Abstract
Steroid hormones regulate life stage transitions, allowing animals to appropriately follow a developmental timeline. During insect development, the steroid hormone ecdysone is synthesized and released in a regulated manner by the prothoracic gland (PG) and then hydroxylated to the active molting hormone, 20-hydroxyecdysone (20E), in peripheral tissues. We manipulated ecdysteroid titers, through temporally controlled over-expression of the ecdysteroid-inactivating enzyme, CYP18A1, in the PG using the GeneSwitch-GAL4 system in the fruit fly Drosophila melanogaster. We monitored expression of a 20E-inducible glue protein gene, Salivary gland secretion 3 (Sgs3), using a Sgs3:GFP fusion transgene. In wild type larvae, Sgs3-GFP expression is activated at the midpoint of the third larval instar stage in response to the rising endogenous level of 20E. By first knocking down endogenous 20E levels during larval development and then feeding 20E to these larvae at various stages, we found that Sgs3-GFP expression could be triggered at an inappropriate developmental stage after a certain time lag. This stage-precocious activation of Sgs3 required expression of the Broad-complex, similar to normal Sgs3 developmental regulation, and a small level of nutritional input. We suggest that these studies provide evidence for a tissue-autonomic regulatory system for a metamorphic event independent from the primary 20E driven developmental progression.
Keywords: Steroid hormone, Developmental checkpoint, Salivary gland, Salivary gland secretion 3, Broad Complex, Drosophila melanogaster
1. Introduction
Animals usually follow a programmed timeline for proper development. To this end, developmental programs contain checkpoints to ensure that a precise sequence of events occurs prior to allowing development to proceed further. Steroid hormones are crucial regulators of physiological and many morphological changes in most higher organisms (Wollam and Antebi, 2011). Holometabolous insects are excellent models for deciphering how developmental programs are coordinated, because their developmental transitions, including molting and metamorphosis, are primarily controlled by the insect steroid hormone, 20-hydroxyecdysone (20E). During steroid hormone biosynthesis in insects, ecdysone (E) is synthesized in the prothoracic gland (PG) and after secretion into the hemolymph is hydroxylated to 20E in peripheral tissues (Gilbert and Warren, 2005; Petryk et al., 2003). Distinct peaks of 20E are observed just prior to the various larval molts and at the end of the third larval instar (L3) stage just before pupariation (Warren et al., 2006). While elevation of the 20E titer is critical for physiological events, decline of the 20E titer by enzymatic inactivation is also important to drive developmental progression (Riddiford et al., 2003). A cytochrome P450, CYP18A1, is a key enzyme for E and 20E inactivation via 26-hydroxylation in the many target tissues of ecdysteroids (Guittard et al., 2011). The decline in the 20E titer by CYP18A1 is essential to promote metamorphosis, as the loss-of-CYP18A1 function results in pupal lethality in Drosophila melanogaster (Guittard et al., 2011; Rewitz et al., 2010).
The onset of metamorphosis in holometabolous insects is intimately linked to nutritional cues which likely regulate secretion of the brain neuropeptide, prothoracicotropic hormone (PTTH), which triggers the production and release of E from the PG (McBrayer et al., 2007; Nijhout and Williams, 1974a). The secretion of E commits larvae to pupariation and cessation of growth and controls the final body size. There are at least three check points during the Drosophila L3 stage which larvae must pass through to ensure that they have sufficient nutrient stores and intact imaginal tissue to survive metamorphosis (Mirth and Riddiford, 2007; Nijhout, 1975; Stieper et al., 2008). The first is minimal viable weight (MVW) which is the minimum weight needed to successfully survive metamorphosis. The second checkpoint is termed critical weight (CW) which is the minimum weight after which starvation can no longer delay metamorphosis. A third recently characterized checkpoint involving dilp8 signaling ensures that the imaginal tissue is not damaged before metamorphosis commences (Garelli, 2012; Colombani, 2012; Hackney et al., 2012). The timing of E synthesis induction in the PG at the early L3 stage corresponds to the attainment of the CW (Koyama et al., 2014; Mirth and Riddiford, 2007). The duration of the larval growth period prior to CW is regulated by multiple nutrition-dependent signaling pathways including Insulin/insulin-like (IIS) and Target of Rapamycin (TOR) signaling (Caldwell et al., 2005; Colombani, 2005; Koyama et al., 2014; Layalle et al., 2008; Mirth et al., 2005; Walkiewicz and Stern, 2009). This regulatory network, composed of multiple signaling pathways likely endows the larva with the flexibility to adapt to environmental conditions, notably nutrition, before a commitment to metamorphosis via monoaminergic signaling (Ohhara et al., 2015; Shimada-Niwa and Niwa, 2014).
In D. melanogaster, the 20E titer rises in a stepwise manner during the feeding L3 stage, culminating in a large peak around the time of pupariation (Warren et al., 2006; Lavrynenko et al., 2015). The first threshold at 8 h after L2-L3 ecdysis (AL3E) on standard growth media is thought to be a commitment peak since it just precedes the attainment of CW (Koyama et al., 2014; Mirth and Riddiford, 2007). The second and third thresholds at 20 h and 28 h AL3E are correlated with the onset of glue protein synthesis in the salivary gland (SG) and the behavioral switch from the feeding to the wandering stage, respectively (Mirth and Riddiford, 2007; Warren et al., 2006). The glue proteins allow the larva to adhere to a solid surface when it becomes a pupa. One of the glue proteins, Salivary gland secretion 3 (Sgs3), is a mucoprotein composed largely of tandem repeats of the five amino acids PTTTK (Garfinkel et al., 1983). The process of glue protein secretion and SG histolysis have been well studied (Biyasheva et al., 2001; Jiang et al., 1997). In these processes, traditional 20E-regulated gene cascades are activated via a nuclear receptor heterodimer consisting of ecdysone receptor (EcR) and ultraspiracle (USP) (Hill et al., 2013). In contrast, expression of the glue gene Sgs3 is induced by an atypical 20E signaling pathway which requires EcR, but not USP and the complete underlying mechanism remains unclear (Biyasheva et al., 2001; Costantino et al., 2008). However Sgs3 induction also requires activation of the 20E-inducible Broad Complex (Br-C), which is a large transcription unit that produces four transcription factor protein isoforms (Costantino et al., 2008). The Br-C has been well-characterized as an early gene required for expression of the glue genes, including Sgs3, through activation of promoter/enhancer elements in the gene cluster (Crowley et al., 1984; DiBello et al., 1991; Guay and Guild, 1991). Indeed, overexpression of any isoform of Br-C in SG cells could induce Sgs3 synthesis, even in loss-of-EcR function mutants (Costantino et al., 2008).
In this study, we temporally over-expressed the ecdysteroid-inactivating enzyme, CYP18A1, in the PG using the GeneSwitch-GAL4 system in order to manipulate ecdysteroid titers. We especially focused on the expression of Sgs3 triggered by 20E at the midpoint of the L3 stage, because it was easy to monitor the initiation of its expression using transgenic flies expressing a Sgs3-GFP fusion protein (Biyasheva et al., 2001). We found that Sgs3-GFP expression could be triggered by administration of 20E even in an aberrant developmental timeline. This stage-aberrant induction of Sgs3 in the SG was observed only after the larval developmental schedule was disrupted, and required a certain level of nutrition, a time lag after 20E feeding, and the products of the Br-C. We propose here a tissue-autonomic regulatory system for a metamorphic event independent from the coordinated developmental system in whole body.
2. Materials and methods
2.1. Drosophila strains
phm-GS-GAL4/Tm6B, Tb1 was generated as described below. UAS-CYP18A1 (Rewitz et al., 2010) and UAS-Grim (McBrayer et al., 2007) were obtained from M.B. O’Connor. UAS-spok-IR; UAS-spok-IR was described in Ono et al. (2006). UAS-GFP (#107–870) and Sgs3-GFP (#5885) were obtained from KYOTO Stock Center (DGRC) in Kyoto Institute of Technology and Bloomington Drosophila Stock Center, respectively. Flies were cultured on a standard cornmeal/yeast extract/dextrose medium.
2.2. Vector construction and transformation
The phmGeneSwitch vector harboring a phantom (phm) promoter positioned upstream of the GeneSwitch sequence containing GAL4 DNA binding domain and progesterone receptor ligand binding domain was generated as shown in Fig. S1–S2. The primers used for construction are listed in Table S1. Briefly, the GeneSwitch component was first inserted in pUAST vector. Next, a region of phm promoter of D. melanogaster was PCR amplified from genomic DNA. This fragment was inserted into pGeneSwitch-UAST. Germline transformant was obtained using standard protocol. For experiments, strain carrying the transgene on the third chromosome was used.
