor (TLR/IL-1R; TIR) domain separated by a short linker region, which acts as an anchor, recruiting signal transducers to TLRs/IL-1R and also other receptors including that for IFN-γ21–26. Consistent with this, both 11a and 12b reduce levels of this important adaptor molecule in bone marrow-derived macrophages13,16 and also kidney cells18. Imbalance of MyD88 function in the immune system can result in excessive stimulation of inflammatory signalling, leading to a wide range of syndromes and diseases, including those that ES-62 has been shown able to modulate in model systems. Because of its important role in signal transduction, MyD88 and its complexes have been identified as potential drug targets27,28 particularly, in reducing the inflammatory impact of sepsis following bacterial infection29–31, autoimmune connective tissue diseases32, and lymphomas27. In addition to peptide inhibitors of MyD88 dimerisation, small molecule inhibitors (“T-series” inhibitors) have been investigated using virtual screening of a compound library containing 5 million members via binding to a protein-protein dimeric docking model of the TIR-domain of MyD8833. From a first generation hit compound (T5910047; Fig. 2 LHS), others were identified from the PubMed database with more drug like properties (Centre and RHS; Fig. 2) and the most active compound (T6167923; RHS Fig. 2) evaluated in a range of immunological and biochemical assays relevant to MyD88 function, which indicated that it exhibited its anti-inflammatory actions via inhibition of MyD88 homodimerisation33. Compound T6167923 was also found to have therapeutic efficacy in protecting mice from staphylococcal enterotoxin B (SEB)-induced septic shock following administration of a single dose33. The similarity of these T-series compounds in terms of immunological profile (reducing the release of pro-inflammatory cytokines from stimulated cells) with that of the SMAs of ES-62 together with a number of common structural features with the SMA library suggested that it was possible that the active SMAs, 11a and 12b, by binding to the same or nearby sites on the MyD88 surface, might also disrupt its dimerisation. The ‘active’ SMAs, 11a and 12b, and the ‘inactive’ SMA 19o were therefore examined initially as ligands for MyD88 in silico. Subsequently their effects on MyD88 protein complex formation and its downstream consequences were evaluated.
Figure 2.

Compounds derived from in silico screening using the MyD88 dimerisation model33.
Results
Molecular modelling reveals potential binding sites for ES-62 SMAs in the MyD88 TIR domain
The similarity between the SMAs and the T-series compounds was first evaluated formally using the previously described molecular modelling methods33. As a reference, Fig. 3a shows the docking of molecule T5910047 in two different binding poses and the overall top-ranked scores from Vina ΔG and the computed PC-Score. Because T5910047 was derived from in silico screening of roughly 5 million compounds without ligand-binding optimization or refinement and showed an inhibition level as a minimal threshold for compound selection, the T5910047 score is used as a benchmark for assessing the three ES-62 SMA compounds. The two binding poses of T5910047 illustrated in Fig. 3a are nearly indistinguishable in terms of scoring and are given by Vina ΔG = −6.4 kcal/mol and PC-Score = −9.2 kcal/mol. When enrichment of compound selection is taken into consideration based on T591004733, the top-ranked 2nd-generation compound T6167923 (docking pose not shown) yielded a ΔG = −5.5 kcal/mol and PC-Score = −9.8 kcal/mol. Concurrence in predicted binding regions for T5910047 and T6167923 is observed at site-1 and site-2 of MyD88, while site-3 is less favourable in terms of docking populations among the generated ensemble.
Figure 3.
Molecular docking results for T5910047 and SMAs 11a, 12b and 19o. The protein target MyD88 is illustrated as a molecular surface (coloured tan) with distinct binding regions annotated as site 1, site 2 and site 3. Docked molecules are illustrated as sticks with oxygen atoms coloured red, nitrogen coloured blue and sulphur coloured yellow. (a) Two distinct binding poses for T5910047 where binding to site-1 is coloured magenta and to site-2 is coloured cyan; (b–d) molecular docking of 11a (coloured pink); (e,f) Docking of 12b (coloured pink); and (g,h) docking of 19o (coloured pink). Docking scores are given by Vina ΔG and PC-Score (see text).
While in general docking scoring functions are imperfect in detecting optimal conformational poses, the scoring method of PC-Score appears to offer the better guidance on ranking potential interactions for small molecules with MyD88. This is buttressed by the negligible statistical variance in PC-Score values among the top-ranked 25 binding poses for a selected molecule and as such, the differences in aggregate values can be applied to distinguish compounds. For the three SMAs, docking successfully sampled favourable binding modes on the MyD88 model, although unlike T5910047 and T6167923, docking populated the three binding sites (Fig. 3b,e and g). There were some similarities observed at functional group level between the SMAs and T-series compounds. Figure 3d shows the docking of 11a in a binding pose where the sulfone functional group is recognized by the same binding pocket (site-1) as T5910047. The PC-Score = −8.9 kcal/mol and is slightly less favorable than that for T5910047 (−9.2 kcal/mol).
Of the three SMAs, 12b scored most favourably in PC-Score (−10.4 kcal/mol), even performing better than T5910047 and T6167923. The docking of 12b is shown in Fig. 3e & f. As with 11a, this compound favoured binding to site-2, to which T5910047 binds in the model, but did not mimic the binding mode of T5910047 to that site. However, an alternative binding pose of 12b to site-1 bound almost as strongly with PC-Score −10.2 kcal/mol and blocked the small pocket recognized by T5910047 in site-1 (Fig. 3e). The importance of this pocket as a possible recognition point for inhibitors reflects its peripheral location to the BB-loop region of MyD88, which is a conserved region in the TIR domain. In contrast to SMAs 11a and 12b, the best binding pose of SMA 19o had a less effective PC-Score of −9.0 kcal/mol and performed similarly to T5910047. However, docking suggests that 19o bound to site-1 in the model but in an orientation substantially different from that of T5910047 (Fig. 3g & h).
