Abstract
In bivalves, the mantle tissue secretes organic matrix and inorganic ions into the extrapallial space (EPS) to form the shells. In addition, more and more evidences indicate the participation of hemocytes in shell mineralization, but no direct evidence has been reported that verifies the presence of hemocytes in the EPS, and their exact roles in biomineralization remain uncertain. Here, we identified hemocytes from the EPS of Pinctada fucata. Numerous components involved in cellular and humoral immunity were identified by proteome analysis, together with several proteins involved in calcium metabolism. The hemocytes exerted active phagocytosis and significantly upregulated the expression of immune genes after immune stimulation. A group of granulocytes were found to contain numerous calcium-rich vesicles and crystals, which serve as a calcium pool. During shell regeneration, some genes involved in calcium metabolism are upregulated. Strikingly, most of the shell matrix proteins were absent in the hemocytes, suggesting that they might not be solely responsible for directing the growth of the shell. Taken together, our results provided comprehensive information about the function of hemocytes in immunity and shell formation.
Introduction
Bivalves are among the most successful invertebrates living in a broad range of aquatic habitats. This is partially due to their thin but rigid shell, which is the first line of defense against pathogens in an ambient environment and an efficient protection from predators. Bivalve shells are mainly composed of calcium carbonate (>95%) and a framework of organic matrix (<5%). Low in content, the organic matrix reinforces the shell 3000 times over the monolithic CaCO31. The formation of the shell is rather complex and precisely controlled2,3. According to the classical theory, mantle tissue plays a central role in shell formation. It is believed that the shell is precipitated in the extrapallial space (EPS), an external cavity enclosed by the mature shell and the mantle tissue. The cells lining the outer surface of the mantle tissue secrete organic materials such as shell matrix proteins (SMP) and inorganic ions into the EPS, thus forming the extrapallial fluid (EPF). The EPF can provide a suitable and elaborately controlled microenvironment for SMP to self-assemble into a framework, which subsequently promotes precipitation of the calcium carbonate. In the past decades, numerous SMPs were identified and shown to function in polymorph selection, orientation, nucleation and the growth of crystals4.
In addition to the widely recognized mantle-mediated calcification theory, biomineralization mediated by hemocytes was recently noted. Mount AS, et al.5 proposed that in the eastern oyster, a special type of refractive hemocyte could mediate the calcification process and respond to shell damage. These hemocytes seemed to fill the vacancy of the large non-exchangeable calcium pool left by mantle tissue. Furthermore, hemocytes containing Ca-positive granular contents and CaCO3 crystals participate in shell regeneration in oysters6 and mussels7, indicating that hemocytes may play a role in shell formation. Hemocytes in some oysters seemed to contribute to part of the SMP secretion8, leading to further studies on the exact role that hemocytes play during shell formation. Unfortunately, in the literature, bivalve hemocytes were empirically postulated to be present in the EPS, where biomineralization takes place, leaving the verification and origin of hemocytes in this external cavity overlooked. Although hemocytes in many mollusks can precipitate crystals in the cytoplasm9,10, the definite function related to biomineralization and the mechanism of these phenomena are not well understood. Additionally, it is well known that hemocytes are the main immune effector in mollusks and may be involved in many other physiological events, such as nutrient transportation, detoxification and wound healing5,11. How hemocytes fulfil their roles in biomineralization in addition to these arduous tasks should be analyzed.
In the past decades, shell formation in the pearl oyster P inctada fucata has been studied extensively, not only because it is the most important species for seawater-cultured pearls, but also for the potential template in bioinspired ceramics. The published draft genome and transcriptome data of P. fucata facilitates in-depth studies on the genetic and molecular regulation of the biomineralization process12,13. In previous studies, our group successfully identified hemocytes from P. fucata and showed their potential roles in shell regeneration6. To further analyse their physiological features during shell formation, we studied the hemocytes in the EPS of P. fucata. We demonstrated that these hemocytes in the EPS originate from the circulation system, and their comprehensive functions in immunity and biomineralization were investigated on multiple levels.
Results
Morphology of hemocytes in the EPS
To verify that the cells in the EPS were hemocytes, we first examined their characteristics and morphology. As shown in Fig. 1a and b, the morphologies of cells from the EPS and adductor muscle sinuses were identical, reminiscent of the hemocytes in P. fucata reported by Shiguo Li et al.14. Hyalinocytes and granulocytes were prominent in the extracted EPF, together with the blast-like cells. For the hyalinocytes, the cytoplasm was transparent with several pseudopodia-like synapses formed at the marginal region, while the nucleus was clear. Granulocytes could be identified by the pink eosin cytoplasm, and the granules in the cytoplasm refracted light (Fig. 1c).When exposed in vitro, these hemocytes in the EPS tended to agglutinate and adhere to the bottom, consistent with those reported in other bivalves15.
Figure 1.
Comparison of hemocytes from EPS and adductor muscle in P. fucata. a and b, H&E stain of the different hemocyte cell types from EPS (a) and adductor muscle (b). (c) Cell clumps (red star) formed by both granulocytes and hyalinocytes from EPS, DIC image. In a, b and c, black arrows represent hyalinocytes, blue arrows represent granulocytes, and the black arrow heads represent blast-like cells. Bar = 20 µm.
Fluorescent tracking of hemocytes in the EPS
The origin of the hemocytes in the EPS was tracked by labelled cells. When injected into the adductor muscles sinuses, the labelled cells were detected in the EPS after 24 h (Table 1). Hemolymph extracted from adductor muscles also contained labeled cells as expected. Meanwhile, labelled cells were detected in all of the tested sites when the EPS was injected with labelled cells, though the detected labelled cells varied in numbers.
Table 1.
Tracking hemocytes between the EPS and the circulation system.
| Labelled cells | Percent | |
|---|---|---|
| EPS | AMS | |
| EPS injection | 3.41 | 2.46 |
| AMS injection | 4.75 | 5.68 |
Cell samples were extracted and examined from the EPS and adductor muscle sinuses. The percentages of labelled hemocytes in the overall cell numbers were calculated. The results represent four duplicates.
