Abstract
Excessive or insufficient angiogenesis is associated with major classes of chronic disease. Although less studied, small molecules which can promote angiogenesis are being sought as potential therapeutics for cardiovascular and peripheral arterial disease and stroke. Here we describe a bioassay-directed discovery approach utilising size exclusion and liquid chromatography to purify components of soybean xylem sap that have pro-angiogenic activity. Using high resolution accurate mass spectrometry and nuclear magnetic resonance spectroscopy, the structure of two pro-angiogenic molecules (FK1 and FK2) were identified as erythro-guaiacylglycerol-8-O-4'-(coniferyl alcohol) ether (eGGCE), and threo-guaiacylglycerol-8-O-4'-(coniferyl alcohol) ether (tGGCE). These two molecules, which are coniferyl neolignan stereoisomers, promoted in vitro angiogenesis in the μM to nM range. Independently sourced samples of eGGCE and tGGCE exhibited comparable pro-angiogenic activity to the soybean derived molecules. The cellular mode of action of these molecules was investigated by studying their effect on endothelial cell proliferation, migration, tube formation and adhesion to the extracellular matrix (ECM) components, fibronectin and vitronectin. They were found to enhance endothelial cell proliferation and endothelial cell tube formation on Matrigel, but did not affect endothelial cell migration or adhesion to fibronectin and vitronectin. Thus, this study has identified two coniferyl neolignan stereoisomers, eGGCE and tGGCE, as pro-angiogenic molecules, with eGGCE being less active than tGGCE.
Introduction
The formation of new capillaries from pre-existing vascular networks (angiogenesis) is a tightly controlled process in adult mammals. Excessive or insufficient angiogenesis is associated with major classes of chronic disease. Excessive angiogenesis is associated with cancer, psoriasis, age-related macular degeneration and arthritis [1–3] and this has fostered the isolation, identification and testing of an extensive range of anti-angiogenic molecules in clinical trials [4–6]. Although receiving less attention, the possibility of using pro-angiogenic molecules as therapeutic agents has recently emerged. Pro-angiogenic drugs have the potential to aid in treating diseases and conditions where the formation of new blood vessels is needed as, for example, in wound healing [1, 7, 8], cardiovascular disease [9, 10] and stroke [11–13]. Only a limited number of pro-angiogenic molecules have been studied in clinical settings, including erythropoietin (EPO) [14], β-carotene [15], nicotine [16–18], ferulic acid [19], stromal cell-derived factor 1 (SDF-1) [20] and VEGF [21]. However, unlike anti-angiogenic drug candidates, none of these molecules have translated well into the clinic [21, 22] and, therefore, it is of great interest to identify and explore more compounds with pro-angiogenic activity.
Historically, plant-derived natural products have been a rich source of therapeutic compounds, for example, salicylic acid [23], taxol [24], vincristine, vinblastine [5] and camptothecin [25] to name but a few. Recently Wang et al., scrutinised the available literature on plant-derived anti-angiogenic products and came up with a few phytochemical compounds which could affect tumour angiogenesis and pathological tumour vasculature [26]. However, pharmacologically active compounds in plants often exist at very low concentrations and this presents challenges to developing effective extraction and purification protocols [27].
A stratagem that enhances the potential for success in identifying potential therapeutic activities in fractionated plant material is to couple purification with a sensitive and robust activity-guided biological assay [28, 29]. The rat aorta ring assay has been used successfully to screen for compounds that modulate angiogenesis, in vitro [30–32]. The anti-angiogenic drug, PI-88 (Muparfostat; a sulfated oligosaccharide) [33], which has reached a phase III clinical trial in hepatocellular carcinoma patients [34], was identified using a modified version of this assay which involved human placental blood vessel fragments (Brown et al 1996).
The rat aortic ring assay is thought to provide a bridge between in vivo and in vitro angiogenesis models [32]. This assay not only includes endothelial cells but also their surrounding cells [30] and rat aortic rings cultured in collagen gel give rise to microvascular networks composed of branching endothelial channels which approximate a microvascular network. Therefore, it is thought that using the rat aorta assay reproduces more accurately the environment in which angiogenesis takes place in vivo than alternative procedures using preselected endothelial cells and their subsequent passaging in vitro. However, since angiogenesis predominantly occurs at the microvascular level, the use of large vessels, such as aorta, as the source of new vessels may be a less-than-ideal choice [30, 35]. Although the rat aorta assay is useful for screening angiogenesis modulating compounds, an understanding of the cellular mode of action requires additional bioassays to examine the individual mechanistic steps of angiogenesis, such as endothelial cell proliferation, migration, adhesion and tube formation [30].
In this paper we used a modification of the rat aorta assay [36] that enabled us to screen for, and discriminate between, pro- and anti-angiogenic activities in fractionated extracts of soybean xylem sap. Using this approach we identified three fractions of soybean xylem sap that enhanced angiogenesis and, subsequently, characterised the proangiogenic molecules in two of these fractions and determined their mode of action.
Materials and methods
Materials
Analytical grade reagents were obtained from Sigma-Aldrich, St. Louis, MO and Ajax Chemicals, Auburn, NSW, Australia. Soybean seeds (Glycine max cultivar Bragg) were obtained from Prof. Peter Gresshoff, University of Queensland, Australia. Deionised water was used in all laboratory procedures (>18.2 MΩ.cm; Millipore, Billerica, MA). Commercial eGGCE was purchased from BOC Sciences, New York, NY and tGGCE (isolated from Bretschneidera sinensis) was kindly provided by Prof. Dr. Wei-Dong Zhang and Dr. Shan Lei from the Second Military Medical University, Shanghai, China.
Soybean growth and xylem sap isolation
Soybeans were grown in square pots (100 × 100 × 300 mm) containing vermiculite (Ausperl, Banksmeadow, NSW, Australia) under glasshouse conditions of 14 hr light (28°C) and 10 hr dark (25°C). Pots were watered every day with ~200 mL of urban water which was replaced with modified Herridge’s nutrients [37] containing 10 mM KNO3 every second day from the second week of planting.
Xylem sap, a clear solution lacking any visible signs of chlorophyll contamination, was collected from decapitated plants, 4–6 weeks post-germination [38, 39]. Sap was collected between 0–7 hr from the wound site by attaching 5 mL syringes via a short length (3–4 cm) of rubber tubing (i.d., 3 mm) fitted over the cut stump. Exudation was estimated at 0.34 mL/hr per plant over 24 hr. Sap from 50–300 plants was pooled and lyophilized overnight.
Size fractionation and HPLC separation
Molecular weight spin filters (10 kDa and 3 kDa; Merck Millipore, Billerica, MA) were utilised in succession to remove the high molecular weight sap proteins [38] and enrich the low molecular weight sap molecules. The 3 kDa filtrate was freeze dried, redissolved in 100 μL of water (equivalent to 40 mL of fresh xylem sap) and analysed by HPLC (LC10-VP series, Shimadzu, Kyoto, Japan) using a reverse phase Alltech Platinum C18 column (5 μm, 250 × 4.6 mm) and guard cartridge (Grace Discovery Sciences, Columbia, MD). The column was held at 35°C and eluted over 30 min with a linear gradient of 5% to 85% acetonitrile (hold 5 min) at 1 mL/min. Sample components were detected with a photodiode array (PDA) detector and peaks collected by monitoring UV absorbance in real time at 254 nm. Fractions were collected from 2 to 30 min at 30 sec intervals, dried under nitrogen, diluted to 200 μL with water and either screened for activity in the pro-angiogenic bioassay or stored at -70°C.
The semi-preparative purification of FK1 and FK2 utilised the Alltima C18 column as above (50 μl injection, 20 mL sap equivalent) with an optimised linear gradient of 20% (hold 5 min) to 31% (over 15 min) acetonitrile with a final wash over 5 min from 31% to 85% (hold 5 min).
Bioassay for angiogenesis modulating activity using the in vitro rat aorta assay
The rat aorta angiogenesis bioassay [33] was modified to enhance the ability to screen for pro-angiogenic activity in the HPLC-derived fractions by reducing the concentration of heat inactivated foetal calf serum (HIFCS) from 20% to 5% and incubating for 7 days in 48 well culture plates (Costar, Corning, Lowell, MA) at 37°C in 5% CO2 [36]. Six technical and three biological replicates were used and the medium was changed on day 4 of culture. Vessel outgrowth was quantified as percent growth under a Nikon TMS inverted phase contrast microscope (Nikon Instrument Inc., Tokyo, Japan) at 40 × magnification on days 5, 6 and 7. Control cultures either received medium with the diluent alone or with the known anti-angiogenic agent, PI-88 [33] added at 100 μg/mL. Vessel outgrowth was determined as the percentage of a microscope field, outside the aorta ring, that was occupied by blood vessels using ImageJ software as previously described [40] or measured manually, particularly when large numbers of column fractions needed to be scored.