2.3. Chemicals
Mifepristone (RU486) and ecdysone were purchased from Sigma-Aldrich (St. Louis, MO, USA). 20-Hydroxyecdysone was purchased from SciTech (Prague, Czech Republic). Methoprene was purchased from AccuStandard (New Haven, CT, USA).
2.4. Developmental analyses
Eggs were collected and hatched larvae were reared on instant food with or without steroid(s) as described previously (Ono, 2014). For steroid feeding experiments, RU486, E, 20E or both RU486 and ecdysteroid dissolved in ethanol were added to instant food at 500 μM final concentration unless otherwise noted. Methoprene dissolved in acetone was suspended in water, and then the suspension was applied to instant food at 500 μM final concentration. When ectopic expression of a transgene was induced using GAL4 or GeneSwitch-GAL4 driver, animals were reared at 29 °C.
2.5. Nutritional deficient experiments
Individual larva carrying a transgene Sgs3:GFP was transferred to 250 μl of 1.8% agar medium in a half-cut collection tube (2.0 ml), and then plugged with a sponge. For 20E supplemental experiments, 20E was added to the agar medium to a final concentration of 500 μM. L2 larvae were used at 0, 2, 4, 6 h after L1-L2 molting. L2 or L3 larvae within 2 h after ecdysis were used for the 12, 18 h-L2 or L3 samples. Dead animals within three days after transfer were excluded from data collection. Animals were reared at 25 °C during these experiments.
2.6. RT-PCR and quantitative RT-PCR (qPCR)
Individual larvae to measure expression of GFP or glue genes were collected and homogenized in TRIzol Reagent (GIBCO-BRL, NY, USA). Otherwise, SGs collected from ten larvae were treated in the same fashion to measure expression levels of EcR and Br-C. Total RNA purification, reverse transcription and qPCR were performed as described (Ono, 2014). Alternatively, the generated cDNAs were subjected to PCR amplification with gene-specific primers using GoTaq Green Master mix. (Promega, Madison, WI). PCR conditions were: 94 °C for 1 min; 30 cycles of 94 °C for 1 min, 60 °C for 1 min, 72 °C for 1 min, and 72 °C for 5 min. The primers used for the experiments are listed in Table S2.
2.7. Immunohistochemical staining
Dissected SGs were fixed in 4% formaldehyde in PBS for 20 min at room temperature. After fixation, the tissues were stained using the VECTASTAIN ABC mouse IgG Kit (Vector Laboratories, CA, USA) according to the manufacturer’s protocol. The primary antibodies, EcR (Ag10.2, DSHB, diluted 1:20) and Br-C (25E9.D7, DSHB, diluted 1:200), were diluted in PBT (PBS containing 0.3% Triton X-100) and used.
2.8. Statistical analysis
Statistical analyses were conducted using R (www.r-project.org). Time corresponding to 50% of Sgs3-GFP expression (Fig. 6A–B and Fig. S5) was calculated using the glm function as shown in file S1.
Fig. 6.
Time requirement for Sgs3-GFP expression after 20E-treatment due to requirement for preliminary activation of Br-C in SG cells. (A) Percentage of L2 larvae showing Sgs3-GFP fluorescence. Larvae were fed RU486 just after L1-L2 molting, and then supplied 20E at 18 h (red) or 24 h (blue) AL2E. (B) Percentage of L3 larvae showing Sgs3-GFP fluorescence. Larvae fed with normal food (green) or normal food with 20E supplemented at 12 h AL3E (red) or larvae fed RU486 just after L2-L3 molting, and then supplemented with 20E at 12 h AL3E (blue). (C) Immunostaining of EcR and Br-C in SGs of L3 larvae at 0, 6, or 12 h AL3E. In each set of staining, the first three panels are minus RU486, while the last panel shows the results of treating with RU486 starting at L2/L3 ecdysis. Scale bar: 100 μm. (A, B) Numbers in parentheses in the figures represent the number of animals.
3. Results
3.1. PG-specific transgene expression is induced by feeding a progesterone analog, RU486, using the GeneSwitch-GAL4 system
We developed a system to regulate gene expression in the PG at an arbitrary time using the GeneSwitch-GAL4 system (Osterwalder et al., 2001). For this purpose, a phantom (phm) promoter sequence (Ono et al., 2006) was inserted into a GeneSwitch-GAL4 cassette to generate a transgene (referred to as phm-GS-GAL4) (Fig. S1–S2). Using this line, we temporally controlled ectopic expression of another UAS-transgene in the PG by application of the progesterone analog, RU486. To confirm that the phm-GS-GAL4 driver works as expected, we generated animals containing single copies of phm-GS-GAL4 and UAS-GFP. Indeed, GFP fluorescence was specifically observed in the PG by feeding RU486 to L3 larvae at a final 10 μM concentration (Fig. 1A). GFP fluorescence was obviously enhanced in the PG of larvae 6 h after administration of RU486, while weak GFP fluorescence was observed in L3 larvae just before application of RU486. The transcription level of GFP was significantly increased and reached a plateau at 4 h and 6 h after the application of RU486, respectively (Fig. 1B). Hence, we conclude that PG-specific expression of the UAS transgene could be fully induced within 6 h of RU486 administration using phm-GS-GAL4 as a driver.
Fig. 1.

Expression of UAS-transgene in the PG by application of RU486. GFP expression of flies carrying single copies of phm-GS-GAL4 and UAS-GFP. (A) GFP fluorescence observed in the PG of L3 larvae by feeding RU486 at 10 μm final concentration. Typical GFP expression at the indicated time after administration of RU486 are shown in the lower panels. (B) Quantitative RT-PCR analysis of the transcriptional levels of GFP. The transcription level of GFP in larvae just after ecdysis is represented as 1. Each value is plotted as a dot (n = 5–6). Box plot shows 25–75% (box), median (band inside) and minima to maxima (whiskers) (light blue: non-RU486-fed larvae; light red: RU486-fed larvae). Boxes with different letters are significantly different at p < 0.05 by Tukey’s HSD test.
3.2. Over-expression of the ecdysteroid-inactivating enzyme in the PG at the larval stage causes developmental arrest
We examined if ectopic expression of a transgene in the PG induced by administration of RU486 has an effect on development of animals. We first generated animals containing a single copy of phm-GS-GAL4 driver (phm-GS > +) by crossing to w1118 and examined whether ectopic expression of GAL4 protein in the PG has an effect on development of animals. While phm-GS > + animals mostly developed to adults without RU486 supplementation, larvae fed food containing RU486 at 50 or 500 μM final concentration resulted in developmental arrest at either the L1 or L2 stage (Fig. 2A). This developmental arrest was partially rescued by supplemental feeding of E at 500 μM final concentration, indicating that an impairment of the PG due to over-expression of GAL4 protein caused depletion of ecdysteroids. The larvae administered E mostly developed to the L3 stage but then died at this stage likely due to a cessation of feeding at the wandering stage. By reducing the dosage of RU486 at 5 or 10 μM, most animals developed normally to adults.
Fig. 2.
Developmental profiles of animals forced to inactivate ecdysteroids in the PG using phm-GS-GAL4 driver. (A) Development of animals affected by ectopic expression of GAL4 protein in the PG by application of RU486. Overexpression of GAL4 protein in the PG using a high dosage of RU486 caused developmental arrest at early larval stages, which could be partially rescued by administration of E. (B, C) Developmental profiles of animals, steroidogenesis of which was inactivated by overexpression of CYP18A1 (B) or RNAi mediated knockdown of spok (C) by application of RU486. The arrest of development was partially rescued by administration of E. (D) Developmental profile of ecdysteroid-defective animals by administration of RU486 at different concentrations. (E) Comparison of pupariation timing of L2 and L3 larvae. (F) A L2 pharate adult. Pupal case was removed (right). (A–E) Numbers in parentheses in the figures represent the number of animals. L2PP, IP, PP and PA indicate L2 prepupa, incomplete prepupa, prepupa and pharate adult, respectively.
We next tested if ecdysteroid titers during larval development could be manipulated by temporal expression of the ecdysteroid-inactivating enzyme, CYP18A1, using the phm-GS-GAL4 driver. For this purpose, we generated animals containing single copies of phm-GS-GAL4 and UAS-CYP18A1. We confirmed that phm-GS > CYP18A1 animals reared on unsupplemented-food developed normally, as more than 80% eclosed to adults (Fig. 2B). To inactivate ecdysteroids in the PG, L1 larvae were fed food containing RU486 at 5, 10 or 50 μM final concentration. As a result, L1 larvae mostly died before molting to the L2 stage. By supplementation of E, animals developed to L3 stage, but almost all of them did not attain pupariation. Thus, ectopic expression of CYP18A1 in the PG caused larval developmental arrest, suggesting that CYP18A1 inactivates all ecdysteroids including makisterone A which is also detected in Drosophila larvae (Redfern, 1984; Lavrynenko et al., 2015). We further confirmed that ecdysteroid depletion generated by a different method, i.e. administration of RU486 to induce RNAi mediated knockdown of Spokier (Spok), also resulted in developmental arrest, which could be partially rescued by supplementation of E (Fig. 2C).