Proteomic analysis
When SDS-PAGE was performed, the protein bands were similar between the hemocyte cellular proteins from the EPF and adductor muscle (Supplementary Figure 1). Using LC-MS/MS method, a large amount of cellular proteins was identified. First, two molecular markers for hemocytes in invertebrates, namely Filamin-C and copper/zinc superoxide dismutase (SOD), were identified. The former is one of the most abundant fragments in the proteome. Some proteins were identified and grouped into three categories, namely cellular immunity, humoral immunity and calcification (Table 2, Supplementary Tables 2–4). The conceptions of cellular and humoral immunity were employed based on well-acknowledged criteria16. In the cellular immunity category, the members were found to mediate phagocytosis and encapsulation, including hemocyte agglutination, migration, endocytosis and degradation. In the humoral immunity category, components involved in reactive oxygen species (ROS) production and metabolism were identified, together with several proteinases and antibacterial factors. In the third group, we identified proteins closely related to calcium metabolism, such as calcium-transporting ATPase, calponin-2, calponin-3, and calmodulin. Interestingly, ACCBP, mantle gene 11, mantle gene 4 and Pif were also present in the proteome, though the scores were relatively low compared to other cellular components.
Table 2.
Components with partially known functions in the proteome of hemocytes in the EPS.
| Description | Score | Function | Reference |
|---|---|---|---|
| Cellular immunity | |||
| Galectin | 1090.78 | Agglutination, pathogen recognition | 40,47 |
| Allograft inflammatory factor-1 | 374.42 | Inflammation, wound healing | 31,41,48 |
| Apoptosis-inducing factor 3 | 341.21 | Apoptosis | 49 |
| Humoral immunity | |||
| Copper/zinc superoxide dismutase (Fragment) | 324.38 | ROS removal, detoxification | 25,50 |
| Dual oxidase 2, partial | 199.07 | ROS generation | 37 |
| Metalloendopeptidase | 187.82 | Inflammatory response, proliferation | 51 |
| Peroxiredoxin | 157.23 | ROS removal | 25 |
| Alpha-2-macroglobulin | 31.04 | Blood clotting, protease inhibitor | 42 |
| Calcification-related | |||
| Calreticulin | 1170.37 | Calcium transport and storage | 52 |
| Calponin-3 (Fragment) | 621.53 | Calcium-binding, actin-binding | 13,53 |
| Calponin-2 (Fragment) | 228.80 | Calcium-binding, actin-binding | 13,53 |
| Calmodulin | 164.57 | Calcium metabolism regulator | 54 |
| Carbonic anhydrase-related protein VIII | 155.21 | Calcification, bone resorption | 18,55 |
| Mantle protein 11 | 49.94 | Unclear | 43 |
Phagocytosis of yeast
Phagocytosis by hemocytes is a principal way to clear pathogens in mollusks. As shown in Fig. 2a–c, many hemocytes with at least one yeast cell inside the cytoplasm were observed when the EPS was filled with injected yeasts. While granulocytes were the main cell type undergoing phagocytosis, hyalinocytes were seldom found to contain any labelled yeasts in the cytoplasm. The hemocytes underwent efficient phagocytosis and clear most of the yeast in 24 hours (Fig. 2d).
Figure 2.
Phagocytosis of yeast by hemocytes in EPS. (a) Bright field; (b) YFP channel (542 nm); (c) merged picture of a and b. Some yeast cells with YFP signal were present inside the hemocytes (white arrows). (d) Time series of the residual yeast in the EPS. The data represent an average of 3–5 replicates.
Crystal-bearing granulocytes in the EPS
A special type of granulocyte was found to contain crystals in the EPS. Inside the cytoplasm there were many vesicles containing high concentrations of calcium, compared to the hyalinocytes nearby (Fig. 3a). Interestingly, several birefringent particles were visible in these granulocytes. The peaks of DiI and polar light signals co-localized in the same granulocyte (Fig. 3b). Another feature of the granulocytes was rapid mobility. In Fig. 3c and d, two granulocytes migrated at a high speed in between the hyalinocytes, one of which was accompanied by a four-leaf clover spot during the migration. These granulocytes could migrate at a speed of 7.54 µm/min on average, while the hyalinocytes barely moved (Fig. 3e).
Figure 3.
Crystal-bearing granulocytes in the EPS of P. fucata. (a) Micrograph of the transparent hyalinocytes and the crystal-bearing granulocytes in different channels, 488 nm for calcein-AM, 542 nm for DiI and polar light for the crystal. The signal intensity distribution across the four-leaf clover spot was shown on the bottom. (b) Merged micrograph of 542 nm and polar light channels. (c and d) Timing diagrams of two migrating granulocytes (G1 and G2). Inset in c and d, magnification of G2 granulocyte, showing the birefringent particle in the granulocyte (white arrow head). c corresponds to 00: 56 min, and d corresponds to 00:58 min in the DeltaVision raw data. Scale bar = 10 µm. (e) Migrating speed of hyalinocytes and granulocytes in the EPS. The results represent the average of six replicates.
Gene expression after LPS and notching stimulation
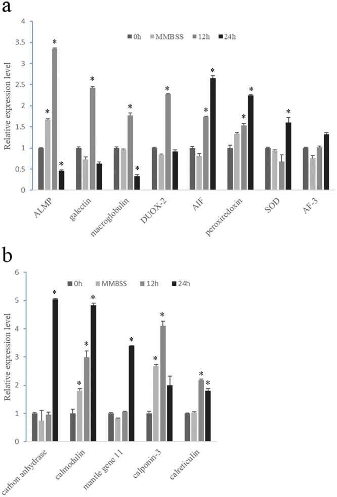
Eight genes related to cellular immunity and humoral immunity, and six genes related to calcification were tested during LPS and notching stimulation. Most of the tested immune genes responded to LPS injection (Fig. 4a). ALMP, galectin, and DUOX-2 were upregulated at 12 h and declined substantially. AIF, peroxiredoxin and SOD were significantly upregulated after 24 h, showing a lagging response pattern, while apoptosis-induced factor 3 showed no response. Alternatively, genes involved in calcification also responded but were in a different mode (Fig. 4b). Carbonic anhydrase-related protein VIII, calmodulin, and mantle gene 11 reached their highest expression level at 24 h, while calponin-3 and calreticulin displayed a faster response.