Together the docking results indicate that it is possible that the SMAs 11a and 12b might interfere with MyD88 function in a manner similar to T5910047 but that SMA 19o might behave significantly differently; this is consistent with the inactivity of 19o in cytokine stimulation profile experiments13,16,18. Further experimental evaluation of the actions of 11a and 12b on MyD88 signalling was therefore undertaken.
ES-62 SMAs inhibit MyD88-dependent cell signalling and cytokine production
The effect of the SMAs in comparison with the T-series compounds on LPS-induced TLR4-dependent MyD88 signalling was investigated first using a cell-based reporter assay (SEAP) using protocols we described previously29,30,33. A stably co-transfected HEK 293 T cell line (TLR4-MD2-NF-κB/ SEAP) was employed to measure ligand (LPS)-induced MyD88-mediated NF-κB driven SEAP reporter activity (Fig. 4). Both of the compounds 11a and 12b inhibited LPS-induced MyD88–mediated SEAP expression in a dose-dependent manner, while, consistent with previous functional studies13,16,18 and potentially reflecting the modelling data (Fig. 3), 19o showed very weak inhibitory action apart from at high concentrations. SMAs 11a and 12b were active between 1–10 μM, consistent with our previous findings demonstrating their inhibition of TLR4-driven functional responses (IL-6 release) in mouse bone marrow-derived macrophages at >3 μM13. These current findings were supported by analysis of the IC50 values (60+/−16 μM and 28+/−21 μM, respectively) obtained from 3 independent experiments that showed the potency of 11a and 12b to be not significantly different from the “best” second generation compound of the T-series, T616792333 (63+/−10 μM) but stronger than that of the prototypic T5910047 compound, which perhaps consistent with their similar PC-scores, was not significantly different to the “inactive” ES-62 SMA, 19o (Fig. 4).
Figure 4.
Inhibition of LPS-induced MyD88-mediated SEAP response by ES-62-SMAs. SMAs of ES-62 were tested in parallel with the indicated MyD88 T-series inhibitors33 for their effects on MyD88-signalling by monitoring LPS-induced, NF-κB-dependent SEAP activity. Briefly, the stably-transfected HEK 293 T cell line (TLR4-MD2-NF-κB-SEAP) was stimulated using LPS and treated with various concentrations of the indicated compounds (1–250 µM). (a) SEAP activity was determined in culture supernatants and data are presented as the mean ± SD values collated from 3 independent experiments, n = 9 unless otherwise indicated. Statistical analysis was by 2-way ANOVA with Bonferroni’s multiple comparison post-test showing that at: 10 µM, *p < 0.05 for T6167923 and 11a v 19o, ***p < 0.001 for T6167923 v 12b, 11a v 12b and 12b v 19o; 50 µM (n = 6), **p < 0.01 for T6167923 v 12b and 19o and ***p < 0.001 for 11a and 12b v 19o; 100 µM (n = 3), **p < 0.01 for 12b v 19o; 125 µM (n = 6), ***p < 0.001 for each of 11a, 12b and T6167923 v 19o and for 250 µM, *p < 0.05 for T6167923 v 19o and ***p < 0.001 for 11a and 12b v 19o. (b) IC50 values were obtained using program Origin pro 7.530,33 and represent the concentration required for inhibition of SEAP activity by 50% relative to the control. Again, data are the mean values ± SEM from three independent experiments, where *p < 0.05, **p < 0.01 and ***p < 0.001 for the various compounds versus T5910047 (blue) or 19o (green) as indicated.
Next, we assessed the effect of 11a and 12b, relative to the T series compounds, on LPS-induced MyD88-driven pro-inflammatory cytokine signalling in primary human peripheral blood mononuclear cells (PBMCs) (Fig. 5, left-hand panels). This showed 12b, in particular, to be substantially more potent than T6167923, in inhibiting LPS-induced release of IL-1β and IL-6 from PBMCs (Fig. 5a & b). Moreover, both 11a and 12b were considerably more effective than T6167923 in inhibiting release of TNFα and IFNγ from such cultures (Fig. 5c & d) and indeed, even 19o proved somewhat active against the release of IFNγ: these perhaps unexpected IFNγ data may reflect that release of this cytokine can result from both indirect (via IL-12 production) and direct (on NK cells) actions of LPS on PBMCs34,35, with the latter possibly explaining the potent activity of all 3 SMAs (1 µM) against IFNγ production. These data are reinforced by the IC50 values determined for the ES-62 SMAs and T series compounds (Fig. 5e), where similarly to the SEAP activity, cytokine inhibition was achieved at a lower concentration of 12b than of 11a, and also relative to the T-series compounds. These results support the proposed MyD88 target specificity of the compounds 11a and 12b in inhibiting NF-κB driven SEAP activity and cytokine release.
Figure 5.
Inhibition of LPS- or SEB-stimulated cytokine production of human PBMCs by SMAs of ES-62. PBMCs (1 × 106) from normal donors were cultured for 20 h with LPS (1 µg/ml; left panels) or SEB (200 ng/ml; right panels) with or without the indicated inhibitors (1–250 µM). The culture supernatants were collected and measured (in duplicate) for IL-1β (a), IL-6 (b), TNFα (c) and IFNγ(d) production by MSD assay42–44 and the data are presented as the means ±SD of duplicate samples (n = 4) from two independent experiments. Differential efficacy amongst the compounds was revealed by 2-way ANOVA, which for clarity is shown here (*p < 0.05, **p < 0.01 and ***p < 0.001) without the dose-by dose post-test analysis: thus, for IL-1β, all treatments were significantly different from each other at *** for both LPS- and SEB-stimulated responses; IL-6: LPS, T5910047 vs 11a *, T5910047 vs 19o **, T5910047 vs 12b and 11a vs12b/19o and 12b vs 19o all ***; SEB, T5910047 was not significantly different from 11a but all other comparisons were ***; TNFα: LPS, apart from T5910047 vs 19o, which was non-significant, all other comparisons were significant at ***; SEB, apart from T5910047 vs 11a, which was non-significant, all other comparisons were significant at ***; IFNγ apart from LPS,T5910047 v 19o, all comparisons were significant at ***. IC50 values (e) were determined as the concentration of compound required to induce 50% inhibition of cytokine production relative to the control cells from the plotting of dose response curves using a scatter plot followed by a sigmoidal curve fit.