Liquid chromatography mass spectrometry (LC-MS)
Mass spectrometry of the purified pro-angiogenic components was carried out using an Agilent 6530 Accurate Mass LC-MS Q-TOF (Santa Clara, CA). Samples were subjected to electrospray ionisation (ESI) in the Jetstream interface in positive and negative modes under the following conditions: gas temperature 300°C, drying gas 4 L/min, nebulizer 35 psig, sheath gas temperature 350°C and flow rate of 11 L/min, capillary voltage 3500 V, fragmentor 175 V, and nozzle voltage 1000 V. Unfractionated xylem sap or HPLC purified pro-angiogenic components (3 μL) were injected onto an Agilent Eclipse XDB-C18 (2.1 × 50 mm column; 1.8 μm) and eluted with a linear gradient from 10 to 50% of mobile phase B in 8 min, then to 70% in 4 min (hold for 8 min) at a flow rate of 200 μL/min. Mobile phase A was water containing 0.1% formic acid; mobile phase B was acetonitrile/water (9:1 v/v) containing 0.1% formic acid. The instrument was run in extended dynamic range mode from m/z 100–3000 and data acquired by targeted collision induced dissociation (CID; N2 collision gas supplied at 18 psi) MS/MS (2 spectra/s). Data were acquired and analysed with Agilent’s MassHunter software.
Nuclear magnetic resonance spectroscopy (NMR)
Nuclear magnetic resonance (NMR) spectroscopy experiments were recorded on either a Bruker AVANCE 800 or 600 MHz NMR spectrometer with TCI cryoprobe (Bruker, Billerica, MA) using D2O as the solvent at 298 K. Spectra were analysed using Bruker TopSpin 2.1 software. 1H NMR chemical shifts in parts per million (ppm) are reported using the HOD signal as an internal chemical shift reference (4.72 ppm at 298 K). 13C chemical shifts in ppm are referenced indirectly to the proton shift.
1H: 1D proton NMR spectra were performed using a standard Bruker pulse program, zgpr, which included solvent suppression via pre-saturation. A total experiment time of 5 min was used with a t1max of 1.25 sec. 1H-1H DQF-COSY: A phase-sensitive DQF-COSY spectrum was also measured using the standard Bruker sequence cosydfphpr, which includes a double-quantum filter and pre-saturation. A total experiment time of 38 min was used with a t1max of 26 msec and a t2max of 104 msec. 1H-1H TOCSY: A TOCSY spectrum was measured using the Bruker pulse program mlevphpp that was modified to include pre-saturation. A total experiment time of 19 min was used with a t1max of 13 msec, a t2max of 250 msec and a TOCSY mixing time of 60 msec. 1H-1H NOESY: A NOESY spectrum was recorded using the Bruker pulse program noesygpphpp modified to include pre-saturation. A total experiment time of 14.2 hr was used with a t1max of 39 msec, a t2max of 1.62 sec and a 500 msec NOE mixing time. 13C-1H HSQC: A 13C-HSQC spectrum was recorded using the standard Bruker pulse sequence hsqcedetgpsisp2.2. A t1max of 15.3 msec, a t2max of 152 msec and a total experiment time of 2.3 hr was used. 13C-1H HMBC: A 13C-HMBC spectrum was recorded using the standard Bruker pulse sequence hmbcetgpl2nd, which includes a two-fold low-pass J-filter to suppress one-bond correlations. A t1max of 10.1 msec, a t2max of 304 msec and a total experiment time of 8 hr was used.
Cell proliferation (mitogenic) assay
Human umbilical vein endothelial cell (HUVEC) proliferation was assessed by determining 3H-thymidine incorporation [41]. HUVECs were cultured in M199 medium supplemented with 20% HIFCS, 0.24 mg/mL gentamycin, 2 mM L-glutamine, 0.04 mg/mL endothelial cell growth supplement (ECGS) (Sigma-Aldrich, St. Louis, MO) and 0.135 mg/mL heparin (Sigma-Aldrich, St. Louis, MO) in gelatin-coated 96-well plates and incubated for 4 days at 37°C in 5% CO2 to reach confluence. The confluent cells were then serum starved for 24 hr. Subsequently, 100 μL/well of test compound in serum-free medium with or without basic fibroblast growth factor (bFGF) (R&D Systems, Minneapolis, MN) was added to each well for another 24 hr before adding 3H-thymidine. 3H-thymidine (0.5 μCi/well; MP Biomedicals, Solon, OH) was added and incubated for the final 24 hr. Incubation was stopped by adding 100 μL/well of trypsin/EDTA to lift the cells from the gelatin layer with 100 μL/well of M199 medium supplemented with 20% HIFCS added to neutralize the trypsin enzymatic activity. Finally, plates were frozen and thawed 3 times and cells were harvested using a 96-well cell Filtermate 196 harvester, with EasyTabTM-C self-aligning filters and the incorporated radioactivity counted with a Topcount®NXT™ Microplate Scintillation and Luminescence Counter (Packard Bioscience, Meriden, CT).
Cell migration assay (wound healing assay)
Label-free, kinetic assays for cell migration used the IncuCyteTM live-cell imaging system (Essen BioSciencen, Ann Arbor, MI) following the techniques described previously [42]. Briefly, human microvascular endothelial cells (HMEC) were added to 96-well ImageLock Essen plates (Essen BioSciences, Ann Arbor, MI) at 2.5 × 104 cells/well in 100 μL/well of MCDB 131 medium (Invitrogen) supplemented with 10% HIFCS, 0.1% PSN (0.03 g/L penicillin G, 0.05 g/L streptomycin sulfate, 0.05 g/L neomycin sulfate), 2 mM L-glutamine, 0.01 μg/mL endothelial cell growth factor (ECGF), (Gibco BRL, Grand Island, NY) and 1 μg/mL hydrocortisone (Sigma-Aldrich, St. Louis, MO) and incubated for 2 days at 37°C in 5% CO2 to reach confluence. After removing the medium from each well, a wound was made in the HMEC monolayer using the 96-pin WoundMaker device. The use of Essen ImageLock plates ensured that the wounds were automatically located and registered by the IncuCyte software for imaging and data recording.
Each well was then rinsed twice with 100 μL/well of culture medium to prevent dislodged cells from setting and re-attaching. Medium (100 μL/well), with or without test compound, was added to each well. Wound images were then captured and saved at 2 hr intervals until control wounds had recovered completely. The data was analysed either by the IncuCyte software package or extracted by three integrated metrics (wound width, wound confluence, relative wound density) and analysed by Prism statistical software.
Endothelial cell tube formation assay
HMEC and HUVEC cultures were used for in vitro endothelial tube formation. Matrigel (BD Biosciences, Bedford, MA) was thawed overnight at 4°C and plated into ice-cold 96-well ImageLock Essen plates at 50 μL/well using pre-cooled pipets, tips and tubes. The plates were incubated at 37°C in 5% CO2 for 1 hr to allow the Matrigel to form a stable gel. HUVECs at 4×104 cells/well in 100 μL of M199 medium supplemented with 20% HIFCS, 0.24 mg/mL gentamycin, 2 mM L-glutamine, 0.04 mg/mL ECGS, and 0.135 mg/mL heparin with or without test compounds were added and Matrigel cultures placed inside the IncuCyte and incubated at 37°C for 24 hr.
HMEC (100 μL; 5×104 cells/well) in MCDB 131 medium supplemented with 10% HIFCS, 0.1% PSN, 2 mM L-glutamine, 0.01 μg/mL ECGF, and 1 μg/mL hydrocortisone ± test compounds were added to the Matrigel. Tube formation was imaged at 2 hr intervals using the IncuCyteTM live-cell imaging system with the phase-contrast ImageLock scan type. The images were analysed by measuring percentage of denuded area and number of sprouting cells at early stages of tube formation (4 hr) and the total number and length of tubes formed at later stages of tube formation (6 hr) in each well using IncuCyte and NIH ImageJ software with the Angiogenesis Analyzer plugin [43] for quantification of tube networks.