Figure 4.

Gene expression of hemocytes in the EPS after stimulation with LPS. Genes involved in immunity (a) and the calcification process (b) were determined by RT-PCR. ALMP, astacin-like metalloproteinase; DUOX-2, dual oxidase 2; AIF, Allograft inflammatory factor; SOD, superoxide dismutase; AF-3, apoptosis induced factor 3. (P < 0.05).
Generally, oysters begin shell regeneration in several hours17, and a newly formed prism could be seen as early as 96 h after shell notching in this study. As a result, upregulation of expression levels was detected for carbonic anhydrase-related protein VIII (62-fold), calponin-2 (17-fold) and calponin-3 (10-fold) within 48 h post notching and maintained high expression after 96 h (Fig. 5a). Calreticulin and mantle gene 11 showed relatively small fluctuations. Furthermore, some of the immune genes, including ALMP, AIF and macroglobulin, also showed significant upregulation (Fig. 5b).
Figure 5.

Gene expression of hemocytes in the EPS during shell regeneration. Genes involved in immunity (a) and the calcification process (b) were determined by RT-PCR. ALMP, astacin-like metalloproteinase; DUOX-2, dual oxidase 2; AIF, Allograft inflammatory factor. (P < 0.05).
Comparison of gene expression between mantle and hemocytes
To explore the ability of hemocytes to secrete SMP, we tested the expression of important SMP genes in the mantle and hemocytes, as well as some immune genes. As shown in Fig. 6 and Supplementary Table 5, most of the tested genes varied dramatically between the two samples. SMPs including KRMP3 and MSI31 from prism, and MSI60 from nacre, or nacrein and Pif80 from both shell layers were mainly expressed in the mantle, consistent with previous reports18–20. Meanwhile, SOD, mantle gene 11 and macroglobulin were enriched in hemocytes.
Figure 6.

Comparison of gene expression between hemocytes in the EPS and mantle. Eleven genes were selected, including seven genes participating in the calcification process and four participating in the immune response. The upper and lower panels indicate that the gene expression levels in the mantle were higher or lower than those in the hemocytes, respectively. M, mantle; H, hemocytes. KRMP-3, lysine-rich matrix protein 3; ACCBP, amorphous calcium carbonate binding protein; HSP70, heat shock protein 70; SOD, superoxide dismutase.
Discussion
In addition to their central roles in innate immunity, the idea that hemocytes participate in the biomineralization process has recently emerged. However, some fundamental questions remain. First, hemocytes must reach the biomineralization front, the external cavity EPS. In this study, we validated the perception that the free-living cells in the EPS were hemocytes, and the morphological features and cellular proteins were identical to those hemocytes preserved inside the body (Fig. 1, Supplementary File 1). This finding was further affirmed by two molecular makers (Filamin-C and SOD) for hemocytes in invertebrates21,22, which were detected by proteomic analysis and real-time PCR.
The origin of hemocytes in the EPS was traced by labelled cells. The hemocytes circulated between the EPS and vessels. How the hemocytes migrated out from the circulation system was unclear. In some bivalves, hemocytes were reported to penetrate tissues and epithelium layers and to wander in some regions of the body23,24. Li, Shiguo, et al.6 showed that there were some secretory cavities on the outer surface of the mantle, and some hemocyte-like cells could be seen nearby. It is likely that the hemocytes passed through the mantle epithelium layer and migrated into the EPS through the secretory cavities. Meanwhile, the hemocytes in the EPS could rejoin the circulation through the cavities. Moreover, the tissue-infiltrating feature would give hemocytes a broader action to kill invasive microbes.
Bivalves do not possess adaptive immunity, and the innate immunity has been extensively expanded for adaptation25. Nevertheless, concepts of cellular and humoral immunity are applied to depict the immune responses in mollusks, based on the requirement of intact hemocyte participants16. Many proteins were involved in cellular or humoral immunity in our proteome data. Among them, galectins, C-type and F-type lectins participate in non-self recognition26,27. A certain amount of microbes was present in the EPS (Supplementary Figure 2), indicating that pathogens would occasionally infiltrate the EPS from ambient sea-water. When pathogens were recognized, phagocytes are activated and recruited to clear the pathogens. Phagocytosis and encapsulation are the prominent defensive mechanisms of cellular immunity in mollusks. YFP-bearing yeasts, mimicking pathogens that invaded into the EPS, were eliminated by hemocytes as expected (Fig. 2). Although phagocytosis by hyalinocytes was reported28, our data showed that only the granulocytes but not the hyalinocytes exhibited phagocytic activity, consistent with previous studies29,30. Furthermore, numerous proteins involved in hemocyte migration and promoting phagocytosis were identified (Supplementary Table 2), including transgelin, integrin and allograft inflammatory factor31–33. Cathepsin family members and metalloendopeptidase degrade exogenous proteins of pathogens in the cytoplasm34. Some members of NF-kappa B, IFN and TNF signaling pathways were present, and these pathways are believed to regulate immune responses35.
ROS, corresponding to humoral immunity components, could form biocidal products with nitrous oxides, thus killing of microbes36. DUOX-2, responsible for ROS production37, was abundant in hemocytes and was upregulated significantly post LPS induction. By producing generous ROS, together with other antibacterial components (Supplementary Table 3), oysters can kill the invading microbes. When the pathogens were cleared, the excess ROS should be removed to avoid poisoning the oysters themselves. This was accomplished by both enzymatic antixidants, such as catalase and SOD25, and redox components, such as thioredoxin, peroxiredoxin, and GSH, which were all detected in hemocytes, suggesting that defense mechanisms against pathogens were conserved among marine bivalves.