Other receptors besides TLRs signal via MyD88, for example IFNγ and MHC-mediated responses also engage this adaptor molecule21–26. Indeed, our previous results demonstrated that SEB activates MyD88-mediated pro-inflammatory cytokine signalling via binding to MHC class II molecules on primary human monocytes36 and consistent with this, there is a decrease in serum levels of such cytokines induced by exposure to SEB in MyD88 gene knockout (MyD88−/−) mice37,38. It should also be borne in mind, however, that SEB may impact on PBMCs via TLR2-MyD88 signalling39,40. Nevertheless, to determine whether by targeting MyD88, 11a and 12b would also be capable of inhibiting SEB induced pro-inflammatory cytokine responses, we stimulated primary human PBMCs with SEB in the presence of the SMAs (Fig. 5, right-hand panels). Dose response analysis again showed 12b to be the most potent compound by a substantial margin, whilst 11a and T6167923 generally displayed similar activities. Also, for this stimulus, 19o was the least active compound tested and in contrast to what was observed for the LPS cultures, did not show activity against the (much stronger) IFNγ responses elicited by SEB (Fig. 5a–d). Moreover, the IC50 values (Fig. 5e) showed the relative potencies, apart from those relating to the IFNγ responses, to be broadly consistent with the data obtained with LPS stimulation. Collectively, as we have previously shown for TLR-MyD88 signalling in mouse BMMs13, these data potentially suggest some selectivity amongst the SMAs with respect to the receptor-MyD88 coupling targeted.
SMA 12b interacts directly with MyD88 to inhibit its dimerisation and results in MyD88 downregulation
To confirm the SMAs functionally reduce MyD88 signalling by directly binding to the TIR domain of MyD88, we performed the LPS-induced cell-based SEAP reporter assay after pre-incubation of the more potent of the two active compounds in this study, SMA 12b (100 µM), with different amounts of TIR domain protein (1–100 µg). Pre-incubation with TIR domain protein was found to block the inhibitory effect of 12b on SEAP expression in a dose-dependent manner, as shown by a greater SEAP response when compared to that observed following pre-incubation with BSA as a control protein (Fig. 6a). These results clearly demonstrate the specificity of SMA 12b in targeting the TIR domain of MyD88 and indicate that direct binding of the SMA to the TIR protein reduced the inhibitory effect of the compounds on MyD88-signaling. To gauge the quantitative impact of SMA action in binding to MyD88, analysis of the effects of 2 independent experiments showed that whilst exposure to 12b resulted in an average of 77% inhibition of the LPS response, this was substantially reduced by 25 µg TIR (to 48% inhibition) but not BSA (74% inhibition, i.e., comparable to the 77% described above). Indeed, it was estimated that each 5-fold increase in TIR concentration produced a 14.64% increase in SEAP activity (95% confidence interval 11.647 to 17.720%), whereas essentially no change in activity was observed with BSA protein. Regression analysis shows this to be a statistically significant effect (P < 0.05; Fig. 6b).
Figure 6.
MyD88 TIR-domain validation of the target specificity of compound 12b. To determine whether SMA 12b inhibits MyD88-signaling by direct binding to the TIR domain, the SMA was pre-incubated at room temperature with varying amounts of TIR domain protein (or with BSA as control) for 2 h prior to being added to cells for testing for SEAP activity as described in Fig. 4. Data (a) are presented as mean ±SD SEAP response units from triplicate analysis of a single experiment where *p < 0.05, **p < 0.01 and ***p < 0.001 for conditions of interest versus LPS + 12b by 1-way ANOVA and Bonferroni post-test and (b) The log-log linear regression model is fitted to the data relating SEAP activity to TIR concentration as shown in equation 1 below by analysis carried out in SAS version 9.4 SAS proc MIXED. Equation: = .
Finally, as the dimeric form of MyD88 is generally required for signal transduction and pro-inflammatory cytokine responses25,26, we next determined whether SMA 12b binding to the TIR domain of MyD88 is reflected by it preventing homodimerisation of newly synthesized MyD88 to inhibit LPS-induced MyD88 mediated signalling for pro-inflammatory responses. Specifically, we examined MyD88-deficient HEK 293 T cells that were co-transfected with plasmids pCMV-HA-MyD88 and MyD88-Flag and 7 h later incubated with LPS in the presence of various concentrations of compound 12b. Cell lysates were co-immunoprecipitated using anti-Flag antibody, and then analysed by SDS-PAGE followed by immunoblotting, the latter employing an anti-HA antibody. In addition, after stripping of the blot, re-probing using anti-MyD88 antibody was undertaken to validate the identity of the 31 kDa band as MyD88. As we have shown previously, LPS binding to TLR4 induced a slightly higher level of HA-MyD88 and total MyD88 expression29,31,38 in the immune complexes. By contrast, in the presence of compound 12b, the levels of newly expressed Flag-MyD88/HA-MyD88 homodimer were reduced, with maximum inhibition of HA-MyD88 expression being observed at between 10 µM and 100 µM. By contrast, no inhibition of MyD88 homodimerization in terms of HA-MyD88 expression was observed with control compound 19o at the highest concentration (Fig. 7). Although the levels of total MyD88 detected were generally not so dramatically inhibited as those of HA-MyD88 (e.g. ~50% versus ~80% at 10 µM respectively) due to the anti-MyD88 antibody detecting the presence of monomeric Flag-MyD88 in the immune complexes, re-probing with anti-MyD88 antibody provided supporting evidence for exposure to compound 12b resulting in inhibition of MyD88 homodimerisation (Fig. 7). In addition, this approach to analysing MyD88 dimerisation also indicated that a consequence of its disruption is downregulation of the adaptor molecule as evidenced by the almost complete loss of detection of newly synthesised MyD88 at the highest SMA concentration. By contrast but in agreement with our earlier reports demonstrating that 19o does not downregulate MyD88 expression13,16,18, the levels of MyD88 expression were not reduced as indicated by the levels of total MyD88. These data demonstrating inhibition of Flag-MyD88 and HA-MyD88 dimerisation and associated downregulation by SMA 12b, are consistent with the effects of this ES-62 SMA on SEAP reporter expression and cytokine inhibition (Figs 4 and 5). Certainly, inhibition of dimerization of the adaptor would be likely to result in reduction in downstream signalling as the dimeric form of MyD88 is generally required for signal transduction and pro-inflammatory cytokine responses25,26 whilst monomeric MyD88 is susceptible to degradation via autophagy39.