Rose Bengal cell adhesion assay
The Rose Bengal cell adhesion assay is based on a previously described method [44] used to measure the interaction of antibodies with cell surface antigens using an automated colorimetric assay. A 96 round bottom (U-well) culture plate (Costar, Corning, Lowell, MA) was first coated either with bovine plasma fibronectin (Invitrogen, Carlsbad, CA) or purified human vitronectin (Gibco BRL, Grand Island, NY) at 50 μL/well at selected concentrations ranging from 0.313 to 10 μg/mL and incubated overnight at 4°C. The liquid layer was then removed and the cells washed by submerging twice in a PBS bath (removing the PBS between washes). The non-specific binding sites were then blocked by incubation with 200 μL/well of 1% BSA in Hank’s balanced salt solution (HBSS) for 1 hr at 37°C before removing the supernatant. HMEC (5 × 104 cells/well) were added in 100 μL/well of serum free culture medium supplemented with 0.1% BSA with or without the test compounds. The plate was then incubated for (2.5–60 min) at 37°C. Unbound cells were removed and 100 μL/well of 0.25% (w/v) Rose Bengal dye (Koch-Light Laboratories Ltd., Colnbrook, Berkshire, England) in PBS was added to stain the bound cells, for 3 min at room temperature. The non-absorbed dye was then removed and the plate washed twice by submerging in fresh PBS baths.
After draining the plate, 200 μL/well of 50% ethanol in PBS was added and mixed to liberate dye from the cells. Non-specific binding of the dye to fibronectin/vitronectin-coated and uncoated wells in the presence and absence of cells was also determined and subtracted. The relative number of bound-cells in each well was quantified by determining each well’s optical density (OD) at λ1 = 540 nm and λ2 = 650 nm, on a Thermomax microplate reader (Molecular Devices, Sunnyvale, CA). The data was then analysed by GraphPad prism 5.04 software (GraphPad Software, San Diego, CA).
Statistical analyses
Data are reported as mean ± SEM. Statistical significance was measured using a two-tailed unpaired t-test between the sample treated and untreated groups and one-way and two-way ANOVA, comparing each group to control and other groups using the GraphPad prism 5.04 software. P values less than 0.05 were considered statistically significant.
Results
Isolation and fractionation of low molecular weight pro-angiogenic molecules from soybean xylem sap
Concentrated soybean xylem sap was fractionated using reversed-phase C18 HPLC chromatography and screened for the presence of hydrophobic, low molecular weight angiogenesis-modulating molecules using the rat aorta ring bioassay. Although yield varied depending upon plant growth, fractions eluting at 7–7.5, 13.5–14 and 18–18.5 min gave highly consistent and significant pro-angiogenic activity when measured at days 5, 6 and 7 using the rat aorta assay (Fig 1A). We focussed on the more hydrophobic fractions at 13.5–14 and 18–18.5 min because activity strongly correlated with the presence of UV absorbing peaks at these elution times (S1 Fig). The UV absorbing and biologically active fractions were separated using an optimised HPLC gradient (Fig 1B). Two peaks eluting between 13.5–14 min gave identical UV absorption spectra each of which were distinguishable from the peak at 18–18.5 min (S1 Fig). The three purified fractions (designated FK1, FK 2 and P6) showed significant pro-angiogenic activity (Fig 1C–1E). Upon long term storage the activity of P6 diminished, suggesting instability, but FK1 and FK2 were stable. Due to instability and insufficient material, P6 was not analysed further.
Fig 1. Biological activity of HPLC fractionated soybean xylem sap.
A, UV absorbance at 254 nm of HPLC separated xylem sap material, the injection volume of 50 μL containing a sap concentrate equivalent to 20 mL of sap. Fractions were collected at 30 s intervals and tested by the rat aorta ring assay and fractions with pro-angiogenic activity are highlighted in red. B, Separation of FK1 and FK2 using a shallow gradient for a large scale purification (see methods). C, D The pro-angiogenic activity of the test compounds is expressed as a percentage of aorta vessel outgrowths observed on days 5, 6 and 7 based on the field of view, with (C) depicting 0% outgrowth and (D) 60% outgrowth. E, Biological activity of fractions containing purified FK1, FK2 or P6 using the rat aorta ring assay. Day 5–7 results are shown. Control cultures received medium with the diluent only or diluent with the anti-angiogenic compound, PI-88, at 100 μg/ml.
NMR analysis of purified FK1 and FK2
A scaled-up extraction of 300 plants yielded 2000 mL of xylem sap. Optimization of the HPLC separation of FK1 and FK2 enabled the isolation of 458 μg of FK1 and 387 μg of FK2 of sufficient purity to enable NMR and MS analysis. The pro-angiogenic activity of the purified FK1 and FK2 was confirmed by bioassay before nuclear magnetic resonance (NMR) and mass spectrometry (MS) analysis (see below) which validated that the isolated FK1 and FK2 were pure, UV absorbing and biologically active.
Initial 1D 1H NMR spectra were recorded for both FK1 and FK2 products. FK1 was determined to be more pure and of higher concentration, so initial structure determination was performed on this product. 13C-HSQC, 13C-HMBC, 1H-1H DQF-COSY, 1H-1H TOCSY and 1H-1H NOESY NMR spectra were then measured of FK1 and structural fragments were constructed as follows. Two methoxy resonances were identified in the 1H NMR spectrum at δ 3.68 (3H, s, H-10) and δ 3.70 (3H, s, H-10’). Two protons at δ 6.56 (1H, dt, J = 16.0, 1.0 Hz, H-8’) and δ 6.30 (1H, dt, J = 15.9, 6.0 Hz, H-7’) were identified in a trans double bond arrangement due to their 3J coupling of 16.0 Hz, and were linked to a degenerate methylene group at δ 4.25 (2H, dd, J = 6.0, 0.9 Hz, H2-9’) via their 3J and 4J couplings, respectively. Proton signals at δ 4.07 (dd, 2J = 12.3 Hz, 3J = 2.8 Hz, 1H, H-9a) and δ 3.94 (dd, 2J = 12.3 Hz, 3J = 6.7 Hz, 1H, H-9b) were linked through their 2J coupling and their shared carbon shift in the 13C-HSQC spectrum, and were linked to a multiplet at δ 4.66 (m, 1H, H-8) via the DQF-COSY. An ABX aromatic coupling system was identified, and positioned the aromatic proton at δ 6.86 (dd, 3J = 8.1 Hz, 4J = 1.9 Hz, 1H, H-6) meta from δ 6.88 (d, 4J = 2.0 Hz, 1H, H-2) and ortho to δ 6.74 (d, 3J = 8.1 Hz, 1H, H-5). Three further aromatic protons were identified and linked via the TOCSY cross-peaks, but needed correlations from the HSQC and HMBC spectra to resolve δ 6.97, (overlapped s, 1H, H-6’) as ortho to δ 6.97, (overlapped s, 1H, H-5’), and para to δ 6.98 (bs, 1H, H-2’). The HSQC and HMBC spectra were also used to resolve a solvent overlapped peak, Hδ 4.7 Cδ 72.54 (overlapped m, 2H, H-7, C-7) and link this resonance to Cδ 61.52 (C-9). The methoxy group H3-10 was linked to H-2 via the NOESY spectrum and to Cδ 147.72 (C-3) via the HMBC spectrum, which was also linked to H-6 and H-5. Methoxy H3-10 was linked to H-2’ via the NOESY spectrum and to Cδ 149.22 (C-3’) via the HMBC spectrum, which was further linked to H-5’ and H-6’. NOEs were observed between H-2’, H-5’ and H6’ to H-7’ and H-8’, linking these fragments, and was positioned by the HMBC correlation from H-7’ to Cδ 119.45 (C-6’) and Cδ 109.78 (C-2’) as was H-8’ to Cδ 131.13 (C-1’). Finally, HMBC correlations between 6-H, 2-H and C-7 and further correlations between H-8 and Cδ 146.94 (C-4’) constructed the final compound.
Assignments could easily be made for FK2 due to the similarity of the 13C-HSQC cross-peaks to those of FK1 and 1H-1H couplings constants (S2 Fig). It was then proposed that FK1 and FK2 were diastereomers, with undefined chirality of C-7 and C-8. The compound identified (Fig 2) was proposed to be the previously described natural product guaiacylglycerol-8-O-4’(coniferyl alcohol) ether (GGCE), coniferyl neolignans of which there are four possible stereoisomers. The NMR spectra were found to be in agreement with previously reported chemical shifts and couplings [45].
Fig 2. Chemical structures of purified FK1 and FK2.
Chemical structures of FK1 (eGGCE) (A) and FK2 (tGGCE) (B), which are coniferyl neolignans, based on the NMR, MS and UV spectroscopic data described in this paper, with eGGCE and tGGCE containing two chiral carbons (C-7 and C-8). The NMR, MS, UV spectroscopic and pro-angiogenic properties of the isolated FK1 and FK2 were also comparable to commercial eGGCE purchased from BOC Sciences, NY, USA, and to naturally-derived tGGCE provided by the Second Military Medical University, Shanghai, China.