The enriched nutrients (proteins and polysaccharides) in the EPF were favorable for the exogenous intruders like microbes to burst. Incontrollable rapid proliferation of bacteria in the EPS led to abnormal shell deposition or even death in clams and oysters38,39. Therefore, the hemocytes are crucial for maintaining homeostasis in the EPS by clearing the intruding pathogens by applying cellular and humoral immunity, thus ensuring the shell formation process. Moreover, the hemocytes in both the EPS and circulatory system showed fast responses to the LPS stimulation (Fig. 4a and Supplementary Figure 3), indicating a finely control of the homeostasis in the EPS by the oyster. Interestingly, some slightly differences have been observed. Said that, the hemocytes in the circulatory system are more sensitive to the injected marine molluscan balanced salt solution (MMBSS) which might cause fluctuation in the volume of body fluids. We don’t know if this phenomenon is relevant in bivalves.
Calcium supply is a vital constraint during CaCO3 precipitation, especially during shell regeneration. We speculated that the hemocytes provide a replenishing pathway for the calcium supply. In mussels7 and oysters6, crystal-carrying hemocytes were reported and presumed to participate in shell regeneration. Indeed, we found that some granulocytes in P. fucata carried vesicles containing concentrated calcium and crystals (Fig. 3). Although the exact composition of these crystals was unclear, it might be calcium carbonate according to our previous study6. Moreover, some genes involved in calcium metabolism were upregulated dramatically post notching and LPS stimuli (Figs 4b and 5a), and the response pattern was similar to PfN44, Nacrein and KRMP in mantle tissues during shell regeneration17. These results suggest that the hemocytes might assist the mantle tissue in shell regeneration by accelerating the calcium transportation when stressors were detected. Interestingly, the injurious notching operation also activated some immune genes, for example, galectin, AIF and macroglobulin, which play important roles in wound repair in mollusks40–42. The cooperative responses to LPS and notching stimulation of these genes related to immunity and calcium metabolism reveal that they may share some points in molecular regulation pathways.
The question remains: can the hemocytes mediate shell formation independent of mantle tissues? Because SMPs are indispensable in shell formation, hemocytes will not be competent for this job without secreting important SMPs. As a result, most SMPs were absent in hemocytes according to the proteome analysis. It should be noted that the calcification-related proteins found in hemocytes in the present and previous study6 are barely SMP in the oyster shells. Additionally, the expression levels of the tested SMPs in hemocytes were extremely low (Fig. 6). Although mantle gene 11 was first identified from mantle, it was found to be enriched in hemocytes in the present study. Because its exact role in biomineralization is not known, nor is it present in the shells43, we speculated that mantle gene 11 participates in biomineralization indirectly, rather than acts as an SMP. Three possibilities might lead to detection of a few SMPs in the proteome. First, the trace amount of SMP from the EPF was included in the hemocyte samples and detected by LC-MS/MS analysis due to its ultra-high sensitivity. Indeed, the discovered SMPs in hemocytes possessed relatively low scores and abundances (Supplementary Table 4). Second, the hemocytes might encapsulate a handful of SMP when phagocytosing microbes in the EPF. Third, some hemocytes (for example the crystal-bearing granulocytes) may express certain SMPs, but the gene expressions were masked by the whole hemocytes population. More studies are needed to elucidate this possibility. However, hemocytes in P. fucata could not be the main source of SMPs according to our results and previous studies17,44. Therefore we argued that, confined to provide calcium when necessary, hemocytes in oysters were unlikely to regulate the shell formation process solely, which was slightly different from a previous study5.
In conclusion, we found that the hemocytes in P. fucata play an auxiliary role to the mantle tissue in shell formation. This is accomplished by promoting calcium transportation, and more importantly, by maintaining the homeostasis in the EPS. Nevertheless, some granulocytes could produce intracellular CaCO3 crystals, the molecular basis of which may completely differ from what controls the extracellular shell deposition. Further studies are required to elucidate this interesting phenomenon.
Materials and Methods
Pearl oyster
Adult oysters of P. fucata were purchased from Guangdong Ocean University and kept in artificial sea water (ASW) upon arrival. The temperature was controlled at 20–25 °C, and the animals were fed every week with yeast and Chlamydomonas.
Morphology of hemocytes in the EPS
For EPF collection, the shell valves of oysters were opened using a shell opening device. The EPF underneath the mantle was withdrawn using a 5-ml syringe and placed on pyrogen-free glass slides. The slides were kept in a humidity chamber at 25 °C for 30 minutes so that the cells could attach to the bottom. After the incubation, the fluids were removed carefully by pipette and washed twice with marine molluscan balanced salt solution (MMBSS)45. Simultaneously, hemocytes from the adductor muscle were collected for comparison. The above-mentioned samples were fixed with 4% paraformaldehyde at 4 °C for 30 minutes and washed three times with MMBSS. Hematoxylin and eosin staining was performed according to the instruction manual (Beyotime Institute of Biotechnology, Haimen, China). Then, the cells were photographed using a Nikon microscope (Nikon Ti-U, Tokyo, Japan).
Tracking hemocytes in the EPS
Hemocytes extracted from the EPF were mixed with pre-cooled marine anticoagulant solution (MAS, 2.08% sucrose, 0.8% sodium citrate, 0.336% EDTA, 2.23% NaCl, pH 8.0) at a proportion of 1:1 immediately. The pellets were collected by centrifugation at a speed of 500 g for 5 min and resuspended in MAS. A green living-cell fluorescent dye carboxyfluorescein succinimidyl amino ester (CFSE, BD-Pharmingen), with a maximum excitation at 490 nm, was used to label the hemocytes. The collected cells were labelled with 5 µM CFSE (diluted in MAS) for 10 min and washed twice using MMBSS. The labelled cells were adjusted to 106/ml.