Figure 7.

Inhibition of MyD88 homodimer formation in the presence of SMA 12b. HEK 293 T cells (TLR4-MD2-NF-κB-SEAP) co-transfected with plasmids MyD88-Flag or pCMV-HA-MyD88 for 7 h were incubated for a further 13 h with LPS in the presence or absence of the compound 12b (100 µM to 1 µM) or control compound 19o (100 µM). Cell lysates were immunoprecipitated (IP) using an anti-Flag antibody, and the resultant immune-complexes analyzed by Western blotting (WB) employing an anti-HA antibody (a). The identity of the 31 kDa MyD88 band was validated by re-probing with an anti-MyD88 antibody (b).
Discussion
This study was undertaken to investigate the possibility that SMAs of the immunomodulatory protein, ES-62, might owe their activity at least in part to interacting directly with the scaffolding protein, MyD88 with consequent inhibition of its dimerisation resulting in our previously observed downregulation of MyD88 expression13,16,18. SMAs of ES-62, principally those designated 11a and 12b (Fig. 1) have been shown to be effective in modulating immune responses in cellular studies and in vivo models of disease, in the latter case with substantial quantifiable improvement in disease-related metrics9,13–19. The first implication of the involvement of MyD88 came from the observation that its levels were decreased on treatment with SMAs in studies of a mouse model of CIA13,16. Whilst the loss of TLR signalling resulting from downregulation of MyD88 was consistent with the observed reduction in cytokine output, there was no evidence from this previous work to suggest that the SMAs interacted directly with MyD88.
Other studies have however, aimed to design molecules that target MyD88 by direct interaction, and have shown for example that the dimerisation of MyD88 can be impeded by small, synthetic compounds, typically peptides that had been designed to bind to the surface of the TIR subunit of the adaptor molecule27. One study that was of particular interest involved the virtual screening of 5 million compounds through a molecular model of the TIR subunit interface that led to the identification of a significant number of active compounds, referred to in this paper as the T-series (Fig. 2)33. The molecular model built for the discovery of the T-series compounds was also appropriate for the evaluation of the SMAs. Three SMAs were chosen, 11a and 12b, which were known to be active in cell-based studies and in vivo, and 19o, which exhibited virtually no activity, as a negative control. The docking studies carried out with the SMAs using the same protocol as for the discovery of the T-series showed that the two sets of compounds could indeed bind at the same sites as the T-series (Fig. 3). Of the many potential binding poses, quantitative evaluation of the most tightly binding showed that 11a and 12b bound to the same sites as the T-series compounds with similar potency. For 11a some poses, although not the tightest binding, had the sulfone binding in the same small protein pocket as the sulfonamide in the T-series compound, T5910047 (Fig. 3d), which was encouraging but not necessarily highly significant due to the general inactivity of sulphonamide-based SMAs referred to earlier. On the other hand, inactive 19o bound in a different orientation, although with similar calculated affinity. The molecular model therefore reproduced the behaviour expected from the known biological properties of the SMAs under investigation.
The two active SMAs, 11a and 12b, were taken forward in cell-based assays to confirm their effects on MyD88-dependent signalling as shown by NFκ-B driven SEAP activity and cytokine release profiles from human cells in comparison with the T-series compounds (Figs 4 and 5) and in both sets of experiments the SMAs were found to be as effective or better than the T-series compounds. It was also noted that the activity of 11a and 12b was similar to that of a previously described MyD88 dimerisation inhibitor known as 4210 that targets the BB-loop in the TIR domain of MyD8830. In the present study, an effect on the release of four principal pro-inflammatory cytokines, IFN-γ, IL-1β, IL-6, and TNF-α was observed with respect to the use of both SMAs. With LPS as the stimulator, both SMAs were more potent than the T-series compounds and with SEB exposure, inhibition was similar or greater than with the T-series compounds: 12b was found to be particularly potent with low and submicromolar IC50 values observed.
The molecular modelling and cytokine production data raised the possibility that treatment of cells with SMA 11a or 12b might have a direct effect on MyD88 and clear evidence for the engagement of 12b with MyD88 was obtained, by the inhibitory effect of added recombinant TIR domain on the SMA’s ability to inhibit SEAP activity in the reporter assay. Although 11a was generally found to be 5–10 fold less potent than 12b in the cytokine release assays (Fig. 5), it is reasonable to infer that overall it operates in a similar manner to 12b in binding to the MyD88 TIR domain, bearing in mind the overall likeness of the two SMAs’ behaviour in the range of molecular modelling and cellular evaluations reported above.
