Abstract
Superconductor–insulator transition is one of the remarkable phenomena driven by quantum fluctuation in two-dimensional (2D) systems. Such a quantum phase transition (QPT) was investigated predominantly on highly disordered thin films with amorphous or granular structures using scaling law with constant exponents. Here, we provide a totally different view of QPT in highly crystalline 2D superconductors. According to the magneto-transport measurements in 2D superconducting ZrNCl and MoS2, we found that the quantum metallic state commonly observed at low magnetic fields is converted via the quantum Griffiths state to the weakly localized metal at high magnetic fields. The scaling behavior, characterized by the diverging dynamical critical exponent (Griffiths singularity), indicates that the quantum fluctuation manifests itself as superconducting puddles, in marked contrast to the thermal fluctuation. We suggest that an evolution from the quantum metallic to the quantum Griffiths state is generic nature in highly crystalline 2D superconductors with weak pinning potentials.
Superconductor-insulator transitions predominantly occur in highly disordered thin films. Here, Saito et al. report that a quantum metallic state transforms via the quantum Griffiths state to a weakly localized metal at high magnetic fields in a crystalline two-dimensional superconductor.
Introduction
Two-dimensional (2D) superconductors have been well-known platforms for the study of a quantum phase transition (QPT). In granular or amorphous superconducting thin films, which were initial 2D superconductors with atomic layer thickness, a direct superconductor–insulator transition (SIT) was a consequence of the QPT occurring at zero temperature. The SIT has been for a long time discussed based on the so called “dirty-boson model”, which is applied to the highly and homogeneously disordered systems1,2. In this scenario, the ground state is either superconductor or insulator distinguished by a quantum critical point (QCP), which is characterized by the critical sheet resistance and a critical tuning parameter for degree of disorder, magnetic field, or carrier density. However, in recently found highly crystalline 2D superconductors3, such as the gate-induced single crystal surfaces4 and the mechanically exfoliated atomic layers5, the dirty-boson scenario for the magnetic field-induced SIT needs to be modified using a different picture incorporating a wide quantum metallic state/vortex liquid state. Such a metallic state following the fragile zero-resistance state occurs because of the quantum creep motion of vortices originating from the minimal disorder and the extremely weak pinning.
Although the resistance in the quantum metallic state is nonzero, this state starts far below the mean field upper critical field (Bc2MF) without showing localized behavior. Thus, the crossover or transition from the quantum metallic state to the normal state at low temperatures, including superconducting fluctuation regime, emerges as a new unsolved problem of the QPTs in the highly crystalline 2D superconductors3,6–10. Recently, there appeared a couple of clues for this issue. One is the gate-induced superconducting surface of a ZrNCl single crystal, in which the finite-size scaling (FSS) law of transport property does not obey the dirty-boson scheme any more4. Others are molecular-beam-epitaxy grown Ga trilayer11, NbSe2 monolayer12, and LaAlO3/SrTiO3 (110) interface13, in which a different type of the QCP, the quantum Griffiths singularity14, was observed at ultralow temperatures.
Here, we propose a comprehensive quantum phase diagram including superconducting fluctuation outside the mean field phase boundary of highly crystalline 2D superconductors. Based on the magneto-transport study in ion-gated ZrNCl and MoS2, we found that these 2D superconducting systems commonly show the wide range of a quantum phase stemming from the very low magnetic field to a QCP beyond Bc2MF. Especially, the observed QPT is characterized by the diverging behavior of critical exponent toward a QCP known as quantum Griffiths singularity. This implies that the critical phenomenon below the QCP is described by the exponentially small but nonzero probability of large-ordered regions, so called rare regions. Such rare regions are interpreted as the superconducting puddles surviving in the normal state background with a long time and length scale at T → 0 K15, which evolves from the short-range-ordered vortex state accompanied by the quantum vortex creep at low magnetic fields below Bc2MF. The present observation strongly indicates that quantum fluctuation governs the wide quantum metallic state and its crossover to the quantum Griffiths state consisting of superconducting puddles, leading to a generic feature of highly crystalline 2D superconductors.