LC-MS/MS analysis of purified FK1 and FK2
Initial QTOF MS data implied a chemical formula of C20H22O6, for both FK1 and FK2. However, through the NMR structure elucidation process, an extra proton shift was identified correlated to the spin system of FK1. It was proposed that the mass initially observed in the QTOF MS was in fact the [M-H2O]- peak, implying a formula of C20H24O7. This was confirmed by reducing the nebulizer spray temperature to reveal the predicted molecular ions for FK1 and FK2 by both -ve ESI ([M-H]-, m/z 375) (Fig 3 and S1 Table) and +ve ESI (M+, m/z 376; and [M+Na]+, m/z 399) (S3 Fig and S2 Table).
Fig 3. Negative ion mode ESI-MS/MS spectra analysis of FK1 and FK2.
FK1, erythro-guaiacylglycerol-8-O-4´-(coniferyl alcohol) ether (eGGCE) (A) and FK2, threo-guaiacylglycerol-8-O-4´-(coniferyl alcohol) ether (tGGCE) (B) spectra, selecting m/z 375 ([M-H]-) for CID at 10 eV.
The deprotonated FK1 and FK2 molecules (m/z 375, [M-H]-) were essentially identical to those reported by Morreel et al. [46], comprising a series of losses of H2O (m/z 357, [M-H-H2O]-), formaldehyde (m/z 327, [M-H-H2O-CH2O]-) and a methyl moiety (m/z 312, [M-H-H2O-CH2O-CH3]-) (Fig 3) [46, 47]. A comparison of the observed and calculated masses for the two deprotonated isomers and their associated fragments showed them to be in good agreement (Δppm between -3.19 and 4.85) (S2 Table).
In the positive mode, the MS spectra was dominated by the sodium adduct (m/z 399 ([M+Na]+) and successive losses of OH (m/z 359, [M-OH]-), H2O (m/z 341, [M-OH- H2O]-) and formaldehyde (m/z 311, [M-OH- H2O-CH2O]-) (S3 Fig). A comparison of the observed and calculated masses for these ions showed them to also be in good agreement (Δppm between -1.32 and 0.58) (S2 Table). It is worth noting the presence of the odd electron ion [M]+ (S3 Fig). Although it was present in low abundance, this was still sufficient to calculate an elemental formula from the measured accurate mass. Odd electron molecular ions are occasionally observed in ESI MS, particularly when compounds with low redox potential are analysed at low flow rates so that the neutral species is in contact with the capillary/solution interface for a longer time [48].
The NMR and MS data are all consistent with FK1 and FK2 being identified as diastereomers of GGCE, namely erythro-guaiacylglycerol-8-O-4´-(coniferyl alcohol) ether (eGGCE) and threo- guaiacylglycerol-8-O-4´-(coniferyl alcohol) ether (tGGCE) (Fig 2), which are classified as neolignans.
In addition, a commercially purchased sample of eGGCE and an independently derived natural product isolate of tGGCE (isolated from Bretschneidera sinensis) were sourced and found to have near identical spectroscopic and chromatographic properties as the isolated FK1 and FK2, respectively (data not shown).
In vitro activity of independently sourced eGGCE (FK1) and tGGCE (FK2) in the rat aorta ring bioassay
The biological activity of the independently sourced eGGCE and tGGCE were investigated over a range of concentrations (5 × 10−6 M to 5 × 10−9 M) to confirm that they had the same activity as those derived from soybeanThe results, expressed as percent growth, showed significant enhancement of vessel outgrowth by both eGGCE and tGGCE compared to the control after 5, 6 and 7 days of culture at the concentrations examined (Fig 4).
Fig 4. Pro-angiogenic activity of eGGCE (FK1) and tGGCE (FK2) in the in vitro rat aorta assay.
The independently sourced eGGCE and tGGCE preparations were tested at concentrations ranging from 5 × 10−6 M to 5 × 10−9 M. Control cultures contained the same diluent dilution as the test compounds. Data are expressed as a percentage of aorta vessel outgrowths observed on days 5, 6 and 7. Data analysis was performed by Student–Newman–Keuls test after one-way ANOVA comparing each group to control in each treatment. Error bars represent SEM (n = 6). *, P ≤ 0.05, **, ≤ 0.01.
Effects of eGGCE (FK1) and tGGCE (FK2) on endothelial cell proliferation
eGGCE and tGGCE were tested at concentrations ranging from 5 × 10−6 M to 5 × 10−12 M for their effect on the proliferation of serum-starved confluent HUVEC with or without the mitogen bFGF (at 12.5 ng/mL). In the presence of bFGF, these molecules significantly induced HUVEC proliferation at 5 × 10−6 M to 5 × 10−8 M and 5 × 10−6 M to 5 × 10−12 M concentrations, respectively (Fig 5). The peak of activity occurred at 5 × 10−8 M in both cases and tapered off at lower and higher concentrations, with tGGCE being more active than eGGCE at the lower concentrations (i.e., 5 × 10−9 M to 5 × 10−12 M). In addition, the results showed that in the absence of bFGF, tGGCE (but not eGGCE) significantly enhanced HUVEC proliferation between 5 × 10−8 M to 5 × 10−10 M compared to the control. Based on these findings it can be concluded that both neolignans eGGCE and tGGCE can enhance endothelial proliferation, but tGGCE is more effective than eGGCE.
Fig 5. HUVEC proliferation assay in the presence of eGGCE (FK1) and tGGCE (FK2).
Effect of eGGCE and tGGCE, at concentrations from 5 × 10−6 M to 5 × 10−12 M on confluent serum-starved HUVEC proliferation in serum free media (SFM) with and without the mitogen bFGF (12.5 ng/mL). All the treatments were undertaken in the same experiment and control cultures contained the same diluent dilution as the test compounds. Cell proliferation was measured as 3H thymidine incorporation after 24 hr incubation. Data analysis was performed by Student–Newman–Keuls test after one-way ANOVA comparing each group to control in each treatment. Error bars represent SEM (n = 6). *, P ≤ 0.05, **, ≤ 0.01, ***, ≤ 0.001. Also, a two-way ANOVA data analysis showed a significant difference for all tested concentrations comparing their effect in SFM to SFM+bFGF (12.5 ng/mL) treatments, P ≤0.0001.
Effect of eGGCE (FK1) on endothelial cell differentiation (tube formation assay)
HUVEC and HMEC tube formation assays were conducted on Matrigel in the presence and absence of eGGCE and the number of tubes, the number of branch points, the length of tubes, and the percentage of area covered by tubes versus total area were assessed (Aranda and Owen, 2009) using NIH ImageJ [43] and IncuCyte software. Initially, different concentrations of HUVEC (1–4 × 104/well) were cultured for 6 hr with or without 5 × 10−6 M eGGCE, with enhanced tube formation by HUVECs being observed at all three cell concentrations tested (Fig 6A). Subsequent studies were undertaken at the highest HUVEC concentration (4 × 104/well) and eGGCE was shown to enhance HUVEC tube formation above control levels with all four measured parameters, with the enhancing activity tapering down with increasing dilution (Fig 6B–6E). Denuded areas and total tube length were enhanced only at 5 × 10−6 M, the highest concentration tested, this enhancement being significant for denuded area, whereas the total number of sprouting cells and the number of tubes was significantly higher with eGGCE addition at the three and two highest concentrations tested, respectively (5 × 10−6 M to 5 × 10-8M) (Fig 6B–6E). With HMEC (4 × 104 cells/well), tube formation was best measured by circle formation and was evident after 2 hr incubation, with an enhanced response being observed at the two highest eGGCE concentrations tested (5 × 10−6 M and 5 × 10−7 M) (S4 Fig). Based on these data it can be concluded that the neolignan, eGGCE, can enhance tube formation by human endothelial cells from two different sources, namely the umbilical vein and the microvasculature.
Fig 6. Effect of eGGCE (FK1) on various parameters of a HUVEC tube formation assay on Matrigel.
(A) Microscopic view of isolated endothelial cells ranging from 4 × 104 to 1 × 104 cells/well cultured for 6 hr on Matrigel in the absence of compound, or following addition of 5 × 10−6 M eGGCE which enhanced tube formation. (B-E) Effect of eGGCE, at concentrations from 5 × 10−6 M to 5 × 10−12 M, on HUVEC tube formation (4 × 104 cells/well) as measured by (*, B) percentage denuded area, (→, C) number of sprouting cells, (→, D) total tube length and (E) number of tubes. Parameters shown in (B) and (C) were measured after 4 hr culture and in (D) and (E) after 6 hr culture. Control cultures contained the same diluent dilution as the test compounds. Data analysis was performed by Student–Newman–Keuls test after one-way ANOVA comparing each group to control in each treatment. Error bars represent SEM (n = 6). **, ≤ 0.01, ***, ≤ 0.001.