Because RU486-mediated transcriptional activation is dose-dependent (Osterwalder et al., 2001), we expected that administration of RU486 to phm-GS > CYP18A1 animals at different concentrations could lead to quantitative changes in the expression level of CYP18A1 in the PG, resulting in quantitative inactivation of ecdysteroids. To test this idea, we fed L2 larvae food containing RU486 at different concentrations, from 500 μM to 0.05 μM (Fig. 2D). While almost all larvae died at the L2 stage when fed food containing RU486 at 5 μM or more final concentration, almost all larvae fed food containing RU486 at 0.05 μM final concentration developed to adults. L2 larvae fed RU486 at 0.5 μM final concentration developed to various stages, with more than half continuing to adults, and the other half showing polyphasic lethality at L2, L2/L3, L3, prepupal or pupal stages. Approximately 9% of the L2s developed as precocious prepupae (L2 prepupae), as was observed in animals with reduced ecdysteroid titers in previous studies (Bialecki et al., 2002; Mirth et al., 2005; Ou et al., 2011; Venkatesh and Hasan, 1997; Zhou et al., 2004). Because the timeline of pupariation in wild type L3 larvae is stereotypical, in that it occurs at 120 h after egg deposition at 25 °C, we compared the timing of precocious L2 pupariation with that of normal L3 pupariation (Fig. 2E). We found that L2 pupariation occurred at the same time as L3 pupariation in wild type animals, suggesting that the L2 pupariation observed in animals with lowered ecdysteroids starting at L2 ecdysis, requires the same amount of time as wild type L3 pupariation. We also note that one of the L2 prepupae developed to a pharate adult (Fig. 2F). In subsequent experiments, we used RU486 at 500 μM final concentration, unless otherwise stated, to completely deplete active ecdysteroids by overexpression of GAL4 and CYP18A1.
3.3. Expression of Sgs3-GFP can be triggered by administration of 20E even in an aberrant developmental timeline
The timing of Sgs3 expression triggered by 20E levels has been well characterized, as fluorescence of the Sgs3-GFP fusion protein in larval SG cells is observed at approximately 24 h AL3E (Warren et al., 2006). Therefore, we wished to observe the temporal profile of GFP fluorescence in SGs of phm-GS > CYP18A1 larvae carrying the Sgs3:GFP fusion transgene. We first confirmed that ectopic expression of CYP18A1 in PG cells of this strain also resulted in developmental arrests at the L1 stage, and that the larval arrest phenotypes could be rescued by application of E (Fig. S3). We next fed RU486 to phm-GS > CYP18A1; Sgs3-GFP L3 larvae just after ecdysis. As expected, most of them underwent a prolonged L3 stage and then died without expressing Sgs3-GFP in the SGs, indicating that ecdysteroid titers were continuously inactivated during the middle of the L3 stage so that Sgs3-GFP could not be expressed. When these prolonged-L3 larvae were fed 20E at 48 h AL3E, corresponding to the time of the onset of pupariation, most of them died without pupariating, but Sgs3-GFP expression was observed at a later time (Fig. 3A–B). Next, we asked if Sgs3-GFP expression is aberrantly observed at earlier stages when ecdysteroids are inactivated by RU486 feeding of phm-GS > CYP18A1; Sgs3-GFP animals. When L2 larvae were fed RU486 just after ecdysis, most died after a prolonged L2 stage; while application of 20E at 24 h AL2E did not enable them to molt to L3s, Sgs3-GFP expression was observed even at the L2 stage (Fig. 3C). A possible explanation for this heterochrony is that these L2 larvae achieved the MVW/CW check points, leading to Sgs3-GFP expression being triggered in preparation for the onset of metamorphosis. To examine if L2 larvae are able to express Sgs3-GFP before achieving MVW, sufficient weight to survive the metamorphic process, we measured L2 larval weights after Sgs3-GFP expression. In these experiments, L2 larvae at 12 h AL2E were administered 20E, and then L2 larvae expressing Sgs3-GFP at 22–24 h AL2E were collected. While the MVW of animals fed normal food was approximately 0.73 mg, the average weight of L2 larvae expressing Sgs3-GFP was 0.48 mg (SE = 0.013, n = 14), suggesting that the weight of the RU486-fed L2 larvae expressing Sgs3-GFP was less than the minimum weight needed to survive metamorphosis (Fig. 3E). Using a similar strategy on L1 larvae, we observed Sgs3-GFP expression in 7% of phm-GS > CYP18A1; Sgs3-GFP L1 larvae arrested in their development by application of RU486, and subsequently transferred to food supplied with 20E at 48 h after hatching (AH) (n = 72) (Fig. 3D and F). When L1 larvae were fed 20E at 24 h AH, however, no L1 larvae expressing Sgs3-GFP were observed, but approximately 70% of larvae developed to the L1/L2, L2 or L3 stage. Of them, approximately 25% of larvae expressed Sgs3-GFP at the L2 stage. To determine if endogenous glue genes could be induced in ecdysteroid-depleted larvae, expression of sgs3 as well as sgs5 in phm-GS > CYP18A1 L2 larvae not carrying a GFP transgene was analyzed by RT-PCR. Obviously, expression of endogenous sgs3 and sgs5 was induced at 6 and 8 h after application of 20E, respectively (Fig. 3G). We further confirmed that the precocious Sgs3-GFP expression was also induced in ecdysteroid-depleted larvae generated by RNAi mediated knockdown of spok. We first fed RU486 to phm-GS > spok-IR; Sgs3-GFP/spok-IR larvae at 10 μM final concentration during L2 stage and then 20E to these larvae at 24 h AL2E, leading to precocious Sgs3-GFP expression in the ecdysteroid-depleted L2 larvae (Fig. S4).
Fig. 3.
Sgs3-GFP expression is triggered by application of 20E at any larval stage even before attainment of MVW. (A) Schematic representation of 20E titer from the L2 stage to pupariation. (B) Predicted 20E titer of larvae fed with RU486 just after L2-L3 molting. 20E was applied at around the time of the onset of pupariation. Larvae did not initiate pupariation, but showed Sgs3-GFP expression. (C) Predicted 20E titer of larvae fed with RU486 just after L1-L2 molting. 20E was applied at 24 h AL2E, the timing of which corresponded to L2-L3 molting. Larvae did not molt to the L3 stage, but showed Sgs3-GFP expression at the L2 stage. (D) Predicted 20E titer of larvae fed with RU486 just after hatch. 20E was applied at 48 h after hatch, the timing of which corresponded to L2-L3 molting. Larvae did not molt to the L2 stage, but showed Sgs3-GFP expression at the L1 stage. (E) Percentage of animals fed with normal food that underwent pupation after starvation at a given size (n = 12–20 for each interval). The MVW (vertical dashed line) was estimated from a weight which corresponds to the 50% threshold (horizontal dashed line) for pupation after starvation. The vertical solid line indicates the average weight of L2-arrested larvae expressing Sgs3-GFP (0.48 ± 0.013 mg, n = 14, error is SE). (F) Developmental profile of L1 arrested larvae fed with RU486 after hatch. Larvae were administered 20E at 24 h or 48 h AH. ** p < 0.00001. P-values were calculated in Chi-square test using residual analysis. (G) RT-PCR analysis of induction of endogenous glue genes, Sgs3 and Sgs5, in ecdysteroid depleted L2 larvae. Sgs3 and Sgs5 expressions were induced at 6 and 8 h after application of 20E, respectively. (H) Administration of a JH analog does not inhibit Sgs3-GFP expression. Percentage of L3 larvae showing Sgs3-GFP fluorescence. No significant difference in the frequency of Sgs3-GFP expression was detected between methoprene-fed larvae and unsupplied larvae at each stage (Fisher’s exact test: p > 0.05). (I) Immunostaining of EcR or Br-C in SGs of L2 larvae at 28 h AL2E. L2 larvae forced to inactivate ecdysteroids were administered 20E or none at 18 h AL2E. Scale bar: 100 μm. (J) Transcriptional levels of EcR and Br-C in SGs of L2 larvae at 28 h AL2E. L2 larvae forced to inactivate ecdysteroids were administered 20E or none at 18 h AL2E. The expression level of unsupplied-larvae is represented as 1. Each value is plotted as a dot (n = 6). Box plot shows 25–75% (box), median (band inside) and minima to maxima (whiskers). Student’s t-test: *p < 0.05, **p < 0.001. (F, H) Numbers in parentheses in the figures represent the number of animals.