Results
Superconductivity and quantum metal in ion-gated ZrNCl and MoS2
ZrNCl and MoS2 are originally band insulators with honeycomb-layered crystal structures (Fig. 1a), both of which exhibit superconductivity by alkali–metal intercalation or field-effect doping3. We prepared electric-double-layer transistors (EDLTs) with those single crystal flakes (see “Methods” for details), in which almost all the carriers are accumulated in the topmost layer with 1–2 nm at high gate voltages, resulting in truly 2D superconductivity at low temperatures4,16.
Fig. 1.
Gate-induced superconductivity in ZrNCl and MoS2 single crystals. a Top view of the crystal structures of MoS2 and ZrNCl. b Sheet resistance of a ZrNCl-EDLT as a function of temperature at VG = 6.0 V, for perpendicular magnetic fields varying in 0.1 T steps from 0 to 0.3 T, in 0.2 T steps from 0.5 to 0.9 T, in 0.3 T steps from 1.2 to 1.8 T, in 0.5 T steps from 2.0 to 5.0 T, and in 1.0 T steps from 6.0 to 9.0 T. c Ullah–Dorsey (UD) scaling of fluctuation conductivity using the data of Fig. 1b from 0.1 to 1.8 T according to Eq. (1). d, e Superconducting onset and mean field upper critical field of the ZrNCl- (d) and MoS2-EDLT (e). Pink circles show the mean field upper critical field Bc2MF derived from the UD scaling19. Dashed curve shows the fitting by the Wertharmer–Helfand–Hohenberg (WHH) theory21. Orange squares show the crossing points Bc of R–B curves in Fig. 2b, d at neighboring temperatures. Green diamonds show the superconducting onset Tonset. Error bars of green diamonds represent the ambiguity of Tonset defined by dRsheet/dT = 0 due to the experimental resolution (see Supplementary Fig. 1)
Figure 1b displays temperature-dependent sheet resistance Rsheet(T) at VG = 6.0 V (sheet carrier density n2D is 4.8 × 1014 cm−2 at 30 K) for zero and finite magnetic fields B applied perpendicular to the surface of ion-gated ZrNCl. In zero magnetic field, the ZrNCl-EDLT exhibits superconductivity with a critical temperature Tc of 14.6 K. Here, Tc is defined as the temperature where the sheet resistance becomes a half of the normal state value, and is almost equal to the mean field transition temperature Tc0 estimated by thermal fluctuation theories4. By applying B, the resistive transitions are considerably broadened because of the thermal phase fluctuation, and then level off at low temperatures due to the quantum phase fluctuation, indicating the quantum metallic state. This quantum metallic state, which appears once the magnetic field is switched on, possibly originates from weak pinning potentials and large fluctuations reflecting the two-dimensionality4. Such a stable quantum metallic state does not appear in atomically ordered 2D superconductors grown by molecular-beam-epitaxy12,17,18, possibly because of the atomic steps of substrate working as strong pinning centers. In the exfoliated 2D superconductors like ZrNCl, MoS2, and NbSe2, such atomic steps are basically absent4,5,16.