Effect of eGGCE (FK1) on endothelial cell migration (wound healing assay) and endothelial cell adhesion (Rose Bengal assay)
An endothelial cell migration assay based on cell migration into a denuded area was employed using HMEC to determine the effect of a range of eGGCE concentrations (5 × 10−6–5 × 10−12 M) on endothelial cell migration. The extent and speed of wound closure was monitored microscopically every 2 hr over 26 hr (S5 Fig). In six independent experiments (n = 6), eGGCE imparted no measurable effect on the speed and extent of wound closure (S6 Fig).
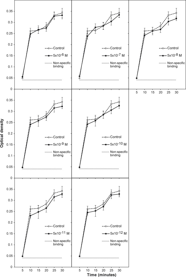
Since eGGCE was able to significantly enhance HUVEC and HMEC tube formation on the artificial basement membrane, Matrigel, we examined the effect of this compound on cell adhesion to the ECM components, fibronectin and vitronectin, using a Rose Bengal adhesion assay with HMEC. The fibronectin and vitronectin concentrations required for cell adhesion were first optimised by coating the microplate plastic wells with a concentration range of fibronectin and vitronectin (0 to 10 μg/mL) to establish the concentration where sub-optimal cell binding was observed. Under these conditions it was reasoned that both enhancement and inhibition of cell adhesion may be detected in the presence of eGGCE at different concentrations. The results showed the optimal concentrations of fibronectin and vitronectin for cell binding were 10 μg/mL and 5 μg/mL, respectively, and sub-optimal cell binding occurred at concentrations ranging from 0.313 to 2.5 μg/mL (S7 Fig). eGGCE did not significantly affect HMEC adhesion to fibronectin or vitronectin after 30 or 60 min adhesion nor over a time course from 5–30 min (Fig 7 and S8 Fig). Thus, it was concluded that eGGCE had no significant effect on either endothelial cell migration or endothelial cell adhesion to the ECM components fibronectin and vitronectin.
Fig 7. Time course of the effect of eGGCE (FK1) on fibronectin-mediated HMEC cell adhesion.
Effect of eGGCE on cell adhesion, at concentrations ranging from 5 × 10−6 M to 5 × 10−12 M, was measured using wells coated with 10 μg/mL of fibronection and after 5–30 min incubation as optical density of Rose Bengal staining adherent cells. Data analysis was performed by one-way and two-way ANOVA, comparing each group to control and other groups. Error bars represent SEM (n = 6). No significant difference in cell adhesion was observed.
Discussion
An activity-guided rat aorta ring bioassay with a proven ability to identify anti-angiogenic compounds [33] was modified by reducing the concentration of HIFCS from 20% to 5% [36]. This slowed the rate of tube formation but enabled the screening of pro- and anti-angiogenic activities over three consecutive days. Using this assay in combination with size fractionation and HPLC, soybean xylem sap derived from plants grown under several conditions was repeatedly shown to have three fractions of pro-angiogenic activity. The complexity of the UV spectrum for the earliest eluting material combined with its hydrophilic nature and the instability of P6, led us to focus on fractions which contained the UV absorbing peaks FK1 and FK2. Sufficiently pure FK1 and FK2 enabled their identification using NMR and high resolution mass spectrometry as the coniferyl lignin precursors, erythro-guaiacylglycerol-8-O-4´-(coniferyl alcohol) ether (eGGCE) and threo-guaiacylglycerol-8-O-4´-(coniferyl alcohol) ether (tGGCE), respectively, and this was verified by comparison with independently sourced samples of each.
In plants, these molecules are termed neolignans, which are derived from the dimerisation of the lignin precursors called monolignols. Lignin is a heterogeneous high molecular weight polymer and a key structural component of secondary plant cell walls [49, 50]. Three monolignols, namely ρ-coumaryl, coniferyl and synapyl alcohols, are synthesised intracellularly and their lignan dimers are secreted extracellularly. This is consistent with the presence of eGGCE and tGGCE in extracellular xylem sap fluid. Lignans have been found in a range of plants and shown to have a number of medically important biologically activities such as anti-tumor [51, 52], anti-oxidant [53] and anti-inflammatory activities [54, 55]. Of particular relevance here is the anti-tumor activity of neolignan metabolites, which has been proposed to be due to the anti-angiogenic activity of these molecules [56]. Collectively, these findings suggest that subtle changes in the structure of neolignans can dramatically change their effects on angiogenesis. In fact, we have previously reported that lipo-chitin oligosaccharides behave in a similar manner, the molecules varying dramatically in their pro- or anti-angiogenic activity depending on their structure [36].
eGGCE and tGGCE induced tube formation using the rat aorta ring assay at μM to nM concentrations. Although this bioassay provided initial valuable information about the overall biological activity, other bioassays portraying the major steps in angiogenesis, including endothelial cell proliferation, migration, tube formation and adhesion to extra-cellular matrix components were utilised to understand the cellular mode of action of eGGCE and tGGCE. A summary of the results obtained is shown in Table 1. A proliferation assay conducted using HUVEC in the presence of a sub-optimal concentration of bFGF (at 12.5 ng/mL) showed that eGGCE and tGGCE, in particular, were biologically active in enhancing proliferation over a large concentration range peaking at 5 × 10−8 M. In addition, tGGCE partially stimulated HUVEC proliferation in the absence of bFGF. This suggests that tGGCE may be more active than eGGCE. Although eGGCE stimulated various aspects of HUVEC and HMEC tube formation in the low μM range it did not significantly affect endothelial cell migration or the binding of endothelial cells to the extracellular matrix components fibronectin or vitronectin. Therefore, it is most likely that eGGCE and tGGCE work primarily by enhancing vascular tube formation, and may be acting synergistically with bFGF.
Table 1. Summary of the effects of the soybean-derived neolignans eGGCE and tGGCE on various aspects of angiogenesis.
| Compound | Angiogenesis | EC Proliferation | EC Tube Formation |
EC Adhesion | EC Migration | ||
|---|---|---|---|---|---|---|---|
| -bFGF | +bFGF | Fibronectin | Vitronectin | ||||
| eGGCE | + | - | + | + | - | - | - |
| tGGCE | ++ | + | ++ | ++ | NT | NT | NT |
EC, Endothelial Cell; NT, not tested. -, no effect; +, enhancing effect; ++, highly enhancing effect.
In a parallel study the four stereoisomers of GGCE were synthesised and a paper describing the synthesis of these four compounds was recently published [57]. It was found that all four stereoisomers could enhance endothelial cell tube formation, but eGGCE was the least active. Furthermore, the enhanced endothelial cell tube formation induced by the four GGCEs was completely inhibited by PD98059, a flavone that inhibits mitogen-activated protein kinase 1/2 (MEK1/2) and bFGF signalling. These data suggest that the GGCEs enhance angiogenesis via direct activation of the FGFR signalling pathway upstream of MEK1/2.
Thus, this study has successfully identified and characterised two novel pro-angiogenic compounds, erythro-guaiacylglycerol-8-O-4'-coniferyl alcohol (eGGCE), and threo-guaiacylglycerol-8-O-4'-coniferyl alcohol (tGGCE) in soybean xylem sap using a rat aorta bioassay guided fractionation approach. Both eGGCE and tGGCE could significantly enhance in vitro endothelial cell proliferation and tube formation on an artificial ECM, possibly by potentiating the potent mitogen, bFGF, and its downstream signalling. Thus, the coniferyl neolignans eGGCE and tGGCE represent novel pro-angiogenic molecules with considerable clinical potential.
Supporting information
FK1 (A) and FK2 (B). UV absorbance spectra were essentially identical with λmax = 265 nm and a shoulder at 298 nm. The UV spectra of P6 (C) was characterised by a λmax at 283 and 343 nm.
(TIF)
Overlay of 13C-HSQC spectra for the (A) aliphatic and (B) aromatic region, highlighting the similarity of spectra between FK1 (red/pink) and FK2 (blue/green). Along with coupling constants measured from 1D 1H NMR spectra, assignments were easily transferred from FK1 to FK2. Negative peaks (green and pink) indicate CH2 resonances.
(TIF)
(A) FK1, erythro guaiacylglycerol-8-O-4´-(coniferyl alcohol) ether, and (B) FK2, threo guaiacylglycerol-8-O-4´-(coniferyl alcohol) ether).