A possible factor involving in Sgs3-GFP expression is juvenile hormone (JH), because it has been well characterized as a status quo factor (Jindra et al., 2013). To examine if JH inhibits Sgs3-GFP expression, larvae carrying only Sgs3-GFP were administered methoprene, a JH analog, just after ecdysis. Administration of methoprene did not inhibit the Sgs3-GFP expression in L3 SG cells, producing a slight delay of expression (Fig. 3H) most likely due to a delay of transition from larval to prepupal stage as described previously (Riddiford and Ashburner, 1991).
Previous studies have proposed a model that Sgs3 gene expression is mediated by the 20E-inducible transcription factors produced by the Br-C via an uncharacterized receptor complex including EcR (Biyasheva et al., 2001; Costantino et al., 2008). Therefore, we examined whether the precocious expression of Sgs3-GFP at the L2 stage was mediated by EcR activation and subsequent Br-C induction. We first examined the expression of EcR and Br-C in the SG cells of phm-GS > CYP18A1; Sgs3-GFP larvae arrested at the L2 stage by application of RU486. We found that EcR protein was expressed at various levels in the SG cells, with EcR protein being weakly expressed in some cells, but not at all in others (Fig. 3I). Administration of 20E at 18 h AL2E lead to an increase in EcR transcript level, and subsequent EcR protein in L2 SG cells at 28 h AL2E (Fig. 3I–J). We next analyzed expression of BR-C protein in larvae arrested at the L2 stage. As expected, expression of both Br-C transcript and protein was low in L2 larvae, but strongly induced by 20E application (Fig. 3I–J), confirming that Br-C also regulates Sgs3-GFP expression downstream of EcR in L2 larvae.
3.4. After the early L2 stage, expression of Sgs3-GFP can be triggered by 20E even in nutritionally deficient conditions
The heterochronic expression of Sgs3-GFP prompted us to test if Sgs3-GFP expression induced by application of 20E is dependent on nutritional conditions. To this end, animals carrying only Sgs3-GFP were used for the subsequent experiments to exclude any effect by the GeneSwitch-GAL4 system. L2 or L3 larvae were transferred from normal food to non-nutritive agar medium with or without 20E-supplementation, as reported previously (Koyama et al., 2014), with slight modifications. Developmental profiles of Sgs3-GFP larvae surviving more than two days after transfer to agar medium are shown in Fig. 4A–B. When L3 larvae just after ecdysis were transferred to an agar medium without 20E-supplementation, they did not show Sgs3-GFP fluorescence and eventually died as L3s. In contrast, L3 larvae transferred to a 20E-supplied agar medium showed Sgs3-GFP fluorescence, and almost all subsequently initiated pupariation. Next, L2 larvae at 0, 2, 4, 6, 12, or 18 h AL2E were tested in the same fashion, with and without 20E supplementation. When L2 larvae at 0 or 2 h AL2E were transferred to agar medium without 20E, almost all of them died in the L2 stage. When 20E was added to the agar medium, all larvae developed to L3s, but did not show Sgs3-GFP fluorescence. When larvae were fed normal food 4 h or more AL2E and then starved, the numbers of larvae developing to the L3 stage increased in proportion to the time spent feeding, but all L3 larvae died without expressing Sgs3-GFP. Addition of 20E to larvae fed 4 h or more AL2E and then starved, resulted in Sgs3-GFP expression (Fig. 4C). The percentage of larvae expressing Sgs3-GFP increased with the time spent feeding, from only 9% Sgs3-GFP fluorescence at 4 h AL2E to 100% Sgs3-GFP fluorescence in animals starved at 18 h AL2E. Furthermore, approximately 60% or 75% of L2 larvae starved at 12 or 18 h AL2E initiated pupariation, respectively. It should be noted that Sgs3-GFP expression was never observed in L2 larva upon 20E feeding without first depleting ecdysteroids. These results prompted us to see if the precocious Sgs3-GFP could be induced in L2 larvae with forced depletion of ecdysteroids under starvation condition. To this end, ecdysteroid-depleted L2 larvae (phm-GS > CYP18A1; Sgs3-GFP) at 18 h AL2E were transferred from rich food containing RU486 to agar medium containing both RU486 and 20E. In this test, all L2 larvae tested expressed Sgs3-GFP fluorescence (n = 25), and the average weight of the GFP-expressing larvae 28–30 h AL2E was 0.35 mg (SE = 0.010, n = 15). These results suggest that precocious Sgs3-GFP expression at an inappropriate developmental stage could be induced under starvation condition, but requires an alteration of developmental program by first depleting ecdysteroids.
Fig. 4.
Developmental profiles of animals without manipulation of ecdysteroidogenesis under nutritional defective conditions. Developmental profiles of animals carrying a transgene Sgs3:GFP without manipulation of ecdysteroidogenesis were examined at 25 °C. (A, B) Developed stages of animals. Larvae were transferred to an agar medium containing 20E (B) or none (A), after feeding on normal food until the time indicated in the panel. AL2E and AL3E indicate after L1-L2 ecdysis and after L2-L3 ecdysis, respectively. Numbers in parentheses in the figure represent the number of animals. (C) Percentage of animals showing Sgs3-GFP fluorescence. Larvae were transferred to an agar medium containing 20E, after feeding on normal food until the indicated time. No larva transferred to an agar medium without 20E-supplementation showed Sgs3-GFP fluorescence.
3.5. Timing of ecdysteroid application determines developmental fate
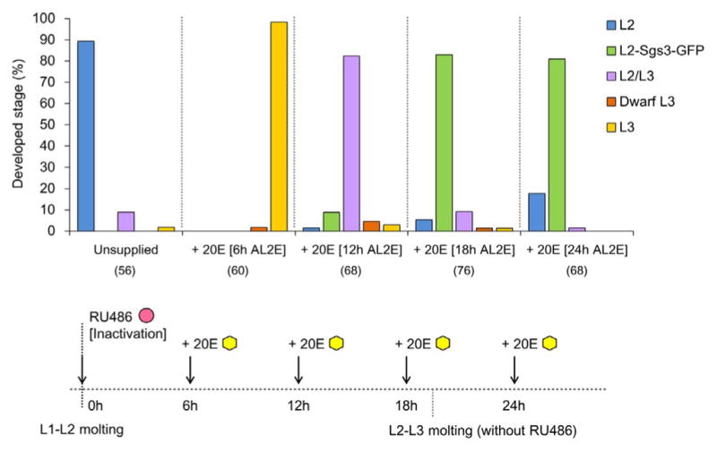
Ecdysteroid titers must rise at precise times in order to coordinate many aspects of developmental events. We therefore investigated if appropriate timing of ecdysteroid application is essential for L2 larvae to successfully molt to L3s. We also monitored whether Sgs3-GFP is expressed in coordination with larval development. For this, phm-GS > CYP18A1; Sgs3-GFP larvae within two hours AL2E were transferred from normal food to RU486-supplemented food. Subsequently, these larvae were transferred to food containing both RU486 and 20E at 6, 12, 18 or 24 h AL2E (Fig. 5). When larvae were fed 20E at 6 h AL2E, most of them developed normally to L3s. In contrast, when larvae were fed 20E at 12 h AL2E, most of them died with growth abnormalities including dwarf larval bodies and failure of L2/L3 molting. The dwarf L3 larvae did not grow after L2/L3 molt and then died with a small body. The L2/L3 larval arrest is likely caused by a failed coordination of developmental events necessary to achieve normal molting. It should be noted that approximately 34% of the L2/L3 larvae expressed Sgs3-GFP. When larvae were fed 20E at 18 or 24 h AL2E, most of them remained in the L2 stage and then died. Noteworthy, most of these L2s expressed Sgs3-GFP in SGs. These results suggest that delayed application of 20E cannot rescue the molting process and abolishes the normal L2-L3 developmental transition but yet allows Sgs3-GFP expression in the L2 stage.
Fig. 5.

Developmental fates of ecdysteroid-defective L2 larvae administered 20E at the different times. Percentage of developmental stages of phm-GS > CYP18A1: Sgs3-GFP larvae. L2 larvae just after ecdysis were fed food containing RU486 at 0 h AL2E to inactivate ecdysteroids in the PG cells. These larvae were fed 20E at a different time indicated in the panel. Numbers in parentheses in the figures represent the number of animals.