For labelled hemocyte injection, 12 recipient individuals were anaesthetized in 0.2% 1-phenoxy-2-propanol (Sigma-Aldrich) dissolved in sea-water. When the valves opened, 50 µl of labelled hemocyte suspension was injected into the adductor muscle or EPS (six individuals for each). The oysters were left for 10 min before returning to the tank. After 24 hours, body fluids from the adductor muscle and EPS were extracted and examined by a Nikon fluorescence microscope.
Proteomics of total cellular proteins in EPS hemocytes
The EPF from 30 individuals was collected, yielding approximately 10 ml bulk. Cell pellets were obtained by centrifugation and lysed in 0.5 ml of RIPA (Solarbio) to release the cellular protein. Total cellular protein extract (10 µl) was sampled and analyzed by SDS-PAGE (5% stacking gel and 12% running gel). The running process was 100 volts-20 min and then 200 volts-40 min. The SDS-PAGE gel was stained with Coomassie Brilliant Blue. For comparison, the cellular extract of hemocytes from adductor muscle was also sampled. The lane corresponding to the total cellular proteins in the EPF was cut and analyzed by LC-MS/MS as previous described6. With no complete genome presently available, we used the catalogue of Pteriidae in UniProtKB and a predicted proteome draft of P. fucata12 as the searching database.
Phagocytosis of yeast
Saccharomyces cerevisiae harboring a YFP gene was cultivated in the corresponding culture medium at 28 °C. The yeasts were collected by centrifugation, washed twice in MMBSS, and adjusted to 107/ml. A yeast suspension of 50 µl was injected into the EPS of the anaesthetized oyster. Twelve hours after returning to the tank, EPF was withdrawn to examine phagocytosis. Hemolymph from the adductor muscle was also examined. To rule out that the free yeast cells co-localized with hemocytes randomly, the supernatant was removed after the hemocyte monolayer formed. The cells were washed three times with MMBSS and photographed using an Olympus fluorescence microscope (Japan, IX81-ZDC).
To measure the efficiency of phagocytosis, the YFP-yeast (100 μl, with a concentration of approximately 107 cells/ml) was injected into the EPS of pre-anaesthetized oysters, and then the oysters were returned to the tank. At different time points post injection, the EPF from the oysters were collected for residual yeasts counting.
Double stain and live cell imaging
The hemocytes were double stained with Calcein-AM (ThermoFisher Scientific) for calcium and DiI (Life Technologies) for the cell membrane. Briefly, hemocytes extracted from the EPS were cultured in a small Petri dish with a glass bottom for 30 min. The fluid was carefully replaced by MMBSS containing 5 μM Calcein-AM and 2.5 μM DiI. The dish was placed in the dark for 30 min at room temperature and washed with MMBSS twice. Then, the hemocytes were cultured with marine bivalves cell culture medium Pf-CM2.546 and photographed using a DeltaVision Elite imaging system (GE, USA). In total, 30 fields of vision were selected and 180 photos were filmed with a time interval of 120 seconds. Three channels were applied (488 nm, 542 nm and polar light). The polar light was used to visualize crystals inside the cells.
Stimulation of lipopolysaccharide and induction of shell regeneration
Lipopolysaccharide (LPS, InvivoGen) stock was diluted to 5 µg/ml with MMBSS. To mimic immune stimulation in the EPS, 120 adult oysters were divided into four groups spontaneously and anaesthetized as described above. In the first three groups, 50 µl of diluted LPS was carefully injected into the right side of the EPS so as not to injure the mantle. The treated oysters were left for 10 minutes before returning to the tank. The EPF of each group was collected in a 15-ml Eppendorf tube at 0, 12 and 24 hours after incubation and the EPF from each ten individuals was merged to make a biological replicate. In the last group, MMBSS (50 µl) was injected as a negative control and the EPF was collected after 12 hours. The cell pellets were collected by centrifugation at 500 g for 10 min and stored at −80 °C before RNA extraction.
As a comparison, separated experiment was conducted to test gene expressions in the hemocytes from the circulatory system post LPS stimulation. The experimental design was the same with that mentioned above, with the exception that the hemolymph in the adductor muscle sinuses was withdrawn using a 1-ml-syringe.
For the induction of shell regeneration, 120 individuals were collected and 90 oysters were notched at the edges near the middle of the ventral side to make a “V” nick. The last 30 unprocessed oysters were treated as the control group. At 24, 48 and 96 hours post notching treatment, 30 oysters were collect for hemocyte sampling from the EPS as previously described in LPS stimulation.
RNA extraction and real-time PCR
The collected hemocyte pellets and the mantle tissue (including the central part and the edge) were sampled for RNA extraction using TRIzol reagent (Invitrogen, Carlsbad, CA, USA) as described44. The concentration and quality of the purified RNA were determined by a Nanodrop 2000 spectrophotometer (Thermo Scientific, USA) and denaturing RNA electrophoresis in TAE agarose gels. Reverse transcription and RT-PCR were accomplished according to the user manual of PrimeScript™ RT Master Mix (TaKaRa, Shiga, Japan) and SYBR® Premix Ex Taq™ product (TaKaRa, Shiga, Japan), respectively. The primers used are listed in Supplementary Table 1. GADPH was used as an internal reference. Thermal cycles were 94 °C for 30 s, 55 °C for 5 s and 72 °C for 30 s of 40 cycles, with a pre-denature of 94 °C for 5 min by the StepOnePlus™ real-time PCR system (Applied Biosystems, Vernon, CA, USA).
Statistical analyses
The resulting data were analyzed by SPSS and Excel version 2016. The figures were drawn using SigmaPlot version 11.0 (Systat Software Inc., Germany) and Photoshop CS6 (Adobe, USA). The significance differences between groups were calculated by using one-way analysis of variance (ANOVA).