Estimation of mean field upper critical field Bc2MF
For establishing a global phase diagram of 2D superconductors, the estimation of both mean field upper critical field Bc2MF(T) and superconducting onset are crucial. For this purpose, we adopted the Ullah–Dorsey (UD) scaling theory19 (see Supplementary Note 1 for details) to calculate Bc2MF(T), where the excess conductance due to the thermal superconducting fluctuation, Gfl ≡ 1/Rsheet(T) – 1/RN(T), in finite B is described with the Hatree approximation as follows:
| 1 |
Here, RN(T) is the sheet resistance in the normal state, s = 1 in the case of a 2D system20 and TcMF(B) the mean field transition temperature in a magnetic field, corresponds to the temperature on the Bc2MF(T) curve. As shown in Fig. 1c, by using Rsheet(T) at B = 9.0 T as RN(T) and TcMF(B) as fitting parameters, Gfl(T) curves in the ZrNCl-EDLT at T > TcMF(B) and B = 0.1–1.8 T collapse onto a single curve with the slope of −1 in log–log plots, obeying the UD scaling law of Eq. (1). Then, we plotted TcMF(B) or Bc2MF(T) as shown in Fig. 1d together with the superconducting onset temperature and field, Tonset and Bc, which are defined later. The TcMF(B) at 0.1 T is close to the temperature for 50% of the normal state resistance. With increasing B, Rsheet(TcMF)/RN increases and goes over 90% around TcMF(B) ∼ Tc0/2. At lower temperatures below Tc0/2, where the UD scaling theory does not holds19, we simply defined TcMF(B) as the temperature for 95% of the normal resistance. TcMF(B) or Bc2MF(T) thus obtained obeys the Wertharmer–Helfand–Hohenberg (WHH) theory21 as shown in the dashed curve in Fig. 1d. By using the similar process as the ZrNCl-EDLT, we determined TcMF(B) or Bc2MF(T) curve of the MoS2-EDLT (VG = 5.0 V and n2D = 1.3 × 1014 cm−2) as shown in Fig. 1e.
Crossover from quantum metal to quantum Griffiths state
After knowing the mean field curve, we next investigate the superconducting onset. Figure 2a–d show the magnetoresistance at various temperatures in ZrNCl and MoS2. In both cases, the isotherms show multiple crossing points, indicating that each R–B curve cross at different points. The cross points of R–B curves at neighboring temperatures, which are defined as Bc(T), are plotted in Fig. 1d, e as orange squares. In these figures, we also plot the onset temperature Tonset of resistance drop in a magnetic field, defined by the temperature where dRsheet/dT = 0 (see Supplementary Note 2 for details). Interestingly, Tonset traces almost the same curve as that of Bc(T). Because both Tonset(B) or Bc(T) curve is above the mean field curve, it is interpreted as the onset temperature (or magnetic field) of superconducting fluctuation. Both Fig. 1d, e represent the large fluctuation region outside the mean field curve, reflecting that the systems are at the 2D limit. More importantly, the interval between Bc(T) and Bc2MF(T) increases with decreasing T in ZrNCl or almost unchanged in MoS2, respectively. This behavior cannot be explained by the effect of thermal fluctuation, which results in the decrease of the interval, and signifies the occurrence of the quantum fluctuation at low temperature and high magnetic fields.
Fig. 2.
Magnetoresistance and multiple critical points in a ZrNCl- and a MoS2-EDLT. a, c Sheet resistance as a function of out-of-plane magnetic field at different temperatures in the ZrNCl-EDLT and the MoS2-EDLT. The measurement temperatures for the ZrNCl-EDLT range from 2 to 20 K (2, 2.3, 2.5, 2.7, 3, 3.3, 3.7 K, in 0.5 K steps from 4 to 13 K, in 1.0 K steps from 14 to 18 K, and 20 K). The measurement temperatures for the MoS2-EDLT range from 2 K to 15 K (in 0.1 K steps from 2 to 4 K, in 0.2 K steps from 4.2 to 5.4 K, 6, 6.3, 6.7, 7, 7.3, 7.5, 8, 8.3, 8.7, 9.1, 10, and 15 K). b, d A close-up view of around multiple crossing points of R–B curves for the ZrNCl-EDLT (b) and MoS2-EDLT (d)
The multi-crossing behavior at low temperatures in Fig. 2a–d shows marked contrast to the single crossing point observed in amorphous metallic films, e.g., MoGe22 and Ta films23, suggesting that the present system is not classified into the conventional universality class, which exhibits a direct superconductor–insulator transition with a single crossing point. A possible scenario for the quantum fluctuation above Bc2MF(T) is the quantum Griffiths singularity, which was first theoretically proposed to understand the divergence of the dynamical exponent in QPTs in various lattice models with randomness24,25. The existence of the quantum Griffiths singularity has been experimentally applied first to magnetic metal systems26–28 and recently to 2D superconductors11–13 (see Supplementary Note 3 for details).