3.6. SG cells respond to 20E after a defined time interval
When ecdysteroids were inactivated in the L2 stage, larvae did not molt to L3, but during the prolonged L2 stage, 20E application lead to Sgs3-GFP expression. We first investigated the time it takes to express Sgs3-GFP in phm-GS > CYP18A1; Sgs3-GFP L2 larvae (Fig. 6A). L2 larvae just after ecdysis were fed food containing RU486 to inactivate ecdysteroids, and then fed food containing both RU486 and 20E at a particular time. When 20E was administrated at 18 or 24 h AL2E, the time at which 50% of larvae expressed Sgs3-GFP was determined to be 27.8 or 33.5 h AL2E, respectively. These results indicate that the time it takes to express Sgs3-GFP in the L2 after 20E application is similar in both cases (9.8 vs 9.5 h). Indeed, there was no significant difference in the frequency of Sgs3-GFP expression between these cases at each time after administration of 20E (Fig. S5A), suggesting that a certain interval of time is necessary to achieve the glue gene expression regardless of larval age.
Next, we looked at the time it takes to express Sgs3-GFP in L3 larvae. We examined Sgs3-GFP expression in SG cells of L3 larvae with no manipulation of 20E titers. When phm-GS > CYP18A1; Sgs3-GFP larvae were fed normal food, the time at which 50% of L3 larvae express Sgs3-GFP was found to be 21.1 h AL3E at 29 °C (Fig. 6B). When L3 larvae were fed food containing 20E just after ecdysis, Sgs3-GFP was precociously expressed, with 50% of the larvae expressing Sgs3-GFP at 12.3 h AL3E, indicating that 20E application accelerated Sgs3-GFP expression in early L3 larvae (Fig. S5B). We confirmed that co-application of 20E and RU486 did not have an effect on Sgs3-GFP expression, as there was no significant difference in the frequency of Sgs3-GFP expression between 20E-fed larvae and both 20E- and RU486-fed larvae at 0 or 12 h AL3E at each stage (Fig. S5B). Because it has been considered that transcriptional induction of Sgs3 is mediated by the 20E threshold at 20 h AL3E (Warren et al., 2006), L3 larvae were administered 20E before this peak to see the effect of exogenous 20E. When L3 larvae were fed 20E at 12 h AL3E, their Sgs3-GFP expression was observed to be precocious at 18.7 h AL3E. In contrast, L3 larvae fed RU486 after AL3E and then 20E at 12 h AL3E resulted in delayed Sgs3-GFP expression occurring at 22.6 h AL3E, as significant differences in the frequency of Sgs3-GFP expression between RU486-treated larvae and untreated larvae were detected at 6, 8, 10 h after administration of 20E (Fig. S5C). This timing was delayed relative to that of L3 larvae fed non-supplemented food, indicating that inactivation of ecdysteroidogenesis during 0–12 h AL3E causes a delay of Sgs3-GFP expression. To gain insight into molecular mechanism acting during this time interval that results in the induction of Sgs3-GFP expression, we analyzed expression of EcR and BR-C protein in these L3 larvae (Fig. 6C). We observed that EcR protein was highly expressed in SG cells of at 12 h AL3E, of L3 larvae fed normal food, while weak expression was observed at 0 and 6 h AL3E. We also found that EcR protein was expressed at various levels in SG cells of RU486-fed L3 larvae at 12 h AL3E, as obvious expression in some cells, but little expression in others. We observed no expression of BR-C in SG cells of RU486-fed L3 larvae at 12 h AL3E. In contrast, BR-C protein was clearly detected in SG cells at 12 h AL3E, of L3 larvae fed normal food, but not at 0 and 6 h AL3E. These results suggest that the expression of BR-C in SG cells of L3 larvae is preceded by achievement of a certain 20E threshold prior to 12 h AL3E.
4. Discussion
4.1. SG cells can respond to 20E by a mechanism that is independent of passage through normal larval developmental transitions
The decision to initiate metamorphosis depends on nutritional cues linked to the size checkpoints known as MVW and CW in insects (Mirth and Riddiford, 2007). In contrast, this study shows that a pre-metamorphic event that normally initiates after these checkpoints, i.e. expression of the glue protein Sgs3, could be triggered by 20E in L1 and L2 larvae, even when the weight of these larvae is less than MVW. These results indicate that SG cells have the potential to respond to 20E, as monitored by Sgs3-GFP expression, before attainment of a body size sufficient to survive metamorphosis. It is interesting to compare this to the regulation of metamorphic events in wing imaginal discs (Mirth et al., 2009). In this case, expression of genes required for differentiation of wing imaginal discs is suppressed prior to attainment of CW, which is dependent on nutritional status. However, suppression is released by EcR signaling after attainment of CW, even under starvation conditions. Because differentiation of imaginal discs plays a pivotal role leading up to adulthood, it is not surprising that suppression of developmental events prior to attaining suffiicient nutrient stores to survive metamorphosis would play an important regulatory role. In contrast, since the glue protein Sgs3 is required for a limited time during pupariation, it is not necessary that Sgs3 regulation be linked to nutritional cues as shown in differentiation of imaginal discs.
One possible factor that may regulate SG cells responsiveness is JH, because it regulates the timing and nature of insect molts (Jindra et al., 2013). JH is involved in the assessment of nutritional status and determination of final body size (Nijhout and Williams, 1974b; Mirth et al., 2014). Further, the antagonistic action of JH against the acceleration of metamorphic timing caused by ecdysteroids has been reported (Ono, 2014). On the other hand, gene activation, as shown by 20E-induced puffs in larval SGs, is unaffected by the presence of JH, although the acquisition of competence to respond to 20E is modified by JH (Richards, 1978). Indeed, we found that application of a JH analog did not inhibit the Sgs3-GFP expression (Fig. 3H). The mechanism by which SG cells respond to 20E independent of CW/MVW and JH interactions remains to be elucidated.
4.2. A developmental deadline for responding to ecdysteroids occurs at the middle L2 stage
We found that ecdysteroid-depleted phm-GS > CYP18A1; Sgs3-GFP L2 larvae underwent different developmental fates after feeding 20E at different times, e.g. L2 larvae developed to L3s when fed 20E at 6 h AL2E, whereas L2 larvae died in the L2 stage when they were fed 20E at 18 h and more AL2E (Fig. 5). Furthermore, an intermediate phenotype was observed when 20E was fed at 12 h AL2E, as L2 larvae died during the L2/L3 molt. These results are surprising if one imagines that it is solely the ecdysone titer rise that dictates the timing of larval developmental transitions. If this were so, then one would imagine that L2 larvae in which 20E was depleted early would be in a “suspended” state of development such that once 20E was added, they would progress with normal timing to the next developmental stage. However, the fact that this does not happen if 20E is withheld past the mid-L2 stage suggests some other clock/process keeps progressing in the absence of 20E, and as a result an asynchrony in the two processes develops that is not compatible with further development. The decline in the response to 20E feeding over the course of the L2 timeline suggests that synchrony between the 20E peak and the unknown process needs to occur in the middle L2 stage.
Previous studies have shown that the developmental fate of whether the next molt is either larval or metamorphic is determined at the L2 stage in Drosophila, since L2 pupariation has been observed in loss- or gain-of-function genes that regulate ecdysone biosynthesis (Bialecki et al., 2002; Ou et al., 2011; Venkatesh and Hasan, 1997; Zhou et al., 2004). It is interesting to note that no L2 pupae were observed in 20E-supplied larvae that were 20E depleted starting at the L1/L2 molt (Fig. 5), indicating that 20E supplementation at the middle or late L2 stage is ineffective in triggering precocious pupariation. On the other hand, L2 pupariation was observed when phm-GS > CYP18A1 larvae were continuously fed a low concentration of RU486 after the L2/L3 molt (Fig. 2D), suggesting that low ecdysteroid titers at an early larval stage are required for L2 pupariation. It should be noted that the animals initiated pupariation after a prolonged L2 at a time similar to that of normal L3 pupariation (Fig. 2E). Taken together, these results suggest that larvae acquire competence for pupariation by exposure to 20E before the middle L2 stage, and subsequently pupariation proceeds similar to normal L3 pupariation. Furthermore, animals acquire the ability to develop to adults without molting from L2 to L3, since pharate L2 adults were observed in this study as well as others (Mirth et al., 2005; Zhou et al., 2004). It is interesting that overexpression of one of the broad genes, Br-Z3, from early to middle L2 also generated a high percentage of L2 pupariation (Zhou et al., 2004). Considering that 20E-inducible broad genes are involved in pupal commitment (Zhou and Riddiford, 2002), it is possible that a low titer of ecdysteroids at early L2 is required for a precocious pupal molt at L2/3 transition just as for the normal L3/P transition. It will be interesting to determine whether the deadline for feeding 20E that leads to an L2/L3 molt is related to the time which determines whether the next molt is larval or metamorphic. Either way, it is likely to be linked to expression of a particular isoform of the broad genes.