Recruitment of MyD88 as a dimer is a prerequisite for MyD88-mediated downstream signalling for pro-inflammatory responses and consistent with this, a reduction in homodimerisation accompanied by downregulation of MyD88 expression was observed when adopting a co-precipitation/Western blotting approach with cells transfected with MyD88 carrying two distinct labels. Our data are consistent with a recent independent report that the cellular consequence of blocking MyD88 dimerisation is that it becomes vulnerable to autophagolysosomal degradation39 and now provide a mechanism for our previous observations that the protection against CIA afforded by SMAs 11a and 12b is associated with downregulation of MyD8813,16. Importantly, this mechanism also resonates with our recent studies demonstrating that ES-62 harnesses the homeostatic and selective autophagolysosomal degradation of MyD88 and other TLR adaptor/transducers like Traf6 and PKCδ to limit pro-inflammatory responses of dendritic cells40,41.
The identification of MyD88 as a target of the SMAs 11a and 12b, and by analogy other active compounds in the class14, is important for their potential development as therapeutic agents in inflammatory and autoimmune diseases. Certainly, our earlier studies with T-series inhibitors, as well as with a BB-loop mimetic, designed by a structure-based approach to target the MyD88 TIR domain and tested by in vitro SEAP based reporter assays30,31,33,38 demonstrated therapeutic efficacy against toxic shock-induced death when tested in a mouse model of SEB intoxication. Thus, the SEAP reporter used in this study in evaluating the functional relevance provides biological significance of the results of 11a and 12b. It is also worth emphasising that the in vivo effects of the SMAs are to modulate the relevant downstream signalling pathways and not to block them as a kinase inhibitor would. It could be argued that modulation is an inherently safer therapeutic strategy than gross inhibition since its aim is to restore the natural balance in the context of the relevant biological system. The lack of toxicity observed with the SMAs in the now substantial range of in vivo models studied9,13,15–19 is consistent with this principle. This in turn suggests that it would be prudent in cases of disease of immunological imbalance such as autoimmune conditions, as opposed to infectious diseases in which killing the infecting organism is the therapeutic aim, to accept a broader drug discovery paradigm than the traditional one of single compound-single target-single effect, a paradigm that is rarely met completely by drugs in the clinic in any case.
Materials and Methods
Reagents
ES-62 SMAs 11a, 12b and 19o were prepared as described previously13. T910047, T6167923 and T5996207 were purchased from Enamine, Ltd (La Jolla, CA). Staphylococcal enterotoxin B (SEB) - endotoxin-free and prepared under GMP conditions -was obtained from Porton Down, Inc. (Salisbury, UK) and stored at −50 °C. Escherichia coli (ssp. 055:B5) lipopolysaccharide (LPS) was from Sigma-Aldrich (St. Louis, MO). The multi-spot array ultrasensitive cytokine assay kit was purchased from Meso Scale Discovery (MSD; Gaithersburg, MD). Ficoll-Hypaque was purchased from GE Healthcare Biosciences (Piscataway, NJ), pooled human AB sera were obtained from Pel-Freez (Brown Deer, WI) and the anti-MyD88 antibody was obtained from AnaSpec, Inc. (San Jose, CA). The recombinant MyD88 TIR domain (157–296) protein was expressed in E. coli and purified as described in our earlier report33. The stably-transfected HEK 293 TLR4-MD2-NF-kB-SEAPorter cell line was purchased from Imgenex (San Diego, CA) whilst plasmids 12287 (pCMV-HA-MyD88) and 13093 (MyD88-Flag) were obtained through an MTA agreement with Addgene (Cambridge, MA). The transfection reagent lipofectamine was from Invitrogen (Carlsbad, CA).
Molecular modelling
The computational molecular docking methodology applied in this study is slightly different from earlier published work33, which was focused on large-scale screening of commercially-available compounds. Here, molecular docking simulations are applied to evaluate SMA compounds as potential binders to the protein MyD88. Molecular docking calculations were conducted by using the program AutoDock Vina42. The human MyD88 protein was taken from the NMR structure listed as 2Z5V in the PDB43 and modelled as a rigid-body target in docking. For each modeled compound, a docking dataset of 2000 binding poses to MyD88 were extracted from the simulation generating roughly 2 M sampled conformations. The modeling protocol of defining atomic charges and docking parameters was identical to our previous work33.
To help detect native-like binding poses from decoys and provide a relative ranking of compounds, two scoring functions were applied. The first scoring function is that built into the AutoDock Vina molecular docking program. The function (denoted as the free-energy potential difference ΔG) contains electrostatic interactions through the hydrophobic and the hydrogen bonding terms in addition to a solvation/desolvation contribution. The second scoring function applied is the knowledge-based function DSX44. Our implementation of DSX is an approach of computing a per-contact score (designated as PC-Score) and is formulated as weighted field energy divided by the number atom-atom interactions between a ligand and MyD88 (computed within a distance of 6 Å). In contrast to the Vina scoring function, PC-Score yields greater weight to protein-ligand interactions rather than the thermodynamic cycle of complex formation.
Cell Assays
Peripheral blood mononuclear cells (PBMCs) were obtained by consent from healthy donors in accordance with Institutional Review Board (IRB)-approved research donor protocol FY05–05. The minimal risk phlebotomy protocol employed was carried out in accordance with the approved guidelines of Office of Human Use and Ethics (OHU & E). An informed written consent was obtained from participants and reviewed by the USAMRIID physician (USAMRIID Screening and Eligibility). PBMCs were isolated by standard Ficoll-Hypaque density gradient centrifugation and suspended in RPMI 1640 medium as described elsewhere31. All of the experimental protocols where PBMCs were used were approved by OHU&E and Human Use Committee.
Cytokine analysis
Purified PBMCs were cultured with LPS (1 µg/ml) or SEB (200 ng/ml) in the presence of varying concentration of SMAs by incubation at (37 °C, 5% CO2) for 16 h. Culture supernatants were collected and measured for cytokines using Meso Scale Discovery (MSD) multi-spot array ultrasensitive cytokine assay kit according to the manufacturer’s protocol as described in our previous study33.