We have tested the scenario of the quantum Griffiths singularity by introducing the FSS law for magnetoresistance expressed as,
| 2 |
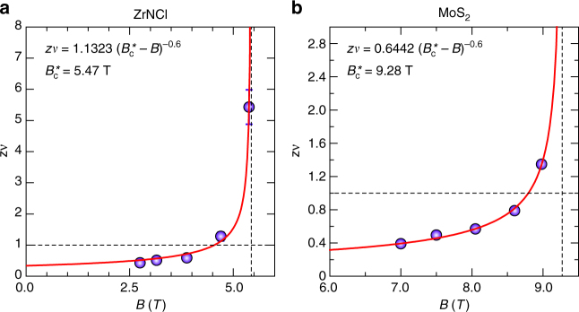
in various temperature regimes around the crossing points (see Supplementary Note 4 for details). Here, Rc and Bc are the asymptotic critical sheet resistance and the critical magnetic field defined as the values at the crossing points, f (x) the scaling function with f (0) = 1, z and v the dynamical and static critical exponent, respectively. To examine the evolution of the effective critical exponents zv with the decrease (or increase) in T (or B), five representative crossing points were selected both for ZrNCl and MoS2, respectively, and then the FSS analysis at various temperature regimes were performed. During the scaling, we derived zv by assuming that the functional forms of f(x) both for x > 0 and x < 0 unchanged (see Supplementary Note 4). As shown in Fig. 3a, b, zv is not constant but varies as a function of magnetic field in both systems: in the low magnetic field (high temperature) regime, zv is around 0.5, while it increases with increasing (decreasing) magnetic field (temperature), exceeding 1 (Fig. 3a, b). Finally, it seems to diverge toward a certain critical field following the relation of zv ∼ (B − Bc*)−0.6, which is the evidence of quantum Griffiths singularity at characteristic critical magnetic field Bc*. This diverging behavior of the critical exponent with multiple crossing points is in stark contrast to that in the conventional dirty metallic films, which shows temperature-independent constant critical exponents with a single critical field2. Such a divergent critical exponent consistent with the Griffiths singularity indicates that rare-ordered regions exist even above Bc2MF with a rather long time-scale and finite length scale due to the quantum fluctuation. Such rare regions are interpreted as superconducting puddles in this particular case.
Fig. 3.
Divergent behavior of critical exponent in ion-gated ZrNCl and MoS2. a, b Critical exponent zv as a function of magnetic field B for ZrNCl- (a) and MoS2-EDLT (b). The zv values in each temperature regime is calculated by the finite-size scaling (FSS) analysis (see Supplementary Note 4). Error bars represent the width of zv value with which the FSS scaling behavior is established in the whole range of B for the data of Supplementary Figure 2. With increasing magnetic field and decreasing temperature, the value of zv increases and finally shows divergent behavior with no signature of saturation. The red curve shows a fitting based on the activated scaling law, . Two black dashed lines in each graph represent the constant values with and zv = 1 for a, and and zv = 1 for b
Discussion
Based on the experimental data of the ZrNCl-EDLT, we provide schematic images of quantum Griffiths state (Fig. 4a) and quantum metal (Fig. 4b), and propose a comprehensive phase diagram of highly crystalline 2D superconductors (Fig. 4c), which is characterized by two crossover curves, Bc(T) (orange squares) and Tcross(B) (blue triangles), and a mean field curve (black solid curve). The former corresponds to the onset of superconducting fluctuation terminating at the QCP characterized by the quantum Griffiths singularity at B = Bc* and T = 0 K. The latter Tcross(B) represents the crossover boundary between the thermal and quantum vortex creep region derived from the Arrhenius plot analysis of Rsheet(T) data in Fig. 1b (see Supplementary Note 5 for details). Because Bc(T) is extrapolated to the onset temperature Tonset of the Aslamazov–Larkin-type fluctuation29 at B = 0, the region above TcMF(B) at low magnetic fields is dominated by thermal fluctuation of the order parameter amplitude. This state crossovers to the thermal creep (thermal phase fluctuation) below TcMF(B) and then to the quantum creep (quantum phase fluctuation) region below Tcross(B) with decreasing temperature. At high magnetic fields, on the other hand, thermal fluctuation region shrinks because of the decrease of TcMF(B). However, with further decreasing temperature, Bc(T) shows an upturn, which is a signature of the emergence of quantum fluctuation. The Tcross(B) curve seems smoothly connected to the upturn of Bc(T) at