Ethics statement
We confirm that this study was approved by the Animal Ethics Committee of Tsinghua University, Beijing, China. All experiments were performed in accordance with relevant guidelines and regulations.
Electronic supplementary material
Acknowledgements
We would like to thank Professor Xiaodong Du of Guangdong Ocean University for providing the oyster samples and Professor Junbiao Dai of Tsinghua University for presenting the YFP-yeast. This work was supported by National Basic Research Program of China Grant 2010CB126405, and National Natural Science Foundation of China Grants 31372508 and 31372502.
Author Contributions
Jingliang Huang carried out the lab work, participated in data analysis, contributed to the design of the study and drafted the manuscript; Shiguo Li conceived of the study and drafted the manuscript; Yangjia Liu coordinated the study; Chuang Liu participated in data analysis. Liping Xie and Rongqing Zhang provided financial supports and revised the manuscript. All authors gave final approval for publication.
Competing Interests
The authors declare no competing interests.
Footnotes
Electronic supplementary material
Supplementary information accompanies this paper at 10.1038/s41598-018-22961-y.
Publisher's note: Springer Nature remains neutral with regard to jurisdictional claims in published maps and institutional affiliations.
References
- 1.Jackson AP, Vincent JFV, Turner RM. The Mechanical Design of Nacre. Proc R Soc Ser B-Bio. 1988;234:415−+. doi: 10.1098/rspb.1988.0056. [DOI] [Google Scholar]
- 2.Zhang C, Zhang RQ. Matrix proteins in the outer shells of molluscs. Marine Biotechnology. 2006;8:572–586. doi: 10.1007/s10126-005-6029-6. [DOI] [PubMed] [Google Scholar]
- 3.Joubert, C. et al. Transcriptome and proteome analysis of Pinctada margaritifera calcifying mantle and shell: focus on biomineralization. Bmc Genomics11, doi:Artn 61310.1186/1471-2164-11-613 (2010). [DOI] [PMC free article] [PubMed]
- 4.Xie J, et al. Influence of the Extrapallial Fluid of Pinctada fucataon the Crystallization of Calcium Carbonate and Shell Biomineralization. Crystal Growth & Design. 2016;16:672–680. doi: 10.1021/acs.cgd.5b01203. [DOI] [Google Scholar]
- 5.Mount AS, Wheeler AP, Paradkar RP, Snider D. Hemocyte-mediated shell mineralization in the eastern oyster. Science. 2004;304:297–300. doi: 10.1126/science.1090506. [DOI] [PubMed] [Google Scholar]
- 6.Li S, et al. Hemocytes participate in calcium carbonate crystal formation, transportation and shell regeneration in the pearl oyster Pinctada fucata. Fish Shellfish Immunol. 2016;51:263–270. doi: 10.1016/j.fsi.2016.02.027. [DOI] [PubMed] [Google Scholar]
- 7.Kadar E, Lobo-da-Cunha A, Azevedo C. Mantle-to-shell CaCO3 transfer during shell repair at different hydrostatic pressures in the deep-sea vent mussel Bathymodiolus azoricus (Bivalvia: Mytilidae) Marine Biology. 2009;156:959–967. doi: 10.1007/s00227-009-1140-2. [DOI] [Google Scholar]
- 8.Wang X, et al. Oyster Shell Proteins Originate from Multiple Organs and Their Probable Transport Pathway to the Shell Formation Front. PLoS One. 2013;8:e66522. doi: 10.1371/journal.pone.0066522. [DOI] [PMC free article] [PubMed] [Google Scholar]
- 9.Pirie BJS, George SG, Lytton DG, Thomson JD. Metal-Containing Blood Cells of Oysters: Ultrastructure, Histochemistry and X-Ray Microanalysis. Journal of the Marine Biological Association of the United Kingdom. 1984;64:115–123. doi: 10.1017/S0025315400059671. [DOI] [Google Scholar]
- 10.Trinkler N, et al. Mineral phase in shell repair of Manila clam Venerupis philippinarum affected by brown ring disease. Dis Aquat Organ. 2011;93:149–162. doi: 10.3354/dao02288. [DOI] [PubMed] [Google Scholar]
- 11.Jose S, Jayesh P, Mohandas A, Philip R, Bright Singh IS. Application of primary haemocyte culture of Penaeus monodon in the assessment of cytotoxicity and genotoxicity of heavy metals and pesticides. Mar Environ Res. 2011;71:169–177. doi: 10.1016/j.marenvres.2010.12.008. [DOI] [PubMed] [Google Scholar]
- 12.Takeuchi T, et al. Draft genome of the pearl oyster Pinctada fucata: a platform for understanding bivalve biology. DNA Res. 2012;19:117–130. doi: 10.1093/dnares/dss005. [DOI] [PMC free article] [PubMed] [Google Scholar]
- 13.Shi Y, et al. Characterization of the Pearl Oyster (Pinctada martensii) Mantle Transcriptome Unravels Biomineralization Genes. Marine Biotechnology. 2013;15:175–187. doi: 10.1007/s10126-012-9476-x. [DOI] [PubMed] [Google Scholar]
- 14.Li S, et al. Morphology and classification of hemocytes in Pinctada fucata and their responses to ocean acidification and warming. Fish Shellfish Immunol. 2015;45:194–202. doi: 10.1016/j.fsi.2015.04.006. [DOI] [PubMed] [Google Scholar]