Secreted alkaline phosphatase (SEAP) reporter assays
SEAPorterTM HEK 293 cells (TLR4/MD-2/NF-κB/SEAP) were cultured (5 × 105 cells/ml/well in 24 well plates) with LPS (1 µg/ml), in the absence or presence of the indicated concentrations of test compounds at 37 °C for 16 h. Following centrifugation to remove cell debris, the culture supernatants were collected and the Great EscAPe SEAP Assay from Clonetech was used to determine the amount of secreted alkaline phosphatase as we described previously33.
Co-immunoprecipitation and Western blot analysis
MyD88-deficient HEK 293-I3A cells were co-transfected with plasmids pCMV-HA-MyD88 and MyD88-Flag and 7 h later, stimulated with LPS in the absence or presence of various concentrations of compounds 12b or 19o for 13 h. Following washing with ice-cold PBS, cells were lysed and cytosolic fractions collected for immunoprecipitation as described previously33. Cell extracts (1 mg total protein) were incubated for 16 h under conditions of continuous shaking at 4 °C with 2 µg of mouse anti–Flag M2 antibody conjugated to agarose attached to magnetic beads (Sigma-Aldrich). Following recovery using a magnetic separator, agarose bead-bound immunocomplexes were washed three times, eluted in SDS-PAGE sample buffer and then separated by SDS-PAGE prior to Western blot analysis33 with anti-HA antibody followed by stripping the gel and reprobing with anti-MyD88.
Statistical analysis
As indicated, data were analysed by 2-way or 1-anova with Bonferroni’s post-test.
The log-log linear regression model fit was utilized for the data relating SEAP activity to TIR concentration as shown below in equation 1:
| 1 |
Analysis was carried out in SAS version 9.4 SAS proc MIXED.
Electronic supplementary material
Acknowledgements
We gratefully acknowledge Dr David S. Waugh for providing the purified recombinant TIR domain protein of MyD88 used in this study and the investigators at Addgene for provision of the plasmids originally published in Proc. Natl. Acad. Sci. 2006, 103(29):10961–6. The work of SA, MAO and KUS was partly supported by a continuation of a Defence Threat Reduction Agency award to KUS (grant CBM.THROX.03.10.RD.006). WH, MMH and CJS were supported by the BBSRC-UK (E013929) and the Wellcome Trust (086852).
Author Contributions
All authors were involved in the planning of the experiments and analysis of the data. K.U.S. designed functional and biological assays of SMAs; S.A. performed biological assays; M.A.O. developed TIR domain molecular modelling and computational prediction of SMAs’ interaction with the TIR domain of MyD88. The SMAs were prepared in the lab of C.J.S. M.M.H., W.H. and C.J.S. drafted the manuscript text with all authors contributing during the writing process and in reviewing the final manuscript.
Competing Interests
The authors declare that they have no competing interests.
Footnotes
Electronic supplementary material
Supplementary information accompanies this paper at 10.1038/s41598-018-20388-z.
Publisher's note: Springer Nature remains neutral with regard to jurisdictional claims in published maps and institutional affiliations.
Contributor Information
Margaret M. Harnett, Email: Margaret.Harnett@glasgow.ac.uk
William Harnett, Email: w.harnett@strath.ac.uk.
References
- 1.Harnett W, Worms MJ, Kapil A, Grainger M, Parkhouse RM. Origin, kinetics of circulation and fate in vivo of the major excretory-secretory product of Acanthocheilonema viteae. Parasitology. 1989;99(Pt 2):229–239. doi: 10.1017/S0031182000058686. [DOI] [PubMed] [Google Scholar]
- 2.Pineda MA, Lumb F, Harnett MM, Harnett W. ES-62, a therapeutic anti-inflammatory agent evolved by the filarial nematode Acanthocheilonema viteae. Molecular and Biochemical Parasitology. 2014;194:1–8. doi: 10.1016/j.molbiopara.2014.03.003. [DOI] [PubMed] [Google Scholar]
- 3.McInnes IB, et al. A novel therapeutic approach targeting articular inflammation using the filarial nematode-derived phosphorylcholine-containing glycoprotein ES-62. J Immunol. 2003;171:2127–2133. doi: 10.4049/jimmunol.171.4.2127. [DOI] [PubMed] [Google Scholar]
- 4.Pineda MA, et al. The parasitic helminth product ES-62 suppresses pathogenesis in collagen-induced arthritis by targeting the interleukin-17-producing cellular network at multiple sites. Arthritis and Rheumatism. 2012;64:3168–3178. doi: 10.1002/art.34581. [DOI] [PubMed] [Google Scholar]
- 5.Pineda MA, Rodgers DT, Al-Riyami L, Harnett W, Harnett MM. ES-62 protects against collagen-induced arthritis by resetting interleukin-22 toward resolution of inflammation in the joints. Arthritis Rheumatol. 2014;66:1492–1503. doi: 10.1002/art.38392. [DOI] [PMC free article] [PubMed] [Google Scholar]
- 6.Rodgers DT, et al. Protection against collagen-induced arthritis in mice afforded by the parasitic worm product, ES-62, is associated with restoration of the levels of interleukin-10-producing B cells and reduced plasma cell infiltration of the joints. Immunology. 2014;141:457–466. doi: 10.1111/imm.12208. [DOI] [PMC free article] [PubMed] [Google Scholar]