4.3. Altering the developmental program by ecdysteroid depletion changes the timing of Sgs3 induction
When ecdysteroid-depleted L1 or L2 larvae were administered 20E, Sgs3-GFP expression was induced at the L1 or L2 stage, respectively (Fig. 3C–D). In contrast, Sgs3-GFP expression was observed only in L3, but not in L2, larvae when 20E was fed without ecdysteroid depletion (Fig. 4C). Considering that Sgs3-GFP expression was observed in L2 larvae that fail to molt due to loss of ecdysteroids, it is possible that precocious Sgs3-GFP expression is induced in a tissue autonomous manner only after the developmental fate is changed by ecdysteroid-depletion. We further found that Sgs3-GFP expression was induced even when 20E was supplied to prolonged L3 larvae at the time corresponding to the onset of pupariation (Fig. 3B). Because these larvae did not pupariate after 20E feeding, their developmental fate to pupariation seems to be abolished. As above, these results are consistent with the idea that another clock or process independent from 20E-regulation continues in a temporally unabated fashion in the absence of 20E and molting, such that when 20E is added at a subsequent time, competence to respond to exogenous 20E has developed due to this process, and this enables induction of Sgs3 once 20E is added (Fig. 7). For example, in Fig. 3D, depletion of 20E after hatching to L1s results in an arrested L1 phenotype, at least from a morphologic standpoint. However, we propose that the second 20E-independent clock/process continues unabated such that when 20E is added after 48 h, the time at which wild type larvae normally transition from L2 to L3, the pulse of added E/20E is effective for inducing Sgs3. This is because sufficient time has passed, irrespective of morphological transitions, to enable the competence process to occur. This also explains why adding 20E to wild type L2s does not induce Sgs3 in L2 or subsequent L3 larvae since not enough time has passed to enable the 20E independent mechanism to provide competence to respond to the exogenous 20E. A similar argument can explain the results seen for depletion of 20E during the L3 stage (Fig. 3B). Taken together these results suggest that coordination of gene regulatory cascades during insect larval development is not solely dependent on the timing of 20E production, but likely requires an additional unknown timing cue.
Fig. 7.

A model of heterochronic expression of Sgs3-GFP in a tissue autonomous manner. While 20E triggers developmental transitions including molting and metamorphosis, depletion of 20E causes failure of larval or metamorphic molt. However, a metamorphic event independent from the primary developmental progression initiates in a tissue autonomous manner, i.e. another 20E independent clock or process continues in a temporally unabated fashion in the absence of 20E so that competence to express Sgs3-GFP responding to exogenous 20E has developed. Therefore, when 20E is added at a subsequent time, Sgs3-GFP expression is induced at a stage-aberrant time.
4.4. Larval molting and Sgs3-GFP expression require a small amount of nutrition during the early L2 stage
We investigated whether nutritional status influences the developmental decision of the L2 larva to arrest as an L2 or molt to an L3. Whenever larvae were starved on non-nutritive agar medium from 0 h to 18 h AL2E, almost all of them developed to L3s when fed 20E (Fig. 4B). These results suggest that L2 larvae can respond to 20E, even in poor nutritional conditions, and then molt to L3s. We also found that L2 larvae which were starved from 6 to 18 h AL2E developed to L3s without application of 20E, suggesting that these larvae produce enough endogenous ecdysteroids, even in nutrient-deficient conditions, to trigger molting to L3s. In contrast, L2 larvae starved just after ecdysis but not fed 20E died in the L2 stage likely because they could not produce a 20E pulse. These results suggest that L2 larva also have a CW checkpoint that must be surpassed before molting can occur in the face of starvation.
We next investigated the nutritional needs of Sgs3-GFP expression. We observed no Sgs3-GFP expression in larvae transferred to starvation medium just after the L2/L3 molt (Fig. 4A), suggesting that these L3 larvae did not produce sufficient 20E under these conditions. Feeding 20E, on the other hand, resulted in Sgs3-GFP fluorescence in the L3s even under starvation conditions. Thus expression of Sgs3-GFP does not require further nutritional input after L2-L3 molting. We next examined if nutrition is required during the L2 stage for subsequent Sgs3-GFP expression. While no Sgs3-GFP expression was observed in larvae without 20E-supplementation, most larvae fed for more than 6 h AL2E before being transplanted to a 20E-containing starvation medium expressed Sgs3-GFP. It should be noted that all larvae expressed Sgs3-GFP after the L2-L3 molt. On the other hand, only a few larvae expressed Sgs3-GFP when starved within the first 4 h of L2 ecdysis and then fed 20E, suggesting that the competence-inducing mechanism described above that enables Sgs3-GFP to respond to exogenous 20E requires some nutritional input during the early L2 stage. Larvae starved after the mid-L2 stage have acquired competence to express Sgs3-GFP in response to exogenous 20E despite subsequent nutritional deficiency.
4.5. Molecular mechanisms prior to Sgs3-GFP expression and the time it takes to observe Sgs3-GFP after 20E feeding
A previous study has shown that over-expression of Br-C in SG cells induces the precocious expression of Sgs3-GFP in L1 or L2 larvae (Costantino et al., 2008). In agreement with this result, significant expression of Br-C was observed in SG cells of L2 larvae expressing Sgs3-GFP in response to 20E (Fig. 3I–J), suggesting that, as during normal induction of Sgs3 during the L3 stage, Br-C expression likely mediates the ectopic Sgs3 induction in response to exogenous 20E. Indeed, EcR protein was markedly expressed in L2 larvae expressing Sgs3-GFP, while only weak expression was observed in ecdysteroid-depleted L2 larvae with no exogenously added 20E. It is interesting to note that when ecdysteroid-depleted L2 larvae were fed 20E at 18 h or 24 h AL2E, both required almost the same time to express Sgs3-GFP, approximately 10 h after 20E application (Fig. 6A). This suggests that any cellular process required for development of competence to express Sgs3-GFP after 20E application takes approximately 10 h. To gain insight into a mechanism for this time requirement, we further probed the time it takes to express Sgs3-GFP in L3 larvae (Fig. 6B). Feeding 20E at 12 h AL3E, Sgs3-GFP expression was accelerated by 2.4 h in normal food. In contrast, when larvae were depleted of ecdysteroids during the L3 stage, it took 10.6 h to express Sgs3-GFP in SG cells after 20E application at 12 h AL3E. Considering that during wild type development there are two 20E thresholds at 8 h AL3E and 20 h AL3E (Fig. 3A), the former 20E threshold may be key to setting in motion the events, including Br-C expression, that lead to normal Sgs3-GFP induction approximately 10 h later at the mid-L3 stage. Indeed, obvious Br-C protein was detected in SG cells at 12 h AL3E, while no expression was observed at 0 and 6 h AL3E (Fig. 6C). These results suggest that the 20E threshold at 8 h AL3E preliminarily induces Br-C expression, and then the second 20E threshold at 20 h AL3E triggers Sgs3-GFP expression. Thus, multi-step processes likely determine the time required for Sgs3-GFP expression. It is intriguing to note that the first 20E threshold at 8 h AL3E has been proposed to induce the CW transition (Mirth and Riddiford, 2007; Koyama et al., 2014). While Sgs3-GFP expression could be triggered by 20E independent of CW, it is likely that the 20E titer corresponding to this checkpoint actually prepares the larva for Sgs3-GFP expression under normal conditions.
5. Conclusion
This study shows that an atypical expression of a glue gene in the SG can be induced by exogenous steroid hormone in a stage aberrant manner, whereas the glue protein production is a metamorphic event triggered by endogenous steroid hormone at a predetermined timing. The atypical expression of the glue gene requires alteration of developmental program by steroid hormone depletion, suggesting that a dual regulatory system coordinates proper development, i.e. while steroid hormone regulates the primary developmental progression, another clock/process independent from the steroid regulation continues to run in a tissue autonomous manner under depletion of the steroid hormone for a metamorphic event. Because steroid hormones play crucial roles in promoting developmental progression from the juvenile stage to adulthood in many multicellular organisms, our finding of a second regulatory system, that functions independent of the normal steroid driven whole body response, should provide new insights concerning the molecular mechanisms that program and coordinate gene expression cascades to ensure proper timing of developmental transitions.
Supplementary Material
Table S1. The primers used for vector construction
Acknowledgments
We thank KYOTO Stock Center (DGRC) in Kyoto Institute of Technology and Bloomington Drosophila Stock Center for stocks. The antibodies were obtained from the Developmental Studies Hybridoma Bank, created by the NICHD of the NIH and maintained at The University of Iowa. We thank B.H. white and L. Zong for providing vectors. We thank J. Saito for comments on the manuscript. HO was partly supported by JSPS KAKENHI Grant Number 26450466 and the Asahi Glass Foundation. MJS and MBO were partially supported by a grant from NIGMS (R35-GM118029 to MBO).
Appendix A. Supporting information
Supplementary data associated with this article can be found in the online version at doi:10.1016/j.ydbio.2017.08.002.