low temperatures. This feature suggests that the quantum fluctuations in highly crystalline 2D superconductors govern the evolution of the ground state, stemming from the quantum metallic state at a very low magnetic field (Fig. 4a) to the quantum Griffiths state (Fig. 4b), followed by the QPT above Bc2MF(0) with the quantum Griffiths singularity (see Supplementary Note 6 for details). Such upturn behavior as observed in the ZrNCl-EDLT was not observed in the MoS2-EDLT. The absence of upturn behavior is possibly because of lower Tc and thus narrower measurement range in the MoS2-EDLT compared with the that in the ZrNCl-EDLT as discussed in the case of LaAlO3/SrTiO313. Nevertheless, the signature of divergent behavior of zv observed in the MoS2-EDLT suggests the existence of the quantum Griffiths state.
Fig. 4.
B–T phase diagram of highly crystalline 2D superconductors. a Schematic image of quantum Griffiths state. Blue and yellow regions represent normal and quantum metallic state (rare regions), respectively. b Schematic image of quantum metallic state. In this state, vortices (blue circles) show creep motion in the superconducting region (yellow region). The quantum metallic phase in Fig. 4a is the same as that in Fig. 4b. c The plotted data based on Supplementary Figure 5a. Tc0 is the transition temperature determined by the thermal fluctuation theories (Aslamazov–Larkin and Maki–Thompson model), and true superconducting state (zero-resistance state) is realized below the Berezinskii–Kosterlitz–Thouless (BKT) transition temperature (TBKT)4. Blue triangles show the crossover temperature Tcross between the thermal creep regime and the quantum creep regime (see Supplementary Figure 4). Orange squares, green diamonds, and pink circles show the crossing points Bc of R–B curves in Fig. 2b, d at neighboring temperatures, the superconducting onset Tonset (see Supplementary Figure 1), and the mean field upper critical field Bc2MF derived from the Ullah–Dorsey (UD) scaling19, respectively. Error bars of green diamonds represent the ambiguity of Tonset defined by dRsheet/dT = 0 due to the experimental resolution (see Supplementary Figure 1). Under a relatively low magnetic field, the finite resistance state occurs due to the thermal creep (pink region) and quantum creep (blue region) in the relatively high and low temperature region, respectively. BSM is the hypothetical transition magnetic field from the zero-resistance state to the quantum metal32 (vortex liquid). The system eventually exhibits the quantum Griffiths state (orange region) up to the characteristic critical magnetic field Bc*. The black solid and dashed curves show the Bc2MF(T) based on the Wertharmer–Helfand–Hohenberg (WHH) model and, crossover curve between thermal fluctuation region and quantum fluctuation region, respectively
It is noted that the quantum Griffiths state, which shows activated critical behavior with divergent exponent, is different from the phase separation or originally spatial inhomogeneity of the superconducting state as is discussed in LaTiO3/SrTiO3, which shows multiple critical exponents30,31. In the early works on amorphous 2D superconductors, the quantum Griffiths singularity was not observed even at ultralow temperatures23. One possible reason for the absence of quantum Griffiths singularity, in addition to the measurement temperature range11, is the large amount of homogeneously distributed quenched disorder, in the conventional 2D superconductors2, which give a rather homogeneous effect. On the other hand, in highly crystalline 2D systems, the ordered regions and weakly disordered regions can coexist, which causes rare regions under sufficiently large magnetic fields, and thus leads to quantum Griffiths singularity. Therefore, the quantum Griffiths state is a signature of high crystallinity of the system. In the recent study of mechanically exfoliated 2D NbSe25, neither the single crossing nor the multiple crossing behavior has been observed, leading to the absence of the quantum Griffiths state. This is possibly due to the further reduction of the quenched disorder in 2D single crystalline NbSe2. In this case, the localization effect at low temperatures might be too small to observe the quantum Griffiths state.