- 7.Melendez AJ, et al. Inhibition of FcepsilonRI-mediated mast cell responses by ES-62, a product of parasitic filarial nematodes. Nature Medicine. 2007;13:1375–1381. doi: 10.1038/nm1654. [DOI] [PubMed] [Google Scholar]
- 8.Rzepecka J, et al. The helminth product, ES-62, protects against airway inflammation by resetting the Th cell phenotype. International Journal for Parasitology. 2013;43:211–223. doi: 10.1016/j.ijpara.2012.12.001. [DOI] [PMC free article] [PubMed] [Google Scholar]
- 9.Coltherd JC, et al. The parasitic worm-derived immunomodulator, ES-62 and its drug-like small molecule analogues exhibit therapeutic potential in a model of chronic asthma. Scientific Reports. 2016;6:19224. doi: 10.1038/srep19224. [DOI] [PMC free article] [PubMed] [Google Scholar]
- 10.Rodgers DT, et al. The Parasitic Worm Product ES-62 Targets Myeloid Differentiation Factor 88-Dependent Effector Mechanisms to Suppress Antinuclear Antibody Production and Proteinuria in MRL/lpr Mice. Arthritis Rheumatol. 2015;67:1023–1035. doi: 10.1002/art.39004. [DOI] [PMC free article] [PubMed] [Google Scholar]
- 11.Aprahamian TR, et al. The immunomodulatory parasitic worm product ES-62 reduces lupus-associated accelerated atherosclerosis in a mouse model. International Journal for Parasitology. 2015;45:203–207. doi: 10.1016/j.ijpara.2014.12.006. [DOI] [PMC free article] [PubMed] [Google Scholar]
- 12.Al-Riyami, L. & Harnett, W. Immunomodulatory properties of ES-62, a phosphorylcholine-containing glycoprotein secreted by Acanthocheilonema viteae. Endocr Metab Immune Disord Drug Targets 12, 45–52, EMID-DT-ABS-108 [pii] (2012). [DOI] [PubMed]
- 13.Al-Riyami L, et al. Designing anti-inflammatory drugs from parasitic worms: a synthetic small molecule analogue of the Acanthocheilonema viteae product ES-62 prevents development of collagen-induced arthritis. Journal of Medicinal Chemistry. 2013;56:9982–10002. doi: 10.1021/jm401251p. [DOI] [PMC free article] [PubMed] [Google Scholar]
- 14.Lumb FE, et al. Dendritic cells provide a therapeutic target for synthetic small molecule analogues of the parasitic worm product, ES-62. Scientific Reports. 2017;7:1704. doi: 10.1038/s41598-017-01651-1. [DOI] [PMC free article] [PubMed] [Google Scholar]
- 15.Rzepecka J, et al. Small molecule analogues of the immunomodulatory parasitic helminth product ES-62 have anti-allergy properties. International Journal for Parasitology. 2014;44:669–674. doi: 10.1016/j.ijpara.2014.05.001. [DOI] [PMC free article] [PubMed] [Google Scholar]
- 16.Rzepecka J, et al. Prophylactic and therapeutic treatment with a synthetic analogue of a parasitic worm product prevents experimental arthritis and inhibits IL-1beta production via NRF2-mediated counter-regulation of the inflammasome. Journal of Autoimmunity. 2015;60:59–73. doi: 10.1016/j.jaut.2015.04.005. [DOI] [PMC free article] [PubMed] [Google Scholar]
- 17.Janicova L, et al. Testing small molecule analogues of the Acanthocheilonema viteae immunomodulator ES-62 against clinically relevant allergens. Parasite Immunology. 2016;38:340–351. doi: 10.1111/pim.12322. [DOI] [PMC free article] [PubMed] [Google Scholar]
- 18.Rodgers DT, Pineda MA, Suckling CJ, Harnett W, Harnett MM. Drug-like analogues of the parasitic worm-derived immunomodulator ES-62 are therapeutic in the MRL/Lpr model of systemic lupus erythematosus. Lupus. 2015;24:1437–1442. doi: 10.1177/0961203315591031. [DOI] [PMC free article] [PubMed] [Google Scholar]
- 19.Al-Riyami L, et al. Protective effect of small molecule analogues of the Acanthocheilonema viteae secreted product ES-62 on oxazolone-induced ear inflammation. Exp Parasitol. 2015;158:18–22. doi: 10.1016/j.exppara.2015.03.025. [DOI] [PMC free article] [PubMed] [Google Scholar]
- 20.Pineda MA, Eason RJ, Harnett MM, Harnett W. From the worm to the pill, the parasitic worm product ES-62 raises new horizons in the treatment of rheumatoid arthritis. Lupus. 2015;24:400–411. doi: 10.1177/0961203314560004. [DOI] [PubMed] [Google Scholar]
- 21.Hassan GS, Mourad W. An unexpected role for MHC class II. Nature Immunology. 2011;12:375–376. doi: 10.1038/ni.2023. [DOI] [PubMed] [Google Scholar]
- 22.Akira S, Takeda K. Toll-like receptor signalling. Nature Reviews Immunology. 2004;4:499–511. doi: 10.1038/nri1391. [DOI] [PubMed] [Google Scholar]
- 23.O’Neill LA. The role of MyD88-like adapters in Toll-like receptor signal transduction. Biochemical Society Transactions. 2003;31:643–647. doi: 10.1042/bst0310643. [DOI] [PubMed] [Google Scholar]
- 24.Sun D, Ding A. MyD88-mediated stabilization of interferon-gamma-induced cytokine and chemokine mRNA. Nature Immunology. 2006;7:375–381. doi: 10.1038/ni1308. [DOI] [PubMed] [Google Scholar]
- 25.Takeda K, Kaisho T, Akira S. Toll-like receptors. Annual Review of Immunology. 2003;21:335–376. doi: 10.1146/annurev.immunol.21.120601.141126. [DOI] [PubMed] [Google Scholar]
- 26.Barton GM, Medzhitov R. Toll-like receptor signaling pathways. Science (New York, N.Y. 2003;300:1524–1525. doi: 10.1126/science.1085536. [DOI] [PubMed] [Google Scholar]