(TIF)
Microscopic view of isolated endothelial cells cultured for 6 hr on Matrigel (A) in the absence of compound or (B) following addition of 5 × 10−6 M eGGCE which enhanced circle formation, with examples of completed circles indicated (*). (C) Effect of eGGCE, at concentrations from 5 × 10−6 M to 5 × 10−12 M, on HMEC tube formation, measured as number of completed circles. Control cultures contained the same diluent dilution as the test compounds. Data analysis was performed by Student–Newman–Keuls test after one-way ANOVA comparing each group to control in each treatment. Error bars represent SEM (n = 4).
(TIF)
Wounds were made in HMEC monolayer in each well of a 96-well plate using the IncuCyte wound maker. Cell migration towards the denuded area was recorded every 2 hr and wound recovery was complete within 18–20 hr.
(TIF)
Synthetic FK1, at concentrations ranging from 5 × 10−6 M to 5 × 10−12 M, was added to cultures and wound healing was measured as % wound confluence from 0 to 26 hr relative to the initial wound mark. Control cultures contained the same diluent dilution as the test compounds. Data analysis was performed by one-way ANOVA, comparing each group to control. Error bars represent SEM (n = 6). No significant difference in wound healing was observed.
(TIF)
HMEC adhesion to fibronectin (A) and vitronectin (B) was measured as optical density of Rose Bengal staining of adherent cells. Error bars represent SEM (n = 6). The background binding in the absence of fibronectin and vitronectin was < 0.04 optical density unit.
(TIF)
Effect of synthetic FK1 on cell adhesion, at concentrations ranging from 5 × 10−6 M to 5 × 10−12 M, was measured using wells coated with 5 μg/mL of vitronectin and after 2.5–25 min incubation as optical density of Rose Bengal staining adherent cells. Data analysis was performed by one-way and two-way ANOVA, comparing each group to control and other groups. Error bars represent SEM (n = 4). No significant difference in cell adhesion was observed.
(TIF)
(DOCX)
(DOCX)
(DOCX)
Acknowledgments
We thank Prof. Dr. Wei-Dong Zhang and Dr. Shan Lei from the Second Military Medical University, Shanghai, China for the kind gift of tGGCE (FK2).
Data Availability
All relevant data are within the paper and its Supporting Information files.
Funding Statement
MAD and CRP received research funding for this project, i.e., ARC Discovery Grant DP1096299 Dr MA Djordjevic; Prof LN Mander; Prof CR Parish “New functions for bioactive flavonoids in plants and mammals”; ARC Centre of Excellence Grant (CEO348212) and NHMRC Program Grant 455395 M. Berndt, C. Chesterman, B. Chong, P. Hogg, L. Khachigian, C. Parish and R. Stocker. Program entitled: “Vascular Biology”. The funders had no role in study design, data collection and analysis, decision to publish, or preparation of the manuscript.
References
- 1.Carmeliet P. Angiogenesis in health and disease. Nature Medicine. 2003;9(6):653–60. doi: 10.1038/nm0603-653 PubMed PMID: ISI:000183444100019. [DOI] [PubMed] [Google Scholar]
- 2.Folkman J. Opinion—Angiogenesis: an organizing principle for drug discovery? Nature Reviews Drug Discovery. 2007;6(4):273–86. doi: 10.1038/nrd2115 PubMed PMID: ISI:000245359000012. [DOI] [PubMed] [Google Scholar]
- 3.Folkman J. Lessons from antiangiogenic therapy of cancer patients. Clinical Cancer Research. 2000;6:4483s–s. PubMed PMID: ISI:000165409000048. [Google Scholar]
- 4.Newman DJ. Natural products as sources of and leads to drugs. Abstracts of Papers of the American Chemical Society. 2011;241. PubMed PMID: ISI:000291982806150. [Google Scholar]
- 5.Pezzuto JM. Plant-derived anticancer agents. Biochemical Pharmacology. 1997;53(2):121–33. doi: 10.1016/S0006-2952(96)00654-5 PubMed PMID: ISI:A1997VY22700001. [DOI] [PubMed] [Google Scholar]
- 6.Welti J, Loges S, Dimmeler S, Carmeliet P. Recent molecular discoveries in angiogenesis and antiangiogenic therapies in cancer. J Clin Invest. 2013;123(8):3190–200. doi: 10.1172/JCI70212 PubMed PMID: WOS:000322750500003. [DOI] [PMC free article] [PubMed] [Google Scholar]
- 7.Bao P, Kodra A, Tomic-Canic M, Golinko MS, Ehrlich HP, Brem H. The Role of Vascular Endothelial Growth Factor in Wound Healing. Journal of Surgical Research. 2009;153(2):347–58. doi: 10.1016/j.jss.2008.04.023 PubMed PMID: ISI:000265585100024. [DOI] [PMC free article] [PubMed] [Google Scholar]
- 8.Tonnesen MG, Feng XD, Clark RAF. Angiogenesis in wound healing. Journal of Investigative Dermatology Symposium Proceedings. 2000;5(1):40–6. doi: 10.1046/j.1087-0024.2000.00014.x PubMed PMID: ISI:000165953800008. [DOI] [PubMed] [Google Scholar]
- 9.Pandya NM, Dhalla NS, Santani DD. Angiogenesis—a new target for future therapy. Vascular Pharmacology. 2006;44(5):265–74. doi: 10.1016/j.vph.2006.01.005 PubMed PMID: ISI:000237719100002. [DOI] [PubMed] [Google Scholar]
- 10.Silvestre JS. Pro-angiogenic cell-based therapy for the treatment of ischemic cardiovascular diseases. Thromb Res. 2012;130:S90–S4. doi: 10.1016/j.thromres.2012.08.287 PubMed PMID: WOS:000310349200029. [DOI] [PubMed] [Google Scholar]
- 11.Beck H, Plate KH. Angiogenesis after cerebral ischemia. Acta Neuropathologica. 2009;117(5):481–96. doi: 10.1007/s00401-009-0483-6 PubMed PMID: ISI:000264853200003. [DOI] [PubMed] [Google Scholar]
- 12.Font MA, Arboix A, Krupinski J. Angiogenesis, neurogenesis and neuroplasticity in ischemic stroke. Curr Cardiol Rev. 2010;6(3):238–44. Epub 2011/08/02. doi: 10.2174/157340310791658802 CCR-6-238 [pii]. ; PubMed Central PMCID: PMC2994116. [DOI] [PMC free article] [PubMed] [Google Scholar]
- 13.Alhusban A, Fouda AY, Pillai B, Ishrat T, Soliman S, Fagan SC. Compound 21 is pro-angiogenic in the brain and results in sustained recovery after ischemic stroke. J Hypertens. 2015;33(1):170–80. doi: 10.1097/HJH.0000000000000364 PubMed PMID: WOS:000346149700021. [DOI] [PubMed] [Google Scholar]
- 14.Ribatti D, Presta M, Vacca A, Ria R, Giuliani R, Dell'Era P, et al. Human erythropoietin induces a pro-angiogenic phenotype in cultured endothelial cells and stimulates neovascularization in vivo. Blood. 1999;93(8):2627–36. PubMed PMID: ISI:000079642400023. [PubMed] [Google Scholar]
- 15.Dembinska-Kiec A, Polus A, Grzybowska J. The PPAR gamma and beta-carotene activity in the umbilical cord progenitor cell maturation during angiogenesis. European Heart Journal. 2004;25:471–. PubMed PMID: ISI:000224056501882. [Google Scholar]
- 16.Costa F, Soares R. Nicotine: A pro-angiogenic factor. Life Sciences. 2009;84(23–24):785–90. doi: 10.1016/j.lfs.2009.03.002 PubMed PMID: ISI:000266852800001. [DOI] [PubMed] [Google Scholar]
- 17.Morimoto N, Takemoto S, Kawazoe T, Suzuki S. Nicotine at a low concentration promotes wound healing. Journal of Surgical Research. 2008;145(2):199–204. doi: 10.1016/j.jss.2007.05.031 PubMed PMID: ISI:000253999400004. [DOI] [PubMed] [Google Scholar]
- 18.Mousa S, Mousa SA. Cellular and molecular mechanisms of nicotine's pro-angiogenesis activity and its potential impact on cancer. Journal of Cellular Biochemistry. 2006;97(6):1370–8. doi: 10.1002/jcb.20741 PubMed PMID: ISI:000236301500021. [DOI] [PubMed] [Google Scholar]