In conclusion, we established the comprehensive quantum phase diagram including superconducting fluctuation regime in ion-gated 2D crystalline superconductors. This class of superconductors commonly exhibit the wide range of quantum metallic state and quantum Griffiths state as a ground state, which transfers into the weakly localized normal metal through a QPT showing the quantum Griffiths singularity. Furthermore, our results indicate that the coexistence of the puddle-like superconducting regions and the dissipation region, occurring owing to the combined effect of the strong quantum fluctuation and extremely weak pinning or disorder, is universal nature above Bc2MF in the low temperatures in highly crystalline 2D superconductors.
Methods
Device fabrication
Bulk ZrNCl and 2H-polytype MoS2 single crystals were mechanically exfoliated into thin flakes with dozens of nanometers in thickness using the Scotch-tape method, and then, the flakes were transferred onto a SiO2/Si substrate. Au (90 nm)/Cr (5 nm) electrodes were patterned onto an isolated thin flake in a Hall bar configuration, and a side gate electrode was patterned onto the substrate. A droplet of ionic liquid covered both the channel area and the gate electrode. Ionic liquid N,N-diethyl-N-(2-methoxyethyl)-N-methylammonium bis (trifluoromethylsulphonyl) imide (DEME-TFSI) was selected as a gate medium. The sheet carrier densities n2D induced electrostatically for the ZrNCl-EDLT at VG = 6.0 and the MoS2-EDLT at VG = 5.0 V, which were determined by the Hall effect measurements at 30 and 15 K, were 4.8 × 1014 cm−2 and 1.3 × 1014 cm−2, respectively.
Transport measurements
The temperature-dependent resistance under magnetic fields was measured with a standard four-probe geometry in a quantum design physical property measurement system (PPMS) combined with two kinds of AC lock-in amplifiers (Stanford Research Systems Model SR830 DSP and Signal Recovery Model 5210). The gate voltage was supplied by a Keithley 2400 source meter at 230 K, which is just above the glass transition temperature of DEME-TFSI, under high vacuum (less than 10−4 Torr).
Data availability
The data that support the findings of this study are available from the corresponding author on reasonable request.
Electronic supplementary material
Acknowledgements
We thank K. Kanoda, S. Okuma, S. Kaneko, and K. Ienaga for fruitful discussions. Y.S. was supported by the Japan Society for the Promotion of Science (JSPS) through a research fellowship for young scientists (Grant-in-Aid for JSPS Research Fellow, JSPS KAKENHI Grant Number JP15J07681). This work was supported by Grant-in-Aid for Specially Promoted Research (JSPS KAKENHI Grant Number JP25000003) from JSPS and for Scientific Research on Innovative Areas (JSPS KAKENHI Grant Number JP15H05884) from JSPS.
Author contributions
All authors discussed the results and wrote the manuscript. Y.S. conceived the idea, designed the experiments, conducted the transport measurements, and analyzed the data.
Competing interests
The authors declare no competing interests.
Footnotes
Electronic supplementary material
Supplementary Information accompanies this paper at 10.1038/s41467-018-03275-z.
Publisher's note: Springer Nature remains neutral with regard to jurisdictional claims in published maps and institutional affiliations.