- 15.Bayne JHCaCJ. Bivalve Mollusc Hemocyte Behaviors: Characterization of Hemocyte Aggregation and Adhesion and Their Inhibition in the California Mussel (Mytilus californianus) The Biological Bulletin. 1995;188:255–266. doi: 10.2307/1542303. [DOI] [PubMed] [Google Scholar]
- 16.Song L, Wang L, Qiu L, Zhang H. Bivalve immunity. Adv Exp Med Biol. 2010;708:44–65. doi: 10.1007/978-1-4419-8059-5_3. [DOI] [PubMed] [Google Scholar]
- 17.Pan C, et al. A novel acidic matrix protein, PfN44, stabilizes magnesium calcite to inhibit the crystallization of aragonite. J Biol Chem. 2014;289:2776–2787. doi: 10.1074/jbc.M113.504027. [DOI] [PMC free article] [PubMed] [Google Scholar]
- 18.Miyamoto H, Miyoshi F, Kohno J. The carbonic anhydrase domain protein nacrein is expressed in the epithelial cells of the mantle and acts as a negative regulator in calcification in the mollusc Pinctada fucata. Zoolog Sci. 2005;22:311–315. doi: 10.2108/zsj.22.311. [DOI] [PubMed] [Google Scholar]
- 19.Suzuki M, et al. An acidic matrix protein, Pif, is a key macromolecule for nacre formation. Science. 2009;325:1388–1390. doi: 10.1126/science.1173793. [DOI] [PubMed] [Google Scholar]
- 20.Zhang C, Xie L, Huang J, Liu X, Zhang R. A novel matrix protein family participating in the prismatic layer framework formation of pearl oyster, Pinctada fucata. Biochem Biophys Res Commun. 2006;344:735–740. doi: 10.1016/j.bbrc.2006.03.179. [DOI] [PubMed] [Google Scholar]
- 21.Rus F, et al. Expression pattern of Filamin-240 in Drosophila blood cells. Gene Expr Patterns. 2006;6:928–934. doi: 10.1016/j.modgep.2006.03.005. [DOI] [PubMed] [Google Scholar]
- 22.Jemaa M, et al. Adult somatic progenitor cells and hematopoiesis in oysters. J Exp Biol. 2014;217:3067–3077. doi: 10.1242/jeb.106575. [DOI] [PubMed] [Google Scholar]
- 23.Lankester ER. Phagocytes of green Oysters. Nature. 1893;48:75. doi: 10.1038/048075a0. [DOI] [Google Scholar]
- 24.Ford SE, Kanaley SA, Littlewood DT. Cellular responses of oysters infected with Haplosporidium nelsoni: changes in circulating and tissue-infiltrating hemocytes. J Invertebr Pathol. 1993;61:49–57. doi: 10.1006/jipa.1993.1009. [DOI] [PubMed] [Google Scholar]
- 25.Ertl NG, O’Connor WA, Papanicolaou A, Wiegand AN, Elizur A. Transcriptome Analysis of the Sydney Rock Oyster, Saccostrea glomerata: Insights into Molluscan Immunity. PLoS One. 2016;11:e0156649. doi: 10.1371/journal.pone.0156649. [DOI] [PMC free article] [PubMed] [Google Scholar]
- 26.Suzuki T, Mori K. Hemolymph lectin of the pearl oyster, Pinctada fucata martensii: A possible non-self recognition system. Developmental & Comparative Immunology. 1990;14:161–173. doi: 10.1016/0145-305X(90)90088-V. [DOI] [PubMed] [Google Scholar]
- 27.Wang L, Qiu L, Zhou Z, Song L. Research progress on the mollusc immunity in China. Dev Comp Immunol. 2013;39:2–10. doi: 10.1016/j.dci.2012.06.014. [DOI] [PubMed] [Google Scholar]
- 28.Ray M, Bhunia NS, Bhunia AS, Ray S. A comparative analyses of morphological variations, phagocytosis and generation of cytotoxic agents in flow cytometrically isolated hemocytes of Indian molluscs. Fish Shellfish Immunol. 2013;34:244–253. doi: 10.1016/j.fsi.2012.11.006. [DOI] [PubMed] [Google Scholar]
- 29.Carballal MJ, LÓPez C, Azevedo C, Villalba A. In vitro study of phagocytic ability of Mytilus galloprovincialis Lmk. haemocytes. Fish Shellfish Immunol. 1997;7:403–416. doi: 10.1006/fsim.1997.0094. [DOI] [Google Scholar]
- 30.Wikfors GH, Alix JH. Granular hemocytes are phagocytic, but agranular hemocytes are not, in the Eastern Oyster Crassostrea virginica. Invertebrate Immunity. 2014;1:15–21. doi: 10.2478/invim-2014-0001. [DOI] [Google Scholar]
- 31.Zhang Y, Li J, Yu F, He X, Yu Z. Allograft inflammatory factor-1 stimulates hemocyte immune activation by enhancing phagocytosis and expression of inflammatory cytokines in Crassostrea gigas. Fish Shellfish Immunol. 2013;34:1071–1077. doi: 10.1016/j.fsi.2013.01.014. [DOI] [PubMed] [Google Scholar]
- 32.Jun C-D, Kim H-R. Transgelin-2 mimics bacterial SipA and promotes membrane ruffling and phagocytosis in lipopolysaccharide-activated macrophages. The Journal of Immunology. 2016;196(63):15. [Google Scholar]
- 33.Terahara K, Takahashi KG, Mori K. Pacific oyster hemocytes undergo apoptosis following cell-adhesion mediated by integrin-like molecules. Comparative Biochemistry and Physiology Part A: Molecular & Integrative Physiology. 2005;141:215–222. doi: 10.1016/j.cbpb.2005.05.040. [DOI] [PubMed] [Google Scholar]
- 34.Guo, X. & Ford, S. E. Infectious diseases of marine molluscs and host responses as revealed by genomic tools. Philos Trans R Soc Lond B Biol Sci371, 10.1098/rstb.2015.0206 (2016). [DOI] [PMC free article] [PubMed]
- 35.Guo X, He Y, Zhang L, Lelong C, Jouaux A. Immune and stress responses in oysters with insights on adaptation. Fish Shellfish Immunol. 2015;46:107–119. doi: 10.1016/j.fsi.2015.05.018. [DOI] [PubMed] [Google Scholar]