References
- Bialecki M, Shilton A, Fichtenberg C, Segraves WA, Thummel CS. Loss of the ecdysteroid-inducible E75A orphan nuclear receptor uncouples molting from metamorphosis in Drosophila. Dev Cell. 2002;3:209–220. doi: 10.1016/s1534-5807(02)00204-6. http://dx.doi.org/10.1016/S1534-5807(02)00204-6. [DOI] [PubMed] [Google Scholar]
- Biyasheva A, Do TV, Lu Y, Vaskova M, Andres AJ. Glue secretion in the Drosophila salivary gland: a model for steroid-regulated exocytosis. Dev Biol. 2001;231:234–251. doi: 10.1006/dbio.2000.0126. http://dx.doi.org/10.1006/dbio.2000.0126. [DOI] [PubMed] [Google Scholar]
- Caldwell PE, Walkiewicz M, Stern M. Ras activity in the Drosophila prothoracic gland regulates body size and developmental rate via ecdysone release. Curr Biol. 2005;15:1785–1795. doi: 10.1016/j.cub.2005.09.011. http://dx.doi.org/10.1016/j.cub.2005.09.011. [DOI] [PubMed] [Google Scholar]
- Colombani J, Andersen DS, Léopold P. Secreted peptide Dilp8 coordinates Drosophila tissue growth with developmental timing. Science. 2012;582:582–586. doi: 10.1126/science.1216689. http://dx.doi.org/10.1126/science.1216689. [DOI] [PubMed] [Google Scholar]
- Colombani J, Bianchini L, Layalle S, Pondeville E, Dauphin-Villemant C, Antoniewski C, Carré C, Noselli S, Léopold P. Antagonistic actions of ecdysone and insulins determine final size in Drosophila. Science. 2005;310:667–670. doi: 10.1126/science.1119432. http://dx.doi.org/10.1126/science.1119432. [DOI] [PubMed] [Google Scholar]
- Costantino BFB, Bricker DK, Alexandre K, Shen K, Merriam JR, Antoniewski C, Callender JL, Henrich VC, Presente A, Andres AJ. A novel ecdysone receptor mediates steroid-regulated developmental events during the mid-third instar of Drosophila. PLoS Genet. 2008:4. doi: 10.1371/journal.pgen.1000102. http://dx.doi.org/10.1371/journal.pgen.1000102. [DOI] [PMC free article] [PubMed]
- Crowley TE, Mathers PH, Meyerowitz EM. A trans-acting regulatory product necessary for expression of the Drosophila melanogaster 68C glue gene cluster. Cell. 1984;39:149–156. doi: 10.1016/0092-8674(84)90200-9. [DOI] [PubMed] [Google Scholar]
- DiBello PR, Withers DA, Bayer CA, Fristrom JW, Guild GM. The Drosophila Broad-Complex encodes a family of related proteins containing zinc fingers. Genetics. 1991;129:385–397. doi: 10.1093/genetics/129.2.385. [DOI] [PMC free article] [PubMed] [Google Scholar]
- Garelli A, Gontijo AM, Miguela V, Caparros E, Dominguez M. Imaginal discs secrete insulin-like of growth and maturation. Science. 2012;579:579–582. doi: 10.1126/science.1216735. http://dx.doi.org/10.1126/science.1216735. [DOI] [PubMed] [Google Scholar]
- Garfinkel MD, Pruitt RE, Meyerowitz EM. DNA sequences, gene regulation and modular protein evolution in the Drosophila 68C glue gene cluster. J Mol Biol. 1983;168:765–789. doi: 10.1016/s0022-2836(83)80074-6. http://dx.doi.org/10.1016/S0022-2836(83)80074-6. [DOI] [PubMed] [Google Scholar]
- Gilbert LI, Warren JT. A molecular genetic approach to the biosynthesis of the insect steroid molting hormone. Vitam Horm. 2005;73:31–57. doi: 10.1016/S0083-6729(05)73002-8. S0083-6729(05)73002-8. [DOI] [PubMed] [Google Scholar]
- Guay PS, Guild GM. The ecdysone-induced puffing cascade in Drosophila salivary glands: a broad-Complex early gene regulates intermolt and late gene transcription. Genetics. 1991;129:169–175. doi: 10.1093/genetics/129.1.169. [DOI] [PMC free article] [PubMed] [Google Scholar]
- Guittard E, Blais C, Maria A, Parvy JP, Pasricha S, Lumb C, Lafont R, Daborn PJ, Dauphin-Villemant C. CYP18A1, a key enzyme of Drosophila steroid hormone inactivation, is essential for metamorphosis. Dev Biol. 2011;349:35–45. doi: 10.1016/j.ydbio.2010.09.023. http://dx.doi.org/10.1016/j.ydbio.2010.09.023. [DOI] [PubMed] [Google Scholar]
- Hackney JF, Zolali-Meybodi O, Cherbas P. Tissue damage disrupts developmental progression and ecdysteroid biosynthesis in Drosophila. PLoS One. 2012;7:1–12. doi: 10.1371/journal.pone.0049105. http://dx.doi.org/10.1371/journal.pone.0049105. [DOI] [PMC free article] [PubMed] [Google Scholar]
- Hill RJ, Billas IML, Bonneton F, Graham LD, Lawrence MC. Ecdysone receptors: from the ashburner model to structural biology. Annu Rev Entomol. 2013;58:251–271. doi: 10.1146/annurev-ento-120811-153610. http://dx.doi.org/10.1146/annurev-ento-120811-153610. [DOI] [PubMed] [Google Scholar]
- Jiang C, Baehrecke EH, Thummel CS. Steroid regulated programmed cell death during Drosophila metamorphosis. Development. 1997;124:4673–4683. doi: 10.1242/dev.124.22.4673. [DOI] [PubMed] [Google Scholar]
- Jindra M, Palli SR, Riddiford LM. The juvenile hormone signaling pathway in insect development. Annu Rev Entomol. 2013;58:181–204. doi: 10.1146/annurev-ento-120811-153700. http://dx.doi.org/10.1146/annurev-ento-120811-153700. [DOI] [PubMed] [Google Scholar]
- Koyama T, Rodrigues MA, Athanasiadis A, Shingleton AW, Mirth CK. Nutritional control of body size through FoxO-Ultraspiracle mediated ecdysone biosynthesis. Elife. 2014;3:1–20. doi: 10.7554/eLife.03091. http://dx.doi.org/10.7554/eLife.03091. [DOI] [PMC free article] [PubMed] [Google Scholar]
- Lavrynenko O, Rodenfels J, Carvalho M, Dye NA, Lafont R, Eaton S, Shevchenko A. The Ecdysteroidome of Drosophila: influence of diet and development. Development. 2015;142:3758–3768. doi: 10.1242/dev.124982. http://dx.doi.org/10.1242/dev.124982. [DOI] [PubMed] [Google Scholar]
- Layalle S, Arquier N, Léopold P. The TOR pathway couples nutrition and developmental timing in Drosophila. Dev Cell. 2008;15:568–577. doi: 10.1016/j.devcel.2008.08.003. http://dx.doi.org/10.1016/j.devcel.2008.08.003. [DOI] [PubMed] [Google Scholar]
- McBrayer Z, Ono H, Shimell MJ, Parvy JP, Beckstead RB, Warren JT, Thummel CS, Dauphin-Villemant C, Gilbert LI, O’Connor MB. Prothoracicotropic hormone reegulates developmental timing and body size in Drosophila. Dev Cell. 2007;13:857–871. doi: 10.1016/j.devcel.2007.11.003. http://dx.doi.org/10.1016/j.devcel.2007.11.003. [DOI] [PMC free article] [PubMed] [Google Scholar]
- Mirth C, Truman JW, Riddiford LM. The role of the prothoracic gland in determining critical weight for metamorphosis in Drosophila melanogaster. Curr Biol. 2005;15:1796–1807. doi: 10.1016/j.cub.2005.09.017. http://dx.doi.org/10.1016/j.cub.2005.09.017. [DOI] [PubMed] [Google Scholar]
- Mirth CK, Riddiford LM. Size assessment and growth control: how adult size is determined in insects. BioEssays. 2007;29:344–355. doi: 10.1002/bies.20552. http://dx.doi.org/10.1002/bies.20552. [DOI] [PubMed] [Google Scholar]
- Mirth CK, Tang HY, Makohon-Moore SC, Salhadar S, Gokhale RH, Warner RD, Koyama T, Riddiford LM, Shingleton AW. Juvenile hormone regulates body size and perturbs insulin signaling in Drosophila. Proc Natl Acad Sci USA. 2014;111:7018–7023. doi: 10.1073/pnas.1313058111. http://dx.doi.org/10.1073/pnas.1313058111. [DOI] [PMC free article] [PubMed] [Google Scholar]