References
- 1.Fisher MPA. Quantum phase transitions in disordered two-dimensional superconductors. Phys. Rev. Lett. 1990;65:923–927. doi: 10.1103/PhysRevLett.65.923. [DOI] [PubMed] [Google Scholar]
- 2.Goldman AM. Superconductor-insulator transitions. Int. J. Mod. Phys. B. 2010;24:4081–4101. doi: 10.1142/S0217979210056451. [DOI] [Google Scholar]
- 3.Saito Y, Nojima T, Iwasa Y. Highly crystalline 2D superconductors. Nat. Rev. Mater. 2016;2:16094. doi: 10.1038/natrevmats.2016.94. [DOI] [Google Scholar]
- 4.Saito Y, Kasahara Y, Ye J, Iwasa Y, Nojima T. Metallic ground state in an ion-gated two-dimensional superconductor. Science. 2015;350:409–413. doi: 10.1126/science.1259440. [DOI] [PubMed] [Google Scholar]
- 5.Tsen AW, et al. Nature of the quantum metal in a two-dimensional crystalline superconductor. Nat. Phys. 2016;12:208–212. doi: 10.1038/nphys3579. [DOI] [Google Scholar]
- 6.Reyren N, et al. Superconducting interfaces between insulating oxides. Science. 2007;317:1196–1199. doi: 10.1126/science.1146006. [DOI] [PubMed] [Google Scholar]
- 7.Gozar A, et al. High-temperature interface superconductivity between metallic and insulating copper oxides. Nature. 2008;455:782–785. doi: 10.1038/nature07293. [DOI] [PubMed] [Google Scholar]
- 8.Cao Y, et al. Quality heterostructures from two-dimensional crystals unstable in air by their assembly in inert atmosphere. Nano Lett. 2015;15:4914–4921. doi: 10.1021/acs.nanolett.5b00648. [DOI] [PubMed] [Google Scholar]
- 9.Xi X, et al. Strongly enhanced charge-density-wave order in monolayer NbSe2. Nat. Nanotechnol. 2015;10:765–769. doi: 10.1038/nnano.2015.143. [DOI] [PubMed] [Google Scholar]
- 10.Ye JT, et al. Superconducting dome in a gate-tuned band insulator. Science. 2012;338:1193–1196. doi: 10.1126/science.1228006. [DOI] [PubMed] [Google Scholar]
- 11.Xing Y, et al. Quantum Griffiths singularity of superconductor-metal transition in Ga thin films. Science. 2015;350:542–545. doi: 10.1126/science.aaa7154. [DOI] [PubMed] [Google Scholar]
- 12.Xing Y, et al. Ising superconductivity and quantum phase transition in macro-size monolayer NbSe2. Nano Lett. 2017;17:6802–6807. doi: 10.1021/acs.nanolett.7b03026. [DOI] [PubMed] [Google Scholar]
- 13.Shen S, et al. Observation of quantum Griffiths singularity and ferromagnetism at the superconducting LaAlO3/SrTiO3 interface. Phys. Rev. B. 2016;94:144517. doi: 10.1103/PhysRevB.94.144517. [DOI] [Google Scholar]
- 14.Griffiths RB. Non magnetic behavior above the critical point in a rondom Ising ferromagnet. Phys. Rev. Lett. 1969;23:17–19. doi: 10.1103/PhysRevLett.23.17. [DOI] [Google Scholar]
- 15.Spivak B, Oreto P, Kivelson SA. Theory of quantum metal to superconductor transitions in highly conducting systems. Phys. Rev. B. 2008;77:214523. doi: 10.1103/PhysRevB.77.214523. [DOI] [Google Scholar]
- 16.Saito Y, et al. Superconductivity protected by spin–valley locking in ion-gated MoS2. Nat. Phys. 2016;12:144–149. doi: 10.1038/nphys3580. [DOI] [Google Scholar]
- 17.Yamada M, Hirahara T, Hasegawa S. Magnetoresistance measurements of a superconducting surface state of In-induced and Pb-induced structures on Si(111) Phys. Rev. Lett. 2013;110:237001. doi: 10.1103/PhysRevLett.110.237001. [DOI] [PubMed] [Google Scholar]