- 36.Kohchi C, Inagawa H, Nishizawa T, Soma G. ROS and innate immunity. Anticancer Res. 2009;29:817–821. [PubMed] [Google Scholar]
- 37.Sumimoto H. Structure, regulation and evolution of Nox-family NADPH oxidases that produce reactive oxygen species. FEBS J. 2008;275:3249–3277. doi: 10.1111/j.1742-4658.2008.06488.x. [DOI] [PubMed] [Google Scholar]
- 38.Allam B, Paillard C, Ford SE. Pathogenicity of Vibrio tapetis, the etiological agent of brown ring disease in clams. Dis Aquat Organ. 2002;48:221–231. doi: 10.3354/dao048221. [DOI] [PubMed] [Google Scholar]
- 39.Elston RA, Cheney D, Frelier P, Lynn D. Invasive orchitophryid ciliate infections in juvenile Pacific and Kumomoto oysters, Crassostrea gigas and Crassostrea sikamea. Aquaculture. 1999;174:1–14. doi: 10.1016/S0044-8486(98)00512-2. [DOI] [Google Scholar]
- 40.Li Y, et al. DNA methylation is associated with expression level changes of galectin gene in mantle wound healing process of pearl oyster, Pinctada fucata. Fish Shellfish Immunol. 2015;45:912–918. doi: 10.1016/j.fsi.2015.06.016. [DOI] [PubMed] [Google Scholar]
- 41.De Zoysa M, et al. Allograft inflammatory factor-1 in disk abalone (Haliotis discus discus): molecular cloning, transcriptional regulation against immune challenge and tissue injury. Fish Shellfish Immunol. 2010;29:319–326. doi: 10.1016/j.fsi.2010.04.006. [DOI] [PubMed] [Google Scholar]
- 42.Peter B Armstrong JPQ. Humoral immunity: a2 macroglobulin activity in the plasma of mollusks. Veliger S. 1992;35:161–164. [Google Scholar]
- 43.Liu HL, et al. Identification and characterization of a biomineralization related gene PFMG1 highly expressed in the mantle of Pinctada fucata. Biochemistry. 2007;46:844–851. doi: 10.1021/bi061881a. [DOI] [PubMed] [Google Scholar]
- 44.Yan Y, et al. A Novel Matrix Protein, PfY2, Functions as a Crucial Macromolecule during Shell Formation. Sci Rep. 2017;7:6021. doi: 10.1038/s41598-017-06375-w. [DOI] [PMC free article] [PubMed] [Google Scholar]
- 45.Awaji M, Machii A. Fundamental Studies on in vivo and in vitro Pearl Formation—Contribution of Outer Epithelial Cells of Pearl Oyster Mantle and Pearl Sacs. Aqua-BioScience Monographs. 2011;4:1–39. doi: 10.5047/absm.2011.00401.0001. [DOI] [Google Scholar]
- 46.Gong N, et al. Characterization of calcium deposition and shell matrix protein secretion in primary mantle tissue culture from the marine pearl oyster Pinctada fucata. Mar Biotechnol (NY) 2008;10:457–465. doi: 10.1007/s10126-008-9081-1. [DOI] [PubMed] [Google Scholar]
- 47.Yang RY, Rabinovich GA, Liu FT. Galectins: structure, function and therapeutic potential. Expert Rev Mol Med. 2008;10:e17. doi: 10.1017/S1462399408000719. [DOI] [PubMed] [Google Scholar]
- 48.Autieri MV, Carbone C, Mu A. Expression of allograft inflammatory factor-1 is a marker of activated human vascular smooth muscle cells and arterial injury. Arterioscler Thromb Vasc Biol. 2000;20:1737–1744. doi: 10.1161/01.ATV.20.7.1737. [DOI] [PubMed] [Google Scholar]
- 49.Kiss T. Apoptosis and its functional significance in molluscs. Apoptosis. 2010;15:313–321. doi: 10.1007/s10495-009-0446-3. [DOI] [PubMed] [Google Scholar]
- 50.Wu C, Soderhall I, Kim YA, Liu H, Soderhall K. Hemocyte-lineage marker proteins in a crustacean, the freshwater crayfish, Pacifastacus leniusculus. Proteomics. 2008;8:4226–4235. doi: 10.1002/pmic.200800177. [DOI] [PubMed] [Google Scholar]
- 51.Xiong X, Chen L, Li Y, Xie L, Zhang R. Pf-ALMP, a novel astacin-like metalloproteinase with cysteine arrays, is abundant in hemocytes of pearl oyster Pinctada fucata. Biochim Biophys Acta. 2006;1759:526–534. doi: 10.1016/j.bbaexp.2006.09.006. [DOI] [PubMed] [Google Scholar]
- 52.Fan W, Hu Y, Li C, Xie L, Zhang R. Cloning, Characterization, and Expression Analysis of Calreticulin from Pearl Oyster Pinctada fucata. Tsinghua Science & Technology. 2008;13:466–473. doi: 10.1016/S1007-0214(08)70075-0. [DOI] [Google Scholar]
- 53.Gimona M, Herzog M, Vandekerckhove J, Small JV. Smooth muscle specific expression of calponin. FEBS Letters. 1990;274:159–162. doi: 10.1016/0014-5793(90)81353-P. [DOI] [PubMed] [Google Scholar]
- 54.Li S, et al. Cloning and expression of a pivotal calcium metabolism regulator: calmodulin involved in shell formation from pearl oyster (Pinctada fucata) Comparative Biochemistry and Physiology Part B: Biochemistry and Molecular Biology. 2004;138:235–243. doi: 10.1016/j.cbpc.2004.03.012. [DOI] [PubMed] [Google Scholar]
- 55.Miyamoto H. Sequence of the Pearl Oyster Carbonic Anhydrase-Related Protein and Its Evolutionary Implications. Biochemical Genetics. 2012;50:269–276. doi: 10.1007/s10528-011-9469-x. [DOI] [PubMed] [Google Scholar]
Associated Data
This section collects any data citations, data availability statements, or supplementary materials included in this article.