- 19.Lin CM, Chiu JH, Wu IH, Wang BW, Pan CM, Chen YH. Ferulic acid augments angiogenesis via VEGF, PDGF and HIF-1 alpha. J Nutr Biochem. 2010;21(7):627–33. Epub 2009/05/16. doi: 10.1016/j.jnutbio.2009.04.001 S0955-2863(09)00079-5 [pii]. . [DOI] [PubMed] [Google Scholar]
- 20.Deshane J, Chen SF, Caballero S, Grochot-Przeczek A, Was H, Calzi SL, et al. Stromal cell-derived factor 1 promotes angiogenesis via a heme oxygenase 1-dependent mechanism. Journal of Experimental Medicine. 2007;204(3):605–18. doi: 10.1084/jem.20061609 PubMed PMID: ISI:000245210800021. [DOI] [PMC free article] [PubMed] [Google Scholar]
- 21.Mac Gabhann F, Qutub AA, Annex BH, Popel AS. Systems biology of pro-angiogenic therapies targeting the VEGF system. Wiley Interdiscip Rev Syst Biol Med. 2010;2(6):694–707. doi: 10.1002/wsbm.92 ; PubMed Central PMCID: PMC2990677. [DOI] [PMC free article] [PubMed] [Google Scholar]
- 22.Gupta R, Tongers J, Losordo DW. Human studies of angiogenic gene therapy. Circ Res. 2009;105(8):724–36. doi: 10.1161/CIRCRESAHA.109.200386 ; PubMed Central PMCID: PMC2770893. [DOI] [PMC free article] [PubMed] [Google Scholar]
- 23.Schafer AI. Effects of Nonsteroidal Antiinflammatory Drugs on Platelet-Function and Systemic Hemostasis. Journal of Clinical Pharmacology. 1995;35(3):209–19. PubMed PMID: ISI:A1995QM50500001. [DOI] [PubMed] [Google Scholar]
- 24.Wani MC, Taylor HL, Wall ME, Coggon P, Mcphail AT. Plant Antitumor Agents .6. Isolation and Structure of Taxol, a Novel Antileukemic and Antitumor Agent from Taxus-Brevifolia. Journal of the American Chemical Society. 1971;93(9):2325–7. doi: 10.1021/Ja00738a045 PubMed PMID: ISI:A1971J196100044. [DOI] [PubMed] [Google Scholar]
- 25.Li QY, Zu YG, Shi RZ, Yao LP. Review Camptothecin: Current Perspectives. Current Medicinal Chemistry. 2006;13(17):2021–39. doi: 10.2174/092986706777585004 PubMed PMID: ISI:000207523900005. [DOI] [PubMed] [Google Scholar]
- 26.Wang ZW, Dabrosin C, Yin X, Fuster MM, Arreola A, Rathmell WK, et al. Broad targeting of angiogenesis for cancer prevention and therapy. Semin Cancer Biol. 2015;35:S224–S43. doi: 10.1016/j.semcancer.2015.01.001 PubMed PMID: WOS:000366619400011. [DOI] [PMC free article] [PubMed] [Google Scholar]
- 27.Tu Y, Jeffries C, Ruan H, Nelson C, Smithson D, Shelat AA, et al. Automated High-Throughput System to Fractionate Plant Natural Products for Drug Discovery. Journal of Natural Products. 2010;73(4):751–4. doi: 10.1021/np9007359 PubMed PMID: ISI:000276950000048. [DOI] [PMC free article] [PubMed] [Google Scholar]
- 28.Butler MS. The role of natural product chemistry in drug discovery. Journal of Natural Products. 2004;67(12):2141–53. doi: 10.1021/np040106y PubMed PMID: ISI:000226070600041. [DOI] [PubMed] [Google Scholar]
- 29.Li JWH, Vederas JC. Drug Discovery and Natural Products: End of an Era or an Endless Frontier? Science. 2009;325(5937):161–5. doi: 10.1126/science.1168243 PubMed PMID: ISI:000267802000035. [DOI] [PubMed] [Google Scholar]
- 30.Auerbach R, Lewis R, Shinners B, Kubai L, Akhtar N. Angiogenesis assays: A critical overview. Clinical Chemistry. 2003;49(1):32–40. doi: 10.1373/49.1.32 PubMed PMID: ISI:000180195700006. [DOI] [PubMed] [Google Scholar]
- 31.Goodwin AM. In vitro assays of angiogenesis for assessment of angiogenic and anti-angiogenic agents. Microvascular Research. 2007;74(2–3):172–83. doi: 10.1016/j.mvr.2007.05.006 PubMed PMID: ISI:000251430000011. [DOI] [PMC free article] [PubMed] [Google Scholar]
- 32.Nicosia RF, Ottinetti A. Growth of Microvessels in Serum-Free Matrix Culture of Rat Aorta—a Quantitative Assay of Angiogenesis Invitro. Laboratory Investigation. 1990;63(1):115–22. PubMed PMID: ISI:A1990DQ61900013. [PubMed] [Google Scholar]
- 33.Parish CR, Freeman C, Brown KJ, Francis DJ, Cowden WB. Identification of sulfated oligosaccharide-based inhibitors of tumor growth and metastasis using novel in vitro assays for angiogenesis and heparanase activity. Cancer Research. 1999;59(14):3433–41. PubMed PMID: ISI:000081539900028. [PubMed] [Google Scholar]
- 34.Liu CJ, Lee PH, Lin DY, Wu CC, Jeng LB, Lin PW, et al. Heparanase inhibitor PI-88 as adjuvant therapy for hepatocellular carcinoma after curative resection: A randomized phase II trial for safety and optimal dosage. Journal of Hepatology. 2009;50(5):958–68. doi: 10.1016/j.jhep.2008.12.023 PubMed PMID: ISI:000266384600017. [DOI] [PubMed] [Google Scholar]
- 35.Staton CA, Reed MWR, Brown NJ. A critical analysis of current in vitro and in vivo angiogenesis assays. International Journal of Experimental Pathology. 2009;90(3):195–221. doi: 10.1111/j.1365-2613.2008.00633.x PubMed PMID: ISI:000265981600001. [DOI] [PMC free article] [PubMed] [Google Scholar]
- 36.Djordjevic MA, Bezos A, Susanti, Marmuse L, Driguez H, Samain E, et al. Lipo-Chitin Oligosaccharides, Plant Symbiosis Signalling Molecules That Modulate Mammalian Angiogenesis In Vitro. Plos One. 2014;9(12). doi: ARTN e112635 doi: 10.1371/journal.pone.0112635 PubMed PMID: WOS:000348563300004. [DOI] [PMC free article] [PubMed] [Google Scholar]
- 37.Herridge DF. Carbon and nitrogen nutrition of two annual legumes: University of Western Australia; 1997. [Google Scholar]
- 38.Djordjevic MA, Oakes M, Li DX, Hwang CH, Hocart CH, Gresshoff PM. The Glycine max xylem sap and apoplast proteome. Journal of Proteome Research. 2007;6(9):3771–9. doi: 10.1021/pr0606833 PubMed PMID: ISI:000249371000041. [DOI] [PubMed] [Google Scholar]
- 39.Patel N, Mohd-Radzman NA, Corcilius L, Crossett B, Connolly A, Cordwell SJ, et al. Diverse peptide hormones affecting root growth identified in the Medicago truncatula secreted peptidome. Mol Cell Proteomics. 2017. doi: 10.1074/mcp.RA117.000168 . [DOI] [PMC free article] [PubMed] [Google Scholar]
- 40.Brown KJ, Maynes SF, Bezos A, Maguire DJ, Ford MD, Parish CR. A novel in vitro assay for human angiogenesis. Lab Invest. 1996;75(4):539–55. . [PubMed] [Google Scholar]
- 41.Brown KJ, Hendry IA, Parish CR. Evidence That Carboxyl-Reduced Heparin Fails to Potentiate Acidic Fibroblast Growth-Factor Activity Due to an Inability to Interact with Cell-Surface Heparin Receptors. Experimental Cell Research. 1995;217(1):132–9. doi: 10.1006/excr.1995.1072 PubMed PMID: ISI:A1995QJ91300017. [DOI] [PubMed] [Google Scholar]
- 42.Wang JN, Shi N, Xie WB, Guo X, Chen SY. Response Gene to Complement 32 Promotes Vascular Lesion Formation Through Stimulation of Smooth Muscle Cell Proliferation and Migration. Arteriosclerosis Thrombosis and Vascular Biology. 2011;31(8):E19–E26. doi: 10.1161/Atvbaha.111.230706 PubMed PMID: ISI:000292918500001. [DOI] [PMC free article] [PubMed] [Google Scholar]
- 43.Schneider CA, Rasband WS, Eliceiri KW. NIH Image to ImageJ: 25 years of image analysis. Nat Methods. 2012;9(7):671–5. doi: 10.1038/nmeth.2089 PubMed PMID: WOS:000305942200020. [DOI] [PMC free article] [PubMed] [Google Scholar]