- 18.Matetskiy AV, et al. Two-dimensional superconductor with a giant Rashba effect: one-atom-layer Tl-Pb compound on Si(111) Phys. Rev. Lett. 2015;115:147003. doi: 10.1103/PhysRevLett.115.147003. [DOI] [PubMed] [Google Scholar]
- 19.Ullah S, Dorsey AT. Critical fluctuations in high-temperature superconductors and the Ettingshausen effect. Phys. Rev. Lett. 1990;65:2066–2069. doi: 10.1103/PhysRevLett.65.2066. [DOI] [PubMed] [Google Scholar]
- 20.Theunissen MH, Kes PH. Resistive transitions of thin film superconductors in a magnetic field. Phys. Rev. B. 1997;55:15183–15190. doi: 10.1103/PhysRevB.55.15183. [DOI] [Google Scholar]
- 21.Werthamer NR, Helfand E, Hohenberg PC. Temperature and purity dependence of the superconducting critical field, Hc2. III. Electron spin and spin-orbit effects. Phys. Rev. 1966;147:295–302. doi: 10.1103/PhysRev.147.295. [DOI] [Google Scholar]
- 22.Yazdani A, Kapitulnik A. Superconducting-insulating transition in two-dimensional α-MoGe thin films. Phys. Rev. Lett. 1995;74:3037–3040. doi: 10.1103/PhysRevLett.74.3037. [DOI] [PubMed] [Google Scholar]
- 23.Qin Y, Vicente CL, Yoon J. Magnetically induced metallic phase in superconducting tantalum films. Phys. Rev. B. 2006;73:100505. doi: 10.1103/PhysRevB.73.100505. [DOI] [Google Scholar]
- 24.Vojta T, Schmalian J. Quantum Griffiths effects in itinerant Heisenberg magnets. Phys. Rev. B. 2005;72:45438. doi: 10.1103/PhysRevB.72.045438. [DOI] [Google Scholar]
- 25.Vojta T, Sknepnek R. Critical points and quenched disorder: from Harris criterion to rare regions and smearing. Phys. Status Solidi B. 2004;241:2118–2127. doi: 10.1002/pssb.200404798. [DOI] [Google Scholar]
- 26.Neto AHC, Castilla G, Jones BA. Non-Fermi liquid behavior and Griffiths phase in f-electron compounds. Phys. Rev. Lett. 1998;81:3531–3534. doi: 10.1103/PhysRevLett.81.3531. [DOI] [Google Scholar]
- 27.de Andrade MC, et al. Evidence for a common physical description of non-Fermi-liquid behavior in f-electron systems. Phys. Rev. Lett. 1998;81:5620–5623. doi: 10.1103/PhysRevLett.81.5620. [DOI] [Google Scholar]
- 28.Ubaid-Kassis S, Vojta T, Schroeder A. Quantum Griffiths phase in the weak itinerant ferromagnetic alloy N1-xVx. Phys. Rev. Lett. 2010;104:66402. doi: 10.1103/PhysRevLett.104.066402. [DOI] [PubMed] [Google Scholar]
- 29.Aslamasov LG, Larkin AI. The influence of fluctuation pairing of electrons on the conductivity of normal metal. Phys. Lett. A. 1968;26:238–239. doi: 10.1016/0375-9601(68)90623-3. [DOI] [Google Scholar]
- 30.Biscaras J, et al. Multiple quantum criticality in a two-dimensional superconductor. Nat. Mater. 2013;12:542–548. doi: 10.1038/nmat3624. [DOI] [PubMed] [Google Scholar]
- 31.Scopigno N, et al. Phase separation from electron confinement at oxide interfaces. Phys. Rev. Lett. 2016;116:26804. doi: 10.1103/PhysRevLett.116.026804. [DOI] [PubMed] [Google Scholar]
- 32.Mason N, Kapitulnik A. True superconductivity in a two-dimensional superconducting-insulating system. Phys. Rev. B. 2001;64:60504. doi: 10.1103/PhysRevB.64.060504. [DOI] [Google Scholar]
Associated Data
This section collects any data citations, data availability statements, or supplementary materials included in this article.
Supplementary Materials
Data Availability Statement
The data that support the findings of this study are available from the corresponding author on reasonable request.