- Mirth CK, Truman JW, Riddiford LM. The ecdysone receptor controls the post-critical weight switch to nutrition-independent differentiation in Drosophila wing imaginal discs. Development. 2009;136:2345–2353. doi: 10.1242/dev.032672. http://dx.doi.org/10.1242/dev.032672. [DOI] [PMC free article] [PubMed] [Google Scholar]
- Nijhout HF. A threshold size for metamorphosis in the tobacco hornworm, Manduca sexta (L.) Biol Bull. 1975:214–225. doi: 10.2307/1540491. http://dx.doi.org/10.2307/1540491. [DOI] [PubMed]
- Nijhout HF, Williams CM. Control of moulting and metamorphosis in the tobacco hornworm, Manduca sexta (L.): growth of the last-instar larva and the decision to pupate. J Exp Biol. 1974a;61:481–491. doi: 10.1242/jeb.61.2.481. [DOI] [PubMed] [Google Scholar]
- Nijhout HF, Williams CM. Control of moulting and metamorphosis in the tobacco hornworm, Manduca sexta (L.): cessation of juvenile hormone secretion as a trigger for pupation. J Exp Biol. 1974b;61:493–501. doi: 10.1242/jeb.61.2.493. [DOI] [PubMed] [Google Scholar]
- Ohhara Y, Shimada-Niwa Y, Niwa R, Kayashima Y, Hayashi Y, Akagi K, Ueda H, Yamakawa-Kobayashi K, Kobayashi S. Autocrine regulation of ecdysone synthesis by β3-octopamine receptor in the prothoracic gland is essential for Drosophila metamorphosis. Proc Natl Acad Sci USA. 2015;112:1452–1457. doi: 10.1073/pnas.1414966112. http://dx.doi.org/10.1073/pnas.1414966112. [DOI] [PMC free article] [PubMed] [Google Scholar]
- Ono H. Ecdysone differentially regulates metamorphic timing relative to 20-hydroxyecdysone by antagonizing juvenile hormone in Drosophila melanogaster. Dev Biol. 2014;391:32–42. doi: 10.1016/j.ydbio.2014.04.004. http://dx.doi.org/10.1016/j.ydbio.2014.04.004. [DOI] [PubMed] [Google Scholar]
- Ono H, Rewitz KF, Shinoda T, Itoyama K, Petryk A, Rybczynski R, Jarcho M, Warren JT, Marques G, Shimell MJ, Gilbert LI, O’Connor MB. Spook and Spookier code for stage-specific components of the ecdysone biosynthetic pathway in Diptera. Dev Biol. 2006;298:555–570. doi: 10.1016/j.ydbio.2006.07.023. (doi:S0012-1606(06)00987-0) [DOI] [PubMed] [Google Scholar]
- Osterwalder T, Yoon KS, White BH, Keshishian H. A conditional tissue-specific transgene expression system using inducible GAL4. PNAS-2001-Osterwalder-12596-601 2001. 2001 doi: 10.1073/pnas.221303298. [DOI] [PMC free article] [PubMed] [Google Scholar]
- Ou Q, Magico A, King-Jones K. Nuclear receptor DHR4 controls the timing of steroid hormone pulses during Drosophila development. PLoS Biol. 2011;9:e1001160. doi: 10.1371/journal.pbio.1001160. http://dx.doi.org/10.1371/journal.pbio.1001160PBIOLOGY-D-10-01372, (pii) [DOI] [PMC free article] [PubMed] [Google Scholar]
- Petryk A, Warren JT, Marqués G, Jarcho MP, Gilbert LI, Kahler J, Parvy JP, Li Y, Dauphin-Villemant C, O’Connor MB. Shade is the Drosophila P450 enzyme that mediates the hydroxylation of ecdysone to the steroid insect molting hormone 20-hydroxyecdysone. Proc Natl Acad Sci USA. 2003;100:13773–13778. doi: 10.1073/pnas.2336088100. http://dx.doi.org/10.1073/pnas.2336088100. [DOI] [PMC free article] [PubMed] [Google Scholar]
- Redfern CP. Evidence for the presence of makisterone A in Drosophila larvae and the secretion of 20-deoxymakisterone A by the ring gland. Proc Natl Acad Sci USA. 1984;81:5643–5647. doi: 10.1073/pnas.81.18.5643. [DOI] [PMC free article] [PubMed] [Google Scholar]
- Rewitz KF, Yamanaka N, O’Connor MB. Steroid hormone inactivation is required during the juvenile-adult transition in Drosophila. Dev Cell. 2010;19:895–902. doi: 10.1016/j.devcel.2010.10.021. http://dx.doi.org/10.1016/j.devcel.2010.10.021. [DOI] [PMC free article] [PubMed] [Google Scholar]
- Richards G. Sequential gene activation by ecdysone in polytene chromosomes of Drosophila melanogaster. VI Inhibition by juvenile hormones. Dev Biol. 1978;66:32–42. doi: 10.1016/0012-1606(78)90271-3. http://dx.doi.org/10.1016/0012-1606(78)90271-3. [DOI] [PubMed] [Google Scholar]
- Riddiford LM, Ashburner M. Effects of juvenile hormone mimics on larval development and metamorphosis of Drosophila melanogaster. Gen Comp Endocrinol. 1991;82:172–183. doi: 10.1016/0016-6480(91)90181-5. (doi:0016-6480(91)90181-5) [DOI] [PubMed] [Google Scholar]
- Riddiford LM, Hiruma K, Zhou X, Nelson CA. Insights into the molecular basis of the hormonal control of molting and metamorphosis from Manduca sexta and Drosophila melanogaster. Insect Biochem Mol Biol. 2003;33:1327–1338. doi: 10.1016/j.ibmb.2003.06.001. http://dx.doi.org/10.1016/j.ibmb.2003.06.001. [DOI] [PubMed] [Google Scholar]
- Shimada-Niwa Y, Niwa R. Serotonergic neurons respond to nutrients and regulate the timing of steroid hormone biosynthesis in Drosophila. Nat Commun. 2014;5:5778. doi: 10.1038/ncomms6778. http://dx.doi.org/10.1038/ncomms6778. [DOI] [PMC free article] [PubMed] [Google Scholar]
- Stieper BC, Kupershtok M, Driscoll MV, Shingleton AW. Imaginal discs regulate developmental timing in Drosophila melanogaster. Dev Biol. 2008;321:18–26. doi: 10.1016/j.ydbio.2008.05.556. http://dx.doi.org/10.1016/j.ydbio.2008.05.556. [DOI] [PubMed] [Google Scholar]
- Venkatesh K, Hasan G. Disruption of the IP3 receptor gene of Drosophila affects larval metamorphosis and ecdysone release. Curr Biol. 1997;7:500–509. doi: 10.1016/s0960-9822(06)00221-1. http://dx.doi.org/10.1016/S0960-9822(06)00221-1. [DOI] [PubMed] [Google Scholar]
- Walkiewicz MA, Stern M. Increased insulin/insulin growth factor signaling advances the onset of metamorphosis in Drosophila. PLoS One. 2009:4. doi: 10.1371/journal.pone.0005072. http://dx.doi.org/10.1371/journal.pone.0005072. [DOI] [PMC free article] [PubMed]
- Warren JT, Yerushalmi Y, Shimell MJ, O’Connor MB, Restifo LL, Gilbert LI. Discrete pulses of molting hormone, 20-hydroxyecdysone, during late larval development of Drosophila melanogaster: correlations with changes in gene activity. Dev Dyn. 2006;235:315–326. doi: 10.1002/dvdy.20626. http://dx.doi.org/10.1002/dvdy.20626. [DOI] [PMC free article] [PubMed] [Google Scholar]
- Wollam J, Antebi A. Sterol regulation of metabolism, homeostasis, and development. Annu Rev Biochem. 2011;80:885–916. doi: 10.1146/annurev-biochem-081308-165917. http://dx.doi.org/10.1146/annurev-biochem-081308-165917. [DOI] [PMC free article] [PubMed] [Google Scholar]
- Zhou X, Riddiford LM. Broad specifies pupal development and mediates the “status quo” action of juvenile hormone on the pupal-adult transformation in Drosophila and Manduca. Development. 2002;129:2259–2269. doi: 10.1242/dev.129.9.2259. [DOI] [PubMed] [Google Scholar]
- Zhou X, Zhou B, Truman JW, Riddiford LM. Overexpression of broad: a new insight into its role in the Drosophila prothoracic gland cells. J Exp Biol. 2004;207:1151–1161. doi: 10.1242/jeb.00855. http://dx.doi.org/10.1242/jeb.00855. [DOI] [PubMed] [Google Scholar]
Associated Data
This section collects any data citations, data availability statements, or supplementary materials included in this article.
Supplementary Materials
Table S1. The primers used for vector construction