- 27.Loiarro M, Ruggiero V, Sette C. Targeting the Toll-like receptor/interleukin 1 receptor pathway in human diseases: rational design of MyD88 inhibitors. Clinical Lymphoma, Myeloma & Leukemia. 2013;13:222–226. doi: 10.1016/j.clml.2013.02.003. [DOI] [PubMed] [Google Scholar]
- 28.Loiarro M, et al. Mutational analysis identifies residues crucial for homodimerization of myeloid differentiation factor 88 (MyD88) and for its function in immune cells. The Journal of Biological Chemistry. 2013;288:30210–30222. doi: 10.1074/jbc.M113.490946. [DOI] [PMC free article] [PubMed] [Google Scholar]
- 29.Kissner TL, et al. Therapeutic inhibition of pro-inflammatory signaling and toxicity to staphylococcal enterotoxin B by a synthetic dimeric BB-loop mimetic of MyD88. PLoS ONE. 2012;7:e40773. doi: 10.1371/journal.pone.0040773. [DOI] [PMC free article] [PubMed] [Google Scholar]
- 30.Alam S, et al. Structure-Based Design and Synthesis of a Small Molecule that Exhibits Anti-inflammatory Activity by Inhibition of MyD88-mediated Signaling to Bacterial Toxin Exposure. Chemical Biology & Drug Design. 2015;86:200–209. doi: 10.1111/cbdd.12477. [DOI] [PubMed] [Google Scholar]
- 31.Kissner TL, et al. A small molecule that mimics the BB-loop in the Toll interleukin-1 (IL-1) receptor domain of MyD88 attenuates staphylococcal enterotoxin B-induced pro-inflammatory cytokine production and toxicity in mice. The Journal of Biological Chemistry. 2011;286:31385–31396. doi: 10.1074/jbc.M110.204982. [DOI] [PMC free article] [PubMed] [Google Scholar]
- 32.Li J, Wang X, Zhang F, Yin H. Toll-like receptors as therapeutic targets for autoimmune connective tissue diseases. Pharmacology &Therapeutics. 2013;138:441–451. doi: 10.1016/j.pharmthera.2013.03.003. [DOI] [PMC free article] [PubMed] [Google Scholar]
- 33.Olson MA, et al. Discovery of small molecule inhibitors of MyD88-dependent signaling pathways using a computational screen. Scientific Reports. 2015;5:14246. doi: 10.1038/srep14246. [DOI] [PMC free article] [PubMed] [Google Scholar]
- 34.Ethuin F, et al. Human neutrophils produce interferon gamma upon stimulation by interleukin-12. Lab Invest. 2004;84:1363–1371. doi: 10.1038/labinvest.3700148. [DOI] [PubMed] [Google Scholar]
- 35.Kanevskiy LM, Telford WG, Sapozhnikov AM, Kovalenko EI. Lipopolysaccharide induces IFN-gamma production in human NK cells. Frontiers in Immunology. 2013;4:11. doi: 10.3389/fimmu.2013.00011. [DOI] [PMC free article] [PubMed] [Google Scholar]
- 36.Kissner TL, et al. Activation of MyD88 signaling upon staphylococcal enterotoxin binding to MHC class II molecules. PLoS ONE. 2011;6:e15985. doi: 10.1371/journal.pone.0015985. [DOI] [PMC free article] [PubMed] [Google Scholar]
- 37.Kissner TL, et al. MyD88-dependent pro-inflammatory cytokine response contributes to lethal toxicity of staphylococcal enterotoxin B in mice. Innate Immun. 2011;17:451–462. doi: 10.1177/1753425910374092. [DOI] [PubMed] [Google Scholar]
- 38.Kissner TL, Cisney ED, Ulrich RG, Fernandez S, Saikh KU. Staphylococcal enterotoxin A induction of pro-inflammatory cytokines and lethality in mice is primarily dependent on MyD88. Immunology. 2010;130:516–526. doi: 10.1111/j.1365-2567.2010.03249.x. [DOI] [PMC free article] [PubMed] [Google Scholar]
- 39.Into T, et al. Basal autophagy prevents autoactivation or enhancement of inflammatory signals by targeting monomeric MyD88. Scientific Reports. 2017;7:1009. doi: 10.1038/s41598-017-01246-w. [DOI] [PMC free article] [PubMed] [Google Scholar]
- 40.Eason RJ, et al. The helminth product, ES-62 modulates dendritic cell responses by inducing the selective autophagolysosomal degradation of TLR-transducers, as exemplified by PKCdelta. Scientific Reports. 2016;6:37276. doi: 10.1038/srep37276. [DOI] [PMC free article] [PubMed] [Google Scholar]
- 41.Harnett MM, et al. From Christian de Duve to Yoshinori Ohsumi: More to autophagy than just dining at home. Biomed J. 2017;40:9–22. doi: 10.1016/j.bj.2016.12.004. [DOI] [PMC free article] [PubMed] [Google Scholar]
- 42.Trott O, Olson AJ. AutoDock Vina: improving the speed and accuracy of docking with a new scoring function, efficient optimization, and multithreading. J Comput Chem. 2010;31:455–461. doi: 10.1002/jcc.21334. [DOI] [PMC free article] [PubMed] [Google Scholar]
- 43.Ohnishi H, et al. Structural basis for the multiple interactions of the MyD88 TIR domain in TLR4 signaling. Proceedings of the National Academy of Sciences of the United States of America. 2009;106:10260–10265. doi: 10.1073/pnas.0812956106. [DOI] [PMC free article] [PubMed] [Google Scholar]
- 44.Neudert G, Klebe G. DSX: a knowledge-based scoring function for the assessment of protein-ligand complexes. Journal of Chemical Information and Modeling. 2011;51:2731–2745. doi: 10.1021/ci200274q. [DOI] [PubMed] [Google Scholar]
Associated Data
This section collects any data citations, data availability statements, or supplementary materials included in this article.