- 44.O'Neill HC, Parish CR. A Rapid, Automated Colorimetric Assay for Measuring Antibody-Binding to Cell-Surface Antigens. Journal of Immunological Methods. 1983;64(3):257–68. doi: 10.1016/0022-1759(83)90433-7 PubMed PMID: ISI:A1983RV87900001. [DOI] [PubMed] [Google Scholar]
- 45.Lourith N, Katayama T, Suzuki T. Stereochemistry and biosynthesis of 8-0-4 ' neolignans in Eucommia ulmoides: diastereoselective formation of guaiacylglycerol-8-0-4 '-(sinapyl alcohol) ether. Journal of Wood Science. 2005;51(4):370–8. doi: 10.1007/s10086-004-0660-0 PubMed PMID: ISI:000232290400009. [Google Scholar]
- 46.Morreel K, Kim H, Lu FC, Dima O, Akiyama T, Vanholme R, et al. Mass Spectrometry-Based Fragmentation as an Identification Tool in Lignomics. Analytical Chemistry. 2010;82(19):8095–105. doi: 10.1021/ac100968g PubMed PMID: ISI:000282257400033. [DOI] [PubMed] [Google Scholar]
- 47.Morreel K, Dima O, Kim H, Lu FC, Niculaes C, Vanholme R, et al. Mass Spectrometry-Based Sequencing of Lignin Oligomers. Plant Physiology. 2010;153(4):1464–78. doi: 10.1104/pp.110.156489 PubMed PMID: ISI:000280566000003. [DOI] [PMC free article] [PubMed] [Google Scholar]
- 48.Vessecchi R, Crotti AEM, Guaratini T, Colepicolo P, Galembeck SE, Lopes NP. Radical ion generation processes of organic compounds in electrospray ionization mass spectrometry. Mini-Rev Org Chem. 2007;4(1):75–87. doi: 10.2174/157019307779815910 PubMed PMID: WOS:000244006400006. [Google Scholar]
- 49.Boerjan W, Ralph J, Baucher M. Lignin biosynthesis. Annual Review of Plant Biology. 2003;54:519–46. doi: 10.1146/annurev.arplant.54.031902.134938 PubMed PMID: ISI:000185094100021. [DOI] [PubMed] [Google Scholar]
- 50.Whetten R, Sederoff R. Lignin Biosynthesis. Plant Cell. 1995;7(7):1001–13. doi: 10.1105/tpc.7.7.1001 PubMed PMID: ISI:A1995RM93700018. [DOI] [PMC free article] [PubMed] [Google Scholar]
- 51.Qu HY, Madl RL, Takemoto DJ, Baybutt RC, Wang WQ. Lignans are involved in the antitumor activity of wheat bran in colon cancer SW480 cells. Journal of Nutrition. 2005;135(3):598–602. PubMed PMID: ISI:000227509500038. doi: 10.1093/jn/135.3.598 [DOI] [PubMed] [Google Scholar]
- 52.Zhou YJ, Liu YE, Cao JG, Zeng GY, Shen C, Li YL, et al. Vitexins, Nature-Derived Lignan Compounds, Induce Apoptosis and Suppress Tumor Growth. Clinical Cancer Research. 2009;15(16):5161–9. doi: 10.1158/1078-0432.CCR-09-0661 PubMed PMID: ISI:000269024900018. [DOI] [PMC free article] [PubMed] [Google Scholar]
- 53.Kancheva VD, Saso L, Angelova SE, Foti MC, Slavova-Kasakova A, Daquino C, et al. Antiradical and antioxidant activities of new bio-antioxidants. Biochimie. 2012;94(2):403–15. doi: 10.1016/j.biochi.2011.08.008 PubMed PMID: ISI:000300270900015. [DOI] [PubMed] [Google Scholar]
- 54.Baumgartner L, Sosa S, Atanasov AG, Bodensieck A, Fakhrudin N, Bauer J, et al. Lignan Derivatives from Krameria lappacea Roots Inhibit Acute Inflammation in Vivo and Pro-inflammatory Mediators in Vitro. Journal of Natural Products. 2011;74(8):1779–86. doi: 10.1021/np200343t PubMed PMID: ISI:000294242800015. [DOI] [PMC free article] [PubMed] [Google Scholar]
- 55.Hallund J, Tetens I, Bugel S, Tholstrup T, Bruun JM. The effect of a lignan complex isolated from flaxseed on inflammation markers in healthy postmenopausal women. Nutrition Metabolism and Cardiovascular Diseases. 2008;18(7):497–502. doi: 10.1016/j.numecd.2007.05.007 PubMed PMID: ISI:000259537600007. [DOI] [PubMed] [Google Scholar]
- 56.Hodges TW, Hossain CF, Kim YP, Zhou YD, Nagle DG. Molecular-targeted antitumor agents: The Saururus cernuus dineolignans manassantin B and 4-O-demethylmanassantin B are potent inhibitors of hypoxia-activated HIF-1. J Nat Prod. 2004;67(5):767–71. doi: 10.1021/np030514m PubMed PMID: WOS:000221804700005. [DOI] [PubMed] [Google Scholar]
- 57.Buckler JN, Banwell MG, Kordbacheh F, Parish CR, Santiago FS, Khachigian LM. Developing Neolignans as Proangiogenic Agents: Stereoselective Total Syntheses and Preliminary Biological Evaluations of the Four Guaiacylglycerol 8-O-4′-Coniferyl Ethers. ACS Omega. 2017;2(10):7375–88. doi: 10.1021/acsomega.7b01459 [DOI] [PMC free article] [PubMed] [Google Scholar]
Associated Data
This section collects any data citations, data availability statements, or supplementary materials included in this article.
Supplementary Materials
FK1 (A) and FK2 (B). UV absorbance spectra were essentially identical with λmax = 265 nm and a shoulder at 298 nm. The UV spectra of P6 (C) was characterised by a λmax at 283 and 343 nm.
(TIF)
Overlay of 13C-HSQC spectra for the (A) aliphatic and (B) aromatic region, highlighting the similarity of spectra between FK1 (red/pink) and FK2 (blue/green). Along with coupling constants measured from 1D 1H NMR spectra, assignments were easily transferred from FK1 to FK2. Negative peaks (green and pink) indicate CH2 resonances.
(TIF)
(A) FK1, erythro guaiacylglycerol-8-O-4´-(coniferyl alcohol) ether, and (B) FK2, threo guaiacylglycerol-8-O-4´-(coniferyl alcohol) ether).
(TIF)
Microscopic view of isolated endothelial cells cultured for 6 hr on Matrigel (A) in the absence of compound or (B) following addition of 5 × 10−6 M eGGCE which enhanced circle formation, with examples of completed circles indicated (*). (C) Effect of eGGCE, at concentrations from 5 × 10−6 M to 5 × 10−12 M, on HMEC tube formation, measured as number of completed circles. Control cultures contained the same diluent dilution as the test compounds. Data analysis was performed by Student–Newman–Keuls test after one-way ANOVA comparing each group to control in each treatment. Error bars represent SEM (n = 4).
(TIF)
Wounds were made in HMEC monolayer in each well of a 96-well plate using the IncuCyte wound maker. Cell migration towards the denuded area was recorded every 2 hr and wound recovery was complete within 18–20 hr.
(TIF)
Synthetic FK1, at concentrations ranging from 5 × 10−6 M to 5 × 10−12 M, was added to cultures and wound healing was measured as % wound confluence from 0 to 26 hr relative to the initial wound mark. Control cultures contained the same diluent dilution as the test compounds. Data analysis was performed by one-way ANOVA, comparing each group to control. Error bars represent SEM (n = 6). No significant difference in wound healing was observed.
(TIF)
HMEC adhesion to fibronectin (A) and vitronectin (B) was measured as optical density of Rose Bengal staining of adherent cells. Error bars represent SEM (n = 6). The background binding in the absence of fibronectin and vitronectin was < 0.04 optical density unit.
(TIF)
Effect of synthetic FK1 on cell adhesion, at concentrations ranging from 5 × 10−6 M to 5 × 10−12 M, was measured using wells coated with 5 μg/mL of vitronectin and after 2.5–25 min incubation as optical density of Rose Bengal staining adherent cells. Data analysis was performed by one-way and two-way ANOVA, comparing each group to control and other groups. Error bars represent SEM (n = 4). No significant difference in cell adhesion was observed.
(TIF)
(DOCX)
(DOCX)
(DOCX)
Data Availability Statement
All relevant data are within the paper and its Supporting Information files.







